Разработка лекционной демонстрации 'Изучение механизма формирования ударной волны' для курса 'Молекулярная физика'

  • Вид работы:
    Курсовая работа (т)
  • Предмет:
    Педагогика
  • Язык:
    Русский
    ,
    Формат файла:
    MS Word
    795,92 Кб
  • Опубликовано:
    2015-05-13
Вы можете узнать стоимость помощи в написании студенческой работы.
Помощь в написании работы, которую точно примут!

Разработка лекционной демонстрации 'Изучение механизма формирования ударной волны' для курса 'Молекулярная физика'

Министерство образования Республики Беларусь

Учреждение образования

Гомельский государственный университет имени Франциска Скорины

физический факультет

кафедра оптики





Курсовая работа

Тема:

Разработка лекционной демонстрации «Изучение механизма формирования ударной волны» для курса «Молекулярная физика»



Исполнитель Близнец А.И.

студент группы Ф-44п

Научный руководитель Дегтярева О.В.

ассистент кафедры оптики




Гомель 2014

Реферат

Курсовая работа содержит: 42 страницы, 56 формул, 16 рисунков, одно приложение.

Ключевые слова: “Газодинамика”, лекции, образ преподавателя, давление, плотность, температура, адиабатическое течение газа, ударные волны, фронт волны, лекционная демонстрация.

Цель курсовой работы: заключается в разработке методики изучения раздела «Газодинамика», и теоретическом обосновании и применении лекционных демонстраций при обучении физике в вузе в контексте указанного раздела.

Объект исследования: процесс обучения физике в вузе.

Предмет исследования: разработка лекционной демонстрации и её внедрение в процесс обучения физике в вузе.

Результаты: в результате работы были подобраны и усовершенствованы методический и теоретический материалы, так же была разработана лекционная демонстрация «Изучение механизма формирования ударной волны» для курса «Молекулярная физика».

Область применения: данная работа может быть использована в качестве учебного пособия в процессе изучения учебной программы, составленной на основе типовой учебной программы для высших учебных заведений по специальностям 1-02 05 04 Физика; 1-02 05 04 Физика. Дополнительная специальность, утвержденной Министерством образования Республики Беларусь 24.09.2004 г., регистрационный номер ТД - А.026 /тип

Содержание

Введение

1. Организационно-методическая разработка раздела “Газодинамика”

1.1 Цели и задачи изучения раздела

.2 Связь с другими дисциплинами

.3 Знания, умения и навыки, которые должен приобрести студент в результате изучения дисциплины

.4 Основные виды занятий и особенности их проведения при изучении дисциплины

.4.1 Лекционные занятия

.4.2 Целостный образ преподавателя в процессе лекции

.4.3 Форма организации лекции

. Теоретические сведения по теме “Ударные волны”

.1 Введение в газодинамику понятия об ударной волне

.2 Ударная адиабата

2.3 Ударные волны в идеальном газе с постоянной теплоемкостью

2.4 Геометрическая интерпретация закономерностей ударного сжатия

2.5 Ударные волны слабой интенсивности

2.6 Ударные волны в веществе с аномальными термодинамическими свойствами

. Разработка и теоретическое обоснование лекционной демонстрации «Изучение механизма формирования ударной волны»

3.1 Механизм возникновения ударной волны

3.2 Ударная волна при движении со сверхзвуковыми скоростями

.3 Теоретическое обоснование создания лекционных демонстраций, используемых при обучении физики в вузе

.4 Разработка лекционной демонстрации «Изучение механизма формирования ударной волны»

Заключение

Список использованных источников

Приложение А

Введение

Газовая динамика возникла как развитие аэродинамики для условий, существенно отличающихся от нормальных. Особенностью газовой динамики, отличающей её от классической аэродинамики, являются условия, при которых сжимаемость газа становится существенным фактором, влияющим на его уравнение состояния и, соответственно, поведение. Это, в первую очередь, скорости газовых потоков, близкие или превышающие скорость звука в газе, что приводит к появлению значительных перепадов давления и ударных волн. Другим примером являются процессы в газовых средах, сопровождающиеся экзотермическими (горение, взрыв) или эндотермическими (диссоциация) химическими реакциями: в этих случаях из-за изменения средней молекулярной массы газа и процессов энерговыделения модель идеального газа неприменима.

За прошедшее со времени появления газовой динамики как самостоятельной науки годы, приобрели большое значение летательные аппараты с реактивными двигателями, обеспечивающими полет с большой сверхзвуковой (гиперзвуковой) скоростью, выход в космическое пространство и возвращение в плотные слои атмосферы. Это привело к быстрому развитию разделов газовой динамики, в которых изучаются течения разреженного газа, гиперзвуковые течения и движения жидкости и газа в электромагнитных полях.

Следовательно, на современном этапе знание “Газодинамика” является необходимостью для дальнейшего развития науки и техники. Ведь как уже было сказано выше, “Газодинамика” описывает современные методы расчета реактивных двигателей, автомобильных двигателей, лопаточных машин, эжекторов, аэродинамических труб и т.д.

1. Организационно-методическая разработка раздела “Газодинамика”

.1 Цели и задачи изучения раздела

Обучить студентов законам движения газов с большими скоростями, методам расчета параметров потока и явлениям, происходящим в газах. Методам исследования этих движений и умениям пользоваться выведенными зависимостями для расчета реальных аппаратов.

1.2 Связь с другими дисциплинами

“Газодинамика” является частью “Молекулярной физики” и продолжает исследование и выявление законов движения газа изложенных в курсе “Гидравлика”, а так же “аэродинамика”. Тесно связана с высшей математикой, т.к. основным методом исследования “Газодинамики” является интегрирование дифференциальных уравнений движения жидкости. При рассмотрении вопросов одномерного движения идеального газа применяется упрощение уравнений. Многие вопросы созвучны вопросам, рассматриваемым в курсе “Физика”. “Газодинамика” является базой для изучения курса “Теплотехника и термодинамика”, а также теории автомобильных двигателей.

1.3 Знания, умения и навыки, которые должен приобрести студент в результате изучения дисциплины

Студент должен получить знания по законам движения идеального газа (адиабатическое движение), появляющимся явлениям запирания сопла, возникающим при некоторых условиях скачках уплотнения, изменением параметров газа в скачке и техническим мероприятиям, предотвращающим появление скачков уплотнения или перенесением их по ходу газа. Знания по элементарной теории ударных волн могут пояснить возникающую в двигателях внутреннего сгорания детонацию. По законам движения газа с учетом сил трения, ускорением газа при подогреве и введении дополнительного расхода газа при дозвуковом движении, замедлением газа при подогреве и добавлении расхода при сверхзвуковом движении. Знания по смешанным соплам позволяют оценить новые конструкции применяющиеся в современных двигателях. Студент должен уметь рассчитать параметры потока, если известны исходные параметры торможения и некоторые данные по условиям движения газа по каналам, приобрести навыки использования газодинамических функций. Закрепить эти навыки решением задач, приведенных в сборнике и получить навыки использования уравнений, описывающих законы движения газа.

1.4 Основные виды занятий и особенности их проведения при изучении дисциплины

.4.1 Лекционные занятия

Лекционные занятия проводятся в учебных аудиториях в объеме 2 часа с использованием проектора, плакатов с графиками и раздаточного материала. В качестве раздаточного материала используются графики, имеющиеся в лекциях и список формул.

На лекции преподаватель сообщает в сжатом виде студенту информацию из большого количества источников. Лекция помогает студенту освоить логику рассуждений, дает порядок математических выкладок и схему построения доказательств.

Рекомендованные в программе учебники не могут полностью заменить лекцию, т.к. многие из них не всегда доступны студенту (в библиотеке и читальных залах находится по 1-2 экземпляров), кроме того, не во всех учебник материал излагается доходчиво. Освоению материала на лекциях способствуют такие факторы, как интонация голоса лектора, скорость изложения разного по значимости материала и другие факторы.

Лекция - творческий процесс. Хорошая лекция может состояться только при творческом подходе к ней как со стороны преподавателя, так и студентов. Лекция может заинтересовать студента только в том случае, если он подготовлен к ее восприятию. Неподготовленный студент не воспринимает материал лекции, а, следовательно, не может заинтересоваться ее содержанием. Умение слушать, конспектировать лекцию, а затем изучать лекционный материал, являются важными элементами самостоятельной работы студента.

