Расчет искусственного освещения

  • Вид работы:
    Контрольная работа
  • Предмет:
    Безопасность жизнедеятельности
  • Язык:
    Русский
    ,
    Формат файла:
    MS Word
    46,21 Кб
  • Опубликовано:
    2014-08-19
Вы можете узнать стоимость помощи в написании студенческой работы.
Помощь в написании работы, которую точно примут!

Расчет искусственного освещения

1.ТЕОРЕТИЧЕСКАЯ ЧАСТЬ

ЦЕЛЬ РАБОТЫ:

Освоение студентами методов измерения светотехнических характеристик осветительных установок и проведения оценки их эффективности в производственных помещениях.

1.1    Производственное освещение

Глаз человека лучше всего приспособлен к естественному освещению. При недостаточном естественном освещении или при его отсутствии применяют осветительные установки, которые обеспечивают возможность нормальной жизни и деятельности людей. Более того, искусственное освещение решает ряд задач, вообще недоступных естественному освещению. От особенностей устройства искусственного освещения, кажущихся иногда незначительными, во многом зависят и производительность труда, и безопасность работы, и сохранность зрения, и архитектурный облик помещения.

Производственное освещение - это такая система естественного и искусственного освещения, которая позволяет работающим нормально осуществлять определенный технологический процесс.

Рационально устроенное освещение - один из показателей высокого уровня культуры труда, неотъемлемая часть эргономики и производственной эстетики. Рациональное освещение обеспечивает психологический комфорт, способствует уменьшению зрительного и общего утомления, снижает опасность производственного травматизма.

.2     
Основные светотехнические понятия и характеристики

Производственное освещение характеризуется количественными и качественными показателями.

К количественным показателям относятся основные светотехнические величины: световой поток, сила света, освещенность и яркость.

Основная величина, характеризующая источник излучения видимого света, - световой поток Ф, (мощность лучистой энергии), оценивается глазом по производственному ею световому ощущению, измеряется в люменах (лм).

Сила света I - пространственная плотность светового потока, определяемая отношением светового потока Ф к телесному углу с вершиной в точке расположения светильника, в пределах которого равномерно распределен этот поток. Единица силы света - кандела (кд):


где I - сила света, кд;

Ф - световой поток, лм; - телесный угол, стер (стерадиан).

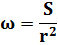
Телесный угол (w) - часть пространства, ограниченного конусом, имеющим вершину в центре сферы и опирающимся на ее поверхность.

Телесный угол определяется отношением площади (S), которую конус вырезает на поверхности сферы к квадрату радиуса (r) этой сферы, измеряется в стерадианах (Ср.), т.е. когда S = r2 = 1.


Освещенность (Е) - поверхностная плотность светового потока. Освещенность определяется отношением светового потока, падающего на поверхность к площади этой поверхности и измеряется в люксах (лк).

Связь между Ф и Е


где S - освещаемая поверхность, м2 ;

Е - освещенность, лк;

Ф - световой поток, лм.

Освещенность характеризует поверхностную плотность светового потока.

Светимость М - оценивает плотность светового потока, излучаемого светящейся поверхностью


где S - светящаяся поверхность.

Яркость поверхности В - светотехническая величина, непосредственно воспринимаемая глазом, определяется выражением


где S - светящаяся поверхность;

α - угол между нормалью к поверхности и направлением I к сетчатке глаза.

Яркость источников света необходимо учитывать яри оценке качества освещения. Яркость для внутреннего освещения - 0,5·104 кд/м2 , для наружного - 3·104 кд/м2, слепящая яркость - 6·104 кд/м2 . Гигиенически приемлемой считается яркость до 5000 кд/м2 .

Фон - поверхность, прилегающая к объекту различения, на котором он рассматривается.

При коэффициенте отражения p > 0,4 фон считается светлым, при р = 0,2 - 0,4 - средним и темным - при р < 0,2.

Коэффициент отражения определяется отношением световых потоков, отраженного и падающего.

 

Контраст объекта различается с фоном и определяется по формуле:

,

где К - контраст объекта различения с фоном;

Во - яркость объекта различения (кд/м 2 );

Вф - яркость фона (кд/м 2 ).

Контраст объекта различается при К > 0,5 считается большим (объект и фон резко различаются по яркости), при К =0,2 - 0,5 считается средним (объект и фон заметно различаются по яркости), при К < 0,2 - считается малым (объект и фон мало различаются по яркости).

Показатели ослепленности - критерий оценки слепящего действия, создаваемого осветительной установкой, определяется выражением:

Р = (S - 1)1000,

где Р - показатель ослепленности; - коэффициент ослепленности, определяемый отношением видимости объекта наблюдений при экранировании блестких источников света (V1) к видимости объекта наблюдения при наличии блестких источников в поле зрения (V2).

Видимость (V) - характеристика способности глаза воспринимать объект. Определяется числом пороговых контрастов, в контрасте объекта с фоном.

Коэффициент пульсации освещенности (КЕ) - это критерии глубинных колебаний освещенности в результате изменений во времени светового потока:


где Еmax, Emin, Еср - максимальное, минимальное, среднее значения освещенности за период колебаний.

Показатель дискомфорта - характеристика качества освещения, которая определяется степенью дополнительной напряженности зрительной работы, вызываемая резким различием яркостей одновременно видимых поверхностей в освещенном помещении.

Качественным показателем, определяющим условия зрительной работы, является фон, контраст объекта различения с фоном, показатель ослепленности, показатель дискомфорта.

1.3 Системы производственного освещения

При освещении производственных помещений используется естественное - за счет солнечного излучения (прямого и диффузного рассеянного света небосвода), искусственное - за счет источников искусственного света, и совмещенное освещение.

