Проектирование распределительной электрической сети Дальнего Востока
Министерство
образования и науки Российской Федерации
Федеральное
государственное бюджетное образовательное учреждение высшего профессионального
образования
Амурский
Государственный Университет (ФГБОУ ВПО «АмГУ»)
Факультет
Энергетический
Кафедра
Энергетики
Направление
подготовки 140400.62 - Электроэнергетика и электротехника
Профиль ‒
Электрические станции
КУРСОВОЙ
ПРОЕКТ
на тему:
Проектирование распределительной электрической сети Дальнего Востока
по
дисциплине «Электроэнергетические системы и сети»
Исполнитель
студент группы 142об1
Е.А. Шевченко
Благовещенск
2014
Реферат
Электрическая сеть, номинальное напряжение,
компенсирующие устройства, силовые трансформаторы, длительно допустимый ток,
провода, эффективная мощность.
Цель работы - по заданным исходным величинам
разработать восемь возможных вариантов электрической сети для электроснабжения
потребителей А - Ж, рассчитать рациональное напряжение и на основе этого
расчета принять номинальное напряжение в рассматриваемой сети, провести компенсацию
реактивной мощности, выбрать силовые трансформаторы на подстанциях
проектируемой сети и способы регулирования напряжения. Для передачи
электрической энергии выбранного номинального напряжения необходимо произвести
выбор проводов, выдерживающих прохождение по ним длительно-допустимых токов.
Основу методологии расчетов составляет метод
расчета режима по данным начала.
На основе имеющихся расчетных значений
электрических величин и параметров был произведен выбор двух конкурентно
способных вариантов и для произведен их экономический расчет, а также расчет
максимального, минимального и послеаварийного режимов с использованием
программы RastrWin
3 для одного из них.
Содержание
Введение
. Климатическая и географическая
характеристика района
.1 Анализ источников питания
.2 Основные климатические и
географические характеристики
. Разработка конкурентноспосодных
вариантов электрической сети
.1 Разработка 8 вариантов
конфигурации электрической сети
.2 Выбор 4 вариантов конфигурации
сети
.3 Выбор типов схем РУ подстанций
.4 Выбор двух конкурентоспособных
вариантов
конфигурации электрической сети
.5 Расчет упрощенного
потокораспределения активной мощности и выбор номинального напряжения
.6 Компенсация реактивной мощности
(КРМ)
.7 Выбор числа и мощности силовых
трансформаторов
.8 Выбор сечений проводников
.9 Конструктивное исполнение
электрической сети
. Выбор оптимального варианта
электрической сети
.1 Расчёт капиталовложений
.2 Расчёт эксплуатационных издержек
.3 Определение среднегодовых
эксплуатационных затрат
. Расчет и анализ установившихся
режимов
.1 Расчет максимального режима
.1.1 Расчет максимального режима
ручным способом
.1.2 Расчет максимального режима в
ПВК RastrWin 3
.1.3 Расчет послеаварийного режима в
ПВК RastrWin 3
. Регулирование напряжения в сети
.1 Регулирование напряжения в
максимальном режиме
. Технико-экономические показатели
проекта
Заключение
Библиографический список
Определения, обозначения, сокращения
БК - батареи
конденсаторов;
ВЛ - воздушная
линия;
ГОСТ - государственный стандарт;
ГЭС - гидравлическая электростанция;
ИП - источник питания;
КУ - компенсирующие устройства;
ЛЭП - линия электропередач;
ОРУ - открытое распределительное устройство;
ПС - подстанция;
РУ- распределительное устройство;
РУВН - распределительное устройство высшего
напряжения;
РУСН - распределительное устройство среднего
напряжения;
ТЭС - тепловая электростанция.
Введение
Электроэнергетика - это комплексная отрасль
хозяйства, которая включает в свой состав отрасль по производству
электроэнергии и передачу ее до потребителя.
Электроэнергетика является важнейшей базовой
отраслью промышленности России. От уровня ее развития зависит все народное
хозяйство страны, а также уровень развития научно-технического прогресса в
стране. Надежное и эффективное функционирование электроэнергетики,
бесперебойное снабжение потребителей - основа поступательного развития
экономики страны и неотъемлемый фактор обеспечения цивилизованных условий жизни
всех ее граждан. Электроэнергетика является элементом ТЭК. ТЭК России является
мощной экономико-производственной системой. Он определяющим образом влияет на
состояние и перспективы развития национальной экономики, обеспечивая 1/5
производства валового внутреннего продукта, 1/3 объема промышленного
производства и доходов консолидированного бюджета России, примерно половину
доходов федерального бюджета, экспорта и валютных поступлений.
В настоящее время электроэнергетика переживает
состояние острого кризиса. Существуют крупные препятствия и нерешенные
проблемы, не позволяющие форсировать процесс российских реформ. Это, прежде
всего - затянувшийся системный кризис экономики страны, вызвавший серьезные
перебои в системе денежного обращения и финансировании отрасли.
Одним из принципов размещения электроэнергетики
на современном этапе развития рыночного хозяйства является строительство
преимущественно небольших по мощности тепловых электростанций, внедрение новых
видов топлива, развитие сети дальних высоковольтных электропередач.
Электрическая сеть является основным компонентом
электроэнергетики. Сеть электроснабжения характерна тем, что связывает
территориально удалённые пункты источников и потребителей. Это осуществляется
при помощи линии электропередачи - специальных инженерных сооружений, состоящих
из проводников электрического тока, сооружений для размещения и прокладки
(опоры, эстакады, каналы), средств изоляции (подвесные и опорные изоляторы) и
защиты (грозозащитные тросы, разрядники, заземление).
Целью проектирования электрических сетей
является обеспечение эффективной и надежной схемы энергоснабжения потребителей.
Основные задачи проектирования электрических
сетей:
1. расчет и прогнозирование электрических
нагрузок на основе теории вероятности;
. составление балансов активных и реактивных
мощностей;
3. разработка конкурентноспособных
вариантов развития или реконструкции электрической сети;
. проектирование линии электропередачи;
. расчет и анализ установившихся режимов;
. организация релейной защиты, автоматики,
телемеханики и связи;
7. оптимизация параметров режима;
Проектирование осуществляется по известному
взаимному географическому расположению источников питания и пунктов приема
электроэнергии, климатических и географических особенностей района
проектирования, продолжительности использования наибольшей нагрузки. В проекте
применим такие методы, как:
расчёт и прогнозирование электрических нагрузок;
технический анализ вариантов конфигураций
электрической сети.