1.4.2 Целостный образ преподавателя в процессе лекции

Формы сотрудничества преподавателя со студентами в процессе решения задач каждого из разделов содержания лекции (совместное решение задач, подражание образцу, партнерство).

Отношения «преподаватель-студенты»: уважительные, в меру требовательные. Нравственный контакт обеспечивает сотрудничество преподавателя и студентов. К каждой лекции нужно готовиться с учетом особенностей своего темперамента, умения владеть чувствами, доводить мысль до аудитории. Четко и ясно структурировать занятие. Рационально дозировать материал в каждом из разделов.

Научность, соответствие современному уровню развития науки, мировоззренческая сторона, наличие методических вопросов, правильная их трактовка. Активизация мышления путем выдвижения проблемных вопросов и разрешения противоречий в ходе лекции. Использовать наглядные пособия, схемы, таблицы, модели, графики и т.п.

Языковая форма высказывания (лексика, грамматика, стилистика). Использовать простой, доступный язык, образную речь с примерами и сравнениями; применять риторические и уточняющие понимание материала вопросы; выразительная и доходчивая, достаточно громкая, четкая речь с правильным литературным произношением и правильно расставленными ударениями, ритм средний. В ходе лекции знакомить студентов с новыми научными понятиями и терминами, доступно их объяснять. В паузах использовать приемы поддержания внимания - риторические вопросы, шутки, ораторские приемы.

Эмоционально-выразительные невербальные средства общения преподавателя с аудиторией (хорошо оживляют речь жесты, мимика, пантомимика, интонация, громкость, темп, ритм, паузы).

1.4.3 Форма организации лекции

Цель лекции (замысел, основная идея, объединяющая все предметное содержание): организовать целенаправленную познавательную деятельность студентов по овладению программным материалом по данной теме. Дать общее представление о роли познавательных процессов в жизни человека.

а) состав и последовательность задач;

б) характер задач;

в) средства, необходимые студентам для решения указанных задач;

г) эмоциональные позиции и отношения, которые формируются преподавателем у слушателей при решении поставленных задач.

а) Состав и последовательность задач:

) Сформировать представление о процессах, изучаемых в данной дисциплине;

) Познакомиться с основными понятиями;

) Рассмотреть основные методы изучения и решения вопросов и задач, изучаемых в данной дисциплине;

б) Характер задач:

Информационный (дать информационный материал по данной теме и закрепить основные понятия);

Мотивационный (сформировать познавательный интерес к содержанию учебного материала);

Ориентировочный (дать основы для дальнейшего усвоения учебного материала);

Воспитательный (помочь выработать у студентов стремление к самостоятельной работе и всестороннему овладению специальностью, развивать интерес к учебной дисциплине, содействовать активизации мышления студентов);

в) Средства, необходимые студентам для решения указанных задач:

Основные понятия и формулы по данной теме; раздаточный материал; список рекомендованной литературы;

г) Эмоциональные позиции и отношения, которые формируются преподавателем у слушателей при решении поставленных задач:

Нужно суметь сосредоточить внимание студентов на восприятие и понимание указанного материала, а также настроить их на внутреннюю мыслительную и эмоциональную активность в ответ на действия преподавателя и поступающую от него информацию. Необходимо постоянно наблюдать за аудиторией и чувствовать ее.

2. Теоретические сведения по теме “Ударные волны”

.1 Введение в газодинамику понятия об ударной волне

Рассмотрим покоящийся газ с постоянными плотностью и давлением , , слева ограниченный плоским поршнем, и предположим, что в начальный момент поршень начал сжимать газ с постоянной скоростью, которую будем теперь обозначать через .

Как было показано в предыдущем параграфе, попытка найти непрерывное решение для этой задачи приводит к физически бессмысленному результату. Поскольку задача автомодельная (не содержит никаких характерных масштабов длины и времени), единственные решения, удовлетворяющие уравнениям газовой динамики,- это тривиальное решение, в котором все величины, , p постоянны, и решение типа центрированной простой волны. Таким образом, остается одна единственная возможность построить решение, удовлетворяющее граничным условиям задачи - в невозмущенном газе  = 0,  = , p = ; в области газа, прилегающей к поршню, скорость газа равна скорости поршня,- это выбросить физически бессмысленную область II и непосредственно сомкнуть области постоянного течения I и III, предположив, что в точке смыкания газодинамические величины терпят разрыв, как показано на рис. 2.1.

Рисунок 2.1 - Профили плотности и скорости в ударной волне

Вообще говоря, законы сохранения массы, импульса и энергии, которые положены в основу уравнений динамики невязкого и нетеплопроводного газа, не предусматривают обязательную непрерывность газодинамических величин. Эти законы были сформулированы ранее в форме дифференциальных уравнений просто потому, что с самого начала предполагалась непрерывность течения. Но эти же законы можно применить и к областям, в которых газодинамические величины испытывают разрыв. С математической точки зрения разрыв можно рассматривать как предельный случай очень больших градиентов газодинамических величин, когда толщина слоя, в котором происходит конечное изменение этих величин, стремится к нулю. Поскольку в динамике невязкого и нетеплопроводного газа, т.е. при условии, что мы отвлекаемся от молекулярной структуры вещества, нет никаких характерных длин, постольку не ограничены возможности существования сколь угодно тонких переходных слоев, в пределе сводящихся к разрыву. Эти разрывы и представляют собой ударные волны.

Найдем неизвестные величины: плотность и давление газа в сжатой области , , а также скорость распространения разрыва по невозмущенному веществу D, исходя из общих законов сохранения массы, импульса и энергии, выполнение которых не подлежит сомнению. Параметры невозмущенного газа ,  и скорость поршня u, с которой совпадает скорость газа, будем считать известными. К моменту t в столбе с сечением в 1 см2 движение охватывает массу газа, равную Dt. Эта масса занимает объем (D - u) t, т.е. плотность сжатого газа , удовлетворяет условию:

 (2.1)

Масса  приобретает количество движения  - u, которое по закону Ньютона равно импульсу сил давления. Результирующая сила, действующая на сжатый газ, равна разности давлений со стороны поршня и со стороны невозмущенного вещества, т.е.

(2.2)

Наконец, приращение суммы внутренней и кинетической энергий сжатого газа равно работе внешней силы, толкающей поршень :

 (2.3)

Сокращая в этих равенствах время t, получим систему трех алгебраических уравнений для определения трех неизвестных величин , , D через известные u, , (термодинамическая связь , конечно, предполагается известной).

Преобразуем эти уравнения таким образом, чтобы с правой стороны равенств стояли только величины, относящиеся к области перед разрывом, а с левой - параметры газа за разрывом. Для этого заметим, что если D - скорость распространения разрыва по неподвижному газу, то  = - D - скорость, с которой невозмущенный газ втекает в разрыв, a D - u - скорость распространения разрыва относительно движущегося за ним газа, т.е.  - это скорость, с которой газ вытекает из разрыва. Вводя эти обозначения в уравнения, запишем закон сохранения массы:

 (2.4)

Закон сохранения импульса при помощи (2.4) приобретает вид

 (2.5)

Закон сохранения энергии при помощи уравнений (2.4) и (2.5) преобразуется к виду

 (2.6)

Вводя удельную энтальпию , можно переписать его иначе:

 (2.7)

Полученные уравнения представляют собой записанные в наиболее общей форме соотношения между газодинамическими величинами на поверхности разрыва, в который газ втекает по направлению, нормальному к самой поверхности.

Замечательно, что они не содержат никаких предположений о свойствах вещества и являются выражением лишь общих законов сохранения массы импульса и энергии.

