|
Показатели
|
Тип
верхнего строения пути
|
|
Средний
|
|
Грузонапряжённость
|
52
|
|
Максимальная
нагрузка на рельсы от колёсной пары локомотива (т)
|
25,0
|
|
Максимальная
нагрузка на рельсы от колёсной пары вагона (т)
|
24,0
|
|
Максимальная
скорость пассажирских поездов км/ч
|
200
|
|
Максимальная
скорость грузовых поездов км/ч
|
90
|
|
Параметры
верхнего строения пути
|
|
Тип
рельсов
|
Р
65
|
|
Качество
рельсов
|
термоупрочнённые
|
|
Шпалы
|
Деревянные
и ж/б
|
|
Конструкция
пути
|
Звеньевой
и бесстыковой
|
|
Количество
шпал на 1 км пути на прямых участках
|
1840
|
|
Количество
шпал на 1 км пути на кривых при радиусах более 2000 м.
|
1840
|
|
Количество
шпал на 1 км пути на кривых при радиусах более 1200 м.
|
2000
|
|
Балласт
|
Щебёночный
на песчаной подушке
|
|
Ширина
балластной призмы поверху на двухпутных м.
|
7,50
|
|
Ширина
плеча м.
|
0,35
|
|
Толщина
балластной призмы щебёночного слоя м.
|
0,30
|
|
Песчаная
подушка м.
|
0,20
|
Тип верхнего строения
пути - средний
.2 Верхнее строение пути на станциях
При выборе типа верхнего строения пути на
станциях, разъездах и обгонных пунктах необходимо руководствоваться следующим:
а) на главных путях применяют рельсы такого же
типа, что и на главных путях перегона;
б) на приемоотправочных путях - на один тип ниже
укладываемых на главных путях или старогодние рельсы того же типа;
в) на сортировочных, вытяжных
погрузочно-выгрузочных, деповских и других станционных путях укладываются
рельсы старогодние типа не ниже Р43, в горловине сортировочных горок - не ниже
Р50.
Число шпал на 1 км пути для главного
станционного пути принимают такое же, что и для главных путей перегонов; на
приемоотправочных путях, сортировочных горках - 1600 шп./км; на прочих
станционных путях - 1440 шп./км.
Вид балласта и его толщину на главных путях
принимают по нормам, установленным для перегонов.
На приемоотправочных и других станционных путях
применяют однослойный асбестовый, гравийный, гравийно-песчаный балласт. Толщина
балластного слоя под шпалой зависит от вида грунта земляного полотна. Так, для
приемоотправочных путей при земляном полотне, сложенном из глинистых и
недренирующих песков, ее принимают равной 30 см, а при скальных,
крупнообломочных и песчаных дренирующих - 25 см. Толщина балластного слоя на
прочих станционных путях принимаются на 5 см меньше, чем при аналогичных
условиях для приемоотправочных путей.
Выбор стрелочных переводов зависит от их
назначения. Для безостановочного пропуска поездов при разветвлении главного
пути и в путепроводных развязках принимают стрелочные переводы пологих марок
1/18, 1/22, а в отдельных случаях 1/11. Для приема и отправления пассажирских
поездов по боковому пути укладывают переводы марки 1/11; для приема и
отправления грузовых поездов по боковому пути 1/9. При этом стрелочные переводы
должны соответствовать типу рельсов, укладываемых в соответствующие станционные
пути.
.3 Расчет срока службы рельсов по одиночному
выходу
В связи с массовой укладкой в путь термически
упрочненных рельсов сроки сплошной смены рельсов устанавливаются в прямых
участках пути и кривых больших радиусов исходя из условий ограничения общего
количества рельсов γ, изымаемых из
пути в одиночном порядке за весь срок их службы в результате дефектности. В
кривых малых радиусов этот срок устанавливается по износу головки рельсов (преимущественно
по боковому).
