Силовой трансформатор
Министерство транспорта Российской
Федерации
Федеральное агентство
железнодорожного транспорта
Федеральное государственное бюджетное
образовательное учреждение высшего профессионального образования
«Дальневосточный государственный
университет путей сообщения»
Кафедра электротехники и электроники
ПОЯСНИТЕЛЬНАЯ ЗАПИСКА
к курсовой работе по электромеханике
На тему: «Силовой трансформатор»
Проектировал студент__________________________
Руководитель проекта __________________________
2015
Оглавление
Введение
. Определение основных
электрических величин
. Расчет основных размеров
трансформатора
. Расчет обмоток НН и ВН
. Определение характеристик
короткого замыкания
. Окончательный расчет
магнитной системы. Определение характеристики холостого хода
Заключение
Литература
Приложение
Введение
Трансформатором называют статическое электромагнитное устройство, имеющее
две или большее число индуктивно-связанных обмоток и предназначенное для
преобразования посредством электромагнитной индукции одной (первичной) системы
переменного тока в другую (вторичную) систему переменного тока. Трансформаторы
широко используются в промышленности и быту для различных целей.
. Для передачи и распределения электрической энергии.
. Для обеспечения нужной схемы включения вентилей в
преобразовательных устройствах и согласования напряжения на выходе и входе
преобразователя. Трансформаторы, применяемые для этих целей, называются
преобразовательными.
. Для различных технологических целей: сварки (сварочные
трансформаторы), питания электротермических установок (электропечные
трансформаторы) и др.
. Для питания различных цепей радиоаппаратуры, электронной
аппаратуры, устройств связи и автоматики, электробытовых приборов, для
разделения электрических цепей различных элементов указанных устройств, для
согласования напряжения и пр.
. Для включения электроизмерительных приборов и некоторых
аппаратов (реле и др.) в электрические цепи высокого напряжения или же в цепи,
по которым проходят большие токи, с целью расширения пределов измерения и
обеспечения электробезопастности. Трансформаторы, применяемые для этих целей,
называются измерительными.
Классификацию трансформаторов можно произвести по нескольким признакам:
. По назначению трансформаторы разделяют на силовые общего и
специального применения. Силовые трансформаторы общего применения используются
в линиях передачи и распределения электроэнергии. Для режима их работы
характерна частота переменного тока 50 Гц и очень малые отклонения первичного и
вторичного напряжений от номинальных значений. К трансформаторам специального
назначения относятся силовые специальные (печные, выпрямительные, сварочные,
радиотрансформаторы), измерительные и испытательные трансформаторы,
трансформаторы для преобразования числа фаз, формы кривой ЭДС, частоты и т.д.
. По виду охлаждения - с воздушным (сухие трансформаторы) и
масляным (масляные трансформаторы) охлаждением.
. По числу фаз на первичной стороне - однофазные и трёхфазные.
. По форме магнитопровода - стержневые, броневые, тороидальные.
. По числу обмоток на фазу - двухобмоточные, трёхобмоточные,
многообмоточные (более трёх обмоток).
. По конструкции обмоток - с концентрическими и чередующимися
(дисковыми) обмотками.
Проектирование силовых трансформаторов включает в себя широкий круг
технических вопросов. Разработка конструкции трансформатора должна
производиться на основе выполненных электромагнитного, теплового и
механического расчетов, обеспечивающих заданные основные электрические и
эксплуатационные параметры. При конструировании должна быть обеспечена
необходимая электрическая прочность изоляции, механическая прочность узлов,
динамическая и тепловая стойкость обмоток при внезапном коротком замыкании.
Конструкция трансформатора в целом должна обеспечивать его эксплуатационную
надежность. При разработке конструкции частей и узлов трансформаторов следует
стремиться к возможно меньшему расходу материалов и меньшей трудоемкости
изготовления, с тем чтобы снизить стоимость трансформатора до минимума.
1. Определение основных электрических величин
Определение линейных и фазных токов и напряжений обмоток высшего и
низшего напряжения
Мощность на одну фазу и стержень:

число
активных стержней трансформатора

номинальная
мощность трансформатора
Номинальный
линейный ток обмотки ВН
Фазный
ток обмоток НН (соединение в звезду)
Фазный
ток обмотки ВН (соединение в звезду)
Фазное
напряжение обмотки НН (соединение в звезду):
Фазное
напряжение обмотки ВН (соединение в звезду):
Определение
испытательных напряжений обмоток
Испытательные
напряжения определяются по табл. 3.2 [1] для каждой обмотки по ее классу
напряжения
Для
обмотки НН (класс напряжения до 1 кВ) 
Для
обмотки ВН (класс напряжения до 1 кВ) 
Испытательные
напряжения обмоток являются критерием определения всех изоляционных промежутков
в силовом трансформаторе.
Определение
активной и реактивной составляющих напряжения короткого замыкания
Активная
составляющая напряжения короткого замыкания
Реактивная
составляющая
. Расчет
основных размеров трансформатора:
Выбор схемы и конструкции сердечника
Магнитная система трансформатора является основой его конструкции. Выбор
основных размеров магнитной системы совместно с основными размерами обмоток
определяет главные размеры активной части и всего трансформатора. В данной
курсовой работе рассчитывается двухобмоточный трехфазный трансформатор с
плоской магнитной системой стержневого типа со стержнями, имеющими сечение в
форме симметричной ступенчатой фигуры, вписанной в окружность, и с
концентрическим расположением обмоток. Магнитная система выполняется со сборкой
в переплет, с прямыми стыками в среднем стержне и косыми стыками в крайних
стержнях (рис. 1). Прессовка стержней - расклиниванием с обмоткой, прессовка
ярм - стальными балками, стягиваемыми шпильками, вынесенными за пределы ярма.
Рис.1 Магнитная система трансформатора
Выбор марки и толщины листов стали и типа межлистовой изоляции. Выбор
величины магнитной индукции в сердечнике
Сталь
холоднокатаная текстурованная рулонная марки 3405 (класс 2, содержание кремния
2,8-3,8, группа 0) толщиной 0,30 мм. Расчетная индукция 
[1])
Изоляция пластин - нагревостойкое покрытие 
. [1])
Сталь
данной марки обладает низкими удельными потерями, повышенной магнитной
проницаемостью, дает уменьшить массу стали, сделать магнитную систему более
компактной, уменьшить массу металла обмоток, уменьшить потери холостого хода и
короткого замыкания и уменьшить ток холостого хода.
Выбор материала обмоток
Обмотки ВН и НН из медного провода.
Выбор конструкции и определение размеров основных изоляционных
промежутков главной изоляции обмоток
Выбор конструкции обмоток производится по табл. 5.3 [1]
Выбираем обмотки высокого и низкого напряжения. Для обмотки НН выбираем
цилиндрическую многослойную обмотку из прямоугольного провода. Ее основные
достоинства:
простая технология изготовления;
хорошее заполнение окна магнитной системы.
хорошее охлаждение;
Для обмотки ВН выбираем цилиндрическую многослойную обмотку из
прямоугольного провода. Ее достоинства:
простая технология изготовления;
хорошее заполнение окна магнитной системы.
Главная изоляция обмоток (изоляция от заземленных частей и других
обмоток) определяется в основном электрической прочностью и соответствующими
испытательными напряжениями
Изоляция между обмотками ВН и НН осуществляется жесткими
бумажно-бакелитовыми цилиндрами.
Рис.2. Конструкция главной изоляции обмоток трансформатора
трансформатор изоляция
обмотка
По табл. 3.9. [1] и 3.104. [1] принимаем минимально допустимые
изоляционные расстояния от обмотки до стержня и ярма и главные размеры
изоляционных деталей:
-расстояние
от обмотки ВН до верхнего ярма 
расстояние
от обмотки ВН до нижнего ярма 
обмотками
ВН и НН 
10 мм
расстояние
между фазами обмоток ВН 
толщина
картона, расположенного между обмотками ВН и НН 
выступ
указанного цилиндра над обмоткой ВН 
расстояние
от обмотки НН до верхнего ярма 
расстояние
от обмотки НН до нижнего ярма 
расстояние
от обмотки НН до стержня 
толщина
картона, расположенного между обмоткой НН и стержнем 
выступ
указанного цилиндра над обмоткой НН 
.Выбор
коэффициента соотношения основных размеров трансформатора 
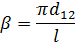
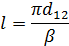
Диаметр окружности, в которую вписано ступенчатое сечение стержня,
является одним из основных размеров трансформатора.
Вторым
основным размером является осевой размер (высота) обмоток 
. Обычно
обе обмотки трансформатора имеют одинаковую высоту. В случае различия в высоте
обмоток трансформатора за 
принимают
их среднее арифметическое значение.
Третьим
основным размером трансформатора является средний диаметр витка обмоток ВН и
НН, т.е. диаметр осевого канала между обмотками 
. Два
основных размера 
и 
связаны
соотношением основных размеров 
:
Выбор
значения 
производим
по таблице 4.1 [1]
Треть
суммы радиальных размеров обмоток
Ширина
приведенного канала рассеяния трансформатора:
Коэффициент
приведения идеального поля рассеяния к реальному полю (коэффициент Роговского)
при определении основных размеров можно принять
Коэффициент
заполнения активным сечением стали площади круга, описанного около сечения
стержня, зависит от выбора числа ступеней в сечении стержня, способа прессовки
стержня и размеров охлаждающих каналов, толщины листов стали, вида
междулистовой изоляции:

(табл.
4.4 [1])
Определение
диаметра стержня и высоты обмотки. Предварительный расчет сердечника
Предварительное
значение диаметра стержня
Полученный
диаметр округляем до ближайшего стандартного диаметра в соответствии с
нормализованной шкалой диаметров
В
соответствии с новым значением 
определяем
уточненное значение 
Второй
основной размер трансформатора 
предварительно
приближенно определяем по формуле

Третий
основной размер трансформатора (высота обмотки)
Для

по
таблице 8.5 [1] определяем площади ступенчатых фигур стержня и ярма
Активное
сечение стержня определяется
Напряжение
одного витка обмотки трансформатора
Число
витков обмоток НН (предварительно)
Уточняем

Уточняем
значение магнитной индукции
Номинальное
число витков обмотки ВН
Средняя
плотность тока в проводах обмоток
Сечение
витка (предварительно)
Обмотка
НН
Обмотка
ВН
. Расчет
обмоток НН и ВН
Выбор обмоток ВН и НН
Для обмотки НН выбираем многослойную цилиндрическую обмотку из
прямоугольного провода. Для обмотки ВН выбираем многослойную цилиндрическую
обмотку из прямоугольного провода.
Расчет обмотки НН [6, с. 57-60]
По
табл. 5.5 подбираем возможно больший размер провода 
и
сечение провода 
так,
чтобы количество параллельных проводов в витке было целым с точностью 1…3 %.
Рис.3
Сечение витка
Записываем
выбранный провод
Уточняем
полное сечение витка
Сечение
витка обмотки (окончательно)
Уточняем
плотность тока
Находим
число витков в слое обмотки

-
двусторонняя толщина изоляции
Находим
число слоев
Определяем
фактический суммарный радиальный размер проводов с изоляцией:
Определяем
предельно допустимое расстояние между охлаждающими каналами 
.
Допустимый
по условию нагрева размер 
для
медных обмоток:

коэффициент,
учитывающий закрытие части поверхности рейками и другими изоляционными деталями
Находим
число концентрических катушек 
, на
которое следует разделить обмотку в радиальном направлении
Определяем
рабочее напряжение двух слоев
По
рабочему напряжению двух слоев по табл 5.9 выбирается число листов и общая
толщина кабельной бумаги 
в
изоляции между двумя слоями обмотки
Высота
обмотки
Радиальный
размер обмотки

радиальный
размер канала
Округляем
полученный размер с точностью до 0,5 мм
Внутренний
диаметр обмотки
Наружный
диаметр обмотки
Поверхность
охлаждения обмотки
Масса
металла обмотки

для
медных проводов
Масса
провода обмотки

увеличение
массы провода за счет изоляции
Коэффициент
добавочных потерь
Под

понимается
число проводов в катушке, уложенных в радиальном направлении (перпендикулярно
линиям магнитного поля рассеяния). Для цилиндрических многослойных обмоток
Коэффициент
заполнения высоты обмотки медным проводом

коэффициент
Роговского
Электрические
потери в обмотке
Тепловая
нагрузка
Расчет
обмотки ВН
В
сухих трансформаторах применяется регулирование напряжения обмотки ВН на 
по
схеме, изображенной на рис. 4. Регулирование ответвления ответвлений выводится
на доску зажимов, и переключение с одной ступени на другую осуществляется при
отключении всех обмоток от сети.
Выбираем
многослойную цилиндрическую обмотку из прямоугольного провода
Число
витков на одной ступени регулирования

