Аналіз бідності в Україні: економічний і соціальний аспект

  • Вид работы:
    Курсовая работа (т)
  • Предмет:
    Социология
  • Язык:
    Украинский
    ,
    Формат файла:
    MS Word
    67,98 Кб
  • Опубликовано:
    2015-02-27
Вы можете узнать стоимость помощи в написании студенческой работы.
Помощь в написании работы, которую точно примут!

Аналіз бідності в Україні: економічний і соціальний аспект

Зміст

бідність населення державний політика

Вступ

. Бідність як соціально-економічне явище

. Методика вимірювання бідності

. Аналіз бідності в Україні: економічний і соціальний аспект

. Оцінка ефективності заходів державної політики щодо боротьби з бідністю

. Світовий досвід розв’язання проблеми бідності

. Шляхи подолання бідності в Україні

Висновок

Список використаної літератури

Додаток

Вступ

Проблема бідності - це складна багатопланова проблема, причини виникнення якої мають як національний, так і міжнародний характер. Не існує універсального шляху вирішення цієї проблеми. Проблему треба розв'язувати на національному рівні, враховуючи особливості конкретної держави. Перехідний період в Україні негативно позначився на рівні життя населення і знаменувався підвищенням рівня бідності.

Зауважимо, що у вітчизняній науці та практиці вивченню проблеми бідності на початку 90-х років приділялося мало уваги, доказом чого є брак науково обґрунтованих концепцій та бази емпіричних даних для досліджень та порівнянь. Лише останніми роками в Україні почали з'являтися праці, присвячені теоретичним аспектам даної проблеми. Актуальність та важливість вирішення проблеми бідності підтверджується тим, що ця проблема стосується життя мільйонів українців. Масштаби бідності вражають - "чотири з п'ятьох - бідні". Зазначимо також, що 1/3 населення країн, що розвиваються, бідні. Бідність є гальмом прогресу як технічного, так і економічного (маючи на увазі звуження торгівлі, спад виробництва, низькі темпи зростання тощо) та соціального (низький життєвий рівень населення, відсутність соціального благополуччя) тощо.

"Звичайно, бідність - то не ганьба. Мабуть, цю давню приказку придумали-таки бідаки. Принаймні, змушені були придумати, зважаючи на природу цього одвічного явища. Втім, принизлива, особливо тоді, коли йдеться про неї в масштабах держави". Адже за рівнем доходів громадян визначається місце держави у світі. Тому вирішення цієї проблеми є невід'ємною складовою державної політики.

Проблема поділу на багатих і бідних є однією з найактуальніших в українському суспільстві. Бідні в Україні мають багато спільного з бідними в будь-якій іншій частині світу; для них є характерним утруднений доступ до ресурсів і послуг, низький рівень життя, поганий стан здоров'я, обмеженість соціальних взаємин, відчуття себе особами "другого сорту" в очах небідних, почуття незахищеності та безсилля.

В той же час бідність в Україні має практично виключні риси, притаманні лише їй та частині країн-сусідів на пострадянському просторі.

Вважається, що одним з найбільш значимих факторів поширення бідності є падіння обсягів виробництва. Останнє мало місце у всіх колишніх соціалістичних країнах, але особливо воно торкнулося країн СНД, зокрема України.

Масштабне скорочення виробництва в Україні, що мало місце внаслідок повільних і непослідовних реформ, викликало значне зниження зайнятості і рівня оплати праці. Ці наслідки збільшилися у зв'язку з необхідністю підвищити продуктивність і перебороти характерну для старої системи практику збереження на підприємствах надлишкової робочої сили. Одночасно зменшилася і пропозиція на ринку праці, як наслідок раннього виходу на пенсію, припинення спроб знайти роботу й обрання жінками ролі домогосподарок. Все це мало своїм наслідком бідність, але бідність специфічну.

Отже, у даній курсовій роботі, ми будем розглядати питання бідності, як соціального явища, фактори та чинники які впливають на бідність населення, шляхи подолання бідності, зарубіжний досвід розв’язання проблеми бідності, проаналізуємо бідність в Україні та заходи державної політики щодо подолання бідності. Розглянемо дослідження вчених про дану проблему.

1. Бідність як соціально-економічне явище

Бідність - це соціальні відносини, що характеризуються відсутністю необхідних матеріальних засобів для того, щоб проводити "нормальне" (відповідно до норм прийнятих суспільством) життя, наприклад, неможливість прогодувати свою родину, дати освіту дітям чи забезпечити сім'ю якісним медичним обслуговуванням.

Проведений короткий аналіз феномена бідності, здійснений у філософській і з наукового думки, дозволяє дати такі визначення бідності:

Бідність - це такий стан соціальності, у якій відсутні одна чи кілька складових: економічних, соціальних, моральних, правових, духовних, естетичних, виражають потреби і їхні коштовності особистості, групи, суспільства, цивілізації, що робить цей стан деструктивним.

Злидні - переважна відсутність у соціального суб'єкта всієї системи цінностей, крайня межа бідності.

Обездоленість - стан соціального суб'єкта,характеризуемое відсутністю можливості самореалізації, здобуття самодостатності у соціальному часу й просторі.

Причини бідності можна умовно розділити в 3 основні групи:

.        Причини, що йдуть від форм організації життя:

·        економічні (безробіття, низький рівень зарплат, пенсій, відсутність заощаджень);

·        юридичні (слабка правовий захист населення);

·        культурні (малограмотність мас);

·        адміністративні (неефективна система держави);

·        соціальні (слабке розвиток соціальних зв'язків, розшарування суспільства, проблеми соціалізації і самоактуалізації індивіда).

.        Зовнішні причини, стихийно-природниі (пожежі, неврожаї тощо.).

.        Внутрішні причини, індивидуально-особисті (хвороба, розумові і її фізичні дефекти, соціально-психологічний склад особистості та її духовність).

Головною причиною бідності населення є низький рівень доходів. Показники розвитку країни є валовий національний продукт (ВНП), який припадає на душу населення.

У світі нараховується близько сотні країн, які не пройшли стадію індустріалізації, рівень грамотності їхнього населення низький, їм властиве високе вимушене безробіття. Населення зайняте переважно в сільському господарстві, яке є головним постачальником продукції. У багатьох країнах, де мешкає ¾ населення світу, панують злидні і голод, там висока смертність населення у тому числі дитяча. Основними перешкодами для слаборозвинутих країн у вирішенні їхніх економічних і соціальних проблем є внутрішні причини, у тому числі соціально-культурні умови, в яких вони перебувають. Вплив останніх виявляється через зміни у мисленні людей, їх поведінці і спілкуванні, появі прагнення до розвитку. Соціокультурні перешкоди для такого прагнення можуть бути пов‘язані, наприклад із домінуванням племінних відносин і цінностей над загальнодержавними, коли міжплемінні заважають розвивати ефективну спеціалізацію і торгівлю в країні.

Поряд із внутрішніми факторами, які визначають місце слаборозвинутих країн у світовому господарстві, діють і зовнішні, пов‘язані із впливом країн. Їх концентрованим виявом є криза заборгованості по кредитах, отриманих країнами, що розвиваються. Ця заборгованість становить близько 50% валового національного продукту бідних країн. Одним з центральних завдань розвитку людського суспільства наприкінці ХХ ст.-поч. ХХІ ст. стало усунення загрози голоду.

