Исследование датчиков и регуляторов температуры

  • Вид работы:
    Дипломная (ВКР)
  • Предмет:
    Информатика, ВТ, телекоммуникации
  • Язык:
    Русский
    ,
    Формат файла:
    MS Word
    358,04 Кб
  • Опубликовано:
    2014-06-20
Вы можете узнать стоимость помощи в написании студенческой работы.
Помощь в написании работы, которую точно примут!

Исследование датчиков и регуляторов температуры

Министерство образования и науки Республики Казахстан

Костанайский государственный университет имени А. Байтурсынова

Кафедра электроэнергетики и физики

Специальность: 050718 - Электроэнергетика







ДИПЛОМНАЯ РАБОТА

на тему:

Исследование датчиков и регуляторов температуры



Выполнил, студент 4 курса

М. Копчинский

Научный руководитель

ст. преп. С. Чумаченко




Костанай, 2014

ЗАДАНИЕ

На выполнение дипломного проекта

студенту Копчинскому Михаилу Владимировичу

Тема: Исследование регуляторов и датчиков температуры

Исходные данные к работе (проекту):

1)   План лабораторной установки

2)      Вычисление погрешностей приборов

)        Графическая часть выполненной работы

Перечень подлежащих разработке в дипломной работе вопросов или краткое содержание работы:

1) Общие сведения;

) Выбор оборудования для лабораторной установки;

) Выбор автоматического модульного выключателя;

) Принцип действия измеряемых датчиков;

) Основные технические характеристики и параметры стенда;

) Средства защиты лабораторной установки;

) Охрана труда;

) Применение датчиков в быту;

) Смета расходов на изготовление лабораторной установки.

Перечень графического материала (с точным указанием обязательных чертежей)

1) Классификация датчиков температуры

) Внешний вид лабораторной установки

) Блок-схема подключение приборов

) График погрешностей датчиков

) Сравнение показаний двух термостатов

Рекомендуемая основная литература

1. Справочник по электроснабжению оборудованию: в 2т. Т1 Электроснабжение / Под общ. редакцией Федорова А.А. М.: Энергопромиздат, 1987

. Справочник по электроснабжению оборудованию: в 2т. Т2 Электрооборудование / Под общ. редакцией Федорова А.А. М.: Энергопромиздат, 1987

. Федоров А.А., Старкова Л.Е. Учебное пособие для курсового и дипломного проектирования по электроснабжению промышленных предприятий. М.: Энергоатомиздат, 1987

. Каганов И.Л. Курсовое и дипломное проектирование. М.: Колос, 1990

. Правила устройства электроустановок Республики Казахстан, 2003 г.

. Ткаченко В.В. Методические указания к выполнению, оформлению и защите дипломных проектов (работ) по специальности 5В071800 (050718) - Электроэнергетика.- Костанай: КГУ им. А.Байтурсынова, 2010. 38 с.

График консультаций по работе (проекту)

Раздел

Сроки

Ф.И.О. консультанта

Подпись

Основная часть


Чумаченко С.В.


Датчиков температура


Чумаченко С.В.


Охрана труда


Чумаченко С.В.


Смета на затраты


Чумаченко С.В.


График подготовки дипломной работы (проекта)

№ п/п

Наименование разделов, перечень разрабатываемых вопросов

Сроки представления научному руководителю

Примечание

1

Подбор литературы, ее изучение и обработка. Составление плана дипломной работы

25.02.14


2

Разработка и представление на проверку краткой характеристики установки

29.02.14


3

Разработка и представление на проверку раздела «Выбор оборудования для лабораторной установки»

15.03.14


4

Разработка и представление на проверку раздела «Выбор автоматического модульного выключателя»

29.03.14


5

Разработка и представление на проверку раздела «Основные технические параметры стенда»

03.04.14


6

Разработка и представление на проверку раздела «Охрана труда»

10.04.14


8

Разработка и представление на проверку раздела «Средство защиты лабораторной установки»

15.04.14


9

Оформление дипломного проекта. Разработка тезисов доклада для защиты

22.04.14


10

Предзащита дипломного проекта

28.04.14



№ стр

Формат

Обозначение

Наименование

Кол

Примечание

1






2



Документация



3






4

А4

ЭЭиФ.ЭА.057.00.000.ПЗ

Пояснительная записка

60


5

А3

ЭЭиФ.ЭА.057.00.000.Э7

Классификация датчиков температуры

1


6






7

А3

ЭЭиФ.ЭА.057.00.000.Э7

Внешний вид лабораторной установки

1


8






9

А3

ЭЭиФ.ЭА.057.00.000.Э7

Блок-схема подключение приборов

1


10






11

А3

ЭЭиФ.ЭА.057.00.000.Э3

График погрешностей датчиков



12




1


13

А3

ЭЭиФ.ЭА.057.00.000.Э3

Сравнение показаний двух термостатов








ЭЭиФ.ЭА.057.00.000. ПЗ







Изм.

Лист

№документа

подпись

дата


Разраб.

Копчинский М.В




Литера

Лист

Листов

Руковод.

Чумаченко С.В.




У

Д

П

1

1

Конс.





КГУ ИТФ гр.10-101-31

Н.контр

Чумаченко С.В.





Зав.каф

Кошкин И.В.






РЕФЕРАТ

Дипломный проект на тему «Исследование датчиков и регуляторов температуры» содержит пояснительную записку, состоящую из: страниц 60, таблиц 6, рисунков 11, чертежей 5.

Ключевые слова: датчик, температура, регулятор, напряжение, ток, защита.

Данный дипломный проект, при исследовании датчиков и регуляторов температуры, рассматриваются следующие задачи: выбора оборудования для лабораторной установки, выбора автоматического выключателя для отключения сети при коротком замыкании, различный принцип действия датчиков и регуляторов температуры, основные технические характеристики м параметры стенда, средства защиты электроустановок (для безопасности работы в лабораторных условиях), охрана окружающей среды (так же для лабораторной установки), применения термодатчиков и их регуляторов в окружающем мире и экономическое обоснование дипломного проекта.

СОДЕРЖАНИЕ

Введение

. Общие сведения

2. Виды датчиков температуры

.1 Полупродниковые

.2 Термоэлектрические (термопары)

.3 Пирометры

.4 Акустические

.5 Пьезоэлектрические

. Выбор оборудования для расчетов лабораторной установки

.1 Термостат

.2 Жидкостный термометр

.3 Термопара в мультиметре

. Выбор автоматического модульного выключателя

. Принцип действия измеряемых датчиков

.1 Жидкостный термометр

.2 Термопара

.3 Капиллярный термостат

. Основные технические характеристики параметра стенда

. Вычисление погрешностей и определение пригодности приборов к эксплуатации

. Лабораторная установка

.1 Ход работы

.2 Производство опыта

.3 Опыт первый

.4 Опыт второй

. Средства защиты электроустановок

. Охрана труда

. Применение датчиков в быту

.1 Применение термопары

.2 Применение термометра

.3 Применение термостата

. Смета расходов на изготовление лабораторной установки

Заключение

Список используемой литературы

ВВЕДЕНИЕ

Ведение химико-технологического процесса человеком в последнее время становится нецелесообразным, так как само присутствие человека при ведении технологического процесса становится потенциально опасным из-за несовершенства органов чувств человека, что может привести к авариям на производстве. Это объясняет тенденцию сокращения производственного персонала и замены его высокоточными техническими автоматическими системами управления технологическими процессами (АСУТП).

Основой каждой такой АСУТП является система автоматического контроля, позволяющая получать точную и достоверную информацию о режимных параметрах процессов, параметров обрабатываемых продуктов и общей динамике процесса. Качеством работы системы автоматического контроля во многом определяется эффективность работы всей АСУ.

При контроле химико-технологического процесса (ХТП) измеряется очень много параметров (расход, давление, уровень, влажность и т.д.), но чаще других измеряется температура. Это объясняется тем, что по значению данного параметра можно судить о правильности протекания ХТП на всех его участках и стадиях. Температура является основным параметром технологического процесса. По ее данным судят как о качестве прохождения самого процесса, так и о его критических значениях.

Так как контроль состояния ХТП чаще всего проходит дистанционно, на некотором отдалении от местоположения технологической установки (в операторной), то в большинстве случаев для контроля состояния ХТП используются датчики с электрическим выходным сигналом.

Выше перечисленные факторы сформировали задачу данного методического пособия как рассмотрение принципов действия датчиков температуры и ознакомление с методикой их поверки.

1. ОБЩИЕ СВЕДЕНИЯ

Температура - скалярная физическая величина, характеризующая состояние термодинамического равновесия макроскопической системы. Температура всех частей системы, находящейся в равновесии, одинакова. Если система не находится в равновесии, то между её частями, имеющими различную температуру, происходит теплопередача(переход энергии от более нагретых частей системы к менее нагретым), приводящая к выравниванию температур в системе.