Данный проект предусматривает проектирование
электроэнергетической сети на примере Приморского края, энергетическая отрасль
которого имеет большие перспективы дальнейшего развития.
Для облегчения расчета в проекте будут
использованы промышленные программы: «Расчёт нагрузок» и «Mathcad
14».
1. Характеристика района проектирования
электрической сети
.1 Анализ источников питания
В качестве источников питания проектируемой
распределительной сети центра Приморского края выбраны подстанция «Уссурийск-2»
и ВТЭЦ-2.
Подстанция «Уссурийск-2» мощностью 688 МВА
находится в эксплуатации около 40 лет и участвует в транзите электроэнергии от
Приморской ГРЭС на юг Приморского края. От стабильной работы подстанции зависит
надежность электроснабжения таких крупных потребителей региона, как Уссурийский
локомотиворемонтный завод, ОАО «Спасскцемент», объекты Дальневосточной
железнодорожной магистрали и других.
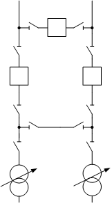
Схема подстанции «Уссурийск-2» показана на
рисунке 1. На территории ПС «Уссурийск-2» находится четыре распределительных
устройства на 6, 35, 110, 220 кВ. РУ 110 кВ выполнено по схеме две
секционированные системы шин с обходной. В РУ имеются 1 обходной, 13 рабочих, 1
секционный, 8 линейных и 5 трансформаторных выключателей.
К достоинствам данной схемы можно отнести
взаимозаменяемость выключателей, то есть при отказе одного из них его может
продублировать обходной выключатель, возможность быстрого восстановления
питания путем переключения на неповрежденную систему шин, высокая
ремонтопригодность. К недостаткам данной схемы можно отнести тот факт, что
из-за большого количества присоединений возникают аварийные ситуации, связанные
с неправильными действиями при оперативных переключениях.
РУ 220 кВ выполнено по схеме две рабочие и
обходная системы шин. В РУ присутствуют 5 рабочих, 1 секционный, 3 линейных, 2
трансформаторных выключателя. РУ 35 и 6 кВ выполнены по схеме одна
секционированная система шин.
Главным достоинством схемы является то, что при
отказе одного из выключателей все присоединения остаются в работе. Следующим
плюсом данной схемы является её высокая надежность, так как даже при
повреждении на шинах все цепи остаются в работе. Операции с разъединителями
значительно меньше, чем в схемах с рабочими системами шин.
К большому недостатку можно отнести отключение
короткого замыкания двумя выключателями, что увеличивает число действий с
выключателями. Так же к минусам можно отнести усложнение цепей релейной защиты
и увеличение количества выключателей в цепи, что ведет к удорожанию стоимости
распределительного устройства.
ВТЭЦ-2 обеспечивает электроэнергией и теплом
более 60 процентов всех потребителей во Владивостоке. Численность коллектива
станции составляет почти 900 человек десятков разных профессий. В декабре 2010
года ВТЭЦ-2, как и другие станции ОАО «Дальэнерго»: Артёмовская ТЭЦ и
Партизанская ГРЭС, - вошла в новый филиал энергокомпании Примгенерация.
Распределительные устройства ВТЭЦ-2 110, 220 кВ выполнены по схеме - две
рабочие и обходная системы шин. Главная схема подстанции показана на рисунке 2.
В РУ 110 кВ имеются 1 обходной, 11 рабочих, 1 секционный, 5 линейных и 6
трансформаторных выключателей. На подстанции установлено 2 трехобмоточных
трансформатора и 3 двухобмоточных транформатора. В РУ 220 кВ присутствуют 4
рабочих, 1 обходной, 1 линейных, 3 трансформаторных выключателя. На подстанции
установлено 2 двухобмоточных трансформатора.
1.2 Основные климатические и географические
характеристики необходимые для проектирования электрической сети
Приморский край занимает юго-восточную окраину
России. Он расположен в самой южной части Дальнего Востока на берегу Японского
моря.
В рельефе Приморского края четко выделяются две
горные системы (Восточно-Маньчжурская и Сихотэ-Алинь), а также Приханкайская
равнина. Сихотэ-Алинь, включающая в себя многочисленные горные ряды и
обособленные возвышенности, составляет около 70 % всей Приморской территории.
Средняя высота этой системы над уровнем моря около 500-100м.
Почвы в районе расположения буротаежные,
болотистые. Глубина промерзания 1,85 м. Первый слой почвы занимают суглинки
маловлажные (1,5 м), второй слой - пески (до 7 м).
Средняя температура зимой составляет -20 0С,
летом + 17,7 0С.
Минимальная температура в январе месяце
составляет -45 0С, максимальная температура в июле месяце составляет
+28 0С.
В пределах береговой зоны скорости ветра зимой
значительны. Так, средние скорости ветра составляют всюду более 5 м/сек,
достигая местами на открытых участках 10 м/сек. Скоростной наибольший
нормативный напор ветра равен 650 Па. Район по ветру - IV. Преобладающее
направление ветров - северо-западное.
Район по гололеду - IV. Температура при
образовании гололеда -10°С.
Среднегодовая продолжительность гроз на
выбранной территории составляет от 10 до 20 часов.
2. Разработка конкурентноспособных вариантов
электрической сети
.1 Разработка 8 вариантов конфигурации
электрической сети
По точкам взаимного расположения подстанций и
источников питания разрабатываются различные варианты конфигурации
электрической сети с учетом следующих принципов:
) В разомкнутых сетях необходимо
исключить обратные перетоки мощности;
) В замкнутых сетях должен быть один
класс номинального напряжения;
) Разветвление электрической сети
целесообразно делать на подстанциях;
) Необходимо учесть, что кольцевые сети
более надежны и удобны в обслуживании, но имеют повышенный уровень потерь.
Разомкнутые сети более просты в исполнении имеют меньший уровень потерь, но
менее надежны;
) При разработке вариантов необходимо
использовать более простые схемы распределительных устройств подстанций;
) Каждый вариант сети обязан
соответствовать требованиям по надежности электроснабжения своих потребителей;
Каждый вариант должен вычерчиваться в масштабе с
указанием числа цепей и длин линий под ними.
.2 Выбор 4 вариантов конфигурации сети для
дальнейшего анализа
Из всех составленных вариантов необходимо
выбрать 4 варианта конфигурации сети путем их сравнения. Для этого все варианты
сетей мы разбиваем попарно, руководствуясь схожестью их конфигурации и выбираем
тот вариант, который обладает большей надежностью и большей экономичностью:
наименьшей длиной линий или наименьшим числом выключателей в цепях линий и
распределительных устройств.
