Расчет электроприводов мостового крана
Государственный
комитет Российской Федерации по рыболовству
Дальневосточный
государственный технический рыбохозяйственный университет
Кафедра
электрооборудования и средств автоматики
Спец.
вопросы САЭП
Расчет
электроприводов мостового крана
Выполнил:
Музыченко А.А.
Курсант
группы ЭМс-512
Проверил:
преп. Марченко Н.М.
г.
Владивосток - 2012
Исходные данные:
Вес моста (с тележкой и гаком) Gм
= 320 кН;
Вес тележки Gт
= 37кН;
Вес груза (грузоподъемность) Gгр
= 100 кН;
Вес грузозахватного устройства Gгак
= 30кН;
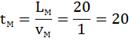
Скорость движения моста Vм
= 1м/с;
Скорость движения тележки Vт
= 0,5 м/с;
Скорость подъема груза Vгр
= 0,13 м/с;
Радиус колеса моста и тележки R
= 0.3 м;
Радиус шейки колеса r
= 0,04 м;
Диаметр барабана лебёдки Dб
= 0,6 м;
Момент инерции барабана Jб
= 3,0 кг м2;
КПД механизмов передвижение ηП
= 0,7;
КПД механизмов лебёдки ηл
= 0,75;
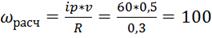
Передаточное отношение редуктора моста iм
= 25;
Передаточное отношение редуктора тележки iт
= 60;
Передаточное отношение редуктора лебёдки iл
= 60;
Передаточное отношение полиспаста i
n = 2;
Путь проходимый мостом Lм
= 20 м;
Путь проходимый тележкой Lт
= 12 м;
Высота подъёма (спуска) груза h
= 12 м;
Время стоянки крана при нагрузки t
01
= 44 c;
Время стоянке крана при разгрузке t02
= 34 с.
1. Расчет времени работы под
нагрузкой и времени цикла мостового крана
Прежде чем приступить к расчету мощности
двигателей необходимо рассчитать время работы под нагрузкой и время цикла, а
также продолжительности включения двигателей механизмов передвижения и подъема.
Цикл работы мостового крана: спуск пустого
крюка, стоянка при погрузке, подъем нагруженного крюка, движение тележки,
движение моста, спуск нагруженного крюка, стоянка под разгрузкой, подъем
пустого крюка, движение тележки, движение крюка.
Время спуска и время подъема крюка, с
Время движения тележки, с
Время движения моста, с
Время цикла, с
Где
-
время работы двигателя лебедки;
- время работы
двигателя тележки;
-время работы
двигателя моста;
- время стоянки
под нагрузкой;
- время стоянки
под разгрузкой.
Продолжительность включения двигателя лебедки, с
Продолжительность включения двигателя тележки, с
Продолжительность включения двигателя моста, с
где tц
- время цикла.
2. Расчет мощности, статического
момента и скорости вращения двигателей механизмов передвижения
Момент статической нагрузки, приведенный к валу
двигателя, при загруженном грузозахватном устройстве, Нм
где kр
= 1,3 - коэффициент трения реборд ходовых колес механизмов передвижения о
рельсы (ходовые колеса с коническим ободом, подшипники качения);
G0 =
320 Н - вес не загруженного механизма,
G = 100 Н - вес
перемещаемого груза,
µ = 0,1 - коэффициент трения для подшипников
ходовых колес механизмов передвижения (подшипник качения, шариковые и роликовые
конические),
r = 0,04 м - радиус
шейки оси колеса,
ƒ = 0,7 *10-3
м - коэффициент трения качения ходового колеса механизмов передвижения (ходовые
колеса стальные, тип рельса плоский),
v = 1 м/с - скорость
движения механизма,
ηм
= 0,7 - КПД передач механизма,
iр
= 25 - передаточное отношение редуктора механизма передвижения.
Момент статической нагрузки, приведенный к валу
двигателя, при пустом грузозахватном устройстве,
Расчетная угловая скорость вращения двигателя,
об/мин
где R
= 0,3м - радиус колеса.
Расчетная частота вращения двигателя, об/мин
Мощность двигателя механизма передвижения при
загруженном грузозахватном устройстве, кВт
Мощность двигателя механизма
передвижения при пустом грузозахватном устройстве, кВт
Эквивалентная мощность двигателя,
кВт
= 7,47%
= 4,69
Кзап = 1,5
кВт
Выбираем двигатель по каталогу:
Двигатель - Д-32
Рн =9,5 кВт
Iн = 49,4 А
Iвн = 1,6 А
Rоя + Rдп = 0,28 Ом
Rв = 94 Ом
J = 0,425 кг*
м2
3. Расчет естественной механической
характеристики двигателя постоянного тока независимого возбуждения (ДПТ НВ)
= 0,380 Ом
рад/c
асинхронный двигатель
мостовой кран
Электропривод механизма тележки:
рад/с
кВт
Выбор двигателя:
Тип: МТ 11-6 U
= 220 В
Pн =
2,2 кВт
Статор: Ротор:
Ерн = 144 В
Icн = 6,6 А Iрн
= 11,1 А
I0
= 4,6 А Rр = 0,72 Ом
Rc=
4,33 Ом Хр = 0,595 Ом
Xc
= 2,61 Ом Ке = 2,5 J = 0,0487
кг*м2
4. Расчет естественной механической
характеристики асинхронного двигателя с фазным ротором

4,5
= 3,71
|
s
|
0
|
0,06
|
0,12
|
0,18
|
0,2
|
0,3
|
0,4
|
0,5
|
0,6
|
0,7
|
0,8
|
0,9
|
1
|
|
|
104,6
|
92,32
|
92,05
|
85,77
|
83,68
|
73,22
|
62,76
|
52,3
|
41,84
|
31,38
|
20,92
|
10,46
|
0
|
|
M, Нм
|
0
|
11,55
|
22,24
|
34,73
|
34,73
|
46,27
|
53,55
|
56,98
|
57,84
|
57,55
|
56,98
|
53,55
|
51,18
|
5. Расчет мощности, статического
момента и скорости вращения двигателя механизма подъема
При подъеме груза
При спуске груза
При подъеме груза
Нм
При спуске груза
=
= 236 Нм
При подъеме пустого грузозахватного устройства (G=0)
статический момент на валу двигателя определяется по формуле
Спуск

Расчетная угловая скорость двигателя лебедки
Расчетная частота вращения двигателя
Мощность двигателя лебедки при подъеме груза
Мощность двигателя лебедки при спуске груза
Мощность двигателя лебедки при подъеме пустого
грузозахватного устройства
Мощность двигателя лебедки при спуске пустого
грузозахватного устройства
Эквивалентная мощность двигателя,
= 13,62 кВт
=17,88
К зап=1,5
Выбор двигателя по каталогу:
Д-810
Pн = 35 кВт
nн = 610
об/мин
Iн = 182 А
Rоя+Rдп = 0,0356 Ом
Rов= 0,0171 Ом
J = 3,625
кг*м2
*Iн =3,22*182
= 586,04
|
|
114,93
|
89,39
|
70,23
|
63,85
|
57,46
|
53,63
|
49,80
|
44,69
|
38,31
|
|
М,
Нм
|
175,81
|
304,74
|
427,8
|
586.04
|
761,9
|
879,1
|
1113,46
|
1289,28
|
1523,70
|