Допустимый тоннаж Тр. од по условиям
одиночного выхода рельсов можно определить по методике, предложенной Г.М.
Шахунянцем, млн. т:
λр
-коэффициент, учитывающий термическую обработку рельсов, (для незакаленных
рельсов λр
= 1,0; для термически упрочненных λр
= 1,5-2,0);р - длина рельса, (25 м);
А - коэффициент, зависящий от радиуса кривой,
причем А = 0 при R ≥ 1200, что имеет место в данном задании;
αмер
- коэффициент, учитывающий различные мероприятия по удлинению срока службы
рельсов в кривых (лубрикация и др.). При отсутствии мероприятий αмер
= 1; при реализации мероприятий, обеспечивающих одинаковый выход рельсов на
кривых и прямых, αмер
= 0;- радиус кривой, (2000 м);
Рд.н - средневзвешенные по тоннажу
нормативные значения динамической нагрузки на ось, при которых были определены γ
(Рд.н
= 31,0 т/ось - для рельсов Р65 и Р75);
Рд.ф - средневзвешенные по тоннажу
фактические значения динамической нагрузки на ось, (31 т/ось);- погонная масса
выбранного типа рельса, кг/пог. м;
γ - принятое
предельное суммарное одиночное изъятие рельсов из пути по дефектам за весь срок
их службы, шт./км (для рельсов Р65 γ = 5,2).
Срок службы рельсов tр (количество
лет), по которому назначается периодичность капитального ремонта, при
постоянной грузонапряженности Т0 в курсовой работе можно определить
по формуле
1.4 Определение сроков службы балласта
Срок службы балласта Тб в млн. т
груза брутто, который может быть пропущен по пути до достижения предельного
засорения балласта, можно рассчитать по следующей формуле, млн. т:
-
максимально допустимая величина загрязнения балласта перед очисткой или полной
заменой его (для щебня 35-40%, для карьерного гравия и песка 15%, для ракушки
20%);- допускаемая величина загрязнения балласта при укладке в путь (для щебня
до 5%, для карьерного гравия до 6%, для ракушки и песка до10%);- интенсивность
засорения и загрязнения балласта по весу от прохода 1 млн. т груза брутто.
Для
нормальных условий эксплуатации пути при щебеночном балласте k можно принять:
для пути с рельсами Р65 - 0,15-0,23.
Срок
службы балласта tб (количество лет) при постоянной
грузонапряженности Т0 и при известном Тб определяется:
2.
Расчет и проектирования эпюры одиночного обыкновенного стрелочного перевода
.1
Основные положения
Для
упрощения расчетов принято, что радиус остряка R0 равен радиусу
переводной кривой R, хотя в стрелочных переводах, выпускаемых промышленностью,
как правило, R0 делают большее R, а в ряде конструкций остряк
очерчен по кривой, составленной несколькими радиусами. Схема одиночного
обыкновенного стрелочного перевода приведена на рис. 2.
Рис.
2. Схема одиночного обыкновенного стрелочного перевода
Принятые
обозначения величин и размеров взяты из учебника:
М
- марка крестовины, равная tg α;
α
- угол
крестовины;
β1 - начальный
угол остряка между касательной к рабочей грани остряка у его острия и рамным
рельсом;
β
- полный
стрелочный угол между касательной к рабочей грани остряка в его корне и рамным
рельсом;
φ
- угол
поворота остряка, соответствующий его дуге, φ = β - β1;0
- радиус остряка (и в данном случае переводной кривой, R0 = R);-
хвостовая часть крестовины;- передняя часть крестовины;- прямая вставка от
конца переводной кривой до математического центра крестовины Ок;-
передний выступ рамного рельса;1 - задний выступ рамного рельса;0
- длина криволинейного остряка (по дуге окружности);0’ -
проекция остряка на прямое направление;t - теоретическая длина
стрелочного перевода;р - полная длина стрелочного перевода;0,
b0, a, b - осевые размеры;0, g - расстояния до
предельного столбика соответственно от математического центра крестовины Ок
и от центра перевода Ос.