Ниже на рисунках приведены 4 выбранных варианта,
а также подробное описание к ним.
Рисунок 1 - Схемы 1 (слева) и 2 (справа).
Рисунок 2 - Схемы 3 (слева) и 4 (справа).
Схема 1 характеризуется наличием двух связей
между источниками питания: через подстанции В, Г и А, Д, Ж соответственно.
Подстанции Б и Е - тупиковые и питание к ним подводится по двухцепным ВЛ.
В схеме 2 связь между источниками питания
осуществляется через подстанции Е, Б и А, Д, Ж. Подстанции В и Г питаются по
двухцепной линии.
В схеме 3 реализована связь между источниками
питания через подстанции Е, Б, Г и Д, Ж. Подстанция Б запитана по двухцепной
ВЛ. Подстанция В питается по двухцепной линии.
Схема 4 характеризуется наличием двух тупиковых
подстанции А и Е, связь источников питания осуществляется через подстанции В, Г
и Д, Ж.
.3 Выбор типов схем РУ подстанций
При выборе схем РУ подстанций необходимо
учитывать число подходящих к подстанции линий, класс номинального напряжения и
требования по надежности электроснабжения потребителей. Так же следует
учитывать стоимость подстанции, что бы она была минимально возможная. Для этого
необходимо выбирать наиболее упрощенные схемы подстанции, с наименьшим
количеством выключателей.
Данным требованиям и вариантам сети данного
курсового проекта будут отвечать следующие схем РУ:
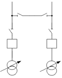
1) Два блока с выключателями с
неавтоматизированной ремонтной перемычкой со стороны линии. Применяется для
тупиковых или ответвительных двухтрансформаторных подстанций, питаемые по двум
линиям на напряжение 35-220 кВ.
Рисунок 3 - Схема: сдвоенный блок линия -
трансформатор
2)
Мостик с выключателями в цепях линий и ремонтной перемычкой со стороны линии.
Применяется для проходных подстанций на напряжение 35-220 кВ.
Рисунок 4 - Схема: мостик с выключателями в
цепях линий
Выбранные распределительные устройства для
проектируемой сети покажем в таблице 1.
Таблица 1 - Типы распределительных устройств.
|
ПС
|
Распределительные
устройства
|
|
Схема
№1
|
Схема
№2
|
Схема
№3
|
Схема
№4
|
|
А
|
Два
блока с выключателями с неавтоматизированной ремонтной перемычкой со стороны
линии.
|
Мостик
с выключателями в цепях линий и ремонтной перемычкой со стороны линии.
|
Мостик
с выключателями в цепях линий и ремонтной перемычкой со стороны линии.
|
Два
блока с выключателями с неавтоматизированной ремонтной перемычкой со стороны
линии.
|
|
Б
|
Два
блока с выключателями с неавтоматизированной ремонтной перемычкой со стороны
линии.
|
Мостик
с выключателями в цепях линий и ремонтной перемычкой со стороны линии.
|
Два
блока с выключателями с неавтоматизированной ремонтной перемычкой со стороны
линии.
|
Мостик
с выключателями в цепях линий и ремонтной перемычкой со стороны линии.
|
|
В
|
Мостик
с выключателями в цепях линий и ремонтной перемычкой со стороны линии.
|
Мостик
с выключателями в цепях линий и ремонтной перемычкой со стороны линии.
|
Мостик
с выключателями в цепях линий и ремонтной перемычкой со стороны линии.
|
Мостик
с выключателями в цепях линий и ремонтной перемычкой со стороны линии.
|
|
Г
|
Мостик
с выключателями в цепях линий и ремонтной перемычкой со стороны линии.
|
Мостик
с выключателями в цепях линий и ремонтной перемычкой со стороны линии.
|
Мостик
с выключателями в цепях линий и ремонтной перемычкой со стороны линии.
|
Мостик
с выключателями в цепях линий и ремонтной перемычкой со стороны линии.
|
|
Д
|
Мостик
с выключателями в цепях линий и ремонтной перемычкой со стороны линии.
|
Мостик
с выключателями в цепях линий и ремонтной перемычкой со стороны линии.
|
Мостик
с выключателями в цепях линий и ремонтной перемычкой со стороны линии.
|
Мостик
с выключателями в цепях линий и ремонтной перемычкой со стороны линии.
|
|
Е
|
Мостик
с выключателями в цепях линий и ремонтной перемычкой со стороны линии.
|
Мостик
с выключателями в цепях линий и ремонтной перемычкой со стороны линии.
|
Два
блока с выключателями с неавтоматизированной ремонтной перемычкой со стороны
линии.
|
Мостик
с выключателями в цепях линий и ремонтной перемычкой со стороны линии.
|
|
Ж
|
Мостик
с выключателями в цепях линий и ремонтной перемычкой со стороны линии.
|
Два
блока с выключателями с неавтоматизированной ремонтной перемычкой со стороны
линии.
|
Два
блока с выключателями с неавтоматизированной ремонтной перемычкой со стороны
линии.
|
Мостик
с выключателями в цепях линий и ремонтной перемычкой со стороны линии.
|
|
|
|
|
|
|
.4 Выбор двух конкурентоспособных вариантов
конфигурации электрической сети
Выбор двух конкурентоспособных вариантов
конфигурации электрической сети от суммарной длины линии и количества
выключателей.
Определим суммарную длину линии в одноцепном
исполнении с учетом коэффициента трассы. Для Приморского края принимаем
коэффициент трассы равный 1,2.
Суммарная длина линий для варианта 1, км
км
Суммарная длина линий для варианта
2, км:
км
Суммарная длина линий для варианта
3, км
км
Суммарная длина линий для варианта 4, км:
км
Рассчитаем количество выключателей
для каждой подстанции и суммарное число выключателей в каждом варианте сети с
учетом выключателей, через которые проектируемая сеть подключается к источникам
питания.
В схеме мостик с выключателями в
цепях линий и ремонтной перемычкой со стороны линии присутствует 3 выключателя.
В схеме два блока с выключателями с
неавтоматизированной ремонтной перемычкой со стороны линии присутствует 2
выключателя.
Для удобства необходимые нам данные сведем в
таблицу 2.
