Пожарно-техническая экспертиза электротехнической части проекта цеха фасовки
МИНИСТЕРСТВО
ПО ЧРЕЗВЫЧАЙНЫМ СИТУАЦИЯМ РЕСПУБЛИКИ БЕЛАРУСЬ
Командно-инженерный
институт
Кафедра
пожарной профилактики и предупреждения чрезвычайных ситуаций
Курсовая
работа
по
дисциплине «Безопасность инженерных систем»
Тема:
«Пожарно-техническая экспертиза электротехнической части проекта цеха фасовки»
МИНСК 2012
Задание на курсовую работу
по учебной дисциплине “Безопасность инженерных
систем”
. Тема работы: Пожарно-техническая экспертиза
электротехнической части проекта цеха фасовки №2.
. Исходные данные:
Применяемое вещество: спирт поливиниловый
Напряжение сети (Uл/Uф): 380/220 В.
Категория электроснабжения объекта: 2.
.1 Характеристики электрической сети:
Электропроводка/Аппарат защиты
Участок: 2КРУ-3РП /СБВнг 3х150,60 м в земле/
А3144 (Iн=600 А).
Участок: 3РП -3ЩС/ВАШп 4х50 (ож), 10 м в
газов.трубе/ ПР-2 (Iн,вст=260 А).
Участок: 3РП -5ЩО/ВВБбг 3х185+1х95, 40 м на
скобах/ А3144 (Iн=400 А).
Участок: 3ЩС -5ЩС/АПвВГ 4х25, 50 м на скобах/
ПН-2 (Iн,вст =300 А).
Участок: 4ЩС-двигат. ПР 4х4, 50 м. в газ.трубе
А3124 (Iн=50 А)
Участок: 5ЩО-раб. освещ. АНРГ 4х1,5, 36 м в
трубе а=4 м АЕ1031-21 (Iн=6 А)
.2 Электрооборудование:
Распределительные устройства:
Номер по схеме / Установленная мощность /
Коэффициент спроса:
КРУ / 600 кВт / Кс=0,8
РП / 340 кВт / Кс=0,8
ЩС / 50 кВт / -
ЩС / 22 кВт / -
ЩО / 2 кВт / -
Двигатель: В180S4, Рн=22 кВт, coj=0,86,
h=91%,
Кп=6,5. Исполнение 1ExdIIАT2.
Магнитный пускатель и тепловое реле: ПАЕ-422,
ТРП-60, Io=40 А.
Ключ управления: ПВ-К. Исполнение 2ExiIIСT2.
Светильники общего освещения: В3Т3-ДРЛ250,
кол-во 8 шт., Рн=250Вт. Исполнение 1ExdIIВT3.
.3 Расчетные данные заземляющего устройства:
Тип схемы заземления: в (одиночная
горизонтальная полоса).
Соединительная полоса: сталь Ст.40х4, длина 150
м, глубина заложения 0,8м.
Сопротивление естественных заземлителей: 320 Ом
Измеренное удельное сопротивление грунта: ρизм
=800 Ом×м.
Осадки перед измерением: осадки не выпадали.
Данные для проектирования молниезащиты:
Здание: длина L=18 м, ширина S =16 м, высота
h=10 м.
Уровень молниезащиты I,
Степень надежности защиты: 0,999,
Тип молниеотвода: двойной тросовый,
точки установки: № (1,7) (35,41)
Тип трубы: ПВ (приточная вентиляционная труба),
точки установки трубы № 22 , высота 2 м.
. Содержание расчетно-пояснительной записки:
.1. Определение класса пожароопасной или
взрывоопасной зоны, категории и группы взрывоопасной смеси;
.2. Характеристика схемы электроснабжения,
силового и осветительного электрооборудования.
.3. Проверка соответствия конструктивного
исполнения силового, осветительного электрооборудования и электропроводников.
.4. Проверка соответствия электрических
характеристик проводов (кабелей) и аппаратов защиты.
.5. Проверка и расчет заземляющего устройства.
Проектирование и расчет молниезащиты объекта.
Заключение по результатам пожарно-технической
проверки.
.8. Литература.
. Графический материал:
.1. Совмещенная схема размещения молниеотводов
на объекте и зоны защиты молниеотвода. (формат А3).
.2. Исходная электрическая схема сети (формат
А3).
.3. Расчетная схема заземляющего устройства
(формат А4).
Задание принял к исполнению
______________________
(подпись слушателя)
1. Определение класса пожароопасной
или взрывоопасной зоны, категории и группы взрывоопасной смеси
Основное вещество, применяемое в технологическом
процессе - спирт поливиниловый.
Спирт поливиниловый - горючий белый порошок.
Плотность - 1210 кг/м3 [2]; теплота cгopания - 25166 кДж/кг [2], температура
плавления - 180-220 °С [1], нижний концентрационный предел распространения
пламени - 42,8 г/м3 [1], температура самовоспламенения - 344 °С [1], не тлеет,
плавится при 180-220 °С[1].
Спирт поливиниловый с воздухом образуют
взрывоопасную смесь. Так как технологический процесс (цех фасовки №2)
происходит открыто, то взрывоопасная смесь будет образовываться при нормальных
условиях. Объем взрывоопасной смеси превышает 5% свободного объема помещения,
следовательно, взрывоопасная зона в помещении занимает весь объем помещения
(п.7.3.39 [1]). Исходя из этого, делаем вывод, что во всем помещении будет
образовываться взрывоопасная зона класса В-II, п.7.3.45[1].
2. Характеристика схемы
электроснабжения, силового и осветительного электрооборудования
Производственный объект относится к III
категории электроснабжения. Для электроприемников III категории электроснабжение
может выполняться от одного источника питания при условии, что перерывы
электроснабжения, необходимые для ремонта или замены поврежденного элемента
системы электроснабжения, не превышают 1 сутки (п.1.2.20 [1]).
Электроприемники предприятия получают электропитание
от отдельно стоящей трансформаторной подстанции (ТП), в которой установлены два
трансформатора ТМ-1000/6. Ввод в ТП со стороны высокого напряжения (6 кВ)
отдельный для каждого трансформатора.