Парадоксально, але в наші цивілізовані часи на Землі більше голодуючих, ніж будь-коли раніше в історії людства. За даними ООН нині в світі понад 1 млрд. людей не забезпечені продовольством. Голод став страшним лихом для величезного району світу - країн, що розвиваються. За даними організацій міжнародної організації з питань продовольства щорічно від недоїдання в Африці потерпають 30% населення. Якщо ця несприятлива тенденція не змінюється, та прогнозами експертів на Землі в найближчій роки голодуватимуть близько 1,5 млрд. чоловік.

Гостра нестача фінансових коштів, переважання примітивної сільськогосподарської техніки і технології, відсталі виробництва заважають здійсненню радикальних зрушень у продовольчому забезпеченні населення слаборозвинутих країн. Тому на пережитих етапах аграрних реформ потрібна зовнішня продовольча допомога з боку розвинутих країн світу.

Для розв‘язання продовольчої проблеми необхідно підвищення ефективності сільськогосподарського виробництва, впровадження передової агротехніки, високоврожайних культур, розвиток високопродуктивного тваринництва.

Бідність не може бути подолана без подолання енергетичної та ресурсної проблем. Бідність пов‘язана з недостатньою забезпеченістю сировинними ресур-сами процесу виробництва й життєдіяльності людей.

Більшість людей супроводжується хворобами. За даними Всесвітньої організації охорони здоров‘я, кожний п‘ятий житель землі зараз хворий, має погане здоров‘я або страждає від недоїдання. Подолати бідність можна вирішувати і через нові економічні підходи до слаборозвинутих країн, зниження митних тарифів на товари відсталих країн, зниження тарифів на товари відсталих країн, усунути різницю цін на експортовану та імпортовану продукцію. Дуже важливо залучати для розвитку власної економіки іноземні інвестиції. Активна участь держав, які розвиваються у світовій економічних відносинах сприятиме реформуванню їхньої економіки, динамічному розвитку і піднесенню націй основі добробуту народу, подолання бідності.

Вирізняють два види бідності:

. Абсолютна бідність пов'язані з нуждою в життєвих ресурсах, що забезпечують людині біологічне виживання. Йдеться про задоволення найелементарніших потреб - в їжі, житлі, одязі. Критерії цього виду бідності мало залежать від часу й місця проживання людини. Критерії абсолютної бідності пов'язані з біологічними характеристиками.

. Відносна бідність. Індивіда, сім'ю, соціальні групи населення можна вважати бідними, якщо вони не мають ресурсів для участі в суспільному житті, підтримки типів дієти, умов життя, праці та відпочинку, які є звичайними або, принаймні, широко прийнятими в суспільстві, в якому вони живуть.

Крім цієї базової класифікації типів бідності, є й інші підходи. Так, виділяють первинну бідність (це сім'ї, які проводять раціональне домашнє господарство, але не мають достатніх фінансових коштів) і вторинну бідність (сім'ї, які мають досить фінансових коштів, але є бідними через нераціональне ведення господарства). Нарешті, існує розподіл на "стійку" бідність (бідність "у спадок") і "плаваючу" (деякі бідні індивіди знаходять можливість збільшити свій рівень життя, але водночас є людьми із середнім статком які можуть розоритися і в той же час переходять до розряду бідняків). [1]

Отже, розглядаючи питання бідності, ми можемо зробити висновок, що бідність - це соціальний стан людини, при якому, індивід не може задовольнити свої потреби. Причинами бідності є безробіття, низький рівень зарплат, пенсій, неефективна система держави щодо подолання бідності, хвороби, мало обізнаність суспільства у даній проблемі. Види бідності поділяються на: абсолютну- це, задоволення найелементарніших потреб людини в їжі, одязі, житлі; та відносну - це коли людина не має ресурсів для покращення свого життя.

. Методика вимірювання бідності

Інструментом для визначення поширеності бідності та ступеня зубожіння населення є межа бідності. Люди вважаються бідними, якщо їхні доходи або споживання нижчі за певний рівень, що його визначають як межу бідності. Теоретично згідно з трактуванням бідності є два основних способи визначення межі бідності - нормативний та відносний (статистичний).

Нормативний спосіб, за визначенням, передбачає орієнтацію на певний соціальний норматив. Для визначення межі бідності ним є прожитковий мінімум (іноді його називають мінімальним споживчим бюджетом або мінімальним споживчим кошиком). До його складу входять вартість споживання продуктів харчування, непродовольчих товарів і платних послуг, достатніх для підтримання особою, сім'єю всіх соціальних зв'язків, притаманних цьому соціальному прошарку.

Спосіб визначення межі бідності за відносним критерієм набагато простіший. Згідно з ним вважається, що бідними є особи, чий дохід не перевищує певного відсотка від середньодушового доходу у країні. Межа бідності у світовій практиці визначається на рівні 35-50% медіанного доходу.

Крім зазначених критеріїв визначення межі бідності є кілька інших критеріїв віднесення населення до бідних, які так само застосовуються в дослідженні бідності та розробці конкретних заходів щодо допомоги бідним і запобігання цьому явищу. Зокрема, це структурно-витратний, ресурсний, системний та суб'єктивний критерії.

За структурно-витратним критерієм бідними визнаються сім'ї, де витрати на найбільш життєво важливі товари та послуги перевищують певний відсоток щодо сукупних витрат. Зокрема, такими витратами можуть бути витрати на харчування.

Ресурсні критерії ґрунтуються на економічних можливостях держави забезпечити своїм громадянам гарантії певного мінімуму засобів існування. Якщо спостерігається значна розбіжність між нормативно обґрунтованим прожитковим мінімумом і економічними можливостями держави його забезпечити, ресурсний критерій може зовсім не враховувати засоби існування, потрібні для підтримання соціальних зв'язків людини, і забезпечуватиме лише фізичне її виживання.

За системним критерієм стан бідності визначається як за доходами на душу населення, так і за показниками функціонування соціальної сфери: охорони здоров'я, освіти. До цього критерію можуть входити також показники забезпеченості житлом та його якості, стан ринку праці тощо. Прикладом системного критерію є індекс людського розвитку, що обчислюється на підставі обсягу виробленого валового внутрішнього продукту на душу населення, середньої тривалості життя та рівня освіти населення.

Суб'єктивні критерії відбивають уявлення населення про власний стан. Результати оцінки стану бідності за суб'єктивними критеріями мають важливе значення для прогнозування соціальної напруженості в суспільстві, результатів виборів тощо.

Статистичні характеристики бідності

Найуживанішими статистичними характеристиками бідності є її рівень і глибина.

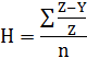
Рівень бідності (Р) - це питома вага сімей (домогосподарств, окремих осіб), чий рівень споживання (доходів) нижчий за визначену межу бідності:


де Є - кількість сімей (домогосподарств, окремих осіб), які визнаються бідними згідно з одним із критеріїв; п - загальна чисельність сімей (домогосподарств, населення).

Показник рівня бідності відбиває поширеність бідності, але не дає інформації про ступінь зубожіння певних груп населення. Адже вони можуть або жити у злиднях, або, навпаки, їхні доходи наближатимуться до межі бідності. Для визначення розбіжності між доходами бідних і межею бідності застосовують такий показник, як глиби-на бідності:


де Z - межа бідності; Y - доходи сімей (домогосподарств, окремих осіб), які визнані бідними.