Уравнения (2.4)-(2.6) можно вывести и непосредственно, рассматривая разрыв в системе координат, в которой он покоится. Поскольку разрыв является бесконечно тонким, внутри него не происходит накопления массы, импульса и энергии. Следовательно, потоки этих величин со стороны невозмущенного газа равны потокам по другую сторону разрыва. Если на разрыв нормально к поверхности набегает газ с плотностью  и скоростью , то поток массы есть  он равен массе; вытекающей через 1 см2 в 1 сек с другой стороны разрыва, т.е. . Таким образом, получаем уравнение (2.4). Втекающая через 1 см2 в 1 сек масса  обладает количеством движения . Приращение количества движения при переходе через разрыв  равно импульсу сил давления за 1 сек р0 - p1 или, что то же самое, потоки импульса  по обе стороны разрыва равны друг другу (то, что величина  представляет собой плотность потока импульса при плоском движении.

Приращение полной (внутренней и кинетической) энергии газа, протекающего в 1 сек через 1 см2 поверхности разрыва , равно работе сил давления, совершаемой в 1 сек из расчета на 1 см2 поверхности. Эта работа равна . Для того чтобы пояснить происхождение этой величины, представим себе трубу, по которой течет газ справа налево, протекая через разрыв, находящийся где-то посередине (рис. 2.2).

Рисунок 2.2 - Опыт, поясняющий вывод выражения для работы

Справа и слева в трубе помещены поршни, которые движутся со скоростями  и  таким образом, чтобы поверхность разрыва покоилась. Правый поршень, к которому приложено давление р0, гонит газ через трубу, совершая работу  в 1 сек на 1 см2. Над левым поршнем газ совершает работу  (поршень «совершает» над газом отрицательную работу ). Таким образом, полная работа, совершенная над газом, равна . Приравнивая ее приращению энергии газа, получим уравнение (2.6). Его можно истолковать и иначе: полные потоки энергии по обе стороны разрыва , выражение для которых следует из уравнения энергии, равны друг другу.

Формально соотношения (2.4) - (2.6), свидетельствующие о равенстве потоков массы, импульса и энергии через поверхность разрыва, можно получить и из дифференциальных уравнений которые являются выражением тех же законов. Запишем эти уравнения для плоского случая:

 (2.8)

 (2.9)

 (2.10)

Будем сначала формально рассматривать разрыв как некий тонкий слой с большими градиентами всех величин и проинтегрируем уравнения по этому слою от х0 до х1. Например,

 (2.11)

Теперь произведем предельный переход, устремив толщину слоя х1 - х0 к нулю. Интегралы в левых частях, пропорциональные х1 - х0  0, исчезают (что и соответствует отсутствию накопления массы, импульса и энергии в разрыве). Интегралы же в правых частях дают разности потоков соответствующих величин по обе стороны разрыва, т.е. мы приходим к уравнениям (2.4)-(2.6).

Следует подчеркнуть формальный характер последнего вывода соотношений на ударном разрыве (2.4)-(2.6). Он свидетельствует только о том, что выражения для потоков массы, импульса и энергии, стоящие под знаками дивергенции в дифференциальных уравнениях, являются совершенно общими, независимо от того, непрерывно течение или нет. Если считать разрыв не математической поверхностью, а неким тонким слоем конечной толщины, где газодинамические величины меняются очень резко, но непрерывным образом, то применять к этому слою уравнения (2.9), в которых не учтены вязкость и теплопроводность, нельзя. Ниже мы увидим, что энтропии газа по обе стороны разрыва различны, тогда как в дифференциальных уравнениях (2.9) заложено условие постоянства энтропии (адиабатичности движения). Отметим внешнее сходство энергетического соотношения на ударном разрыве (2.7) с интегралом Бернулли для стационарного потока

 (2.12)

справедливого вдоль линии тока.

2.2 Ударная адиабата

Уравнения (2.4)-(2.6), связывающие между собой параметры газа по обе стороны разрыва, представляют собой систему трех алгебраических уравнений относительно шести величин:  (термодинамические свойства вещества, т.е. функции  или  предполагаются известными). Зная термодинамические параметры газа перед разрывом  и задаваясь какой-нибудь из величин, характеризующих амплитуду ударной волны, например, давлением за фронтом волны р1 или скоростью «поршня», создающего волну  можно вычислить все остальные неизвестные величины. Выпишем некоторые общие соотношения, следующие из законов сохранения (2.4) - (2.6). Введем вместо плотностей удельные объемы .

Из уравнения (2.4) получим

 (2.13)

Исключая из первых двух уравнений (2.4)-(2.5) сначала одну, а потом другую скорость, найдем

 (2.14)

 (2.15)

Если ударная волна создается в покоящемся газе движением поршня,

для скорости движения сжатого газа относительно невозмущенного, равной скорости «поршня», получим формулу

 (2.16)

Отметим полезную формулу для разности кинетических энергий газа по обе стороны разрыва в системе координат, в которой разрыв покоится:

 (2.17)

Подставляя выражения для квадратов скоростей (2.14), (2.15) в уравнение энергии (2.4), получим соотношение, связывающее давления с удельными объемами по обе стороны разрыва:

 (2.18)


 (2.19)

По аналогии с соотношением, связывающим начальные и конечные давления и объемы при адиабатическом сжатии вещества, выражения (2.18) или (2.19) носят название ударной адиабаты или адиабаты Гюгонио.

Ударная адиабата представляется функцией

 (2.20)

которая в ряде конкретных случаев, когда термодинамические связи  выражаются простыми формулами, может быть найдена в явной форме.

Ударная адиабата имеет существенное отличие от обычной адиабаты (адиабаты Пуассона в идеальном газе с постоянной теплоемкостью). В то время как последняя представляет собой однопараметрическое семейство кривых p = P(V,S), где параметром служит только значение энтропии S, адиабата Гюгонио зависит от двух параметров: давления и объема в начальном состоянии ро, Vo. Чтобы исчерпать все кривые р = Р(V,S), достаточно пройти одномерный ряд значений энтропии S. Чтобы исчерпать все кривые , надо построить «бесконечность в квадрате» кривых, отвечающих всем возможным р0 и V0.

2.3 Ударные волны в идеальном газе с постоянной теплоемкостью

Особенно простой вид приобретают формулы для ударной волны в случае идеального газа с постоянной теплоемкостью. На этом примере удобно выяснить все основные закономерности изменения величин в ударной волне. Подставим в уравнения ударной адиабаты (2.18) или (2.19) соотношения

 (2.21)

Это дает возможность найти в явном виде уравнение ударной адиабаты:

 (2.22)

Для отношения объемов получим формулу:

 (2.23)

Отношение температур равно

 (2.24)

С помощью (2.23) скорости по формулам (2.14) и (2.15) можно представить через давления и начальный объем:

 (2.25)

 (2.26)

Выясним на примере идеального газа с постоянной теплоемкостью некоторые закономерности для ударных волн. Ударная адиабата представляет собой кривую на плоскости р, V, которая проходит через точку начального состояния р0, V0.

Эта кривая изображена на рис. 2.3. В принципе формулу (2.22) можно распространить и на давления, меньшие начального  Эта часть кривой соответствует физически неосуществимым состояниям. Поэтому она проведена на рис. 2.3 пунктиром.

Рисунок 2.3 - Ударная адиабата

Из формулы (2.23) видно, что в случае ударной волны очень высокой амплитуды, когда давление за фронтом гораздо больше начального, плотность газа при возрастании амплитуды увеличивается не беспредельно, а стремится к определенному значению. Это предельное сжатие в ударной волне зависит только от показателя адиабаты и равно

 (2.27)

Для одноатомного газа с предельное сжатие равно 4. Для двухатомного газа в предположении, что колебания не возбуждены, y = 7/5, и предельное сжатие равно 6; если считать, что колебания возбуждены, и сжатие равно 8. В действительности, при высоких давлениях и температурах теплоемкость и показатель адиабаты в газах уже не являются постоянными, так как в газе происходят диссоциация молекул и ионизация атомов. Сжатие газа в ударной волне при данном большом отношении давлений тем сильнее, чем выше теплоемкость и меньше показатель адиабаты.

