Расчет районной электрической сети
Министерство
образования и науки Российской Федерации
Федеральное
государственное бюджетное общеобразовательное учреждение высшего
профессионального образования
«Саратовский
государственный технический университет
имени
Гагарина Ю.А.»
Кафедра:
«Электроснабжение промышленных предприятий»
Курсовая
работа
на
тему:
«Расчет
районной электрической сети»
Выполнил: студент группы
ЭПР-41
Свенцицкий С. А.
Проверила: Бочкарева И.
И.
Саратов
2012
Реферат
Пояснительная записка содержит 31
страницу, 11 таблиц, 15 рисунков, 2 использованных источника.
РЕАКТИВНАЯ МОЩНОСТЬ, ТРАНСФОРМАТОР,
ВЫКЛЮЧАТЕЛЬ, ПОТОКОРАСПРЕДЕЛЕНИЕ, НОМИНАЛЬНАЯ МОЩНОСТЬ, ОДНОЦЕПНАЯ ЛИНИЯ,
ДВУХЦЕПНАЯ ЛИНИЯ, СОПРТИВЛЕНИЕ, НАПРЯЖЕНИЕ.
Объектом исследования данной
курсовой работы является районная электрическая сеть.
Цель работы - выбор конфигурации
сети, номинального напряжения, трансформаторов для каждого потребителя, расчет
потокораспределения, определение тока короткого замыкания на шинах низшего
напряжения подстанции потребителя.
Содержание
Введение
. Расчет районной электрической сети
.1 Расчет баланса мощности
.2 Составление вариантов конфигурации сети
.3 Расчет потокораспределения
.4 Выбор номинального напряжения на участке цепи
.5 Выбор сечения проводников
. Выбор трансформаторов на подстанциях потребителей
. Расчет токов короткого замыкания на шинах низшего напряжения
подстанции потребителя №3
Заключение
Список использованных источников
Введение
Электроэнергетика РФ некоторое время назад была реформирована. Это
было следствием новых тенденций развития во всех отраслях.
Основными целями реформирования электроэнергетики РФ являются:
. Ресурсное и инфраструктурное обеспечение экономического роста, с
одновременным повышением эффективности электроэнергетики;
. Обеспечение энергетической безопасности государства,
предотвращение возможного энергетического кризиса;
. Повышение конкурентоспособности российской экономики на внешнем
рынке.
Основными задачами реформирования электроэнергетики РФ являются:
. Создание конкурентных рынков электроэнергии во всех регионах
России, в которых организация таких рынков технически возможна;
. Создание эффективного механизма снижения издержек в сфере
производства (генерации), передачи и распределения электроэнергии и улучшение
финансового состояния организаций отрасли;
. Стимулирование энергосбережения во всех сферах экономики;
. Создание благоприятных условий для строительства и эксплуатации
новых мощностей по производству (генерации) и передаче электроэнергии;
. Поэтапная ликвидация перекрестного субсидирования различных
регионов страны и групп потребителей электроэнергии;
. Создание системы поддержки малообеспеченных слоев населения;
. Сохранение и развитие единой инфраструктуры электроэнергетики,
включающей в себя магистральные сети и диспетчерское управление;
. Демонополизация рынка топлива для тепловых электростанций;
. Создание нормативной правовой базы реформирования отрасли,
регулирующей ее функционирование в новых экономических условиях;
. Реформирование системы государственного регулирования,
управления и надзора в электроэнергетике.
На Дальнем Востоке после реформирования разделение произошло по
видам бизнеса: выделились генерация, передача и сбытовая деятельность в
отдельные компании. При чём передачей электрической мощности на напряжении 220
кВ и выше занимается ОАО «ФСК», а на напряжении 110 кВ и ниже ОАО «ДРСК». Таким
образом при проектировании уровень напряжения (место подключения) будет
определять организацию, у которой в дальнейшем нужно будет запрашивать
технические условия на подключение.
Целью данного КР является проектирование районной электрической
сети для надёжного электроснабжения потребителей приведённых в задании на
проектирование
Выполнение цели требует выполнения следующих задач:
· Формирование вариантов сети
· Выбор оптимальной схемы сети
· Выбор распределительных устройств ВН и НН
· Расчёт экономического сравнения вариантов сети
· Расчёт электрических режимов
1. Расчет районной электрической
сети
1.1 Расчет баланса мощности
) Определение полной мощности для
каждого потребителя:
Таблица 1: Сведения о потребителях
|
N
|
P, МВт
|
cosϕ
|
Uн, кВ
|
|
1
|
3,7
|
0,78
|
6
|
|
2
|
23,4
|
0,81
|
10
|
|
3
|
12,7
|
0,88
|
6
|
|
4
|
3,4
|
0,91
|
6
|
) Определение реактивной мощности
для каждого потребителя:

;
) Определение потерь
активной мощности:
Принимаем, что они равны
6% от активной мощности i-го потребителя.
) Определение реактивных
потерь:
Зарядную мощность линий,
а также потери реактивной мощности в линии не учитываем. Принимаем, что они
составляют 6% от полной мощности i-ого потребителя.

;
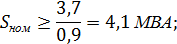
) Определение требуемой
активной и реактивной мощности:
) Определение
располагаемой реактивной мощности:
Сравнив полученные 
и 
, приходим к выводу, что
имеется дефицит реактивной мощности и необходима установка компенсирующих
устройств.
) Определение
необходимой мощности компенсирующих устройств:

;

.
Применяем установку
компенсирующего устройства ККУ-6-1 и ККУ-10-1 с единичной мощностью 0,33 МВар.
) Определение количества
компенсирующих устройств для каждого потребителя:
) С учетом компенсации
реактивной мощности, определим реактивную мощность для каждого потребителя:
Проверяем полученные
значения расчета баланса мощности. В итоге получим баланс требуемой и
располагаемой мощностей:
В итоге получили, что
скомпенсированная требуемая реактивная мощность равна располагаемой реактивной
мощности, баланс мощности сошелся, расчеты выполнены верно.
Результаты вычислений
сведем в таблицу 2.
Таблица 2
|
Потребитель
|
1
|
2
|
3
|
4
|
|
Si, МВА
|
4,74
|
28,89
|
14,43
|
3,7
|
|
Pi, МВт
|
3,7
|
23,4
|
12,7
|
3,4
|
|
ΔPi, МВт
|
0,22
|
1,4
|
0,76
|
0,2
|
|
Qi, МВар
|
2,99
|
17,05
|
6,78
|
1,52
|
|
ΔQтрi, МВар
|
0,28
|
1,73
|
0,87
|
0,22
|
|
Qку, МВар
|
2,93
|
8,36
|
2,01
|
0,23
|
|
ηку, шт
|
9
|
26
|
6
|
1
|
|
 , МВар0,028,474,81,19
|
|
|
|
|
|
Pтр, МВт
|
45,78
|
|
Qтр, МВар
|
31,44
|
|
Qрасп, МВар
|
19,23
|
|
 , МВар17,58
|
|
.2 Составление вариантов
конфигурации сети
Таблица 3: Расстояния между
подстанциями
|
Масштаб 1:500000
|
РПП
|
1
|
2
|
3
|
4
|
|
РПП
|
-
|
17,5
|
20
|
21,5
|
18
|
|
1
|
17,5
|
-
|
8,5
|
32,5
|
31
|
|
2
|
20
|
8,5
|
-
|
29,5
|
28,5
|
|
3
|
21,5
|
32,5
|
29,5
|
-
|
4
|
|
4
|
18
|
31
|
28,5
|
4
|
-
|
Рисунок 1.1 Радиально-магистральная
схема. Вариант 1
км;=16 шт.
Рисунок 1.2
Радиально-магистральная схема. Вариант 2
км;=16 шт.
Рисунок 1.3
Радиально-магистральная схема. Вариант 3
км;=14 шт.
Рисунок 1.4 Кольцевая
схема. Вариант 1
км;=6 шт.
Рисунок 1.5 Кольцевая
схема. Вариант 2
км;=6 шт.
Рисунок 1.6 Кольцевая
схема. Вариант 3
км;=6 шт.
Рисунок 1.7 Смешанная
схема. Вариант 1
км;=9 шт.
Рисунок 1.8 Смешанная
схема. Вариант 2
км;=7 шт.
Рисунок 1.9 Смешанная
схема. Вариант 3
км;=7 шт.
Таким образом, общее
количество вариантов получилось 9. Чтобы не производить технико-экономический
расчёт всех вариантов, отберём наиболее конкурентоспособные (по одному из
каждой группы схем), а остальные отбросим. К ним вернёмся, если какой-либо
вариант не удовлетворит техническим условиям. Для выбора конкурентоспособных
вариантов проведём небольшие оценочные расчёты, позволяющие сравнить между
собой варианты с одинаковыми принципами построения схем сети хотя бы в первом приближении.
Для этого принимаем, что
стоимость одного выключателя примерно равна стоимости 5 км одноцепной воздушной
линии. Определяем для каждого из них приведенную протяженность линий:

;

;

;
Из расчета видно, что
самым экономичным вариантом конфигурации сети является кольцевая схема Рис.
1.4. Таким образом, в дальнейшем будем рассматривать Рис. 1.4 Вариант 1.
.3 Расчет потоков
распределения
Расчетная схема
комбинированной сети представлена на рисунке 1.10
Рис. 1.10 Расчетная
схема сети
.4 Выбор номинального
напряжения на участке цепи
Определяем напряжение по
формуле Илларионова:

Полученные данные сводим
в таблицу 4.
Таблица 4
|
Участок сети
|
L,км
|
P, МВт
|
Q, МВар
|
S, МВА
|
Расчетное Uном,кВ
|
Стандартное Uном,кВ
|
|
РПП-1
|
17,5
|
27,82
|
7,28
|
28,77
|
91,9
|
110
|
|
1-2
|
8,5
|
24,12
|
7,26
|
25,19
|
78,43
|
110
|
|
2-3
|
29,5
|
0,72
|
1,21
|
1,41
|
16,93
|
110
|
|
3-4
|
4
|
11,98
|
6,01
|
13,4
|
54,73
|
110
|
|
4-РПП’
|
18
|
15,38
|
7,2
|
16,98
|
72,43
|
110
|
.5 Выбор сечения проводников
Выберем сечения проводов линий,
используя метод экономических интервалов. Будем считать, что район сооружения
сети соответствует III району по гололеду и будут использоваться одноцепные
воздушные линии на железобетонных опорах.
Стоимости сооружения 1 км линии и
активные погонные сопротивления для разных сечений указаны в таблице 5
(kуд=35):
Таблица 5: Стоимости сооружения 1 км
ВЛ и погонные сопротивления
|
Тип линии
|
Стоимость сооружения К0 тыс.руб/км
|
|
АС-70/11
|
АС-95/16
|
АС-120/19
|
АС-150/24
|
АС-185/29
|
АС-240/32
|
|
Одноцепная 110 кВ
|
511
|
500,5
|
458,5
|
462
|
483
|
528,5
|
0,429
|
0,306
|
0,249
|
0,198
|
0,162
|
0,121
|
Как следует из таблицы, стоимость
сооружения линий с проводами марок АС-70/11 и АС-95/16 выше, чем с проводами
больших сечений. Это означает, что при данных ценах сечения 70 мм2 и 95 мм2
экономически не выгодны. Поэтому далее эти сечения не рассматриваем.
Определим экономический
коэффициент 
:
где Е=0,5 -
эффективность капиталовложений,