Для комплексної оцінки бідності використовуються наступні показники :

·        межа крайньої форми бідності - вартісний поріг доходу (витрат), нижче якого є неможливим задоволення основних потреб людини;

·        рівень бідності - питома вага сімей (домогосподарств), у яких рівень споживання (доходів) на одну особу є нижчим від визначеної

·        межі бідності;

·        глибина бідності - це відхилення величини доходів (витрат) бідного населення від визначеної межі бідності;

·        середній дефіцит доходу бідного населення - це сума коштів, яких в середньому не вистачає одному бідному до визначеної межі бідності. Цей показник показує, наскільки одна людина є бідною по відношенню до прийнятої межі бідності;

·        сукупний дефіцит доходу бідного населення - це сума коштів , яких не вистачає бідному населенню країни в цілому до визначеної межі бідності.[9]

Отже, бідність вимірюються у таких показниках: межа крайньої форми бідності, межі бідності, глибина бідності, середній дефіцит доходу бідного населення, сукупний дефіцит доходу бідного населення, рівень бідності. Саме вони найкраще можуть відобразити питання які турбують населення стосовно проблеми бідності.

3. Аналіз бідності в Україні: економічний і соціальний аспект

Однією з першочергових проблем розвитку економіки країни та окремих її галузей є низький рівень життя населення, а саме рівень його доходів.

Бідність в Україні характеризується низкою національних ознак (Додаток А). Зокрема, специфічні особливості бідності в Україні мають прояв у наступному:

низький рівень життя населення в цілому;

надмірне соціальне та майнове розшарування;

розповсюдженість бідності серед працюючого населення;

зменшення середнього класу;

висока питома вага людей, що вважають себе бідними.

Для України регулювання доходів населення є надзвичайно актуальним питанням, оскільки в умовах нестабільності економічного розвитку спостерігається гостра суперечність між обмеженістю ресурсів для реалізації соціальних програм та зростаючими вимогами до кінцевого попиту як одного з головних чинників економічного зростання. Підвищення показників економічного добробуту громадян є головним завданням будь-якої держави, що прагне до стабільності та процвітання, тому оцінка сучасного рівня доходів населення України, його добробуту та причин щодо формування такого стану і розробка послідовних кроків вирішення цих проблем є завданням даного дослідження.

На сьогодні, заробітна плата будь-якого індивіда є основним засобом його існування, а прожитковий мінімум для пересічного українця є "прірвою" між життям та виживанням, тому порівняння показників мінімальної заробітної плати українця та можливого його прожиткового мінімуму за вимогами уряду України є важливим фактором покращення фінансового стану громадян. Загальний рівень доходів населення в Україні упродовж останніх років базується на мінімальній заробітній платі пересічного громадянина. Мінімальна заробітна плата - це законодавчо встановлений розмір заробітної плати за просту, некваліфіковану працю, нижче якого не може провадитися оплата за виконану працівником місячну, а також погодинну норму праці.

Розмір прожиткового мінімуму тарозмір мінімальної заробітної плати, повинен забезпечувати належний соціальний захист кожного громадянинаУкраїни. Згідно зі ст. 1 Закону України "Про прожитковий мінімум", прожитковий мінімум - це вартісна велична достатнього для забезпечення нормального функціонування організму людини, збереження його здоров’я набору продуктів харчування, а також мінімального набору непродовольчих товарів та мінімального набору послуг, необхідних для задоволення основних соціальних і культурних потреб особистості. [2]

Основною метою курсової роботи є обґрунтування відсутності середнього класу в Україні через невідповідність соціальних умов, рівня доходів громадян країни реаліям життя за соціальними нормами та відповідно ЗУ "Про прожитковий мінімум". Тому спостереження за рівнем доходів населення через показник мінімальної заробітної плати пересічного громадянина України, їх динаміки, порівняння із прожитковим мінімумом для середньостатистичного українця, а також аналіз співвідношення номінальної та реальної заробітної плати населення пересічного громадянина в Україні; тенденції змін індексу споживчих цін та спостереження за змінами вартості споживчого кошика середньостатистичного працюючого українця у впродовж останніх років, а саме з 1997 по 2013 рр., і є основними етапами дослідження.

Для того, щоб надати статистичну оцінку доходам населення, спочатку досліджувалось співвідношення динамік реальної та номінальної заробітної плати пересічного громадянина України, а потім вони порівнювались між собою. За даними офіційної статистики номінальна заробітна плата за 1997-2013 рр. коливалась в межах 160 грн. у 1997 р. та 3126 грн. в 2013 році. Середній темп зростання номінальної заробітної плати за досліджуваний період становив 122,5%, а середнє значення індексу споживчих цін за цей період склало 112,53% при середньому темпі зростання реальної заробітної плати - 123,34%. Як видно з таблиці 1, починаючи з 1997 року номінальна заробітна плата зростала великими темпами у порівнянні із зростанням реальної за обсягами. Так, цей показник у 2005 р. по відношенню до попереднього року мав найбільший темп зростання за весь досліджуваний період, який складав відповідно 136,7%, а найменший темп зростання у 2009 - 105,5%, що пояснюється негативним впливом світової економічної кризи на усі економічні показники в Україні. У 2006 році середня заробітна плата за місяць по Україні перевищила межу 1000 гривень та склала 1041,47 грн., при цьому її приріст становив 29,2% порівняно із 2005 р. У 2010 році економічна ситуація у країні набагато покращилася і темп зростання номінальної заробітної плати досяг 120%, а фактичний розмір номінальної заробітної плата на місяць перевищив межу 2000 грн., досягши відмітки 2239 гривень. Станом на 2013 рік за офіційними даними номінальна заробітна плата громадян України складала 3126 гривень.

Стосовно індексу споживчих цін, то темп його зростання у порівнянні з попереднім роком коливався в межах 99,4% в 2002 році та 125,8% в 2000 році протягом досліджуваного періоду. Загалом темп зростання індексу споживчих цін мав тенденцію до зростання протягом 1997-2008 років. Але в остання роки, починаючи з 2009, темп зростання індексу споживчих цін характеризуються тенденцією до зниження, так у 2009 він становив 112,3%, а в 2013 вже 102,3% по відношенню до попереднього року.

Реальна заробітна плата за досліджуваний період коливалась в межах 145,6 грн. в 1997 та 3007,2 грн. в 2013 році. Найбільший темп зростання реальної заробітної плати припав на 2005 рік та склав 139,2%, це пояснюється найбільшим зростанням розміру номінальної заробітної плати та досить поміркованим темпом зростання індексу споживчих цін, що склав 110,3%. Найменше значення темпу зростання реальної заробітної плати припало на 1998 рік, що викликано низьким темпом зростання реальної заробітної плати та високим показником зростання індексу споживчих цін - 120%. Фактичний розмір реальної заробітної плати перетнув межу у 1000 грн. в 2007 та склав 1158,7 грн., а темп зростання реальної заробітної плати по відношенню до попереднього року склав тоді 124,2%. Межу 2000 гривень реальна заробітна плата, як і номінальна, перетнула у 2010 році, в цей рік темп її зростання склав 120,9% (табл.3.1).

Таблиця 3.1.

Динаміка номінальної і реальної заробітної плати та індексу споживчих цін в Україні за 1997-2013 рр. [3]

Рік

Номінальна заробітна плата

Індекс споживчих цін, %

Реальна заробітна плата


грн.

Темп зростання до відповідного періоду попереднього року,%


грн.

