|
Тип
|
ПВ
|
Рн
|
nном
|
Uст
|
Iст
|
cosφ
|
GD2
|
mk
|
mm
|
mп
|
ηн
|
|
-
|
%
|
кВт
|
об/мин
|
В
|
А
|
-
|
кгм2
|
-
|
-
|
-
|
-
|
|
MTF 412-8
|
40
|
22
|
725
|
380
|
65
|
0.90
|
3.0
|
2,1
|
1.4
|
2
|
0.83
|
К установке принимаем четыре двигателя типа MTF 412-8. (Трехфазный
асинхронный двигатель с фазным ротором)
Для построения нагрузочной диаграммы необходимо определить
следующие величины:
Номинальный момент двигателей
Величина среднего пускового момента двигателей
Величина тормозного момента
Момент сопротивления при движении крана с грузом
Момент сопротивления при движении крана без груза
Величина махового момента при движении крана с грузом

Величина махового момента при движении крана без груза
Суммарная величина махового момента груженого крана
где δ - коэффициент
учитывающий наличие вращающихся частей на валу двигателя, принимается 1,05 -
1,25
GDмуф - величина махового момента, учитывающая наличие
соединительных муфт и редуктора для ЭП кранового механизма передвижения моста
грузоподъемностью 200 тонн принимаем 16.44 кг∙м2
Суммарная величина махового момента порожнего крана
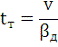
Время пуска при движении груженного крана
Время пуска при движении крана без груза
Время торможения крана
где βд - добавочный коэффициент
принимается от 0.3 до 0.6
Время установившегося движения крана
Вывод: по результатам расчета моментов двигателя и их времени
действия строим нагрузочную диаграмму.
Рисунок 4. Нагрузочная диаграмма ЭП перемещения моста.
3. Выбор типа
электродвигателя
Исходя из требований технологического процесса, то есть в
отсутствии необходимости плавного регулирования угловой скорости электропривода
в широком диапазоне, следует отдать предпочтение асинхронному двигателю
переменного тока. Так как наибольшее распространение получила трех фазная сеть
переменного тока частотой 50 Гц с линейным напряжением 380 В, поэтому принимаем
к установке трех фазный асинхронный двигатель с фазным ротором, с номинальным
напряжением обмотки статора 380 В.
Определим эквивалентный момент ЭП, по данным нагрузочной
диаграммы
Среднеэквивалентная мощность нагрузки
Так как значения ПВ фактического и ПВ двигателя одинаковы, то
пересчет мощности делать не надо.
Проверка выполнения условия нагрева
,
Проверка двигателей по перегрузочной способности
Расчеты мощности сделанные в пункте 2 подтверждаются:
выбранная мощность электродвигателей удовлетворяет условию нагрева и
перегрузочной способности двигателя.
4. Расчет и
построение механической характеристики рабочей машины. Проверка выбранного
электродвигателя по перегрузочной способности
Номинальная частота вращения определяется по формуле
Номинальный, пусковой (кратность пускового момента принимаем
2), минимальный и максимальный моменты электродвигателя определяются по
формулам
,
Момент статического сопротивления на валу электродвигателя Мс,
Нм равен:
где Мс - момент сопротивления механизма при
угловой скорости ωм Нм;
Мо - момент сопротивления механизма, не зависящий
от угловой скорости (момент трогания), Нм; Мсг - . момент
сопротивления при номинальной угловой скорости, Нм; ωд - текущее значение угловой скорости вала рабочей машины, с-1;
ωмн - номинальная угловая скорость вала рабочей машины, с-1;
х - показатель степени характеризующий изменение статического момента от
угловой скорости, для электропривода перемещения моста принимаем равным нулю.
Тогда из уравнения следует:
Момент Мсн возьмем из пункта 2, с учетом, что установлено
4 электродвигателя, т. е
Минимальный избыточный момент, необходимый для пуска
электродвигателя, принимается равным 0,2Мсн, тогда
Возможность пуска электродвигателя при снижении питающего
напряжения на 20% проверяется по условию

Вывод: электродвигатель MTF 412-8, выбранный в
пункте 2 запуститься даже при снижении питающего напряжения на 20%.
