Проведение корреляционного анализа влияния минеральных удобрений на урожайность сельскохозяйственных культур
СОДЕРЖАНИЕ
ВВЕДЕНИЕ
РАЗДЕЛ 1: ТЕОРЕТИЧЕСКИЕ
МЕТОДЫ СТАТИСТИКИ
.1 Предмет и метод статистики
.2 Статистическое наблюдение
.3 Сводка и группировка
.5. Абсолютные и
относительные величины
.6 Средние величины
.7 Ряды динамики
.8 Статистические индексы
.9 Выборочный метод
.10 Корреляционный анализ
Раздел
2. Проведение корреляционного анализа
.1 Исходные данные
.2 Сводные и расчетные
таблицы
.3 Нахождение коэффициента
корреляции
Анализ
результатов
Список
литературы
ВВЕДЕНИЕ
Слово «статистика» употребляется в нескольких значениях: прежде
всего как синоним слова «данные». В этом смысле статистика входит в разделы
самых различных естественных и технических наук, поскольку они связаны со
сбором и обработкой массовых наблюдений, опытов и экспериментов.
Также статистикой называют отрасль практической деятельности,
направленной на сбор, обработку, анализ и публикацию статистических данных,
отражающих явления и процессы общественной жизни.
Иными словами, статистика - самостоятельная общественная наука.
Она изучает количественную сторону массовых общественных явлений вне разрывной
связи с их качественной стороны в конкретных условиях места и времени.
В этом определении подчеркивается несколько характерных особенностей
статистики как науки.
Первая особенность заключается в том, что она изучает общественные явления и
поэтому относится к числу общественных наук. Предметом статистического изучения
служит общество, все стороны его жизни: экономическая, социальная и т.д.
Данные статистики насыщены глубоким содержанием, имеют большой экономический и
политический смысл.
Вторая особенность заключается в том, что она изучает количественную сторону
массовых общественных явлений.
Третья особенность статистики выражается в том, что она изучает количественную
сторону общественных явлений в конкретных условиях места и времени. Численность
и состав населения, объем производства, темпы его роста и т. д. в каждой
отдельной стране различны и постоянно меняются. Поэтому статистика
характеризует те ли иные явления общественной жизни в конкретных
пространственных и временных границах - в различных странах, районах, отраслях,
в определенные периоды времени.
Статистика изучает массовые явления, совокупности фактов. Но статистикой
является не всякая совокупность. Статистической совокупностью называется
множество однородных единиц, различающихся между собой по величине
характеризующих их признаков.
Статистическим показателем называется обобщенная числовая характеристика
массовых общественных явлений и процессов в единстве с их качественной стороной
в условиях конкретного места и времени.
Важной задачей системы статистических показателей является
проверка выполнения государственных планов. Путем сопоставления обобщающих статистических
показателей выявляются тенденции в развитии общественных явлений, статистические
закономерности.
Статистика показывает, как законы общественного развития проявляются в конкретных
условиях, выявляет связи и зависимости явлений. Она помогает вскрыть новые
закономерности и разрабатывает методы сбора, обработки и анализа данных о
явлениях общественной жизни.
Метод статистики представляет собой совокупность особых
приемов статистического изучения общественных явлений. Наиболее важные составные элементы
статистической методологии следующие: метод массового наблюдения, метод группировок,
метод обобщающих показателей, метод динамических рядов, индексный метод.
Статистика сельского хозяйства является одной из отраслей экономической
статистики. Предметом статистики сельского хозяйства служат массовые
общественные явления и процессы сельскохозяйственного производства. Статистика
сельского хозяйства изучает количественную сторону этих явлений в неразрывной
связи с их качественной стороной, исследует закономерности развития и связи
этих явлений. Статистика сельского хозяйства изучает и анализирует показатели,
отражающие развитие сельского хозяйства.
Одной из важнейших задач статистики является своевременное
получение, разработка и анализ достоверных данных о развитии сельского хозяйства, выполнении планов по
сельскому хозяйству. К числу задач статистики относится также разработка
научно обоснованных данных для составления планов развития
сельскохозяйственного производства.
Первоочередными задачами являются совершенствование системы показателей,
механизация обработки статистической информации по сельскому хозяйству.
Задачи исследования:
По данным из бланков статистической отчетности (формы №9-б-сх и №29-сх-з)
установить:
1. Имеется ли связь между объемом применяемых удобрений в расчете на 1 га
и урожайностью.
2. Определить соответствующие коэффициенты корреляции.
. Сделать выводы
Исходные данные к курсовой работе: данные статистической отчетности по
хозяйствам Ростовской области
Тематика статистической отчетности:
Форма №9-б-сх «Отчет о внесении минеральных и органических удобрений под
урожай 20 года»
Форма №29-сх-з «Отчет о сборе сельскохозяйственных культур»
РАЗДЕЛ 1:
ТЕОРЕТИЧЕСКИЕ МЕТОДЫ СТАТИСТИКИ
1.1
Предмет и метод статистики
История пути и направления статистической науки
Термин "статистика" появился в середине 18 века. Означал
"государствоведение". Получил распространение в монастырях.
Постепенно приобрел собирательное значение. С одной стороны, статистика - это
совокупность числовых показателей, характеризующих общественные явления и
процессы (статистика труда, статистика транспорта).
С другой - под статистикой понимается практическая деятельность по сбору,
обработке, анализу данных по различным направлениям общественной жизни.
С третьей стороны, статистика - это итоги массового учета, опубликованные
в различных сборниках.
Наконец, в естественных науках статистикой называются методы и способы
оценки соответствия данных массового наблюдения математическим формулам.
Таким образом, статистика - это общественная наука, изучающая
количественную сторону массовых общественных явлений в неразрывной связи с их
качественной стороной.
Предмет статистики
Статистика изучает количественно определенные качества массовых
социально-экономических явлений.
Размеры и соотношения количества и качества отдельных явлений статистика
выражает при помощи определенных понятий, статистических показателей. Числовое
значение показателя, относящееся к определенному месту и времени, называют
величиной показателя.
Метод статистики
Метод статистики предполагает следующую последовательность действий:
разработка статистической гипотезы,
статистическое наблюдение,
сводка и группировка статистических данных,
анализ данных,
интерпретация данных.
Прохождение каждой стадии связано с использованием специальных методов,
объясняемых содержанием выполняемой работы.
Задачи статистики
- Разработка системы гипотез, характеризующих развитие, динамику,
состояние социально-экономических явлений.
Организация статистической деятельности.
Разработка методологии анализа.
Разработка системы показателей для управления хозяйством на макро- и микроуровне.
Популяризовать данные статистического наблюдения.
Ряды распределения
Рядами распределения называются группировки особого вида, при которых по
каждому признаку, группе признаков или классу признаков известны численность
единиц в группе либо удельный вес этой численности в общем итоге.
Ряды распределения могут быть построены или по количественному, или по
атрибутивному признаку.
Ряды распределения, построенные по количественному признаку, называются
вариационными рядами. Ряд распределения может быть построен по непрерывно
варьирующему признаку (когда признак может принимать любые значения в рамках
какого-либо интервала) и по дискретно варьирующему признаку (принимает строго
определенные целочисленные значения).
Непрерывно варьирующий признак изображается графически при помощи
гистограммы. Дискретный же ряд распределения графически представляется в виде
полигона распределения.
1.2
Статистическое наблюдение
Понятие статистического наблюдения
Статистическое наблюдение - это сбор необходимых данных по явлениям,
процессам общественной жизни. Но это не всякий сбор данных, а лишь планомерный,
научно организованный, систематический и направленный на регистрацию признаков,
характерных для исследуемых явлений и процессов. От качества данных, полученных
на первом этапе, зависят конечные результаты исследования.
Формы статистического наблюдения
Различают две основные формы статистического наблюдения - отчетность и
специально организованное наблюдение.
Отчетность - это такая форма наблюдения, при которой предприятия,
организации представляют в статистические и вышестоящие органы постоянные
сведения, характеризующие их деятельность. Отчетность предоставляется по
заранее определенной программе в строго определенные сроки и содержит важнейшие
показатели, необходимые в процессе ежедневной работы.
Специально организованное наблюдение - такое наблюдение, которое
организуется со специальной целью на определенную дату для получения данных,
которые в силу различных причин не собираются статистической отчетности, а
также с целью проверки данных статистической отчетности.
Виды статистического наблюдения
По времени регистрации фактов статистическое наблюдение может быть
непрерывным, периодическим и единовременным.
Непрерывное (текущее) наблюдение - ведется систематически (т.е. регистрация
фактов производится по мере их свершения). Пример - ЗАГС.
Периодическое наблюдение - повторяется через определенные равные промежутки
времени. Пример - перепись населения.
Единовременное наблюдение - производится по мере надобности без соблюдения
определенной периодичности. Пример - оценка и переоценка основных фондов.
По охвату единиц совокупности выделяют сплошное и несплошное наблюдение.
Сплошным называется наблюдение, при котором исследованию подвергаются все единицы
изучаемой совокупности.
Несплошным называется такое наблюдение, при котором исследованию
подвергается только часть единиц изучаемой совокупности, отобранная
определенным образом.
Виды несплошного наблюдения :
- Анкетный способ: Исследуются какие-то осредненные показатели и распространяются
на всю совокупность.
Метод основного массива: Исследуются наиболее крупные единицы изучаемого
явления.
Метод направленного долевого отбора
Выборочный метод: Его основой является случайный отбор. Результат
гарантируется с определенной вероятностью р.
Монографический метод: Подвергаются тщательному исследованию отдельные
единицы совокупности, обычно представители новых типов, либо самые лучшие
(худшие) единицы. Результаты переносятся на всю совокупность. Позволяет выявить
тенденции.
Способы статистического наблюдения
Основанием для регистрации фактов могут служить либо документы, либо
высказанное мнение, либо хронометражные данные. В связи с этим различают
наблюдение: - непосредственное (сами измеряют),
документально (из документов),
опрос (со слов кого-либо).
В статистике применяются следующие способы сбора информации:
корреспондентский (штат добровольных корреспондентов),
экспедиционный (устный, специально подготовленные работники)
анкетный (в виде анкет),
саморегистрация (заполнение формуляров самими респондентами),
явочный (браки, дети, разводы) и т.д.
Каждое наблюдение проводится с конкретной целью. При его проведении
необходимо установить, что подлежит обследованию.
Объект наблюдения - совокупность предметов, явлений, у которых должны быть
собраны сведения. При определении объекта указываются его основные
отличительные черты (признаки). Всякий объект массовых наблюдений состоит их
отдельных единиц, поэтому надо решить вопрос о том, каков тот элемент
совокупности, который послужит единицей наблюдения.
Единица наблюдения - это составной элемент объекта, который является носителем
признаков, подлежащих регистрации и основой счета.
Ценз - определенные количественные ограничения для объекта наблюдения.
Признак - это свойство, которое характеризует определенные черты и особенности,
присущие единицам изучаемой совокупности.
Программа наблюдения - это перечень признаков, подлежащих регистрации. Программа
находит отражение в формуляре наблюдения. Выделяются организационные вопросы:
перечень мероприятий, обеспечивающих правильность наблюдения, а также оргплан,
где учитываются органы наблюдения, время наблюдения, порядок приема и сдачи
материала, порядок получения информации.
Период наблюдения - время, в течение которого должна быть осуществлена
регистрация.
1.3 Сводка
и группировка
Статистическая сводка
Статистическая сводка - это операция по обработке собранных данных, которые
выражаются в виде показателей, относящихся к каждой единице объекта
статистического наблюдения. В результате сводки эти данные превращаются в
систему статистических таблиц и промежуточных итогов. По результатам сводки
можно выявить наиболее типичные черты и закономерности изучаемых явлений.
Предварительно составляется программа и план сводки.
В программе определяется подлежащее и сказуемое сводки. Подлежащее составляет
вся совокупность группы или части, на которые разбивается совокупность. Сказуемое
- это те показатели, которые характеризуют каждую группу, часть или всю
совокупность в целом.
План сводки - содержит организационные вопросы.
Статистическая группировка
Статистическая группировка - это метод исследования массовых общественных
явлений путем выделения и ограничения однородных групп, через которые
раскрываются существенные черты и особенности состояния и развития всей
совокупности.
Основные задачи, которые решаются с помощью группировок:
выделение социально-экономических типов,
изучение структуры социально-экономических явлений,
выявление связи между явлениями.
Группировочный признак - это признак, по которому происходит определение единиц в
группе. Его выбор зависит от цели группировки и существа данного явления.
Выделение числа групп: Число групп определяется с таким расчетом, чтобы в каждую
группу попало достаточно большое число единиц.
Интервалы: Интервалы могут быть равными и неравными. Последние в свою очередь
делятся на равномерно возрастающие и равномерно убывающие.