Темп зростання до відповідного періоду попереднього року,%

1997

160,3

-

110,1

145,6

-

1998

171,8

107,2

120,0

143,2

98,3

1999

198,8

115,7

119,2

166,8

116,5

2000

230,0

115,7

125,8

182,8

109,6

2001

311,0

135,2

106,1

293,1

160,3

2002

376,0

120,9

99,4

378,3

129,0

2003

462,3

123,0

108,2

427,3

113,0

2004

589,6

127,5

112,3

525,0

122,9

2005

806,2

136,7

110,3

730,9

139,2

2006

1041,5

129,2

111,6

933,2

127,7

2007

1351,1

129,7

116,6

1158,7

124,2

2008

1806,3

133,7

122,3

1476,9

127,5

2009

1906,0

105,5

112,3

1697,2

114,9

2010

2239,0

117,5

109,1

2052,2

120,9

2011

2633,0

117,6

104,6

2517,2

122,7

2012

2813,0

106,8

99,1

2693,0

107,0

2013

3126,0

111,1

102,3

3007,2

111,7


Отже, незважаючи на позитивні показники зростання номінальної заробітної плати в Україні, говорити про високий рівень життя її населення не доводиться, оскільки показники реальної заробітної плати мають надто повільні тенденції до зростання, а варіація верхньої та нижньої межі, якої сягає на місяць заробітна плата громадян становить від 1118 грн. до 20000 грн. Це викликано, передусім, впливом інфляційних процесів в країні, які фактично зростають, що відповідно викликає здешевлення національної грошової одиниці, зниженням рівня добробуту населення в Україні, а за офіційними даними індекс інфляції має уповільнені темпи зростання упродовж всього періоду нашого дослідження.

Згідно законодавства України номінальна заробітна плата регулюється за рахунок розмірів мінімальної заробітної плати. Проаналізувавши показники та динаміку розміру мінімальної заробітної плати в Україні за 1997-2013 роки можна зробити висновки, що даний показник протягом усього досліджуваного періоду мав чітку тенденцію до зростання (табл.3.2).

Процес зростання цін за період 1997-2013 рр. проходив і триває до сьогодні в країні майже без гальмування, а отже і знецінення грошової національної одиниці України триває й досі. За динамікою змін, мінімальна заробітна плата пересічного громадянина (табл. 2) у 1998 р. зросла в 2рази і складала 200% порівняно з 1997 р., у 1999 та 2000 роках рівень мінімальної заробітної плати у грошовому еквіваленті не змінився та дорівнював 74 грн. З 2001 р. до 2013 р. мінімальна заробітна плата громадян України зростала, але темпи зростання були дуже повільними. В 2011р. взагалі відбулося гальмування, і мінімальна заробітна плата громадян зросла лише на 8,29% відносно попереднього 2010 року. Але у 2012 р. пішло не значне пожвавлення, яке становило 12,4% (табл. 3.2).

Варто відмітити, що значне підвищення рівня інфляції в Україні припало на події "Помаранчевої Революції" та періоду політичної нестабільності в державі, та, як наслідок цих подій, відбулося і підвищення рівня мінімальної заробітної плати з 605 грн. у 2009р. до 869 грн. у 2011р., при цьому приріст сягнув рівня 43,64%, або зріс на 264 грн. Найменший додатній приріст припадає на перше січня 2011 року і становить лише 8,29% або 72 грн. (табл.3.2 ).

Таблиця 3.2.

Динаміка розміру мінімальної заробітної плати громадян України за 1997-2013 рр. [3]

Дата

Мінімальна заробітна плата, грн.

Абсолютне зростання мінімальної з.п., грн.

Темп приросту мін. з.п .до попереднього року, %

01.01.1997

15

-

-

01.01.1998

45

30

200,00%

01.01.1999

74

29

64,44%

01.01.2000

74

0

0,00%

01.01.2001

118

44

59,46%

01.01.2002

140

22

18,64%

01.01.2003

185

45

32,14%

01.01.2004

205

20

10,81%

01.01.2005

262

57

27,80%

01.01.2006

350

88

33,59%

01.01.2007

400

50

14,29%

01.01.2008

515

115

28,75%

01.01.2009

605

90

17,48%

01.01.2010

869

264

43,64%

01.01.2011

941

72

8,29%

01.01.2012

1073

132

12,4%

01.01.2013

1147

74

8,4%


Таким чином, з моменту запровадження гривні, як національної грошової одиниці у 1996 році, під впливом дестабілізуючих факторів, мінімальна заробітна плата в Україні за період дослідження хоча і зросла приблизно у 71 раз (табл. 3.2), але добробут громадян країни, які мають фінансовий дохід у вигляді заробітної плати не зростав через інфляцію та здешевлення національної грошової одиниці, бо індекс купівельної спроможності національної грошової одиниці зменшувався, а індекс споживчих цін зростав.

За законодавчими актами мінімальна заробітна плата встановлюється у розмірі не нижчому за вартісну величину межі малозабезпеченості в розрахунку на одну працездатну особу, тобто в основу розрахунку розміру мінімальної заробітної плати індивіда покладено розмір його прожиткового мінімуму. Розмір прожиткового мінімуму встановлюється Кабінетом Міністрів України та затверджується Верховною Радою України при прийнятті Закону України "Про Державний Бюджет" на відповідний рік. Розрахунок прожиткового мінімуму здійснюється з використанням вартісної величини прожиткового мінімуму через мінімальний споживчий кошик, тобто набір продуктів харчування, непродовольчих товарів та набір послуг.

Прожитковий мінімум на одну особу, а також окремо для тих, хто відноситься до основних соціальних і демографічних груп населення, за поданням Кабінету Міністрів України затверджується Верховною Радою України щорічно допочатку розгляду Державного бюджету України і періодично переглядається відповідно до зростання індексу споживчих цін разом із уточненням показників Державного бюджету України та публікується в офіційних виданнях. [7]

В Україні прожитковий мінімум визначається нормативним методом у розрахунку на місяць на одну особу. Крім того, прожитковий мінімумвизначається диференційовано в залежності від вікового критерію або в залежності від соціальної та демографічної групи осіб:

-        для дітей віком до 6 років;

-        для дітейвіком від 6 до 18 років;

-        для працездатних осіб;

-        для осіб, які втратили працездатність.

Мінімальний споживчий кошик,тобто прожитковий мінімум, визначається, яквартість набору товарів та послуг, мінімально необхідних для задоволення потреб у харчуванні на рівні фізіологічномінімальних норм споживання (окремодля дорослих, дітей, людейпохилого віку), а також мінімальних потреб в одязі, взутті, предметах домашнього вжитку, медикаментах, комунальних і побутовихпослугах, транспорті, культурі тощо.

Слід зазначити, що за даними ООН, середня вартість споживчого кошика для однієї особи має становити 17 доларів на день. Якщо ж людина отримує заробітну плату близько 510 доларів на місяць, то вона перебуває на межі бідності. Тобто, в порівнянні з середньою заробітною платою громадянина в Україні, виходить, що заробіток українців на місяць майже вдвічі нижчий за межу бідності, ніж у сусідніх європейських країнахЗаробітна плата на сьогодні за офіційними даними в Україні, серед молоді до 30 років, коливається в межах 941 грн. або (118 дол.) а за стандартами ООН - 510 доларів на місяць, що не відповідає, а ні міжнародним стандартам ООН, а ні нормам щодо фізіологічних потреб людини [6]

Таблиця 3.3.

Вартість споживчого кошика на 1 місяць за 2010 р. [5]

Запропонований українською владою

1569 грн. / 196 дол.

Запропонований за даними опитування українців

3580 грн. / 447 дол.

Запропонований за розрахунками експертів ООН

510 дол.


Отже в таблиці 3.3 наведемо вартість споживчого кошика терміном на 1 місяць, які запропоновані владою України, за даними опитування українців та за розрахунками експертів ООН. З неї ми побачили що показники не співпадають один з одним, і показують не раціональне використання споживчого кошика.

