Определение пожарно-технических характеристик здания
МЧС
РОССИИ
ФГБОУ
ВПО ВОРОНЕЖСКИЙ ИНСТИТУТ
ГОСУДАРСТВЕННОЙ
ПРОТИВОПОЖАРНОЙ СЛУЖБЫ МЧС РОССИИ
КАФЕДРА
ПОЖАРНОЙ БЕЗОПАСНОСТИ В СТРОИТЕЛЬСТВЕ
КУРСОВАЯ
РАБОТА
по
дисциплине
«Здания,
сооружения и их устойчивость при пожаре»
тема:
«Определение пожарно-технических характеристик здания»
Вариант
Воронеж
2014
Введение
Ещё с древнейших времен человечество
сталкивалось с различными природными опасностями, в том числе и с пожарами. В
современном мире их появление обусловлено умыслом людей или неумелым обращением
с огнем. Постепенно появилась необходимость изучения методов борьбы с огнем,
предотвращения возникновения причин пожаров в зданиях, а для этого нам
необходимо знать их пожарно-технические характеристики. Кроме того, согласно
статье 78 федерального закона № 123 ФЗ «Технический регламент о требованиях
пожарной безопасности» характеристики должны быть указаны в проектной
документации на здания, сооружения, строительные конструкции.
Цель нашего проекта заключается в изучении
пожарно-технических характеристик здания и последующей классификации этих
зданий по пожарной опасности, которая, согласно статье 26 ФЗ № 123, применяется
для установления требований пожарной безопасности, направленных на
предотвращение возникновения пожара и обеспечение противопожарной защиты людей
и имущества.
Для достижения поставленной цели в работе
решались задачи:
определение степени огнестойкости здания, расчет
пределов огнестойкости строительных конструкций;
нахождение класса конструктивной пожарной
опасности здания;
установление класса функциональной пожарной
опасности здания;
определение допустимости применения покрытий
полов в зальных помещениях, установление группы распространения пламени, класса
пожарной опасности материала.
В современных условиях существования нам необходимо
изучать показатели пожарной опасности строительных материалов, конструкций, а
также их параметры огнестойкости. Благодаря их определению, в дальнейшем их
могут использовать при построении новых зданий, различных сооружений, а также
при реконструкции старых.
1.1
Расчет предела огнестойкости железобетонных конструкций
1.1.1 Расчет предела огнестойкости
железобетонной многопустотной плиты перекрытия
Вид бетона - легкий бетон плотностью ρ
= 1600 кг/м3
с крупным заполнителем из керамзита; плиты многопустотные, с круглыми
пустотами, количество пустот - 6 шт, опирание плит - по двум сторонам.

Рис. 1.1.1.1. а) поперечное сечение плиты; б)
расчетная схема определения предела огнестойкости плиты
) Определяем максимальный изгибающий момент M в
плите:
где
-
постоянные нагрузки на плиту, H/м2;
- временные
нагрузки на плиту, H/м2;
- ширина сечения и
длина рабочего пролета плиты, м.
) Определяем рабочую высоту сечения плиты h0:
где
-
высота сечения плиты, м;
- толщина
защитного слоя бетона, м;
d - диаметр рабочей растянутой арматуры, м.
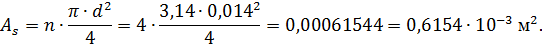
) Площадь поперечного сечения всей растянутой
арматуры As определяется в зависимости от диаметра арматуры:
где
-
порядковый номер арматурного стержня;
- площадь
поперечного сечения j-го арматурного стержня.
) Согласно методическому указанию для курсовой
работы расчетные сопротивления растяжению арматуры Rsu и сжатию бетона Rbu
определяются делением соответствующих нормативных сопротивлений Rsn (П3.9
приложение 3) и Rbn (П3.8 приложение 3) на коэффициенты надежности
(для
арматуры) и
(для бетона). Для
арматуры класса A-VI нормативное сопротивление составляет 980 МПа, для бетона,
имеющего класс прочности B15, нормативное сопротивление составляет 11 МПа.
) Определяем коэффициент условий работы при
пожаре
растянутой
арматуры железобетонной плиты:
) По таблице 1.1.1.2 (табл. П3.3 приложение 3 МУ
для КР) в зависимости от коэффициента работы при пожаре
определяем
критическую температуру прогрева, при которой теряется прочность растянутой
арматуры плиты.
Заданная арматура A-VI, но так как в таблице нет
значений для этого класса, принимаем значения для арматуры класса Aт-VI.
Таблица 1.1.1.2
Значения коэффициента условий работы при пожаре
стержневой
арматуры различных классов в зависимости от температуры арматуры
Так как
,
то для определения критической температуры
применяется
метод линейной интерполяции:
) Определяем средний диаметр растянутой арматуры
ds:
где j - порядковый номер арматурного стержня, м;
соответственно
диаметр, м и площадь поперечного сечения, м2 j-го арматурного стержня.
) Решаем теплотехническую задачу для определения
предела огнестойкости сплошной железобетонной плиты:
где
-
приведенный коэффициент температуропроводности бетона, м2/ч, определяется по
табл. П3.4 приложения 3 МУ для КР в зависимости от плотности бетона и вида
заполнителя:
;
и
-
поправочные коэффициенты, определяются в зависимости от плотности бетона по
справочным данным, приведенным в табл. П3.5 приложения 3 МУ для КР.
Для бетона плотностью 1600 кг/м3:
= 0,58;
= 0,65;
-средняя толщина
защитного слоя бетона:
) Определяем предел огнестойкости по признаку
«R» (потеря несущей способности) многопустотных плит путем умножения предела
огнестойкости сплошных плит на понижающий коэффициент 0,9:
Предел огнестойкости многопустотной
железобетонной плиты по потере несущей способности составляет R 240.
