Расчет эксплуатационных режимов работы силовых трансформаторов
Содержание
Введение
1. Определение номинальных токов
трансформатора
2. Определение зависимости
изменения вторичного напряжения трансформатора
3. Расчет внешних
характеристик трансформаторов
. Расчет зависимости КПД
трансформатора от величин нагрузки
. Определение допустимой
нагрузки на трансформаторы при параллельной работе с разными коэффициентами
трансформации
. Определение допустимой
нагрузки на трансформаторы при параллельной работе с разными напряжениями
короткого замыкания
. Экономические режимы работы
трансформатора
Вывод
Введение
Силовые трансформаторы в с/х предназначены для
трансформации напряжения с высокого на более низкое. Главными задачами
эксплуатации является надежное и экономичное электроснабжения потребителей. С
этой целью для повышения надежности электроснабжения потребителей и получения
определенного народнохозяйственного экономического эффекта электростанции
объединяются на параллельную работу в районные энергосистемы, которые в свою
очередь при развитии объединяются в объединенные энергосистемы. Объединение
электростанций в энергосистемы дает ряд преимуществ:
повышается надежность электроснабжения
потребителей;
уменьшается требуемый резерв в энергосистеме;
улучшается условия загрузки агрегатов благодаря
выравниванию графика нагрузки и снижению максимума нагрузки энергосистемы;
появляется возможность более полного
использования генерирующих мощностей электростанций;
улучшаются технико-экономические показатели
энергетики из-за возможности использования более мощных и экономичных агрегатов;
улучшаются условия эксплуатации энергохозяйства;
1. Определение номинальных токов трансформатора
Номинальные токи первичной и вторичной обмоток
трансформатора определяются по формуле;
Где Sном - номинальная мощность
трансформатора , кВА;ном - номинальное линейное напряжение
трансформатора, кВ;
=57,73А
Определение фазных напряжений трансформатора;
2. Определение зависимости изменения вторичного
напряжения трансформатора
Зависимость изменения вторичного напряжения
трансформатора от характера нагрузки, определяем расчетным путем согласно
выражению;

) (2.1)
где - изменение вторичного напряжения тр-ра;
β = I2/Iн
- коэффициент нагрузки трансформатора;ka % - активная составляющая
напряжения короткого замыкания;кр % - реактивная составляющая
напряжения короткого замыкания.
Активная составляющая напряжения короткого
замыкания;
Где Uном.ф номинальное фазное
напряжение тр-ра, кВ;
Реактивная составляющая напряжения короткого
замыкания;
Определение полного, активного и реактивного
сопротивления короткого замыкания определяем по формуле;

, Ом (2.6)
Где Рк - потери мощности
короткого замыкания , Вт,ф1 - действующие значение фазного
напряжения к. з., В,к.з.% - напряжение к.з. в %,н1 -
номинальный первичный ток тр-ра, А.
Зависимость 
рассчитаем для номинальной нагрузки
при изменении 
в пределах от +90о до -
90о с обязательным изображением характерных точек .
Таблица 2.1 - Результаты расчетов в
зависимости 
|
φ2
|
град
|
90
|
60
|
45
|
30
|
0
|
-30
|
-45
|
-60
|
-90
|
|
∆u
|
%
|
5,41
|
4,79
|
4,07
|
3,12
|
0,78
|
-1,71
|
-2,83
|
-5,16
|
По результатам расчета строем
зависимость 
и выносим её на лист графической
части курсового проекта.
Вывод: по результатам анализа
полученных данных установлено;
1. При активной нагрузке ∆u будет
равняться 0,78%
. При индуктивной нагрузке падение
напряжения увеличивается от 0,78% до 5,47%.
. При емкостной нагрузке падение
напряжения уменьшается от 0,78% до -5,1%.
3. Расчет внешних характеристик трансформаторов
Внешняя характеристика
трансформатора - это зависимость вторичного напряжения от коэффициента нагрузки
трансформатора при постоянном напряжении, частоте и 
.
φ2 = 1 і cos
φ2 = 0,8 при φ2 > 0 і φ2 < 0
Определяем значение вторичного
напряжения в процентах при данных значениях 
., т.е. при активном, индуктивном и
емкостном нагрузке.
где ∆U% - изменения вторичного
напряжения трансформатора, которое определяется из выражения (2.1)

) (3.2)

) (3.3)