Споживчий кошик в Україні був затверджений у 2000 р. та відтоді суттєво не переглядався владою України. Вартість набору продуктів і послуг, що входять до споживчої корзини, є найважливішим показником, виходячи з якого розраховуються прожитковий мінімум і мінімальна зарплата громадянина України.

За рішенням уряду України, склад споживчого кошика становить на 1 рік на одну особу:

два кілограми сала (або 5,5 грамів на день) на одного дорослого й півтора кілограма (трохи більше 4 грамів на день) на підлітка;

одне яйце на день на підлітка, пів яйця на дитину і 0,6 - на дорослого;

16 кг яловичини (більш,як 43 г на день);

свинини 8 кг на рік (21 г на день);

два кіло птиці (14 кг на рік, або 38 г на день);

ковбаси 9 кг (24,5 г, або один шматочок на день);

62 кг білого хліба (169,8 г на день, жити можна);

95 кг картоплі (260 г на день);

25 кг помідорів і огірків разом (68 г на день);

60 кг фруктів і ягід (164 г на день, півтора яблука);

13 кг кондитерських виробів на рік.

Розглянемо споживчий кошик громадянина України щодо забезпечення одягом (табл.3.4).

Таблиця 3.4.

Споживчий кошик українця на 2011рік, у розрізі забезпечення одягом [3]

Склад споживчого кошику (одяг)

Кількість, шт.

Роки використання

Балоньєва куртка на синтепоні

1

4

Чоловічий костюм

1

5

Джинси

2

7

Жіноче пальто

1

8

Жіноча осіння куртка

1

7

Сукня

2

7

Вовняна спідниця

1

5

Блузка

3

4

Купальник

1

4

Нижня білизна

6

2

Жіночі зимові чоботи

1

3

три ковдри (використовувати 10 років),

три подушки - (15 років),

6 підодіяльників - (5 років),

6 простирадл та наволочок - (4 роки),

3,5 шматка туалетного мила,

2 пачки прального порошку,

півпляшки шампуню та 1,4 тюбика зубної пасти,

три рулони туалетного паперу.

Медикаменти для сім`ї на рік:

3 пачки вати (було п'ять),

5 десятиметрових пакетів бинта,

5 упаковок валідолу або валеріани,

3 баночки йоду та зеленки,

6 упаковок болезаспокійливого або жарознижувального,

9 пачок вітамінів і 1 пачка гірчичників. [4]

Урядом України встановлені також і норми водопостачання від 3,2 до 5,6 кубометра на людину, 9,8 кубометра газу на місяць, тоді, як раніше було 31,36. Норма на місяць споживання електроенергії - 110 кВт/год. для квартир із газовими плитами, 225 для квартир з електроплитами. Місячна норма розмов на телефон - 20 хвилин. Місячна норма отримання друкованих видань за передплатою чи вроздріб - 52 примірники (один тижневик). З 1 до 1,3 збільшена місячна норма відсилання листів. Раз на місяць пропонується відвідувати бібліотеку чи купувати книжку. А також на рік заплановані прання двох кілограмів білизни в пральні, чотири стрижки та 0,2 фотографування і 524 поїздки громадським транспортом на рік, тобто 1,4 поїзди на день.

Таблиця 3.5.

Нововведення споживчого кошику на 2012 рік урядом України [4]

Додали

Забрали

1

2

Ківі

флешка

консерви м'ясні

оливкова олія

підгузники

молоко згущене

пекінська капуста

наручний годинник

Варення

Серед

парасолька

Джем

шафи-купе

підготовчі курси у ВНЗ

жувальна гумка

металопластикові вікна

послуги няні

Какао

Блендер

манікюр

господарське мило

Міксер

оренда житла

Журнали

Дрель

авто страхування

відвідування сауни

Ноутбук

автомийка

реєстрація урочистих подій

кондиціонер




За даними табл. 3.3, і 3,4, 3.5, переліку товарі та споживчий кошик, запропонований урядом суттєво відстає від реального прожиткового мінімуму пересічного громадянина України. Вартість стандартного набору споживчого кошика на сьогоднішній день коливається від 3000 гривень, а прожитковий мінімум в Україні фактично становить 1000 гривень.

На основі проведеного вибіркового опитування населення, було встановлено, що склад споживчого кошика, запропонованого урядом України, та норми щодо споживання не відповідають реальним потребам пересічного українця. Отже, з вищенаведеного стає зрозумілим, що формування споживчого кошика в теорії значно відрізняється від потреб людей в Україні на практиці.

За міжнародними стандартами мінімальна заробітна плата має бути вищою за прожитковий мінімум, а в Україні цього не відбувається. Сучасне співвідношення мінімальної заробітної плати та прожиткового мінімуму дає підставу вважати, що працездатні громадяни не можуть прожити на заробітну плату, а тому або сплачують комунальні платежі, або ходять пішки на роботу.

Для того, щоб більш детально розглянути співвідношення динаміки прожиткового мінімуму та мінімальної заробітної плати. Розглянемо рис.1, де наведено данні офіційної статистики номінальної та реальної заробітної плати і прожиткового мінімуму в Україні для пересічних громадян за 1997-2011 рр.

Рис. 3.2. Динаміка номінальної та реальної заробітної плати у співвідношенні із мінімальною заробітною платою та прожитковим мінімумом пересічних громадян в Україні за 1997-2011 рр.

Можна зазначити (рис.3.2), що загалом мінімальна заробітна плата та прожитковий мінімум громадян мали спільну тенденцію до зростання. Проте, не в усі досліджувані роки темпи їх зростання співпадали. Зокрема, у 1998 році мінімальна заробітна зросла дещо більше розміру прожиткового мінімуму, тоді як прожитковий мінімум значно збільшився у 2000 році й досяг рівня 287,6 грн., а мінімальна заробітна плата становила лише 118 грн. Досить характерним є той факт, що розмір прожиткового мінімуму в Україні не співпадає за розмірами мінімальної заробітної плати.

Таким чином, слід зважати, прожитковий мінімум, що орієнтується на мінімально допустимі розміри споживання найбільш важливих для людини матеріальних благ та послуг, не забезпечує нормального відтворення робочої сили, оскільки не враховує повного набору товарів та послуг, які необхідні для задоволення першочергових матеріальних та культурних і соціальних потреб людини в Україні.

4. Оцінка ефективності заходів державної політики щодо боротьби з бідністю

У 2006 р. Україна приєдналася до міжнародної громадянської ініціативи боротьби з бідністю, яка відбувається 17 жовтня - у Міжнародний день боротьби з бідністю, запроваджений ООН. Ця акція передбачає різноманітні заходи на підтримку руху проти бідності, визначає ступінь пріоритетності та важливості подальшого успішного розвитку нації, є ознакою прийняття державою відповідальності за стан і перспективи розвитку людського потенціалу.

Для розв'язання проблеми бідності необхідна цілеспрямована політика, що ґрунтується на економічних та фінансових можливостях держави та максимальній ефективності їх використання.

Постановою Кабінету Міністрів України від 31 серпня 2011 р. №1057 була затверджена Державна цільова соціальна програма подолання та запобігання бідності на період до 2015 року

Метою Державної цільової соціальної програми подолання та запобігання бідності на період до 2015 року є зменшення кількості бідного населення серед працюючих, сімей з дітьми, особливо багатодітних, дітей-сиріт, дітей, позбавлених батьківського піклування, безпритульних дітей, безробітних, інвалідів, пенсіонерів, бездомних осіб, в сільській місцевості та запобігання хронічній бідності.