) Определим предел огнестойкости по признаку «I»
(потеря теплоизолирующей способности) через приведенную толщину многопустотной
плиты.
Приведенная толщина плиты
определяется
по формуле:
где
-
площадь сечения плиты, м2;
- площадь пустот в
плите, м2, определяется по формуле:
где
-
диаметр пустот, м;количество пустот, шт.
По таблице 1.1.1.3 (табл. П3.6 приложения 3 МУ
для КР определяется предел огнестойкости по потере теплоизолирующей способности
при условии отсутствия теплоотвода с необогреваемой поверхности плиты.
Таблица 1.1.1.3
Толщины сплошного бетонного сечения, необходимые
для обеспечения соответствующего предела огнестойкости по потере
теплоизолирующей
способности «I»
Приведенная толщина
м,
плотность бетона 1600 кг/м3, следовательно предел огнестойкости по потере
теплоизолирующей способности составляет I 180.
Предел огнестойкости по потере несущей
способности 240 мин, а по теплоизолирующей 180 мин. Необходимо брать наименьший
предел огнестойкости.
Вывод: предел огнестойкости железобетонной плиты
REI 180.
.1.2 Расчет предела огнестойкости железобетонной
колонны
Исходные данные для расчета предела огнестойкости
железобетонной колонны приведены в таблице 1.1.2.1
Вид бетона - тяжелый бетон плотностью ρ
= 2350 кг/м3
с крупным заполнителем из карбонатных пород (известняк);
Рис. 1.1.2.1. Расчетная схема определения предела
огнестойкости железобетонной колонны, подвергаемой четырехстороннему
воздействию пожара:
, 2, 3, 4 - номера обогреваемых пожаром
поверхностей сечения колонны
.1.2.1 Определение предела огнестойкости
колонны. Первый расчетный период времени
) Определяем толщину слоя бетона, начавшего
прогреваться:
где
-
первый расчетный период времени, ч;
- приведенный
коэффициент температуропроводности бетона, м2/ч, определяется по табл. П3.4
приложения 3 МУ для КР в зависимости от плотности бетона и вида заполнителя:
0,1444991349
) Определяем относительные расстояния r1, r2,
r3, r4:
где
-
параметр, зависящий от расстояния от обогреваемой поверхности до ближайшего к
ней края арматуры, а так же характеристик бетона и арматуры, м;
Для расчетов принимается r1 = r3 и r2 = r4,
тогда параметры
и
определяются
по формулам:
где y - толщина защитного слоя бетона, м;
и
-
поправочные коэффициенты, определяются в зависимости от плотности бетона по
справочным данным, приведенным в табл. П3.5 приложения 3 МУ для КР:
= 0,62;
= 0,5;
так как
.
) Определим температуру арматуры
при
) Рассчитаем относительное расстояние,
определяемое для середины обогреваемой поверхности:
где b - расстояние между параллельными
обогреваемыми поверхностями, м;
Если
то
При расчете мы получили
следовательно
) Найдем значение параметра
:
где
критическая
температура бетона, при превышении которой он теряет прочность.
Для тяжелого бетона с крупным заполнителем из
карбонатных пород критическая температура
;
- параметр,
определяемый по формуле:
Так как
,
то
) Определяем толщину слоя бетона
прогретого
до критической температуры у середины боковой поверхности колонны по формуле:
) Определяем относительное расстояние внутри
угла колонны, образованного обогреваемыми поверхностями:
) Определяем толщину слоя
прогретого
до критической температуры в углу сечения колонны
) По табл. П3.3 приложения 3 МУ для КР
определяем значение коэффициента условий работы при пожаре
стержневой
арматуры в зависимости от температуры арматуры
.
Применяем метод линейной интерполяции. Данные приведены в таблице 1.1.2.1.1
Таблица 1.1.2.1.1
|
Температура
арматуры, ,
|
Коэффициент
условий работы стержневой арматуры,
|
|
700
|
0,1
|
|
724,438
|
х
|
|
750
|
0,05
|
) Определяем площадь F, м2, поперечного сечения
колонны, сохраняющего свою прочность в первый расчетный момент времени
воздействия пожара по формуле:
где
-
поправка на дополнительное увеличение толщины прогретого слоя бетона в углах
сечения, которая вычисляется по формуле:
11) Определяем сторону hb эквивалентного по
площади квадратного рабочего сечения:
) Определяем коэффициент продольного изгиба
колонны
по
табл., П3.7 приложения 3МУ для КР, в зависимости от соотношения расчетной длины
колонны
к
размеру стороны
квадратного
рабочего сечения по формуле:
По табл. П3.7 приложения 3 МУ для КР определяем
коэффициент продольного изгиба
. Для промежуточных
значений применяется метод линейной интерполяции. Данные приведены в таблице
1.1.2.1.2
Таблица 1.1.2.1.2
|
|
Коэффициент
продольного изгиба,
|
|
10
|
0,98
|
|
10,8477051
|
х
|
|
12
|
0,96
|
) Согласно методическому указанию для курсовой
работы определим Rsu и Rbu путем деления соответствующих нормативных
сопротивлений Rsn (П3.9 приложение 3) и Rbn (П3.8 приложение 3) на коэффициенты
надежности
(для арматуры) и
(для
бетона). Для арматуры класса A-IV нормативное сопротивление составляет 590 МПа,
для бетона, имеющего класс прочности B30, нормативное сопротивление составляет
22 МПа.