Итак,
исходными данными являются:
а)
марка крестовины М;
б)
конструктивный тип крестовины: цельнолитая или сборная типа общей отливки
сердечника с наиболее изнашиваемой частью усовиков;
в)
тип рельсов;
г)
конструкция остряка - принят криволинейный остряк с профилем острякового рельса
пониженного типа;
д)
начальный угол остряка β1.
Для
построения эпюры стрелочного перевода в процессе расчета необходимо определить:
)
геометрические размеры крестовины;
)
радиус остряка и переводной кривой;
)
геометрические размеры стрелки;
)
основные и осевые размеры стрелочного перевода;
)
длины рельсов, входящих в стрелочный перевод;
)
местоположение стрелочных брусьев род переводом, т.е. компоновка эпюры
стрелочного перевода.
Все
расчеты выполняются с точностью до 1 мм, что требует применения тригонометрических
функций с мантиссой не менее шести знаков; значение постоянной π также
берется с точностью до шестого знака: 3,141593. Когда в результате расчетов
искомые размеры получают с точностью до долей миллиметра, следует ограничиться
точностью до 1 мм, округлив и отбросив всю дробную часть.
.2
Определение размеров крестовины
Расчет
обычно начинают с определения крестовинного угла по заданной марке крестовины.
Если
M = 1/N = tg α,
то
где
1/N - значение марки крестовины, задаваемое обычно в следующих пределах: 1/9,
1/10, 1/11, 1/12, 1/13, 1/14, 1/15, 1/16, 1/17, 1/18.
Чтобы
найти α,
нужно
величину tg α
выразить
в виде десятичной дроби с точностью до шестого знака. Затем по таблицам
тригонометрических функций найти, какому углу соответствует значение М = tg α.
Расчет
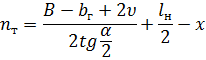
крестовины сводятся к определению минимальных размеров хвостовой m и передней n
частей, которые вычисляют в зависимости от конструкции крестовины.
Сначала
определяют так называемые теоретические размеры nт и mт.
Рис.
3. Расчетная схема крестовины
Крестовина
сборная, типа общей отливки сердечника с наиболее изнашиваемой частью усовиков
Минимальную
переднюю часть определяют по формуле
Минимальную
хвостовую часть - по формуле
Если
принять tg α
≈ 2tg α/2 вследствие
малой ошибки при малых углах, то, учитывая, что M = 1/N = tg α,
где
B - ширина подошвы рельса (132 мм);г - ширина головки рельса (70
мм);
2υ
- расстояние
между подошвами усовых рельсов, обеспечивающее постановку первого болта (185
мм);

- длина стыковой накладки (820мм);-
расстояние от конца накладки до оси первого болта отверстия (50 мм).
Полная теоретическая длина
крестовины:
т= nт +
mт,т=3571+2691=6262 мм.
Практическая длина передней n и
хвостовой m частей и крестовины в целом определяются из условия раскладки брусьев.
Брусья укладывают перпендикулярно к
биссектрисе крестовинного угла на протяжении всей длины крестовины.
Найдем расстояние АВ между крайними
стыковыми брусьями по прямому направлению:
=(mт+nт) - c ,
АВ= (2691+3571)-440=5822мм.
Где с- стыковой пролет
Рис. 3 Схема раскладки брусьев под
крестовиной.
Тогда АВ набирается целым числом nк
пролетов, кратных хотя бы 10 мм или в крайнем случае - 5 мм, при этом добавка в
АВ, необходимая для раскладки брусьев, составит:
= nк·а-АВ,к=
к=5822/550=10,59
≈ 11 пролётов
∆ = 11*550-5822=228мм.
где а - принятый при раскладке
брусьев пролет (500-550 мм), принимаем пролёт равный 550 мм.