) (3.4)
Результаты расчета сводим в таблицу 3.1
По результатам расчета (таблицы 3.1) строим
внешнюю характеристику трансформатора и выносим ее на лист графической части.
Таблица 3.1 - Результаты расчетов внешней
характеристики трансформатора
|
β
|
 =1 =0,8; φ2>0 =0,8; φ2>0
|
|
|
|
∆u
|
U2
|
∆u
|
U2
|
∆u
|
U2
|
|
1,5
|
1,17
|
0,9883
|
5,823
|
0,94177
|
-3,951
|
1,03951
|
|
1,25
|
0,975
|
0,99025
|
4,8525
|
0,951475
|
-3,2925
|
1,032925
|
|
1
|
0,78
|
0,9922
|
3,882
|
0,96118
|
-2,634
|
1,02634
|
|
0,8
|
0,624
|
0,99376
|
3,1056
|
0,968944
|
-2,1072
|
1,021072
|
|
0,5
|
0,39
|
0,9961
|
1,941
|
0,98059
|
-1,317
|
1,01317
|
|
0,3
|
0,234
|
0,99766
|
1,1646
|
0,988354
|
-0,7902
|
1,007902
|
0,0234
|
0,999766
|
0,11646
|
0,998835
|
-0,07902
|
1,00079
|
|
0
|
0
|
1
|
0
|
1
|
0
|
1
|
Вывод:
1. При 
=1, то есть при активном нагруженные
вторичное напряжение изменяется от 0,999 до 0,988 т.е. на 1,1%.
. При 
=0,8, т.е. при индуктивной нагрузке
вторичное напряжение изменяется от 0,999 до 0,942, т.е. на 5,7%.
. При 
=0,8 при φ2<0 т.е.
при емкостном нагруженные вторичное напряжение возрастает от 1,000 до 1,038
т.е. на 3,8%.
. Расчет зависимости к.п.д. трансформатора от
величин нагрузки
.1 Зависимость к.п.д. трансформатора от
коэффициента нагрузки определяют по формуле;
где Р0 - потери холостого хода трансформатора,
Вт; Ркн - потери короткого замыкания трансформатора при номинальной
нагрузке, Вт; Sн - номинальная мощность трансформатора, кВт.
Расчет к.п.д. надо ввести для
значений 
и 
при чередовании степени нагрузки в
пределах от 0 до 1,5.
Определяем, при каком значении 
к.п.д. будет максимальным.

(4.2)
То есть к.п.д. принимает наибольшее
значение при такой нагрузке, при котором потери короткого замыкания равны
потерям холостого хода, или, как принято говорить, переменные потери равны
постоянным.
Результаты расчета сводим в таблицу
4.1 и за ней строим характеристику η = f (β) и выносим
ее на лист графической части.
Таблица 4.1 - Результаты расчетов
зависимости η = f (β)
|
β
|
к.к.д.
|
|
cos
φ2
= 0,8
|
cos
φ2
=1
|
|
1,5
|
0,951908775
|
0,961153384
|
|
1,25
|
0,95837077
|
0,966417009
|
|
1
|
0,964581763
|
0,971463267
|
|
0,8
|
0,969146318
|
0,975163797
|
|
0,7
|
0,971168437
|
0,976800977
|
|
0,5
|
0,97412481
|
0,979192166
|
|
0,3
|
0,973137354
|
0,978393804
|
|
0,03
|
0,845144819
|
0,872156407
|
|
0
|
0
|
0
|
По результатам расчета строим зависимость η
= f (β),
и выносим ее на лист графической части.
Вывод:
.Трансформатор будет работать с максимальным
К.П.Д при коэффициенте нагрузки β
= 0,5.
2. Значение К.П.Д. будет наибольшим
при активном нагруженные 
. При 
К.П.Д . изменяется на 2,1% при
изменении β от 0,03 до
1,5.
При 
К.П.Д . изменяется на 8,8% при
изменении β от
0,03-1,5.
5. Определение допустимой нагрузки на
трансформаторы при параллельной работе с разными коэффициентами трансформации
Определяем коэффициент трансформации при заданных
вторичных напряжениях.

Определяем номинальный ток трансформаторов при
заданном вторичном напряжении.

Определяем разницу коэффициентов трансформации

Определяем суммарный ток нагрузки сети при
заданном режиме работы.

Определяем уравнительный ток, протекающий в
обмотках параллельно включенных трансформаторов при отключенной нагрузке.
Определяем угол 
между векторами U2 і Іур
Определяем токи загрузки трансформаторов без
учета уравнительного тока.
Определяем токи загрузки трансформаторов с
учетом уравнительного тока.
Условие 
, 

Аналогично рассчитываем при
индуктивном режиме нагрузки:
Условие 
, 
;
Определяем перегрузку
трансформаторов 
Аналогично определяем при 
;
Выводы:
Если включены на параллельную работу
два трансформатора с разными коэффициентами трансформации, которые превышают
ГОСТ нормы, то при активной нагрузке трансформатор с большим коэффициентом
трансформации будет перегружен на 
, а трансформатор с меньшим
коэффициентом трансформации - недогружен на 
, а при 
первый будет перегружен на 
, а второй недогружен на 
.
6. Определение допустимой нагрузки на
трансформаторы при параллельной работе с разными напряжениями короткого
замыкания
Определяем вторичные токи трансформаторов;
Определяем общий номинальный ток, на который
можно загрузить 2 трансформатора;

(6.2)