Поскольку при больших давлениях р1 плотность возрастает очень медленно с ростом давления, температура сжатого газа растет пропорционально давлению (см. формулу (2.24) при ). В пределе сильной волны, когда

 (2.28)

Скорости в пределе при  растут пропорционально корню из давления. Как видно из формул (2.18) и (2.19), при

 (2.29)

Очень важные следствия можно получить, сопоставляя скорости газа по обе стороны разрыва с соответствующими скоростями звука. В идеальном газе с постоянной теплоемкостью

 . (2.30)

Составим отношения скоростей газа относительно разрыва к скоростям звука:

, (2.31)

, (2.32)

В предельном случае ударной волны малой амплитуды, когда давления по обе стороны разрыва близки друг к другу, , , согласно формуле (2.23), также мало и сжатие газа: ; близки друг к другу и скорости звука . Из формул (2.31) и (2.32) видно, что в этом случае . Но u0 есть скорость распространения разрыва по невозмущенному газу. Таким образом, слабая ударная волна бежит по газу со скоростью, очень близкой к скорости звука, т.е. практически не отличается от акустической волны сжатия. Это не удивительно, ибо при малом отличии p1 от р0 мы имеем дело с малым возмущением.

Далее, из формул (2.31) и (2.32) видно, что в ударной волне, в которой происходит сжатие газа (V1 < V0, p1 > р0), газ втекает в разрыв со сверхзвуковой скоростью u0 > с0, а вытекает из него с дозвуковой u1 < c1 (то, что V1 < V0, > при p1 > p0, следует и из общих формул (2.18), (2.19)). Можно сказать иначе: ударная волна распространяется по невозмущенному газу со сверхзвуковой скоростью, а по сжатому газу, находящемуся за нею, с дозвуковой. Чем выше амплитуда ударной волны, т.е. чем больше отношение p1/p0, тем больше скорость фронта волны u0 по сравнению со скоростью звука в невозмущенном газе с0. Отношение же u1/c1 в пределе сильной волны p1  р0 стремится к постоянной величине

. (2.33)

Рассмотрим, что происходит с энтропией газа при сжатии его ударной волной. Энтропия идеального газа с постоянной теплоемкостью с точностью до константы равна S = cvlnp. Разность энтропии по обе стороны фронта ударной волны с помощью формулы (2.23) можно представить в виде

(2.34)

В предельном случае слабой волны , выражение в фигурных скобках близко к единице и . При возрастании амплитуды волны, т.е. при увеличении отношения p1/p0, начиная от единицы, выражение в фигурных скобках, как легко проверить, монотонно растет, стремясь к бесконечности при p1/p0. Таким образом, энтропия газа, испытывающего ударное сжатие, возрастает, причем тем сильнее, чем выше амплитуда ударной волны. Возрастание энтропии свидетельствует о том, что в ударной волне происходят необратимые, диссипативные процессы, связанные с существованием вязкости и теплопроводности вещества. Теория, в которой эти процессы не учитываются, естественно, не может описать сам механизм ударного сжатия, не может описать структуру того тонкого, но в действительности конечного слоя, в котором происходит переход газа из начального состояния в конечное. Именно поэтому в теории, где вязкость и теплопроводность не приняты во внимание, ударный разрыв представляется математической поверхностью с нулевой толщиной. Как было отмечено выше, в такой теории нет характерной длины, которая могла бы послужить масштабом для толщины разрыва. При учете молекулярной структуры газа, т.е. процессов вязкости и теплопроводности, такой масштаб появляется. Это - длина свободного пробега молекул, которой пропорциональны коэффициенты вязкости и теплопроводности и которая, в действительности, служит мерой реальной ширины разрыва. Существенно, однако, что сама величина возрастания энтропии при ударном сжатии совершенно не зависит от механизма диссипации и определяется исключительно законами сохранения массы, импульса и энергии.

От механизма диссипации зависит только ширина разрыва, т.е. скорость, с которой происходит необратимое нагревание газа, испытывающего ударное сжатие. Так, стакан горячей воды непременно остывает до вполне определенной, комнатной температуры, совершенно независимо от механизма теплообмена с окружающей средой, которым определяется лишь скорость остывания.

От механизма диссипации зависят величины градиентов газодинамических величин в переходном слое, но не скачки этих величин между конечным и начальным состояниями, которые определяются только законами сохранения. Например, если р = p1 - р0 есть скачок давления в ударной волне, а ; - ширина переходного слоя, то при изменении коэффициентов вязкости и теплопроводности меняются  и , но произведение  остается неизменным. В пределе, когда коэффициенты вязкости и теплопроводности устремляются к нулю,, а , градиенты становятся бесконечными, что и соответствует разрыву.

Дифференциальные уравнения газовой динамики без учета вязкости и теплопроводности лишь допускают возможность существования разрывов, но не могут описать непрерывным образом переход из начального в конечное состояние, ибо в уравнениях автоматически заложено условиеn адиабатичности процесса, dS/dt = 0, эквивалентное уравнению энергии. Дифференциальные уравнения содержат четыре закона сохранения: массы, импульса, энергии и энтропии, тогда как в разрыве выполняются только три из них, все, кроме закона сохранения энтропии.

К вопросу о толщине фронта ударной волны, который может быть решен лишь при учете молекулярной структуры вещества, т.е. при «микроскопическом» рассмотрении процесса ударного сжатия. Теперь продолжим «макроскопическое» описание явления ударного сжатия, исходя только из законов сохранения массы, импульса и энергии.

2.4 Геометрическая интерпретация закономерностей ударного сжатия

Для лучшего уяснения различных закономерностей в теории ударной волны и свойств ударной адиабаты очень полезны графические построения на диаграмме р, V. Проведем на плоскости р, V через точку А начального состояния вещества р0, V0 ударную адиабату НН (рис. 2.4). Будем считать, что характер этой кривой аналогичен ударной адиабате идеального газа с постоянной теплоемкостью, т.е. что кривая везде обращена выпуклостью вниз: вторая производная  в каждой точке положительна. В целях наглядности мы будем иллюстрировать некоторые положения конкретными вычислениями на примере идеального газа с постоянной теплоемкостью, однако можно показать, что закономерности являются общими и справедливы для веществ с другими термодинамическими свойствами. Единственное условие, которое накладывается на эти свойства,- это чтобы ударная адиабата во всех точках была обращена выпуклостью вниз. Пусть вещество после ударного сжатия из состояния А(р0, V0) переходит в состояние В (p1, V1), изображаемое точкой В, лежащей на ударной адиабате.

По формуле (2.14) скорость распространения ударной волны по невозмущенному веществу дается выражением2 = =. (2.35)

Рисунок - 2.4. р,V-диаграмма

НН - адиабата Гюгонио,

РР - адиабата Пуассона,

КК - касательная к обеим адиабатам в точке начального состояния А(V0,p0).

Графически эта скорость определяется наклоном прямой АВ, проведенной из начального состояния в конечное ((p1 - p0)/(V0 -Vl) равно тангенсу угла наклона прямой). Из рис. 2.4 видно, что чем выше конечное давление (чем мощнее ударная волна), тем больше наклон прямой и тем больше скорость волны. (Для иллюстрации на рис. 2.4 проведены две прямые, АВ и АС.)

Посмотрим, чем определяется начальный наклон ударной адиабаты в точке А. Вычислим производную dp1/dV1 с помощью формулы (2.22) для идеального газа с постоянной теплоемкостью:

. (2.36)

Взяв производную в точке А, т.е. положив V1 = V0, получим (dp1/dV1)0=  . Но эта величина есть не что иное, как наклон адиабаты. Пуассона , проходящей через точку A: (dp/dV)S= . Таким образом, в точке А ударная адиабата касается адиабаты Пуассона, проходящей через эту точку. Обычная адиабата РР, соответствующая начальной энтропии газа S0 = S(P0,V0), также проведена на рис. 2.4. Касание адиабат в начальной точке иллюстрируется и общей формулой (2.14) для скорости ударной волны. В пределе слабой волны, когда , ударная волна не отличается от звуковой, изменение энтропии стремится к нулю, и скорость волны D совпадает со скоростью звука:

 . (2.37)

Вообще же наклон прямой АВ всегда больше наклона касательной к адиабате в точке А, так что всегда .

Начальный наклон ударной адиабаты определяется скоростью звука в исходном состоянии. Непосредственным вычислением по формулам для идеального газа с постоянной теплоемкостью можно убедиться в том, что в точке А совпадают не только первые, но и вторые производные от адиабат Гюгонио и Пуассона, т.е. в точке А имеет место касание второго порядка. Это положение также является общим.