Температура определяет: распределение образующих систему частиц по уровням энергии (см. Статистика Максвелла - Больцмана) и распределение частиц по скоростям (см. Распределение Максвелла); степень ионизации вещества (см. Уравнение Саха); спектральную плотность излучения (см. Формула Планка); полную объёмную плотность излучения (см. Закон Стефана - Больцмана) и т. д. Температуру, входящую в качестве параметра в распределение Больцмана, часто называют температурой возбуждения, в распределение Максвелла - кинетической температурой, в формулу Саха - ионизационной температурой, в закон Стефана - Больцмана - радиационной температурой. Поскольку для системы, находящейся в термодинамическом равновесии, все эти параметры равны друг другу, их называют просто температурой системы. В Международной системе единиц (СИ) термодинамическая температура используется в качестве одной из семи основных физических величин, входящих в Международную систему величин, а её единицей является кельвин, представляющий собой, соответственно, одну из семи основных единиц СИ. Кроме термодинамической температуры в СИ используется температура Цельсия, её единицей является градус Цельсия, входящий в состав производных единиц СИ, имеющих специальные наименования и обозначения, и по размеру равный кельвину. На практике часто применяют градусы Цельсия из-за исторической привязки к важным характеристикам воды - температуре таяния льда (0°C) и температуре кипения (100°C). Это удобно, так как большинство климатических процессов, процессов в живой природе и т. д. связаны с этим диапазоном. Изменение температуры на один градус Цельсия тождественно изменению температуры на один кельвин. Поэтому после введения в 1967 г. нового определения кельвина, температура кипения воды перестала играть роль неизменной реперной точки и, как показывают точные измерения, она уже не равна 100°C, а близка к 99,975°C.

Температура относится к интенсивным величинам, не зависящим от массы системы.

Более строгие определения температуры, даваемые ей в различных разделах физики.

Интуитивно понятие температура появилось как мера градации наших ощущений тепла и холода; на бытовом уровне температура воспринимается как параметр, служащий для количественного описания степени нагретости материального объекта. Температура является важным параметром многих технологических процессов. Любой процесс нагревания или охлаждения тела можно разделить на три стадии:

. Стадия неупорядоченного (дорегулярного) режима.

. Стадия регулярного режима.

. Стадия теплового равновесия.

При изменении температуры тела наступает такой момент, начиная с которого это изменение не зависит во времени от начального распределения температур в теле. Начиная с этого момента, наступает так называемый регулярный режим изменения температуры. До этого момента имеет место дорегулярный режим, зависящий от начального распределения температур тела. Первая стадия (дорегулярный режим) протекает практически весьма быстро. Продолжительность этой стадии значительно меньше продолжительности регулярного режима. Стадия теплового равновесия наступает теоретически через бесконечное время, а практически - через конечный достаточно большой промежуток времени. Таким образом, основное время процесса изменения температуры тела занимает регулярный режим.

Термическая инерция термометра заключается в том, что при перенесении термометра из среды с одной температурой в среду с другой температурой, он не мгновенно приобретает температуру второй среды, а асимптотически приближается к ней. Если температура среды изменяется с течением времени, то в связи с термической инерцией показания термометра будут отличаться от действительной температуры среды на большую или меньшую величину в зависимости от скорости изменения температуры среды, от её свойств и от свойств самого термометра.

Разность  температур среды tс. и термометра tп, возникшая вследствие мгновенного изменения температуры среды, изменяется во времени при наступлении регулярного режима по зависимости:

(1)

где: - постоянная времени термометра, не зависящая ни от времени, ни от температуры среды

-текущее значение времени

С-постоянная, зависящая от формы, размеров и свойств материала термометра.

Дифференцируя это выражение по времени, получаем:

(2)

Или

(3)

Решив это уравнение для случая, когда температура среды tс постоянна, а термометр переносится из среды с другой температурой, имеем:

(4)

где:  - разовое, скачкообразное изменение температуры термометра.

Относительная погрешность изменения температуры, обусловленная инерцией термометра сопротивления, равна:

(5)

Зная , можно вычислить относительную погрешность измерения температуры для любого момента времени .

В государственных стандартах на технические термометры сопротивления оценка тепловой инерции осуществляется по времени, в течение которого термометр нагреется или охладится на 63С, при начальном температурном перепаде в 100С. Это время и считается постоянной времени  термометра.

Температуру термометра можно определить с учётом формул 1 и 4 как:

(6)

где: tc - температура среды после мгновенного скачка температуры .

Из приведённой зависимости видно, что теоретически температура термометра достигнет температуры среды через бесконечно большой промежуток времени . Практически считают, что температура термометра tп равна температуре среды tс, когда разность температур становится меньше допустимой погрешности измерения температуры . Принимая  и обозначая  через  из формулы 4 получаем:

(7)

Величина  называется временем установления показаний прибора с данным термометром. Как видно,  существенно зависит от , поэтому для контроля быстроменяющихся тепловых процессов необходимо иметь термометры малоинерционные, т.е. с малым численным значением постоянной времени .

2. ВИДЫ ДАТЧИКОВ ТЕМПЕРАТУРЫ

В зависимости от материалов, используемых для производства терморезистивных датчиков различают:

) Резистивные детекторы температуры (РДТ). Эти датчики состоят из металла, чаще всего платины. В принципе, любой мета изменяет свое сопротивление при воздействии температуры, но используют платину, так как она обладает долговременной стабильностью, прочностью и воспроизводимостью характеристик. Для измерений температур более 600°С может использоваться также вольфрам. Минусом этих датчиков является высокая стоимость и нелинейность характеристик.

) Кремневые резистивные датчики. Преимущества этих датчиков - хорошая линейность и высокая долговременная стабильностью. Также эти датчики могут встраиваться прямо в микроструктуры.

) Термисторы. Эти датчики изготавливаются из металл-оксидных соединений. Датчики измеряет только абсолютную температуру. Существенным недостатком термисторов является необходимость их калибровки и большой нелинейностью, а также старение, однако при проведении всех необходимых настроек могут использоваться для прецизионных измерений.

2.1 Полупроводниковые

В качестве примера на рисунке 1 изображен полупроводниковый датчик температуры LM75A <#"779945.files/image018.jpg"> 

Рисунок 1. Полупродниковый датчик температуры

2.2 Термоэлектрические (термопары)

Рисунок 2. Термоэлектрический датчик температуры

Термоэлектрические преобразователи - иначе, термопары (рисунок 2). Они действуют по принципу термоэлектрического эффекта, то есть благодаря тому, что в любом замкнутом контуре (из двух разнородных полупроводников или проводников) возникнет электрический ток, в случае если места спаев отличаются по температуре. Так, один конец термопары (рабочий) погружен в среду, а другой (свободный) - нет. Таким образом, получается, что термопары это относительные датчики и выходное напряжение будет зависеть от разности температур двух частей. И почти не будет зависеть от абсолютных их значений.

Выглядеть термопара может так, как показано на рисунке. Это термопара ДТПКХХ4 <#"779945.files/image020.jpg">

Рисунок 3. Пьезоэлектрический датчик температуры

В датчиках этого типа главным элементов является кварцевый пьезорезонатор.

Как известно пьезоматериал изменяет свои размеры при воздействии тока (прямой пьезоэффект). На этот пьезоматериал попеременно передается напряжение разного знака, от чего он начинает колебаться. Это и есть пьезорезонатор. Выяснено, что частота колебаний этого резонатора зависит от температуры, это явление и положено в основу пьезоэлектрического датчика температуры.

. ВЫБОР ОБОРУДОВАНИЯ ДЛЯ РАСЧЕТОВ ЛАБОРАТОРНОЙ УСТАНОВКИ

Для данной работы выбираем 3 типа датчиков температуры:

.     Капиллярный термостат (терморегулятор серии WYF85Z для нагревательного оборудования);

2.      Жидкостный термометр (пределы от 0 до +50);

.        Термопара (в данном случае мультиметр).

3.1 Термостат

Термостат - прибор для поддержания постоянной температуры. Поддержание температуры обеспечивается либо за счёт использования терморегуляторов, либо осуществлением фазового перехода (например, таяние льда). Для уменьшения потерь тепла или холода термостаты, как правило, теплоизолируют. Но не всегда. Широко известны автомобильные моторы, где летом нет никакой теплоизоляции и за счёт действия восковых термостатов поддерживается постоянная температура. Другим примером термостата является холодильник.

В термодинамике термостатом часто называют систему, обладающую столь большой теплоёмкостью, что подводимое к ней тепло не меняет её температуру. Можно выделить два основных способа работы термостатов:

1)   В термостате поддерживается постоянной температура теплоносителя, заполняющего термостат. Исследуемое тело при этом находится в контакте с теплоносителем и имеет его температуру. В качестве теплоносителя обычно используют воздух, спирт (от −110 до 60°C), воду (10-95°C), масло (−10 - +300°C) и др.

)     Исследуемое тело поддерживается при постоянной температуре в адиабатических условиях (теплоноситель отсутствует). Подвод или отвод теплоты осуществляется специальным тепловым ключом (в термостатах низких температур) или же используются электропечи с терморегулятором и массивным металлическим блоком, в который помещается исследуемое тело (в термостатах высоких температур).