) Определим площадь поперечного сечения арматуры
AS, м2:
) Проведем расчет несущей способности
колонны
в момент времени τ1 = 1,5 ч
воздействия пожара:
Проверяем условие наступления предельного
состояния колонны по
потере несущей способности на момент времени
воздействия пожара
=1,5 ч:
кН ˃ 1595 кН
Так как
,
условие не выполняется, и принимается второй расчетный период времени
воздействия пожара. По пункту 3.1.2 ч. 4 МУ для КР если условие
не
выполняется, то
= 2 ч. Проводим
расчет
в
момент времени
.
.1.2.2 Определение предела огнестойкости колонны.
Второй расчетный период времени
) Определяем толщину слоя бетона, начавшего
прогреваться:
0,16685322
) Определяем относительные расстояния r1, r2,
r3, r4:
так как
.
) Определим температуру арматуры
при
) Рассчитаем относительное расстояние,
определяемое для середины обогреваемой поверхности:
Если
то
При расчете мы получили
следовательно
) Значение параметра
:
) Определяем толщину слоя бетона
прогретого
до критической температуры у середины боковой поверхности колонны по формуле:
) Относительное расстояние внутри угла колонны,
образованного обогреваемыми поверхностями:
) Определяем толщину слоя
прогретого
до критической температуры в углу сечения колонны
) Так как температура арматуры выше 800
то,
согласно табл. П3.3 приложения 3 МУ для КЗ, коэффициент работы арматуры
) Определяем площадь F, м2, поперечного сечения
колонны, сохраняющего свою прочность во второй расчетный момент времени
воздействия пожара:
) Определяем сторону hb эквивалентного по
площади квадратного рабочего сечение:
) Определяем коэффициент продольного изгиба
колонны
по
табл., П3.7 приложения 3 МУ для КР, в зависимости от соотношения расчетной
длины колонны
к размеру стороны
квадратного
рабочего сечения:
По табл. П3.7 приложения 3 МУ для КР определяем
коэффициент продольного изгиба
. Для промежуточных
значений применяется метод линейной интерполяции. Данные приведены в таблице
1.1.2.2.1
Таблица 1.1.2.2.1
|
Коэффициент
продольного изгиба,
|
|
|
10
|
0,98
|
|
11,505
|
х
|
|
12
|
0,96
|
) Проведем расчет несущей способности
колонны
в момент времени τ2 = 2 ч
воздействия пожара:
Проверяем условие наступления предельного
состояния колонны по потере несущей способности «R» на момент времени
воздействия пожара
= 2 ч:
кН ˃ 1595 кН
Так как
,
условие не выполняется, и принимается третий расчетный период времени
воздействия пожара. По пункту 3.1.2 ч. 4 МУ для КР если условие
не
выполняется, то
= 2,5 ч. Проводим
расчет
в
момент времени
.
.1.2.3 Определение предела огнестойкости
колонны. Третий расчетный период времени
) Определяем толщину слоя бетона, начавшего
прогреваться:
) Определяем относительные расстояния r1, r2,
r3, r4:
так как
.
) В предыдущем пункте 1.1.2.2 ч. 3 мы выяснили,
что температура арматуры превысила 800
,
поэтому в последующих расчетах ее можно не определять, так как температура
будет продолжать расти.
) Рассчитаем относительное расстояние,
определяемое для середины обогреваемой поверхности:
Если
то
При расчете мы получили
следовательно
) Значение параметра
:
) Определяем толщину слоя бетона
прогретого
до критической температуры у середины боковой поверхности колонны по формуле:
) Относительное расстояние внутри угла колонны,
образованного обогреваемыми поверхностями:
) Определяем толщину слоя
прогретого
до критической температуры в углу сечения колонны
) Так как температура арматуры выше 800
то,
согласно табл. П3.3 приложения 3 МУ для КЗ, коэффициент работы арматуры
) Определяем площадь F, м2, поперечного сечения
колонны, сохраняющего свою прочность во второй расчетный момент времени
воздействия пожара:
) Определяем сторону hb эквивалентного по
площади квадратного рабочего сечения:
) Определяем коэффициент продольного изгиба
колонны
по
табл., П3.7 приложения 3 МУ для КР, в зависимости от соотношения расчетной
длины колонны
к размеру стороны
квадратного
рабочего:
По табл. П3.7 приложения 3 МУ для КР определяем
коэффициент продольного изгиба
. Для промежуточных
значений применяется метод линейной интерполяции. Данные приведены в таблице
1.1.2.3.1
Таблица 1.1.2.3.1
|
|
Коэффициент
продольного изгиба,
|
|
12
|
0,96
|
|
12,159
|
х
|
|
14
|
0,93
|
) Проведем расчет несущей способности
колонны
в момент времени τ2 = 2,5 ч
воздействия пожара:
Проверяем условие наступления предельного
состояния колонны по потере несущей способности «R» на момент времени
воздействия пожара
= 2,5 ч:
кН ˃ 1595 кН
Так как
,
условие не выполняется, следовательно, принимается четвертый расчетный период
времени воздействия пожара. По пункту 3.1.2 ч. 4 МУ для КР если условие
не
выполняется, то
= 3 ч. Проводим
расчет
в
момент времени
.
1.1.2.4 Определение предела огнестойкости
колонны. Четвертый расчетный период времени
) Определяем толщину слоя бетона, начавшего
прогреваться:
) Определяем относительные расстояния r1, r2,
r3, r4:
так как
.
) Рассчитаем относительное расстояние,
определяемое для середины обогреваемой поверхности:
) Определяем значение параметра
:
) Определяем толщину слоя бетона
прогретого
до критической температуры у середины боковой поверхности колонны по формуле:
) Относительное расстояние внутри угла колонны,
образованного обогреваемыми поверхностями:
) Определяем толщину слоя
прогретого
до критической температуры в углу сечения колонны
) Так как температура арматуры выше 800
то,
согласно табл. П3.3 приложения 3 МУ для КЗ, коэффициент работы арматуры
.