Оптимальним варіантом розв'язання цієї проблеми є поєднання активної соціальної політики, спрямованої на відновлення і зростання зайнятості та створення умов для гідної праці, з ефективною підтримкою найуразливіших верств населення.

травня 2012 р. Кабінет Міністрів України своїм розпорядженням схвалив Концепцію Державної соціальної програми підтримки сім’ї до 2016 року.

Представляючи проект акта на засіданні Уряду, перший заступник Міністра соціальної політики України Василь Надрага наголосив, що сім’я відображає моральний стан суспільства і є могутнім фактором формування потенціалу нації.

Зокрема, у 2014 році планується удосконалити законодавство у сфері підтримки сім’ї, запровадити стандарти надання соціальних послуг сім’ям, які опинились у складних життєвих обставинах, та сім’ям, які перебувають у зоні ризику щодо потрапляння у такі обставини, розробити та впровадити на регіональному рівні програми підготовки молоді до реєстрації шлюбу, народження та виховання дитини.

Також, була розроблена Державна типова програма реабілітації інвалідів (постанова КМУ від 8 грудня 2006 року) та Державна програма розвитку системи реабілітації та трудової зайнятості осіб з обмеженими фізичними можливостями, розумовою відсталістю та психічними захворюваннями до 2011 року (постанова КМУ від 12 травня 2007 року №716).

травня 2012 р. був прийнятий Закон України "Про державне прогнозування та розроблення програм економічного і соціального розвитку України".

Цей Закон визначає правові, економічні та організаційні засади формування цілісної системи прогнозних і програмних документів економічного і соціального розвитку України, окремих галузей економіки та окремих адміністративно-територіальних одиниць як складової частини загальної системи державного регулювання економічного і соціального розвитку держави. [10, 13]

Отже, держава своїми програмами, законами, постановами та наказами намагається покращити становище України стосовно гострого питання бідності.

5. Світовий досвід розв’язання проблеми бідності

Сучасна світова спільнота поділена на багатих і бідних; країни класифікуються як розвинуті та ті, що розвиваються, держави як демократично побудовані та ті, що не відбулися. Витоки та масштаби цього розподілу пов’язані з соціально-економічними процесами, які відбувалися на протязі багатьох сторіч.

У Декларації тисячоліття, яка прийнята на Саміті тисячоліття 6-8 вересня 2000 р. у Нью-Йорку 189 країнами світу (для виконання протягом 2000-2015 рр.) розроблена матриця ЦРТ, яка включає 8 цілей, 18 завдань розвитку і 48 індикаторів для визначення кількісної оцінки досягнення цілей.

Головною Ціллю Декларації було визначено першу ціль "Подолання абсолютної бідності й голоду", за якою прийнято до виконання два завдання: скоротити удвічі за 1990-2015 рр. частку населення, добовий дохід якого менше 1 дол. (з 2005 р. здійснено перерахунок у розмірі 1,25 дол.) і скоротити удвічі за 1990-2015 рр. частку населення, яке потерпає від голоду. Станом на останній звітний період - 2008 р. з врахуванням уточнених завдань зафіксоване наступне виконання ЦРТ.

ЦРТ 1 Ціль передбачає подолання абсолютної бідності й голоду. Завдання цілі виконані в такому обсязі: скорочення вдвічі абсолютної бідності вже виконано або наближено до виконання в Східній, Південно-Східній і Західній Азії, може бути виконане при збереженні тенденцій і Північній Африці і Південній Азії; досягнення продуктивної і гідної зайнятості може бути виконане в Європі, Східній і Південній Азії; скорочення рівня бідності вдвічі не виконане в жодному з регіонів, але наближене до виконання в Північній Африці, Східній і Південно-Східній Азії, Латинській Америці і Карибах, а також в країнах Європи.

Реалізувати Ціль 2 (забезпечення всезагальної початкової освіти) не вдалося і навряд чи вдасться в найближчій перспективі в країнах Африки на південь від Сахари і в Західній Азії.

Досягнення Цілі 3 (забезпечення рівності чоловіків і жінок у розширенні прав і можливостей жінок) передбачає реалізацію наступних завдань: рівна кількість дівчат і хлопців у початковій школі (досягнута або майже досягнута у всіх регіонах світу); підвищення частки жінок, що займаються оплачуваною працею, досягнуто в країнах Європи, Латинської Америки, Карибах і СНД, а в країнах Північної Африки, Південної і Західної Азії цього завдання наразі практично неможливо досягти; в жодному з регіонів світу не може бути реалізованим при збереженні тенденцій рівне представництво жінок у національному парламенті.

Ціль 4 передбачає скорочення дитячої смертності. В частині скорочення на 2/3 дитячої смертності у віці до 5 років ціль практично реалізована в Північній Африці, Південно-Східній Азії і Латинській Америці. В частині збільшення кількості і систематизації вакцинації від кору в жодному з регіонів світу не відмічається на покращення, ні погіршення ситуації.

Ціль 5 передбачає підвищення якості охорони материнства, зокрема: зниження на ¾ материнської смертності, доступ до репродуктивного здоров’я. Ціль досягнута або майже досягнута в країнах Східної Азії. В таких регіонах, як Африка, Південно-Східна, Південна і Західна Азія, Океанія, Латинська Америка і Кариби ціль навряд чи буде реалізована при збереженні існуючих тенденцій.

Боротьба з ВІЛ/СНІДом, малярією та іншими захворюваннями проголошена в Цілі 6. В усіх регіонах світу ціль реалізована або майже реалізована, за винятком країн Африки на південь від Сахари, де досягнення завдань за умови збереження існуючих тенденцій неможливе.

За Ціллю 7 (забезпечення сталого розвитку довкілля) зафіксоване наступне виконання. Процес відтворення лісів розпочато в усіх регіонах світу за винятком країн Західної Азії. Частка людей, що не мають питної води, зменшена вдвічі або буде зменшена при збереженні тенденцій в країнах Східної, Південно-Східної, Південної Азії, Європи, Латинської Америки і Карибах. Скорочення вдвічі відсутності санітарно- технологічних засобів і покращення рівня життя обездолених мешканців наразі не реалізоване в жодному з регіонів.

Формування глобального партнерства у цілях розвитку (Ціль 8), зокрема збільшення кількості користувачів Інтернет, не буде виконано при збереженні існуючих тенденцій в Африці на південь від Сахари, Південній, Південно-Східній Азії і Океанії. 20-22 вересня 2010 р. у Нью-Йорку відбувся Саміт ООН. Головна задача саміта - визначити подальші дії з виконання ЦРТ, досягнення яких опинилося під загрозою внаслідок глобальної економічної кризи 2008-2009 рр. Результатом Саміту було прийняття глобального плану дій щодо досягнення скорочення бідності та нових зобов’язань щодо покращення здоров’я жінок і дітей, подоланню голоду, хвороб [8].

Отже, ця програма повинна допомогти у подоланні такої проблеми, як бідність.

. Шляхи подолання бідності в Україні

Постановою від 31 серпня 2011 р. №1057 "Про затвердження Державної цільової соціальної програми подолання та запобігання бідності на період до 2015 року" було утверджено такі шляхи подолання бідності:

•        відновлення виробництва та стимулювання економічного зростання;

•        сприяння зайнятості населення та розвитку ринку праці;

•        удосконалення механізму оплати праці та соціального діалогу як основних чинників створення умов для гідної праці;

•        розвиток системи соціального страхування;

•        удосконалення пенсійної системи;

•        реформування системи соціального захисту;

•        соціальна підтримка сімей, дітей та молоді;

•        поліпшення медичного обслуговування населення;

•        удосконалення методологічних підходів до оцінки бідності та проведення моніторингу ефективності виконання Програми.