В нашем случае мы используем капиллярный термостат серии WYF (рисунок 4)

Основные технические параметры термостата:

·    Напряжение не более 250 В;

·        Диапазон регулирования +35°C - +320°C.;

·        Сопротивление изоляции < 10 Мом;

·        Скорость изменения температуры < 1 °C /мин;

·        Длина капилляра 1000 мм

Рисунок 4. Капилярный термостат

3.2 Жидкостный термометр

Жидкостный термометр, прибор для измерения температуры, основанный на тепловом расширении жидкости. Применяется в диапазоне температур от -200 до 750°С. Жидкостный термометр представляет собой прозрачный стеклянный (редко кварцевый) резервуар с припаянным к нему капилляром (из того же материала). Шкала в °С наносится либо на толстостенный капилляр (т. н. палочный Жидкостный термометр), либо на пластинку, жёстко соединённую с ним (Жидкостный термометр с наружной шкалой). Жидкостный термометр с вложенной шкалой (напр., медицинский) имеет внешний стеклянный (кварцевый) чехол. Шкалы имеют цену деления от 10 до 0,01°С. Термометрическая жидкость заполняет весь резервуар и часть капилляра. В зависимости от диапазона измерений жидкостный термометр заполняют пентаном (для измерения температур от -200 до 35°С), этиловым спиртом (от -80 до 70°С), керосином (от -20 до 300°С), ртутью (от -35 до 750°С) и др. Наиболее распространены ртутные жидкостные термометры, т. к. ртуть остаётся жидкой в диапазоне температур от -38 до 356°С при нормальном давлении и до 750°С при небольшом повышении давления (для чего капилляр заполняют азотом). Галлиевый жидкостный термометр позволяет измерять температуру в диапазоне от 30 до 1200°С. Жидкостные термометры изготавливают из определенных сортов стекла и подвергают специальной термической обработке (старению), устраняющей смещение нулевой точки шкалы, связанное с многократным повторением нагрева и охлаждения термометра (поправку на смещение нуля шкалы необходимо вводить при точных измерениях). Точность жидкостного термометра определяется ценой делений его шкалы. Для обеспечения требуемой точности и удобства применения пользуются жидкостными термометрами с укороченной шкалой; наиболее точные из них имеют на шкале точку 0°С независимо от нанесённого на ней температурного интервала. Точность измерений зависит от глубины погружения жидкостного термометра в измеряемую среду. Погружать жидкостный термометр следует до отсчитываемого деления шкалы или до специально нанесённой на шкале черты (хвостовые жидкостные термометры). Если это невозможно, следует вводить температурную поправку на выступающий столбик.

.3 Термопара в мультиметре

Термопара - устройство состоящее из двух пар соединённых между собой разнородных проводников. Если один из спаев поместить при 0˚, а другой в среду с измеряемой температурой, то в цепи возникает ЭДС=разности контактных разностей потенциалов горячего и холодного спаев.

ε=U1+U2 =α·12),

где α-чувствительность термопары.

Термопарой можно измерять только разности температур. Если температура одного из спаев Т2= const (0 или комнатная), то термоЭДС будет зависеть только от температуры другого спая Т1 (измерительный спай).

Для измерения температур, термопару предварительно градуируют - строят график зависимости термоЭДС от температуры ε (Т).

Градуировка термопары и термистора:

4. ВЫБОР АВТОМАТИЧЕСКОГО МОДУЛЬНОГО ВЫКЛЮЧАТЕЛЯ

При выборе автоматического модульного выключателя нужно учитывать напряжение сети и ток. В нашем случае это лабораторная установка, которая питается от напряжения 220 В, и для этого мы выбираем маломощный выключатель.

Автоматический выключатель ВА 47-63- современное поколение коммутационных аппаратов, предназначены для оперативного управления участками электрических цепей, а так же защиты от токов перегрузки и короткого замыкания в административных, промышленных и жилых зданиях. Выключатели производятся в одно-, двух-, трех- и четырехполюсном исполнениях.

Преимущества

Наличие пломбируемых панелей для защиты от несанкционированного доступа к проводникам.

) наличие монолитной лицевой панели.

) повышенная жесткость корпуса - шесть заклепок.

) корпус имеет профильные углубления, что способствует естественной вентиляции для обеспечения охлаждения.

) скругленные клеммы с насечками для надежного соединения с проводниками.

) наличие индикаторного окошка состояния контактов.

) автоматическая доводка рукоятки управления (эффект подпружинивания).

) гарантийные обязательства составляют 5 лет.

Таблица 1

Параметры выключателя

Параметры автоматического выключателя

Значения

Предельная коммутационная способность, кА

4,5

Коммутационная износостойкость, кол-во циклов

10000

Механическая износостойкость, кол-во циклов

20000

Сечение подключаемого провода, мм2

от 1 до 25

Момент затяжки, Н•м

2,5

Номинальное фазное напряжение частотой 50 Гц, В

240

Номинальное линейное напряжение частотой 50 Гц, В

415

Степень защиты

IP 20

Степень защиты аппарата в модульном шкафу

IP 40

Время срабатывания при коротком замыкании не более, с

0,01

Климатическое исполнение

УХЛ4

Диапазон рабочих температур, °С

от -40 до +50

Категория применения

А


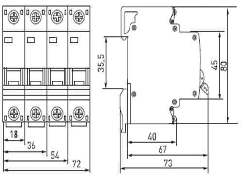
Рисунок 5. Габаритные и установочные размеры

Рисунок 6. Типовые схемы подключения

Рисунок 7. Особенности эксплуатации и монтажа

5. ПРИНЦИП ДЕЙСТВИЕ ИЗМЕРЯЕМЫХ ДАТЧИКОВ

.1 Жидкостный термометр

Жидкостный термометр - это, как правило, термометр из стекла (стеклянный термометр), увидеть который можно практически везде. Жидкостные термометры бывают как бытовыми, так и техническими (термометр ТТЖ - термометр технический жидкостный).

Жидкостный термометр работает по простой схеме - объем жидкости внутри термометра изменяется при изменении температуры вокруг нее. Жидкость, находящаяся в термометре, занимает меньший объем капилляра при низкой температуре, а при высокой температуре жидкость в столбике термометра начинает увеличиваться в объеме, тем самым будет расширяться, и подниматься вверх. Обычно в жидкостных термометрах применяется либо спирт, либо ртуть. Температура, измеряемая жидкостным термометром, преобразуется в линейное перемещение жидкости, шкала наносится прямо на поверхность капилляра или прикрепляется к нему снаружи. Чувствительность термометра зависит от разности коэффициентов объемного расширения термометрической жидкости и стекла, от объема резервуара и диаметра капилляра. Чувствительность термометра обычно лежит в пределах 0,4…5 мм/С (для некоторых специальных термометров 100…200 мм/°С). Технические жидкостные стеклянные термометры применяют для измерения температур от -30 до 600°С.

При монтаже стеклянного технического жидкостного термометра его часто помещают в защитную металлическую оправу для изоляции прибора от измеряемой среды. Для уменьшения инерционности измерения в кольцевой зазор между термометром и стенкой оправы при измерении температуры до 150°С заливают машинное масло; при измерении более высоких температур в зазор насыпают медные опилки. Как любые другие точные приборы, промышленные технические термометры требуют проведения регулярной поверки.

5.2 Термопара

Если два провода из разнородных металлов соединены друг с другом на одном конце, на другом конце данной конструкции, за счет контактной разницы потенциалов, появляется напряжение (ЭДС), которое зависит от температуры. Иными словами, соединение двух разных металлов ведет себя как гальванический элемент, чувствительный к изменению температуры. Такой вид температурного сенсора называется термопарой. Данное явление предоставляет нам простой путь для нахождения электрического эквивалента температуры: необходимо просто измерить напряжение и Вы можете определить температуру этого места соединения двух металлов. И это было бы просто, если бы не следующее условие: когда Вы присоедините любой вид измерительного прибора к проводам термопары, то неизбежно сделаете второе место соединения разнородных металлов. Следующая схема показывает, что железо - медное соединение J1 обязательно дополняется вторым железо - медным соединением J2 противоположной полярности:

Соединение J1 железа и меди (двух разнородных металлов) будет генерировать напряжение, зависящее от измеряемой температуры. Соединение J2, которое фактически необходимо, что мы каким-то образом подключили наши медные входные провода вольтметра к железной проволоке термопары, также соединение разнородных металлов, которое тоже будет генерировать напряжение, зависящее от температуры. Далее необходимо отметить, что полярность соединения J2 противоположна полярности соединения J1 (железный провод положительный; медный - отрицательный). В данное схеме имеется так же третье соединение (J3), но оно не оказывает влияние, потому что это соединение двух идентичных металлов, которое не создает ЭДС. Генерация второго напряжения соединением J2 помогает объяснить, почему вольтметр регистрирует 0 вольт, когда вся система будет при комнатной температуре: любые напряжения созданные точками соединения разнородных металлов будут равны по величине и противоположны по полярности, что и приведет к нулевым показаниям. Только тогда, когда два соединения J1 и J2 находятся при разных температурах, вольтметр зарегистрирует какое-то напряжение.

Мы можем выразить эту связь математически следующим образом:

= VJ1 − VJ2 (8)

Где: VJ1 - напряжение железо - медного соединения;- напряжение железо - медного соединения противоположной полярности.

Понятно, что вольтметр «видит» только разницу между этими двумя напряжениями, генерируемыми в точках соединения.

Таким образом, термопары - это исключительно дифференциальные температурные сенсоры. Они формируют электрический сигнал, пропорциональный разнице температур между двумя различными точками. Поэтому, место соединения (спай), которое мы используем, чтобы измерить необходимую температуру, называют «горячим» спаем, в то время как другое место соединения (от которого мы никак не можем избежать) называется «холодным» спаем. Такое название произошло от того, что обычно, измеряемая температура выше температуры, в которой находится измерительный прибор. Большая часть сложностей применения термопар связана с именно напряжением «холодного» спая и необходимости иметь дело с этим (нежелательным) потенциалом. Для большинства применений необходимо измерять температуру в одной определённой точке, а не разницу температур между двумя точками, что делает термопара по определению.