) Определяем площадь F, м2, поперечного сечения
колонны, сохраняющего свою прочность во второй расчетный момент времени
воздействия пожара:
) Определяем сторону hb эквивалентного по
площади квадратного рабочего сечение:
11) Определяем коэффициент продольного изгиба
колонны
по
табл., П3.7 приложения 3 МУ для КР, в зависимости от соотношения расчетной
длины колонны
к размеру стороны
квадратного
рабочего сечения:
По табл. П3.7 приложения 3 МУ для КР определяем
коэффициент продольного изгиба
. Для промежуточных
значений применяется метод линейной интерполяции. Данные приведены в таблице
1.1.2.4.1
Таблица 1.1.2.4.1
|
|
Коэффициент
продольного изгиба,
|
|
12
|
0,96
|
|
12,81
|
х
|
|
14
|
0,93
|
) Проведем расчет несущей способности
колонны
в момент времени τ4 = 3 ч
воздействия пожара:
Проверяем условие наступления предельного
состояния колонны по потере несущей способности на момент времени воздействия
пожара
=
3 ч:
кН ˂ 1595 кН
Кроме того, предел огнестойкости можно
определить графически (рис. 1.1.2.4.1):
Рис. 1.1.2.4.1. График снижения несущей
способности колонны
в
период воздействия пожара τ от
2,5 ч до 3 ч
Вывод: предел огнестойкости железобетонной
колонны R 167.
.2 Определение пределов огнестойкости
строительных конструкций
.2.1 Определение предела огнестойкости
железобетонных конструкций
Исходные данные для железобетонной плиты
перекрытия приведены в таблице 1.2.1.1
Вид бетона - легкий бетон плотностью ρ
= 1600 кг/м3
с крупным заполнителем из керамзита; плиты многопустотные, с круглыми
пустотами, количество пустот - 6 шт, опирание плит - по двум сторонам.
) Эффективная толщина многопустотной плиты tэф
для оценки предела огнестойкости по теплоизолирующей способности согласно п.
2.27 Пособия к СНиП II-2-80 (Огнестойкость):
) Определяем по табл. 8 Пособия предел
огнестойкости плиты по потере теплоизолирующей способности для плиты из легкого
бетона с эффективной толщиной 140 мм:
Предел огнестойкости плиты 180 мин.
3) Определим расстояние от обогреваемой
поверхности плиты до оси стержневой арматуры:
) По таблице 1.2.1.2 (табл. 8 Пособия)
определяем предел огнестойкости плиты по потере несущей способности при а = 40
мм, для легкого бетона при опирании по двум сторонам.
Таблица 1.2.1.2
Пределы огнестойкости железобетонных плит
Искомый предел огнестойкости 2 ч или 120 мин.
) Определяем полную нагрузку на плит, как сумма
постоянной и временной нагрузок:
) Определяем отношение длительно действующей
части нагрузки к полной нагрузке:
) Поправочный коэффициент по нагрузке согласно
п. 2.20 Пособия:
) По п. 2.18 (ч. 1 б) Пособия принимаем
коэффициент j для арматуры
А-VI:
) Определяем предел огнестойкости плиты с учётом
коэффициентов по нагрузке и по арматуре:
Предел огнестойкости плиты по несущей
способности составляет
R 139.
Исходя из результатов полученных в ходе расчетов
мы получили, что предел огнестойкости железобетонной плиты по несущей
способности 139 мин., а по теплоизолирующей способности 180 мин. Необходимо
брать наименьший предел огнестойкости.
Вывод: предел огнестойкости железобетонной плиты
REI 139.
.2.2 Определение пределов огнестойкости
железобетонных колонн
Вид бетона - тяжелый бетон плотностью ρ
= 2350 кг/м3
с крупным заполнителем из карбонатных пород (известняк);
В таблице 1.2.2.1 (табл. 2 Пособия) приведены
значения фактических пределов огнестойкости (ПОф) железобетонных колонн с
различными характеристиками. При этом ПОф определяется не по толщине защитного
слоя бетона, а по расстоянию от поверхности конструкции до оси рабочего
арматурного стержня (
), которое включает
помимо толщины защитного слоя еще и половину диаметра рабочего арматурного
стержня.
) Определяем расстояние от обогреваемой
поверхности колонны до оси стержневой арматуры по формуле:
) Согласно п. 2.15 Пособия для конструкций из
бетона с карбонатным заполнителем размер поперечного сечения допускается
уменьшать на 10 % при том же пределе огнестойкости. Тогда ширину колонны
определим по формуле:
) По таблице 1.2.2.2 (табл. 2 Пособия)
определяем предел огнестойкости для колонны из легкого бетона с параметрами: b
= 444 мм, а = 37 мм при обогреве колонны со всех сторон.
Таблица 1.2.2.2
Пределы огнестойкости железобетонных колонн
Искомый предел огнестойкости находится в
интервале между 1,5 ч и 3 ч. Для определения предела огнестойкости применяем
метод линейной интерполяции. Данные приведены в таблице 1.2.2.3
Таблица 1.2.2.3
|
Расстояние
до оси арматуры а, мм
|
Ширина
колонны b, мм
|
Предел
огнестойкости, ч
|
|
а1
|
35
|
b1
|
240
|
ПО1
|
1,5
|
|
а
|
37
|
b
|
444
|
ПО
|
Х
|
|
а2
|
50
|
b2
|
450
|
ПО2
|
3
|
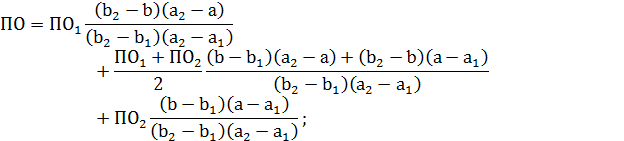
Формула билинейной интерполяции для определения
предела огнестойкости по двум переменным (a и b) имеет следующий вид:
Предел огнестойкости колонны без учета
поправочных коэффициентов - 2,33 ч.