,

- коэффициент
амортизации,

.
Определим граничные токи
для всех пар сечений:
) 120 мм2 и 150 мм2:
для одноцепной ВЛ 110кВ:
) 150 мм2 и 185 мм2:
для одноцепной ВЛ 110кВ:
) 185 мм2 и 240 мм2:
для одноцепной ВЛ 110кВ:
Результаты сводим в
таблицу 6.
Таблица 6: Граничные
токи между сечениями
|
Пара сечений
|
120/150
|
150/185
|
185/240
|
|
Одноцепная 110 кВ
|
157,399
|
458,893
|
632,947
|
Построим номограммы экономических
интервалов по данным таблицы 6:
Номограмма изображена на рисунке
1.11.
По построенным номограммам выберем
сечения:
где Е=0,33 - эффективность
капиталовложений,

,

- коэффициент
амортизации.
Определим наибольший ток
в линии РПП-1:
По номограмме для
одноцепной линии 110 кВ определяем, что при 
ток 150,99 А попадает в
экономический интервал сечения 185 мм2. Следовательно, для этой линии выбираем
провод марки АС-185/29.
Проверим выбранный
провод по техническим ограничениям. Определим некоторые параметры линии и ее
режима:

- погонное активное
сопротивление

- погонное реактивное
сопротивление
Активное сопротивление
линии:
Реактивное сопротивление
линии:
Потери мощности:
Потери напряжения:
Получив значение потерь
напряжения по участкам, определим общую потерю напряжения:
Выбор сечений проводов и
их проверка, а также определение некоторых параметров для других линий
произведены аналогично. Результаты расчетов сведены в таблицу 7.
Таблица 7: Выбранные сечения провода
и некоторые параметры линий
|
Участок
|
nц
|
L,км
|
Sуч, МВА
|
Iрасч, А
|
F,мм2
|
r0, Ом/км
|
R, Ом
|
x0, Ом/км
|
X, Ом
|
ΔP, МВт
|
ΔU, кВ
|
ΔU, %
|
|
РПП-1
|
1
|
17,5
|
28,77
|
150,99
|
185/29
|
0,162
|
2,835
|
0,376
|
6,58
|
0,0059
|
1,15
|
1,05
|
|
1-2
|
1
|
8,5
|
25,19
|
132,21
|
150/24
|
0,198
|
1,683
|
0,382
|
3,247
|
0,0035
|
0,58
|
0,53
|
|
2-3
|
1
|
29,5
|
1,41
|
7,4
|
120/19
|
0,249
|
7,346
|
0,389
|
11,476
|
0,00086
|
0,17
|
0,15
|
|
3-4
|
1
|
4
|
13,4
|
70,33
|
150/24
|
0,198
|
0,792
|
0,382
|
1,528
|
0,00088
|
0,17
|
0,15
|
|
4-РПП’
|
1
|
18
|
16,98
|
89,12
|
150/24
|
0,198
|
3,564
|
0,382
|
6,876
|
0,005
|
0,95
|
0,86
|
Наиболее тяжелый послеаварийный
режим в сети возникает после отказа головного участка РПП-1. Кольцевая линия в
послеаварийном режиме превращается в магистральную линию. Ее расчетная схема
приведена на рис. 1.12. Потокораспределение посчитано по первому закону
Кирхгофа аналогично п.1.3.
Рис. 1.12 Расчетная схема
комбинированной сети. Послеаварийный режим.
Потери напряжения в послеаварийном
режиме:
Получив значение потерь напряжения
по участкам в послеаварийном режиме, определим общую потерю напряжения в
аварийном режиме:
Таблица 8 Потери напряжения в
послеаварийном режиме
|
Участок
|
ΔU, кВ
|
ΔU, %
|
|
2-1
|
0,058
|
0,05
|
|
3-2
|
2,69
|
2,45
|
|
4-3
|
0,47
|
0,43
|
|
РПП-4
|
2,3
|
2,1
|
Как в нормальном, так и в
послеаварийном режиме общая потеря напряжения значительно ниже, чем возможности
устройств РПН трансформаторов (16,02%).
2. Выбор трансформаторов на
подстанциях потребителей
Число трансформаторов определяется
категориями потребителей на требуемой степени надежности.
Если на ПС все потребители относятся
к 3-ей категории, то устанавливают один трансформатор на питающей ПС данных
потребителей.
Если имеются потребители 1-ой или
2-ой категории, то на ПС необходима установка 2-х трансформаторов.