З метою відновлення виробництва та стимулювання економічного зростання передбачається:

.        запровадження нових механізмів відновлення виробництва;

.        стимулювання розвитку внутрішнього ринку;

.        створення умов для забезпечення стабільного розвитку галузей промисловості;

.        сприяння розвитку підприємницької діяльності;

.        удосконалення нормативно-правової бази з питань виробництва, праці та професійної кваліфікації;

.        забезпечення державної підтримки розвитку депресивних територій;

.        сприяння розвитку містоутворюючих підприємств;

.        сприяння запровадженню суб'єктами господарювання програм та міжнародних стандартів соціальної відповідальності бізнесу.

З метою сприяння зайнятості населення та розвитку ринку праці

.        передбачається спрямувати зусилля центральних та місцевих органів виконавчої влади на:

         сприяння розвитку підприємництва та самостійній зайнятості населення;

         впровадження нормативно-правової бази, що стимулюватиме розвиток інноваційно-інвестиційної діяльності, розроблення державних і галузевих програм, спрямованих на створення якісних та високотехнологічних робочих місць;

         забезпечення збільшення частки зайнятого населення у високотехнологічних сферах промисловості;

         зменшення безробіття серед сільського;

         підвищення якості та конкурентоспроможності національної робочої сили;

         сприяння підготовці кадрів вищими та професійно-технічними навчальними закладами відповідно до потреб економіки та ринку праці;

         посилення мотивації до легальної продуктивної зайнятості;

         сприяння працевлаштуванню осіб, які потребують соціального захисту і не здатні на рівних умовах конкурувати на ринку праці, громадян похилого віку;

         створення умов для роботи молоді у вільний від навчання час;

         підтримку зеленого туризму, сфери побутових послуг та харчування, відродження народних промислів, організації фермерських господарств;

.        сприяння зайнятості осіб з інвалідністю шляхом:

         пріоритетного спрямування коштів Фонду соціального захисту інвалідів на створення робочих місць для працевлаштування інвалідів;

          підвищення доступності та ефективності професійної реабілітації інвалідів, здійснення їх професійного навчання за професіями та спеціальностями відповідно до потреби ринку праці;

         удосконалення системи встановлення нормативів для працевлаштування інвалідів з метою врахування особливостей підприємств із шкідливими та небезпечними умовами праці;

З метою вдосконалення механізму оплати праці та соціального діалогу як основних чинників створення умов для гідної праці передбачається:

.        удосконалення механізму визначення прожиткового мінімуму та його підвищення;

.        підвищення мінімальної заробітної плати;

.        вжиття заходів з легалізації заробітної плати;

.        удосконалення умов оплати праці працівників бюджетної сфери, державної служби та підвищення рівня їх оплати праці;

.        забезпечення зростання реальної заробітної плати;

.        забезпечення своєчасної виплати заробітної плати та недопущення виникнення заборгованості з її виплати;

.        посилення ролі колективно-договірного регулювання оплати праці;

.        забезпечення захисту прав працівників;

.        залучення всеукраїнських професійних спілок та їх об'єднань і всеукраїнських об'єднань організацій роботодавців до формування соціальної та економічної політики держави;

.        зміцнення інститутів соціального діалогу;

З метою розвитку системи соціального страхування необхідно:

.        підвищити ефективність роботи фондів загальнообов'язкового державного соціального страхування шляхом удосконалення єдиної системи збору страхових внесків, їх обліку та контролю за повнотою і своєчасністю сплати, а також єдиної інформаційної системи платників страхових внесків та застрахованих осіб;

.        оптимізувати витрати фондів та спрямувати їх кошти переважно на відшкодування виплат за страховими випадками, уникнути виплат нестрахового характеру, що сприятиме запобіганню бідності серед населення;

.        забезпечити підготовку до запровадження загальнообов'язкового державного медичного страхування, що сприятиме підвищенню якості медичного обслуговування населення та забезпеченню надання кваліфікованої медичної допомоги;

.        забезпечити поступове підвищення розмірів мінімальних виплат в системі загальнообов'язкового державного соціального страхування до встановленого законом розміру прожиткового мінімуму.

З метою вдосконалення пенсійної системи необхідно:

. покращити матеріальне забезпечення у разі виходу на пенсію працівників освіти, культури, охорони здоров'я;

. удосконалити порядок призначення та індексації пенсій;

. забезпечити розвиток накопичувальної системи пенсійного страхування.

З метою реформування системи соціального захисту передбачається:

.        перехід до принципу адресності під час надання соціальних допомог і пільг;

.        забезпечення функціонування інформаційно-аналітичної системи соціального захисту та єдиної бази даних одержувачів соціальної допомоги;

.        забезпечення прийому громадян, які звертаються за соціальної допомоги, в органах праці та соціального захисту населення за принципом "єдиного вікна";

.        підвищення розміру державної допомоги сім'ям з дітьми відповідно до Закону України "Про державну допомогу сім'ям з дітьми" (2811-12) з урахуванням збільшення прожиткового мінімуму;

.        удосконалення системи соціального обслуговування осіб, які перебувають у складних життєвих обставинах та потребують сторонньої допомоги, зокрема:

         забезпечення безперешкодного доступу таких осіб до соціальних послуг;

         створення умов для залучення до сфери надання соціальних послуг недержавних суб'єктів;

         підвищення якості соціальних послуг;

.        забезпечення соціального захисту інвалідів, зокрема:

         першочергове забезпечення протезно-ортопедичними виробами дітей-інвалідів з урахуванням їх індивідуальних потреб;

         збільшення розмірів державної соціальної допомоги

          комплексна реабілітація інвалідів та дітей-інвалідів на базі діючих реабілітаційних установ;

          створення умов для впровадження і розвитку інклюзивного та інтегрованого навчання для інвалідів у професійно-технічних та вищих навчальних закладах;

.        розв'язання проблем бездомних осіб та осіб, звільнених з місць позбавлення волі, зокрема:

         функціонування закладів для бездомних осіб та установ для осіб, звільнених з місць позбавлення волі;

         надання бездомним особам та особам, звільненим з місць позбавлення волі, соціальних та освітніх послуг, медичної допомоги, допомоги у працевлаштуванні, відновленні документів та реєстрації їх місця проживання з урахуванням індивідуальних потреб таких осіб;

         здійснення соціального патронажу осіб, звільнених з місць позбавлення волі;

         сприяння благодійництву;

         збільшення видатків державного бюджету на забезпечення житлом соціально незахищених верств населення та молоді.

З метою поліпшення медичного обслуговування населення передбачається:

.        збільшення обсягу фінансування державних програм і заходів, спрямованих на підвищення якості надання медичної допомоги;

.        запровадження стандартів лікування;

.        посилення державного контролю за якістю медичної допомоги, лікарських засобів і виробів медичного призначення, їх ціноутворенням;

.        пропаганда здорового способу життя;

.        здійснення заходів щодо поліпшення стану здоров'я матері та дитини.

Отже, усі ці чинники сприятимуть збільшенню доходів громадян, зниженню рівня бідності насамперед серед працюючих громадян та сімей з дітьми, зменшенню розриву між показниками бідності у місті та сільській місцевості, розв'язанню соціальних проблем і підвищенню рівня життя населення.