Таблица 2 - Длины линий и количество
выключателей для всех вариантов
|
Номер
варианта
|
Суммарная
длина линий, км
|
Суммарное
число выключателей
|
|
1
|
342,689
|
27
|
|
2
|
336,751
|
27
|
|
3
|
352,216
|
27
|
|
4
|
358,154
|
27
|
2.5 Расчет упрощенного потокораспределения
активной мощности и выбор номинального напряжения в каждом из 4 вариантов
Задача сводится к определению номинального
напряжения в каждом из вариантов. Напряжение мы можем определять как по
номограммам, так и по эмпирическим формулам. В данном курсовом проекте для
определения напряжения мы будем пользоваться формулой Илларионова, которая
применяется на напряжение 35 кВ и выше. Для определения напряжения необходимо
знать длину линии каждого участка сети и потоки максимальной активной мощности
по линиям. Рассмотрим пример расчета на схеме №1.
Рассчитаем потоки максимальной активной мощности
по линиям, МВт:
Рассчитаем рациональное напряжение в
проектируемой сети по формуле Г.А. Илларионова [1, с.553]:
; кВ (1)
и получим:
При всех расчетах мы учитывали, что
подстанции, соединенные в кольцо имеют одинаковое напряжение, поэтому потоки
активной мощности и рациональное напряжение считались только на головных
участках.
Расчетные значения приведены в
таблице 3.
Таблица 3 - Номинальные напряжения
|
Номер
варианта
|
Участок
|
Длина
участка, км
|
Потоки
максимальной активной мощности, МВт
|
Рациональное
напряжение, кВ
|
Номинальное
напряжение, кВ
|
|
1
|
ИП1-А
|
29.516
|
92.586
|
150.856
|
110
|
|
ИП1-Б
|
74.67
|
15.074
|
76.129
|
110
|
|
ИП2-В
|
41.742
|
25.652
|
95.591
|
110
|
|
ИП1-Г
|
26.4
|
45.498
|
116.336
|
110
|
|
ИП2-Д
|
26.4
|
103.392
|
152.287
|
110
|
|
ИП2-Е
|
37.335
|
9.647
|
60.575
|
110
|
|
2
|
ИП1-А
|
29.516
|
92.586
|
150.856
|
110
|
|
ИП1-Б
|
37.335
|
21.586
|
87.262
|
110
|
|
ИП1-Г
|
52.8
|
24.119
|
94.02
|
110
|
|
ИП2-Д
|
26.4
|
103.392
|
152.287
|
110
|
|
ИП2-Е
|
18.668
|
28.245
|
93.131
|
110
|
|
3
|
ИП1-А
|
59.032
|
39.688
|
118.294
|
110
|
|
ИП1-Ж
|
52.8
|
35.518
|
111.904
|
110
|
|
ИП2-В
|
83.484
|
11.456
|
66.784
|
110
|
|
ИП1-Г
|
26.4
|
53.578
|
109.454
|
110
|
|
ИП2-Д
|
26.4
|
81.084
|
141.745
|
110
|
|
ИП2-Е
|
18.668
|
44.102
|
123.466
|
110
|
|
4
|
ИП1-А
|
59.03
|
39.688
|
127,1
|
110
|
|
ИП1-Б
|
37.335
|
57.195
|
139,1
|
110
|
|
ИП2-Д
|
26.4
|
81.084
|
124,1
|
110
|
|
ИП2-В
|
41.593
|
44.103
|
102,4
|
110
|
|
ИП2-Е
|
37.335
|
9.647
|
60.575
|
110
|
|
ИП1-Ж
|
52.8
|
35.518
|
113,7
|
110
|
Анализируя полученные расчеты для дальнейшего
анализа выбираем схему 1 как наиболее экономичную в плане стоимости ВЛ и схему
2 как наиболее экономичную в плане количества выключателей и величины потерь в
связи с номинальным напряжением 220 кВ.
.6 Компенсация реактивной мощности (КРМ)
В соответствии с приказом №893 от 11 декабря
2006 года: «отсутствие КРМ приводит к повышению потоков реактивной мощности,
росту потерь, росту тарифов, снижению управляемости режимами работы сетей, к
ухудшению качества электрической энергии и надежности электроснабжения
потребителей».
Компенсирующие устройства устанавливаются на
стороне низкого напряжения, поэтому предельно допустимый коэффициент реактивной
мощности принимаем равным 0,4. Для расчетов нам необходимо сравнить этот
коэффициент с заданным и выбрать наименьший.
Прежде, чем определить мощности устанавливаемых
на подстанциях КУ, необходимо выбрать по какому коэффициенту мощности будет
производиться выбор компенсирующих устройств. Это может быть балансирующий
коэффициент tgjбал,
выбирающийся из условия равенства коэффициентов мощности на шинах 10 кВ
подстанции, либо экономический коэффициент tgjэк,
обеспечивающий минимум суммарных потерь мощности в схеме. Значения для tgjэк
для
каждого уровня напряжения приведены в задании.
Таким образом, нам необходимо найти экономически
целесообразный коэффициент мощности, удовлетворяющий требованиям минимума
суммарных потерь мощности в сети. Он получается путём сравнения tgjбал
с tgjэк.
(2)
где
- коэффициент одновременности
наибольших реактивных нагрузок потребителей
»
0,98;
- количество пунктов потребления
электроэнергии;
- суммарные потери реактивной
мощности в трансформаторах и автотрансформаторах;
- потери реактивной мощности в
линии;
- реактивная мощность, генерируемая
линией.
Потери реактивной мощности в
трансформаторах и автотрансформаторах подсчитываются по формуле:
(3)
Где
-
максимальная мощность на подстанции, которая определяется по формуле:
(4)
Для воздушных линий 110 кВ допускается на этой
стадии расчета принимать равными величины потерь и генерации реактивной
мощности. Для сетей с номинальным напряжением 220 кВ целесообразен расчет
потерь реактивной мощности и зарядной мощности линий. Для оценки потерь
реактивной мощности в воздушных линиях 220 кВ удельное реактивное сопротивление
линии может быть принято равным 0,42 Ом/км, а удельная генерация реактивной
мощности qc=0,14
МВар/км. При этом следует учитывать количество цепей воздушной линии.
Далее находим суммарную генерацию от источников
питания на примере схемы 1:
Считаем суммарную мощность компенсирующих
устройств
=
-
Если
окажется > 0 то необходимо
выбрать КУ, если же
окажется
< 0 то установка КУ не требуется.
