Корреляционный анализ и анализ динамических рядов
Федеральное
агентство по образованию РФ
Казанский
государственный архитектурно-строительный университет
Кафедра
экономики и предпринимательства в строительстве
Курсовая
работа
По
дисциплине "Статистика"
Казань
2013
Содержание
Введение
.
Корреляционный анализ
.1
Построение рядов распределения
.2
Построение поля корреляции
.3
Построение корреляционной таблицы
.4
Расчет и построение эмпирической линии регрессии
.5
Расчет и построение теоретической линии регрессии
.
Определение показателей вариации
.1
Групповая дисперсия
.2
Средняя из групповых
.3
Межгрупповая дисперсия
.4
Общая дисперсия
.5
Среднее квадратическое отклонение
.6
Показатель вариации
.7
Анализ выполненных расчетов и вывод
.
Анализ динамических рядов
.1
Определение данных для 3-го динамического ряда по двум исходным данным
.2
Установление вида ряда динамики
.3
Определение среднего уровня динамики
.4
Определение показателей изменения уровня ряда динамики
.5
Определение среднего абсолютного прироста
.6
Определение среднегодовых темпов роста и прироста
.7
Графическое изображение показателей динамических рядов
.8
Анализ полученных показателей динамических рядов
Заключение
Список
использованных источников
Введение
Целью курсовой работы является выполнение двух
последовательно выполняемых разделов:
1. Корреляционный анализ;
2. Анализ динамических рядов.
Исходные данные для выполнения курсовой работы
|
|
1
|
2
|
3
|
4
|
5
|
6
|
7
|
8
|
9
|
10
|
11
|
|
Объем
СМР выполненный собственными силами, тыс. руб.
|
Y1
|
100
|
108
|
109
|
118
|
149
|
152
|
153
|
160
|
165
|
170
|
180
|
|
Среднегодовая
стоимость основных производственных фондов, тыс. руб.
|
X1
|
70
|
76
|
83
|
120
|
122
|
112
|
116
|
115
|
119
|
126
|
130
|
1. Корреляционный анализ
.1 Построение рядов распределения
Для корреляционного анализа зависимости
результативного признака y от факторного признака x необходима статистическая
обработка данных. Первоначально систематизация статистического материала
производится по величине изучаемого признака в порядке убывания или
возрастания, то есть необходимо произвести ранжирование рядов распределения.
При построении интервального ряда распределения
определяется величина интервала i, вычисляемая по формуле:
где Rmax и Rmin - максимальное и минимальное
значение переменной;- число интервалов.
Для выполнения корреляционных расчетов
интервальные ряды распределения необходимо представить в дискретной форме.
В связи с этим вместо размерности интервалов
принимаются их центральные значения, которые как средние арифметические
величины начала и конца интервалов.
Построим интервальные ряды распределения по
накладным расходам и численности рабочих. Задаемся числом интервалов n = 10
Начальная граница первого интервального ряда
равна
Для объемов смр
нижняя граница 1 интервала:
- 4 = 96 тыс. руб.
верхняя граница 1 интервала:
+ 8 = 104 тыс. руб.
Для среднегодовой стоим
нижняя граница 1 интервала:
- 3 = 67 тыс. руб.
верхняя граница 1 интервала:
67 + 6 = 73 тыс. руб.
Интервальный ряд по функциональному признаку
(объем смр):
- 104 ; 104 - 112 ; 112 - 120 ; 120 - 128 ; 128
- 136 ; 136 - 144; 144 - 152; 152 - 160; 160 - 168; 168 - 176; 176 - 184.
Интервальный ряд по факторному признаку
(среднегодовая стоимость основных произ. фондов):
- 73; 73 - 79; 79 - 85; 85 - 91; 91 - 97; 97 -
103; 103 - 109; 109 - 115; 115 - 121; 121 - 127; 127 - 133.
