Анализ точности выходных параметров
Содержание
Введение
. Постановка задачи
.1 Анализ задания на проектирования
.2 Получение недостающих данных
.3 Формулировка задачи
. Расчетно-аналитический метод определения
характеристик точности выходного параметра
.1 Краткое пояснение расчетно-аналитического
метода
.2 Исходные данные, используемые в
расчетно-аналитическом методе
.3 Результаты решения задачи
. Моделирование на ЭВМ точности выходного параметра
устройства
.1 Краткое пояснение процедуры моделирования
.2 Вычислительные алгоритмы моделирования
.3 Характеристики первичных параметров,
используемые для моделирования на ЭВМ производственного рассеяния
.4 Список идентификаторов переменных,
используемых в программе для ЭВМ
.5 Программа для ЭВМ
.6 Обоснование числа реализаций на ЭВМ
устройства
.7 Результаты моделирования точности выходного
параметра
. Сравнение точности выходного параметра
Заключение
Список использованных источников
Приложения
Введение
В настоящее время задачи, решаемые РЭУ, все более усложняются, это ведет
к усложнению конструкции РЭУ и требование к поставленным задачам также велики.
Одним из важнейших требований предъявляемой к РЭУ является точность выходных
параметров.
Точность выходного параметра характеризует степень приближения его
истинного значения к номинальному при отклонениях первичных параметров,
соответствующих производственным погрешностям. Неточность выходных параметров
обуславливается производственными отклонениями первичных параметров.
Особое значение приобретает проблема технологической точности в связи с
новыми направлениями в конструировании и производстве РЭА. Современный
технологический процесс все более усложняется, количество его операций
увеличивается. К установившимся сборочно-монтажным операциям добавляются
лакировка радиоэлементов, заливка, термотренировка и др. При многооперационном
технологическом процессе изготовления появляются факторы, существенным образом
влияющих на точность выходных параметров.
Для описания точности параметров элементов на практике пользуются
производственным допуском. Производственный допуск регламентирует предельные
отклонения (разброс, погрешность) параметра, обусловленные чисто
производственными причинами. В настоящее время в инженерной практике существует
два основных метода определения производственных допусков на выходные параметры:
метод Монте-Карло (метод статических испытаний) и расчетно-аналитический метод
с учетом вероятностного рассеивания первичных параметров. Кроме указанных
методом иногда используют метод «min-max». Этот метод широко использовался
ранее, но не оправдал себя, и сейчас его применяют в основном для проверочных
расчетов.
Метод Монте-Карло использующий математическое моделирование, реализуют,
как правило, на ЭВМ. Отечественный и зарубежный опыт показывают, применение ЭВМ
для целей оценки точности выходных параметров способствует повышению
технического уровня изделий, так как на ЭВМ можно смоделировать и просчитать
большее число альтернативных вариантов и выбрать из множества вариантов
наиболее лучший.
Расчетно-аналитический метод определения производственных допусков с
учетом вероятностного рассеивания первичных параметров называют иногда
вероятностным методом расчета допусков.
точность электронный вычислительный программа
1. Постановка задачи
1.1 Анализ задания на проектирование
Исходными данными для выполнения расчетов, согласно заданию на курсовое
проектирование, являются:
1. Электрическая схема устройства «Вычитающий усилитель с высо-ким
входным импедансом»;
. Выходной параметр y-выходное
напряжение;
. Информация о параметрах элементов: R1=1 кОм ± 5%, = 10 кОм ± 10%,тип микросхем DA1 К140УД11.
В таблице 1.1 приведены характеристики элементов.
Таблица 1.1. - Характеристики элементов
|
Элемент
|
Тип
|
Мощность, Вт
|
Номинальное значение, кОм
|
Допуск, %
|
|
|
C2-23
|
0,125
|
1
|
± 5
|
|
|
C2-23
|
0,125
|
10
|
± 10
|
4. Математическая модель для выходного параметра y.
5. Условия эксплуатации по ГОСТ 15150-69 для категории исполнения
УХЛ 4.1.