При известной суммарной мощности КУ
можно найти балансирующий тангенс по формуле:
(5)
Для дальнейших расчетов принимаем
меньший из tgjэк и tgjбал.
Определяем требуемую мощность
компенсирующих устройств на каждой подстанции. Эти мощности будут одинаковыми
для двух схем, так как расчёт обоих схем ведем по tgjэк для зимы и
лета соответственно:
Для выбора компенсирующих устройств
необходимо вычислить фактическую мощность для каждой из подстанций для зимы и
лета:
Из фактических значений зимы и лета
находим
ном , они
являются стандартными справочными величинами.
Подбираем количество БК примерно близкое к
данному значению по следующей формуле:
, (6)
где nку -
количество устанавливаемых батарей конденсаторов;
Sку - мощность
батарей конденсаторов, МВА.
Нескомпенсированную реактивную
мощность находим как:
, Мвар. (7)
Аналогичным образом рассчитываем мощности для
остальных подстанций, как для зимнего, так и летнего максимумов. Результаты
расчетов занесены в таблицу 4. Следует отметить, что по результатам расчетов
требуемая мощность КУ в летнее время для большинства подстанций отрицательная,
следовательно в компенсации нет необходимости. Для остальных подстанций
установка других устройств также не требуется, так как полученные значения
меньше необходимых в зимнее время, а сами батареи имеют возможность
регулирования (ступень регулирования указана в марке КУ).
Таблица 4 - Компенсация реактивной мощности зимой
|
ПС
|
Тип
КУМощность, МварКоличество
|
|
|
|
|
|
|
А
|
9.604
|
УКРЛ(П)56-10,5-1800-300
У3
|
1.763
|
4
|
2.4
|
14.66
|
|
Б
|
0,995
|
УКРЛ(П)56-10,5-1800-150
У3
|
1.809
|
2
|
1.2
|
6.21
|
|
В
|
2.268
|
УКРЛ(П)56-10,5-4050-150
У3
|
4.124
|
2
|
1.2
|
6.06
|
|
Г
|
0,796
|
УКРЛ(П)56-10,5-150-300
У3
|
1.447
|
2
|
1.8
|
9.17
|
|
Д
|
12.88
|
УКРЛ(П)56-10,5-2250-300
У3
|
2.319
|
4
|
2.4
|
30.25
|
|
Е
|
3.184
|
УКРЛ(П)56-10,5-600-300
У3
|
5.788
|
3
|
2.7
|
3.34
|
|
Ж
|
3.184
|
УКРЛ(П)56-10,5-300-150
У3
|
1.061
|
2
|
1.2
|
4.81
|
2.7 Выбор числа и мощности силовых
трансформаторов
Мощность силовых трансформаторов определяется из
суммы средней активной мощности и нескомпенсированной реактивной мощности.
Количество трансформаторов на подстанции определяется согласно категории по
надежности потребителей, в случае 1 и 2 категории на подстанции должно быть
установлено не менее двух трансформаторов. В случае аварии на одном из них,
второй должен обеспечивать потребителя полной мощностью.
Для выбора трансформатора из каталога необходимо
рассчитать его расчетную мощность, МВА:
, (8)
где n - число
трансформаторов, устанавливаемых на подстанции;
КЗ - коэффициент загрузки
(принимается равным 0,7);
РСРi - среднее
значение активной мощности в зимний период;
Qнескi -
нескомпенсированная мощность в зимний период.
После выбора трансформатора его
необходимо проверить по коэффициентам загрузки в номинальном и послеаварийном
режимах работы.
, (9)
Полученное значение номинального
коэффициента загрузки не должно выходить за границы интервала 0,45 - 0,7.
Проверку трансформаторов осуществляем по средней
летней нагрузке на подстанциях:
. (10)
Так же рассчитываем коэффициент
загрузки в послеаварийном режиме.
Все расчеты сведем в таблицы 5 и 6:
Таблица 5 - Выбор трансформаторов для схемы № 1
|
ПС
|
Sрасч, МВа
|
Sтр, МВа
|
kз
|
kз.п/ав
|
Марка
|
|
А
|
26.991
|
25
|
0.756
|
1.512
|
ТДН
- 25000/110
|
|
Б
|
18.485
|
25
|
0.518
|
1.035
|
ТДН
- 25000/110
|
|
В
|
14.309
|
16
|
0.626
|
1.252
|
ТДН
- 16000/110
|
|
Г
|
29.45
|
40
|
0.515
|
1.0311
|
ТДН
- 40000/110
|
|
Д
|
35.665
|
40
|
0.624
|
1.248
|
ТДН
- 40000/110
|
|
Е
|
11.73
|
16
|
0.513
|
1.026
|
ТДН-
16000/110
|
|
Ж
|
16.161
|
40
|
0.283
|
0.566
|
ТДН
- 40000/110
|
Таблица 6 - Выбор трансформаторов для схемы № 2
|
ПС
|
Sрасч, МВа
|
Sтр, МВа
|
kз
|
kз.п/ав
|
Марка
|
|
А
|
26.991
|
25
|
0.756
|
1.512
|
ТДН
- 25000/110
|
|
Б
|
18.485
|
25
|
0.518
|
1.035
|
ТДН
- 25000/110
|
|
В
|
14.309
|
16
|
0.626
|
1.252
|
ТДН
- 16000/110
|
|
Г
|
29.45
|
40
|
0.515
|
1.031
|
ТДН
- 40000/110
|
|
Д
|
35.665
|
40
|
0.624
|
1.248
|
ТДН
- 40000/110
|
|
Е
|
11.73
|
16
|
0.513
|
1.026
|
ТДН-
16000/110
|
|
Ж
|
16.161
|
40
|
0.283
|
0.566
|
ТДН
- 40000/110
|
.9 Выбор сечений проводников
Одним из важных параметров линии является размер
сечения провода. Чем больше сечение, тем больше затраты на сооружение ВЛЭП и
амортизационные отчисления.
Выбор сечения проводов производится методом
экономических токовых интервалов. Проверка пригодности выбранных сечений
проводов производится расчетом послеаварийного режима.
Расчетное значение тока, текущего по линии:
, (11)
где
- расчётный ток, А;
- максимальный ток, А;
- коэффициент, учитывающий
изменение тока по годам эксплуатации;
- коэффициент, учитывающий число
часов использования наибольшей нагрузки и коэффициент попадания нагрузки в
максимум энергосистемы (Тм).
Для воздушных линий 110 - 220 кВ,
принимается
равным 1,05.