Дискретный ряд распределения по объемам смр:
|
Центральные
значения интервалов
|
Величина
интервалов
|
Абсолютные
частоты
|
Относительные
частоты
|
Плотность
распределения
|
|
100
|
i
=8
|
1
|
9,09
|
1,14
|
|
108
|
|
2
|
18,18
|
2,27
|
|
116
|
|
1
|
9,09
|
1,24
|
|
124
|
|
0
|
0
|
0
|
|
132
|
|
0
|
0
|
0
|
|
140
|
|
0
|
0
|
0
|
|
148
|
|
2
|
18,18
|
2,27
|
|
156
|
|
2
|
18,18
|
2,27
|
|
164
|
|
1
|
9,09
|
1,14
|
|
172
|
|
1
|
9,09
|
1,14
|
|
180
|
|
1
|
9,09
|
1,14
|
|
Итого
n = 11
|
100
%
|
|
Плотность распределения определяется по формуле:
Дискретный ряд распределения по среднегодовой
стоимости:
|
Центральные
значения интервалов
|
Величина
интервалов
|
Абсолютные
частоты
|
Относительные
частоты
|
Плотность
распределения
|
|
70
|
i
= 6
|
1
|
9,09
|
1,52
|
|
76
|
|
1
|
9,09
|
1,52
|
|
82
|
|
1
|
9,09
|
1,52
|
|
88
|
|
0
|
0
|
0
|
|
94
|
|
0
|
0
|
0
|
|
100
|
|
0
|
0
|
0
|
|
106
|
|
0
|
0
|
0
|
|
112
|
|
2
|
18,18
|
3,03
|
|
118
|
|
3
|
27,27
|
4,55
|
|
124
|
|
2
|
18,18
|
3,03
|
|
130
|
|
1
|
9,09
|
1,52
|
|
Итого
n = 11
|
100
%
|
|
.2 Построение поля корреляции
Первой основной задачей, которую решает теория
корреляции, является задача измерения связи. Систематизация статистического
материала по двум качественным признакам производится графическим путем
построения поля корреляции. Итоговая сумма частот по горизонтальным линиям поля
корреляции должна соответствовать абсолютным частотам дискретного ряда
распределения функционального признака, а итоговая сумма частот по вертикальным
линиям поля корреляции - абсолютным частотам дискретного ряда распределения
факторного признака. Общая сумма абсолютных частот (точек) по всем вертикальным
линиям поля корреляции и соответствовать числу единиц статистической
совокупности, принятой для исследования.
.3 Построение корреляционной таблицы
Для построения корреляционной таблицы на поле
корреляции накладывается координатная сетка, соответствующая интервальным рядам
распределения по факториальному и функциональному признакам. Затем подсчитываем
число точек (частот) в каждой клетке координатной сетки. Результаты подсчетов
по горизонтали и вертикали записываются в таблицу "Корреляционная таблица
для зависимости у от х".
Корреляционная таблица для зависимости у от х
|
Объемы
СМР, тыс. руб.
|
х
у
|
Среднегодовая
стоимость основных фондов тыс. руб.
|
|
|
67-73
|
73-
79
|
79-85
|
85-91
|
91-97
|
97-103
|
103-
109
|
109-
115
|
115-
121
|
121-127
|
127-
133
|
Итого
|
|
96-
104
|
1
|
|
|
|
|
|
|
|
|
|
|
1
|
|
104-
112
|
|
1
|
|
|
|
|
|
|
|
|
|
1
|
|
112-
120
|
|
|
1
|
|
|
|
|
|
|
|
|
1
|
|
120-
128
|
|
|
|
|
|
|
|
|
|
|
|
0
|
|
128-
136
|
|
|
|
|
|
|
|
|
|
|
|
0
|
|
136-
144
|
|
|
|
|
|
|
|
|
|
|
|
0
|
|
144-
152
|
|
|
|
|
|
|
|
|
|
|
|
0
|
|
152-
160
|
|
|
|
|
|
|
1
|
1
|
|
|
|
2
|
|
160-
168
|
|
1
|
|
|
|
|
1
|
|
1
|
|
|
3
|
|
168-176
|
|
|
|
|
|
|
|
1
|
|
1
|
|
2
|
|
176-
184
|
|
|
|
|
|
|
|
|
|
|
1
|
1
|
|
Итого
|
1
|
2
|
1
|
0
|
0
|
0
|
2
|
2
|
1
|
1
|
1
|
11
|
Результаты расчетов, выполненные в вышеуказанной
таблице, позволяют сделать вывод о том, что при переходе слева направо в
сторону больших значений факторного признака х соответствующие ряды
распределения функционального признака у смещаются сверху вниз, т.е. в сторону
меньших значений функций. Следовательно, объем смр находятся в корреляционной
зависимости от среднегодовой стоимости производственных фондов.
.4 Расчет и построение эмпирической линии
регрессии
После установления наличия корреляционной
зависимости между функциональным и факторным признаками, приступаем к
следующему этапу статистического моделирования - к исследованию формы связи.
Под формой корреляционной связи понимают тип
аналитической формулы, выражающей зависимость между изучаемыми величинами.
Необходимо установить, какие изменяются средние
значения y в связи с изменением x.
Рассчитываем средние величины для каждого ряда
распределения по формуле средней взвешенной арифметической величины:
где y - средневзвешенное значение функции;
у - центральные значения интервалов по функции;-
абсолютные частоты вариантов у.