- для одного
трансформатора;

- для двух
трансформаторов.
В аварийном режиме,
когда один из трансформаторов выходит из строя, второй трансформатор должен
выдерживать нагрузку обоих: 
.
Сравнивая значения 
и 
, выбираем большее и
принимаем ближайшее большее значение стандартной мощности трансформаторов по
шкале номинальных мощностей.
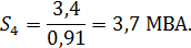
Для потребителя №1:

;
Для потребителя №2:

;
Для потребителя №3:

;
Для потребителя №4:

;
Полученные значения
сводим в таблицу 9.
районная электрическая
сеть трансформатор
Таблица 9: Выбор
трансформаторов
|
Потребитель
|
|
|
Тип трансформатора
|
|
1
|
110
|
6,3
|
ТМН-6300/110
|
|
2
|
110
|
16
|
ТДН-16000/110
|
|
3
|
110
|
10
|
ТДН-10000/110
|
|
4
|
110
|
6,3
|
ТМН-6300/110
|
3. Расчет токов короткого замыкания
на шинах низшего напряжения подстанции потребителя №3
При расчете токов КЗ районная сеть
представлена в виде однолинейной схемы и схемы замещения. Однолинейная схема
необходима для визуализации элементов электрической сети, для правильного
определения сопротивления сети.
Составляем однолинейную схему
участка сети в котором возникло КЗ.
Рис 3.1 Однолинейная схема участка
сети
Составляем схему замещения участка
сети на котором возникло КЗ. При этом источник обозначаем в виде ЭДС и
сопротивления, все остальные элементы представляем в виде их сопротивлений. В
технике расчетов КЗ учитываются только индуктивные сопротивления элементов, так
как активные сопротивления ничтожно малы по сравнению с индуктивными.
Рис 3.2 Схема замещения участка сети
Присваиваем каждой группе элементов
порядковые номера, т.е. нумеруем слева на право все сопротивления и так же ЭДС.
Выбираем трансформатор РПП, для
этого сначала необходимо определить мощность на РПП:
Таблица 10: Состав по категориям
|
№
|
I, %
|
II, %
|
III, %
|
|
1
|
0
|
0
|
100
|
|
2
|
20
|
40
|
40
|
|
3
|
0
|
30
|
70
|
|
4
|
0
|
0
|
100
|
|
Σ 20
|
Σ 70
|
Σ 310
|
|
Σ 400
|
Определяем состав по категориям:
По шкале напряжений
принимаем номинальную мощность: 
и выбираем
трансформатор:
Таблица 11
|
Тип трансформатора
|
|
Uном, кВ
|
Uк, %
|
|
ТРДН-32
|
32
|
115
|
10,5
|
Определяем сопротивление
в относительных единицах с приведенными сопротивлениями. Т.к. РПП - источник
неограниченной мощности, то 
, соответственно 
.
Принимаем базисные
условия:

; 
.
Находим суммарное
сопротивление линий и элементов сети:
Получив суммарное
сопротивление преобразуем схему к простейшему виду:
Рис. 3.3 Простейший вид
схемы сети
Определяем ток короткого
замыкания:
Заключение
В результате выполнения
курсовой работы был рассчитан баланс мощностей, составлены варианты
конфигурации сети и выбран один наилучший вариант Рисунок 1.4, определены
номинальные напряжения на участках, выбраны трансформаторы на подстанциях
потребителей. На шинах низшего напряжения подстанции потребителя №3 определены
токи короткого замыкания.
Список использованных
источников
1. Хусаинов И.М. Примеры расчетов электрических сетей:
Учебное пособие для студентов специальности 100400 и направления 551700.
Саратов: СГТУ, 1998. 94 с.
. Типовые схемы принципиальные электрические
распределительных устройств напряжением 6-750 кВ подстанций и указания по их
применению (№ 14198 тм - т. 1). М.: Энергосетьпроект, 1993. 75 с.