Рисунок 2.5 - К геометрической интерпретации приращения энергии в ударной волне

Н - ударная адиабата,

Р - адиабата Пуассона.

Адиабата Гюгонио везде проходит выше обычной адиабаты, проведенной из начальной точки, как показано на рис. 2.4. В самом деле, при ударном сжатии от объема V0 до объема V1 < V0 энтропия повышается, а при адиабатическом - остается неизменной. Но при одинаковом объеме давление тем выше, чем больше энтропия.

Приращение удельной внутренней энергии при ударном сжатии ε10 от состояния А до состояния В, как видно из выражения (2.18) для ударной адиабаты, численно равно площади трапеции MABN, покрытой на рис. 2.5 горизонтальной штриховкой.

Если газ сжать адиабатически из состояния А до того же самого объема V1 (до состояния Q), то для этого нужно совершить работу, численно равную площади фигуры MAQN, ограниченной сверху обычной адиабатой Р и заштрихованной вертикально. Эта площадь дает и приращение внутренней энергии газа

 (2.38)

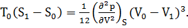
(интегрирование ведется при S = S0). Для того чтобы привести газ в конечное состояние В, необходимо его еще нагреть при постоянном объеме V1, сообщив ему количество тепла, численно равное разности площадей, заштрихованных горизонтально и вертикально, т.е. равное площади фигуры ABQ. Эта площадь и определяет возрастание энтропии газа при ударном сжатии. Она равна

, (2.39)

где - некоторая средняя температура на отрезке прямой QB (при V = V1 = const).


. (2.40)

Эта энергия численно равна площади треугольника ABC на рис. 2.5, дополняющего трапецию MABN, площадь которой соответствует , до прямоугольника MCBN.

Площадь этого прямоугольника  представляет собой полную энергию, сообщенную «поршнем» 1 г первоначально покоящегося газа. В сильной ударной волне, когда , она поровну делится между приращениями внутренней и кинетической энергий: площ. MABN  площ. ABC:

 (2.41)

Рисунок 2.6 -  диаграмма, поясняющая соотношение между скоростями газа и звука в ударной волне

Разберем на диаграмме p,V соотношение между скоростями газа и звука в конечном состоянии (рис. 2.6). Проведем через точку В на адиабате НА, соответствующей начальному состоянию А, новую адиабату Нв, для которой точка В является начальной. Из симметрии уравнения адиабаты относительно перестановки индексов «0» и «1» следует, что если , то . Другими словами, адиабата Нв, формально продолженная в сторону давлений, меньших начального, пересекает адиабату НА в точке А. Взаимное расположение адиабат НА и Нв таково, как это показано на рис. 2.6, в чем легко убедиться на примере идеального газа с постоянной теплоемкостью. Скорость распространения волны относительно сжатого газа определяется формулой (2.15)

(2.42)

Квадрат скорости звука в сжатом газе в точке В равен

 (2.43)

Первая величина пропорциональна тангенсу угла наклона прямой ВА, а вторая - тангенсу угла наклона касательной к ударной адиабате Нв в точке В (ударная адиабата Нв и адиабата Пуассона, проходящая через В, касаются друг друга). Взаимное расположение прямой ВА и адиабаты Нв соответствует тому, что .

В отличие от адиабаты Пуассона, адиабата Гюгонио зависит от двух параметров. Благодаря этому нельзя путем сжатия газа несколькими ударными волнами, исходя из данного начального состояния, прийти к тому же самому конечному состоянию, что и путем сжатия одной волной.

Так, например, если пропустить по одноатомному газу сильную ударную волну, газ сожмется в четыре раза, а если пропустить одну за другой две сильные волны, оставляя неизменным конечное давление, получим сжатие в 16 раз.

В то же время, разбивая адиабатический процесс на сколько угодно этапов, придем к одной и той же плотности, если задано конечное давление.

Это положение иллюстрируется диаграммой р, V рис. 2.7, где изображены адиабата Пуассона и несколько адиабат Гюгонио, отвечающих сжатию газа последовательными ударными волнами.

Рисунок 2.7 - К вопросу об однократном и многократном ударном и адиабатическом сжатиях газа до одинакового давления : НА, НВ, НС - ударные адиабаты, для которых точки А, В, С являются начальными; Р - адиабата Пуассона.

методический инновационный лекционный газодинамика

2.5 Ударные волны слабой интенсивности

Рассмотрим ударную волну слабой интенсивности, в которой скачки всех газодинамических параметров можно рассматривать как малые величины. При этом пока не будем делать никаких предположений о термодинамических свойствах вещества, исходя только из законов сохранения.

Рассматривая внутреннюю энергию как функцию энтропии и удельного объема, запишем приращение энергии в ударной волне в виде разложения по малым приращениям независимых переменных около точки начального состояния:

 

(2.44)

Все производные в этом разложении берутся в точке начального состояния V0S0. Как мы сейчас увидим, приращение энтропии в волне S1 - S0 есть величина третьего порядка малости, если рассматривать приращение V1 - V0 как малую первого порядка. Поэтому, ограничиваясь разложением внутренней энергии до величин третьего порядка, можно опустить члены, пропорциональные (S1 - S0)(V1 - V0), (V1 - V0)2 и т.д. Согласно термодинамическому тождеству ,

 (2.45)

Поэтому

(2.46)

Подставим это выражение в уравнение адиабаты Гюгонио (2.18) и разложим в правой части ее давление p1. Поскольку левую часть равенства можно разложить до величин третьего порядка, в разложении давления достаточно ограничиться членами второго порядка по разности V1 - V0 и опустить член, содержащий приращение энтропии, так как он даст в правой части слагаемое, пропорциональное (S1 - S0)(V1 - V0), которое есть величина более высокого порядка малости, чем (V1 - V0)3:

 (2.47)

Производя сокращения в уравнении адиабаты Гюгонио с подставленными разложениями, получим связь приращения энтропии с приращением объема:

 (2.48)

Если исходить из уравнения адиабаты Гюгонио, записанного в форме (2.19), где вместо внутренней энергии стоит энтальпия, получим аналогичным путем

. (2.49)

В тождественности обеих формул легко убедиться, подставляя разложение в формулу (2.49) и замечая, что

. (2.50)

Формулы (2.48) и (2.49) показывают, что приращение энтропии в ударной волне слабой интенсивности есть величина третьего порядка малости относительно приращений p1-p0 или V0-V1 которыми характеризуется амплитуда волны.

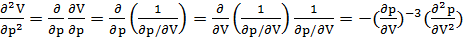
Из формул (2.48) и (2.49) видно, что знак приращения энтропии в ударной волне определяется знаками вторых производных  или . Если адиабатическая сжимаемость вещества -  уменьшается с увеличением давления, т.е. и , обычная адиабата на плоскости р, V изображается кривой, обращенной выпуклостью вниз (как в идеальном газе с постоянной теплоемкостью). В этом случае энтропия растет (S1 > S0) B ударной волне сжатия, когда, и уменьшается в ударной волне разрежения. Если же  и , положение обратное: энтропия растет в ударной волне разрежения, когда p1 < р0, V1 > V0, и уменьшается в ударной волне сжатия. Поскольку для подавляющего большинства реальных веществ , то из условия невозможности уменьшения энтропии и следует невозможность существования ударных волн разрежения.

Запишем разложение давления р = р (S, V) около начальной точки S0, V0 вплоть до членов третьего порядка по V1 - V0 и первого порядка по S1 - S0:

.

(2.51)

Опишем этим разложением начальные участки ударной и обычной адиабат, проведенных через точку S0, V0. Члены первого и второго порядков малости относительно V1 - V0 у обеих адиабат совпадают, т.е. ударная и обычная адиабаты имеют в начальной точке общие касательные и общие центры кривизны (имеет место касание второго порядка). Члены третьего порядка малости у адиабат отличаются. Третий член в правой части разложения у обеих адиабат общий. Последний же, четвертый, у обычной адиабаты исчезает, так как S1 - S0 = 0 (S = const), а у ударной адиабаты, согласно (2.48), равен

. (2.52)

У всех нормальных веществ давление с ростом энтропии при постоянном объеме (во время нагревания при постоянном объеме) увеличивается, т.е. ;  также положительна. Следовательно, при V1 > V0 последний член отрицателен, а при V1 < V0 положителен: при V1 > V0 ударная адиабата проходит ниже обычной, а при V1 < V0 - выше обычной. Таким образом, в начальной точке для обеих адиабат имеет место касание второго порядка с пересечением.

