Расчет дымовой трубы
1. Определяем объемный расход дымовых газов
при условии выхода.
, [м];
где А - коэффициент, зависящий от
температурной стратификации атмосферы для неблагоприятных метеорологических
условий. Определяет условия вертикального и горизонтального рассеивания вредных
веществ в атмосферном воздухе, с2/3×мг/К1/3;
М - суммарное количество вредного
вещества, выбрасываемого в атмосферу, г/с;
F -
безразмерный коэффициент, учитывающий скорость оседания вредных веществ в
атмосферном воздухе;
m и n -
безразмерные коэфф ициенты, учитывающие условия выхода газовоздушной смеси из
устья источника выброса.
При нормальных условиях.
При условиях выхода.

В - максимальный часовой расход топлива, кг/ч.
2. Расчет выбросов окислов серы.

3.
Расчет выбросов окислов азота.
β = 0;
4. Расчет выбросов золы.
х=0,002;
5. Задачу по определению высоты трубы
решаем графическим методом.
Задаемся рекомендуемой скоростью на выходе из
трубы. Оптимальная скорость газа на выходе при естественной тяги 15…20 м/с.
Зная скорость дымовых газов и их объемный расход
определяем диаметр устья дымовой трубы.
, [м3/с];
- площадь поперечного канала;
- оптимальная скорость газа
(принимаем 15 м/с)
Стандартные кирпичные и ж/б трубы
имеют диаметр D0=1,2; 1,5; 1,8; 2,1 м.
Выбираем трубу D0=1,2 м.

6. Задаем высоту трубы для выбросов золы.
НЗ = 60м.
ΔТ= Тух - Тв = (273+210) - (
273-15) = 225 ºС
∆T - разность
между температурой выбрасываемых газов и средней температурой воздуха Тв, °С;
V1 - объемный
расход выбрасываемых уходящих газов, м3/с;
h -
геометрическая высота трубы, м;
А=160;F=2,5мn=1Ζ=1.
НЗ = 30м.
НЗ = 10 м.
Задаем высоту трубы для выбросов
окислов серы и азота.
Н = 60 м.



z - число
дымовых труб одинаковой высоты.
А=160; F=1мn=1Ζ=1.
Н = 30м.
Н=10м.

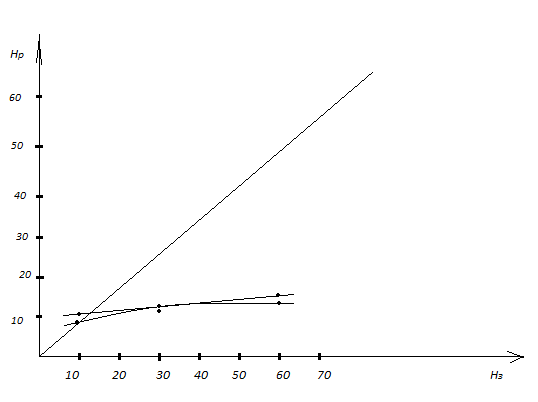
Рисунок 1.
Исходя из графика (рис. 1) по среднему Нр= 10,6
м.
Выбираем трубу высотой Н =10 м.
7. Определяем количество и концентрацию
золы, диоксита серы и диоксита азота.
8. Проверяем выполнения условия:
,796<1, т.е. условие выполнено.
9. Находим расстояние по оси факела, на
котором концентрация вредных веществ у земной коры поверхности будет
максимальной.
Максимальная концентрация вредных веществ у
земной поверхности при опасных метеорологических условиях см достигает на оси
факела выброса (по направлению среднего за рассматриваемый период времени
ветра).
газ дымовой труба азот
Список использованной литературы
1. Справочник по пыле- и
золоулавливанию/ Под общ. ред. А.А. Русакова. - 2-е изд., перераб. и доп. - М.:
Энергоатомиздат, 1983. - 312 с.
2. Теплоэнергетика и
теплотехника: Общие вопросы: Справочник/ Под общ. ред. В.А. Григорьева и В.М.
Зорина. - М.: Энергия, 1980. - 528 с.
. Юдашкин М.Я. Очистка газов
в металлургии. - М.: Металлургия. - 1976. -384 с.