Трансформаторная подстанция (ТП) служит для
повышения или понижения напряжения переменного тока и распределения
электрической энергии. Они состоят из трансформаторов, распределительных
устройств, аппаратуры управления и защиты.
Распределительным устройством называется
электроустановка, служащая для приёма и распределения электроэнергии и
содержащая коммутационные аппараты, сборные и соединительные шины,
вспомогательные устройства (компрессорные, аккумуляторные и др.), а также
устройства защиты, автоматики и измерительные приборы.
Распределительным пунктом (РП) называется РУ,
предназначенное для приёма и распределения электроэнергии на одном напряжении
без преобразования и трансформации, не входящее в состав подстанции.
Распределительные пункты применяются, в силовых
сетях с напряжением до 380 В. По исполнению бывают защищенные и закрытые (с
уплотнением) для установки в нишах, на полу (на нижнем основании) и навесные.
Распределительные щитки предназначены для приёма
и распределения электроэнергии потребителям. По назначению они бывают силовые и
осветительные. По исполнению кожуха: открытые, защищенные, закрытые и
взрывозащищённые. Щитки открытого исполнения устанавливают в специальных
электрических помещениях. Остальные - в жилых домах, цехах промышленных
предприятий и т.п.
По условиям обслуживания щитки подразделяются на
два вида: с двухсторонним и односторонним обслуживанием. Распределительные
щитки типа ЩО, рассчитаны на одностороннее обслуживание. Их устанавливают у
стен, исполнение открытое. Они комплектуются из вводных, линейных, секционных и
торцовых панелей.
Характеристика схемы электроснабжения, силового
и осветительного электрооборудования приведена на рисунке 2.1.
Рисунок 2.1 - Характеристика электроснабжения,
силового и осветительного электрооборудования
Для защиты электрических сетей от токов
короткого замыкания и перегрузок используются следующие аппараты защиты:
на участке 2КРУ-3РП используется автоматический
выключатель с комбинированным расцепителем А3144. Номинальный ток Iн=600 А,
номинальный ток расцепителя Iн.расц=250 А, уставка на ток мгновенного
срабатывания 1750 А, предельно допустимый ударный ток короткого замыкания 35000
А.
на участке 3РП-5ЩО используется автоматический
выключатель с комбинированным расцепителем А3144. Номинальный ток Iн=600 А,
номинальный ток расцепителя Iн.расц=400 А, уставка на ток мгновенного
срабатывания 2800 А, предельно допустимый ударный ток короткого замыкания 40000
А.
на участке 5ЩО-освещение используется
автоматический выключатель с комбинированным расцепителем АЕ1031-21. Номинальный
ток автомата Iн.а=25 А, номинальный ток расцепителя Iн.расц=6 А, ток
срабатывания теплового расцепителя Iср.тепл=9 А, ток срабатывания
электромагнитного расцепителя Iср.эл.м=72 А, предельная отключающая способность
Iпр=2000 А.
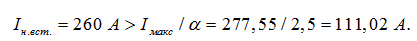
на участке 3РП-3ЩС используется плавкий
предохранитель ПР-2. Номинальный ток Iн=350 А, номинальный ток плавкой вставки
Iн,вст=260 А, предельный ток отключения 15000 А.
на участке 3ЩС-5ЩС используется плавкий
предохранитель ПН-2. Номинальный ток Iн=250 А, номинальный ток плавкой вставки
Iн,вст=125 А, предельный ток отключения 28000 А.
на участке 5ЩС-двигатель используется
автоматический выключатель с комбинированным расцепителем А3124. Номинальный
ток Iн=100 А, номинальный ток расцепителя Iн.расц=50 А, уставка на ток
мгновенного срабатывания 600 А, предельно допустимый ударный ток короткого
замыкания 22000 А.
Аппараты защиты следует устанавливать, как
правило, в местах сети, где сечение проводника уменьшается (по направлению к
месту потребления электроэнергии) или где это необходимо для обеспечения
чувствительности и селективности защиты (п.3.1.15[1]).
Аппараты защиты должны устанавливаться
непосредственно в местах присоединения защищаемых проводников к питающей линии.
Допускается в случаях необходимости принимать длину участка между питающей
линией и аппаратом защиты ответвления до 6 м. Проводники на этом участке могут
иметь сечение меньше, чем сечение проводников питающей линии, но не менее
сечения проводников после аппарата защиты (п.3.1.16[1])
Для ответвлений, выполняемых в труднодоступных
местах (например, на большой высоте), аппараты защиты допускается устанавливать
на расстоянии до 30 м от точки ответвления в удобном для обслуживания месте.
При этом сечение проводников ответвления должно быть не менее сечения,
определяемого расчетным током, но должно обеспечивать не менее 10% пропускной
способности защищенного участка питающей линии (п.3.1.16[1]).
В электрической сети используется следующая
электропроводка:
на участке 2КРУ-3РП используется кабель с
медными жилами, бумажной изоляцией, свинцовой оболочкой, броней из стальных
оцинкованных лент, наружной поливинилхлоридной оболочки, не распространяющей
горение, с тремя основными жилами сечением 150 мм2 (СБВнг 3х150). Кабель
проложен в земле.
на участке 3РП-5ЩО используется кабель с медными
жилами, поливинилхлоридной изоляцией и оболочкой, с защитным покровом типа Ббг
(броня из профилированной стальной оцинкованной ленты, без наружного джутового
покрова поверх брони) с тремя основными жилами сечением 185 мм2 и одной нулевой
жилой сечением 95 мм2 (ВВБбг 3х185+1х95). Кабель проложен на скобах.
на участке 5ЩО-освещение используется кабель с
алюминиевыми жилами, изоляцией из шланговой резины, не распространяющей
горение, резиновой оболочкой, без защитных покровов с четырьмя жилами сечением
1,5 мм2 (АНРГ 4х1,5). Кабель проложен на тросе.