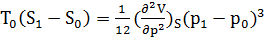
Взаимное расположение ударной адиабаты Н и обычной Р показано на рис. 2.8. Для ясности отметим, что отрезок CD - величина первого порядка малости относительно V0 - V1, DE - второго, a EF - третьего.

Вернемся к геометрической интерпретации приращения энтропии в ударной волне (рис. 2.9). Величина  изображается площадью фигуры AFBCEA. Разобьем ее прямой АС на две части: сегмент АСЕА и треугольник ABC. Площадь треугольника ABC равна половине произведения основания ВС на высоту V0 - V1. Отрезок ВС при небольших изменениях всех величин, т.е. в волне слабой интенсивности, равен , т.е.

, (2.53)

где  - площадь сегмента ACEA. Отсюда

, где . (2.54)

Рисунок 2.8 - Взаимное расположение ударной Н и обычной Р адиабат

- касательная к адиабатам в точке начального состояния А. В ударной волне слабой интенсивности отрезок CD - величина первого порядка малости, DE - второго, EF - третьего.

При малых изменениях объема и , т.е. поправка на площадь треугольника мала. И действительно, она более высокого порядка малости, чем площадь сегмента, которая имеет порядок .

Рисунок 2.9 К геометрической интерпретации приращения энтропии в ударной волне

Составляя выражение для площади сегмента

 (2.55)

и подставляя разложения для слабых волн, придем, как и следовало ожидать, к формуле (2.48).

Таким образом, и из геометрического построения видно, что знак AS зависит от знака площади сегмента, т.е. от того, проходит ли секущая АС выше или ниже обычной адиабаты или, что то же самое, обращена ли адиабата выпуклостью вниз или вверх.

Сопоставим скорости u0, u1 со скоростями звука с0, c1. Как мы знаем, отношение u00 определяется соотношением наклонов прямой АВ (см. рис. 2.4) и касательной к адиабате Пуассона в точке А. Отношение u11 определяется соотношением наклонов прямой АВ и касательной к адиабате Пуассона, проведенной через точку В. Запишем выражения для наклонов всех трех прямых:

 - прямая AB,

 - касательная к адиабате в точке A,

 - касательная к адиабате в точке B.

Последняя формула следует из того факта, что адиабата S1 = const вплоть до членов третьего порядка относительно Vl - V0 параллельна адиабате S0 = const. Замечая, что


видим, что прямая АВ проходит более круто, чем касательная в точке А, но менее круто, чем касательная в точке В, откуда ,. Это непосредственно видно и из рис. 2.6.

Существенна внутренняя связь условий возрастания энтропии и условия механической устойчивости разрыва . Оба условия непосредственно вытекают из того факта, что адиабаты при уменьшении объема, начиная от А, идут все круче и круче.

Итак, из рассмотрения ударных волн слабой интенсивности в веществе с произвольными термодинамическими свойствами мы получили все те следствия из законов сохранения, которые были выше продемонстрированы на частном примере идеального газа с постоянной теплоемкостью. Единственное условие, которое нам при этом потребовалось,- это положительность второй производной .

2.6 Ударные волны в веществе с аномальными термодинамическими свойствами

Представим себе теперь вещество с аномальными термодинамическими свойствами, такими, что вторая производная  хотя бы в некоторой части адиабаты отрицательна. Обычная адиабата для такого вещества в соответствующей области давлений и объемов обращена выпуклостью вверх, как показано на рис. 1.36.

При небольших изменениях давления адиабата Гюгонио почти совпадает с адиабатой Пуассона (с точностью до малых третьего порядка по V1 - Vo или р1 - р0).


Рисунок 2.10 - Адиабата Пуассона вещества с аномальными свойствами и геометрическая интерпретация соотношений для ударных волн сжатия и разрежения

Наоборот, в ударной волне разрежения энтропия растет (см. формулу (2.48)). Как видно из сопоставления наклонов секущей АС и касательных в точках А и С, скорость перед разрывом сверхзвуковая, а за разрывом - дозвуковая.

Таким образом, и в веществе с аномальными свойствами условие возрастания энтропии совпадает с условием механической устойчивости и условием, допускающим причинную связь между внешними факторами и распространением волны:. В аномальном веществе невозможны ударные волны сжатия, но возможны ударные волны разрежения. Вызванное движением поршня сжатие в таком веществе будет распространяться в виде волны, постепенно расширяющейся наподобие волн разрежения в обычном газе. Ударный разрыв вообще не возникнет и движение будет адиабатическим. Волна же разрежения будет распространяться в виде крутого фронта, который не будет расширяться с течением времени и толщина которого будет определяться значениями вязкости и теплопроводности.

В обычных условиях все вещества-газообразные, твердые и жидкие - обладают нормальными свойствами: адиабатическая сжимаемость их уменьшается с возрастанием давления. Аномального поведения вещества можно ожидать вблизи критической точки жидкость - газ. Действительно, еще задолго до критической точки изотермы газа имеют перегиб (в критической точке перегиб становится горизонтальным). Для вещества с достаточно большой молекулярной теплоемкостью, у которого показатель адиабаты близок к единице, адиабаты и изотермы отличаются мало, и можно ожидать, что вне области двухфазных состояний адиабаты также будут иметь перегиб, т.е. обладать областью с аномальным знаком второй производной, как это показано на рис. 2.11.

Рисунок 2.11 - Адиабата с аномальной выпуклостью в Ван-дер-Ваальсовом газе с теплоемкостью сV = 40 кал/град-моль

Заштрихована область двухфазных систем. Кривая II ограничивает область состояний с аномальной выпуклостью адиабат. Под кривой II.

Кривая I на этом рисунке ограничивает область двухфазной системы, а кривая II есть геометрическое место точек перегиба адиабат .. Она отделяет область, в которой .На рис. 1.37 проведена также одна адиабата, обладающая аномальностью. Кривые рассчитаны с помощью модельного уравнения состояния Ван-дер-Ваальса для случая теплоемкости сV = 40 кал/град-моль.

Связь знака приращения энтропии и неравенств, касающихся скоростей газа и звука, отвечающая обязательному совпадению условия возрастания энтропии с условием механической устойчивости, может нарушиться только в том случае, если в рассматриваемом интервале изменения давления осуществляются оба знака , так что адиабата Пуассона имеет больше двух точек пересечения с секущей. При этом могут возникать сложные режимы с одновременным существованием и разрывов и примыкающих к ним размытых волн.


3. Разработка и теоретическое обоснование лекционной демонстрации «Изучение механизма формирования ударной волны»

3.1 Механизм возникновения ударной волны

Как мы уже знаем, скорость распространения волн звукового диапазона не зависит от их амплитуды, которая для всех частот звуковых волн достаточно мала. Например, в случае идеального газа амплитуды продольной волны равны 5,44*10-13 м при частоте = 20 кГц (L = 0) и 6,8*10-3 м при L=140 дБ и  = 16 Гц. Если же амплитуда колебаний частиц велика, то скорость волны начинает зависеть и от амплитуды. Это связано с тем, что на участках сжатия газ нагревается, и скорость волны возрастает. Поэтому каждая следующая волна сжатия движется быстрее предыдущей и нагоняет ее. В результате они образуют одну мощную результирующую волну сжатия газа, вызывающую мгновенное повышение давления газа на значительную величину. Действие этой волны на невозмущенный газ и объекты, расположенные на пути этой волны, подобно удару, поэтому и волна называется ударной. Это значит, что ударная волна представляет собой тонкий слой среды с повышенными значениями плотности и давления, который перемещается со сверхзвуковой скоростью по невозмущенному газу. Толщина ударной волны составляет величину порядка средней длины свободного пробега молекул газа между последовательными столкновениями друг с другом. Скорость движения ударной волны и температура газа за ней зависят от перепада давлений , где р - давление в области волны, р0 - перед ней. Так, при перепаде давлений  атм скорость ударной волны 452 м*c-1; при  атм -3000 м*с-1, а при  атм - 9310 м*с-1. Резкое повышение давления в ударной волне, высокая температура и большая скорость движения частиц газа являются причиной значительных механических разрушений, вызываемых ею. В реальных условиях ударная волна образуется при взрывах (чем мощнее взрыв, тем сильнее ударная волна), при мощных электрических разрядах, при движении тел со скоростями, близкими к скорости звука ().