5.
Определение приведенного к валу двигателя момента инерции рабочей машины
Приведенный к валу электродвигателя момент инерции системы J
кг∙м2, определяется по формуле
где k - коэффициент, учитывающий момент инерции механической
передачи, k = 1,05-1,2;
Jд - момент инерции ротора электродвигателя, кг ∙
м2;
Jм - момент инерции вращающихся частей рабочей
машины, кг ∙ м2;м - масса частей рабочей машины,
движущихся поступательно, кг;
vм - скорость поступательного движения частей
рабочей машины, м/с.
Момент инерции рабочей машины
Передаточное число редуктора
где ω - угловая частота
ходового колеса, определяется по формуле
Вывод: по результатам расчета приведенные момент инерции к
валам двигателя составил 5.59 кг∙м2.
6. Рассчитать
и построить механическую характеристику электродвигателя. Определить
фактическое и допустимое число пусков привода в час
Критическое скольжение, соответствующее максимальному
вращающему моменту электродвигателя определяем по формуле
где m1 - коэффициент, равный отношению кратности
максимального и кратности пускового моментов:
,
Синхронная частота
,
Номинальное скольжение электродвигателя
,
Параметр q может быть определен по соотношению
Механическая характеристика электродвигателя Мд (ω) рассчитывается по формуле Клосса:
где s - текущее скольжение;
Время разбега и торможения системы под нагрузкой и на
холостом ходу может быть определено на основе уравнения движения электропривода
где Мизб - избыточный момент системы, Нм.
Рисунок 5. Механическая характеристика двигателя Мд
(ω) и механическая характеристика момента сопротивления Мс
(ω).
Время полного разбега и время торможения возьмем из пункта 2
При повторно-кратковременном режиме электродвигатель сильно
нагревается из-за повышенных потерь в период пуска.
Чтобы это предотвратить, необходимо выполнить условие
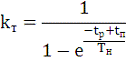
где h - число включений электродвигателя в час;доп
- допустимое число включений электродвигателя в час.
Число включений электродвигателя в час, h определяется по
формуле
где tp и t0 - соответственно
продолжительность работы и паузы, мин.
Допустимое число включений электродвигателя в час, исходя из
условий допустимого нагревания, рассчитывается по формуле
где
ΔРн - номинальные
электрические потери мощности электродвигателя, Вт; Ан - потери
энергии при пуске электродвигателя, Дж. βо - коэффициент ухудшения теплоотдачи, принимаем для
самовентилируемых двигателей 0.55.
Номинальные электрические потери мощности электродвигателя
где α - коэффициент, равный
отношению постоянных потерь мощности электродвигателя к переменным (α = 0,5 - 0,6);
ηн - КПД двигателя при
номинальной нагрузке, примем 0.83.
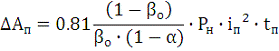
Потери энергии при пуске электродвигателя ΔАп
где iп - кратность пускового тока
электродвигателя, для асинхронного двигателя с фазным ротором принимаем равным
2.
Вывод: по результатам расчета число допустимых включений в
час равно фактическому числу включений в час, следовательно электродвигатели не
будут перегреваться.
7. Проверка
выбранного электродвигателя по тепловому режиму при работе и при пуске
При повторно-кратковременном режиме работы мощность
выбранного двигателя по условиям нагревания проверяется по соотношению
где Рр - расчетная мощность электродвигателя,
определяется по формуле
Среднеэквивалентная мощность нагрузки
э - среднеэквивалентный момент, значение взято из
пункта 3 для одного двигателя.
При расчете коэффициента тепловой перегрузки учитывается и
время пуска, т.е.
п, tp - продолжительность пуска
электродвигателя, работы и паузы с;
Постоянная времени Тн рассчитывается по формуле
где m - масса выбранного электродвигателя, MTF 412-8 - 345 кг;
nн -
номинальное превышение температуры обмотки статора электродвигателя. Для класса
изоляции F - vн=100
.