Величина
чаще
добавляется к теоретической длине передней части крестовины, тогда практическая
длина
пр.= nт+
пр=
+228= 3799мм.
а практическая длина хвостовой части
будет равно
пр.= mт.=
мм.
В дальнейшем в расчете будут
использоваться только практические значения, поэтому для упрощения они будут
обозначаться без индексов.
Перед математическим центром
крестовины Ок прямой участок k (прямая вставка) по боковому пути
должен заходить за передний стык крестовины не менее чем на половину длины
стыковой накладки, тогда величина минимальной прямой вставки
k ≥ n+
,
k ≥ 3799+820/2 = 4209мм.
.3 Определение радиуса остряка и переводной
кривой
Учитывая, что у нас радиусы остряка и переводной
кривой одинаковы, величина R определяется из уравнения, связывающего основные
геометрические размеры стрелочного перевода:
где S0 - ширина колеи в крестовине,
равная 1520 мм.
Это уравнение получается проектированием
криволинейного контура упорной нити АВКОк (см. рис.2) на
вертикальную ось.
Отсюда
при этом величина R определяется с точностью до
1мм, поэтому все величины подставляются в формулу с максимальной точностью.
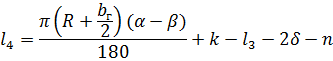
.4 Определение размеров стрелки
Расчет размеров стрелки в данном случае сводится
к определению длины остряка и рамного рельса, под которым раскладывают также
брусья.
Рис. 4. Схема примыкания остряка к рамному
рельсу
Длина криволинейного остряка из рис. 4
Где

;
здесь β - полный
стрелочный угол;
β1 - начальный
угол остряка;
В этой формуле Un -
расстояние между рабочей гранью рамного рельса и рабочей гранью остряка в его
корне.
Из рис.5 следует, что
где tmin - ширина желоба
для свободного прохода колесной пары с минимальной насадкой; принимается ≈
67 мм;г - ширина головки острякового рельса; принимается равной
ширине головке рельса соответствующего типа;
z - стрелка дуги радиусом R, образуемой
криволинейным остряком и его продолжением до точки D, лежащей на хорде CD; эта
хорда стягивает дугу DABC и проходит параллельно равному рельсу.
Величина z по Е.К. Смыкову определяется для
различных радиусов остряка из условия пропорциональности
где zc, Rc, z и R -
величины стрелок и радиусов соответственно для существующего и проектируемого
переводов.
В интервале радиусом от 300 до 1500 м z
изменяется линейно, пропорционально радиусу в пределах от 13 до 65 мм. При
больших радиусах следует принимает максимальную величину 65 мм, при величинах
менее 300 м - 13 мм.
Все расчеты при определении l0
производятся с точностью до 1 мм. Поэтому число π
берется, как и раньше, с точностью до шестого знака.
Длина прямого остряка принимается равной
проекции криволинейного остряка на рамный рельс:
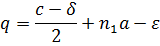
Длина рамного рельса lр.р
определяется из рис.6 как сумма трех его отрезков: переднего выступа q,
проекции остряка на рамный рельс l0’ и заднего выступа q1:
Передний выступ рамного рельса определяют из
условия раскладки брусьев:
где δ - стыковой
зазор, равный 8-10 мм;1 - количество пролетов величиной а,
принимаемое от 3 до 8;
ε - забег остряка за
ось флюгарочного бруса А, равный, как правило, 41 мм.
Рис. 5. Схема раскладки брусьев под рамным
рельсом
Задний выступ может определиться, во-первых, из
аналогичного условия
где n2 - количество пролетов от 2 до
5.
В этом случае для раскладки брусьев
под 
определяется расстояние
и набирается по возможности
принятыми пролетами а, но как правило, появляются и случайные величины
пролетов.
Под остряком брусья раскладываются
по возможности со стандартными принятыми пролетами а, кроме первого
флюгарочного пролета а1, который берется обычно в пределах 600-700
мм.