Принимаем
равным 1.
Максимальный ток в воздушных линиях между
подстанциями рассчитывается по формуле:
, (12)
где
- максимальный ток, кА;
,
- потоки активной максимальной и
максимальной нескомпенсированной реактивной мощности, передаваемой по линии в
зимний период, МВт, Мвар;
- количество цепей;
- номинальное напряжение, кВ.
Потоки мощности на участках сети для каждого из
вариантов посчитаны ранее. Марку проводов выбираем только для головных
участков, как наиболее загруженных. Для всех остальных участков марки проводов
выбираются такие же, как и на головных участках, чтобы обеспечить
послеаварийный режим.
Таблица 7 - Расчетные токи ЛЭП для схемы 1
|
Участок
сети
|
Расчетный
ток, А
|
|
ИП1-А
|
43
|
|
ИП1-Б
|
27
|
|
ИП1-В
|
157
|
|
ИП2-Г
|
552
|
|
ИП1-Д
|
27
|
|
ИП2-Ж
|
43
|
Таблица 8 - Расчетные токи ЛЭП для схемы 2
|
Участок
сети
|
Расчетный
ток, кА
|
|
ИП1-А
|
36
|
|
ИП1-Б
|
112
|
|
ИП2-Г
|
71
|
|
ИП2-Ж
|
290
|
|
ИП2-Е
|
112
|
Покажем выбранные сечения проводников в каждом
из двух вариантов.
Таблица 9 - Расчетные токи и сечения ЛЭП для
схемы 1
|
Участок
сети
|
Марка
провода
|
Длительно-допустимый
ток, А
|
|
ИП1-А
|
АС-240/32
|
579
|
|
ИП1-Б
|
АС-95/11
|
45
|
|
ИП2-В
|
АС-95/11
|
164
|
|
ИП2-Г
|
АС-95/11
|
164
|
|
ИП1-Д
|
АС-240/32
|
579
|
|
ИП2-Ж
|
АС-240/32
|
579
|
Таблица 10 - Расчетные токи и сечения ЛЭП для
схемы 2
|
Участок
сети
|
Марка
провода
|
Длительно-допустимый
ток, кА
|
|
ИП1-А
|
АС-240/32
|
290
|
|
ИП1-Б
|
АС-240/32
|
160
|
|
ИП2-Г
|
АС-95/11
|
68
|
|
ИП2-В
|
АС-95/11
|
36
|
|
ИП2-Ж
|
АС-240/32
|
290
|
.9 Конструктивное исполнение электрической сети
По выбранной марке провода, и исходя из
районирования климатических условий: условия территории страны по толщине
гололедных образований, ветровому давлению, грозовой активности, интенсивности
«пляски» проводов, рельефу местности выбираем унифицированные опоры.
При применении унифицированных опор на ВЛ
используется разнообразная линейная арматура: для крепления проводов к штыревым
или подвесным изоляторам, сцепки изоляторов в гирлянды, крепление изоляторов к
опорам, подвески к опорам молниезащитных тросов и др. выбор арматуры
производится в соответствии с ее конкретным назначением, номинальным напряжением
ВЛ, в зависимости от марок проводов и их числа в расщепленных фазах, от марок
молниезащитных тросов и т.д.
Выбор изоляторов для поддерживающих и натяжных
гирлянд производится в зависимости от усилий, действующих по оси гирлянды в
нормальных и аварийных режиме, возникающего при обрыве провода и назначаемых
коэффициентов запаса прочности.
В данном курсовом проекте примем к установке
стальные опоры, в которых основные конструктивные элементы опор изготовляются
из стали марки ВМ Ст 3.
3. Выбор оптимального варианта электрической
сети
При технико-экономическом сравнении
сопоставляются только допустимые по техническим требованиям варианты, то есть
такие, в которых потребитель получает нужную электроэнергию заданного качества
при заданной степени надежности.
Ранее были выбраны варианты схем сети №1 и №2.
На данном этапе из них необходимо выбрать оптимальный по технико-экономическим
показателям. Сопоставление вариантов осуществляется в результате расчетов
сравнительной экономической эффективности капитальных вложений. Экономическим
критерием, по которому определяют наивыгоднейший вариант, является минимум
приведенных затрат, вычисляемых по формуле:
З = Е∙К + И, (13)
где Е - норматив дисконтирования, принимаемый
равным 0,1 1/год;
К - капитальные вложения, руб., необходимые для
сооружения сети;
И - эксплуатационные издержки, руб./год.
3.1 Расчёт капиталовложений
Применительно к электрическим сетям капитальные
вложения состоят из капитальных вложений на сооружение подстанций (КПС)
и капитальных вложений на сооружение линий (КЛ):
К = КПС + КЛ (14)
Капитальные вложения на сооружение подстанций:
КПС = (КПОСТ + КОРУ
+ КТР + ККУ), (15)
где КПОСТ - постоянная часть затрат;
КОРУ - затраты на сооружение ОРУ;
КТР - затраты на покупку силовых
трансформаторов/2, стр 346/;
ККУ - затраты на компенсирующие
устройства.
Капитальные вложения на сооружение линий:
КЛ = К0∙lТР, (16)
где К0 - удельные затраты на
сооружение 1 км линии, руб./км.
Расчёт капиталовложений будем проводить по
укрупненным стоимостным показателям. Цены на основное оборудование будем брать
на 2009 г. с учетом коэффициента инфляции и районных коэффициентов.
Стоимость трансформаторов берём по укрупнённым
стоимостным показателям в зависимости от номинальной мощности, также учтем, что
на каждой подстанции установлено два трансформатора. Капиталовложения на
сооружения подстанций найдём суммированием всех затрат.
Далее считаем капиталовложения в линиях. Цены на
строительство линий берём по укрупнённым стоимостным показателям, на один
километр линии, и умножаем на коэффициент инфляции. Цены на линию будут
зависеть от сечения проводов и от числа цепей.
.2 Расчёт эксплуатационных издержек
Эксплуатационные издержки - это расходы
необходимые для эксплуатации оборудования, и сетей в течение одного года.
Ежегодные издержки на эксплуатацию сети включают в себя:
издержки на эксплуатацию и ремонт (ИЭ.Р);
издержки на амортизацию (ИАМ);
стоимость потерь электроэнергии (ИΔW).
Издержки на эксплуатацию и ремонт определяются
по формуле:
, (17)
где αтэоВЛ,
αтэоПС
- нормы ежегодных отчислений на ремонт и эксплуатацию.