Виды группировок:
Типологические группировки - выявление социально-экономических типов или
однородных в существенном отношении групп.
Структурные группировки - изучение состава отдельных типических групп при
помощи объединения единиц совокупности, близких друг к другу по величине
группировочного признака.
Аналитические группировки - выявления влияния одних признаков на другие
(выявить связь между социально-экономическими явлениями).
Комбинационные группировки - производится разделение совокупности на группы по
двум или более признакам. При этом группы, образованные по одному признаку,
разбиваются на подгруппы по другому признаку.
Такие группировки дают возможность изучить структуру совокупности по
нескольким признакам одновременно.
Социально-экономический анализ предполагает использование системы
простых и комбинационных группировок.
Также очень часто прибегают к вторичной группировке -
перегруппировка уже сгруппированных данных. Вторичная группировка может быть
проведена методом простого укрупнения интервала.
1.5
Абсолютные и относительные величины
Абсолютные статистические величины
Абсолютные статистические величины показывают объем, размеры, уровни
различных социально-экономических явлений и процессов. Они отражают уровни в
физических мерах объема, веса и т.п. В общем абсолютные статистические величины
- это именованные числа. Они всегда имеют определенную размерность и единицы
измерения. Последние определяют сущность абсолютной величины.
Типы абсолютных величин
Натуральные - такие единицы, которые отражают величину предметов, вещей
в физических мерах (вес, объем, площадь и т.д.).
Денежные (стоимостные) - используются для характеристики многих экономических показателей
в стоимостном выражении.
Трудовые - используются для определения затрат труда (человеко-час,
человеко-день)
Условно-натуральные - единицы, которые используются для сведения воедино
нескольких разновидностей потребительных стоимостей.
Виды абсолютных величин
Индивидуальные - отражают размеры количественных признаков у отдельных
единиц изучаемой совокупности.
Общие - выражают размеры, величину количественных признаков у всей изучаемой
совокупности в целом.
Абсолютные величины отражают наличие тех или иных ресурсов, это основа
материального учета. Они наиболее объективно отражают развитие экономики.
Абсолютные величины являются основой для расчета разных относительных
статистических показателей.
Относительные статистические величины
Относительные статистические величины выражают количественные соотношения
между явлениями общественной жизни, они получаются в результате деления одной
абсолютной величины на другую.
Знаменатель (основание сравнения, база) - это величина, с которой
производится сравнение.
Сравниваемая (отчетная, текущая) величина - это величина, которая
сравнивается.
Относительная величина показывает, во сколько раз сравниваемая величина
больше или меньше базисной или какую долю первая составляет по отношению ко
второй. В ряде случае относительная величина показывает, сколько единиц одной
величины приходится на единицу другой.
Виды относительных величин
Все применяемые на практике относительные статистические величины
подразделяются на следующие виды:
Относительная величина динамики: Достигнутый показатель - базисный
показатель.
Относительная величина планового задания: Плановый показатель - базисный
показатель.
Относительная величина выполнения плана: Достигнутый показатель - плановый
показатель.
Относительная величина структуры: Отношение частей и целого.
Относительная величина координации: Соотношение частей целого между
собой.
Относительная величина интенсивности: Характеризует распределение явления
в определенной среде (насыщенность каким-либо явлением). Это всегда соотношение
разноименных величин.
Относительная величина уровня социально-экономического
явления:
Характеризует размеры производства различных видов продукции на душу населения.
Относительная величина сравнения: Представляет собой отношение
одноименных величин, относящихся к различным объектам.
.6 Средние
величины
Сущность и задачи средних величин
Средняя величина - это обобщающая количественная характеристика совокупности
однотипных явлений по одному варьирующему признаку.
Она отражает объективный уровень, достигнутый в процессе развития явления
к определенному моменту или периоду.
Средняя представляет значение определенного признака в совокупности одним
числом и элиминирует индивидуальные различия значений отдельных величин
совокупности.
Важнейшая особенность средней величины - в том, что она относится к
единице изучаемой совокупности и через характеристику единицы характеризует всю
совокупность в целом.
Основные свойства средней величины:
· обладает устойчивостью, что позволяет выявлять закономерности развития
явлений. Средняя облегчает сравнение двух совокупностей, обладающих различной
численностью.
· помогает характеризовать развитие уровня явления во времени.
· помогает выявить и охарактеризовать связь между явлениями.
Средние позволяют исключить влияние индивидуальных значений признака,
т.е. они являются абстрактными величинами. Поэтому средние должны употребляться
на основе сгруппированных данных.
Расчет средней
Говоря о методологии исчисления средних, не надо забывать, что средняя
всегда дает обобщенную характеристику лишь по одному признаку. Каждая же
единица совокупности имеет много признаков. Поэтому необходимо рассчитывать
систему средних, чтобы охарактеризовать явление со всех сторон.
Расчет средних величин производится по правилам, которые разрабатываются
математической статистикой.
Признак, по которому находится средняя, называемый осередняемым
признаком, обозначим буквой "х"
Значения признака, которые встречаются у группы единиц или отдельных
единиц совокупности (не повторяясь) называются вариантами признака и обозначаются
через x1, x2, x3 и т.д. Средняя величина этих значений обозначается через
" "
Средняя арифметическая
Средняя арифметическая величина может быть простой и взвешенной.
Средняя арифметическая простая рассчитывается по формуле:
,
т.е.
как сумма вариантов признака, деленная на их число. Средняя арифметическая
простая применяется в тех случаях, когда каждая варианта признака встречается в
совокупности один или равное число раз.
Средняя
арифметическая взвешенная вычисляется
по формуле
,
где
fi - частота повторения i-ых вариантов признака, называемая весом.
Таким
образом, средняя арифметическая взвешенная равна сумме взвешенных вариантов
признака, деленная на сумму весов. Она применяется в тех случаях, когда каждая
варианта признака встречается несколько (неравное) число раз.
Средняя
гармоническая
Средняя
гармоническая величина является преобразованной средней арифметической
величиной. Применяется она тогда, когда необходимые веса (fi) в исходных данных
не заданы непосредственно, а входят сомножителем в одни из имеющихся
показателей. Она также может быть простой и взвешенной.
Средняя
гармоническая простая рассчитывается
по формуле:
,
т.е.
это обратная величина средней арифметической простой из обратных значений
признака.
Формула
средней гармонической взвешенной:
Средняя
квадратическая
Средняя
квадратическая применяется в тех случаях, когда приходится осереднять величины,
входящие в исходную информацию в виде квадратических функций.
Простая
средняя квадратическая
,
взвешенная
Наиболее
широко этот вид средней используется при расчете показателей вариации.
Мода - значение признака, которое встречается в ряду
распределения чаще, чем другие его значения.
В
интервальных вариационных рядах моду определяют приближенно по формуле:
, где- нижняя граница модального интервала;- величина
модального интервала;- частота модального интервала;- частота интервала,
предшествующая модальному;- частота интервала, следующая за модальным.
Медиана - Вариант, который находится в середине вариационного
ряда.
, где
- нижняя гранича медианного
интервала;
h - величина медианного интервала;- сумма накопленных
частот до медианного интервала;
Fme-частота медианного интервала
1.7 Ряды
динамики
Понятие о рядах динамики и виды рядов динамики
Рядом динамики называется ряд последовательно расположенных во времени
статистических показателей, которые в своем изменении отражают ход развития
изучаемого явления.
Ряд динамики состоит из двух элементов: момента или периода времени,
которым относятся данные и статистических показателей (уровней). Оба элемента
вместе образуют члены ряда. Уровни ряда обычно обозначают через "y",
а период времени - через "t".
По длительности времени, к которым относятся уровни ряда, ряды динамики
делятся на моментные и интервальные.
В моментных рядах каждый уровень характеризует явления на момент
времени. Например: число вкладов населения в учреждениях сберегательного банка
РФ, на конец года.
В интервальных рядах динамики каждый уровень ряда характеризует явление за период
времени. Например: производство часов в РФ по годам.
В интервальных рядах динамики уровни ряда можно суммировать и получить
общую величину за ряд следующих друг за другом периодов. В моментных рядах эта
сумма не имеет смысла.
Несопоставимость уровней рядов динамики
Уровни рядов динамики должны быть сопоставимы между собой. Для
несопоставимых величин нельзя вести расчеты показателей рядов динамики.
Несопоставимость может быть:
ü по территории,
ü по кругу охватываемых объектов,
ü из-за разных единиц измерения,
ü из-за изменения уровня явления на различные даты,
ü из-за различного понимания единицы объекта,
ü по структуре.
Показатели ряда динамики
Абсолютный прирост (п) показывает, на сколько данный уровень больше или меньше
базисного. Абсолютный прирост исчисляется как разность между сравниваемым и
базисным уровнем:
Апр = Уср-Убаз
Апр - абсолютный прирост;
Уср - уровень, который сравнивается;
Убаз - уровень, с которым производится сравнение.
Темп роста показывает, во сколько раз (процентов) сравниваемый уровень
больше или меньше базисного, и рассчитывается как отношение сравниваемого
уровня и уровня, принятого за базу сравнения:
Тр = Уср/Убаз.
Темп прироста показывает, на сколько % сравниваемый уровень больше или
меньше уровня, принятого за базу сравнения, и вычисляется как отношение
абсолютного прироста к абсолютному уровню, принятому за базу сравнения:
Тпр = Апр/Убаз
Абсолютный размер 1% прироста исчисляется как отношение
абсолютного прироста к темпу прироста. Абсолютное значение одного % прироста
можно вычислить также путём деления первоначального уровня на 100:
А = Убаз/100
В зависимости от уровня, принятого за базу сравнения, показатели ряда
динамики делятся на базисные и цепные. Базисными называют показатели,
которые исчисляются по отношению к одному и тому же уровню, принятому за
постоянную базу сравнения.
Цепными называют показатели, которые исчисляются по отношению к предыдущему
уровню.
Метод укрупнения периодов: используется когда необходимо исключить влияние
случайных факторов. Величина периода не должна быть < 3. Метод позволяет:
1) снизить влияние случайных факторов;
2) выявить тенденцию развития ряда динамики
) выявить тенденцию изменения временного ряда.
Ряды динамики могут быть с равным и неравным интервалами.
Понятие интервала в моментных и интервальных рядах различные.
Интервал моментного ряда - это период времени от одной даты до другой даты, на
которые приведены данные. Если это данные о числе вкладов на конец года, то
интервал равен от конца одного года, до конца другого года.
Интервал интервального ряда - это период времени за который обобщены данные. Если
это производство часов по годам, то интервал равен одному году.
1.8
Статистические индексы
Понятие об индексах
Слово "index" латинское и означает "показатель",
"указатель". В статистике под индексом понимается обобщающий
количественный показатель, выражающий соотношение двух совокупностей, состоящих
из элементов, непосредственно не поддающихся суммированию. Кроме сводной
характеристики явлений индексы позволяют дать оценку роли отдельных факторов в
изменении сложного явления. Индексы используются и для выявления структурных
сдвигов в народном хозяйстве.
По степени охвата элементов совокупности индексы рассчитываются как для
сложного явления (общие или сводные), так и для отдельных его элементов
(индивидуальные индексы). Индивидуальные индексы выражают соотношение
отдельных элементов совокупности. Сводные индексы показывают соотношение
в совокупности явлений, состоящей из разнородных, непосредственно несоизмеримых
элементов. Сводный индекс состоит из двух элементов: индексируемой величины и
веса. Индексируемая величина - это показатель, для которого
рассчитывается индекс. Вес (соизмеритель) - это дополнительный
показатель вводимый для целей соизмерения индексируемой величины.
В зависимости от объекта исследования как общие, так и индивидуальные
индексы подразделяются на индексы объемных (количественных) показателей
(физического объема продукции, посевной площади, численности рабочих и др.) и индексы
качественных показателей (цены, себестоимости, урожайности,
производительности труда, заработной платы и др.). Индексы, в которых
фиксируется одна величина - это индексы постоянного состава. К ним
относятся индекс физического объема, индекс цен, индекс производительности
труда (трудовой), индекс себестоимости. Индексы, которые представляют собой
отношение двух и более переменных величин, - это индексы переменного состава.
К ним относятся индекс выручки, индекс производительности труда (стоимостной),
индекс затрат на 1 руб. совокупной продукции.
В зависимости от базы сравнения индивидуальные и общие индексы могут
быть цепными и базисными.
Базисными называются индексы, при которых индексируемые величины сравнивают с
одной и той же величиной базисного года.
Цепными называются индексы, при которых индексируемые величины последующего
периода сравниваются с величинами предыдущего периода.
В дальнейшем изложении будут использованы следующие обозначения: i -
индивидуальный индекс; J - общий (сводный) индекс;- обобщенная характеристика
качественного показателя; d - обобщенная
характеристика количественного показателя.