.2 Получение недостающих данных
Для решения поставленной задачи необходимо знать законы распределения
входных параметров и их числовые характеристики. В инженерной практике
пользуются термином “модель закона распределения параметра”, имея в виду, что
истинный закон распределения может быть вообще нам неизвестен, а вместо него мы
используем некоторое приближение этого закона. Известно более 300 видов моделей
законов распределения, однако широко используется не более 4 - 7 моделей:
нормальная, усеченная нормальная, равномерная, экспоненциальная, логарифмически
нормальная.
Примерно в 95 %
случаев параметры распределены по законам близким к нормальному. Замечено, что
для параметров резисторов и конденсаторов, имеющих допуск ±10 % и более, оправдано использование нормальной модели.
Для резисторов и конденсаторов, имеющих допуск ±5% и менее, в большинстве случаев оправдана гипотеза о
равномерной модели, так как по всей видимости высокая точность параметра
достигалась путем отбора элементов.
Однако для входных напряжений применяется нормальный закон распределения,
даже при допусках <10%,так как на эти напряжения оказывают влияние и другие
составляющие которые в этих допусках могут не учитываться.
Проанализировав
все выше сказанное, делаем вывод о том, что первичные параметры 
, 
, 
распределены
по нормальному закону, а параметр
- по
равномерному закону.
1.3 Формулировка задачи
Анализируя
тему курсового проекта, видно, что нам необходимо провести сравнительную оценку
точности выходного параметра РЭУ (Вычитающий усилитель), полученной методом
Монте-Карло и рассчитанной вероятностным методом. Т.е. при моделировании
значений первичных параметров 
, 
,, и при
расчётно-аналитическом методе будем учитывать только их производственный
разброс.
В
результате решения нашей задачи двумя методами мы получим значения выходного
параметра, математическое ожидание (МО) и среднее квадратическое отклонение
(СКО). Зная эти характеристики, сможем рассчитать половину поля допуска
выходного параметра. Сравнив полученные результаты двумя методами, мы сможем
сделать вывод о точности методов.
2. Расчетно-аналитический метод определения характеристик точности
выходного параметра
.1 Краткое пояснение расчетно-аналитического метода
Все формулы для пояснения расчетно-аналитического метода сведены в
таблицу 2.1
Таблица 2.1 - Расчетные формулы
|
Номер
|
Формулы
|
Описание
|
Коэффициенты влияния первичных
параметров
|
|
|
2.1.2
|
 - математическое ожида-ние (среднее значение)
относи-тельной производственной погреш-ности выходного параметра
|
|
|
2.1.3
|
 - среднее квадратичное отклонение относительной
произ-водственной погрешности выходного параметра
|
|
2.1.4 
-
половина поля допуска относительной производственной погрешности i-го
первичного па-раметра
|
- коэффициент относительного
рассеивания i-го первичного пара-метра, показывающий, насколько закон его
распределения отличается от нормального закона;
|
|
|
|
2.1.5
|
Показатель допуска на выходной
параметр
|
|
2.2 Исходные данные, используемые в расчетно-аналитическом методе
Все исходные данные для расчётно-аналитического метода сведены в таблицу
2.2
Экспериментально
установлено, что для таких параметров как сопротивление резисторов и емкостей
при допуске 
и более
оправдана гипотеза о нормальном законе распределения. Для нормального закона
распределения первичного параметра 
.
Таблица 2.2 - Исходные данные для вероятностного метода
|
Первичный параметр
|
Закон распределения
|
Параметры закона
|
Коэффициент относительного рассеивания    - коэффициент парной корреляции
|
|
|
R1
|
Равномерный
|
M=1 кОм
|
|
0
|
|
R2
|
Нормальный
|
M=10 кОм
|
1
|
0
|
|
|
Нормальный
|
M=200 мВ
|
1
|
0
|
|
|
Нормальный
|
M=150 мВ
|
1
|
0
|
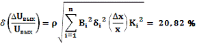
.3 Результаты решения задачи
Для решения задачи нам нужно определить коэффициент влияния каждого
первичного параметра по формуле (2.1.1).