на участке 3РП-3ЩС используется кабель с медными
жилами, поливинилхлоридной изоляцией, с алюминиевой оболочкой, с защитным
покровом типа Шп (шланг из полиэтилена) с четырьмя однопроволочными жилами
сечением 50 мм2 (ВАШп 4х50 (ож). Кабель проложен в водогазопроводной трубе.
на участке 3ЩС-5ЩС используется кабель с
алюминиевыми жилами, изоляцией из вулканизирующегося полиэтилена,
поливинилхлоридной оболочкой, без защитных покровов с четырьмя жилами сечением
25 мм2 (АПвВГ 4х25). Кабель проложен на скобах.
на участке 5ЩС-двигатель используется силовой
изолированный провод нормальной гибкости, с медными жилами, резиновой
изоляцией, без защитных покровов с четырьмя жилами сечением 4 мм2 (ПР 4х4).
Кабель проложен в водогазопроводной трубе. При открытой прокладке защищенных
проводов (кабелей) с оболочками из сгораемых материалов и незащищенных проводов
расстояние в свету от провода (кабеля) до поверхности оснований, конструкций,
деталей из сгораемых материалов должно составлять не менее 10 мм. При
невозможности обеспечить указанное расстояние провод (кабель) следует отделять
от поверхности слоем несгораемого материала, выступающим с каждой стороны
провода (кабеля) не менее чем на 10 мм (п.2.1.37 [1]). При открытой прокладке
труб и коробов из трудносгораемых материалов по несгораемым и трудносгораемым
основаниям и конструкциям расстояние в свету от трубы (короба) до поверхности
конструкций, деталей из сгораемых материалов должно составлять не менее 100 мм.
При невозможности обеспечить указанное расстояние трубу (короб) следует
отделять со всех сторон от этих поверхностей сплошным слоем несгораемого
материала (штукатурка, алебастр, цементный раствор, бетон и т. п.) толщиной не
менее 10 мм (п.2.1.39 [1]).
В пыльных помещениях не рекомендуется применять
способы прокладки, при которых на элементах электропроводки может скапливаться
пыль, а удаление ее затруднительно (п.2.1.44 [1]). В местах, где возможны
механические повреждения электропроводки, открыто проложенные провода и кабели
должны быть защищены от них своими защитными оболочками, а если такие оболочки
отсутствуют или недостаточно стойки по отношению к механическим воздействиям, -
трубами, коробами, ограждениями или применением скрытой электропроводки
(п.2.1.47 [1]). РУ до 1 кВ и выше, ТП и ПП с электрооборудованием общего
назначения (без средств взрывозащиты) запрещается сооружать непосредственно во
взрывоопасных зонах любого класса (п.7.3.78 [1]).
РУ, ТП и ПП запрещается размещать
непосредственно над и под помещениями со взрывоопасными зонами любого класса
(п.7.3.81 [1]).
Трансформаторные помещения и ЗРУ не допускается
размещать:
) под помещением производств с мокрым
технологическим процессом, под душевыми, уборными, ванными и т.п. Исключения
допускаются в случаях, когда приняты специальные меры по надежной
гидроизоляции, предотвращающие попадание влаги в помещения РУ и подстанций;
) непосредственно под и над помещениями, в
которых может находиться более 50 чел в период более 1 ч над и под площадью
перекрытия трансформаторного помещения и ЗРУ (п.4.2.80 [1]).
Характеристики силового и осветительного
электрооборудования:
электродвигатель В180S4 во взрывозащищенном
исполнении (1ExdIIAT2):
уровень взрывозащиты - взрывобезопасное;
вид взрывозащиты - взрывонепроницаемая оболочка;
подгруппа электрооборудования - IIA (является
взрывозащищенным для категории взрывоопасной смеси IIA);
температурный класс - T2 (предельная температура
поверхности 300°С).
светильники общего освещения B3T3-ДРЛ250 во
взрывозащищенном исполнении (1ExdIIBT3):
уровень взрывозащиты - взрывобезопасное;
вид взрывозащиты - взрывонепроницаемая оболочка;
подгруппа электрооборудования - IIB (является
взрывозащищенным для категории взрывоопасной смеси IIA и IIB);
температурный класс - T3 (предельная температура
поверхности 200°С).
3. Проверка соответствия
конструктивного исполнения силового, осветительного электрооборудования и
электропроводников
Проверка на соответствие конструктивного
исполнения силового и осветительного оборудования нормам и требованиям
взрывопожарной безопасности, а также требованиям ПУЭ выполнена в виде таблицы
3.1.
Таблица 3.1 - Соответствие конструктивного
исполнения силового и осветительного оборудования
|
Наименование
помещения
|
Класс
зоны, категория и группа взрывоопасной смеси
|
Маркировка
электрооборудования по взрывозащите, степени защиты оболочки
|
Вывод
о соответствии нормам электрооборудования
|
|
По
проекту
|
По
нормам
|
Вид
электрооборудования
|
По
проекту
|
По
нормам
|
|
|
Цех
фасовки №2
|
В-Iб
|
В-II
|
Двигатель
В180S4
|
1ExdIIAT2
|
1Ex__T3
|
Не
соответствует по температурному классу оборудования (п.7.3.63 [1])
|
|
|
|
Магнитный
пускатель ПАЕ-422
|
1ExdIIAT2
|
1Ex__T3
|
Не
соответствует по температурному классу оборудования (п.7.3.63 [1])
|
|
|
|
Ключ
управления
|
2ExiIICT2
|
1Ex__T3
|
Не
соответствует по уровню взрывозащиты (п.7.3.66 [1]) и температурному классу
оборудования (п.7.3.63 [1])
|
|
|
|
Светильники
B3T3-ДРЛ250
|
1ExdIIBT3
|
1Ex__T3
|
Соответствует
|
|
|
|
Ответвительные
коробки КОР 73 КОР 74
|
IP43
|
1Ex__T3
|
Не
соответствует по уровню взрывозащиты (п.7.3.66 [1]) и температурному классу
оборудования (п.7.3.63 [1])
|
|
Наименование
линии
|
Класс
зоны
|
Электропроводка
|
Вывод
о соответствии электропроводки нормам
|
|
По
проекту
|
По
нормам
|
Вид
|
По
проекту
|
По
нормам
|
|
|
2КРУ-3РП
|
|
|
кабель
|
СБВнг
в земле
|
|
|
|
3РП-5ЩО
|
|
|
кабель
|
ВВБбг
на скобах
|
|
|
|
3РП-3ЩС
|
|
|
кабель
|
ВАШп
в трубе
|
|
|
|
3ЩС-5ЩС
|
|
|
кабель
|
АПвВГ
на скобах
|
|
|
|
5ЩС-эл.