"х" может принимать значения: р - цена единицы товара
(продукции);- себестоимость единицы товара (продукции); y - урожайность
отдельной
культуры; f - заработная плата; w - выработка продукции одним человеком
в единицу времени; t - трудоемкость продукции.
"d" может принимать значения: q - физический объем товара
(продукции);
П - посевная площадь; Т - численность рабочих или работников (затраты
труда).
Качественные индексы конкретных показателей:
Индекс цен:
,
где
åp1q1 - товарооборот (или стоимость произведенной
продукции) отчетного периода, а åp0q1 -
товарооборот (стоимость продукции) отчетного периода в базисных ценах. Индекс
цен показывает, во сколько раз возрос (уменьшился) в среднем уровень цен на
массу товара, реализованную за отчетный период, или сколько процентов
составляет его рост (снижение) за отчетный период по сравнению с базисным.
Разность
характеризует изменение товарооборота (стоимости
продукции) за счет цен "+" - увеличение, "-" уменьшение.
Индекс
себестоимости:
,
где
åz1q1 - издержки (затраты или себестоимость всей
продукции) отчетного периода, åz0q1 - издержки (затраты
или себестоимость всей продукции) базисного периода в пересчете на фактический
объем. Индекс себестоимости показывает, во сколько раз уменьшился (возрос) в
среднем уровень себестоимости продукции, произведенной за отчетный период, или
сколько процентов составляет его снижение (рост) за отчетный период по
сравнению с базисным.
Разность
характеризует экономию, если "-" от снижения
себестоимости или дополнительные издержки (затраты) от роста себестоимости,
если "+".
Индекс
урожайности:
,
где
åу1П1 - валовой сбор отчетного (текущего) периода, а åу0П1 - валовой сбор с площади отчетного периода при
базисной урожайности.
Разность
свидетельствует об увеличении валового сбора, если
"+", и об уменьшении валового сбора за счет снижения урожайности,
если "-".
Индекс
заработной платы:
,
где
åf1T1 - фонд оплаты труда отчетного периода, а åf0Т1 - базисный фонд оплаты труда в пересчете на
отчетную численность рабочих (работников). Разность
характеризует экономию фонда оплаты труда за счет
снижения уровня зарплаты, если "-" и перерасход фонда оплаты труда за
счет роста зарплаты, если "+".
Индекс
производительности труда по выработке:
где
åw1T1 - количество продукции отчетного периода, а åw0Т1 - объем продукции отчетного периода при базисной
производительности труда. Разность
увеличение
объема продукции за счет роста производительности труда, если "+",
уменьшение объема продукции за счет снижения производительности труда, если
"-".
Индекс
производительности труда по трудоемкости (исключение):
,
где
åt0q1 -общие затраты труда базисного периода в
пересчете на фактический объем продукции, а åt1q1 - общие
затраты труда на выпуск продукции отчетного периода. Разность
свидетельствует об экономии труда за счет роста
производительности труда, если "-", дополнительных затратах труда за
счет снижения его производительности, если "+".
Индекс
трудоемкости:
Разность
изменение затрат за счет трудоемкости.
Индексы
количественных показателей в общем виде:
,
а
изменение в абсолютном выражении
Индекс затрат труда:
;
Индексы переменного состава
Индекс производительности труда (стоимостной):
Анализ производительности труда в основном сводится к сравнению уровня
производительности труда текущего периода с прошлым или плановым показателем.
Для этого рассчитывают индекс производительности труда (стоимостной), в котором
производительность труда измеряется валовой продукцией в сопоставимых ценах на
1 чел.-ч (It):
где
- стоимость валовой продукции за отчетный период в
сопоставимых ценах;
- общие затраты за отчетный период, чел.-ч;
- стоимость валовой продукции за базисный период,
руб.;
- общие затраты труда за базисный период, чел.-ч.
Индекс
производительности труда разлагается на индекс физического объема и индекс
затрат труда: It = Iq : Iqt.
Индекс
затрат на 1 руб. совокупной продукции (Iqz):
где
- общие затраты средств на всю продукцию текущего
года, руб.;
- общие
затраты средств на всю продукцию базисного года, руб.;
- стоимость валовой продукции текущего года, руб.; z0, z1 -
себестоимость 1 ц продукции базисного и отчетного годов, руб.
Индекс
общих затрат рассчитывают по формуле:
.9
Выборочный метод
Выборочное наблюдение - одно из наиболее современных видов статистического
наблюдения. Выборочное наблюдение - это такое наблюдение, при котором
обследованию подвергается часть единиц изучаемой совокупности, отобранных на
основе научно разработанных принципов, обеспечивающих получение достаточного
количества достоверных данных, для того чтобы охарактеризовать всю совокупность
в целом.
Средние и относительные показатели, полученные на основе выборочных
данных, должны достаточно полно воспроизводить или репрезентатировать
соответствующие показатели совокупности в целом.
Логика выборочного наблюдения:
· определение объекта и целей выборочного наблюдения;
· выбор схема отбора единиц для наблюдения;
· расчет объема выборки;
· проведение случайного отбора установленного числа единиц из
генеральной совокупности;
· наблюдение отобранных единиц по установленной программе;
· расчет выборочных характеристик в соответствии с программой
выборочного наблюдения;
· определение ошибки, ее размера;
· распространение выборочных данных на генеральную
совокупность;
· анализ полученных данных.
Основные преимущества:
Ø выборочное наблюдение можно осуществить по более широкой
программе.
Ø выборочное наблюдение более дешевое с точки зрения затрат на
его проведение.
Ø выборочное наблюдение можно организовать тогда и в тех
случаях, когда отчетностью мы воспользоваться не можем.
Основные недостатки:
Ø полученные данные всегда содержат в себе ошибку, о
результатах наблюдения можно судить лишь с определенной степенью достоверности.
Но по сравнению с другими видами наблюдения это достоинство выборочного метода.
Ø для его проведения требуются квалифицированные кадры.
Вся совокупность единиц, из которых производится отбор, называется генеральной.
Совокупность единиц отобранных называется выборочной.
Ошибки выборки:
Чтобы оценить степень точности выборочного наблюдения, необходимо оценить
величину ошибок, которые могут возникнуть в процессе проведения выборочного
наблюдения. Ошибки регистрации могут иметь случайный и систематический
характер. Ошибки репрезентативности присущи только выборочному наблюдению и
возникают в силу того, что выборочная совокупность не полностью воспроизводит
генеральную.
Вычисляют ошибку генеральной средней по формуле:
-
случайный повторный отбор;
-
случайный бесповторный отбор.
Где
t - нормированное отклонение (находят по справочным
данным значений функции Лапласа).
Доверительный
интервал генеральной средней
рассчитывают, используя следующую формулу:
Численность
выборки находят по формуле:
-
случайный повторный отбор ;
-
случайный бесповторный отбор.
статистический
корреляционный удобрение урожайность
1.10
Корреляционный анализ
При изучении корреляций стараются установить, существует ли какая-то
связь между двумя показателями в одной выборке (например, между ростом и весом
детей или между уровнем IQи школьной успеваемостью) либо между двумя различными
выборками (например, при сравнении пар близнецов), и если эта связь существует,
то сопровождается ли увеличение одного показателя возрастанием (положительная
корреляция) или уменьшением (отрицательная корреляция) другого.
Иными словами, корреляционный анализ помогает установить, можно ли
предсказывать возможные значения одного показателя, зная величину другого.
Коэффициент корреляции
Коэффициент корреляции - это величина, которая может варьировать в пределах от +1
до -1. В случае полной положительной корреляции этот коэффициент равен плюс 1,
а при полной отрицательной - минус 1. На графике этому соответствует прямая
линия, проходящая через точки пересечения значений каждой пары данных:
В случае же если эти точки не выстраиваются по прямой линии, а образуют
«облако», коэффициент корреляции по абсолютной величине становится меньше
единицы и по мере округления этого облака приближается к нулю:
В
случае если коэффициент корреляции равен 0, обе переменные полностью независимы
друг от друга.
В
гуманитарных науках корреляция считается сильной, если ее коэффициент выше
0,60; если же он превышает 0,90, то корреляция считается очень сильной. Однако
для того, чтобы можно было делать выводы о связях между переменными, большое значение
имеет объем выборки: чем выборка больше, тем достовернее величина полученного
коэффициента корреляции. Существуют таблицы с критическими значениями
коэффициента корреляции Браве-Пирсона и Спирмена для разного числа степеней
свободы (оно равно числу пар за вычетом 2, т.е. n-2). Лишь в том случае, если
коэффициенты корреляции больше этих критических значений, они могут считаться
достоверными. Так, для того чтобы коэффициент корреляции 0,70 был достоверным,
в анализ должно быть взято не меньше 8 пар данных (h=n-2=6) при вычислении r
(см. табл. 4 в Приложении) и 7 пар данных (h=n-2=5) при вычислении rs (табл. 5
в Приложении).
Хотелось
бы еще раз подчеркнуть, что сущность этих двух коэффициентов несколько
различна. Отрицательный коэффициент r указывает на то, что эффективность чаще
всего тем выше, чем время реакции меньше, тогда как при вычислении коэффициента
rs требовалось проверить, всегда ли более быстрые испытуемые реагируют более
точно, а более медленные - менее точно.
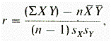
Коэффициент
корреляции Браве-Пирсона (r) -
этопараметрический показатель, для вычисления которого сравнивают средние и
стандартные отклонения результатов двух измерений. При этом используют формулу
(у разных авторов она может выглядеть по-разному)
где
ΣXY - сумма произведений данных из каждой пары; n-число
пар; -средняя для данных переменной X;средняя для данных переменной Y;-
стандартное отклонение для распределения х;- стандартное отклонение для
распределения у.
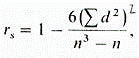
Коэффициент
корреляции рангов Спирмена (rs)
- это непараметрический показатель, с помощью которого пытаются выявить связь
между рангами соответственных величин в двух рядах измерений.
Этот
коэффициент рассчитывать проще, однако результаты получаются менее точными, чем
при использовании r. Это связано с тем, что при вычислении коэффициента
Спирмена используют порядок следования данных, а не их количественные
характеристики и интервалы между классами.
Дело
в том, что при использовании коэффициента корреляции рангов Спирмена (rs)
проверяют только, будет ли ранжирование данных для какой-либо выборки таким же,
как и в ряду других данных для этой выборки, попарно связанных с первыми
(например, будут ли одинаково «ранжироваться» студенты при прохождении ими как
психологии, так и математики, или даже при двух разных преподавателях
психологии?). Если коэффициент близок к +1, то это означает, что оба ряда
практически совпадают, а если этот коэффициент близок к -1, можно говорить о
полной обратной зависимости.
Коэффициент
rs вычисляют по формуле:
где
d - разность между рангами сопряженных значений признаков (независимо от ее
знака), а - число пар.
Обычно
этот непараметрический тест используется в тех случаях, когда нужно сделать
какие-то выводы не столько об интервалах между данными, сколько об их рангах, а
также тогда, когда кривые распределения слишком асимметричны и не позволяют
использовать такие параметрические критерии, как коэффициент r (в этих случаях
бывает необходимо превратить количественные данные в порядковые).