Существует несколько методов, чтобы заставить датчик температуры на базе термопары измерять температуру в нужной точке, и они будут рассмотрены ниже.

Студенты и профессионалы очень часто находят общий принцип влияния «холодного» спая и его эффектов невероятно запутанным. Чтобы разобраться в данном вопросе, необходимо вернуться к простому контуру с железо - медными проводами, показанному ранее как «отправная точка», а затем вывести поведение данного контура, применяя первый закон Кирхгоффа: алгебраическая сумма напряжений в любом контуре должна быть равна нулю. Мы знаем, что соединение разнородных металлов создает напряжение, если его температура выше абсолютного нуля. Мы также знаем, что с тем, чтобы сделать полный контур из железного и медного провода, мы должны сформировать второе соединение железа и меди, полярность напряжения этого второго соединения будет обязательно противоположной полярности первого. Если мы обозначим первое соединение железа и меди как J1, а J2 второе, мы абсолютно уверенны в том, что напряжение, измеренное вольтметром в этой схеме, будет VJ1 − VJ2.

Все контуры термопары - независимо от того, простые они или сложные - демонстрируют эту фундаментальную особенность. Необходимо мысленно представить простой контур из двух разнородных металлических проводов и затем, выполняя «мысленный эксперимент», определить, как этот контур будет вести себя в местах соединения при одинаковой температуре и при различных температурах. Это - лучший способ для любого человека понять, как работают термопары.

5.3 Капилярный термостат

Термостаты с переключающимися контактами предназначены для регулирования температуры воздуха, жидких и газовых сред, для электрических водонагревателей, посудомоечных и стиральных машин, сушильных машин, электрических печей и т.п. Принцип работы основан на свойстве объемного температурного расширения. В медной погружной гильзе находится термочувствительный баллон. Жидкость, находящаяся в баллоне термостата, нагревается, расширяется и через капиллярную трубку избыточный объем переходит в сильфон. Сильфон удлиняется и передает усилие на контактную группу. Таким образом, осуществляется автоматическое поддержание заданной температуры в системе.

6. ОСНОВНЫЕ ТЕХНИЧЕСКИЕ ХАРАКТЕРИСТИКИ И ПАРАМЕТРЫ СТЕНДА

Образцовый датчик температуры

Для проведения поверки необходимо, чтобы разница между значениями классов точности образцового и поверяемого термометров отличалась не менее, чем в 5-10 раз.

В качестве эталонного датчика температуры используется жидкостный термометр диапазон работы такого термометра составляет от 0 до 500С, погрешность работы такого термометра составляет не более 0,10С.

Выбор оборудования осуществлялся по надежности, качеству получаемого сигнала и простоты использования. Приведем примеры для каждого датчика:

·    Жидкостный термометр был выбран из-за того, что он безопасен и по экономическим показателям доступен любому пользователю;

·        Терморегулятор серии WYF85Z очень прост в использовании, точен в показаниях и так же как и жидкостный термометр доступен по экономическим характеристика;

·        Термопара в мультиметре выигрывает своим диапазоном измеряемой температуры. Так же очень удобно сразу фиксировать температуру на дисплее мультиметра.

Поверяемые датчики температуры

Вторичные преобразователи температуры

Терморегулятор серии WYF85Z для нагревательного оборудования Диапазон измерений 0-850С. Все данные по капиллярному термостату показаны в таблице 2.

Термопара в мультиметре (диапазон измерения -58-7000С) показана в таблице 3.

Данные на капиллярный термостат

Табельный номер

85z

Класс точности

0,6

Значение входного сигнала

0¸6,842 мВ

Значение выходного сигнала

4 - 20 мА

Напряжения питания переменного тока

9 В

Тип

WYF


Таблица 3

Данные на термопару

Табельный номер

TP-01A

Тип первичного преобразователя

К

Класс точности

0,6

Температура измерения

-58 - 7000С

Напряжения питания переменного тока

220 В

Тип

TP-01A


автоматический датчик регулятор выключатель

7. ВЫЧИСЛЕНИЕ ПОГРЕШНОСТЕЙ И ОПРЕДЕЛЕНИЕ ПРИГОДНОСТИ ПРИБОРОВ К ЭКСПЛУАТАЦИИ

Для поверяемых термометров определить преобладание аддитивной или мультипликативной составляющих погрешности. В зависимости от преобладающей погрешности рассчитать значимые погрешности:

В общем случае погрешности можно рассчитать по формулам:

Абсолютная погрешность (1) измеряемого прибора определяется как разность между его показанием и действительным значением измеряемой величины, полученным с образцового прибора. Она выражается в единицах измеряемой величины:

(9)

где Аи - показание измерительного прибора;

Ад - действительное значение измеряемой величины.

Относительная погрешность (2) выражается в процентах и определяется по формуле:

(10)

Она выражается в процентах или долях.

Приведенной относительной (3) погрешностью называется выраженное в процентах отношение абсолютной погрешности к нормирующему значению измерительного прибора N:

(11)

Все полученные данные по погрешности показаний датчиков приведены в таблице 4.

Таблица 4

Таблица результатов поверки погрешности

№ п/п

Показания

Погрешности



Термопара, оС

Термостат, оС


Термометр, оС

Термопара, оС

Термостат, оС

Абсолютные оС

Приведенные,%

1

25

26

24

1

4

2

30

30

31

0

0

3

35

37

35

2

5,7

4

40

43

39

3

7,5

8. ЛАБОРАТОРНАЯ УСТАНОВКА

.1 Ход работы:

. Собрать сведения об установке.

. Собрать схему лабораторной установки, осуществив подключение датчика, а нагревательную спирали к источнику тока.

. Подогревая воду, снять характеристику Tн от Tп для двух датчиков. Измерение производить от 250С до 450С. при каждом

Результаты измерений занести в таблицу.

. Сравнить показания двух термостатов в разных позициях регулятора и занести данные в таблицу. Построить график разности показания термометра от термостатов.

8.2 Производство опыта:

В сосуд, заполненный дистилированной водой, погружается датчик термостат 1 и 2, мультиметр. В непосредственной близости от датчика размещается жидкостный термометр (ЖТ) для контроля температуры жидкости. Для подогрева воды в сосуде находится спираль, которая подключается к источнику питания. С помощью подогревателя можно изменять температуру воды в пределах от +300С до 1000С. К термостату подключен датчик срабатывания и аккумуляторная батарея с напряжение 9 В (ДС). При достигшей температуре термостат срабатывает и датчик гаснет. Для определения температуры через термопару используем измерительное устройство (ИУ). В данном случае ИУ у нас является мультиметр. Как показано на рисунке 8.

8.3 Опыт первый:

В сосуд с водой, где находится нагревательная спираль и жидкостный датчик температуры (термометр), помещаем капиллярный термостат и термопару. Выставляем пределы на термостате, для отключения датчика, и нагреваем воду. При достигнутой температуры датчик на термостате срабатывает. После сверяем полученную температуру с термометром и записываем показания в таблицу 1. На дисплее мультиметра смотрим показания термопары и так же записываем данные в таблицу 1. Проделываем этот опыт несколько раз и по данным таблицы строим график зависимости.

8.4 Опыт второй:

Помещаем в сосуд с водой два капиллярных термостата, выставляем пределы, только одинаковые, и нагреваем воду. После срабатывания термостатов сверяем показания с термометром и записываем данные в таблицу 2. Проводим этот опыт несколько раз, и по полученным данным строим график.

Рисунок 8. Общая схема установки

9. СРЕДСТВО ЗАЩИТЫ ЭЛЕКТРОУСТАНОВКИ

Электрозащитные средства - это средства защиты, которые применяют от поражения электрическим током, необходимые для обеспечения эффективной электробезопасности <#"779945.files/image029.jpg">

Рисунок 9. Электрические средства защиты

Все электрозащитные средства делятся на 2 группы:

1)   Основные;

2)      Дополнительные

Основные электрозащитные средства - это изолирующие электрозащитные средства, у которых изоляция долгое время способна выдерживать рабочее напряжение сети, и с помощью которых разрешено производить работы под напряжением на токоведущих частях.

Дополнительные электрозащитные средства - это изолирующие электрозащитные средства, которые не защищают человека от поражения электрическим током, а только являются дополнением к основным средствам защиты. А также они предназначены для защиты работающего от шагового напряжения и напряжения прикосновения.

По классу напряжения электрозащитные средства разделяются:

·        до 1000 (В)

·              выше 1000 (В)

Основные электрозащитные средства до 1000 (В)

Приведем перечень всех изолирующих электрозащитных средств, относящихся к категории основные до 1000 (В).

·              изолирующие штанги <#"779945.files/image030.jpg">

Рисунок 10. Запрещающий плакат безопасности

. Различные экранирующие устройства (переносные и съемные)

3. Плакаты и знаки безопасности <#"779945.files/image031.jpg">

Рисунок 11. Средства индивидуальной защиты

К ним относятся:

·        защитные пластиковые каски

·              защитные очки

·              щиты ограждения <http://zametkielectrika.ru/shhity-ograzhdeniya/>

·              различные респираторы и противогазы

·              рукавицы

·              предохранительные пояса и страховочные канаты

·              комплекты для защиты работающего от электрической дуги - термостойкие костюмы Номекс <http://zametkielectrika.ru/termostojkij-kostyum-nomeks-dlya-energetikov/>

10. ОХРАНА ТРУДА

Основным методом охраны труда является использование техники безопасности. При этом решаются две основные задачи: создание машин и инструментов, при работе с которыми исключена опасность для человека, и разработка специальных средств защиты, обеспечивающих безопасность человека в процессе труда, а также проводится обучение работающих безопасным приемам труда и использования средств защиты, создаются условия для безопасной работы.