двигатель
|
В-Iб
|
В-II
|
провод
|
ПР
в газ тр.
|
Допус-ся
ал. жилы, резин. и поливинилхлорид. из-ция. Проложен в газ. тр (п.п. 7.3.93;
7.3.102; 7.3.108; 7.3.118 [1])
|
Соответствует
|
|
5ЩО-светильники
|
В-Iб
|
В-II
|
кабель
|
АНРГ
на тросе
|
Допус-ся
ал. жилы; резин, пвх, бум. из-ция; резин, пвх, метал. обол-ка. Без наруж.
покровов из ГМ. проложен в каналах пылеуплотненных (п.п. 7.3.93; 7.3.102;
7.3.108; 7.3.118 [1])
|
Не
соответствует по наруж покровам (п.7.3.108 [1]) и способу прокладки
(п.7.3.118 [1])
|
|
|
|
|
|
|
|
|
|
Двигатель В180S4, расположенный в цехе фасовки
№2, не соответствует требованиям ПУЭ и взрывопожарной безопасности по
температурному классу оборудования. Ключ управления, магнитный пускатель,
ответвительные коробки не соответствуют по уровню взрывозащиты и температурному
классу оборудования.
Аналогично произведена проверка соответствия
электропроводников нормам и требованиям взрывопожарной безопасности, а также
требованиям ПУЭ с учётом класса зоны и конструктивных характеристик проводов и
кабелей.
Электропроводка АНРГ на участке 5ЩО-светильники
не соответствует нормам ПУЭ по наружному покрову и способу прокладки.
4. Проверка соответствия
электрических характеристик проводов (кабелей) и аппаратов защиты
.1 Проверка сечения проводников по
допустимой потере напряжения
Задачей расчёта по допустимой потере напряжения
(при известном сечении проводов) является определение фактической суммарной
потери напряжения ΣUФ в
процентах, т.е. алгебраической разности входного и выходного напряжений, и
сравнения её с допустимым значением падения напряжения ΔUдоп
в процентах. Это обеспечивает нормальное рабочее напряжение (в пределах
допустимых отклонений) на зажимах электроприёмников.
Силовая сеть
С учётом внутреннего падения напряжения в
питающем трансформаторе в зависимости от его мощности Sр=800 кВА, коэффициента
нагрузки Кз=1 и коэффициента мощности cosj=0,8 суммарной
нагрузки по таблице П2.1 [3] допустимая потеря напряжения равна ΔUдоп=5,8
% для силовой сети.
Фактическая потеря напряжения на отдельных
участках сети определена по формуле:
где Мi =Рр∙lі - момент нагрузки на
соответствующем участке сети, кВт·м; Рр - расчётная или рабочая мощность
нагрузки в конце соответствующего участка сети, кВт (
); li - расстояние
от начала рассматриваемого участка сети до нагрузки, м; Si - сечение фазного
проводника этого участка сети, мм2; Ci - коэффициент, учитывающий напряжение,
систему питания и материал провода этого участка (таблица П2.2 [3]).
Фактическая суммарная потеря напряжения на
участках сети определена по формуле:
Сравниваем допустимую и фактическую потерю
напряжения в сети:
Необходимое условие не выполняется,
следовательно, сечения проводников на участках выбраны неверно и проводники
подлежат замене.
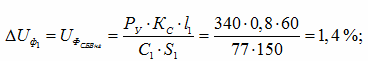
Осветительная сеть
По таблице П2.1 [3] определена допустимая потеря
напряжения ΔUдоп=3,3% для
осветительной сети.
Фактические потери напряжения на отдельных
участках сети определены по формулам:
Так как на последнем участке 5ЩО-раб. освещение
нагрузка распределена равномерно, то потери напряжения определены по формулам:
где lпр - приведенная длина к середине
сосредоточения отдельны нагрузок, м; n -количество электроприемников; a -
расстояние между электроприемниками, м.
Фактическая суммарная потеря напряжения на
участках сети определена по формуле:
Сравниваем допустимую и фактическую потерю
напряжения в сети:
Необходимое условие выполняется, следовательно,
сечения проводников на участках выбраны верно.
4.2 Проверка сечения проводников по
условию нагрева
Силовая сеть
Номинальный ток электродвигателя определен по
формуле:
где Рр - мощность электродвигателя, Вт; Uл -
линейное напряжение в сети, В; η - коэффициент
полезного действия двигателя; cosφ - коэффициент
мощности.
Выбранное сечение жил провода проверено в
соответствии с условием
так как двигатель
расположен во взрывоопасной зоне В-II (п.7.3.97 [1])
По табл. 1.3.4 [1] для провода ПР сечением
токопроводящей жилы 4 мм2 найдено значение допустимого тока и проверено
выполнение необходимого условия:
Условие не выполняется, следовательно, сечение
проводника для силовой сети выбрано неверно и проводник подлежит замене.По
табл. 1.3.7 [1] для кабеля АПвВГ сечением токопроводящей жилы 25 мм2 найдено
значение допустимого тока и проверено выполнение необходимого условия:
Условие выполняется, следовательно, сечение
проводника для силовой сети выбрано верно.
По табл. 1.3.6 [1] для кабеля ВАШп сечением
токопроводящей жилы 50 мм2 найдено значение допустимого тока и проверено
выполнение необходимого условия:
Условие выполняется, следовательно, сечение
проводника для силовой сети выбрано верно.