Так как допуск на первичные параметры симметричен, то:
Используя
формулу, приведенную выше получаем: 
.
Предельные отклонения равны:
Примем
вероятность, с которой гарантируется допуск на выходной параметр равной
г=0,9973. Тогда коэффициент гарантированного обеспече-ния допуска:
.
Случайную составляющую допуска частоты определяем по формуле
Производственный допуск:
Полученное значение допуска гарантируется с вероятностью g = 0,9973.
3. Моделирование на ЭВМ точности выходного параметра устройства
.1 Краткое пояснение процедуры моделирования
Укрупнённая структурная схема алгоритма решения задачи методом
моделирования РЭУ на ЭВМ представлена в приложении А.
В таблице 3.1 приводится пояснение функциональных частей укрупнённой
структурной схемы процедуры пояснения интересующих характеристики точности
выходного параметра устройства методом моделирования на ЭВМ.
Таблица 3.1 - Пояснение функциональных частей укрупнённой структурной
|
Номер функциональной части
|
Назначение
|
|
1
|
Ввод исходных данных: mi, уi и wi -среднее значение, среднее
квадратичное отклонение первичного параметра и сведенья о законе его
распределения; i=1,…, n (n - количество первичных параметров); rij, i,j=1,…,
n; i<j; N - количество реализаций выходного
параметра
|
|
3, 5, 6
|
Организация цикла по индексу i. Индексом i учитываются первичные параметры xi; i=1,…, n
|
|
2, 8, 9
|
Организация цикла по индексу j. Индексом j учитываются реализации выходного параметра yj, j=1,..., N
|
|
4
|
|
7
|
Определение значения y, соответствующего j-й реализации РЭУ. Находят путем подстановки в
математическую модель РЭУ (иначе математическую модель выходного параметра
РЭУ) набора значений xi (i=1,…,
n), полученного для j-й реализации РЭУ
|
|
10
|
Статистическая обработка результатов и определение
интересующих характеристик для выбранного параметра
|
|
11
|
Вывод на печать интересующей информации
|
3.2 Вычислительные алгоритмы моделирования
Формулы, используемые для получения на ЭВМ значений параметров элементов
с учетом их производственного разброса и формулы обработки на ЭВМ результатов
моделирования, приведены в таблице 3.2.
Таблица 3.2 - Расчетные формулы алгоритма
|
Формулы
|
Описание
|
|
|
x - нормально распределенная случайная величина; mx, уx - математическое ожидание и СКО x; ri - равномерно распределенное число
в диапазоне (0…1); i -
индекс учета равномерных чисел ri.
|
|
|
x - равномерно распределенная случайная величина; mx, уx - математическое ожидание и СКО x; ri - равномерно распределенное число
в диапазоне (0…1);
|
|
|
М(y) -
математическое ожидание выходного параметра; yi - значение выходного параметра в i-ой реализации; N - количество реализаций.
|
|
|
s(y) -
среднее квадратическое отклонение выходного параметра; yi - значение выходного параметра в i-ой реализации; N - количество реализаций.
|
|
|
 - половина поля допуска (иначе рассеивание).
|
|
|
N - количество реализаций; Д - заданная до проведения
моделирования допустимая погрешность в определении характеристики М(у).
|
|
|
Д - допустимая ошибка в определении сред-него значения
параметра;  - половина поля допуска.
|
.3 Характеристики первичных параметров, используемые для моделирования на
ЭВМ производственного рассеяния
Численные значения величин, используемых для получения на ЭВМ случайных
значений параметров элементов с учетом их производственного разброса в той или
иной реализации приведены в таблице 3.3.
Таблица 3.3 - Исходные данные для моделирования РЭУ
|
Первичный параметр
|
Закон распределения
|
Параметры закона
|
R1 Равномерный 
кОм
|
|
R2 Нормальный 
кОм
|
|
|
|
U1
|
Нормальный
|
|
|
U2
|
Нормальный
|
|
3.4 Список идентификаторов переменных, используемых в программе для ЭВМ
Список идентификаторов переменных вычислительного алгоритма программы
представлен в таблице 3.4.