Проте й загальний економічний ріст автоматично не приведе до зниження рівня бідності, що підтверджується результатами попередніх років економічного зростання української економіки і невідповідної цьому зростанню динаміки основних показників бідності. Як показує досвід інших країн, нікому не вдається вирішити проблему бідності без адекватних заходів і реформ в області відносин розподілу, без обґрунтованої політики у соціально-трудовій сфері.

Вирішення проблеми бідності в Україні потребує розробки системи комплексних науково-обґрунтованих заходів, які повинні враховувати профіль, специфіку та особливості формування та поширення бідності, причини її виникнення.

Від тактики виживання необхідно переходити до стратегії розвитку, від боротьби з бідністю - до зростання середнього класу. Головний спосіб боротьби з бідністю - це підвищення рівня життя, це надання громадянам можливості гідно працювати, підвищувати свій рівень добробуту [11].

Висновок

Отже, бідність - це соціальні відносини, що характеризуються відсутністю необхідних матеріальних засобів для того, щоб провадити "нормальне" (відповідно до норм прийнятих суспільством) життя.

Бідність не лише поділяє суспільство, а й є стимулом для того, щоб людина прагнула і досягала кращої долі. Проте в сучасних умовах бідність часто стає на перешкоді стабільності суспільства і його подальшого розвитку. Навіть в економічно розвинених країнах бідність стає загрозою, коли вона перетворюється на застійну, тобто спостерігається довготривалий стан бідності індивідів, сімей, де бідним є не одне покоління. Люди, які тривалий час перебувають у стані бідності, соціально деградують, перетворюються на люмпенів, злочинців, які становлять загрозу для добропорядних громадян.

Тому боротьба з бідністю нині є складовою соціальної політики в усіх цивілізованих суспільствах.

Незважаючи на деяке покращання добробуту населення останнім часом, ще дуже рано говорити про подолання бідності. На жаль, в Україні система соціального захисту значно відстає від трансформаційних процесів економіки. Адресна допомога незахищеним верствам населення тільки починає набирати обертів і поки що не справляється з поставленими завданнями. Суми наданих допомог іноді викликають не тільки незадоволення, а й здивування, обурення, а іноді є просто знущанням: допомога дитині у разі втрати годувальника, допомога малозабезпеченим сім'ям, одинокій матері, з безробіття, на поховання тощо. Зберігається суттєвий перекіс в установленні сум соціальної допомоги. Так, допомога при народженні першої, другої, третьої дитини перевищують суми допомоги дитині, що втратила батька (годувальника), у 30, 70 і 125 разів. Хіба тут можна говорити про соціальну справедливість?

Головними пріоритетами державної соціальної та демографічної політики має бути стимулювання не тільки народжуваності, продовження повноцінної економічної активності населення старших вікових груп, забезпечення пільгових та сприятливих умов розвитку підприємницької діяльності, а й підвищення рівня заробітної плати працюючого населення. Посилена увага до відтворення робочої сили країни, забезпечення добробуту саме працюючих громадян допоможе докорінно вирішити проблеми усіх інших прошарків населення і тим самим підвищити рівень економіки держави в цілому.

Ідеальна мета боротьби з абсолютною бідністю - її абсолютне подолання: у здоровому суспільстві, і тим більше в соціальній державі не повинно бути людей, що не мають прожиткового мінімуму. Завдання боротьби з відносною бідністю - не повне усунення нерівності, але його, так би мовити, оптимізація, приведення до рівня, що не виходить за прийнятні в даному суспільстві межі і разом з тим не підриває стимули соціально-економічної активності

Основна зброя проти бідності - це така політика, яка була б направлена на економічне зростання.

У наший країні слабка і соціальна політика. Її заходи не зовсім адекватні ситуації, і тому бідний в Україні отримує значно менше допомоги, чим бідний в інших країнах. Ще одна трудність - розшарування за умовами отримання якісних медичних і освітніх послуг. Життєво важливі реформи медичного страхування і освіти, проведені так, щоб і бідним ці послуги були доступні. Зараз такого підходу немає, і бідні не отримують ні якісної меддопомоги, ні якісної освіти, і в останньому випадку вони не отримують шансу вирватися з бідності.

Список використаної літератури

1. Бідність - соціальне зло. [Електронний ресурс]. - Режим доступу: http://bukvar.su/

. Праця України 2008: статистичний збірник / Державний комітет статистики України / Відп. за випуск Н.В. Григорович. - К., 2009. - 322 с.

. Світовий банк [Електронний ресурс] - Режим доступу: www.worldbank.org.

. www.statlviv.ua

. Межа бідності в Україні та Європі / Z-Україна: статистика, економіка, тенденції. [Електронний ресурс]. - Режим доступу: http://zet.in.ua/socium/mezha-bidnosti-v-ukra%D1%97ni-ta-yevropi/

. Про встановлення прожиткового мінімуму та мінімальної заробітної плати: Закон України від 20 жовтня 2009 р. // [Електрнний ресурс]. - Режим доступу: <http: // www. rada. gov. ua>.

. Латік В. Основні показники рівня життя населення / В. Латік, Н. Підлужна // Праця зарплата. - 2010. - №46. - С. 6-8.

. Доповідь про здійснення цілей в галузі розвитку, сформульованих в Декларації тисячоліття, за 2010 р. - ООН, Нью-Йорк, 2010. - 80 с.

. Колот А. Глобалізація економіки та її вплив на соціально-трудову сферу / А. Колот // Україна: аспекти праці. - 2001. - №3. - С. 10-16.

. Кудряченко А.І. Соціальне партнерство: європейський досвід і Україна / А.І. Кудряченко // Стратегічні пріоритети. - 2008. - №3. - С. 132-141.

. Постанова від 31 серпня 2011 р. №1057 "Про затвердження Державної цільової соціальної програми подолання та запобігання бідності на період до 2015 року" // [Електрнний ресурс]. - Режим доступу: <http: // www.zakon. rada. gov. ua>.

. Звіт про результати аналізу виконання Комплексної програми забезпечення реалізації Стратегії подолання бідності в Україні. - К.: Рахункова палата України, 2011.

. Про Стратегію подолання бідності: указ Президента України від 15.08.2001 №637/2001. [Електронний ресурс]. - Режим доступу: http://zakon.nau.ua/doc/?uid=1083.2249.0.

Додаток

Основні показники бідності в Україні 2007-2011 рр. [12]

фПоказники

2007

2008

2009

2010

2011

Відхилення(+;-)







2008/2007

2009/2008

2010/2009

2011/2010

Межа бідності, грн. на 1 особу на місяць

526

778

835

922

953

252

57

87

31

Межа злиденності, грн. на 1 особу на місяць

420

622

668

в/д*

762

202

46

в/д

в/д

Рівень бідності, %

27,3

27

26,4

26,4

27

-0,3

-0,6

0

0,6

Рівень злиденності, %

13,8

13,6

13

в/д

13,4

-0,2

-0,6

в/д

в/д

Глибина бідності, %

23,1

23,4

22,3

21,3

22,1

0,3

-1,1

-1

0,8

Сукупні еквівалентн витрати бідного населення, грн на 1 особуна місяць

405

596

649

725,6

739,1

190,9

53,1

76,6

13,5

*Примітка: в/д - відсутні дані

Похожие работы на - Аналіз бідності в Україні: економічний і соціальний аспект

 

Не нашли материал для своей работы?
Поможем написать уникальную работу
Без плагиата!
Без нейросетей!