По табл. 1.3.13 [1] для кабеля СБВнг сечением
токопроводящей жилы 150 мм2 найдено значение допустимого тока и проверено
выполнение необходимого условия:
Условие выполняется, следовательно, сечение
проводника для силовой сети выбрано верно.
Осветительная сеть
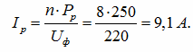
Рабочий ток нагрузки, учитывая, что мощность
каждого светильника 250 Вт и cosj =1 (для ламп
накаливания) определен по формуле:
где Uф - фазное напряжение в сети, В; n -
количество электроприемников.
По табл. 1.3.7 [1] для кабеля АНРГ сечением
токопроводящей жилы 1,5 мм2 найдено значение допустимого тока и проверено
выполнение необходимого условия:
Условие выполняется, следовательно, сечение
проводника для осветительной сети выбрано верно.
По табл. 1.3.6 [1] для кабеля ВВБбг сечением
токопроводящей жилы 185 мм2 найдено значение допустимого тока и проверено
выполнение необходимого условия:
Условие выполняется, следовательно, сечение
проводника для осветительной сети выбрано верно.
4.3 Проверка соответствия аппаратов
защиты силовой и осветительных сетей
Аппараты защиты должны удовлетворять следующим
условиям:
а) не должны перегреваться сверх допустимых для
них температур в условиях нормальной эксплуатации [1], п.3.1.4;
б) не должны отключать электроустановки при
кратковременных перегрузках (пусковые точки, точки технологических нагрузок,
токи при самозапуске и т.п.) [1], п.3.1.4;
в) должны отключать электроустановки при
длительных перегрузках [1], п.3.1.11;
г) должны обеспечивать отключение аварийного
участка при коротких замыканиях в конце защищаемой линии [1], п.3.1.8;
д) по своей отключающей способности (Iпр)
аппараты защиты должны соответствовать токам короткого замыкания в начале
защищаемого участка сети [1], п.3.1.3;
е) аппараты защиты должны соответствовать
требованию селективности [1], п.3.1.8.
Силовая сеть
Проверка теплового реле ТРП-60
При защите одиночного двигателя регулируемыми
тепловыми реле магнитного пускателя должны выполняться следующие условия:
(4.20)
(4.21)
где Iн.р , Iн., - соответственно номинальные
токи теплового реле и двинателя, А; Iо - ток нулевой уставки регулируемого
реле, А.
Приближенное равенство означает, что выбирается
нагревательный элемент с током нулевой установки (Iо), с ближайшим большим или
меньшим значением по отношению к току Iн.
Номинальный ток электродвигателя Iн по формуле
равен 42,7 А. Следовательно, условие выполняется (
).
Ток нулевой уставки Iо = 40 А приблизительно
равен Iн, следовательно, аппарат по рабочему току нагрузки выбран верно.
Проверка аппарата защиты А3124
При защите одиночного двигателя автоматами
должны выполняться следующие условия:
где Iн.а - номинальный ток автомата, А.
Так как номинальный ток автомата Iн.а=100 А и
номинальный ток расцепителя Iн.расц=50 А, то условия выполняются,
следовательно, аппарат по рабочему току нагрузки выбран верно.
Проверка правильности выбора номинальных
параметров аппаратов защиты на устойчивость их работы при возможных
кратковременных перегрузках проведена в соответствии с условиями:
для предохранителей:
для автоматов с электромагнитным или
комбинированным расцепителем:
где Iмакс - наибольшая величина кратковременного
тока перегрузки, А; Iср.эл.м - ток срабатывания электромагнитного расцепителя,
А; α
- коэффициент
зависящий от условий пуска и типа предохранителя (принимается 2,5); К -
коэффициент запаса (принимается 1,25).
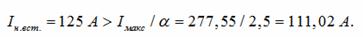
В соответствии с таблицей П1.2 [3] для автомата
А3124 ток стабатывания электромагнитного расцепителя Iср.эл.м=600 А
Пусковой ток двигателя
Iпуск=Kп·Iн=6,5·42,7=277,55 А.
Проверка условия
Следовательно, при пусках ложных отключений не
будет.
Поскольку для защиты электродвигателя
использовано тепловое реле, то проверять условие защиты сети от перегрузки в
соответствии с п.п. 3.1.10 и 3.1.11 [1] необходимости нет, так как оно
выполняется автоматически при выборе номинальных параметров реле.
Проверку надежности отключения аппаратом защиты
аварийного участка при коротком замыкании в конце защищаемой линии при защите
сетей во взрывоопасных зонах необходимо проводить по следующим условиям:
для предохранителей с плавкой вставкой:
для автоматов с тепловым расципителем:
для автоматов с электромагнитным расципителем:
Примечание. Величину кратности 1,25 следует
принимать для автоматических выключателей с номинальным током более 100 А, а
кратность 1,4 - до 100А.
Для автоматов с комбинированным расцепителем
надежность отключения токов короткого замыкания считается удовлетворительной,
если будет получена требуемая кратность для одного из расцепителей -
электромагнитного или теплового.
При расчете токов короткого замыкания в конце
защищаемой линии обычно рассматриваются одно-, двухфазные короткие замыкания
соответственно для сетей с глухозаземленной и с изолированной нейтралью.
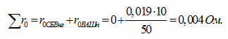
Суммарное активное сопротивление проводников на
участке цепи определено по формуле:
где ρ - расчетное
удельное сопротивление, равное 19 для меди и 32 для алюминия, (Ом·мм2)/км [3];
l - длина участка цепи, км; Sф - сечение фазного провода, мм2. Суммарное
добавочное сопротивление переходных контактов на участке цепи определено по
формуле:
Суммарное активное сопротивление для нулевых
проводов на участке цепи определено по формуле:
Суммарное индуктивное сопротивление проводников
на участке цепи определено по формуле:
где a - среднее значение индуктивного
сопротивления одного проводника, Ом/км [3].
Суммарное индуктивное сопротивление для нулевых
проводов на участке цепи определено по формуле:
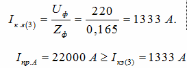
Полное сопротивление петли фаза-нуль определено
по формуле:
где Zт - полное расчётное сопротивление
трансформатора току КЗ на корпус (землю), Ом (таблица 4.1 [3]).