Улучшение условий труда дает и экономические результаты: рост прибыли (в связи с повышением производительности труда); сокращение затрат, связанных с компенсациями за работу с вредными и тяжелыми условиями труда; уменьшение потерь, связанных с травматизмом, профессиональной заболеваемостью; уменьшением текучести кадров и т.д. Основным документом в нормативно-технической документации является нормативный акт «Система стандартов безопасности труда». Стандарты ССБТ устанавливают общие требования и нормы по видам опасных и вредных производственных факторов, общие требования безопасности к производственному оборудованию, производственным процессам, средствам защиты работающих и методы оценки безопасности труда. Условия труда - совокупность факторов производственной среды, оказывающей влияние на здоровье и работоспособность человека в процессе труда. Исследования условий труда показали, что факторами производственной среды в процессе труда являются:

) санитарно-гигиеническая обстановка, определяющая внешнюю среду в рабочей зоне - микроклимат, механические колебания, излучения, температуру, освещение и др.;

) психофизиологические элементы: рабочая поза, физическая нагрузка, нервно-психологическое напряжение и др., которые обусловлены самим процессом труда;

)эстетические элементы: оформление производственных помещений, оборудования, рабочего места, рабочего инструмента и др.;

)социально-психологические элементы, составляющие характеристику так называемого психологического климата.

Профессиональным заболеванием называется заболевание, вызванное воздействием вредных условий труда. К ним относятся: хронические пылевые бронхиты, вибрационная болезнь, отравление различными токсичными веществами и др. Профессиональные заболевания, в зависимости от тяжести и сроков выявления, могут сопровождаться и не сопровождаться утратой трудоспособности. В тяжелых случаях они могут привести к инвалидности.

В процессе труда на человека воздействует множество разнообразных факторов производственной среды, которые в совокупности определяют то или иное состояние условий труда. Производственные факторы подразделяются на технические, эргономические, санитарно-гигиенические, организационные, эстетические, организационные, психофизиологические, социально-бытовые, природно-климатические, экономические. Технические факторы отражают уровень автоматизации и механизации производственных процессов; наиболее полное использование оборудования и рациональную организацию рабочего места; применение электронно-вычислительной и управляющей техники; наличие и исправность коллективных средств защиты, защищенность опасных зон и др. Эргономические факторы характеризуют установление соответствия скоростных, энергетических, зрительных и других физиологических возможностей человека в рассматриваемом технологическом процессе; введение рациональных режимов труда и отдыха, сокращение объема информации, снижение нервно-эмоциональных напряжений и физиологических нагрузок; профессиональный отбор. Это касается скоростных параметров техники, объема поступающей от рабочих органов информации, уровня организации рабочего места, удобства расположения органов управления и индикации, конструкции сиденья оператора, обзорности рабочей зоны и т.д. Эстетические факторы отображают соответствие эстетических потребностей человека и реализуемых в художественно-конструкторских решениях рабочих мест (орудий труда) и производственной среды. Санитарно-гигиенические факторы показывают состояние производственной санитарии на рабочих местах (качество воздушной среды, уровень вредных веществ и излучений, шума, вибраций, состояние освещения и др.). Они должны соответствовать требованиям ГОСТов, ССБТ и т.д. Организационные факторы характеризуют режим труда и отдыха на предприятии; дисциплину и форму организации труда, обеспеченность рабочих спецодеждой, спецобувью и другими средствами индивидуальной защиты (СИЗ); состояние контроля за трудовым процессом и, в частности, за охраной труда; качество профессиональной подготовки работающих и др. Психофизиологические факторы отражают напряженность и тяжесть труда, морально-психологический климат в коллективе, взаимоотношения работающих друг с другом и др.

Социально-бытовые факторы включают общую культуру производства, порядок и чистоту на рабочих местах, озеленение территории, обеспеченность санитарно-бытовыми помещениями, столовыми, медпунктами, поликлиниками, столовыми, детскими дошкольными учреждениями и др. Природно-климатические факторы - это географические и метеорологические особенности местности (высота над уровнем моря, рельеф местности, частота и вид осадков, температура, влажность, ионизация и подвижность воздуха, атмосферное давление и др.). Экономические факторы включают в себя повышение технической вооруженности труда: наиболее полное использование оборудования, рациональную организацию рабочего места, выбор оптимальной технологии. Устранение и уменьшение ненужных затрат рабочего времени, строгая регламентация темпа и ритма работы также относятся к экономическим факторам. Условия труда зависят от того или иного сочетания производственных факторов и, в свою очередь, влияют на производительность и результаты труда, на состояние здоровья работающих. Благоприятные условия улучшают общее самочувствие, настроение человека, создают предпосылки для высокой производительности, и, наоборот, плохие условия снижают интенсивность и качество труда, способствуют возникновению производственного травматизма и заболеваний. Создание здоровых и безопасных условий труда - главная задача администрации предприятия, работодателя.

Классификация опасных и вредных производственных факторов представлено в таблице.

Таблица 5

Опасные и вредные производственные факторы

Опасные и вредные производственные факторы

Физические

Механические: Высота Машины, механизмы, оборудование, инструмент

Электромагнитные излучения (ЭМИ): Инфракрасное (тепловое) излучение Лазерное излучение Ультрафиолетовое излучение, Переменные ЭМИ

Постоянные электрические и магнитные поля: Статическое электричество, постоянное электрическое поле Постоянное магнитное поле

Ионизирующее излучение

Электрический ток

Понижение и повышение температуры

Химические

Пыль

Токсические и ядовитые газы

Токсические и ядовитые жидкости

Биологические

Микроорганизмы (бактерии, вирусы)

Макроорганизмы (растения, животные)

Психофизиологические

Физические перегрузки

Нервно-психические перегрузки


В зависимости от характера нарушения и последствий предусмотрены три формы ответственности. Дисциплинарная - замечание, выговор, строгий выговор, увольнение. Возможно лишение премии. Административная ответственность применяется за нарушения, где не предусмотрена уголовная ответственность и, в соответствии со статьёй 41 Кодекса РК об административных правонарушениях, влечёт наложение штрафа в размере до ста минимальных размеров оплаты труда. Штрафы имеют право налагать должностные лица органов государственного надзора и контроля по охране труда (государственные инспекторы Рострудинспекции) и инспекторы специального государственного надзора (Госпожарнадзор, Госэнергонадзор и др.). При этом государственные инспекторы имеют право налагать штраф до 50, а главные государственные инспекторы и руководители инспекций - до 100 минимальных оплат труда. Уголовная ответственность определяется судом. В соответствии со статьёй №143 уголовного кодекса Республики Казахстан, нарушение правил техники безопасности или иных правил охраны труда, совершённое лицом, на котором лежали обязанности по соблюдению этих правил, если это повлекло по неосторожности причинение тяжкого или средней тяжести вреда здоровью человека, наказывается штрафом в размере от двухсот до пятисот минимальных размеров оплаты труда или в размере заработной платы или иного дохода осужденного за период от двух до пяти месяцев, либо исправительными работами на срок до двух лет, либо лишением свободы на срок до двух лет. То же деяние, повлекшее по неосторожности смерть человека, наказывается лишением свободы на срок до пяти лет.

В некоторых случаях возможна и МАТЕРИАЛЬНАЯ ответственность, которая имеет два вида:

материальная ответственность работника за нанесённый им ущерб предприятию (работодателю);- материальная ответственность предприятия (работодателя) перед работником за нанесённый ему ущерб на работе.

Отраслевые нормы и правила действуют в отдельной отрасли хозяйства и содержат требования по охране труда, специфические только для данной отрасли.

Если в организации никто не занимается охраной труда, то с чего следует начать?

Естественно, если речь идет о службе персонала (служба кадров), то начинать надо с процесса принятия работника в организацию. Важно выяснить, какую общую и специальную подготовку имеет этот работник. В свою очередь, работник должен быть ознакомлен с поручаемой ему работой и условиями труда. Если для выполнения работы необходимо знания специальных требований безопасности труда, то поступающий должен предъявить соответствующие документы, например на право управления машинами или на производство работ, относительно которых предъявляются дополнительные (повышенные) требования безопасности труда. В организации должен быть составлен перечень работ и профессий, к которым предъявляются дополнительные (повышенные) требования безопасности труда. Перечень составляется на основе отраслевой нормативно-технической документации и с учетом требований нормативных правовых актов, содержащих государственные требования охраны труда. Данный перечень должен быть согласован с профсоюзным комитетом или иным представительным органом коллектива. Перечень должен находиться в отделе персонала (отделе кадров) или у специалиста, ответственного за оформление работников на работу, а также у специалиста по охране труда. Кроме того, в организации должен быть определен перечень лиц, которые по роду своей деятельности должны проходить обучение по охране труда. Приказами по организации должны быть назначены лица, ответственные за организацию погрузочно-разгрузочных работ, электрохозяйство, а также, при необходимости, другие ответственные лица.