Определяем вторичные токи
трансформаторов при их параллельной работе с различными ик;.
Расчет отклонений токов от
номинальных:
Вывод:
Трансформатор с большим напряжением
к.з. будет недогружен на 4,7%, а второй, с меньшим напряжением к.з. перегружен
на -4,7%.
7. Экономические режимы работы
трансформаторов
Входные данные:
|
SН,кВА
|
Uн1,кВ
|
Uн2,кВ
|
P0хх,кВт
|
Pк,кВт
|
Uк%
|
I0,%
|
10
|
0,4
|
0,175
|
1,000
|
5,5
|
3,0
|
|
100
|
10
|
0,4
|
0,310
|
1,240
|
5,5
|
7,5
|
Определяем наведенные активные
потери для первого и второго трансформатора при их параллельной работе.
где P0 - активные потери холостого
хода трансформатора, кВт;
∆Q0 - реактивные потери, кВар.
Pк.з. - наведенные
потери мощности к.з. трансформатора, кВт.
∆Qк.з. - реактивные потери к.з.
трансформатора, кВАР;
ke - экономический
эквивалент реактивной мощности (0,12) , кВт/кВАР;ном - номинальная
мощность трансформатора, кВА;- нагрузка трансформатора, кВА;
Расчет наведеннях потерь
первого трансформатора.
Определяем активные потери
мощности на холостом ходу.

Где 
ток х.х
Определяем реактивные потери к.з.

Аналогично рассчитываем для второго
трансформатора.
Расчет наведенных потерь при
параллельной работе;

(7.4)

По данным определенных уравнений
определяем приведенные затраты для различных значений мощности. Результаты
заносим в таблицу 7.1 и строим кривые приведенных затрат, которые выносим на
лист графической части.
Таблица 7.1 Расчетные данные.
|
Si
кВА
|
Рт1
кВт
|
Рт2
кВт
|
Р
|
|
0
|
0,319
|
1,21
|
1,529
|
|
10
|
0,398
|
1,229
|
1,543
|
|
20
|
0,635
|
1,286
|
1,585
|
|
30
|
1,03
|
1,381
|
1,655
|
|
40
|
1,583
|
1,514
|
1,753
|
|
50
|
2,294
|
1,685
|
1,879
|
|
60
|
3,163
|
1,894
|
2,033
|
4,19
|
2,141
|
2,215
|
|
80
|
5,375
|
2,426
|
2,425
|
|
90
|
6,718
|
2,749
|
2,663
|
|
100
|
8,219
|
3,11
|
2,929
|
Находим точки пересечения
кривых, при которых потери мощности будут равны для первого и второго
трансформатора. Также первого и суммарным потерям при параллельной работе.

Целесообразно использование первого
трансформатора будет в точке Х1, на участе между точками Х1
и Х2 лучше использовать второй трансформатор, а после точки Х2
- параллельную работу трансформаторов.
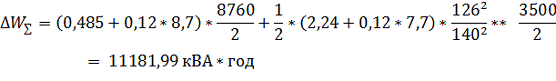
Определяем потери во время
максимальной загрузки. Максимум составляет 90% от номинальной нагрузки.

Определяем потери энергии в
год.
В одном трансформаторе;
где t - время работы
трансформатора, час. t =8760час;
τ
- время максимальных потер, час. τ
=3500час.
При параллельной работе
трансформаторов;
Выводы:
1 . При нагрузке от х.х до точки Х1
наименьшие потери будут при работе первого трансформатора с меньшей мощностью;
. При нагрузке от Х1 до Х2
наиболее экономичным будет режим при работе второго трансформатора с большей
мощностью;
. При нагрузке от точки Х2 наиболее
экономичным будет режим работы при параллельном включены трансформаторов;
. При обеспечении максимальной нагрузки
наименьшие потери активной и реактивной мощности будут при параллельной работе;
. При параллельной работе годовые потери
составят 11181,99кВА*год
напряжение трансформатор нагрузка
Вывод
В курсовой работе определены номинальные токи и
напряжения первичной и вторичной обмоток трансформаторов.
Рассчитана зависимость изменения вторичного
напряжения трансформатора от характера нагрузки и определено, что при активном
нагрузки изменения напряжения равна 0,78 %.
При расчетах внешней характеристики
установлено, что характеристика представляет собой прямую линию, которая при
активном и индуктивной нагрузке имеет слабо падающий характер, а при емкостном
нагрузке увеличивается. Трансформатор достигает наибольшего КПД в работе при
погрузке серийный 0,5 от номинального и в условиях работы с различными
коэффициентами трансформации к2 > к1 первый трансформатор будет работать в
номинальном режиме, а второй недогруженный. При параллельной работе
трансформаторов второй трансформатор, который имеет большее напряжение КЗ на
десять процентов по отношению к первому, будет недогруженный на 4,7%.
Наименьшие потери мощности будут составлять при параллельной работе. Полные
потери энергии за год составляют
11181,99кВА*год .