Вывод: выбранный электродвигатель удовлетворяет условиям теплового
режима при работе и при пуске.
8. Расчет
активной, реактивной мощности и cosφ, потребляемые из сети двигателями
Коэффициент загрузки двигателя определяется по формуле
Максимальная активная мощность
Максимальная полная мощность
,
Максимальная реактивная мощность
Коэффициент полезного действия ηз рассчитывается по
формуле
где fa - коэффициент формы кривой КПД.
,
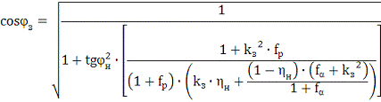
Коэффициент мощности cosφз рассчитывается по формуле
где fp - коэффициент формы кривой cosφ
mk - максимального момента mk=2.1
Вывод: коэффициент мощности имеет высокое значение (cosφз=0.9) это объясняется тем что двигатели работают с высоким
коэффициентом загрузки (0.924), поэтому потребляют из сети очень малое
количество реактивной энергии.
9. Описание
принципиальной схемы управления электропривода
Электрическая схема управления электроприводом составлена на
основе типовой релейной схемы. Пуск электродвигателей осуществляется магнитными
пускателями КМ1 и КМ2 в прямом направлении и в обратном соответственно. Выбор
направления движения электропривода осуществляется командоаппаратом SA ("Вперед" или
"Назад"). При переключении командоаппарата в нулевое положение, из
какого-либо другого, осуществляется торможение электропривода: посредством
магнитного пускателя КМ3 подается постоянное напряжение, от диодного моста V 1, на две обмотки
статоров электродвигателей, время подачи напряжения определяется задержкой
срабатывания реле времени КТ, после его срабатывании КМ3 теряет питание и
привод готов к новому пуску. При переключении положения командоаппарата в
положения 1, 2 и 3 на систему управления тиристоров поступает сигнал от
сопротивлений R2,
R3, R4 и R5, в зависимости от его
величины, СУ коммутирует тиристоры VS1, VS2, VS3 и VS4 с различной скважностью. В положении 1
скважность равна нулю, то есть добавочный резистор полностью введен в цепь
ротора электродвигателя, а положении 3 - единице, что соответствует замкнутому
состоянию электронного ключа. Добавочные резисторы в цепь ротора включаются
через мостовые трехфазные неуправляемые выпрямители.
Защиту схему управления от токов короткого замыкания
осуществляют плавкие предохранители FA1 и FA2.
QF - выполняет защиту силовой части от короткого
замыкания, от токов перегрузок тепловые реле КК1. КК8.
QS1, QS2 - концевые выключатели, необходимы для того,
чтобы кран не выехал за пределы цеха.
10. Выбор
аппаратуры управления и защиты
Для электрической принципиальной схемы управления механизма
передвижения моста выбрать автоматические выключатели и магнитные пускатели.
Номинальный и пусковой токи электродвигателей определяются по
формулам:
где iп - кратность пускового тока, примем iп=2
Автоматические выключатели выбираются из условий, принимаются
автоматические выключатели типа ВА51-35. Коэффициент надёжности настройки
отсечки от пускового тока электродвигателя kн=2,1.:
р=Iн=179 А.max=Iп=358
А.нImax=2,1×358=751.8 А.
ВА51-35: Iн=250 А, Iн расц=200 А, Iсо=12
Iн расц=12×200=2400 А.
Принимается автоматический выключатель ВА51-35 (внешний вид
показан на рисунке ниже)
Проверка условий выбора

Принимается автоматический выключатель ВА51-35
Пускатели магнитные выбираются серии ПМ.
КМ1, КМ2:
ПМ12-800 100 380 В 2NC+4NO (внешний вид показан на
рисунке ниже)
РТТ-4
Вывод: для защиты силовой цепи выбран автомат типа ВА51-35,
для управления электродвигателями магнитные пускатели типа ПМ12-800 100 380 В
2NC+4NO
11. Расчет
показателей надежности электропривода
Электропривод относится к восстанавливаемым объектам и
поэтому основными показателями надежности являются: вероятность безотказной
работы на определенное время работы, интенсивность отказов, коэффициент
готовности.