) Полная нагрузка определяется как сумма
постоянной и временной нагрузок:
Соотношение длительной нагрузки к полной:
) Согласно п. 2.20 Пособия определяем
поправочный коэффициент по нагрузке методом линейной интерполяции:
) Предел огнестойкости колонны с учетом
коэффициента по нагрузке:
Вывод: предел огнестойкости колонны R 218.
.2.3 Определения пределов огнестойкости для
балок
Вид бетона - тяжелый бетон; сечение балок -
прямоугольное, балки статически определимые, свободно опёртые, обогрев - с трёх
сторон, расстояние от боковой поверхности до оси арматуры аw = 45 м.
) В балках арматура расположена в двух уровнях,
и имеет разный диаметр, поэтому необходимо найти среднее расстояние до оси
арматуры по формуле (п. 2.16 Пособия)
Таблица 1.2.3.2
Пределы огнестойкости железобетонных балок
3) Определяем предел огнестойкости балки с
параметрами: а = 23 мм, b = 120 мм.
Искомый предел огнестойкости находится в
интервале между 1,5 ч и
ч.
Для определения предела огнестойкости применяем
метод линейной интерполяции. Данные приведены в таблице 1.2.3.3
Таблица 1.2.3.3
|
Расстояние
от обогреваемой поверхности до оси арматуры, мм
|
Предел
огнестойкости, ч
|
|
15
|
0,5
|
|
23
|
Х
|
|
35
|
1
|
) Отношение длительно действующей части нагрузки
к полной
нагрузке:
) Поправочный коэффициент по нагрузке (п. 2.20
Пособия):
) По п. 2.18 (п. 1а) Пособия принимаем
коэффициент
для арматуры
т-VII:
) Определяем предел огнестойкости балки с учётом
коэффициентов по нагрузке и по арматуре:
Вывод: предел огнестойкости балки R 42.
.2.4 Определение предела огнестойкости стен
лестничных клеток и наружных стен
Исходные данные для стен лестничных клеток и
наружных стен приведены в таблице 1.2.4.1
Таблица 1.2.4.1
Характеристика стен лестничных клеток и наружных
стен
|
№
варианта
|
Вид
материала
|
Толщина,
мм
|
|
21
|
Из
легкобетонных камней , оштукатуренные с двух сторон
|
420
|
Согласно таблице 1.2.4.2 (табл. 10 Пособия)
стены лестничных клеток и наружные стены при толщине более 250 мм имеют предел
огнестойкости более 4 часов.
Таблица 1.2.4.2
Пределы огнестойкости стен лестничных клеток и
наружных стен
Вывод: предел огнестойкости стен лестничных
клеток и наружных стен R 240.
.2.5 Определение предела огнестойкости косоуров
и балок лестниц
Исходные данные для железобетонных балок
(ригелей) приведены в таблице 1.2.5.1
Таблица 1.2.5.1
Характеристика косоуров и балок лестниц
|
№
варианта
|
Характеристика
конструкций
|
|
21
|
Стальные,
с огнезащитой из теплоизоляционной штукатурки с заполнителем из гранулированной
ваты толщиной 25 мм, минимальная толщина поперечного сечения балки - 5 мм
|
Согласно таблице 1.2.5.2 (табл. 11 Пособия)
косоуры и балки лестниц при толщине металла 5 мм с огнезащитой
теплоизоляционной штукатурки с заполнителем из гранулированной ваты толщиной 25
мм имеют предел огнестойкости 0,75 часа.
Таблица 1.2.5.2
Пределы огнестойкости косоуров и балок лестниц
Вывод: предел огнестойкости косоуров и балок
лестниц R 45.
1.2.6. Определение предела огнестойкости ферм
бесчердачного покрытия
Исходные данные для железобетонных балок
(ригелей) приведены в таблице 1.2.6.1
Таблица 1.2.6.1
Характеристика ферм бесчердачного покрытия
|
№
варианта
|
Характеристика
несущего стержневого элемента фермы минимального сечения (двутавр по ГОСТ
26020-83)
|
Толщина
сухого слоя огнезащитной краски «Эндотерм»
|
|
вид
профиля
|
площадь
поперечного сечения, мм2
|
обогреваемый
периметр, мм
|
|
|
21
|
26К3
|
10589,94
|
1516,531
|
0.8
|
Используя формулу из п. 2.33 Пособия рассчитаем
приведенную толщину металла:
где
-
площадь поперечного сечения, мм2;
- обогреваемая
часть периметра, мм.
Пользуясь приложением 5 МУ для КР находим предел
огнестойкости ферм бесчердачного покрытия.
Рис. 1.2.6.1. Номограмма для определения предела
огнестойкости стальных конструкций, покрытых огнезащитой краской «Эндотерм»
Согласно рис.1.2.6.1, при толщине огнезащитной
краски «Эндотерм» 0,8 мм и приведенной толщиной металла 7 мм предел
огнестойкости составляет 30 минут.
Вывод: предел огнестойкости ферм бесчердачного
покрытия R 30.
.3 Определение степени огнестойкости здания
В нашем случае мы рассматриваем здание с
комбинированной конструктивной системой с неполным каркасом, в котором в
качестве несущих конструкций используются наружные несущие стены и колонны.