Таблица 3.4- Список идентификаторов переменных
|
Обозначение параметров
|
Пояснение параметра в формулах, соотношениях
|
|
в программе
|
в формулах
|
|
|
sak[1]
|
щi
|
Закон распределения R1
|
|
sak[2]
|
|
Закон распределения R2
|
|
sak[3]
|
|
Закон распределения R3
|
|
sak[4]
|
|
Закон распределения R4
|
|
nomin[1]
|
Mi
|
Математическое ожидание R1
|
|
nomin[2]
|
|
Математическое ожидание R2
|
|
nomin[3]
|
|
Математическое ожидание R3
|
|
nomin[4]
|
|
Математическое ожидание R4
|
|
sko[1]
|
si
|
СКО R1
|
|
sko[2]
|
|
sko[3]
|
|
СКО R3
|
|
sko[4]
|
|
СКО R4
|
|
N
|
N
|
Число реализаций РЭУ
|
|
i
|
i
|
Индекс количества первичных
параметров
|
|
j
|
j
|
Индекс количества реализаций РЭУ
|
|
n
|
n
|
Количество первичных параметров
|
|
y[j]
|
|
Значение выходного параметра в j-ой реализации
|
|
x[1]
|
xi
|
Смоделированное значение R1 в j-ой
реализации
|
|
x[2]
|
|
Смоделированное значение R2 в j-ой
реализации
|
|
x[3]
|
|
Смоделированное значение R3 в j-ой
реализации
|
|
x[4]
|
|
Смоделированное значение R4 в j-ой
реализации
|
|
k
|
|
Счетчик, помогающий вычислить СКО выходного параметра
|
|
tabl
|
|
Счетчик для заполнения таблицы
|
|
sumy
|
|
Переменная для накопления суммы значений выходного
параметра
|
|
random
|
r
|
Реализация равномерно распределенного числа в диапазоне
(0…1)
|
|
M0
|
M(y)
|
Математическое ожидание выходного параметра
|
|
delta
|
д(y)
|
Половина поля допуска выходного параметра
|
|
sko0
|
s(y)
|
Средне квадратичное отклонение выходного параметра
|
.5 Программа для ЭВМ
Программа реализована на языке программирования Delphi 7.
Программа позволяет находить производственный допуск выходного параметра
при известных номинальных значениях первичных параметров. Рассчитывает
требуемое число реализаций.
Листинг текста программы приведен в Приложении Б.
Структурная схема реализации алгоритма решения задачи анализа точности
выходных параметров методом Монте - Карло на ЭВМ представлена в приложении.
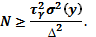
.6 Обоснование числа реализаций на ЭВМ устройства
Для определения требуемого числа реализаций можно воспользоваться
формулой
где

- это
коэффициент, зависящий от доверительной вероятности 
. В
данном случае 
=0,9973
это значит что 

это
допустимая ошибка в определении среднего значения. Для определения величины 
воспользуемся
соотношением:
где
- значение половины поля допуска, приемлемое для практики.
Исходя
из служебного назначения, величина половины поля допуска
должна
составлять не более 5% от M(y).
Учитывая
то, что число r, которое применяется для распределения нормальных или
равномерных случайных величин, повторяться через каждых 106 значений,
что приводит к неточности расчета, примем
Выполнив
начальное число реализаций РЭУ (N=1000), получили М(y)=552,2196 мВ,
у(y)=37,4410.
Следовательно,
N≥.15230. При повторном моделировании примем N=N+1000=16230.
Выполнив данное N=20506 реализаций, получили М(y)= 550,7721 мВ,
у(y)=38,164. Следовательно, N≥20600,
что и выполняется.
3.7 Результаты моделирования точности выходного параметра
В таблице 3.7 приведены реализации исследуемого РЭУ с указанием для всех
элементов значений параметров и выходного параметра, соответствующего
конкретной реализации РЭУ - конкретному сочетанию параметров элементов.