Вероятность безотказной работы на 10000 часов наработки
определяется по формуле:

где λсх - интенсивность потока
отказов схемы;- время работы, ч.
здесь λi - интенсивность потока
отказа i - го элемента схемы;- число элементов схемы.
Таблица 3. Перечень элементов схемы и интенсивности отказа.
|
Вид электрооборудования
|
λ, 10-6, 1/ч
|
Кол-
|
|
Среднее значение
|
во
|
|
Держатели плавких предохранителей
|
0,020
|
2
|
|
Плавкие предохранители
|
0,500
|
2
|
|
Диоды кремниевые
|
0, 200
|
12
|
|
Реле с задержкой времени
|
0,390
|
3
|
|
Реле тепловые
|
0,400
|
4
|
|
Сопротивления большой мощности
|
0,028
|
2
|
|
Прецизионные
|
0,004
|
1
|
|
Выключатели пакетные
|
0,175
|
1
|
|
Выключатели конечные
|
0,161
|
2
|
|
Пускатели магнитные
|
6,0
|
2
|
|
Тиристоры свыше 10 А
|
0,2
|
4
|
|
Электродвигатели
|
4,8
|
2
|
Коэффициент готовности схемы и коэффициент готовности
двигателя определяется по формулам
,
,
где То дв, То сх - средняя наработка на
отказ соответственно схемы управления и электродвигателя;
Тв дв, Тв сх - среднее время
восстановления соответственно схемы управления и электродвигателя, Тв дв
принимают от 6 до 8 часов.
где Тв i - среднее время
восстановления i-го элемента схемы, ч.
Показатели надежности электропривода в целом определяются с
учетом того, что выход любого элемента приводит к отказу всей системы.
Вероятность безотказной работы электропривода определяется по формуле
где Рэл дв - вероятность безотказной работы
электродвигателя для 10000 часов работы составляет 0.98.
Коэффициент готовности электропривода:
Интенсивность отказов электропривода можно рассчитывается по
формуле:
Вывод: по результатам расчета вероятность отказа
электропривода для 10000 часов работы составила 0.74.
Заключение
В курсовом проекте я произвел расчет нагрузок электропривода
и построил нагрузочные диаграммы электродвигателя (рисунок 3). По результатам
расчета нагрузок я выбрал мощность, тип и количество электродвигателей: 22 кВт
типа MTF 412-8, 4 штуки. Выбранные электродвигатели я проверил по
перегрузочной способности и по тепловому режиму, а так же рассчитал активную и
реактивную мощности потребляемую электродвигателями из сети и значение
коэффициент мощности, которые равен 0.9. Для построения механических
характеристик электродвигателя и момента сопротивления я рассчитал приведенный
момент сопротивления к валу электродвигателя, определил фактическое и
допустимое число пусков в час - 17 включений в час.
Я составил принципиальную схему управления электроприводом,
для которой произвел выбор аппаратуры управления (автоматического выключателя,
магнитных пускателей и тепловых реле). Для выбранной схемы управления я
произвел расчет показателей надежности электропривода, при этом вероятность
отказа схемы электропривода при 10000 часов работы составила 0.74.
Список
используемых источников
1. Методические
указания к курсовой работе по курсу "Электрический привод",
Полуянович Н.К. 2012.
. Бекетова
И.О. Электрические и электронные аппараты: Учебное пособие. Часть II. - Таганрог: Изд-во ТТИ ЮФУ, 2010. -
с.173
. Москаленко
В.В. Электрический привод. - М.: Высш. шк., 2011. - 430 с.
. Беляев
А.В. Выбор аппаратуры, защит и кабелей в сетях 0,4 кВ. - Л.: Энергоатомиздат,
2008. - 176 с.
6. <http://forca.ru>:
аппаратуры управления
. <http://www.kranovoy.ru>:
электродвигатель
. Журнал
"Электрика" №11, за 2011г. Издательство "Науку и
Технологии"