Для сокращения вычислений при определении
средней арифметической можно использовать метод отсчета от условного нуля.
при этом
где y' - упрощенные варианты у;
у - фактические варианты у;
сy - новое начало отсчета по оси у (условный
нуль);- интервал группировки по у.
Новое начало отсчета выбираем таким образом,
чтобы число наблюдений распределялось примерно поровну между положительным и
отрицательным направлениями оси ординат. Условный нуль су = 132 тыс. руб., iy =
8.
Расчет эмпирической линии регрессии для
зависимости у от х
|
Объем
СМР, тыс. руб.
|
у'
|
х
у
|
Среднегодовая
стоимость основных фондов тыс. руб.
|
Итого
|
|
|
|
70
|
76
|
82
|
88
|
94
|
100
|
106
|
112
|
118
|
124
|
130
|
|
|
6
|
180
|
16
|
|
|
|
|
|
|
|
|
|
|
1
|
|
5
|
172
|
|
15
|
|
|
|
|
|
|
|
|
|
1
|
|
4
|
164
|
|
|
14
|
|
|
|
|
|
|
|
|
1
|
|
3
|
156
|
|
|
|
|
|
|
|
|
|
|
|
0
|
|
2
|
148
|
|
|
|
|
|
|
|
|
|
|
|
0
|
|
1
|
140
|
|
|
|
|
|
|
|
|
|
|
|
0
|
|
0
|
132
|
|
|
|
|
|
|
|
|
|
|
|
0
|
|
-
1
|
124
|
|
|
|
|
|
|
1-1
|
1-1
|
|
|
|
2
|
|
-
2
|
116
|
|
1-2
|
|
|
|
|
1-2
|
|
1-2
|
|
|
3
|
|
-
3
|
108
|
|
|
|
|
|
|
|
1-3
|
|
2
|
|
-
4
|
100
|
|
|
|
|
|
|
|
|
|
1-4
|
1-4
|
1
|
|
№
строки
|
1
|
Итого
hi
|
1
|
2
|
1
|
0
|
0
|
0
|
2
|
2
|
1
|
1
|
1
|
n
= 11
|
|
2
|
Σ
miy'i
|
6
|
3
|
4
|
0
|
0
|
0
|
-3
|
-4
|
-2
|
-7
|
-4
|
Σy’ = -7
|
|
3
|
y'
|
6
|
1,5
|
2
|
0
|
0
|
0
|
-1,5
|
-2
|
-2
|
-7
|
-4
|
|
|
4
|
y
|
180
|
144
|
148
|
132
|
132
|
132
|
120
|
116
|
116
|
76
|
100
|
|
.5 Расчет и построение теоретической линии
регрессии
Теоретическая линия регрессии представляет собой
такую математически правильную кривую (любую прямую) линию, которая проходит
наиболее близко к точкам эмпирической линии регрессии, выражает общую
закономерность средних изменений признака в связи со средними изменениями
фактора.
В данном случае характер размещения точек на
корреляционном поле делает весьма вероятной гипотезу о линейной связи у от х у
= а0 + а1х
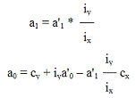
Параметры искомой прямой (а0, а1) нахожу из
системы уравнений по способу наименьших квадратов:
Исходную информацию для решения данной системы
получаем из таблицы "Расчет теоретической линии регрессии для зависимости
у от х", которая основана на результатах таблицы "Расчет эмпирической
линии регрессии для зависимости у от х".
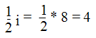
Для получения упрощенных вариантов по факторному
признаку используется метод отсчета от условного нуля. В данном примере сх =
112 чел., iх = 6.
Расчет теоретической линии регрессии для
зависимости у от х
|
Объем
СМР, тыс. руб.
|
Среднегодовая
стоимость основных фондов тыс.руб.