Нормы ежегодных отчислений для линий и
подстанций будут равны αрэоВЛ
= 0,008; αрэоПС
= 0,059.
Издержки на амортизацию за рассматриваемый
период службы (ТСЛ = 20 лет), находим по формуле:
(18)
Издержки стоимости потерь
электроэнергии состоят из величины потерь и стоимости потерь электрической
энергии:
, (19)
где
- потери электроэнергии, МВт∙ч;
С∆W - стоимость
потерь 1 МВт∙ч электроэнергии.
Стоимость потерь на данный момент
времени составляет 1570 руб∙кВт/ч, соответственно в МВт - 1,57 руб∙МВт/ч
Потери электрической энергии в элементах сети
(линии (∆WЛ),
трансформаторы (∆WТР),
компенсирующие устройства (∆WКУ):
∆W
= ∆WЛ
+ ∆WТР
+ ∆WКУ.
(20)
Потери в линиях:
, (21)
где
- потоки среднеквадратичной активной
мощности по линии зимой (летом), МВт;
- потоки нескомпенсированной
реактивной мощности по линии зимой (летом), Мвар;
- активное сопротивление линии, Ом;
- число зимних (летних) часов;
= 4800 ч.,
= 3960 ч;
- потери на «корону», МВт.
Активное сопротивление линии
определяется через удельное сопротивление r0 и длину
трассы с учетом числа цепей n:
. (22)
Потери на «корону» определяются
через удельные потери, длину трассы с учетом числа цепей n:
. (23)
Потери в силовых трансформаторах:
(24)
где
- эффективная нагрузка зимой
(летом), МВт;
- нескомпенсированная реактивная
мощность зимой (летом), Мвар;
- активное сопротивление
трансформатора, Ом;
- потери активной мощности в
трансформаторе в режиме холостого хода, МВт;
п - количество трансформаторов на
подстанции.
Потери в компенсирующих устройствах:
где
- удельные потери в КУ;
= 0,003
МВт/Мвар;
,
- мощность КУ соответственно зимой
и летом, Мвар.
Определяем капитальные вложения (в
расчетах используем укрупненные стоимостные показатели).
Расчет капитальных затрат, издержек
и среднегодовых расчетов для варианта схемы 1 и 2 и отражены в таблице 11.
Таблица 11 - Технико-экономические
показатели двух вариантов
|
Показатель
|
Вариант
1
|
Вариант
2
|
|
Капитальные
вложения, тыс. руб.
|
2706000
|
2671000
|
|
Издержки,
тыс. руб.
|
228053
|
226005
|
|
Суммарные
потери, тыс. руб.
|
330200
|
336900
|
.3 Определение среднегодовых эксплуатационных
затрат и выбор оптимального варианта сети
Среднегодовые приведённые затраты находим по
формуле (13). Резуль-таты расчета заносим в таблицу 12.
Таблица 12 - Среднегодовые затраты.
|
Показатель
|
Вариант
1
|
Вариант
2
|
|
Среднегодовые
затраты, тыс. руб.
|
498666
|
493070
|
Вывод: Для дальнейшего расчета выбираем схему №
2, рассчитанную в габаритах 110 кВ, т.к. она имеет меньшие среднегодовые
затраты, меньшие капиталовложения и наименьшие издержки.
4. Расчет и анализ установившихся режимов
Целью расчета установившихся режимов является
определение потоков мощности по участкам сети, напряжений в узлах, а также
потерь мощности в элементах сети. Основная задача расчета правильно выбрать
отпайки РПН и четко отрегулировать напряжения в максимальном режиме.
Исходными данными для расчета режимов являются
режимные характеристики потребителей, конфигурация схемы сети, а также
параметры её элементов.
.1 Расчет максимального режима
.1.1 Расчет максимального режима ручным способом
) Находим сопротивления линий по формуле
[3, с.7-13]:
(26)
где
- активное погонное сопротивление
линии, Ом/км;
- реактивное погонное сопротивление
линии, Ом/км;
- длина линии, км.
Погонные активное и реактивное
сопротивления выбираем по таблице в зависимости от сечения линии и класса
напряжения [4, с. 432].
) Находим зарядные мощности линий:
(27)
где
- погонная емкостная проводимость
воздушной линии, См/км.
Погонную емкостную проводимость
определяем по таблицам [4, с.432]:
) Определяем приведенную нагрузку в
узлах:
(28)
где
- мощность нагрузки, МВА;
- потери мощности в силовом
трансформаторе, МВА.
Мощность нагрузки:
. (29)
Потери мощности в силовом
трансформаторе:
, (30)
где
- сопротивление трансформатора, Ом;
- потери мощности холостого хода,
МВА.
) Определяем расчетную нагрузку
узлов, МВА:
. (31)
) Рассчитываем потокораспределение
на разных участках сети. Для этого вначале находим потоки мощности на головных
участках и рассчитываем потоки мощности в сети с двухсторонним питанием. Затем
определяем потоки мощности в разомкнутых сетях.
) Определяем напряжения в узлах по
рассчитанным потокам мощности и известному напряжению источника питания.
(32)
Для обеспечения необходимых режимов
напряжения во всей распределительной сети должны выбираться централизованные
средства регулирования напряжения, к которым относятся трансформаторы с РПН.
Для определения добавки напряжения, создаваемой трансформатором с РПН,
необходимо выбрать нужное напряжение ответвлений (отпаек) РПН.
Определяем приведенное к стороне ВН
напряжение стороны НН силового трансформатора:
(33)
где UВН -
фактическое напряжение на стороне ВН, полученное в результате расчета режима
сети высокого напряжения, кВ;
- модуль падения напряжения в
силовом трансформаторе, кВ.
Модуль падения напряжения в силовом
трансформаторе:
. (34)
Определяем желаемый коэффициент
трансформации:
, (35)
где
- желаемое напряжение на стороне НН
силового трансформатора, кВ.
Желаемый номер отпайки РПН для
обеспечения требуемого значения напряжения на низкой стороне трансформатора:
(36)
где t*
- шаг регулирования в относительных единицах.
Полученный номер отпайки округляем
до ближайшего целого
.
По найденному
определяется
фактическое напряжение низкой стороны:
. (37)
По итогам проведенного расчета
составляем таблицу 13.