Раздел 2. Проведение корреляционного анализа
.1
Исходные данные
Таблица 2.1.1
Валовой сбор культур, ц (данные из бланков статистической отчетности
форма №29-сх-з)
Пшеница озимая
|
Пшеница яровая
|
Ячмень
|
Кукуруза на зерно
|
Гречиха
|
Горох
|
Бахчевые
|
Овощи
|
|
1
|
35465
|
14374
|
15472
|
7844,8
|
2244
|
3837,9
|
20366,5
|
16850
|
|
2
|
31853
|
12430,7
|
11489
|
8122,8
|
2894,9
|
5531,4
|
35043,2
|
14522
|
|
3
|
46185
|
8185,4
|
12581
|
8913,7
|
2112,5
|
6117,2
|
26825,3
|
13160
|
|
4
|
36563
|
6771,8
|
10217
|
8471
|
2367,1
|
6835,8
|
22114,5
|
14792
|
|
5
|
29859
|
8863,3
|
12795
|
9634,9
|
2298,5
|
6499,1
|
22280,7
|
15770
|
|
6
|
26611
|
8815,9
|
11388
|
9177,6
|
2369,5
|
7675,6
|
18304,2
|
15367
|
|
7
|
27132
|
11084,1
|
12735
|
9839,2
|
2215,3
|
6024,5
|
19950,1
|
18294
|
|
8
|
26227
|
6621,2
|
12480
|
7988,8
|
1555,4
|
5747,4
|
20840
|
11189
|
|
9
|
31203
|
7893,8
|
11871
|
8711,6
|
1778,4
|
8210,4
|
16292
|
12219
|
|
10
|
27406
|
8923
|
12817
|
9764,4
|
1683,8
|
7478,5
|
19477,8
|
14396
|
|
11
|
28885
|
9594,2
|
12040
|
9953,7
|
1614,2
|
6025,4
|
19807
|
13498
|
|
12
|
30072
|
8100,9
|
12352
|
7134,4
|
2540,1
|
7045,4
|
21807,1
|
16586
|
|
13
|
35262
|
9895,8
|
14275
|
8962
|
2112,1
|
7324
|
18757,1
|
13247
|
|
14
|
25693
|
104,86,0
|
12692
|
7960,8
|
1787,2
|
7185
|
25887,6
|
20878
|
|
15
|
38340
|
7868,7
|
15039
|
8071,2
|
2162,5
|
7784,9
|
22663,9
|
20433
|
|
16
|
20885
|
7970
|
11447
|
7383,4
|
2225,4
|
6357
|
15299,5
|
18529
|
|
17
|
32693
|
9764,1
|
10792
|
7444,3
|
1760,8
|
4937,7
|
22473,5
|
17851
|
|
18
|
36665
|
8510,6
|
11868
|
9084,6
|
1732,1
|
7444,6
|
16911,9
|
14988
|
|
19
|
22808
|
8001
|
11093
|
6194,3
|
1833,6
|
6335,5
|
22665,1
|
14555
|
|
20
|
32034
|
7720,5
|
13199
|
9815,3
|
245,1
|
6059,8
|
19067,5
|
17555
|
|
21
|
28544
|
7206,5
|
14329
|
9114,5
|
1962,2
|
6343,3
|
25108,5
|
14852
|
|
22
|
32780
|
11064,3
|
10790
|
8408,8
|
2172
|
5570,8
|
21399,1
|
16177
|
|
23
|
28614
|
7979,6
|
14189
|
8671,9
|
2042
|
6410,7
|
16437,2
|
11795
|
Таблица 2.1.2
Площади под культурами, га (данные из бланков статистической отчетности
форма №29-сх-з)
|
№ п/п
|
Пшеница озимая
|
Пшеница яровая
|
Ячмень
|
Кукуруза на зерно
|
Гречиха
|
Горох
|
Бахчевые
|
Овощи
|
|
1
|
1372,6
|
431,3
|
651,4
|
191,6
|
262,5
|
325,6
|
123,5
|
97,9
|
|
2
|
1158,8
|
452,8
|
531,5
|
218,8
|
183,8
|
321,7
|
147
|
94,2
|
|
3
|
1325
|
435,3
|
562,3
|
226,4
|
172,2
|
342,4
|
152,2
|
106,1
|
|
4
|
1224
|
438,1
|
583,9
|
242,4
|
184,3
|
323,5
|
133,1
|
92,3
|
|
5
|
1069
|
444,2
|
607,6
|
249
|
196,6
|
345
|
132,5
|
85,4
|
|
6
|
1124,3
|
490,9
|
550,2
|
220,8
|
191,1
|
397
|
131,4
|
91,2
|
|
7
|
1194,7
|
508,1
|
611,4
|
258,8
|
180,2
|
387,8
|
142,1
|
93,4
|
|
8
|
1011
|
411,6
|
514
|
204,6
|
147,1
|
311,9
|
145,2
|
86
|
|
9
|
1029,2
|
363,8
|
508,2
|
201,3
|
186,2
|
369,4
|
124,6
|
74,4
|
|
10
|
1219,7
|
459,7
|
621,9
|
209
|
162,3
|
319,8
|
113,7
|
81,3
|
|
11
|
1217,6
|
438,4
|
679,3
|
220
|
176,3
|
332
|
141,5
|
78,6
|
|
12
|
1102,3
|
501,9
|
554
|
214,2
|
196,8
|
377,6
|
145,8
|
104,2
|
|
13
|
1195
|
472,9
|
572,7
|
233
|
192,4
|
408,3
|
117,1
|
101,8
|
|
14
|
1201,9
|
515,1
|
585,7
|
259,5
|
182,2
|
378,4
|
106,8
|
|
15
|
951,5
|
454,4
|
647
|
251,1
|
203,1
|
405,3
|
134,7
|
103,2
|
|
16
|
1038,9
|
379,9
|
550,4
|
196,4
|
172,5
|
350,2
|
116,2
|
100,3
|
|
17
|
1141,7
|
423
|
511,4
|
208,8
|
153,9
|
314,9
|
123,7
|
100,2
|
|
18
|
1040,1
|
424,3
|
592,2
|
231,2
|
174,9
|
326,7
|
114,9
|
86,2
|
|
19
|
1073,9
|
412,2
|
515,9
|
201,6
|
166,4
|
354,2
|
140,3
|
89,4
|
|
20
|
1106,9
|
423,4
|
597
|
220,9
|
181,1
|
365,2
|
137,1
|
93,2
|
|
21
|
1155,3
|
424,1
|
569,8
|
214,3
|
186,8
|
364,7
|
143,5
|
88,2
|
|
22
|
1039,6
|
481,2
|
584,4
|
236,5
|
193
|
364,7
|
147,3
|
77,5
|
|
23
|
1103,9
|
442,7
|
568,3
|
191,7
|
154,9
|
330,5
|
136,8
|
77,2
|
Таблица 2.1.3
Использование азотных удобрений, ц (данные из бланков статистической
отчетности форма №9-б-сх)
|
№ п/пПшеница озимаяПшеница яроваяЯчменьКукуруза на
зерноГречихаГорохБахчевыеОвощи
|
|
|
|
|
|
|
|
|
|
1
|
361,6
|
276,8
|
244,3
|
47,1
|
40,2
|
7,7
|
43,4
|
92,4
|
|
2
|
215,5
|
147,4
|
266,7
|
44,3
|
56,4
|
11,1
|
55,5
|
39,4
|
|
3
|
438,3
|
184,7
|
283,8
|
71,6
|
22,8
|
19
|
55,4
|
20,1
|
|
4
|
197,6
|
44,3
|
138,3
|
22,1
|
27,6
|
24
|
36,5
|
32,9
|
|
5
|
118
|
33,5
|
298,3
|
27,9
|
51,5
|
24,3
|
62,1
|
31,4
|
|
6
|
158,9
|
172,3
|
91,8
|
46,9
|
50,5
|
5,6
|
26,4
|
34,1
|
|
7
|
270,2
|
41,6
|
220,2
|
39,3
|
8,8
|
20,2
|
23,8
|
69,8
|
|
8
|
397,5
|
71,9
|
240,2
|
37,9
|
17,5
|
10,6
|
72,4
|
20,2
|
|
9
|
297,2
|
168,2
|
180,6
|
44,3
|
40,7
|
30,8
|
10,9
|
57
|
|
10
|
282,5
|
127,4
|
70,3
|
59,7
|
41,8
|
26,4
|
24,4
|
13,5
|
|
11
|
364,4
|
135,9
|
113,5
|
71,3
|
9,2
|
28,4
|
73,6
|
71,9
|
|
12
|
381,5
|
123,1
|
199,5
|
29,2
|
47,8
|
13,7
|
19,8
|
20,1
|
|
13
|
274,4
|
68,4
|
210,3
|
80,4
|
25,6
|
27,1
|
53,1
|
29,3
|
|
14
|
101,3
|
200,9
|
164
|
25,5
|
16,3
|
7,2
|
40,2
|
75
|
|
15
|
425,3
|
70,9
|
223,3
|
12,8
|
36,9
|
21,6
|
65,3
|
77,4
|
|
16
|
210,7
|
11,5
|
262,8
|
39,7
|
5,4
|
5,7
|
46,2
|
39,3
|
|
17
|
198,8
|
120,6
|
43,8
|
70,7
|
12,6
|
23,1
|
59,1
|
67,1
|
|
18
|
385,2
|
106
|
225,7
|
9,5
|
25,2
|
26,9
|
35,2
|
38,1
|
|
19
|
87,2
|
85
|
190,2
|
25,8
|
30,8
|
27,1
|
48,6
|
57,5
|
|
20
|
245,3
|
21,3
|
118,9
|
45,4
|
34,8
|
12
|
40,7
|
75,8
|
|
21
|
124,4
|
161,1
|
138,7
|
9,5
|
13,6
|
7,8
|
73,6
|
71,3
|
|
22
|
336,7
|
154,7
|
177,3
|
63,3
|
13,7
|
18,5
|
24,7
|
55,3
|
|
23
|
295
|
65,3
|
182,5
|
56,3
|
37,3
|
7,8
|
15,9
|
48,4
|
Таблица 2.1.4
Использование фосфорных удобрений, ц (данные из бланков статистической
отчетности форма № 9-б-сх)
|
№ п/п
|
Пшеница озимая
|
Пшеница яровая
|
Ячмень
|
Кукуруза на зерно
|
Гречиха
|
Горох
|
Бахчевые
|
Овощи
|
|
1
|
537
|
284,2
|
263,2
|
68,2
|
26,2
|
43,7
|
57,2
|
75,5
|
|
2
|
296,6
|
234,2
|
340,6
|
54,5
|
27,3
|
52,2
|
73,5
|
36,2
|
|
3
|
664
|
297,2
|
340,8
|
92,9
|
24,1
|
98,8
|
71,3
|
16,9
|
|
4
|
288,6
|
69,8
|
182,5
|
27,2
|
16,5
|
120,4
|
45,1
|
28,2
|
|
5
|
180,8
|
49,5
|
369,2
|
34,1
|
30,4
|
128,4
|
76,1
|
25,9
|
|
6
|
247,9
|
120,2
|
62,3
|
27,2
|
27,1
|
32,3
|
27,8
|
|
7
|
437,2
|
64,2
|
281,4
|
49,2
|
4,7
|
104,5
|
30,7
|
59,8
|
|
8
|
602
|
191,3
|
318,4
|
49,1
|
10,4
|
56,7
|
96,7
|
17,9
|
|
9
|
435,9
|
271,6
|
217,5
|
58,5
|
22,3
|
164,6
|
12,4
|
49,7
|
|
10
|
422,7
|
206,2
|
92,2
|
72,1
|
22,8
|
130
|
29,6
|
12,1
|
|
11
|
577,2
|
232,6
|
140,8
|
93,7
|
4,9
|
140,3
|
94,7
|
64,2
|
|
12
|
581
|
178,3
|
258
|
38,3
|
28,3
|
63,6
|
26,4
|
16,7
|
|
13
|
407,3
|
124,7
|
254,8
|
99,2
|
14,3
|
141,6
|
67,8
|
27,3
|
|
14
|
154,4
|
306,2
|
231,1
|
32,2
|
9,6
|
38,2
|
54,2
|
62,3
|
|
15
|
735,1
|
103,3
|
286,9
|
16,7
|
21,3
|
104,7
|
83,6
|
68,2
|
|
16
|
314,1
|
165,5
|
327,8
|
48,2
|
3,2
|
28,7
|
56,2
|
31,6
|
|
17
|
312,8
|
181,8
|
56,6
|
86,9
|
7,1
|
122,4
|
72,5
|
55,4
|
|
18
|
600,3
|
162,4
|
275,9
|
11,9
|
14,8
|
129,3
|
47,3
|
32,1
|
|
19
|
122
|
133
|
249,4
|
33,9
|
16,8
|
134,7
|
56,9
|
51,5
|
|
20
|
379,4
|
30,8
|
133,4
|
57,9
|
19,4
|
58,8
|
52,1
|
65,1
|
|
21
|
187,2
|
212,4
|
181,8
|
12,7
|
8,1
|
39
|
89,7
|
62,1
|
|
22
|
514,2
|
247
|
237,6
|
84,8
|
7,6
|
92
|
32,9
|
47,1
|
|
23
|
434,1
|
100
|
223,5
|
70,7
|
20
|
41,2
|
19,8
|
39,5
|
Таблица 2.1.5
Использование калийных удобрений, ц (данные из бланков статистической