Естественное освещение имеет широкий спектральный состав, включая ультрафиолетовый, высокую диффузность, однако, оно зависит от погодных условий, изменяется по времени, возможно тенеобразование и ослепление при ярком свете.

Естественное освещение подразделяют на боковое (одно- и двух- стороннее), осуществляемое через световые проемы в наружных стенах; верхнее - через световые фонари, проемы в кровле и перекрытиях; комбинированное - сочетание верхнего и бокового освещения.

Искусственное освещение может быть общим (равномерным или локализованным) и комбинированным (общее и местное).

По функциональному назначению искусственное освещение подразделяется на рабочее, аварийное и специальное, которое может быть охранным, дежурным, эвакуационным, эритемным, бактерицидным и др.

Рабочее освещение предназначено для обеспечении нормальной работы и является обязательным для всех производственных помещений.

Аварийное освещение устраивается для продолжения работы в помещениях, где отключение рабочего освещения может привести к пожарам, взрывам, отравлениям и др.

Охранное освещение устраивают вдоль границ территорий, охраняемых специальным персоналом. Наименьшая освещенность 0,5 лк.

Сигнальное освещение применяется для фиксации границ опасных зон; оно указывает на наличие опасности, либо на безопасный путь эвакуации.

Бактерицидное облучение (освещение) создается для обеззараживания воздуха, питьевой воды, продуктов питания. Наибольшей бактерицидной способностью обладают ультрафиолетовые лучи длиной волны 254 - 257 нм.

Эритемное облучение создается в помещениях, где недостаточно солнечного света (северные районы, подземные сооружения). Максимальное эритемное воздействие оказывают электромагнитные лучи с длиной волны 297 нм. Они стимулируют обмен веществ, кровообращение, дыхание и другие функции человека.

.4 Естественное освещение и его регулирование

Основным показателем нормирования освещенности является коэффициент естественной освещенности (КЕО). Этот коэффициент равен отношению естественной освещенности Евн создаваемой в некоторой точке внутри помещения естественным светом небосвода, к значению наружной горизонтальной освещенности Енар и выражается в процентах.


где Евн и Енар - соответственно освещенность внутри и снаружи здания естественным светом небосвода.

Для создания естественной освещенности в зданиях служат окна, а также световые проемы и фонари на крыше. Естественное освещение может быть боковым (через окна), верхним (через световые проемы и фонари на крыше) или комбинированным.

1.5 Искусственное освещение

При выполнении зрительных работ в условиях производства к наиболее важным функциям зрения относятся:

контрастная чувствительность - способность различать минимальные уровни яркости, объекта и фона;

острота зрения - способность различать две точки, видимые под разными углами (при нормальной остроте зрения угол различения составляет 1°);

скорость зрительного восприятия - способность различить отдельные детали за короткий период времени;

устойчивость ясного видения - способность сохранять устойчивое изображение детали;

• цветоощущение - способность органа зрения различать цвета;

зрительная адаптация - способность органа зрения приспосабливаться к различению объектов в условиях изменяющегося освещения;

световая адаптация - приспособление органа зрения при увеличении яркости (время адаптации 5 - 10 мин);

темновая адаптация - приспособление органа зрения при уменьшении яркости (время адаптации от 30 мин до 2 ч).

Недостаточная освещенность, частые и резкие перепады ее в поле зрения, спектральный состав, несоответствующий естественному свету, пульсации светового потока приводят к напряжению зрения и вызывают утомление световоспринимающего и двигательного аппарата глаз, в результате чего развиваются такие состояния, как:

астенопия, характерными признаками которой являются неясное видение, ломота и боль в области глазниц, головная боль, быстрая утомляемость. При длительной работе астенопия приводит к спазму аккомодации и возникающей при этом ложной близорукости;

профессиональная близорукость (обычно не более 3,0 диоптрий), частота появления которой зависит от степени зрительного напряжения, его непрерывности и длительности;

профессиональный нистагм - быстро повторяющиеся движения - глазных яблок, дрожание век, головы, ухудшение самочувствия в результате работы при недостаточной освещенности.

Для обеспечения нормальной работы органа зрения производственное освещение нормируется в зависимости, от вида освещения (естественное, искусственное - общее или комбинированное, совмещенное) и разряда зрительной работы.

2.     
ПРАКТИЧЕСКАЯ ЧАСТЬ

Для расчетов мы выбираем помещение для учебной работы.

Учебное помещение представляет собой комнату размерами A=25м, B=10 м, Н=4м. Коэффициент отражения p=70% . Произведем расчет систем освещения на основе биспиральных ламп, гарантирующих нормируемые значения освещенности на рабочем столе.

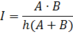
В данном помещении идет работа с текстом, как с печатным, так и письменным. Отсюда следует, что характер зрительной работы - средней точности, разряд IV, минимальный объект различения с размерами 0.5-1мм, контраст объекта с фоном - средний, фон - средний. При общем освещении нормированное значение освещенности на рабочем столе составляет .Определим необходимое число светильников по формуле


Но перед этим, определим индекс помещения I, для того чтобы определить коэффициент использования светового потока:


Где h определяется по формуле:

светотехнический освещение производственный


Вывод: Для помещения размерами A=25м, B=10 м, Н=4м, где выполняется учебная работа необходимо 80 светильников расположенных вдоль длинной стороны помещения по 6 штук в ряд. Что, по мнению экспертов, не целесообразно и данные лампы стоит заменить на лампы другого типа.

Похожие работы на - Расчет искусственного освещения

 

Не нашли материал для своей работы?
Поможем написать уникальную работу
Без плагиата!
Без нейросетей!