|
№
столбца
|
|
y'
|
x'2
|
25
|
16
|
9
|
4
|
1
|
0
|
1
|
4
|
9
|
16
|
25
|
1
|
2
|
3
|
4
|
|
|
x'
|
-5
|
-4
|
-3
|
-2
|
-1
|
0
|
1
|
2
|
3
|
4
|
5
|
li
|
liy'
|
y'2
|
liy'2
|
|
|
x
y
|
70
|
76
|
83
|
120
|
122
|
112
|
116
|
115
|
119
|
126
|
130
|
|
|
|
|
|
6
|
180
|
1
|
|
|
|
|
|
|
|
|
|
|
1
|
6
|
36
|
36
|
|
5
|
172
|
|
1
|
|
|
|
|
|
|
|
|
|
1
|
5
|
25
|
25
|
|
4
|
164
|
|
|
|
|
|
|
|
|
|
|
|
0
|
0
|
16
|
0
|
|
3
|
156
|
|
|
|
1
|
|
|
|
|
|
|
|
1
|
3
|
9
|
9
|
|
2
|
148
|
|
|
|
|
|
|
|
|
|
|
|
0
|
0
|
4
|
0
|
|
1
|
140
|
|
|
|
|
|
|
|
|
|
|
|
0
|
0
|
1
|
1
|
|
0
|
132
|
|
|
|
|
|
|
|
|
|
|
|
0
|
0
|
0
|
0
|
|
-
1
|
124
|
|
|
|
|
|
|
|
1
|
|
|
|
1
|
-1
|
1
|
1
|
|
-
2
|
116
|
|
|
|
|
|
|
|
1
|
1
|
|
|
2
|
-4
|
4
|
8
|
|
-
3
|
108
|
|
|
1
|
|
|
|
|
1
|
|
1
|
|
3
|
-9
|
9
|
27
|
|
-
4
|
100
|
|
|
|
|
|
|
|
|
|
1
|
1
|
2
|
-8
|
16
|
32
|
|
1
|
Итого
hi
|
1
|
1
|
1
|
1
|
0
|
0
|
0
|
3
|
1
|
2
|
1
|
n
= 11
|
Σy' = -8
|
-
|
Σy'2 = 139
|
|
2
|
Σ
hix'
|
-5
|
-4
|
-3
|
-2
|
0
|
0
|
0
|
6
|
3
|
8
|
5
|
Σ x' = 8
|
|
3
|
Σ
hix'2
|
25
|
16
|
9
|
4
|
0
|
0
|
0
|
12
|
9
|
32
|
25
|
Σ x'2 = 132
|
|
4
|
Σ
miy'i
|
6
|
5
|
-3
|
3
|
0
|
0
|
0
|
-6
|
-2
|
-7
|
-4
|
Σy' = -8
|
|
5
|
Σ
miy'iх'i
|
-30
|
-20
|
9
|
-6
|
0
|
0
|
0
|
-12
|
-6
|
-28
|
-20
|
Σy'х' =
-113
|
Результаты расчетов приведены в таблице
"Расчет теоретической линии регрессии для зависимости у от х".
В систему уравнений подставляем результаты,
полученные в таблице "Расчет теоретической линии регрессии для зависимости
у от х":
В качестве метода решения данной системы
принимаем метод Гаусса, который позволяет находить решения последовательно,
исключая неизвестные. Для этого 1-ое уравнение системы делим на -8, а 2-ое
уравнение - на 132.
Сложим уравнения полученной системы:
,314а'0 = 0,144
Откуда:
а'0 = -0,109
Затем подставляем в уравнение а'0 и находим
величину а'1:
,375 * (-0,109) - а'1 = 1
а'1 = -0,850
Параметры а'0 и а'1 необходимо преобразовать
исходя из фактических значений х и у.
Формулы перевода из упрощенных в реальные
координаты:
где iy - интервал группировки по функции;-
интервал группировки по аргументу;- новое начало отсчета по функции;- новое начало
отсчета по аргументу.
Находим:
а0 = 258,125; а1 = -1,288
Уравнение теоретической линии регрессии в
реальных коэффициентах имеет вид:
у = 258,125 - 1,288х.
В уравнении регрессии первое слагаемое носит
название свободного члена, второе слагаемое называется коэффициентом регрессии.
Он показывает, на сколько натуральных единиц изменяется в среднем
результативный признак при изменении факторного признака на единицу.
Вывод: из уравнения теоретической линии
регрессии видно, что объем СМР понижается на 1,288% при увеличении численности
на 1%.
Объем СМР, не зависящий от рассматриваемых
факторов, равен 1433,7 тыс. руб.
Для графического изображения линии регрессии,
рассчитанной по линейной гипотезе, достаточно определить две точки, через
которые можно провести прямую.
В данной курсовой проводим на поле корреляции
прямую линию.
Графическое изображение теоретической линии
регрессии в виде уравнения прямой еще раз подтверждает наличие корреляционной
связи между изучаемыми признаками
2. Определение показателей вариации
Если всю изучаемую совокупность
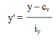
разделить на группы, то можно рассчитать следующие виды дисперсий:
- групповую дисперсию;
- среднюю из групповых дисперсий;
- межгрупповую дисперсию;
- общую дисперсию по
правилу сложения дисперсий.
Рассмотрим на примере влияния
численности работников на накладные расходы выше перечисленные виды дисперсий.