отчетности форма № 9-б-сх)
|
№ п/п
|
Пшеница озимая
|
Пшеница яровая
|
Ячмень
|
Кукуруза на зерно
|
Гречиха
|
Горох
|
Бахчевые
|
Овощи
|
|
1
|
282,8
|
134,4
|
169
|
58,6
|
35
|
15
|
33,9
|
61
|
|
2
|
174
|
120,9
|
187,4
|
44,7
|
37,2
|
18,8
|
46,3
|
27,6
|
|
3
|
373,3
|
165,6
|
189,4
|
72,1
|
38
|
34
|
46,8
|
14,1
|
|
4
|
174,5
|
39,2
|
95,4
|
23
|
22,4
|
42
|
32,6
|
22,4
|
|
5
|
121
|
29,3
|
216,9
|
28
|
43,3
|
46
|
49,8
|
21,6
|
|
6
|
140,7
|
138
|
63,4
|
48,5
|
40,9
|
9,7
|
22,1
|
23,8
|
|
7
|
228,4
|
34,1
|
164
|
39,6
|
7,7
|
35,7
|
19,4
|
50,7
|
|
8
|
357,5
|
62,5
|
182,7
|
41,2
|
14,8
|
17,7
|
83,5
|
13,3
|
|
9
|
258
|
134,9
|
129,3
|
46
|
36,1
|
49,3
|
8,1
|
38,3
|
|
10
|
240,1
|
113,6
|
52
|
61,8
|
33,8
|
45,1
|
21,9
|
9,5
|
|
11
|
321,6
|
128,9
|
76,9
|
76
|
7,5
|
45,7
|
62,2
|
51,8
|
|
12
|
313,1
|
103
|
142,2
|
29,5
|
40,7
|
24,6
|
16,6
|
14,6
|
|
13
|
223,1
|
59,3
|
179
|
80,6
|
14,3
|
48,1
|
42,6
|
20,5
|
|
14
|
889
|
172,2
|
119,7
|
25,7
|
30,3
|
12,4
|
33,1
|
53,7
|
|
15
|
344,7
|
60,6
|
164,4
|
13,6
|
21,6
|
35,2
|
53,7
|
51,7
|
|
16
|
186,8
|
93,3
|
191,6
|
40,3
|
4,6
|
9,2
|
39,7
|
26,1
|
|
17
|
144,7
|
97,2
|
29,4
|
75
|
10,2
|
41,2
|
50,3
|
47,4
|
|
18
|
319,3
|
84,8
|
162,6
|
9,9
|
21,8
|
47,1
|
29,6
|
26,5
|
|
19
|
69,1
|
72,2
|
132,7
|
28,7
|
26,1
|
46,1
|
38,8
|
29,8
|
|
20
|
218,2
|
18,3
|
80,5
|
47,8
|
31
|
20,2
|
34,8
|
53,2
|
110,9
|
128,5
|
101,9
|
9,8
|
13,7
|
12,6
|
64,2
|
51,6
|
|
22
|
282,3
|
136,9
|
119,7
|
65
|
11,4
|
32,5
|
20,1
|
37,9
|
|
23
|
256,1
|
55,3
|
136,3
|
60,5
|
32,8
|
13,9
|
13,6
|
32,8
|
2.2
Сводные и расчетные таблицы
Таблица 2.2.1
Сводная ведомость "Внесение минеральных удобрений"
|
№ п/п
|
Пшеница озимая
|
Бахчевые
|
Ячмень
|
|
азотные
|
фосфорные
|
калийные
|
азотные
|
фосфорные
|
калийные
|
азотные
|
фосфорные
|
калийные
|
|
1
|
361,6
|
537
|
282,8
|
43,4
|
57,2
|
33,9
|
244,3
|
263,2
|
169
|
|
2
|
215,5
|
296,6
|
174
|
55,5
|
73,5
|
46,3
|
266,7
|
340,6
|
187,4
|
|
3
|
438,3
|
664
|
373,3
|
55,4
|
71,3
|
46,8
|
283,8
|
340,8
|
189,4
|
|
4
|
197,6
|
288,6
|
174,5
|
36,5
|
45,1
|
32,6
|
138,3
|
182,5
|
95,4
|
|
5
|
118
|
180,8
|
121
|
62,1
|
76,1
|
49,8
|
298,3
|
369,2
|
216,9
|
|
6
|
158,9
|
247,9
|
140,7
|
26,4
|
32,3
|
22,1
|
91,8
|
120,2
|
63,4
|
|
7
|
270,2
|
437,2
|
228,4
|
23,8
|
30,7
|
19,4
|
220,2
|
281,4
|
164
|
|
8
|
397,5
|
602
|
357,5
|
72,4
|
96,7
|
83,5
|
240,2
|
318,4
|
182,7
|
|
9
|
297,2
|
435,9
|
258
|
10,9
|
12,4
|
8,1
|
180,6
|
217,5
|
129,3
|
|
10
|
282,5
|
422,7
|
240,1
|
24,4
|
29,6
|
21,9
|
70,3
|
92,2
|
52
|
|
11
|
364,4
|
577,2
|
321,6
|
73,6
|
94,7
|
62,2
|
113,5
|
140,8
|
76,9
|
|
12
|
381,5
|
581
|
313,1
|
19,8
|
26,4
|
16,6
|
199,5
|
258
|
142,2
|
|
13
|
274,4
|
407,3
|
223,1
|
53,1
|
67,8
|
42,6
|
210,3
|
254,8
|
179
|
|
14
|
101,3
|
154,4
|
889
|
40,2
|
54,2
|
33,1
|
164
|
231,1
|
119,7
|
|
15
|
425,3
|
735,1
|
344,7
|
65,3
|
83,6
|
53,7
|
223,3
|
286,9
|
164,4
|
|
16
|
210,7
|
314,1
|
186,8
|
46,2
|
56,2
|
39,7
|
262,8
|
327,8
|
191,6
|
|
17
|
198,8
|
312,8
|
144,7
|
59,1
|
72,5
|
50,3
|
43,8
|
56,6
|
29,4
|
|
18
|
385,2
|
600,3
|
319,3
|
35,2
|
47,3
|
29,6
|
225,7
|
275,9
|
162,6
|
|
19
|
87,2
|
122
|
69,1
|
48,6
|
56,9
|
38,8
|
190,2
|
249,4
|
132,7
|
|
20
|
245,3
|
379,4
|
218,2
|
40,7
|
52,1
|
34,8
|
118,9
|
133,4
|
80,5
|
|
21
|
124,4
|
187,2
|
110,9
|
73,6
|
89,7
|
64,2
|
138,7
|
181,8
|
101,9
|
|
22
|
336,7
|
514,2
|
282,3
|
24,7
|
32,9
|
20,1
|
177,3
|
237,6
|
119,7
|
|
23
|
295
|
434,1
|
256,1
|
15,9
|
19,8
|
13,6
|
182,5
|
223,5
|
136,3
|
Таблица 2.2.2
Сводная ведомость "Сбор с/х культур"
|
№п/п
|
Пшеница озимая
|
Бахчевые
|
Ячмень
|
|
Площадь
|
Валовый сбор
|
Площадь
|
Валовый сбор
|
Площадь
|
Валовый сбор
|
|
1
|
35465
|
1372,6
|
20367
|
123,5
|
15472
|
651,4
|
|
2
|
31853
|
1158,8
|
35043
|
147
|
11489
|
531,5
|
|
3
|
46185
|
1325
|
26825
|
152,2
|
12581
|
562,3
|
|
4
|
36563
|
1224
|
22115
|
133,1
|
10217
|
583,9
|
|
5
|
29859
|
1069
|
22281
|
132,5
|
12795
|
607,6
|
|
6
|
26611
|
1124,3
|
18304
|
131,4
|
11388
|
550,2
|
|
7
|
27132
|
1194,7
|
19950
|
142,1
|
12735
|
611,4
|
|
8
|
26227
|
1011
|
20840
|
145,2
|
12480
|
514
|
|
9
|
31203
|
1029,2
|
16292
|
124,6
|
11871
|
508,2
|
|
10
|
27406
|
1219,7
|
19478
|
12817
|
621,9
|
|
11
|
28885
|
1217,6
|
19807
|
141,5
|
12040
|
679,3
|
|
12
|
30072
|
1102,3
|
21807
|
145,8
|
12352
|
554
|
|
13
|
35262
|
1195
|
18757
|
117,1
|
14275
|
572,7
|
|
14
|
25693
|
1201,9
|
25888
|
153,2
|
12692
|
585,7
|
|
15
|
38340
|
951,5
|
22664
|
134,7
|
15039
|
647
|
|
16
|
20885
|
1038,9
|
15300
|
116,2
|
11447
|
550,4
|
|
17
|
32693
|
1141,7
|
22474
|
123,7
|
10792
|
511,4
|
|
18
|
36665
|
1040,1
|
16912
|
114,9
|
11868
|
592,2
|
|
19
|
22808
|
1073,9
|
22665
|
140,3
|
11093
|
515,9
|
|
20
|
32034
|
1106,9
|
19068
|
137,1
|
13199
|
597
|
|
21
|
28544
|
1155,3
|
25109
|
143,5
|
14329
|
569,8
|
|
22
|
32780
|
1039,6
|
21399
|
147,3
|
10790
|
584,4
|
|
23
|
28614
|
1103,9
|
16437
|
136,8
|
14189
|
568,3
|
Таблица 2.2.3
Расчётная таблица " Внесение азотных удобрений в расчёте на 1
га"
|
№ п/п
|
Пшеница озимая
|
Бахчевые
|
Ячмень
|
|
Внесено удобрений
|
Площадь
|
Удобрений на 1 га
|
Внесено удобрений
|
Площадь
|
Удобрений на 1 га
|
Внесено удобрений
|
Площадь
|
Удобрений на 1 га
|
|
1
|
361,6
|
1372,6
|
3,80
|
43,4
|
123,5
|
2,85
|
244,3
|
651,4
|
2,67
|
|
2
|
215,5
|
1158,8
|
5,38
|
55,5
|
147
|
2,65
|
266,7
|
531,5
|
1,99
|
|
3
|
438,3
|
1325
|
3,02
|
55,4
|
152,2
|
2,75
|
283,8
|
562,3
|
1,98
|
|
4
|
197,6
|
1224
|
6,19
|
36,5
|
133,1
|
3,65
|
138,3
|
583,9
|
4,22
|
|
5
|
118
|
1069
|
9,06
|
62,1
|
132,5
|
2,13
|
298,3
|
607,6
|
2,04
|
|
6
|
158,9
|
1124,3
|
7,08
|
26,4
|
131,4
|
4,98
|
91,8
|
550,2
|
5,99
|
|
7
|
270,2
|
1194,7
|
4,42
|
23,8
|
142,1
|
5,97
|
220,2
|
611,4
|
2,78
|
|
8
|
397,5
|
1011
|
2,54
|
72,4
|
145,2
|
2,01
|
240,2
|
514
|
2,14
|
|
9
|
297,2
|
1029,2
|
3,46
|
10,9
|
124,6
|
11,43
|
180,6
|
508,2
|
2,81
|
|
10
|
282,5
|
1219,7
|
4,32
|
24,4
|
113,7
|
4,66
|
70,3
|
621,9
|
8,85
|
|
11
|
364,4
|
1217,6
|
3,34
|
73,6
|
141,5
|
1,92
|
113,5
|
679,3
|
5,99
|
|
12
|
381,5
|
1102,3
|
2,89
|
19,8
|
145,8
|
7,36
|
199,5
|
554
|
2,78
|
|
13
|
274,4
|
1195
|
4,35
|
53,1
|
117,1
|
2,21
|
210,3
|
572,7
|
2,72
|
|
14
|
101,3
|
1201,9
|
11,86
|
40,2
|
153,2
|
3,81
|
164
|
585,7
|
3,57
|
|
15
|
425,3
|
951,5
|
2,24
|
65,3
|
134,7
|
2,06
|
223,3
|
647
|
2,90
|
|
16
|
210,7
|
1038,9
|
4,93
|
46,2
|
116,2
|
2,52
|
262,8
|
550,4
|
2,09
|
|
17
|
198,8
|
1141,7
|
5,74
|
59,1
|
123,7
|
2,09
|
43,8
|
511,4
|
11,68
|
|
18
|
385,2
|
1040,1
|
2,70
|
35,2
|
114,9
|
3,26
|
225,7
|
592,2
|
2,62
|
|
19
|
87,2
|
1073,9
|
12,32
|
48,6
|
140,3
|
2,89
|
190,2
|
515,9
|
2,71
|
|
20
|
245,3
|
1106,9
|
4,51
|
40,7
|
137,1
|
3,37
|
118,9
|
597
|
5,02
|
|
21
|
124,4
|
1155,3
|
9,29
|
73,6
|
143,5
|
1,95
|
138,7
|
569,8
|
4,11
|
|
22
|
336,7
|
1039,6
|
3,09
|
24,7
|
147,3
|
5,96
|
177,3
|
584,4
|
3,30
|
|
23
|
295
|
1103,9
|
3,74
|
15,9
|
136,8
|
8,60
|
182,5
|
568,3
|
3,11
|
Таблица 2.2.4
Расчётная таблица "Внесение фосфорных удобрений в расчёте на 1
га"
|
№ п/п
|
Пшеница озимая
|
Бахчевые
|
Ячмень
|
|
Внесено удобрений
|
Площадь
|
Удобрений на 1 га
|
Внесено удобрений
|
Площадь
|
Удобрений на 1 га
|
Площадь
|
Удобрений на 1 га
|
|
1
|
537
|
1372,6
|
2,56
|
57,2
|
123,5