Первую помощь пострадавшему при несчастном случае оказывают сразу же на месте происшествия до прихода врача или до транспортировки пострадавшего в больницу. Каждый работающий должен уметь оказать первую помощь пострадавшему и помощь самому себе ("самопомощь"). При оказании первой помощи необходимо:

) удалить травмирующий фактор;

) вынести пострадавшего с места происшествия;

) обработать поврежденные участки тела и остановить кровотечение;

) обеспечить неподвижность место перелома, предотвратить травматический шок;

) доставить пострадавшего в лечебное учреждение.

При оказании первой помощи следует обладать навыками обращения с раненым. Это особенно важно при переломах, сильных кровотечениях, потере сознания, термических и химических ожогах. Приподнимать и переносить раненого следует осторожно, поддерживая его снизу. Для оказания первой помощи каждый производственный участок, каждая строительная площадка должна быть оснащена стандартными средствами первой помощи. Аптечка первой помощи. В аптечку входят перевязочные материалы (бинты, вата, индивидуальные пакеты, лейкопластырь, стерильные салфетки, кровоостанавливающий жгут); нашатырный спирт (применяют для возбуждения дыхания, обработки кожи при ожогах кислотами, при укусах насекомыми); 5%-ный спиртовой раствор йода (для обработки ран); перманганат калия (марганцовка) - для промывания желудка делают слабо-розовый раствор, применяют также для обработки ран; питьевая сода (для промывания желудка, обработки кожи при ожогах); борный вазелин (для смазывания салфеток при закрытии проникающих ранений, смазывания кожи); активированный уголь (5...10 таблеток растолочь и выпить при различных отравлениях); борная кислота (для промывки глаз, обработки кожи); нитроглицерин (при болях в сердце); анальгин, амидопирин (обезболивающие препараты); папаверин (применяют при болях в сердце, гипертоническом кризе); ножницы, нож, стаканчик для приема лекарств,

Общие требования безопасности при работе в клинико-диагностических лабораториях:

.1 К работе в клинико-диагностических лабораториях (далее по тексту «лаборатории»), допускаются врачи-лаборанты, фельдшера-лаборанты, медицинские технологи (далее по тексту «персонал») в возрасте не моложе 18 лет, имеющие законченное медицинское образование, обученные на II квалификационную группу по электробезопасности и не имеющие противопоказаний по состоянию здоровья.

.2 Работники, вновь поступающие в лабораторию, должны пройти вводный инструктаж у инженера по охране труда с регистрацией в журнале вводного инструктажа по охране труда.

.3 Каждый, вновь принятый на работу в лабораторию должен пройти первичный инструктаж по охране труда на рабочем месте. Повторный - инструктаж должен проводиться не реже одного раза в 6 месяцев с регистрацией в журнале инструктажа на рабочем месте.

.4 В течение 1 месяца после поступления на работу и периодически не реже одного раза в 12 месяцев должна проводиться проверка знаний персоналом норм и правил охраны труда по программе, утвержденной главным врачом.

.5 Персонал обязан соблюдать правила внутреннего трудового распорядка, режимы труда и отдыха.

.6 Опасными и вредными факторами, действующими на персонал при работе в лаборатории, являются: опасность заражения персонала при контактах с инфицированным биологическим материалом; повышенное напряжение в электрической цепи, замыкание которой может произойти через тело человека; опасность травмирования инструментами или осколками посуды, используемой в процессе работы; повышенный уровень токсических веществ в воздухе рабочей зоны, образующихся в процессе работы; повышенное напряжение органов зрения при микроскопировании.

.7 Женщины, работающие в лаборатории, должны соблюдать нормы переноски и перемещения тяжестей (грузов).

.8 В своей работе персонал лаборатории должен руководствоваться должностными инструкциями, инструкциями заводов - изготовителей по эксплуатации оборудования, приборов, аппаратов, требованиями санитарно-гигиенического режима.

.9 Работодатель обязан обеспечить персонал лаборатории бесплатной санитарно - гигиенической одеждой и другими средствами индивидуальной защиты: халат хлопчатобумажный; фартук прорезиненный с нагрудником; перчатки резиновые; нарукавники непромокаемые; очки защитные; на мойке посуды дополнительно: галоши резиновые; при работе в биохимических лабораториях дополнительно: респиратор (противогаз). Смена санитарно - гигиенической одежды - должна проводиться не реже двух раз в неделю, полотенец - ежедневно. Вместо полотенец могут использоваться электрополотенца для сушки рук, установленные рядом с умывальниками. Стирка одежды на дому запрещается.

.10 Лаборатория должна быть укомплектована аптечкой первой медицинской помощи, содержащей в обязательном порядке:

) стерильные ватные тампоны;

) спирт 70%;

) раствор нитрата серебра 1%;

) раствор протаргола 1%;

) перманганат калия для растворов;

) раствор йода спиртовой 1%;

) лейкопластырь

.11 О каждом несчастном случае, произошедшем на производстве, пострадавший или очевидец несчастного случая извещает непосредственного руководителя работ, который обязан организовать первую помощь пострадавшему и, при необходимости, доставку его в лечебное учреждение, сообщить главному врачу, инженеру по охране труда и в профсоюзный комитет о произошедшем несчастном случае. Руководитель работ должен принять неотложные меры по предотвращению развития аварийной ситуации и воздействия травмирующего фактора на других работников, а также сохранить до начала расследования несчастного случая обстановку на рабочем месте и состояние оборудования такими, какими они были в момент происшествия, если это не угрожает жизни и здоровью окружающих работников.

.12 В процессе работы персонал лаборатории обязан: соблюдать требования охраны труда; правильно применять средства индивидуальной и коллективной защиты; выполнять правила личной гигиены; проходить обучение безопасным методам и приемам выполнения работ, инструктаж по охране труда, стажировку на рабочем месте и проверку знаний требований охраны труда; немедленно извещать своего непосредственного руководителя о любой ситуации, угрожающей жизни и здоровью людей, о каждом несчастном случае, происшедшем на производстве, или об ухудшении состояния своего здоровья, в том числе о появлении признаков острого профессионального заболевания (отравления); проходить обязательные предварительные (при поступлении на работу) и периодические (в течение трудовой деятельности) медицинские осмотры (обследования); соблюдать правила пожарной, безопасности, знать места расположения средств пожаротушения; владеть навыками оказания первой медицинской помощи при. ожогах, отравлениях, поражении электрическим током и других травмах, знать местонахождение аптечки первой помощи, средств, нейтрализации химических веществ.

.15 Персонал лаборатории, несет ответственность за нарушение требований настоящей инструкции. Лица, допустившие невыполнение или нарушение инструкций по охране труда, подвергаются дисциплинарному взысканию в соответствии с правилами внутреннего трудового распорядка и, при необходимости, внеочередной проверке знаний вопросов охраны труда.

2. Требования безопасности до начала работы

2.1 Вентиляция в лаборатории должна включаться за 30 минут до начала работы.

.2 Перед входом в помещение необходимо выключить бактерицидную лампу. Выключатель бактерицидной лампы должен быть установлен у входа в рабочее помещение со стороны коридора.

.3 Перед началом работы персонал лаборатории должен надеть санитарно-гигиеническую одежду, приготовить средства индивидуальной защиты.

.4 Персонал лаборатории обязан подготовить свое рабочее место к безопасной работе, привести его в надлежащее санитарное состояние, при необходимости подвергнуть влажной уборке.

.5 Перед началом работы персонал должен визуально проверить исправность работы электрооборудования, местного освещения, газовой горелки, вытяжного шкафа, средств малой механизации, других приспособлений, посуды, вспомогательных материалов и иных предметов оснащения рабочего места, уточнить наличие и достаточность реактивов.

3. Требования безопасности во время работы

3.1 Персонал лаборатории во время работы не должен допускать спешки. Проведение анализов следует выполнять с учетом безопасных приемов и методов работы

.2 С целью предупреждения инфицирования медицинскому персоналу лаборатории следует избегать контакта кожи и слизистых оболочек с кровью и другими биологическими материалами.

.3 Работать с исследуемым материалом необходимо в резиновых перчатках, избегая уколов и порезов

.4 При транспортировке биоматериал должен помещаться в пробирки, закрывающиеся резиновыми или полимерными пробками, а сопроводительная документация в упаковку, исключающую возможность ее загрязнения биоматериалом.

Не допускается помещать бланки направлений в пробирки с кровью или иными биологическими материалами. Транспортировка должна осуществляться в закрытых контейнерах, регулярно подвергающихся дезинфекционной обработке.

.5 Все повреждения кожи на руках должны быть закрыты лейкопластырем или напальчниками.

.6 При пипетировании крови следует использовать автоматические пипетки, а в случае их отсутствия - резиновые груши. Запрещается пипетирование крови ртом.

.7 При открывании пробок, бутылок, пробирок с кровью или другими биологическими материалами следует не допускать разбрызгивания их содержимого.

.8 При хранении потенциально инфицированных материалов в холодильнике необходимо помещать их в полиэтиленовый пакет.

.9 Растворы для нейтрализации концентрированных кислот и щелочей должны находиться на стеллаже (полке) в течение всего рабочего времени.

.10 При включении электрооборудования в сеть необходимо проверить соответствие напряжения прибора, указанного, в паспорте, напряжению в сети, а также наличие заземления.

.11 Используемые нагревательные приборы должны иметь гладкую поверхность, быть доступны для легкой очистки и должны устанавливаться на теплоизолирующее негорючее основание.

.12 Следует следить за целостностью стеклянных приборов, оборудования и посуды и не допускать использования в работе предметов, имеющих трещины и сколы.