Таблица 3.7 - Реализации исследуемого РЭУ.
|
№
|
R1, кОм
|
R2, кОм
|
U1, мВ
|
U2, мВ
|
|
50
|
0,9884
|
10,4697
|
199,7926
|
153,3016
|
538,9565
|
|
100
|
0,9777
|
10,4396
|
202,5399
|
149,066
|
624,4539
|
|
200
|
1,0384
|
10,2471
|
198,4318
|
152,1088
|
503,4548
|
|
500
|
0,977
|
10,0663
|
201,1112
|
151,1848
|
564,3153
|
|
1000
|
0,9784
|
10,1449
|
201,6484
|
148,0353
|
609,5259
|
|
2000
|
1,0113
|
10,5330
|
197,719
|
150,7150
|
536,565
|
|
3000
|
1,0432
|
10,3189
|
201,3329
|
149,444
|
565,1561
|
|
5000
|
1,0123
|
9,901
|
199,6714
|
147,2149
|
565,5326
|
|
7000
|
0,9877
|
9,8723
|
201,1004
|
154,6072
|
511,4946
|
|
10000
|
0,9776
|
10,0393
|
199,101
|
149,9045
|
554,3984
|
4. Сравнение точности выходного параметра
Результирующие характеристики точности выходного параметра, полученные
вероятностным расчетно-аналитическим методом и моделированием поведения
устройства на ЭВМ, приведены в таблице 4.1.
Таблица 4.1 - Характеристики точности выходного параметра, расчетно-аналитическим
методом и методом Монте-Карло
|
Характеристики точности выходного параметра
|
Вероятностный метод
|
Метод Монте-Карло
|
|
Производственный допуск Дпр, %
|
20,82
|
20,7905
|
Сравнив
результаты полученные с помощью метода Монте-Карло 
и
вероятностным методом 
видим,
что разница между ними в 0,03. Различия объясняются тем, что метод Монте-Карло
является методом статических испытаний и дает более точный и достоверный
результат в сравнении с другими методами. В свою очередь расчетно-аналитический
метод проще и быстрее реализуется.
Метод Монте-Карло является методом статистических испытаний, а
вероятностный - расчетно-аналитическим методом. Они не исключают, а дополняют
друг друга, и их необходимо разумно сочетать в инженерной практике.
Метод Монте-Карло позволяет варьировать законами распределения входных
(первичных) и выходных параметров, что придает этому методе универсальность. В
реализации данного метода можно численно задавать ошибку в определении
математического ожидания выходного параметра, что требует только машинных
затрат. Большое количество реализаций процесса или устройства реализовывать не
выгодно из экономических соображений. Однако при малом количестве испытаний
доверять, а в последствии и использовать полученные данные, нельзя из-за их
неточности, вследствие недостаточности проведенных опытов.
Однако не следует отбрасывать вероятностный метод расчета допусков. Он,
как уже говорилось, является наиболее совершенным из расчетно-аналитических
методов и позволяет наиболее правильно учитывать случайный характер как
входных, так и выходных параметров и позволяет с достаточной точностью решить
поставленную задачу при незначительных затратах. Его точность сопоставима с
точностью, получаемой при методе Монте-Карло с использованием математического
моделирования, что показал данный курсовой проект.
Полученные результаты (точность выходного параметра - выходного
напряжения) для исследуемого устройства «Вычитающий усилитель» являются не
вполне приемлемыми.
Зачастую, для предварительного усиления слабого сигнала в высокоточных
системах от усилителя требуются высокие параметры точности коэффициента
усиления, а значит и выходного напряжения. Полученная для заданных параметров
элементов оценка точности выходного параметра не является приемлемой для такого
устройства. Полученный производственный допуск означает то, что выходное
напряжение вычитающего усилителя в зависимости от разброса значений элементов,
входящих в схему, может изменяться относительно номинального значения на
±20,82%.
Уменьшить производственный допуск на выходной параметр можно путем выбора
элементов с меньшими допусками.
Список использованных источников
1. Боровиков С.М. Теоретические основы конструирования,
технологии надежности: Учебник для студентов инженерно-технических
специальностей ВУЗов. - Мн.: Дизайн ПРО, 1998. - 336 с.