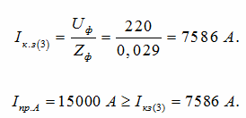
Ток короткого замыкания определен по формуле:
Условия не выполняются, следовательно, аппарат
защиты не соответствует по надежности отключения токов короткого замыкания.
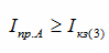
По предельному току отключения (Iпр.), аппараты
защиты проверяются таким образом, чтобы предельная отключающая способность
аппаратов защиты была больше или равна наибольшему возможному току короткого
замыкания в начале защищаемого участка сети, т.е.:
При расчете токов короткого замыкания в начале
защищаемой линии обычно рассматриваются однофазные и трехфазные короткие
замыкания соответственно для однофазных сетей, независимо от режима нейтрали
трансформатора.
Суммарное активное сопротивление проводников на
участке цепи определено по формуле:
Суммарное добавочное сопротивление переходных
контактов на участке цепи определено по формуле:
Активное сопротивление фазы питающего
трансформатора определено по формуле:
где C - коэффициент [3]; SТ - мощность
трансформатора, кВА.
Суммарное индуктивное сопротивление проводников
на участке цепи определено по формуле:
Индуктивное сопротивление фазы питающего
трансформатора определено по формуле:
где β - коэффициент
[3].
Полное сопротивление петли фазы определено по
формуле:
Ток короткого замыкания определен по формуле:
Условие выполняется, следовательно, аппарат
защиты соответствует по предельному току отключения.
Проверка аппарата защиты ПН-2
При защите одиночного двигателя предохранителями
должны выполняться следующие условия:
где Iн.пр - номинальный ток предохранителя, А;
Iн.вст - номинальный ток плавкой вставки, А.
Так как номинальный ток предохранителя Iн.пр=250
А и номинальный ток плавкой ставки Iн.вст=125 А, то условия выполняются,
следовательно, аппарат по рабочему току нагрузки выбран верно.
Проверка условия:
Следовательно, при пусках ложных отключений не
будет.
Суммарное активное сопротивление проводников на
участке цепи определено по формуле:
Суммарное добавочное сопротивление переходных
контактов на участке цепи определено по формуле:
Суммарное активное сопротивление для нулевых
проводов на участке цепи определено по формуле:
Суммарное индуктивное сопротивление проводников
на участке цепи определено по формуле:
Суммарное индуктивное сопротивление для нулевых
проводов на участке цепи определено по формуле:
Полное сопротивление петли фаза-нуль определено
по формуле:
Ток короткого замыкания определен по формуле:
Условие выполняется, следовательно, аппарат
защиты соответствует по надежности отключения токов короткого замыкания.
Суммарное активное сопротивление проводников на
участке цепи определено по формуле:
Суммарное добавочное сопротивление переходных
контактов на участке цепи определено по формуле:
Суммарное индуктивное сопротивление проводников
на участке цепи определено по формуле:
Полное сопротивление петли фазы определено по
формуле:
Ток короткого замыкания определен по формуле:
Условие выполняется, следовательно, аппарат
защиты соответствует по предельному току отключения.
Проверка аппарата защиты ПР-2
Так как номинальный ток предохранителя Iн.пр=350
А и номинальный ток плавкой ставки Iн.вст=260 А, то условия выполняются,
следовательно, аппарат по рабочему току нагрузки выбран верно.
Проверка условия:
Следовательно, при пусках ложных отключений не
будет.
Суммарное активное сопротивление проводников на
участке цепи определено по формуле:
Суммарное добавочное сопротивление переходных
контактов на участке цепи определено по формуле:
Суммарное активное сопротивление для нулевых
проводов на участке цепи определено по формуле:
Суммарное индуктивное сопротивление проводников
на участке цепи определено по формуле:
Суммарное индуктивное сопротивление для нулевых
проводов на участке цепи определено по формуле:
Полное сопротивление петли фаза-нуль определено
по формуле:
Ток короткого замыкания определен по формуле:
Условие выполняется, следовательно, аппарат
защиты соответствует по надежности отключения токов короткого замыкания.
Суммарное активное сопротивление проводников на
участке цепи определено по формуле:
Суммарное добавочное сопротивление переходных
контактов на участке цепи определено по формуле:
Суммарное индуктивное сопротивление проводников
на участке цепи определено по формуле:
Полное сопротивление петли фазы определено по
формуле:
Ток короткого замыкания определен по формуле:
Условие выполняется, следовательно, аппарат
защиты соответствует по предельному току отключения.
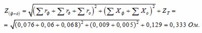
Проверка аппарата защиты А3144
Так как номинальный ток автомата Iн.а=600 А и
номинальный ток расцепителя Iн.расц=250 А, то условия выполняются,
следовательно, аппарат по рабочему току нагрузки выбран верно.
Проверка условия
Следовательно, при пусках ложных отключений не
будет.
Суммарное активное сопротивление проводников на
участке цепи определено по формуле:
Суммарное добавочное сопротивление переходных
контактов на участке цепи определено по формуле:
Суммарное активное сопротивление для нулевых
проводов на участке цепи определено по формуле:
Суммарное индуктивное сопротивление проводников
на участке цепи определено по формуле:
Суммарное индуктивное сопротивление для нулевых
проводов на участке цепи определено по формуле:
Полное сопротивление петли фаза-нуль определено
по формуле:
Ток короткого замыкания определен по формуле:
Условия не выполняются, следовательно, аппарат
защиты не соответствует по надежности отключения токов короткого замыкания.
Суммарное активное сопротивление проводников на
участке цепи определено по формуле:
Суммарное добавочное сопротивление переходных
контактов на участке цепи определено по формуле:
Суммарное индуктивное сопротивление проводников
на участке цепи определено по формуле:
Полное сопротивление петли фазы определено по
формуле:
Ток короткого замыкания определен по формуле:
Условие выполняется, следовательно, аппарат
защиты соответствует по предельному току отключения.