При знакомстве с эффектом Доплера мы обнаружили, что при движении источника звука изменяется высота звука, т.е. частота , воспринимаемая неподвижным наблюдателем (впереди - возрастает, а позади - уменьшается). При этом гребни волны перед источником сближаются (длина волны ), что и отражено на рисунке 2.6(а) для случая, когда  меньше скорости звука в невозмущенной среде.

На этом рисунке указаны четыре положения источника волн (0, 1, 2, 3), которые он последовательно занимает через промежутки времени, равные периоду Т0 колебаний источника звука. Там же изображены новые положения гребней всех волн, которые были созданы в предыдущие моменты времени и распространяются из пронумерованных положений движущегося источника.

Рисунок 3.1  Положения гребней волн, которые были созданы в предыдущие моменты времени

При достаточно большой амплитуде (интенсивности) волны на переднем фронте может сформироваться ударная волна, если в результате нагревания среды последующие гребни будут способны догнать предыдущие и усилить друг друга.

3.2 Ударная волна при движении со сверхзвуковыми скоростями

Однако возможен и другой механизм образования ударной волны, который реализуется в процессе увеличения скорости движения источника звука, например самолета. Если  увеличивается, то длина  волны впереди источника уменьшается и при  обращается в нуль, гребни излучаемых волн накладываются прямо перед движущимся телом (рисунок 3.1(б)). Самолет движется с той же скоростью, что и волны, которые он создает при движении в воздухе. Если же , то волны нагромождаются друг на друга внутри конуса, образующие которого являются огибающей фронтов всех ранее созданных гребней волн (рисунок 3.1(в)). Из рисунка следует, что

. (3.1)

При движении у поверхности Земли со скоростью, близкой к космической, давление в области ударной волны приближается к 1000 атм, а температура превышает 10 000°С. При этом форма ударной волны и ее расстояние от летящего тела зависят от формы носовой части и скорости полета объекта. Если тело имеет заостренную, хорошо обтекаемую форму, то ударная волна возникает в основном от передней части тела, «разрывающей» газ (рисунок 3.2).

Рисунок 3.2  Ударные волны от сверхзвукового самолета

Скорость ударной волны на переднем фронте относительно неподвижного газа равна скорости полета тела (), а вдали от тела в направлении, перпендикулярном к фронту волны, скорость ударной волны близка к скорости звука ().

Фактически акустический удар, который воспринимает человек при прохождении ударной волны от сверхзвукового самолета, представляет собой двойной удар, поскольку ударная волна образуется как впереди, так и позади самолета. Наблюдатель справа уже слышал такой двойной удар, наблюдатель слева еще услышит его, а центральный наблюдатель только что услышал первый удар, за которым вот-вот последует второй удар от заднего фронта волны.

При движении тела со сверхзвуковой скоростью (>>1200км/ч) значительная часть его кинетической энергии расходуется на возбуждение ударных и звуковых волн. Этот процесс сопровождается возникновением дополнительного сопротивления воздуха движению тела, называемого волновым сопротивлением. При сверхзвуковых скоростях сопротивление, связанное с вязкостью газа, имеет значительно меньшее значение, чем волновое сопротивление.

Основной вклад в общее сопротивление вносит волновое сопротивление и в области предзвуковых скоростей. Так, при увеличении скорости самолета с 300 до 600 км/ч сопротивление воздуха увеличивается в 4 раза (пропорционально квадрату скорости), а при повышении скорости от 600 до 1200 км/ч возрастает в 32 раза (пропорционально пятой степени скорости).

Для уменьшения волнового сопротивления сверхзвуковым самолетам придают веретенообразный фюзеляж с небольшими стреловидными крыльями, имеющими заостренную переднюю кромку.

3.3 Теоретическое обоснование создания лекционных демонстраций, используемых при обучении физики в вузе

В соответствии с прогнозами развития образовательной системы, можно ожидать, что система образования в XXI веке будет представлять собой стремительно модернизируемую структуру. В первую очередь, это будет связано с внедрением компьютерных и информационных технологий во все сферы учебного процесса. В настоящее время развиваются и активно внедряются в образование компьютерные формы обучения, такие как дистанционное, виртуальное обучение, основанные на сетевых технологиях, кейс-технологиях. Однако преобладающими формами обучения в классическом вузе до сих пор остаются традиционные формы, основанные на непосредственном взаимодействии преподавателя со студентами. Поэтому актуальным является разработка таких образовательных технологий, которые используют преимущества компьютерных форм обучения и вместе с тем способны модернизировать традиционные формы обучения с целью качественного повышения уровня учебного процесса в вузе.

Традиционными для классического вуза (при обучении физике) являются такие формы обучения, как лекция, семинар, лабораторная работа, а также самостоятельная работа студентов. На сегодня распределение учебного времени таково, что лишь 50% отводится на аудиторные занятия. Одновременно наблюдается тенденция вывода большей части учебного материала в самостоятельную работу студентов, что в ряде случаев негативно сказывается на системности и фундаментальности образования по физике в вузе.

Одним из путей решения данной проблемы является совершенствование процесса организации и проведения лекций в вузе на базе создания и применения инновационных образовательных технологий и соответствующих программных средств учебного назначения нового поколения. Такую возможность предоставляют, например, программные средства учебного назначения, базирующиеся на использовании видеопроектора, управляемого компьютером (демонстрация).

Известно, что демонстрации являются неотъемлемой, органической частью лекции. В методическом отношение демонстрации делают всякое явление более явным для слушателей, чем при словесном его описании, и содействует более легкому усвоению и запоминанию материала.

Традиционно для демонстраций используют разнообразные физические приборы и установки. С развитием компьютерной технике и мультимедийного обеспечения появилась реальная альтернатива - использование компьютеров для лекционных демонстраций.

Использование компьютеров предпочтительней (или является единственным) в следующих случаях:

1. Когда рассматриваемое физическое явление слишком скоротечно (например, возникновение ударной волны) или наоборот слишком долговременно (например, процесс роста кристалла) для непосредственной демонстраций на лекции.

2. Когда пространственные масштабы явления слишком малы или слишком большие для непосредственной демонстрации в лекционной аудитории.

3. Когда физическое явление не наблюдаемо в принципе (например, тунелирование микрочастицы).

4. Когда компьютерная демонстрация более выгодна в экономическом смысле, что особенно существенно при нынешнем положение финансирования высшей школы.

Из методов создания компьютерных демонстраций можно выделить два:

1. Моделирование физических процессов с помощью программирования.

2. Создание компьютерных видеоклипов с помощью сопряженной с компьютером видеокамеры.

При моделировании физических процессов с помощью программирования обычно используются традиционные языки программирования (Delphi, Visual Basic), при этом делается упор на мультипликационное представление физических явлений.

3.4 Разработка лекционной демонстрации «Изучение механизма формирования ударной волны»

Для создания лекционной демонстрации был выбран язык программирования Delphi7, потому, что в Delphi7 сделать первый шаг очень просто, она интуитивно понятна. Конечно, небольшому числу разработчиков по долгу службы нужны глубокие специфические знания, которые приходят со временем. А начинающим Delphi7 позволяет начать создавать программы сразу, не углубляясь в изучение внутренностей операционной системы, и даже собственной среды разработки. Поэтому программист может сразу сосредоточиться на логике работы будущей программы.- прекрасная система визуального объектно-ориентированного проектирования, одинаково радующая и новичков в программировании, и профессионалов. Начинающим Delphi7 позволяет сразу, с небольшими затратами времени и сил создавать прикладные программы, которые внешне неотличимы от программ, созданных профессионалами. А для опытного программиста Delphi7 открывает неограниченные возможности для создания сколь угодно сложных программ любого типа.