|
2,16
|
263,2
|
651,4
|
2,47
|
|
2
|
296,6
|
1158,8
|
3,91
|
73,5
|
147
|
2,00
|
340,6
|
531,5
|
1,56
|
|
3
|
664
|
1325
|
2,00
|
71,3
|
152,2
|
2,13
|
340,8
|
562,3
|
1,65
|
|
4
|
288,6
|
1224
|
4,24
|
45,1
|
133,1
|
2,95
|
182,5
|
583,9
|
3,20
|
|
5
|
180,8
|
1069
|
5,91
|
76,1
|
132,5
|
1,74
|
369,2
|
607,6
|
1,65
|
|
6
|
247,9
|
1124,3
|
4,54
|
32,3
|
131,4
|
4,07
|
120,2
|
550,2
|
4,58
|
|
7
|
437,2
|
1194,7
|
2,73
|
30,7
|
142,1
|
4,63
|
281,4
|
611,4
|
2,17
|
|
8
|
602
|
1011
|
1,68
|
96,7
|
145,2
|
1,50
|
318,4
|
514
|
1,61
|
|
9
|
435,9
|
1029,2
|
2,36
|
12,4
|
124,6
|
10,05
|
217,5
|
508,2
|
2,34
|
|
10
|
422,7
|
1219,7
|
2,89
|
29,6
|
113,7
|
3,84
|
92,2
|
621,9
|
6,75
|
|
11
|
577,2
|
1217,6
|
2,11
|
94,7
|
141,5
|
1,49
|
140,8
|
679,3
|
4,82
|
|
12
|
581
|
1102,3
|
1,90
|
26,4
|
145,8
|
5,52
|
258
|
554
|
2,15
|
|
13
|
407,3
|
1195
|
2,93
|
67,8
|
117,1
|
1,73
|
254,8
|
572,7
|
2,25
|
|
14
|
154,4
|
1201,9
|
7,78
|
54,2
|
153,2
|
2,83
|
231,1
|
585,7
|
2,53
|
|
15
|
735,1
|
951,5
|
1,29
|
83,6
|
134,7
|
1,61
|
286,9
|
647
|
2,26
|
|
16
|
314,1
|
1038,9
|
3,31
|
56,2
|
116,2
|
2,07
|
327,8
|
550,4
|
1,68
|
|
17
|
312,8
|
1141,7
|
3,65
|
72,5
|
123,7
|
1,71
|
56,6
|
511,4
|
9,04
|
|
18
|
600,3
|
1040,1
|
1,73
|
47,3
|
114,9
|
2,43
|
275,9
|
592,2
|
2,15
|
|
19
|
122
|
1073,9
|
8,80
|
56,9
|
140,3
|
2,47
|
249,4
|
515,9
|
2,07
|
|
20
|
379,4
|
1106,9
|
2,92
|
52,1
|
137,1
|
2,63
|
133,4
|
597
|
4,48
|
|
21
|
187,2
|
1155,3
|
6,17
|
89,7
|
143,5
|
1,60
|
181,8
|
569,8
|
3,13
|
|
22
|
514,2
|
1039,6
|
2,02
|
32,9
|
147,3
|
4,48
|
237,6
|
584,4
|
2,46
|
|
23
|
434,1
|
1103,9
|
2,54
|
19,8
|
136,8
|
6,91
|
223,5
|
568,3
|
2,54
|
Таблица 2.2.5
Расчётная таблица "Внесение калийных удобрений в расчёте на 1
га"
|
№ п/п
|
Пшеница озимая
|
Бахчевые
|
Ячмень
|
|
Внесено удобрений
|
Площадь
|
Удобрений на 1 га
|
Внесено удобрений
|
Площадь
|
Удобрений на 1 га
|
Внесено удобрений
|
Площадь
|
Удобрений на 1 га
|
|
1
|
282,8
|
1372,6
|
4,85
|
33,9
|
123,5
|
3,64
|
169
|
651,4
|
3,85
|
|
2
|
174
|
1158,8
|
6,66
|
46,3
|
147
|
3,17
|
187,4
|
531,5
|
2,84
|
|
3
|
373,3
|
1325
|
3,55
|
46,8
|
152,2
|
3,25
|
189,4
|
562,3
|
2,97
|
|
4
|
174,5
|
1224
|
7,01
|
32,6
|
133,1
|
4,08
|
95,4
|
583,9
|
6,12
|
|
5
|
121
|
1069
|
8,83
|
49,8
|
132,5
|
2,66
|
216,9
|
607,6
|
2,80
|
|
6
|
140,7
|
1124,3
|
7,99
|
22,1
|
131,4
|
5,95
|
63,4
|
550,2
|
8,68
|
|
7
|
228,4
|
1194,7
|
5,23
|
19,4
|
142,1
|
7,32
|
164
|
611,4
|
3,73
|
|
8
|
357,5
|
1011
|
2,83
|
83,5
|
145,2
|
1,74
|
182,7
|
514
|
2,81
|
|
9
|
258
|
1029,2
|
3,99
|
8,1
|
124,6
|
15,38
|
129,3
|
508,2
|
3,93
|
|
10
|
240,1
|
1219,7
|
5,08
|
21,9
|
113,7
|
5,19
|
52
|
621,9
|
11,96
|
|
11
|
321,6
|
1217,6
|
62,2
|
141,5
|
2,27
|
76,9
|
679,3
|
8,83
|
|
12
|
313,1
|
1102,3
|
3,52
|
16,6
|
145,8
|
8,78
|
142,2
|
554
|
3,90
|
|
13
|
223,1
|
1195
|
5,36
|
42,6
|
117,1
|
2,75
|
179
|
572,7
|
3,20
|
|
14
|
889
|
1201,9
|
1,35
|
33,1
|
153,2
|
4,63
|
119,7
|
585,7
|
4,89
|
|
15
|
344,7
|
951,5
|
2,76
|
53,7
|
134,7
|
2,51
|
164,4
|
647
|
3,94
|
|
16
|
186,8
|
1038,9
|
5,56
|
39,7
|
116,2
|
2,93
|
191,6
|
550,4
|
2,87
|
|
17
|
144,7
|
1141,7
|
7,89
|
50,3
|
123,7
|
2,46
|
29,4
|
511,4
|
17,39
|
|
18
|
319,3
|
1040,1
|
3,26
|
29,6
|
114,9
|
3,88
|
162,6
|
592,2
|
3,64
|
|
19
|
69,1
|
1073,9
|
15,54
|
38,8
|
140,3
|
3,62
|
132,7
|
515,9
|
3,89
|
|
20
|
218,2
|
1106,9
|
5,07
|
34,8
|
137,1
|
3,94
|
80,5
|
597
|
7,42
|
|
21
|
110,9
|
1155,3
|
10,42
|
64,2
|
143,5
|
2,24
|
101,9
|
569,8
|
5,59
|
|
22
|
282,3
|
1039,6
|
3,68
|
20,1
|
147,3
|
7,33
|
119,7
|
584,4
|
4,88
|
|
23
|
256,1
|
1103,9
|
4,31
|
13,6
|
136,8
|
10,06
|
136,3
|
568,3
|
4,17
|
Таблица 2.2.6
Расчётная таблица урожайности с/х культур
|
№ п/п
|
Пшеница озимая
|
Бахчевые
|
Ячмень
|
|
Валовой сбор
|
Площадь
|
Урожайность
|
Валовой сбор
|
Площадь
|
Урожайность
|
Валовой сбор
|
Площадь
|
Урожай-ность
|
|
1
|
35465
|
1372,6
|
25,84
|
20367
|
123,5
|
164,91
|
15471,7
|
651,4
|
23,75
|
|
2
|
31853
|
1158,8
|
27,49
|
35043
|
147
|
238,39
|
11488,8
|
531,5
|
21,62
|
|
3
|
46185
|
1325
|
34,86
|
26825
|
152,2
|
176,25
|
12581,2
|
562,3
|
22,37
|
|
4
|
36563
|
1224
|
29,87
|
22115
|
133,1
|
166,15
|
10216,6
|
583,9
|
17,50
|
|
5
|
29859
|
1069
|
27,93
|
22281
|
132,5
|
168,16
|
12795,4
|
607,6
|
21,06
|
|
6
|
26611
|
1124,3
|
23,67
|
18304
|
131,4
|
139,30
|
11388,4
|
550,2
|
20,70
|
|
7
|
27132
|
1194,7
|
22,71
|
19950
|
142,1
|
140,39
|
12735
|
611,4
|
20,83
|
|
8
|
26227
|
1011
|
25,94
|
20840
|
145,2
|
143,53
|
12479,5
|
514
|
24,28
|
|
9
|
31203
|
1029,2
|
30,32
|
16292
|
124,6
|
130,75
|
11871,3
|
508,2
|
23,36
|
|
10
|
27406
|
1219,7
|
22,47
|
19478
|
113,7
|
171,31
|
12817,3
|
621,9
|
20,61
|
|
11
|
28885
|
1217,6
|
23,72
|
19807
|
141,5
|
139,98
|
12039,9
|
679,3
|
17,72
|
|
12
|
30072
|
1102,3
|
27,28
|
21807
|
145,8
|
149,57
|
12351,5
|
554
|
22,30
|
|
13
|
35262
|
1195
|
29,51
|
18757
|
117,1
|
160,18
|
14274,9
|
572,7
|
24,93
|
|
14
|
25693
|
1201,9
|
21,38
|
25888
|
153,2
|
168,98
|
12692,4
|
585,7
|
21,67
|
|
15
|
38340
|
951,5
|
40,29
|
22664
|
134,7
|
168,25
|
15038,7
|
647
|
23,24
|
|
16
|
20885
|
1038,9
|
20,10
|
15300
|
116,2
|
131,67
|
11446,7
|
550,4
|
20,80
|
|
17
|
32693
|
1141,7
|
28,63
|
22474
|
123,7
|
181,68
|
10792
|
511,4
|
21,10
|
|
18
|
36665
|
1040,1
|
35,25
|
16912
|
114,9
|
147,19
|
11867,6
|
592,2
|
20,04
|
|
19
|
22808
|
1073,9
|
21,24
|
22665
|
140,3
|
161,55
|
11092,9
|
515,9
|
21,50
|
|
20
|
32034
|
1106,9
|
28,94
|
19068
|
137,1
|
139,08
|
13198,5
|
597
|
22,11
|
|
21
|
28544
|
1155,3
|
24,71
|
25109
|
143,5
|
174,97
|
14329,2
|
569,8
|
|
22
|
32780
|
1039,6
|
31,53
|
21399
|
147,3
|
145,28
|
10789,8
|
584,4
|
18,46
|
|
23
|
28614
|
1103,9
|
25,92
|
16437
|
136,8
|
120,15
|
14189,3
|
568,3
|
24,97
|
.3
Нахождение коэффициента корреляции
Таблица 2.3.1
Корреляционная зависимость между азотными удобрениями и озимой пшеницей
|
№п/п
|
Урожайность (y)
|
Удобрения на 1 га(x)
|
y2
|
x2
|
x*y
|
|
1
|
25,84
|
3,80
|
667,58
|
14,41
|
98,08
|
|
2
|
27,49
|
5,38
|
755,58
|
28,91
|
147,81
|
|
3
|
34,86
|
3,02
|
1215,00
|
9,14
|
105,37
|
|
4
|
29,87
|
6,19
|
892,32
|
38,37
|
185,03
|
|
5
|
27,93
|
9,06
|
780,19
|
82,07
|
253,04
|
|
6
|
23,67
|
7,08
|
560,20
|
50,06
|
167,47
|
|
7
|
22,71
|
4,42
|
515,75
|
19,55
|
100,41
|
|
8
|
25,94
|
2,54
|
672,97
|
6,47
|
65,98
|
|
9
|
30,32
|
3,46
|
919,16
|
11,99
|
104,99
|
|
10
|
22,47
|
4,32
|
504,86
|
18,64
|
97,01
|
|
11
|
23,72
|
3,34
|
562,78
|
11,16
|
79,27
|
|
12
|
27,28
|
2,89
|
744,28
|
8,35
|
78,83
|
|
13
|
29,51
|
4,35
|
870,70
|
18,97
|
128,50
|
|
14
|
21,38
|
11,86
|
456,99
|
140,77
|
253,64
|
|
15
|
40,29
|
2,24
|
1623,65
|
5,01
|
90,15
|
|
16
|
20,10
|
4,93
|
404,11
|
24,31
|
99,12
|
|
17
|
28,63
|
5,74
|
819,96
|
32,98
|
164,45
|
|
18
|
35,25
|
2,70
|
1242,69
|
7,29
|
95,19
|
|
19
|
21,24
|
12,32
|
451,08
|
151,67
|
261,56
|
|
20
|
28,94
|
4,51
|
837,56
|
20,36
|
130,59
|
|
21
|
24,71
|
9,29
|
610,41
|
86,25
|
229,45
|
|
22
|
31,53
|
3,09
|
994,22
|
9,53
|
97,36
|
|
23
|
25,92
|
3,74
|
671,87
|
14,00
|
97,00
|
|
Сумма
|
629,60
|
120,28
|
17773,91
|
810,27
|
3130,29
|
|
Среднее
|
27,37
|
5,23
|
772,78
|
35,23
|
136,10
|
|
Среднее в квадрате
|
749,34
|
27,35
|
|
|
|
|
Среднее квадратическое отклонение
|
5,48
|
745,40
|
|
|
|
|
Коэффициент