Осветительная сеть
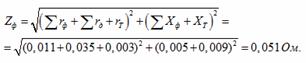
Проверка аппарата защиты АЕ1031-21
Рабочий ток нагрузки определен по формуле:
Так как номинальный ток автомата Iн.а=25 А и
номинальный ток расцепителя Iн.расц=6 А, то условие не выполняется,
следовательно, аппарат по рабочему току нагрузки выбран неверно.
Для осветительных сетей с лампами пусковые точки
не учитываются и проверка правильности выбора АЗ по номинальным параметрам на
отсутствие ложных срабатываний не проводится.
Суммарное активное сопротивление проводников на
участке цепи определено по формуле:
Суммарное добавочное сопротивление переходных
контактов на участке цепи определено по формуле:
Суммарное активное сопротивление для нулевых
проводов на участке цепи определено по формуле:
Суммарное индуктивное сопротивление проводников
на участке цепи определено по формуле:
Суммарное индуктивное сопротивление для нулевых
проводов на участке цепи определено по формуле:
Полное сопротивление петли фаза-нуль определено
по формуле:
Ток короткого замыкания определен по формуле:
Условия выполняются, следовательно, аппарат
защиты соответствует по надежности отключения токов короткого замыкания.
Условие для однофазной сети выполняется,
следовательно, аппарат защиты соответствует по предельному току отключения.
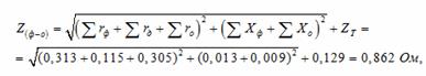
Проверка аппарата защиты 3144
Так как номинальный ток автомата Iн.а=600 А и
номинальный ток расцепителя Iн.расц=400 А, то условия (4.22) и (4.23)
выполняются, следовательно, аппарат по рабочему току нагрузки выбран верно.
Суммарное активное сопротивление проводников на
участке цепи определено по формуле:
Суммарное добавочное сопротивление переходных
контактов на участке цепи определено по формуле:
Суммарное активное сопротивление для нулевых
проводов на участке цепи определено по формуле:
Суммарное индуктивное сопротивление проводников
на участке цепи определено по формуле:
Суммарное индуктивное сопротивление для нулевых
проводов на участке цепи определено по формуле:
Полное сопротивление петли фаза-нуль определено
по формуле:
Ток короткого замыкания определен по формуле:
Условия не выполняются, следовательно, аппарат
защиты не соответствует по надежности отключения токов короткого замыкания.
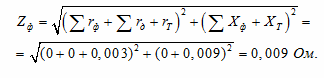
Суммарное активное сопротивление проводников на
участке цепи определено по формуле:
Суммарное добавочное сопротивление переходных
контактов на участке цепи определено по формуле:
Суммарное индуктивное сопротивление проводников
на участке цепи определено по формуле:
Полное сопротивление петли фазы определено по
формуле:
Ток короткого замыкания определен по формуле:
Условие выполняется, следовательно, аппарат
защиты соответствует по предельному току отключения.
5. Проверка заземляющего устройства
проводник осветительный напряжение
заземляющий
Заземление или зануление электроустановок
следует выполнять:
) при напряжении 380 В и выше переменного тока и
440 В и выше постоянного тока - во всех электроустановках;
) при номинальных напряжениях выше 42 В, но ниже
380 В переменного тока и выше 110 В, но ниже 440 В постоянного тока - только в
помещениях с повышенной опасностью, особо опасных и в наружных установках.
Заземление или зануление электроустановок не
требуется при номинальных напряжениях до 42 В переменного тока и до 110 В
постоянного тока (п.1.7.33 [1]).
Заземлению (занулению) подлежат: корпусы
электрических машин, аппаратов, трансформаторов, светильников, приводы
электрических аппаратов, вторичные обмотки сварочных и измерительных
трансформаторов, каркасы распределительных щитов шкафов, оболочка и броня
кабелей, металлические трубы электропроводок, корпусы передвижных и переносных
электроприёмников и другие металлические конструкции, на которых установлено
электрооборудование (п.1.7.46 [1]).
Соединение заземляющих и нулевых защитных
проводников между собой должны обеспечивать надёжный контакт и выполняться
посредством сварки. Соединение заземляющих и нулевых защитных проводников
должны быть доступны для осмотра (п.1.7.90 [1]).
Заземление или зануление оборудования,
подвергающегося частому демонтажу или установленного на движущихся частях или
частях, подверженных сотрясениям или вибрации, должно выполняться гибкими
заземляющими или нулевыми защитными проводниками. Присоединение заземляющих и
нулевых защитных проводников к частям оборудования, подлежащим заземлению или
занулению, подлежат заземлению или занулению, должно быть выполнено сваркой или
болтовым соединением. Присоединение должно быть доступно для осмотра. Для
болтового присоединения должны быть предусмотрены меры против ослабления и
коррозии контактного соединения (п.1.7.93 [1]).
Каждая часть электроустановки, подлежащая
заземлению или занулению. должна быть присоединена к сети заземления или
зануления при помощи отдельного ответвления. Последовательное включение в
заземляющий или нулевой защитный проводник, заземляемых или зануляемых частей
электроустановки не допускается (п.1.7.94 [1]).
Проверка соответствия конструктивных элементов
заземляющего устройства приведена в таблице 5.1.
Таблица 5.1 - Проверка соответствия
конструктивных элементов заземляющего устройства
|
Заземлитель
|
Фактический
|
Требуемый
по таблице 3.4 [5]
|
Вывод
|
|
Соединяющая
полоса
|
Полоса
Ст.40×4
|
Сечение
не менее 48 мм2 Толщина не менее 4 мм
|
Соответствует
Соответствует
|
|
Магистральная
шина заземлителя
|
Полосовая
сталь 40×2
|
Сечение
не менее 48 мм2 Толщина не мене 4 мм.
|
Соответствует
Не соответствует
|
|
Соединительный
элемент для распределительного устройства
|
Полосовая
сталь 20×2
|
Сечение
не менее 48 мм2 Толщина не мене 4 мм.
|
Не
соответствует Не соответствует
|
|
Соединительный
элемент для силового электрооборудования
|
Стальная
проволока диаметром 3 мм
|
Диаметр
не менее 5 мм2.
|
Не
соответствует
|
|
Соединительный
элемент для осветительного электрооборудования
|
Медная
проволока диаметром 2 мм
|
Диаметр
не менее 4 мм2.
|
Не
соответствует
|
Допустимое сопротивление заземляющего устройства
по п. 1.7.64 [1]:
Расчётное удельное сопротивление грунта
определено по формуле:
где rизм, - удельное
сопротивление грунта, полученное непосредственным измерением, Ом·м; К -
коэффициент сопротивления грунта, учитывающий возможное повышение сопротивление
грунта в течение года по сравнению с данными, полученными измерением (таблица
6.1 [3]).