относительное
значение напряжения на одной ступени регулирования
Рис.
4. Схема выполнения регулировочных ответвлений
Число
витков на ответвлениях
ступень

ступень

ступень

ступень

1 ступень 
Ориентировочная
плотность тока в обмотке ВН
Ориентировочное
сечение витка
По
таблице 5.5 [1] подбираем возможно больший размер провода и сечение провода,
так чтобы количество параллельных проводников в витке было целым с точностью
1…3%
Рис.5
Многослойная цилиндрическая обмотка из прямоугольного провода
Сечение
витка обмотки (окончательно)
Марка
провода
Плотность
тока в обмотке
Находим
число витков в слое обмотки
Находим
число слоев
Определяем
фактический суммарный радиальный размер провода с изоляцией
Определяем
предельно допустимое расстояние между охлаждающими каналами
Находим
число концентрических катушек на которое следует разделить обмотку в радиальном
направлении
Определяем
рабочее напряжение слоев
По
рабочему напряжению двух слоев выбирается число листов и общая толщина
кабельной бумаги 
в
изоляции между двумя слоями обмотки
Высота
обмотки
Радиальный
размер обмотки

радиальный
размер канала
Округляем
полученный размер с точностью до 0,5 мм
Внутренний
диаметр обмотки
Наружный
диаметр обмотки
Средний
диаметр обмотки
Поверхность
охлаждения обмотки
Масса
металла обмотки

для
медных проводов
Масса
провода обмотки

увеличение
массы провода за счет изоляции
Коэффициент
добавочных потерь
Под

понимается
число проводов в катушке, уложенных в радиальном направлении (перпендикулярно
линиям магнитного поля рассеяния). Для цилиндрических многослойных обмоток
Коэффициент
заполнения высоты обмотки медным проводом

коэффициент
Роговского
Электрические
потери в обмотке
Тепловая
нагрузка
4.
Определение характеристик короткого замыкания
Определение потерь короткого замыкания
Электрические потери РЭ1 и РЭ2 обмоток с учетом добавочных потерь от поля
рассеяния определены выше при расчете обмоток.
Потери в отводах обмоток НН
Масса отводов при соединении НН обмотки в звезду
Потери в отводах обмотки ВН
Масса отводов при соединении ВН обмотки в звезду
Полные потери короткого замыкания
Сравним
полученные потери короткого замыкания с заданным значением 
Определение
напряжения короткого замыкания
Активная
составляющая короткого замыкания
Реактивная
составляющая напряжения короткого замыкания

диаметр
осевого канала
Коэффициент
Роговского
,
Полное
напряжение короткого замыкания
Сравним
полученное напряжение короткого замыкания с заданным
Определение
механических сил в обмотках
Действующее
значение установившегося тока короткого замыкания обмоток
Обмотка
НН
Обмотка
ВН
Мгновенное
максимальное значение тока короткого замыкания обмотки ВН

коэффициент,
учитывающий апериодическую составляющую тока короткого замыкания
Радиальная
сила, действующая на наружную обмотку ВН и стремящаяся растянуть ее
Такая
же радиальная сила, но направленная в противоположную сторону, действует на
внутренние обмотки, стремясь сжать ее. Обе эти силы равномерное распределены по
окружности обеих обмоток.
Напряжение
на разрыв, действующее в проводниках обмотки ВН:
Напряжение
на сжатие, действующее в проводниках обмотки НН
Для
меди допускается 
Осевая
сила
Конечная
температура обмотки 
через 4
секунды после возникновения внезапного короткого замыкания
,
,
Время
достижения температуры 
Рис.
6 Сечение стержня с обмотками
.
Окончательный расчет магнитной системы. Определение характеристики холостого
хода
Определение размеров пакетов и активных сечений стержня и ярма
Принята конструкция трёхфазной плоской шихтованной магнитной системы,
собираемой из пластин холоднокатаной текстурованной стали марки 3405 толщиной
0,3 мм. Стержни магнитной системы прессуются путем расклинивания их с обмоткой.
Размеры пакетов (из табл. 8.2 [1]) Число ступеней в сечении стержня - 6, в
сечении ярма - 5.
Для

по
таблице 8.5 [1] определяем площади ступенчатых фигур стержня и ярма
Активное
сечение стержня определяется
Сечение
ярма
Объем
стали угла
Длина
стержня