.13 Рабочие места для проведения исследований мочи и кала, биохимических, серологических и гормональных исследований должны быть оборудованы вытяжными шкафами с механическим побуждением. Скорость движения воздуха в полностью открытых створках вытяжного шкафа должна быть 0,3 м/сек. Створки (дверцы) вытяжного шкафа во время работы следует держать максимально закрытыми (опущенными с небольшим зазором внизу для тяги). Открывать их можно только на время обслуживания приборов и установок. Приподнятые створки должны прочно укрепляться приспособлениями, исключающими неожиданное падение этих створок. Газовые и водяные краны вытяжных шкафов должны быть расположены у передних бортов (краев) и установлены с учетом невозможности случайного открытия крана.

.14 На вводе центральной газовой сети в лабораторию должен быть установлен общий газовый кран, который закрывают в конце рабочего дня. Газовые горелки на рабочих столах и вытяжных шкафах должны иметь краны Газовые горелки должны содержаться в чистоте и порядке, для чего их периодически следует разбирать и прочищать. При временном перерыве в подаче газа необходимо перекрыть газовые краны у всех приборов. При использовании переносных газовых баллонов емкостью до 5 литров по окончании и при перерывах в работе следует закрывать вентиль на баллоне

.15 При эксплуатации центрифуг необходимо соблюдать следующие требования: при загрузке центрифуги стаканами или пробирками соблюдать правила попарного уравновешивания; перед включением центрифуги в электрическую сеть необходимо проверить, хорошо ли привинчена крышка к корпусу; включать центрифугу в электрическую сеть следует плавно при помощи реостата, после отключения надо дать возможность ротору остановиться, тормозить ротор рукой запрещается; по окончании цикла центрифугирования открывать центрифугу можно не ранее 15 минут после ее остановки, после работы центрифугу следует осмотреть и протереть.

.16 При эксплуатации воздушных или жидкостных термостатов запрещается ставить в них легковоспламеняющиеся вещества. Очистку и дезинфекцию термостата следует проводить только после отключения его от электросети

.17 При эксплуатации рефрижераторов (холодильников) не допускается закрывать вентиляционные отверстия и затруднять охлаждение конденсаторного блока. Перестановка и перемещение без холодильников должна проводиться при участии специалиста

.18. Слив отходов летучих веществ, распространяющих резкий, неприятный запах, должен осуществляться в раковину, расположенную в вытяжном шкафу с подведенным к ней водопроводным краном

.19 Лабораторные столы для микроскопических и других точных исследований должны располагаться у окон

.20 Для предотвращения переутомления и порчи зрения при микроскопировании и пользовании другими оптическими приборами необходимо обеспечить освещение поля зрения, предусмотренное для данного микроскопа или прибора. При работе не следует закрывать неработающий глаз, работать попеременно то одним, то другим глазом. При утомлении зрения следует делать перерывы в работе.

.21 Рядом с каждыми аналитическими весами необходимо иметь дополнительные светильники.

.22 В случае отсутствия централизованной подачи газов баллоны со сжатыми газами должны быть надежно установлены и закреплены в вертикальном положении. Баллоны должны иметь предохранительные колпаки. Их нельзя помещать в места, освещаемые прямыми солнечными лучами, вблизи нагревательных и отопительных приборов. Расстояние от радиаторов и других отопительных приборов до баллонов должно быть не менее 1 м, а от источников тепла с открытым огнем не менее 5 м. Баллоны не должны соприкасаться с электрическими проводами и кабелями. Выпуск газа из баллона должен осуществляться через редуктор, предназначенный исключительно для данного газа Вентиль редуктора следует открывать медленно Не допускается нахождение во время открывания вентиля баллона перед редуктором по направлению оси штуцера вентиля При опорожнении баллона в нем должно оставаться избыточное давление не менее 0,5 кг/см2. Для использования разрешаются только баллоны, имеющие надписи и окраску, установленную требованиями для данного газа, снабженные защитными колпаками

.23 В помещении лаборатории запрещается оставлять без присмотра зажженные горелки и другие нагревательные приборы, держать вблизи горящих горелок вату, марлю, спирт и другие воспламеняющиеся вещества и предметы; убирать случайно пролитые огнеопасные жидкости при зажженных горелках и включенных электронагревательных приборах; зажигать огонь и включать электроосвещение, электрооборудование (приборы, аппараты), если в лаборатории пахнет газом. Предварительно необходимо определить и ликвидировать утечку газа и проветрить помещение. Место утечки газа определяется с помощью мыльной воды; наливать в горящую спиртовку горючее, пользоваться спиртовкой, не имеющей металлической трубки и шайбы для сжатия фитиля; проводить работы, связанные с перегонкой, экстрагированием, растиранием вредных веществ и т.д. при неработающей или неисправной вентиляции; при работе в вытяжном шкафу держать голову под тягой, пробовать на вкус и вдыхать неизвестные вещества, наклонять голову над сосудом, в котором кипит какая-либо жидкость; хранить на рабочих столах и стеллажах запасы токсических, огне- и взрывоопасных веществ, хранить и применять реактивы без этикеток, а также какие - либо вещества неизвестного происхождения; курить, а также хранить и принимать пищу, пользоваться косметикой в рабочих помещениях; выполнять работы, не связанные с заданием и не предусмотренные методиками проведения исследований; загромождать проходы и коридоры, а также подходы к средствам пожаротушения.

4. Требования безопасности при аварийных ситуациях

4.1 При загрязнении кровью или другой биологической жидкостью спецодежды, ее следует немедленно снять, обработать участки загрязнения дезинфицирующим раствором, затем замочить в нем спецодежду. При загрязнении кровью и другими жидкостями перчаток их протирают тампоном, смоченным 6-% раствором перекиси водорода или 3-% раствором хлорамина.

.2 В случае загрязнения кожных покровов кровью или другими биологическими жидкостями их следует в течение двух минут обработать тампоном, обильно смоченным 70-% спиртом, вымыть под проточной водой с мылом и вытереть индивидуальным тампоном. При попадании крови на слизистые оболочки их немедленно обрабатывают струей воды, затем 1-% раствором борной кислоты или вводят несколько капель нитрата серебра. Нос обрабатывают 1-% раствором протаргола, рот и горло прополаскивают 70-% спиртом либо 1-% раствором борной кислоты, либо 0,05-% раствором перманганата калия.

.3 При разбрызгивании зараженного биоматериала помещение, где произошла авария, тщательно дезинфицируют. Объем работ по дезинфекции определяет руководитель лаборатории.

.4 Если авария произошла на центрифуге, то дезинфекционные мероприятия назначают не ранее, чем через 30-40 минут, то есть после осаждения аэрозоля.

.5 При ранении любой стадии, отравлениях, ожогах и других несчастных случаях, пострадавшему на месте оказывают первую помощь, при необходимости направляют в лечебное учреждение.

.6 При малейших признаках утечки газа и неисправных горелках следует прекратить работу до ликвидации утечки газа и замены горелок, открыть окна или форточки.

.7 В случае пролива кислот, щелочей, других агрессивных реагентов персонал лаборатории должен принять необходимые меры для ликвидации последствий: открыть окна, проветрить помещение.

.8 Если пролита щелочь, то ее надо засыпать песком или опилками, затем удалить песок (опилки) и залить это место сильно разбавленной соляной или уксусной кислотой. После этого удалить кислоту тряпкой, вымыть место пролива щелочи водой и вытереть насухо. Ветошь, использованная для этого, утилизируется.

.9 Если пролита кислота, то ее надо засыпать песком (опилками засыпать нельзя!), затем удалить пропитанный песок лопаткой, засыпать содой, соду удалить и промыть это место большим количеством воды и вытереть насухо Ветошь, использованная для этого, утилизируется.

.10 В случае возникновения необходимо пожара вызвать пожарную команду, организовать ее встречу, сообщить о пожаре руководителю лаборатории (организации), приступить к эвакуации людей. До приезда пожарной команды принять меры по тушению пожара подручными средствами в соответствии с инструкцией по пожарной безопасности.

.11 При прочих аварийных ситуациях (аварии систем водопровода, канализации, отопления), препятствующих выполнению исследований, прекратить работу и сообщить об этом руководителю лаборатории (организации).

.12 Все случаи аварий, микротравм и травм, а также принятые в связи с этим меры подлежат регистрации в специальном журнале.

5. Требования безопасности по окончании работы

5.1 По окончании работы с инфекционным материалом используемые предметные стекла, пипетки, шпатели погружают на одни сутки в банки с дезинфицирующим раствором, затем моют и стерилизуют в соответствии с установленным регламентом.

.2 Посуду с использованными питательными средами, калом, мочой и другими материалами, взятыми от инфекционных больных, собирают в баки и обеззараживают паровой стерилизацией.

.3 Поверхность рабочих столов (мебели) должна подвергаться дезинфекции конце каждого рабочего дня, а при загрязнении в течении дня немедленно двукратно с интервалом 15 минут обрабатывается ветошью с дезинфицирующим раствором.

.4 Руки обмывают дезинфицирующим раствором, а затем моют в теплой воде с мылом, как после окончания работы, так и при перерыве в работе, при выходе из помещения.

.5 При уборке помещения в конце рабочего дня полы моют с применением дезинфицирующего раствора. Стены, двери, полки, подоконники, окна, шкафы протирают дезинфицирующим раствором. Дезинфекционные работы персонал должен проводить в резиновых перчатках.