Так как rрасч>100 Ом·м,
то допустимое сопротивление заземляющего устройства в соответствии с п.1.7.64
[1] можно увеличить в 0,01r раз, но не более десятикратно:
Следовательно, rз ≤ 300 Ом.
Сопротивление растекания тока полосы определено
по формуле:
где l - длина соединительной полосы, м; b -
ширина соединительной полосы, м; t - глубина залегания середины соединительной
полосы, м.
Так как параллельно используются естественные
заземлители, то общее сопротивление растекания тока определено по формуле:
где rе - сопротивление естественных
заземлителей, Ом·м.
Так как выполняется условие
то
запроектированное заземляющее устройство соответствует требованиям ПУЭ (п.
1.7.64 [1]).
6. Проектирование молниезащиты
объекта
Для здания определен уровень молниезащиты I со
степенью надежности защиты 0,999 А.
Опоры тросовых молниеотводов должны быть
рассчитаны на механическую прочность с учетом натяжения троса и действия на
него ветровой и гололедной нагрузок.
Для исключения заноса высокого потенциала в
защищаемое здание по подземным металлическим коммуникациям (в том числе по
электрическим кабелям любого назначения) заземлители защиты от прямых ударов
молнии удалены от этих коммуникаций на максимальные расстояния, допустимые по
технологическим требованиям.
Для защиты от вторичных проявлений молнии должны
предусмотрены следующие мероприятия:
а) металлические конструкции и корпуса всего
оборудования и аппаратов, находящиеся в защищаемом здании, присоединены к
заземляющему устройству электроустановок;
б) внутри здания между трубопроводами и другими
протяженными металлическими конструкциями в местах их взаимного сближения на
расстояние менее 10 см через каждые 20 м приварены перемычки из стальной
проволоки диаметром не менее 5 мм;
в) в соединениях элементов обеспечены переходные
сопротивления не более 0,03 Ом на каждый контакт.
Защита от заноса высокого потенциала по
подземным металлическим коммуникациям (трубопроводам, кабелям в наружных
металлических оболочках или трубах) осуществлена путем их присоединения на
вводе в здание или сооружение к арматуре его железобетонного фундамента.
Защита от заноса высокого потенциала по внешним
наземным (надземным) металлическим коммуникациям осуществлена путем их
заземления на вводе в здание и на двух ближайших к этому вводу опорах
коммуникации (п.2.9 [1]).
Построение зоны защиты
Тросовый молниеотвод считается двойным, когда
расстояние между тросами не превышает предельной величины Lmax, в противном
случае оба молниеотвода рассматриваются как одиночные.
Построение внешних областей зон (двух
односкатных поверхностей с габаритами h0, r0) производится по формулам таблицы
10.2 для одиночных тросовых молниеотводов [4].
=0,7h;=0,7h.
Размеры внутренних областей определяются
параметрами h0 и hс, первый из которых задает максимальную высоту
непосредственно у тросов, а второй - минимальную высоту зоны посередине между
тросами. При расстоянии между тросами L≤LC, граница зоны не имеет провеса
(h0 = hс).
С учетом высоты здания, высоты трубы высота
максимальной точки, подлежащей защите:
Полуширина rх зоны защиты требуемой надежности
на высоте hх от поверхности земли определяется выражением:
Следовательно: h=28,6м; h0=20м; r0=20м.
По полученным данным проектирую систему
молниезащиты.
Заключение
После проведенной пожарно-технической проверки
цеха фасовки №2 выявлены следующие несоответствия электрооборудования и
электропроводников требованиям ПУЭ:
двигатель В180S4 не соответствует по
температурному классу оборудования (п.7.3.63 [1]);
ключ управления не соответствует по уровню
взрывозащиты (п.7.3.66 [1]) и температурному классу оборудования (п.7.3.63
[1]);
Кабель АНРГ на участке 5ЩО-светильники не
соответствует по наружным покровам (п.7.3.108 [1]) и способу прокладки
(п.7.3.118 [1])
аппараты защиты силовой сети А3124 и А3144 и
осветительной сети А3244не соответствуют по надежности отключения токов
короткого замыкания;
аппарат защиты АЕ1031-21 по рабочему току
нагрузки выбран неверно.
Список использованных источников
1. «Правила
устройства электроустановок», шестое издание Москва: издательство
«Энергоатомиздат», 1987.- 646с.
2. Баратов
А.Н. Справочное издание «Пожаровзрывоопасность веществ и материалов и средств
их тушения». / А.Н. Баратов, А.Я. Корольченко, Г.Н. Кравчук - Москва:
издательство «Химия», 1990.- 384с.
. «Пожарная
безопасность инженерных систем. Практические и самостоятельные работы по
дисциплине»./ А.А. Иванович, Н.И. Чайчиц - Мн.: КИИ МЧС РБ, 2006.- 114с.
. Инструкция
по устройству молниезащиты зданий и сооружений. РД 34.21.122-87/Минэнерго СССР.
- Энергоатомиздат, 1989. - 56 с.
. ТКП
339-2011 (02230) Электроустановки на напряжение до 750 кВ. Линии
электропередачи воздушные и токопроводы, устройства распределительные и
трансформаторные подстанции, установки электросиловые и аккумуляторные,
электроустановки жилых и общественных зданий. Правила устройства и защитные
меры электробезопасности. Учет электроэнергии. Нормы приемо-сдаточных
испытаний.