. Боровиков С.М., Колбун В.С., Малышева Т.В.
Теоретические основы конструирования, технологии надежности:
Учебно-методическое пособие к курсовому проектированию для студ. Спец. МиКПРЭС
и ПиПРЭС. - Мн.: БГУИР, 2004. - 56 с.
. Межгосударственный стандарт. ЕСКД. Общие требования
к текстовым документам. ГОСТ 2.105-95. Введ. с 01.07.96. Взамен ГОСТ 2.105-79,
ГОСТ 2.906-71. - Мн.: ИПК Изд-во стандартов, 1996. - 36с.
. Единая система программной документации. Схемы
алгоритмов, программы данных и систем. Условные обозначения и правила
выполнения. ГОСТ 19.701-90. Введ. с 01.01.92. Взамен ГОСТ 19.002-80, ГОСТ
19.003-80. - Мн.: Изд-во стандартов, 1991. - 26с.
Приложение А
Укрупнённая структурная схема алгоритма решения задачи методом
моделирования РЭУ на ЭВМ
Приложение Б
Текст программы для ЭВМ
unit Unit1;, Messages, SysUtils, Variants, Classes, Graphics,
Controls, Forms,, StdCtrls, ExtCtrls, Buttons, TeEngine, TeeProcs,;=
class(TForm): TEdit;: TEdit;: TEdit;: TEdit;: TEdit;: TEdit;: TEdit;: TEdit;:
TStringGrid;: TRadioGroup;: TRadioGroup;: TRadioGroup;: TRadioGroup;: TLabel;:
TLabel;: TLabel;: TLabel;: TLabel;: TLabel;: TLabel;: TLabel;: TMemo;:
TButton;FormCreate(Sender: TObject);Button1Click(Sender: TObject);
{ Private declarations }
{ Public declarations };: TForm1;
{$R *.dfm}norm(nom, pol: real): real;: byte;: real;:= 0;i :=
1 to 12 do:= s + random;((s - 6 > -3) and (s - 6 < 3));:= (s - 6) *
(pol/3) + nom;;ravn(nom, pol: real): real; := pol*(2*(random)-1) +
nom;;TForm1.Button1Click(Sender: TObject);, sko, x, y: array of real;: array of
byte;, j, k: integer;, tabl: byte;, M0, sum, sko0, delta, d: real;
RANDOMIZE;
setlength(nomin, 7);[1] := strtofloat(Edit1.text);[2] :=
strtofloat(Edit2.text);[3] := strtofloat(Edit3.text);[4] :=
strtofloat(Edit4.text);(sko, 7);[1] := strtofloat(Edit5.text);[2] :=
strtofloat(Edit6.text);[3] := strtofloat(Edit7.text);[4] :=
strtofloat(Edit8.text);(sak, 7);RadioGroup1.ItemIndex of
: sak[1] := 0;
: sak[1] := 1;;RadioGroup2.ItemIndex of
: sak[2] := 0;
: sak[2] := 1;;RadioGroup3.ItemIndex of
: sak[3] := 0;
: sak[3] := 1;;RadioGroup4.ItemIndex of
: sak[4] := 0;
: sak[4] := 1;;(x, 7);(y, 100000);:= 21000;:= 1;:= 0;:= 1;j
<= N doi := 1 to 4 dosak[i] = 0 then[i] := norm(nomin[i], sko[i])[i] :=
ravn(nomin[i], sko[i]);;[j] := (x[3]-x[4])*(1+x[2]/x[1]);:= sumy + y[j];(j =
50) or (j = 100) or (j = 200) or (j = 500) or (j = 1000) or (j = 2000) or (j =
3000) or (j = 5000) or (j = 7000) or (j = 10000) then:= sumy / j; := 0; // СКОk
:= 1 to j do:= sum + sqr(y[k] - M0);:= sqrt(sum/(j - 1));.Cells[1, tabl] :=