Таблица 13 - Результаты расчета
максимального режима
|
Подстанция
|
Номер
отпайки
|
Фактическое
напряжение, кВ
|
Желаемое
напряжение, кВ
|
|
А
|
17
|
10,2
|
10,3
|
|
Б
|
8
|
10
|
10
|
|
В
|
12
|
10,4
|
10,4
|
|
Г
|
10
|
10,2
|
10,3
|
|
Д
|
16
|
10,22
|
10,2
|
|
Е
|
10
|
10,8
|
10,5
|
|
Ж
|
8
|
10
|
10,1
|
Таблица 14 - Потоки мощности в линиях
|
Ветви
|
Поток
мощности в начале линии, МВА
|
Поток
мощности в конце линии, МВА
|
Потери
мощности в линии, МВА
|
|
ИП1-А
|
154.9+j117.58
|
150.09+j101.38
|
4.80+j16.21
|
|
ИП1-Б
|
21.25+j6.29
|
21.10+j5.98
|
0.15+j0.31
|
|
ИП1-Г
|
36.12+j13.05
|
34.39+j10.6
|
1.73+j2.45
|
|
ИП2-Д
|
65.102+j38.8
|
63.73+
j34.18
|
1.37+j4.62
|
|
ИП2-Е
|
35.38+j10.83
|
34.98+j9.97
|
0.404+j0.86
|
|
ИП2-В
|
16.67+j6.89
|
16.05+j6.01
|
0.62+j0.88
|
|
А-Ж
|
94.41+j80.31
|
90.66+j67.67
|
3.75+j12.64
|
|
Ж-Д
|
72.08+j62.33
|
63.73+j34.18
|
8.34+j28.16
|
|
Е-Б
|
21.46+j6.49
|
21.10+j5.98
|
0.36+j0.51
|
.1.2 Расчет максимального режима с помощью ПВК RASTRWIN
ПВК RASTRWIN
предназначен для решения задач анализа и синтеза, возникающих при исследовании
установившихся режимов электроэнер-гетических систем (ЭЭС) и может
использоваться при эксплуатации и проек-тировании.
В данном проекте он используется при расчетах
установившихся режимов (максимального и послеаварийного).
Для задания исходных данных при расчете в RASTRWIN
необходимо заполнить таблицы, содержащую информацию по узлам и по ветвям схемы.
.2 Расчет послеаварийного режима
Послеаварийный режим - это максимальный режим
сети, когда часть элементов сети отключена, остальная часть находится в работе
при пониженном напряжении источников питания.
Определим наиболее загруженный головной участок,
где, предположим, может возникнуть обрыв линии.
5. Регулирование напряжения в сети
.1 Регулирование напряжения в максимальном
режиме
РПН - устройство для переключения ответвлений
обмотки силового трансформатора под нагрузкой. Устройство РПН служит для
регулирования напряжения на низшей (низших) напряжениях трансформатора, выполняется
на стороне высокого напряжения (ниже токи, проще реализация). Регулирование
напряжения может производиться автоматически либо вручную - дистанционно или по
месту.
Для определения добавки напряжения, создаваемой
трансформатором с РПН (линейным регулятором), необходимо выбрать нужное
напряжение ответвлений (отпаек) РПН трансформатора или линейного регулятора.
В данном пункте
дадим качественную оценку выбранным в предыдущем разделе отпайкам для
максимального режима.
Таблица 17 - Отпайки
РПН трансформатора.
|
ПС
|
ПС
А
|
ПС
Б
|
ПС
В
|
ПС
Г
|
ПС
Д
|
ПС
Е
|
ПС
Ж
|
|
№отп
|
17
|
8
|
12
|
10
|
16
|
10
|
8
|
6. Технико-экономические показатели проекта
В данном разделе главной целью является оценить
разработанный проект с учетом всех полученных результатов.
Особенно берутся в учет проделанные
экономические расчеты. Все результаты по капитальным вложениям в проект,
стоимость потерь электроэнергии, суммарные эксплуатационные издержки и
себестоимость передачи электроэнергии были приведены ранее в таблице 12.
Второй вариант схемы оказался преимущественнее
первого варианта.
Срок окупаемости определяется по формуле:
(39)
Проект является экономически
целесообразным, так как имеет небольшие капиталовложения, допустимые издержки,
а также реальную на сегодняшний день стоимость и себестоимость. Отметим, исходя
из режима, что потери электроэнергии будут незначительны, если такую сеть
подключить к уже имеющейся энергосистеме.
реактивный мощность трансформатор
сеть
Заключение
В ходе выполнения курсового проекта была
спроектирована электрическая сеть, позволяющая обеспечить потребителей
электроэнергией соответствующего качества с необходимой надежностью.
Расчет производился на основе формирования ряда
вариантов конфигурации сети, обладающих отличающимися техническими и
технико-экономическими характеристиками и показателями.
В проекте определены вероятностные
характеристики электрических нагрузок, определяющиеся с целью проектирования
надежной и экономически выгодной электрической сети.
Для каждого из конкурентоспособных вариантов
выбраны элементы электрической сети (провода, трансформаторы, компенсирующие
устройства).
По расчету приведенных затрат, капитальных
вложений и эксплуатационных расходов был выбран оптимальный вариант конфигурации.
В результате расчетов установившихся режимов
определены: потери в линиях и силовых трансформаторах; определены фактические
напряжения на высокой и низкой стороне с учетом регулирования РПН.
Библиографический список
1 Идельчик В.И. Электрические
системы и сети: учебник для вузов / В.И. Идельчик - М.: Энергоатомиздат, 2012.
- 592 с.
Неклепаев Б.Н. Электрическая часть
электростанций и подстанций: Справочные материалы для курсового и дипломного
проектирования: учебное пособие для вузов / Б.Н. Неклепаев, И.П. Крючков. - 5-е
изд., перераб. и доп. - М.: Энергоатомиздат, 2013. - 608 с.
Справочник по проектированию
электрических сетей - под ред. Д.Л. Файбисовича - 4-е изд., перераб. и доп. -
М. : ЭНАС, 2012. - 376 с.
Савина Н.В. Электрические сети в примерах
и расчетах / Н.В. Савина, Ю.В. Мясоедов, Л.Н. Дудченко. Учебное пособие.
Благовещенск, Издательство АмГУ, 2007. 238с.
Электротехнический справочник: В 4
т. / Под общ. ред. профессоров МЭИ В.Г. Герасимова и др. (гл. ред. А.И. Попов).
- 9-е изд., стер. - М. : Издательство МЭИ, 2004. - Т 3: Производство, передача
и распределение электрической энергии. - 964 с.