По данным первого задания работы выделим три группы по результативному признаку
- объем смр (тыс. руб.) и вычислим следующее:
.1 Групповая дисперсия
Группировочным или факторным
признаком является среднегодовая стоимость основных средств (тыс. руб.), т.е.
мы разбиваем изучаемую совокупность на три группы:
1)
Среднегодовая
стоимость от 70 до 95 тыс. руб.
2)
Среднегодовая
стоимость от 95 до 120 тыс. руб.
3)
Среднегодовая
стоимость от 120 и более тыс. руб.
Объемы смр является
результативным признаком (у), который зависит от изменения среднегодовой
стоимости.
|
№
|
Среднегодовая
стоимость от 70 до 95 тыс.руб.
|
№
|
Среднегодовая
стоимость от 95 до 120 тыс.руб
|
№
|
Среднегодовая
стоимость от 120 и более тыс.руб
|
|
Объем
смр
|
yi
- y
|
(yi
- y)2
|
|
Объем
смр
|
yi
- y
|
(yi
- y)2
|
|
Объем
смр
|
yi
- y
|
(yi
- y)2
|
|
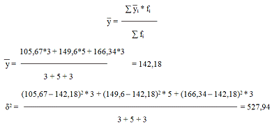
1
|
100
|
-5,67
|
32,15
|
1
|
118
|
-31,6
|
998,56
|
1
|
149
|
-17,34
|
300,68
|
|
2
|
108
|
2,33
|
5,43
|
2
|
152
|
2,4
|
2,76
|
2
|
170
|
3,66
|
13,4
|
|
3
|
109
|
3,33
|
11,09
|
153
|
3,4
|
11,56
|
3
|
180
|
13,66
|
186,6
|
|
4
|
|
|
|
|
160
|
10,4
|
108,16
|
|
|
|
|
|
5
|
|
|
|
|
165
|
15,4
|
237,16
|
|
|
|
|
|
∑
|
317
|
|
48,66
|
∑
|
748
|
|
1361,2
|
∑
|
499
|
|
500,68
|
|
у
|
105,67
|
|
|
у
|
149,6
|
|
|
у
|
166,34
|
|
|
|
σ2
|
|
|
16,22
|
σ2
|
|
|
272,24
|
σ2
|
|
|
166,89
|
По третьей группе разброс
меньше (отклонение от средней величины 329,68 тыс. руб.)
.2 Средняя из групповых
Характеризует случайную
вариацию, возникшую под влиянием других, неучтенных факторов, и не зависит от
условия (факторного признака - численность работников), положенного в основу
группировки.
Определим среднюю из групповых
дисперсий, которая показывает вариацию накладных расходов, вызванную всеми
различными факторами, кроме накладных расходов, но в среднем по всей
совокупности по формуле средней арифметической взвешенной:
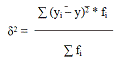
2.3 Межгрупповая дисперсия
Отражает вариацию изучаемого
признака, которая возникает под влиянием признака, положенного в основу
группировки (факторный признак - численность работников).
Определим межгрупповую
дисперсию, которая характеризует вариацию групповых средних величин,
обусловленную различиями групп по численности работников.
где у - средняя по всей
изучаемой совокупности
.4 Общая дисперсия
Указанные выше дисперсии
взаимосвязаны между собой следующим равенством: величина общей дисперсии равна
сумме средней внутригрупповой дисперсии и межгрупповой дисперсии.
Это тождество отражает правило
сложения дисперсий. Опираясь на это правило, можно определить, какая доля общей
дисперсии складывается под влиянием признака, положенного в основу группировки.
Определим общую дисперсию:
σ2 = σ2 + δ2
σ2 = 173,69 + 527,94
= 701,63
2.5 Среднее квадратическое отклонение
Среднее квадратическое
отклонение является мерилом надежности средней величины. Среднее квадратическое
отклонение определяется по формуле:
2.6 Показатель вариации
Для оценки однородности
совокупности используется коэффициент вариации по факторным признакам
Если коэффициент вариации не
превышает 33%, совокупность считается однородной, а средняя величина типичной и
приемлемой для прогнозных оценок. В противном случае в изучаемой совокупности
большая колеблемость признака.
В данной курсовой Кv < 33, следовательно,
совокупность однородная.
2.7 Анализ выполненных расчетов
и вывод
Для определения показателей вариации были
выбраны три группы по результативному признаку и вычислены показатели вариации.
Показателями вариации являются: групповая дисперсия, средняя из групповых,
межгрупповая дисперсия и общая дисперсия.
Наименьшее изменение накладных расходов вызывает
первая группа.
Средняя из групповых показывает, что изменение
объема смр, в среднем, по всем трем группам составляет 173,69 тыс. руб. Влияние
группировочного признака здесь также не учитывается.