|
-0,0017
|
|
|
|
|
Рис. 2.3.1
Таблица 2.3.2
Корреляционная зависимость между фосфорными удобрениями и озимой пшеницей
|
№п/п
|
Урожайность (y)
|
Удобрения на 1 га(x)
|
y2
|
x2
|
x*y
|
|
1
|
25,84
|
2,56
|
667,58
|
6,53
|
66,04
|
|
2
|
27,49
|
3,91
|
755,58
|
15,26
|
107,39
|
|
3
|
34,86
|
2,00
|
1215,00
|
3,98
|
69,56
|
|
4
|
29,87
|
4,24
|
892,32
|
17,99
|
126,69
|
|
5
|
27,93
|
5,91
|
780,19
|
34,96
|
165,15
|
|
6
|
23,67
|
4,54
|
560,20
|
20,57
|
107,34
|
|
7
|
22,71
|
2,73
|
515,75
|
7,47
|
62,06
|
|
8
|
25,94
|
1,68
|
672,97
|
2,82
|
43,57
|
|
9
|
30,32
|
2,36
|
919,16
|
5,57
|
71,58
|
|
10
|
22,47
|
2,89
|
504,86
|
8,33
|
64,83
|
|
11
|
23,72
|
2,11
|
562,78
|
4,45
|
50,04
|
|
12
|
27,28
|
1,90
|
744,28
|
3,60
|
51,76
|
|
13
|
29,51
|
2,93
|
870,70
|
8,61
|
86,57
|
|
14
|
21,38
|
7,78
|
456,99
|
60,60
|
166,41
|
|
15
|
40,29
|
1,29
|
1623,65
|
1,68
|
52,16
|
|
16
|
20,10
|
3,31
|
404,11
|
10,94
|
66,49
|
|
17
|
28,63
|
3,65
|
819,96
|
13,32
|
104,52
|
|
18
|
35,25
|
1,73
|
1242,69
|
3,00
|
61,08
|
|
19
|
21,24
|
8,80
|
451,08
|
77,48
|
186,95
|
|
20
|
28,94
|
2,92
|
837,56
|
8,51
|
84,43
|
|
21
|
24,71
|
6,17
|
610,41
|
38,09
|
152,48
|
|
22
|
31,53
|
2,02
|
994,22
|
4,09
|
63,75
|
|
23
|
25,92
|
2,54
|
671,87
|
6,47
|
65,91
|
|
Сумма
|
629,60
|
79,97
|
17773,91
|
364,31
|
2076,77
|
|
Среднее
|
27,37
|
3,48
|
772,78
|
15,84
|
90,29
|
|
Среднее в квадрате
|
749,34
|
12,09
|
|
|
|
|
Среднее квадратическое отклонение
|
745,40
|
|
|
|
|
Коэффициент
|
-0,0019
|
|
|
|
|
Рис. 2.3.2
Таблица 2.3.3
Корреляционная зависимость между калийными удобрениями и озимой пшеницей
|
№п/п
|
Урожайность (y)
|
Удобрения на 1 га(x)
|
y2
|
x2
|
x*y
|
|
1
|
25,84
|
4,85
|
667,58
|
23,56
|
125,41
|
|
2
|
27,49
|
6,66
|
755,58
|
44,35
|
183,06
|
|
3
|
34,86
|
3,55
|
1215,00
|
12,60
|
123,72
|
|
4
|
29,87
|
7,01
|
892,32
|
49,20
|
209,53
|
|
5
|
27,93
|
8,83
|
780,19
|
78,05
|
246,77
|
|
6
|
23,67
|
7,99
|
560,20
|
63,85
|
189,13
|
|
7
|
22,71
|
5,23
|
515,75
|
27,36
|
118,79
|
|
8
|
25,94
|
2,83
|
672,97
|
8,00
|
73,36
|
|
9
|
30,32
|
3,99
|
919,16
|
15,91
|
120,94
|
|
10
|
22,47
|
5,08
|
504,86
|
25,81
|
114,14
|
|
11
|
23,72
|
3,79
|
562,78
|
14,33
|
89,82
|
|
12
|
27,28
|
3,52
|
744,28
|
12,39
|
96,05
|
|
13
|
29,51
|
5,36
|
870,70
|
28,69
|
158,05
|
|
14
|
21,38
|
1,35
|
456,99
|
1,83
|
28,90
|
|
15
|
40,29
|
2,76
|
1623,65
|
7,62
|
111,23
|
|
16
|
20,10
|
5,56
|
404,11
|
30,93
|
111,80
|
|
17
|
28,63
|
7,89
|
819,96
|
62,25
|
225,93
|
|
18
|
35,25
|
3,26
|
1242,69
|
10,61
|
114,83
|
|
19
|
21,24
|
15,54
|
451,08
|
241,53
|
330,08
|
|
20
|
28,94
|
5,07
|
837,56
|
25,73
|
146,81
|
|
21
|
24,71
|
10,42
|
610,41
|
108,52
|
257,38
|
|
22
|
31,53
|
3,68
|
994,22
|
13,56
|
116,12
|
|
23
|
25,92
|
4,31
|
671,87
|
18,58
|
111,73
|
|
Сумма
|
629,60
|
128,54
|
17773,91
|
925,28
|
3403,58
|
|
Среднее
|
27,37
|
5,59
|
772,78
|
40,23
|
147,98
|
|
Среднее в квадрате
|
749,34
|
31,23
|
|
|
|
|
Среднее квадратическое отклонение
|
5,89
|
745,40
|
|
|
|
|
Коэффициент
|
-0,0011
|
|
|
|
|
Рис. 2.3.3
Таблица 2.3.4
Корреляционная зависимость между азотными удобрениями и бахчевыми
|
№п/п
|
Урожайность (y)
|
Удобрения на 1 га(x)
|
y2
|
x2
|
x*y
|
|
1
|
164,91
|
2,85
|
27195,62
|
8,10
|
469,27
|
|
2
|
238,39
|
2,65
|
56829,37
|
7,02
|
631,41
|
|
3
|
176,25
|
2,75
|
31064,18
|
7,55
|
484,21
|
|
4
|
166,15
|
3,65
|
27605,66
|
13,30
|
605,88
|
|
5
|
168,16
|
2,13
|
28276,52
|
4,55
|
358,79
|
|
6
|
139,30
|
4,98
|
19404,87
|
24,77
|
693,34
|
|
7
|
140,39
|
5,97
|
19710,70
|
35,65
|
838,24
|
|
8
|
143,53
|
2,01
|
20599,76
|
4,02
|
287,85
|
|
9
|
130,75
|
11,43
|
17096,72
|
130,67
|
1494,68
|
|
10
|
171,31
|
4,66
|
29346,67
|
21,71
|
798,27
|
|
11
|
139,98
|
1,92
|
19594,06
|
3,70
|
269,12
|
|
12
|
149,57
|
7,36
|
22370,76
|
54,22
|
1101,37
|
|
13
|
160,18
|
2,21
|
25657,69
|
4,86
|
353,24
|
|
14
|
168,98
|
3,81
|
28553,94
|
14,52
|
643,97
|
|
15
|
168,25
|
2,06
|
28309,62
|
4,26
|
347,07
|
|
16
|
131,67
|
2,52
|
17335,73
|
6,33
|
331,16
|
|
17
|
181,68
|
2,09
|
33006,69
|
4,38
|
380,26
|
|
18
|
147,19
|
3,26
|
21664,30
|
10,66
|
480,45
|
|
19
|
161,55
|
2,89
|
26097,56
|
8,33
|
466,36
|
|
20
|
139,08
|
3,37
|
19342,50
|
11,35
|
468,49
|
|
21
|
174,97
|
1,95
|
30615,24
|
3,80
|
341,15
|
|
22
|
145,28
|
5,96
|
21105,01
|
35,56
|
866,36
|
|
23
|
120,15
|
8,60
|
14437,22
|
74,02
|
1033,79
|
|
Сумма
|
3627,66
|
91,08
|
585220,41
|
493,33
|
13744,72
|
|
Среднее
|
157,72
|
3,96
|
25444,37
|
21,45
|
597,60
|
|
Среднее в квадрате
|
24876,98
|
15,68
|
|
|
|
|
Среднее квадратическое отклонение
|
4,18
|
25286,64
|
|
|
|
|
Коэффициент
|
-0,0003
|
|
|
|
|
Рис. 2.3.4
Таблица 2.3.5
Корреляционная зависимость между фосфорными удобрениями и бахчевыми
|
№п/п
|
Урожайность (y)
|
Удобрения на 1 га(x)
|
y2
|
x2
|
x*y
|
|
1
|
2,85
|
27195,62
|
8,10
|
469,27
|
|
2
|
238,39
|
2,65
|
56829,37
|
7,02
|
631,41
|
|
3
|
176,25
|
2,75
|
31064,18
|
7,55
|
484,21
|
|
4
|
166,15
|
3,65
|
27605,66
|
13,30
|
605,88
|
|
5
|
168,16
|
2,13
|
28276,52
|
4,55
|
358,79
|
|
6
|
139,30
|
4,98
|
19404,87
|
24,77
|
693,34
|
|
7
|
140,39
|
5,97
|
19710,70
|
35,65
|
838,24
|
|
8
|
143,53
|
2,01
|
20599,76
|
4,02
|
287,85
|
|
9
|
130,75
|
11,43
|
17096,72
|
130,67
|
1494,68
|
|
10
|
171,31
|
4,66
|
29346,67
|
21,71
|
798,27
|
|
11
|
139,98
|
1,92
|
19594,06
|
3,70
|
269,12
|
|
12
|
149,57
|
7,36
|
22370,76
|
54,22
|
1101,37
|
|
13
|
160,18
|
2,21
|
25657,69
|
4,86
|
353,24
|
|
14
|
168,98
|
3,81
|
28553,94
|
14,52
|
643,97
|
|
15
|
168,25
|
2,06
|
28309,62
|
4,26
|
347,07
|
|
16
|
131,67
|
2,52
|
17335,73
|
6,33
|
331,16
|
|
17
|
181,68
|
2,09
|
33006,69
|
4,38
|
380,26
|
|
18
|
147,19
|
3,26
|
21664,30
|
10,66
|
480,45
|
|
19
|
161,55
|
2,89
|
26097,56
|
8,33
|
466,36
|
|
20
|
139,08
|
3,37
|
19342,50
|
11,35
|
468,49
|
|
21
|
174,97
|
1,95
|
30615,24
|
3,80
|
341,15
|
|
22
|
145,28
|
5,96
|
21105,01
|
35,56
|
866,36
|
|
23
|
120,15
|
8,60
|
14437,22
|
74,02
|
1033,79
|
|
Сумма
|
3627,66
|
91,08
|
585220,41
|
493,33
|
13744,72
|
|
Среднее
|
157,72
|
3,96
|
25444,37
|
21,45
|
597,60
|
|
Среднее в квадрате
|
24876,98
|
15,68
|
|
|
|
|
Среднее квадратическое отклонение
|
4,18
|
25286,64
|
|
|
|
|
Коэффициент
|
-0,0003
|
|
|
|
|
Рис. 2.3.5
Таблица 2.3.6
Корреляционная зависимость между калийными удобрениями и бахчевыми
|
№п/п
|
Урожайность (y)
|
Удобрения на 1 га(x)
|
y2
|
x2
|
x*y
|
|
1
|
164,91
|
3,64
|
27195,62
|
13,27
|
600,78
|
|
2
|
238,39
|
3,17
|
56829,37
|
10,08
|
756,87
|
|
3
|
176,25
|
3,25
|
31064,18
|
10,58
|
573,19
|
|
4
|
166,15
|
4,08
|
27605,66
|
16,67
|
678,36
|
|
5
|
168,16
|
2,66
|
28276,52
|
7,08
|
447,40
|
|
6
|
139,30
|
5,95
|
19404,87
|
35,35
|
828,24
|
|
7
|
140,39
|
7,32
|
19710,70
|
53,65
|
1028,36
|
|
8
|
143,53
|
1,74
|
20599,76
|
3,02
|
249,58
|
|
9
|
130,75
|
15,38
|
17096,72
|
236,63
|
2011,36
|
|
10
|
171,31
|
5,19
|
29346,67
|
26,95
|
889,40
|
|
11
|
139,98
|
2,27
|
19594,06
|
5,18
|
318,44
|
|
12
|
149,57
|
8,78
|
22370,76
|
77,14
|
1313,68
|
|
13
|
160,18
|
2,75
|
25657,69
|
7,56
|
440,31
|
|
14
|
168,98
|
4,63
|
28553,94
|
21,42
|
782,10
|
|
15
|
168,25
|
2,51
|
28309,62
|
6,29
|
422,05
|
|
16
|
131,67
|
2,93
|
17335,73
|
8,57
|
385,38
|
|
17
|
181,68
|
2,46
|
33006,69
|
6,05
|
446,79
|
|
18
|
147,19
|
3,88
|
21664,30
|
15,07
|
571,35
|
|
19
|
161,55
|
3,62