Расстояние
набирается пролетами, часть которых
также не удается принять стандартными.
Стыки во всех случаях следует
устраивать на весу в стандартном пролете c.
Таким образом переводные брусья
разложены по расчету на протяжении всей стрелки (под рамным рельсом) и под
крестовиной.
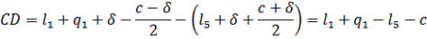
.5 Определение основных и осевых
размеров стрелочного перевода
К основным размерам относят
теоретическую длину Lt и полную длину стрелочного перевода Lp.
Осевыми размерами принято считать
расстояния от центра перевода: а) до острия пера остряков - а0; б)
до конца рамного рельса - а; в) до математического центра крестовины - b0;
г) до конца хвостовой части крестовины - b (см. рис.2).
Теоретическая длина стрелочного
перевода определяется в общем случае, когда радиус остряка R0 не
равен радиусу переводной кривой R, по формуле
В нашем случае при R0 = R
формула упрощается:
Полная длина перевода
Осевые размеры определяются по
формулам
где S0 = 1520 мм;
Отсюда следует, что

Расстояние g0 и g,
определяющие местоположение предельного столбика (см. рис.2), находят по
формулам
где, как и прежде, N - знаменатель марки
крестовины.
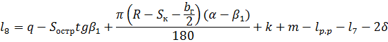
2.6 Определение длин рельсов, входящих в
стрелочный перевод
При расчете стрелочного перевода определяют, как
правило, длины рельсов l2, l4, l6 и l8
(рис.6)
Рис. 6. Схема раскладки рельсов в стрелочном
переводе
Длины рельсов l1, l3, l5,
l7 принимают стандартными, равными 12,5 м (или пологих марках
крестовин) 25,0 м.
Искомые размеры рельсов определяют по следующим
формулам:


- ширина колеи в пределах
переводной кривой, принимаемой по ПТЭ 1520 мм;

- ширина колеи в начале остряков,
обычно равная 1524-1528 мм.
Если размеры рельсов получаются
менее 4,5 м (а иногда даже отрицательные), следует лежащие перед ними нечетные
(стандартной величины 12,5 или 25,0 м) рельсы принять меньшей длины. Если они
были взяты равными 25,0 м, то их принимают по 12,5 м; если же они были равны
12,5 м, их также делают пополам по 6,25 м.
.7 Компоновка эпюры стрелочного
перевода
Эпюрой стрелочного перевода называют
его схему в определенном масштабе с указанными основными размерами и длинами
рельсов, увязанными с раскладкой брусьев.
Вычерчивание эпюры обычно ведется в
масштабе 1:50.
После вычерчивания в масштабе схемы
перевода с указанием стыков наносят раскладку брусьев под стрелкой, т.е. под
передним и задним выступами рамного рельса и под остряком, а также под крестовиной,
где они были разложены ранее при расчетах стрелки и крестовины.
Затем парами стыковых брусьев
перекрываются все стыки, которые, как правило, устраивают на весу. При этом
передний стык крестовины перекрыт брусьями, лежащими перпендикулярно к оси крестовины,
т.е. так же, как и все брусья под крестовиной (рис.7).
Рис. 7. Схема компоновки эпюры стрелочного
перевода
Компоновка эпюры включает раскладку брусьев под
участками A3B3, CD и EF, которые ограничены соответствующими
стыковыми брусьями.
Расстояния A3B3, CD и EF
определяются по формулам
Найденные расстояния набираются по возможности
теми же пролетами, что и принимавшиеся ранее при раскладе брусьев под стрелкой
и крестовиной. Однако неизбежно попадают пролеты и другой величины, которые
необходимо стремиться брать хотя бы кратными 10 или 5 мм. Теи не менее, в число
пролетов, составляющих каждый из найденных отрезков A3B3,
CD и EF, входит по одному - два пролета случайной величины, которые, однако, не
должны резко отличаться от стандартных.