Общая дисперсия говорит о том, что среднегодовая
стоимость основных фондов (группировочный признак) оказывает сильное влияние на
объем смр, так как доля межгрупповой дисперсии больше в общей дисперсии, чем
средней из групповой.
Изучаемая совокупность считается однородной, так
как коэффициент вариации меньше 33% и составляет 18,63%.
3. Анализ динамических рядов
.1 Определение данных для 3-го динамического
ряда по двум исходным данным
Исходные данные:
|
Годы
|
Фонд
зарплаты, тыс. руб.
|
Среднесписочная
численность работников, чел
|
Средняя
заработная плата, тыс. руб.
|
|
1
|
2
|
3
|
|
1991
|
140
|
101
|
1,39
|
|
1992
|
150
|
85
|
1,77
|
|
1993
|
160
|
39
|
4,1
|
|
1994
|
161
|
140
|
1,15
|
|
1995
|
178
|
141
|
1,26
|
|
1996
|
237
|
142
|
1,67
|
|
1997
|
244
|
142
|
1,72
|
|
1998
|
294
|
143
|
2,06
|
.2 Установление вида ряда динамики
Динамикой в статистике называют изменения
явления во времени. Для отображения динамики строят ряды динамики, которые
представляют собой ряды изменяющихся во времени значений статистического
показателя, расположенных в хронологическом порядке.
Ряд динамики состоит из двух элементов: момента
или периода времени, к которым относятся данные, и статистических показателей.
Оба элемента вместе образуют члены ряда.
Существуют различные виды рядов динамики. В
зависимости от способа выражения уровней ряда динамики они подразделяются на
ряды абсолютных величин, относительных величин и средних величин.
По длительности времени, к которым относятся
уровни ряда, ряды динамики делятся на моментные и интервальные. В моментных
рядах каждый уровень характеризует явления на момент времени, а в интервальных
рядах динамики каждый уровень ряда характеризует явление за период времени.
Также ряды динамики могут быть с равными и
неравными интервалами. В данной курсовой работе представлены интервальные ряды
с равными промежуточными интервалами в 1 год.
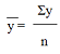
.3 Определение среднего уровня динамики
Средний уровень ряда динамики вычисляется по
формуле:
где у - абсолютный уровень ряда;- число уровней.
.4 Определение показателей изменения уровня ряда
динамики
Базисный абсолютный прирост вычисляется как
разность между сравниваемым yi и базисным уровнем y0
Dубi = yi - y0
Цепной абсолютный прирост определяется разностью
между сравниваемым уровнем yi и уровнем, который ему предшествует yi-1
Dyцi = yi - yi - 1
Темп роста характеризуется отношением 2-х
уровней и выражается в %.
Базисный темп роста определяется делением
сравниваемого уровня yi на уровень, принятый за базу сравнения y0
Трбi = (yi / yi0) * 100%
Цепной темп роста определяется делением
сравниваемого уровня yi на предшествующий уровень yi-1
Трцi = (yi / yi0) * 100%
Темп прироста характеризует абсолютный прирост в
относительных величинах, и показывает на сколько % изменился сравниваемый
уровень с уровнем, принятым за базу сравнения.
Базисный темп прироста определяется делением
базисного абсолютного прироста на уровень, принятый за базу сравнения:
Тпрбi = (Dyбi / y0) * 100%
Цепной темп прироста вычисляется отношением
цепного абсолютного прироста, предшествующий уровню yi-1
Тпрцi = (Dyцi / yi - 1) *
100%
Абсолютное значение одного % прироста
определяется отношением абсолютного прироста к темпу прироста. Данный
показатель определяется на цепной основе и показывает, какая абсолютная
величина скрывается за относительной. 1% прироста измеряется в тех же единицах
измерения, что и уровень динамического ряда.
Фонд зарплаты, тыс. руб.
|
Показатели
|
1991
|
1992
|
1993
|
1994
|
1995
|
1996
|
1997
|
1998
|
|
Объем
СМР, тыс. руб.
|
140
|
150
|
160
|
161
|
178
|
237
|
244
|
294
|
|
Абсолютный
прирост (тыс. руб.)
|
|
Базисный
Dубi = yi -
y0
|
-
|
10
|
20
|
21
|
38
|
97
|
104
|
154
|
|
Цепной
Dyцi = yi -
yi - 1
|
-
|
10
|
10
|
1
|
17
|
59
|
7
|
50
|
|
Темп
роста (тыс. руб.)