По таблице 21 приложения 3 к федеральному закону
ФЗ № 123 мы определяем степень огнестойкости строительных конструкций. Для
определения степени огнестойкости здания сведем полученные ранее данные о
пределах огнестойкости строительных конструкций в таблицу 1.3.1.
Таблица 1.3.1
|
Наименование
конструкции
|
Предел
огнестойкости конструкции
|
Для
зданий какой степени огнестойкости допускается применение конструкции
|
Степень
огнестойкости здания
|
|
Многопустотная
ж/б плита перекрытия (расчетн.)
|
REI
180
|
I
|
IV
|
|
Многопустотная
ж/б плита перекрытия (по справ. данным)
|
REI
139
|
I
|
|
|
Ж/б
колонна (по справ. Данным)
|
R
218
|
I
|
|
|
Ж/б
колонна (расчетн.)
|
R
167
|
I
|
|
|
Наружные
несущие стены
|
REI
240
|
I
|
|
|
Стены
лестничных клеток
|
R
240
|
I
|
|
|
Балки
(ригели)
|
R
42
|
IV
|
|
|
Косоуры
и балки лестниц
|
R
45
|
III
|
|
|
Фермы
бесчердачного покрытия
|
R
30
|
I
|
|
|
Ж/б
плита бесчердачного покрытия
|
RE
15
|
II
|
|
|
|
|
|
Из таблицы видно, что здание имеет IV степень
огнестойкости, определяющим фактором явился предел огнестойкости балок
(ригелей).
Вывод: Здание имеет IV степень огнестойкости.
Также, можно заметить, что данные о колонне и плите, полученные расчетным
методом отличаются от данных, определенных по справочному материалу. Это
обусловлено тем, что в расчетном методе мы использовали ряд параметров, которые
не затрагивали в методе определения по справочному материалу:
для плиты - длина плиты, класс прочности бетона,
максимальный изгибающий момент, действие абсолютных нагрузок;
для колонны - высота колонны, класс прочности
бетона, действие абсолютных нагрузок.
2. Определение класса конструктивной пожарной
опасности здания
огнестойкость пожарный здание
опасность
Класс конструктивной пожарной опасности здания
(С0, С1, С2, С3) определяется по таблице 22 приложения к федеральному закону от
22.07.2008 № 123-ФЗ и зависит от классов пожарной опасности строительных
конструкций здания (К0, К1, К2, К3):
Несущие стержневые элементы
Наружные стены с внешней стороны
Марши и площадки лестниц
Стены лестничных клеток
Стены, перегородки, перекрытия
Характеристики пожарной опасности наружных стен
с внешней стороны, перегородок, маршей и площадок лестниц, необходимые для
определения классов их пожарной опасности, выбираются из таблицы 2.1:
Таблица 2.1
Данные для определения класса пожарной опасности
строительных конструкций
|
Наименование
конструкции
|
Размер
повреждения конструкции
|
Наличие
|
Характеристики
пожарной опасности повреждённого материала
|
|
|
теплового
эффекта
|
горения
|
|
|
|
|
|
Г
|
В
|
Д
|
|
Колонны,
балки, фермы, стены (в том числе стены лестничных клеток), перекрытия
|
0
|
отсутствует
|
отсутствует
|
-
(НГ)
|
-
|
-
|
|
Наружные
стены с внешней стороны
|
60
|
присутствует
|
отсутствует
|
Г3
|
В2
|
Д2
|
|
Перегородки
|
40
|
присутствует
|
отсутствует
|
Г3
|
В2
|
Д2
|
|
Марши
и площадки лестниц
|
0
|
отсутствует
|
Отсутст-вует
|
отсутствует
|
отсутствует
|
Отсутст-вует
|
По таблице 2.2 определяем класс пожарной
опасности по каждому из показателей:
Таблица 2.2
Порядок определения класса пожарной опасности
строительных конструкций
|
Класс
пожарной опасности конст-рукций
|
Допускаемый
размер повреждения конструкций, см
|
Наличие
|
Допускаемые
характеристики пожарной опасности поврежденного материала
|
|
|
теплового
эффекта
|
горения
|
Группа
|
|
вертикальных
|
горизонтальных
|
|
|
горю-чести
|
воспла-меняе-мости
|
дымообразу-ющей
способности
|
|
К0
|
0
|
0
|
отсутствует
|
отсутствует
|
отсутствует
|
отсутствует
|
отсутствует
|
|
К1
|
не
более 40
|
не
более 25
|
не
регла-менти-руется
|
отсутствует
|
не
выше Г2+
|
не
выше В2+
|
не
выше Д2+
|
|
К2
|
более
40, но не более 80
|
более
25, но не более 50
|
не
регла-менти-руется
|
отсутствует
|
не
выше Г3+
|
не
выше В3+
|
не
выше Д2+
|
|
К3
|
не
регламентируется
|
. Для наружных стен с внешней стороны:
по показателю "размер поврежденной
конструкции" 60 см - К2,
по показателю "наличие теплового
эффекта" - К1,
по показателю "наличие горения" - К0,
по характеристикам пожарной опасности
повреждения материала - К2.
Вывод: наружные стены с внешней стороны
относятся к классу пожарной опасности - К2.
. Перегородки:
по показателю "размер поврежденной
конструкции" 40 см - К1,
по показателю "наличие теплового
эффекта" - К1,
по показателю "наличие горения" - К0,
по характеристикам пожарной опасности
повреждения материала - К2.
Вывод: относятся к классу пожарной опасности -
К2.