.6 По завершении всех работ персонал лаборатории должен отключить приборы и аппараты, которые были использованы в процессе работы, снять халат, колпак, спецобувь и убрать их в специальный шкаф, вымыть тщательно руки и, при необходимости, прополоскать рот и вычистить зубы.

.7 В случае выявления в процессе работы недостатков эксплуатации или неисправности аппаратов, приборов и оборудования, работники должны известить об этом заведующего лабораторией

11. ПРИМЕНЕНИЕ ДАТЧИКОВ В БЫТУ

.1 Применение термопары

Применение термопар может иметь место при измерении относительно высоких температур (порядка 1000°С), например, в топках газовых сушильных камер или котельных установок. В сушильных камерах, где температура редко престает 100°С, эта схема измерения будет неточной. Поэтому обычно применение термопары выполняется с устройством отдельно выведенного холодного спая. Если поместить этот спай в среду с температурой, равной нулю градусов, то помеха от возникновения побочной термоэлектродвижущей силы будет устранена.

Обычно холодный спай помещают в среду с постоянной сравнительно низкой температурой, например, зарывают в землю на большую глубину. Тогда величина поправки будет постоянной и легко может быть учтена при настройке прибора. Термопары позволяют осуществлять групповое измерение температур в нескольких точках с помощью одного измерительного прибора, который подсоединяется к гальванометру (в данном случае через многоточечный переключатель).

Действие электрических термометров сопротивления основано на свойстве проводника изменять свое омическое сопротивление при изменении температуры. Термометр сопротивления включен в одно из плеч измерительного прибора - логометра. Вся сеть питается от источника постоянного тока. Для регулировки сопротивления служат уравнительные катушки. Изменение температуры датчика ведет к нарушению равновесия мостовой схемы и вызывает отклонение стрелки логометра.

Влажность древесины в процессе и в конце сушки можно определять дистанционно по разности температуры воздуха на входе и выходе из штабеля. Метод этот основан на изменении разности температур воздуха на входе и выходе из штабеля, уменьшающейся с уменьшением влажности древесины. Применение этого метода возможно при наличии в камере организованной скоростной циркуляции агента сушки через штабель (более 1 м/сек), при этом надо учитывать породу древесины, толщину материала и режим сушки. Время окончания сушки можно определять дистанционно по величине усушки, т. е. по уменьшению высоты штабеля. Метод основан «а зависимости между влажностью древесины и ее усушкой

.2 Применение жидкостного термометра

Медицинские термометры применяются во врачебной деятельности. Различают моментальные термометры, цифровые и ртутные термометры. Моментальные термометры используют для определения температуры у больных, которые находятся в коме, без сознания, в спящем состоянии. Определение температуры происходит в течение 2 секунд. Цифровые термометры обладают памятью, они безопасны, так как не имеют ни ртути, ни стекла.

Наиболее распространенными в медицине и в быту является ртутные максимальные термометры. После измерения температуры показания остаются на одном уровне, так в капилляре у основания имеется узкое горлышко, препятствующее возвращению ртути назад в резервуар. Для того чтобы ртуть вернуть в начальное положение следует приложить усилие. Преимуществом ртутных термометров является наиболее точное показание термометра, приближенное к показаниям газового термометра, который считается эталоном.

Технические термометры выдают температурные результаты на основе изменения давления у жидкостных термометров, термоэлектродвижущей силы у термопар, а также на основе электрического сопротивления металла. Все они широко используются в технических масштабах, а так же при работе с техникой. Предназначены они для температурного контроля в трубопроводах, сосудах и в других технических установках. В основном они заполнены органической жидкостью или ртутью. Диапазон их измерения составляет от -35 до 600 градусов. Все технические термометры заключены в защитную оправу, предохраняющую их от неблагоприятных воздействий среды.

Бытовые термометры, как правило, не содержат ртути. Исключение составляет максимальный ртутный медицинский термометр. Капилляры бытовых термометров наполнены органической жидкостью: метанолом - для комнатных термометров, керосином - для банных термометров, толуолом - для водных термометров и др. Жидкость обязательно подкрашивается и содержится она в небольших количествах и даже если градусник разобьется, то вреда не принесет.

Водные термометры используют для измерения температуры воды. Капилляр заполнен в основном метилкарбитолом, диапазон измерения температур от 0 до 50-70 градусов. Оконные термометры измеряют температуру в пределах -50 до +50 градусов. Для измерения температур выходящей воды используют метилкарбитоловые термометры с диапазоном измерения от 0 до 60 градусов. Диапазон измерения у термометров внутри холодильника от -30 до +30 градусов.

Для лучшего определения комфорта рекомендуют использовать термометры в совокупности с гигрометром - прибором для измерения влажности. Диапазон измерения влажности у гигрометров от 20 до 90%.

11.3 Применение капиллярного термостата

Капиллярные термостаты обычно используют для поддержания заданной температуры в системах отопления, газовых печах, бойлерах, системах защиты от перегрева. По способу исполнения различают термостаты, настроенные на заданную температуру и регулируемые термостаты. Термостат состоит из колбы, наполненной газом или жидкостью, соединенной с управляющим элементом при помощи тонкой трубки - капилляра. Конец трубки помещен в корпус термостата и соединен с диафрагмой. При нагреве газ (жидкость) расширяется и давит на диафрагму, которая приводит в действие исполнительный механизм - электрические контакты или клапан, регулирующий поток теплоносителя.

Накопительные электрические водонагреватели

Водонагреватели и кипятильники для коммерческих применений

Мгновенные электрические водонагреватели

Солнечные водонагреватели

Капиллярные термостаты работают по принципу расширения жидкости в датчике температуры, которое действует на выключатель и открывает электрическую цепь в головке термостата.

Капиллярные термостаты широко используются для контроля температуры жидкостей и воздуха, благодаря их точности и гибкости при установке. Учитывая их принцип действия, капиллярные термостаты также используются в качестве предохранителя при контроле вышедших из нормы температур, обеспечивая постоянное открытие электрическую цепь.

12. СМЕТА РАСХОДОВ НА ИЗГОТОВЛЕНИЕ ЛАБОРАТОРНОЙ УСТАНОВКИ

Затраты на основные и вспомогательные материалы, используемые при работе приведенные в таблице 6:

Таблица 6

Смета расходов

№ п/п

Наименование материала

Единицы измерения

Стоимость единицы материала, тен.

Количество

Общая стоимость материала тен.

Основные материалы

11

Термопара (с мультиметром)

шт

5000

1

5000

22

Капиллярный термостат

шт

1500

2

3000

33

Жидкостный термометр

шт

700

1

700

44

Аккумуляторная батарея

шт

500

2

1000

55

Гирлянда (сигнальный датчик на капиллярный термостат)

шт

200

1

200

66

Автоматический модульный выключатель

щт

650

1

650

77

Розетка

шт

200

1

200

88

Провод

м

90

1

90

Итого за основные материалы:

16690

Вспомогательные материалы (10% от основных):

1669

Итого за основные и вспомогательные материалы:

18359

Транспортно-заготовительные расходы (20% от суммы расходов на основные и вспомогательные материалы):

3671,8

Итого затраты на основные и вспомогательные материалы с учетом транспортных расходов:

22030,8



ЗАКЛЮЧЕНИЕ

В данном дипломном проекте было выполнена поставленная задача. Был проведен опыт по эффективности датчиков и регуляторов температуру, измерена погрешность и составлен график, который показывает эффективность каждого датчика.

Производился выбор автомата выключения установки. Для данного лабораторного стенда был выбран автомат ВА 47-63, который подходит для нашей лабораторной установки.

Выполнено мероприятие по охране окружающей среды. В нашем случае это охрана труда лабораторной установки.

Так же произвели расчет по экономической части, которая выявила, какое количество средств нужно вложить для измеряемой установки.

Продемонстрировали средства электрозащиты, которые имеют немало важную часть при использовании лабораторной установки.

СПИСОК ИСПОЛЬЗОВАННЫХ ИСТОЧНИКОВ

1. В.В. Солодовников, «Основы теории и элементы систем автоматического регулирования». Учебное пособие для вузов. - Машиностроение, 1985.

2. А.С. Гордиенко, А.Б. Сидельник, А.А Цибульник, «Микропроцессорные контроллеры для систем вентиляции и кондиционирования», 2007.

3. С.В. Белов «Охрана окружающей среды». Учебник для техникумов и спец. вузов. - Высшая школа, 1991.

. Измерительные преобразователи. Е.С. Полищук. - Киев: Высшая школа. Головное изд-во, 1981.

. И. Зеленка. Пьезоэлектрические резонаторы на объемных поверхностных акустических волнах - М.: Мир, 1990.

. Датчики. Справочник. Под ред. З.Ю. Готры и О.И. Чайковского. - Львов: Каменщик 1995.

. Малов В.В. Пьезорезонансные датчики. - Москва: Энергоатомиздат - Дания, 1989.

. Г.С. Остапенко. Усилительные устройства: Учеб. пособие для вузов. - М.: Радио и связь, 1989.

. Ткаченко В.В. Методические указания к выполнению, оформлению и защите дипломных проектов (работ) по специальности 5В071800 (050718) - Электроэнергетика.- Костанай: КГУ им. А. Байтурсынова, 2010.

Похожие работы на - Исследование датчиков и регуляторов температуры

 

Не нашли материал для своей работы?
Поможем написать уникальную работу
Без плагиата!
Без нейросетей!