|
|
Базисный
Трбi = (yi / yi0) * 100%
|
-
|
107,14
|
114,29
|
115
|
127,14
|
169,29
|
174,29
|
210
|
|
Цепной
Трцi = (yi / yi - 1) * 100%
|
-
|
107,14
|
106,67
|
100,63
|
110,56
|
133,15
|
178,1
|
120,5
|
|
Темп
прироста (тыс. руб.)
|
|
Базисный
Тпрбi = (Dyбi / y0)
* 100%
|
-
|
7,14
|
14,29
|
15
|
27,14
|
69,29
|
74,29
|
110
|
|
Цепной
Тпрцi = (Dyцi / yi -
1) * 100%
|
-
|
7,14
|
6,67
|
0,625
|
10,56
|
33,15
|
2,95
|
20,95
|
|
Абсолютное
значение прироста А(%) = 0,01 * yi - 1
|
-
|
7,14
|
7,14
|
0,72
|
12,14
|
42,14
|
5
|
75,72
|
Среднесписочная численность работников, чел.
|
Показатели
|
1991
|
1992
|
1993
|
1994
|
1995
|
1996
|
1997
|
1998
|
|
Среднесписочная
численность работников, чел
|
101
|
85
|
39
|
140
|
141
|
142
|
142
|
143
|
|
Абсолютный
прирост (чел.)
|
|
Базисный
Dубi = yi -
y0
|
-
|
-16
|
-62
|
39
|
40
|
41
|
41
|
42
|
|
Цепной
Dyцi = yi -
yi - 1
|
-
|
-16
|
-46
|
101
|
1
|
1
|
1
|
1
|
|
Темп
роста (чел.)
|
|
Базисный
Трбi = (yi / yi0) * 100%
|
-
|
84,16
|
38,6
|
138,61
|
139,6
|
140,6
|
140,6
|
141,59
|
|
Цепной
Трцi = (yi / yi - 1) * 100%
|
-
|
89,16
|
45,88
|
358,98
|
100,72
|
100,71
|
100
|
100,71
|
|
Темп
прироста (чел.)
|
|
Базисный
Тпрбi = (Dyбi / y0)
* 100%
|
-
|
-15,84
|
-61,39
|
38,61
|
39,6
|
40,6
|
40,6
|
141,6
|
|
Цепной
Тпрцi = (Dyцi / yi -
1) * 100%
|
-
|
-15,84
|
-54,1
|
258,98
|
0,72
|
0,71
|
0,71
|
0,71
|
|
Абсолютное
значение прироста А(%) = 0,01 * yi - 1
|
-
|
-15,84
|
-45,55
|
100
|
1
|
1
|
1
|
1
|
Средняя заработная плата, тыс. руб.
|
Показатели
|
1991
|
1992
|
1993
|
1994
|
1995
|
1996
|
1997
|
1998
|
|
Средняя
заработная плата, тыс. руб.
|
1,39
|
1,77
|
4,1
|
1,15
|
1,26
|
1,67
|
1,72
|
2,06
|
|
Абсолютный
прирост (тыс. руб.)
|
|
Базисный
Dубi = yi -
y0
|
-
|
0,38
|
2,71
|
-0,24
|
-0,13
|
-0,28
|
-0,33
|
-0,67
|
|
Цепной
Dyцi = yi -
yi - 1
|
-
|
0,38
|
2,33
|
-2,95
|
0,1
|
0,41
|
0,05
|
0,34
|
|
Темп
роста (тыс. руб.)
|
|
Базисный
Трбi = (yi / yi0) * 100%
|
-
|
127,34
|
294,96
|
82,73
|
120,14
|
123,74
|
148,2
|
|
Цепной
Трцi = (yi / yi - 1) * 100%
|
-
|
127,34
|
231,64
|
28,10
|
109,6
|
132,54
|
103
|
119,77
|
|
Темп
прироста (тыс. руб.)
|
|
Базисный
Тпрбi = (Dyбi / y0)
* 100%
|
-
|
27,34
|
194,96
|
-17,27
|
-9,35
|
20,14
|
23,74
|
48,2
|
|
Цепной
Тпрцi = (Dyцi / yi -
1) * 100%
|
-
|
27,34
|
131,64
|
-71,95
|
8,7
|
32,54
|
3
|
19,77
|
|
Абсолютное
значение прироста А(%) = 0,01 * yi - 1
|
-
|
27,34
|
167,63
|
-212,23
|
7,2
|
29,5
|
3,6
|
24,46
|
.5 Определение среднего абсолютного прироста
Средний абсолютный прирост - этот обобщающая
характеристика абсолютных приростов динамических рядов. Рассчитывается только
на цепной основе
где n - число абсолютных приростов.