Для лекционной демонстрации была разработана программа, алгоритм которой можно увидеть в приложении А.

Разработанная программа проста в использовании, интерфейс программы содержит лишь 4 виртуальных кнопки (рисунок 3.3): начало, пуск, стоп и выход.

Рисунок 3.3 - Интерфейс программы

Виртуальные кнопки начало и пуск позволяют запустить программу, а стоп - для того, что бы было возможно остановить программу и прокомментировать прошедшие или непонятные моменты. Виртуальная кнопка выход предназначена для выхода из программы.

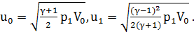
Данная лекционная демонстрация позволяет показать механизм возникновения ударной волны при движении со сверхзвуковыми скоростями. Лекционную демонстрацию можно разделить на 3 случая:

.   Когда  (рисунок 3.4а)

2.      Когда  (рисунок 3.4б)

.        Когда  (рисунок 3.4в)

а

б

в

Рисунок 3.4 - Ход лекционной демонстрации

В окне программы отображено, какой из 3 случаев демонстрируется в данный момент, так же можно пронаблюдать как изменяется скорость. Пределы для изменения скорости были выбраны от 110 м/с до 415 м/с, т.к. 110 м/с считается скорость необходимая для взлета, а 415 м/с лежит выше звукового барьера.

В ходе лекционной демонстрации в случае когда  подсчитывается угол  по формуле (3.1). Этот угол характеризует «остроту» ударной волны.

В конце лекционной демонстрации появляются линии показывающие фронт волны в различных случаях (рисунок 3.5).

Рисунок 3.5 - Фронт ударной волны

Заключение

Гипотеза работы заключается в том, что если вузовские лекции по физике будут проводиться с использованием лекционных демонстраций, в которых происходит интеграция «живой» речи лектора и видеоматериала, учитывающего психолого-педагогические особенности студентов, методические, дидактические, эргономические особенности изложения учебного материала и отображающего специфику физической науки, то можно повысить уровень знаний студентов по физике.

В результате данной работы были подобраны и усовершенствованы методический и теоретический материалы, а так же была разработана лекционная демонстрация «Изучение механизма формирования ударной волны» для курса «Молекулярная физика».


Список использованных источников

1. Дейч М.Е. Гидрогазодинамика: Учеб. пособие для студентов вузов. - М.: Энергоатомиздат, 1984. - 384с.

. Емцев Б.Т. Техническая гидромеханика: Учеб. пособие для студентов вузов. - 2-е изд., перераб. и доп. - М.: Машиностроение, 1987. - 440 с.

. Пермяков В.В. Гидромеханика и газодинамика Ч. 1.: Учеб. пособие для студентов вузов. - Владивосток: Изд-во Дальневост. гос. ун-та, 1991. - 135 с.

. Пермяков В.В. Гидромеханика и газодинамика Ч. 2.: Учеб. пособие для студентов вузов. - Владивосток: Изд-во Дальневост. гос. ун-та, 1991. - 127 с.

. Черный Г.Г. Газовая динамика: Учебник для университетов и ВТУЗов. - М.: Наука, Гл. ред. физ.-мат. лит-ры, 1988 - 424 с.

. Абрамович Г.Н. Прикладная газовая динамика: 4-ое изд. - М.: Наука, Гл. ред. физ.-мат. лит-ры, 1976. - 88 с.

. Лойцянский Л.Г. Механика жидкости и газа: Учеб. пособие для студентов вузов. - 6-ое изд., перераб. и доп. - М.: Наука. Глав. ред. физ.-мат. лит-ры., 1987. - 840 с.

. Повх И.Л. Техническая гидромеханика: Учеб. пособие для студентов вузов. - М.: Машиностроение, 1976. - 502 с.

Приложение А

Алгоритм программы написанной на языке программирования Delphi для лекционной демонстрации «Изучение механизма формирования ударной волны»

unit Unit1;, Messages, SysUtils, Variants, Classes, Graphics, Controls, Forms,, jpeg, ExtCtrls, StdCtrls, Math;= class(TForm): TImage;: TImage;: TPanel;: TButton;: TButton;: TButton;: TButton;: TLabel;: TLabel;: TLabel;Button1Click(Sender: TObject);Button2Click(Sender: TObject);Button3Click(Sender: TObject);Button4Click(Sender: TObject);

{ Private declarations }

{ Public declarations };: TForm1;, j, ds: integer;: boolean;:real;

{$R *.dfm}TForm1.Button1Click(Sender: TObject);CloseQuery then Close;;TForm1.Button3Click(Sender: TObject);:=10;:=trunc(ClientHeight/2);.Image2.Top:=j-10;(Form1.Canvas.Handle,0,0,Form1.ClientWidth,Form1.ClientHeight,);.Picture.LoadFromFile('blue_sky.jpg');.Visible:=true;.Left:=i+10;.Visible:=true;.Visible:=false;.Visible:=false;.Visible:=false;.Visible:=false;.Pen.Color:=clGreen;:=110;:=20;;TForm1.Button2Click(Sender: TObject);, r2, r3 ,r4, r5, r6, r7 ,r8, r9: integer;,x2,x3, ii:integer;:String;:real;:=true;:=200;:=160;:=130;:=200;:=180;:=160;:=200;:=160;:=140;.Label1.Visible:=true;.MoveTo(i,j);.LineTo(i+Image2.Width,j);.Enabled:=false;.Visible:=true;:=round(ClientWidth/8);:=round(ClientWidth/3);:=round(ClientWidth*8/13);:=round(ClientWidth/10);((i<=ClientWidth-Form1.Image2.Width-40)and flag=true)do.Left:=Image2.Left+1;.LineTo(i,j);.ProcessMessages;(ds);.Label2.Visible:=true;((i>0) and (i<x2)and(dx<330)) then:=dx+0.5;(dx:5:2,s);.Label2.Caption:='V='+s+'м/с';;(i>x2) then.Pen.Color:=clYellow;.Label1.Caption:='V ист=V';.Label2.Caption:='V='+'330'+'м/с';;(i>x3) then.Pen.Color:=clRed;.Label1.Caption:='V ист>V';:=dx+0.2;(dx:5:2,s);.Label2.Caption:='V='+s+'м/с';:=arcsin(330/dx);(teta:5:2,s);.Label3.Visible:=true;.Label3.Caption:='Teta='+s;;(i=x1) then Canvas.Arc(i-r1,j-r1,i+r1,j+r1,0,0,0,0);(i=x1+20) then Canvas.Arc(i-r2,j-r2,i+r2,j+r2,0,0,0,0);(i=x1+40) then Canvas.Arc(i-r3,j-r3,i+r3,j+r3,0,0,0,0);(i=x2+20) then Canvas.Arc(i-r4,j-r4,i+r4,j+r4,0,i*2,0,0);(i=x2+40) then Canvas.Arc(i-r5,j-r5,i+r5,j+r5,0,0,0,0);(i=x2+60) then Canvas.Arc(i-r6,j-r6,i+r6,j+r6,0,0,0,0);(i=x3+40) then Canvas.Arc(i-r7,j-r7,i+r7,j+r7,0,2*i,i,0);(i=x3+100) then Canvas.Arc(i-r8,j-r8,i+r8,j+r8,0,0,0,0);(i=x3+140) then Canvas.Arc(i-r9,j-r9,i+r9,j+r9,0,0,0,0);(i);(i=ii) then:=ds-2;:=ii+round(ClientWidth/10);;;(flag) then.Pen.Color:=clYellow;.MoveTo(x2+r4+20,10);.LineTo(x2+r4+20,ClientHeight-10);.Pen.Color:=clRed;.MoveTo(i-80,j);.LineTo(i-400,j-300);.MoveTo(i-80,j);.LineTo(i-400,j+300);;.Enabled:=true;;TForm1.Button4Click(Sender: TObject);:=false;;.

Похожие работы на - Разработка лекционной демонстрации 'Изучение механизма формирования ударной волны' для курса 'Молекулярная физика'

 

Не нашли материал для своей работы?
Поможем написать уникальную работу
Без плагиата!
Без нейросетей!