|
26097,56
|
13,08
|
584,15
|
|
20
|
139,08
|
3,94
|
19342,50
|
15,52
|
547,92
|
|
21
|
174,97
|
2,24
|
30615,24
|
5,00
|
391,10
|
|
22
|
145,28
|
7,33
|
21105,01
|
53,70
|
1064,63
|
|
23
|
120,15
|
10,06
|
14437,22
|
101,18
|
1208,62
|
|
Сумма
|
3627,66
|
109,79
|
585220,41
|
749,04
|
16540,05
|
|
Среднее
|
157,72
|
4,77
|
25444,37
|
32,57
|
719,13
|
|
Среднее в квадрате
|
24876,98
|
22,78
|
|
|
|
|
Среднее квадратическое отклонение
|
5,27
|
25286,64
|
|
|
|
|
Коэффициент
|
-0,0003
|
|
|
|
|
Рис. 2.3.6
Таблица 2.3.7
Корреляционная зависимость между азотными удобрениями и ячменя
|
№п/п
|
Урожайность (y)
|
Удобрения на 1 га(x)
|
y2
|
x2
|
x*y
|
|
1
|
23,75
|
2,67
|
564,13
|
7,11
|
63,33
|
|
2
|
21,62
|
1,99
|
467,24
|
3,97
|
43,08
|
|
3
|
22,37
|
1,98
|
500,62
|
44,33
|
|
4
|
17,50
|
4,22
|
306,15
|
17,83
|
73,87
|
|
5
|
21,06
|
2,04
|
443,48
|
4,15
|
42,89
|
|
6
|
20,70
|
5,99
|
428,43
|
35,92
|
124,06
|
|
7
|
20,83
|
2,78
|
433,86
|
7,71
|
57,83
|
|
8
|
24,28
|
2,14
|
589,48
|
4,58
|
51,95
|
|
9
|
23,36
|
2,81
|
545,67
|
7,92
|
65,73
|
|
10
|
20,61
|
8,85
|
424,77
|
78,26
|
182,32
|
|
11
|
17,72
|
5,99
|
314,14
|
35,82
|
106,08
|
|
12
|
22,30
|
2,78
|
497,07
|
7,71
|
61,91
|
|
13
|
24,93
|
2,72
|
621,29
|
7,42
|
67,88
|
|
14
|
21,67
|
3,57
|
469,61
|
12,75
|
77,39
|
|
15
|
23,24
|
2,90
|
540,27
|
8,40
|
67,35
|
|
16
|
20,80
|
2,09
|
432,52
|
4,39
|
43,56
|
|
17
|
21,10
|
11,68
|
445,33
|
136,32
|
246,39
|
|
18
|
20,04
|
2,62
|
401,60
|
6,88
|
52,58
|
|
19
|
21,50
|
2,71
|
462,34
|
7,36
|
58,32
|
|
20
|
22,11
|
5,02
|
488,77
|
25,21
|
111,01
|
|
21
|
25,15
|
4,11
|
632,41
|
16,88
|
103,31
|
|
22
|
18,46
|
3,30
|
340,88
|
10,86
|
60,86
|
|
23
|
24,97
|
3,11
|
623,40
|
9,70
|
77,75
|
|
Сумма
|
500,06
|
88,07
|
10973,45
|
461,07
|
1883,79
|
|
Среднее
|
21,74
|
3,83
|
477,11
|
20,05
|
81,90
|
|
Среднее в квадрате
|
472,71
|
14,66
|
|
|
|
|
Среднее квадратическое отклонение
|
4,03
|
455,36
|
|
|
|
|
Коэффициент
|
-0,0007
|
|
|
|
|
Рис. 2.3.7
Таблица 2.3.8
Корреляционная зависимость между калийными удобрениями и ячменя
|
№п/п
|
Урожайность (y)
|
Удобрения на 1 га(x)
|
y2
|
x2
|
x*y
|
|
1
|
23,75
|
3,85
|
564,13
|
14,86
|
91,55
|
|
2
|
21,62
|
2,84
|
467,24
|
8,04
|
61,31
|
|
3
|
22,37
|
2,97
|
500,62
|
8,81
|
66,43
|
|
4
|
17,50
|
6,12
|
306,15
|
37,46
|
107,09
|
|
5
|
21,06
|
2,80
|
443,48
|
7,85
|
58,99
|
|
6
|
20,70
|
8,68
|
428,43
|
75,31
|
179,63
|
|
7
|
20,83
|
3,73
|
433,86
|
13,90
|
77,65
|
|
8
|
24,28
|
2,81
|
589,48
|
7,91
|
68,31
|
|
9
|
23,36
|
3,93
|
545,67
|
15,45
|
91,81
|
|
10
|
20,61
|
11,96
|
424,77
|
143,03
|
246,49
|
|
11
|
17,72
|
8,83
|
314,14
|
78,03
|
156,57
|
|
12
|
22,30
|
3,90
|
497,07
|
15,18
|
86,86
|
|
13
|
24,93
|
3,20
|
621,29
|
10,24
|
79,75
|
|
14
|
21,67
|
4,89
|
469,61
|
23,94
|
106,04
|
|
15
|
23,24
|
3,94
|
540,27
|
15,49
|
91,48
|
|
16
|
20,80
|
2,87
|
432,52
|
8,25
|
59,74
|
|
17
|
21,10
|
17,39
|
445,33
|
302,57
|
367,07
|
|
18
|
20,04
|
3,64
|
401,60
|
13,26
|
72,99
|
|
19
|
21,50
|
3,89
|
462,34
|
15,11
|
83,59
|
|
20
|
22,11
|
7,42
|
488,77
|
55,00
|
163,96
|
|
21
|
25,15
|
5,59
|
632,41
|
31,27
|
140,62
|
|
22
|
18,46
|
4,88
|
340,88
|
23,84
|
90,14
|
|
23
|
24,97
|
4,17
|
623,40
|
17,38
|
104,10
|
|
Сумма
|
500,06
|
124,31
|
10973,45
|
942,19
|
2652,15
|
|
Среднее
|
21,74
|
5,40
|
477,11
|
40,96
|
115,31
|
|
Среднее в квадрате
|
472,71
|
29,21
|
|
|
|
|
Среднее квадратическое отклонение
|
5,96
|
455,36
|
|
|
|
|
Коэффициент
|
-0,0008
|
|
|
|
|
Рис. 2.3.8
Таблица 2.3.9
Корреляционная зависимость между калийными удобрениями и ячменя
|
№п/п
|
Урожайность (y)
|
Удобрения на 1 га(x)
|
y2
|
x2
|
x*y
|
|
1
|
23,75
|
3,85
|
564,13
|
14,86
|
91,55
|
|
2
|
21,62
|
2,84
|
467,24
|
8,04
|
61,31
|
|
3
|
22,37
|
2,97
|
500,62
|
8,81
|
66,43
|
|
4
|
17,50
|
6,12
|
306,15
|
37,46
|
107,09
|
|
5
|
21,06
|
2,80
|
443,48
|
7,85
|
58,99
|
|
6
|
8,68
|
428,43
|
75,31
|
179,63
|
|
7
|
20,83
|
3,73
|
433,86
|
13,90
|
77,65
|
|
8
|
24,28
|
2,81
|
589,48
|
7,91
|
68,31
|
|
9
|
23,36
|
3,93
|
545,67
|
15,45
|
91,81
|
|
10
|
20,61
|
11,96
|
424,77
|
143,03
|
246,49
|
|
11
|
17,72
|
8,83
|
314,14
|
78,03
|
156,57
|
|
12
|
22,30
|
3,90
|
497,07
|
15,18
|
86,86
|
|
13
|
24,93
|
3,20
|
621,29
|
10,24
|
79,75
|
|
14
|
21,67
|
4,89
|
469,61
|
23,94
|
106,04
|
|
15
|
23,24
|
3,94
|
540,27
|
15,49
|
91,48
|
|
16
|
20,80
|
2,87
|
432,52
|
8,25
|
59,74
|
|
17
|
21,10
|
17,39
|
445,33
|
302,57
|
367,07
|
|
18
|
20,04
|
3,64
|
401,60
|
13,26
|
72,99
|
|
19
|
21,50
|
3,89
|
462,34
|
15,11
|
83,59
|
|
20
|
22,11
|
7,42
|
488,77
|
55,00
|
163,96
|
|
21
|
25,15
|
5,59
|
632,41
|
31,27
|
140,62
|
|
22
|
18,46
|
4,88
|
340,88
|
23,84
|
90,14
|
|
23
|
24,97
|
4,17
|
623,40
|
17,38
|
104,10
|
|
Сумма
|
500,06
|
124,31
|
10973,45
|
942,19
|
2652,15
|
|
Среднее
|
21,74
|
5,40
|
477,11
|
40,96
|
115,31
|
|
Среднее в квадрате
|
472,71
|
29,21
|
|
|
|
|
Среднее квадратическое отклонение
|
5,96
|
455,36
|
|
|
|
|
Коэффициент
|
-0,0008
|
|
|
|
|
Рис. 2.3.9
.3.10 Итоговая
таблица коэффициента корреляции
|
Культура
|
виды внесенных удобрений
|
Коэффициент корреляции
|
|
пшеница озимая
|
азотные
|
-0,0017
|
|
калийные
|
-0,0011
|
|
фосфорные
|
-0,0019
|
|
Горох
|
азотные
|
-0,0003
|
|
калийные
|
-0,0003
|
|
фосфорные
|
-0,0003
|
|
Овощи
|
азотные
|
-0,0007
|
|
калийные
|
-0,0008
|
|
фосфорные
|
-0,0007
|
Анализ результатов
Из полученных данных видно, что связи между внесением удобрений и
урожайностью обратные, так как коэффициенты корреляции имеют отрицательные
значения. Если коэффициент корреляции колеблется в пределах от 0-0,33, то связь
слабая, от 0,33-0,66 - средняя, от 0,66-1 - сильная.
В данном случае связь между внесением азотных (коэффициент корреляции -
-0,0017), фосфорных (коэффициент корреляции - -0,0019) и калийных удобрений
(коэффициент корреляции - -0,0011) и урожайностью пшеницы озимой слабая. Это
говорит, что урожайность мало зависит от внесения удобрений.
При исследовании связи между внесением азотных (коэффициент корреляции -
-0,0003), фосфорных (коэффициент корреляции - -0,0003 и калийных удобрений
(коэффициент корреляции - -0,0003) и гороха слабая. Это означает, что
урожайность овощей мало зависит от внесения азотных, фосфорных и калийных
удобрений
При исследовании связи между внесением азотных (коэффициент корреляции -
-0,0007), фосфорных (коэффициент корреляции - -0,0007) и калийных удобрений
(коэффициент корреляции - -0,0008) и овощей слабая. Это означает, что
урожайность бахчевых мало зависит от внесения калийных, азотных и фосфорных
удобрений.
Список литературы
1. Балинова
B.C. Статистика в вопросах и ответах: Учеб. пособие. - М.: ТК. Велби, Изд-во
Проспект, 2004. - 344 с.
2. Годин
А.М. Статистика: Учебник для экон. вузов. М.: Дашков и К, 2006 - 492 с.
. Едронова
В.Н. Общая теория статистики: Учебник для вузов 2-е изд., переработ. и допол. -
М.: Магистр, 2007. - 606 с.
. Ряузов
Н.Н. Общая теория статистики. М.: Финансы и статистика, 1984
. Сиденко
А.В., Попов Г.Ю. Матвеева В.М. Статистика. Учебник. М.: Дело и сервис, 2000
. Шмойлова
Р.А. Практикум по теории статистики: Учебное пособие для вузов/ Р.А. Шмойлова,
В.Г. Минашкин, Садовникова Н.А. и др. - 2-е изд. переработ. и дополн. -
М.:Финансы и статистика, 2007 - 416 с.
. Яблокова
С.А. Статистика: Конспект лекций - М.:ПРИОР, 2007 - 96 с.