. Марши и площадки лестниц:
по показателю "размер поврежденной
конструкции"0 см - К0
по показателю "наличие теплового
эффекта" - К0
по показателю "наличие горения" - К0
по характеристикам пожарной опасности
повреждения материала - К0
Вывод: марши и площадки относятся к классу
пожарной опасности - К0.
. Колонны, балки, фермы, стены (в том числе
стены лестничных клеток), перекрытия - К0.
Вывод: Колонны, балки, фермы, стены (в том числе
стены лестничных клеток) относятся к классу пожарной опасности - К0
Для определения класса конструктивной пожарной
опасности указываем данные о классах пожарной опасности всех конструкций свести
в таблицу 2.3:
Таблица 2.3
Определение класса конструктивной пожарной
опасности здания
|
Наименование
конструкции
|
Класс
пожарной опасности конструкции
|
Для
зданий какого класса конструктивной пожарной опасности допускается применение
конструкции
|
Класс
конструктивной пожарной опасности здания
|
|
1
|
2
|
3
|
4
|
|
Наружные
стены с внешней стороны
|
К2
|
С1
|
.
С2
|
|
Перегородки
|
К2
|
С2
|
|
|
Марши
и площадки лестниц
|
К0
|
С0
|
|
|
Колонны,
балки, фермы, перекрытия
|
К0
|
С0
|
|
Колонка 3 таблицы 2.3 заполняется на основании
классов конструктивной пожарной опасности здания, который представлен в таблице
2.4 (табл. 22 ФЗ № 123). В колонке 4 таблицы указываем наиболее низкий класс
конструктивной пожарной опасности здания из приведённых в колонке 3.
Таблица 2.4
Классы конструктивной пожарной опасности
|
Класс
конструктивной пожарной опасности здания
|
Класс
пожарной опасности строительных конструкций
|
|
Несущие
стержневые элементы (колонны, ригели, фермы)
|
Наружные
стены с внешней стороны
|
Стены,
перегородки, перекрытия и бесчердачные покрытия
|
Стены
лестничных клеток и противопожарные преграды
|
Марши
и площадки лестниц в лестничных клетках
|
|
C0
|
K0
|
K0
|
K0
|
K0
|
K0
|
|
C1
|
K1
|
K2
|
K1
|
K0
|
K0
|
|
C2
|
K3
|
K3
|
K2
|
K1
|
|
C3
|
не
нормируется
|
не
нормируется
|
не
нормируется
|
K1
|
K3
|
Согласно таблице 22 ФЗ № 123 здание относится к
классу конструктивной пожарной опасности - С2. Определяющим фактором является
класс пожарной опасности перегородок - К2.
Вывод: класс конструктивной пожарной опасности -
С2
3. Определение класса функциональной пожарной
опасности здания
Класс функциональной пожарной опасности здания
определяется по ст. 32 Федерального закона от 22.07.2008 № 123-ФЗ в зависимости
от назначения здания, а также от возраста, физического состояния и количества
людей, находящихся в здании, возможности пребывания их в состоянии сна.
Согласно Статье 32 ФЗ №123 «Технический регламент о требованиях пожарной
безопасности» общеобразовательная школа относится к классу функциональной
пожарной опасности Ф4 - здания общеобразовательных организаций, научных и
проектных организаций, органов управления учреждений и подклассу Ф4.1- здания
общеобразовательных организаций, организаций дополнительного образования детей,
профессиональных общеобразовательных организаций.
Вывод: класс функциональной пожарной опасности
Ф4.1.
4. Определение допустимости применения покрытий
для пола в зальных помещениях
.1 Определение группы распространения пламени
Таблица 4.1.1
Результаты испытаний на распространение пламени
по ГОСТ Р 51302-97
|
Длина
распространения пламени для образцов №, мм
|
|
1
|
2
|
3
|
4
|
5
|
|
|
70
|
69
|
68
|
65
|
67
|
|
По табл. 4.1.1 определяем длину распространения
пламени как среднее арифметическое значение по длине поврежденной части пяти
образцов:
Согласно пункту 10.3 ГОСТа Р 51032-97
"Материалы строительные. Метод испытания на распространение пламени",
при отсутствии воспламенения образцов или длине распространения пламени по
длине образца менее 100 мм следует считать, что КППТП материала составляет
более 11 кВт/м2.
Таблица 4.1.2
Группы распространения пламени
|
Группа
распространения пламени
|
КППТП,
кВт/м2
|
|
РП1
|
11,0
и более
|
|
РП2
|
От
8,0, но не более 11,0
|
|
РП3
|
От
5,0, но не более 8,0
|
|
РП4
|
Менее
5,0
|
КППТП данного строительного материала более 11
кВт/
Группу распространения пламени определяем по пункту 8 статьи 13 федерального
закона № 123 ФЗ "Технический регламент о требованиях пожарной
безопасности" с внесенными изменениями федеральным законом № 117 от
10.07.2012. В таблице 4.1.2 указаны диапазоны для каждой из групп. По данным
таблицы можно сделать вывод, что данный строительный материал относится к
группе распространения пламенны РП1 (нераспространяющие), так как имеет
величину критической поверхностной плотности теплового потока более 11 киловатт
на квадратный метр.
Вывод: группа распространения пламени РП1.