floattostrF(x[1], ffFixed, 8, 4);.Cells[2, tabl] := floattostrF(x[2], ffFixed,
8, 4);.Cells[3, tabl] := floattostrF(x[3], ffFixed, 8, 4);.Cells[4, tabl] :=
floattostrF(x[4], ffFixed, 8, 4);.Cells[5, tabl] := floattostrF(y[j], ffFixed,
8, 4);.Cells[6, tabl] := floattostrF(M0, ffFixed, 8, 4);.Cells[7, tabl] :=
floattostrF(sko0, ffFixed, 8, 4);.Cells[8, tabl] := floattostrF((abs(3 * sko0 *
100 / M0)), ffFixed, 8, 4);:= tabl + 1;;j = N then:= sumy / N;:= 0; // СКОk :=
1 to N do:= sum + sqr(y[k] - M0);0 := sqrt(sum / (N - 1));
delta :=
(nomin[3]- nomin [4])*(1+ nomin [2]/ nomin [1])* (5 / 100); := (3*sko0*100)/M0;
if N < ((9 *
sqr(sko0)) / (sqr(0.03 * delta))) then:= Round((9 * sqr(sko0)) / (sqr(0.03 *
delta))) + 500;;:= j + 1;.Lines.Add('-----------------------');1.Lines.Add('Количество реализаций: ' + inttostr(N));
Memo1.Lines.Add('Мат.ожидание: ' + floattostrF(M0, ffFixed,
8,4) + ', мВ');
Memo1.Lines.Add('СКО: ' + floattostrF(sko0,
ffFixed,8,4) + ', мВ');
Memo1.Lines.Add('Половина поля допуска: ' + floattostrF(d, ffFixed,
8, 4) + ' %');
Memo1.Lines.Add('-----------------------');.Lines.Add('
');;;TForm1.FormCreate(Sender: TObject);.Clear;.text := '1';.text := '10';.text
:= '200';.text := '150';.text := '0,05';.text := '1';.text := '4';.text :=
'7,5';.ItemIndex := 1;.ItemIndex := 0;.ItemIndex := 0;.ItemIndex := 0;.Cells[0,
1] := inttostr(50);.Cells[0, 2] := inttostr(100);.Cells[0, 3] :=
inttostr(200);.Cells[0, 4] := inttostr(500);.Cells[0, 5] :=
inttostr(1000);.Cells[0, 6] := inttostr(2000);.Cells[0, 7] :=
inttostr(3000);.Cells[0, 8] := inttostr(5000);.Cells[0, 9] :=
inttostr(7000);.Cells[0, 10] := inttostr(10000);.Cells[0, 0] := 'N';.Cells[1,
0] := 'R1';.Cells[2, 0] := 'R2';.Cells[3, 0] := 'Uвх1';.Cells[4, 0] :=
'Uвх2';.Cells[5, 0] := 'Uвых';.Cells[6, 0] := 'Мат.ожид *';.Cells[7, 0] := 'СКО
*';.Cells[8, 0] := 'Допуск *';;
end.
Приложение В
Протокол решения задачи на
ЭВМ
Рисунок 1 - Скриншот экрана
программы
Приложение Г
Ведомость документов к
курсовой работе
|
Обозначение
|
Наименование
|
Дополнительные сведения
|
|
Текстовые документы
|
|
|
БГУИР КР 1-38 02 03 003 ПЗ
|
Пояснительная записка
|
16 с.
|
|
Графические документы
|
|
|
ГУИР.423143.001 Э3
|
Схема электрическая принципиальная
|
Формат А4
|
|
|
|
|
|
БГУИР КР 1-38 02 03 003 Д1
|
|
|
|
|
|
|
|
|
|
|
|
|
|
Изм.
|
Л.
|
№ докум.
|
Подп.
|
Дата
|
Вычитающий усилитель Ведомость курсового проекта
|
Лит
|
Лист
|
Листов
|
|
Разраб.
|
Лаврова
|
|
|
|
|
Т
|
|
21
|
21
|
|
Пров.
|
Малышева
|
|
|
|
|
|
|
|
|
|
|
|
|