расстояние
от нижнего края обмотки до ярма

расстояние
от верхнего края обмотки до ярма
Таблица
1
Размеры
пакетов в сечении стержня и ярма
|
№ пакета
|
Размеры пакетов стержня, мм
|
Размеры пакетов ярма, мм
|
|
1
|
95×16
|
95×16
|
|
2
|
85×10
|
85×10
|
|
3
|
75×7
|
75×7
|
|
4
|
65×5
|
65×5
|
|
5
|
55×4
|
55×4
|
|
6
|
40×4
|
-
|
Расстояние между осями соседних стержней
Определение веса стержня и ярм и веса стали
Масса стали одного угла

плотность
трансформаторной стали
Масса
стали ярм определяется как сумма двух составляющих
Полная
масса двух ярм
Масса
стали стержней
Масса
стали стержней в пределах окна магнитной системы
Масса
стали в местах стыка стержня и ярма

ширина
первого пакета стержня (и ярма)
Полная
масса плоской магнитной системы
Определение
потерь холостого хода
Для
трехфазных шихтованных плоских стержневых магнитных систем потери холостого
хода рассчитываются по формуле

увеличение
потерь в углах магнитной системы

удельные
потери в стержне, определяются по табл. 9.4 для индукции в стержне

удельные
потери в ярме определяются для индукции в ярме

коэффициент,
учитывающий увеличение потерь из-за наклепа при продольной резке рулона стали

коэффициент,
учитывающий увеличение потерь из-за образования заусениц при резке стали

коэффициент,
учитывающий влияние прессовки стержней и ярм на увеличение потерь холостого
хода

коэффициент,
учитывающий увеличение потерь из-за перешихтовки верхнего ярма при установке
обмоток трансформатора

добавочные
потери на вихревые токи в зонах косых стыков магнитной системы

удельные
потери в стыках, определяются для индукции
Определение
тока холостого хода
Активная
составляющая тока холостого хода рассчитывается как
Для
расчета реактивной составляющей тока холостого хода рассчитывают
намагничивающую мощность холостого хода

увеличение
намагничивающей мощности в углах магнитной системы

удельная
намагничивающая мощность в стержне

удельная
намагничивающая мощность в ярме

коэффициент,
учитывающий увеличение намагничивающей мощности из-за наклепа при продольной
резке рулона стали

коэффициент,
учитывающий увеличение намагничивающей мощности из-за образования заусениц при
резке стали

коэффициент,
учитывающий влияние прессовки стержней и ярм на увеличение потерь холостого
хода

коэффициент,
учитывающий увеличение намагничивающей мощности из-за перешихтовки верхнего
ярма при установке обмоток трансформатора

намагничивающая
мощность в зонах косых стыков магнитной системы

удельные
потери в стыках, определяются для индукции
Полный
ток холостого хода
КПД
трансформатора
Заключение
В
ходе выполнения курсового проекта были проведены расчеты трансформатора с заданными
параметрами. Расчеты включали в себя:
расчет
основных электрических величин;
определение
изоляционных расстояний;
расчет
обмотки низкого напряжения (НН);
расчет
обмотки высокого напряжения (ВН);
расчет
параметров короткого замыкания;
расчет
магнитной системы и параметров холостого хода;
Полученные
результаты совпали с номинальными значениями в пределах заданных погрешностей.
Литература
. Сечин
В.И. Проектирование силовых трансформаторов: учеб. Пособие / В.И. Сечин. -
Хабаровск:. Изд-во ДВГУПС, 2005. - 139 с.
. Тихомиров,
П.М. Расчет трансформаторов/ П.М. Тихомиров. - М.: Энергоатомиздат, 1986. - 528
с.
. Гончарук,
А.И. Расчет и конструирование трансформаторов/ А.И. Гончарук. - М.:
Энергоатомиздат, 1990. - 257 с.
. Васютинский,
С.Б. Вопросы теории и расчета трансформаторов/ С.Б. Васютинский.- Л.: Энергия,
1970.
. Дымков,
А.М. Расчет и конструирование трансформаторов/ А.М. Дымков.- М.: Высшая школа,
1971.
. Гераськов
С.А. Расчет трехфазных силовых трансформаторов с масляным охлаждением. Чита,
2005 г. - 152 с.
Приложение
Рис.7 Основные размеры трансформатора
Рис. 8 Главная изоляция обмоток сухого трансформатора