.2 Определение класса пожарной опасности
материала
Таблица 4.2.1
Определение класса пожарной опасности
|
Вид
материала, сфера применения
|
Свойства
пожарной опасности материала
|
|
|
Горючесть
|
Воспла-
|
Распро-
|
Дымооб-
|
Токсич-
|
|
|
меняемость
|
странение
|
разующая
|
ность
|
|
|
|
пламени
|
способность
|
|
|
Покрытие
для пола
|
|
-
|
В1
|
РП1
|
Д2
|
Т2
|
|
|
|
|
|
|
|
Класс пожарной опасности материала определяем по
таблице 3 приложения к федеральному закону от 22.07.2008 № 123 ФЗ
"Технический регламент о требованиях пожарной безопасности" с
внесенными изменениями федеральным законом № 117 ФЗ от 10.07.2012. По таблице
27 ФЗ № 123 мы выбираем показатели, необходимые для определения класса пожарной
опасности напольных покрытий. Для них учитывается все, кроме горючести.
Следовательно, данный строительный материал относится к классу пожарной
опасности КМ1.
Вывод: класс пожарной опасности КМ1.
4.3 Определение допустимости применения покрытий
полов в зальных помещениях
Таблица 4.3.1
Данные для определения допустимого класса
пожарной опасности
|
№
варианта
|
Этажность
(высота) здания (для материалов на путях эвакуации)
|
Место
применения материала
|
Вместимость
зального помещения (для материалов в зальных помещениях), человек
|
|
21
|
-
|
Актовый
зал
|
200
|
Применение декоративно-отделочных, облицовочных
материалов и покрытий полов на путях эвакуации и в зальных помещениях
ограничивается в зависимости от класса пожарной опасности материала.
Допустимый класс пожарной опасности материалов
для зальных помещений зависит от класса функциональной пожарной опасности
здания, вместимости этих помещений, а также назначения материала, и определён в
таблице 4.3.2 (табл. 29 приложения к Федеральному закону от 22.07.2008 №
123-ФЗ):
Таблица 4.3.2
Область применения покрытий полов в зальных
помещениях
|
Класс
функциональной опасности здания
|
Вместимость
зальных помещений
|
Класс
пожарной опасности материала, не более указанного
|
|
|
Для
стен и потолков
|
Для
покрытий полов
|
|
Ф4.1
|
более
15, но не более 300
|
КМ1
|
КМ2
|
По таблице 4.3.2 мы определили допустимый класс
пожарной опасности материала для покрытий полов в зальных помещениях - КМ2. В
п. 4.2 мы определили класс пожарной опасности материала для покрытий полов -
КМ1. Следовательно данный материал допускается к использованию в актовом зале
школы.
Вывод: материал для покрытий полов допускается к
применению.
Заключение
В первой главе данного курсового проекта мы
рассчитали пределы огнестойкости многопустотных плит перекрытия (REI 180) и
колонн (R 167). Так же, мы определили пределы огнестойкости колонн и плит
перекрытия по справочным данным (R 218 и REI 139 соответственно). Кроме того,
по справочным данным мы определили пределы огнестойкости балок (R 42), косуоров
и балок лестниц (R 45), наружных стен (REI 240) и стен лестничных клеток (R
240), ферм бесчердачного покрытия (R 30). В следующем пункте первой главы мы
определяли огнестойкость знания. Ссылаясь на ФЗ № 123, мы сделали вывод о том,
что здание имеет IV степень огнестойкости.
Во второй главе мы определили класс
конструктивной пожарной опасности здания (C2). Для этого мы воспользовались
таблицей 22 ФЗ № 123 и справочными данными.
В третьей главе мы установили класс
функциональной пожарной опасности. В нашем случае это школа, которая, согласно
32 статье ФЗ № 123, относится к классу Ф4 и подклассу Ф4.1.
В четвертой главе для определения допустимости
покрытий для пола в зальных помещениях нам нужно было определить группу
распространения пламени по ГОСТ Р 51032-97 и класс пожарной опасности материала
по таблице 27 ФЗ № 123. В результате мы получили, что группа распространения
пламени РП1 и класс пожарной опасности КМ1. Согласно таблице 29 ФЗ № 123, для
зданий класса Ф4.1 и вместимостью от 15 до 300 человек класс пожарной опасности
для покрытий полов в зальных помещениях КМ2. В нашем случае мы рассматривали
актовый зал общеобразовательной школы, вместимостью 200 человек и материал для
напольных покрытий, имеющий класс пожарной опасности КМ1. Сопоставив данные, мы
сделали вывод, что материал допускается к применению в данном помещении.
Список использованной литературы
1.
Демехин В.Н., Мосалков И.Л., Плюснина Г.Ф., Серков Б.Б., Фролов
А.Ю.,
Шурин Е.Т. Здания, сооружения и их устойчивость при пожаре: Учебник - Москва.:
Академия ГПС МЧС России, 2003 - 656 с.
.
Шумилин В.В., Леденев А.А., Ненуженко А.М., Бобрышев А.А. Методические указания
и задания для выполнения курсовой работы курсантами и студентами III курса по
специальности 280705.65 - Воронеж.: ФГБОУ ВПО Воронежский институт ГПС МЧС
России; 2013. - 66 с.
.
Федеральный закон от 22.07.2008 № 123-ФЗ (в ред. от 10.07.2012) «Тех-
нический
регламент о требованиях пожарной безопасности».
.
ГОСТ 30444-97. (ГОСТ Р 51032-97). Материалы строительные. Метод
испытания
на распространение пламени.
.
ГОСТ 30403-96. Конструкции строительные. Метод определения пожар-
ной
опасности.
.
Пособие по определению пределов огнестойкости конструкций, преде-
лов
распространения огня по конструкциям и групп возгораемости материалов (к СНиП
II-2-80) - Москва.: Стройиздат, 1985. - 56 с.
.
СНиП 2.03.01-84*. Бетонные и железобетонные конструкции. - Москва.: ЦИТП
Госстроя СССР, 1985. - 79 с.
Приложение 1
Графическая работа. Железобетонная колонна
Приложение 2
Графическая работа. Железобетонная плита перекрытия