Для объема СМР:
Для численности работников:
Для заработной платы:
Вывод: по данным результатам вычисления можно
сказать, что в 1 и 2 динамических рядах имеется положительный прирост, а в 3 -
отрицательный.
3.6 Определение среднегодовых темпов роста и
прироста
Среднегодовые темпы роста находятся по формуле:
корреляционный вариация прирост
динамический
Средние темпы прироста определяются по формуле:
Для определения среднегодовых темпов роста
вычислим коэффициенты роста
для объема СМР:
К1992 = 150/140 = 1,07
К1993 = 160/150 = 1,07
К1994 = 161/160 = 1,01
К1995 = 178/161 = 1,11
К1996 = 237/178 = 1,33
К1997 = 244/237 = 1,03
К1998 = 294/244 = 1,21
для численности работников:
К1992 = 85/101 = 0,84
К1993 = 39/85 = 0,46
К1994 = 140/39 = 3,6
К1995 = 141/140 = 1,01
К1996 = 142/141 = 1,01
К1997 = 142/142 = 1
К1998 = 142/142 = 1,01
для заработной платы:
К1992 = 1,77/1,39 = 1,27
К1993 = 4,1/1,77 = 2,32
К1994 = 1,15/4,1 = 0,28
К1995 = 1,26/1,15 = 1,1
К1996 = 1,67/1,26 = 1,33
К1997 = 1,72/1,67 = 1,03
К1998 = 2,06/1,72 = 1,2
Отсюда, среднегодовые темпы роста и средние
темпы прироста:
для объема СМР:
Тр = 7Ö 1,07 + 1,07 + 1,01
+ 1,11 + 1,33 + 1,03 + 1,2 1,118 * 100% =111,8 %
Тпр = 111,8% - 100% = 11,8%
для себестоимости продукции:
Тр = 7Ö 0,84 + 0,46 + 3,6
+ 1,01 + 1,01 + 1 + 1,01 1,28 * 100% =127,6 %
Тпр = 127,6% - 100% = 27,6%
для заработной платы
Тр = 7Ö 1,29 + 2,32 + 0,28
+ 1,1 + 1,33 + 1,03 + 1,2 1,22 * 100% = 121,9%
Тпр =121,9 % - 100% =21,9 %
3.7 Графическое изображение показателей
динамических рядов
Базисные темпы роста по 3 динамическим рядам
Цепные темпы роста по 3 динамическим рядам
.8 Анализ полученных показателей динамических
рядов
Все три проанализированных динамических ряда
относятся к интервальным рядам, так как отображают итоги развития изучаемых явлений
за отдельные периоды времени (за год).
Между показателями базисными и цепными
коэффициентом роста есть взаимосвязь:
) произведение последовательных цепных
коэффициентов роста равно базисному коэффициенту роста последнего периода (1998
г.) ряда динамики,
) частное от деления каждого последующего
базисного коэффициента роста на предшествующий коэффициент роста равен
соответствующему коэффициенту роста.
Графическое изображение базисных темпов роста
свидетельствует о незначительном колебании средней заработанной платы период с
1992 по 1994гг. с одновременным колебанием средней численности рабочих в
противоположном направлении, при этом фонд заработанной платы на всем
протяжении временного периода практически остается неизменным.
Графическое изображение цепных темпов роста
свидетельствует о резком уменьшении средней численности рабочих за период с
1992 по 1993 гг. с одновременным увеличением средней заработанной платы
рабочих, фонд заработанной платы остается неизменным, а с 1993 по 1994гг.
увеличение средней численности рабочих с одновременным падением значения
средней заработанной платы рабочих, причем фонд заработанной платы значительно
увеличился только в период с 1996 по 1997гг.
Заключение
Данная работа состоит из трех частей.
В первой части был проведен корреляционный
анализ для того, чтобы установить зависимость результативного признака у от
факторного признак х. Для этого была произведена статистическая обработка
данных. В итоге, выявлена корреляционная зависимость между изучаемыми
признаками.
Во второй части были определены показатели
вариации. В итоге, выявлена теснота связи между изучаемыми признаками.
В третьей части проведен анализ динамических
рядов. Определены данные для 3-го динамического ряда, средний уровень ряда
динамики, показатели изменения уровня, средний абсолютный прирост,
среднегодовые темпы роста и прироста. А также изображено все это графически. В
итоге, были выявлены различные колебания в определенные периоды времени, их
изменения и влияния друг на друга.
Список использованных источников
1.
Методические указания к выполнению курсовой работы по курсу
"Статистика". Сост. Харисова Г.М. Казань: КГАСА, 2004. 23 с.
.
Практикум по общей теории статистики: учеб. пособие. - М.: Финансы и
статистика, 2003 - 336 с.