Наклон крестовинных брусьев в плане под углов α/2
к
перпендикуляру, проведенному к прямому пути, "разгоняется" на
протяжении 4-6 пролетов от передних стыковых брусьев крестовины, где брусья
укладываются веерообразно.
В комплектных переводных брусьев входят брусья
длиной от 2,75 до 5,25 м (с изменением длины через 0,25 м). Количество их
каждой категории длины определится графически из условия, что выступ бруса
наружу от рабочей грани крайних рельсов не должен быть менее 490 мм.
Ширина колеи указывается в основных, наиболее
ответственных местах стрелочного перевода: в переднем стыке рамных рельсов, у
острия пера и в корне остряков, в середине переводной кривой, в крестовине.
Назначать ширину колеи следует, руководствуясь
соответствующими размерами в существующих стрелочных переводах.
Таким образом, на миллиметровке должна быть
вычерчена в выбранном масштабе схема стрелочного перевода с указанием всех
размеров и координат переводной кривой и эпюра с указанием всех пролетов между
осями брусьев.
Здесь же приводятся таблицы с указанием
количества и длины рельсов, а также переводных брусьев.
3. Определение продолжительности
"окна" для производства основных работ
при капитальном ремонте пути
.1 Основные положения
Капитальный ремонт - самый трудоемкий из всех
видов ремонта пути. Он требует предоставления специальных "окон" в
графике движения поездов. "Окна" - это перерывы в движении поездов,
во время которых специальные путевые машины и механизмы в сопровождении бригад
монтеров пути выполняют путевые работы. Комплекс работ по капитальному ремонту
пути включает: сборку новой и разборку старой путевой решетки на базе,
подготовительные, основные (в "окно" и после "окна"),
отделочные работы и замену инвентарных рельсов сварными рельсовыми плетями (при
укладке бесстыкового пути).
Продолжительность "окна" определяется
на основании построения технологического процесса производства основных работ.
В данном случае определяется так называемое необходимое "окно", т.е.
время, потребное для выполнения всех путевые работ, связанных с заменой путевой
решетки. Оно зависит от технической производительности путевых машин и
механизмов, применяемых в данных конкретных условиях, фронта работ, т.е. от
длины участка, подлежащего ремонту, а также от местных условий производства
работ (количества путей, конструкции пути и т.д.).
В отличие от необходимого существуют и другие
понятия "окна" - возможное и оптимальное.
Продолжительность возможного "окна"
характеризует максимальный отрезок времени, оставшийся от суток, на который
можно закрыть данный перегон, пропустив все суточные графиковые поезда по
максимально уплотненному графику.
Оптимальное "окно" соответствует
такому отрезку времени закрытия перегона, при котором все расходы на
производства работ на заданном фронте и расходы из-за простоя поездов будут
минимальными. Некоторые авторы понятие оптимального "окна" связывают
с минимум лишь непроизводительных расходов при производстве путевых работ, а
также расходов в результате простоя поездов.
В зависимости от конструкции верхнего строения
пути до и после капитального ремонта (длины рельсов, материала шпал и рода
балласта) различают следующие виды ремонтов:
) капитальный ремонт бесстыкового пути на
железобетонных шпалах и щебеночном балласте;
) капитальный ремонт звеньевого пути на
щебеночном балласте с укладкой железобетонных или деревянных шпал;
) капитальный ремонт звеньевого пути с
постановкой на щебень и укладкой железобетонных или деревянных шпал.
.2 Технологический процесс производства
капитального ремонта пути
Под технологическим процессом того или иного
вида ремонта пути понимают совокупность сведений об условиях производства
путевых работ, характере существующего пути и пути после ремонта, средствах
механизации и их расстановке, последовательности выполнения отдельных видов
путевых работ, требуемом количестве и расстановке рабочей силы и т.д.
При проектировании технологического процесса
капитального ремонта пути главную задачу представляет планирование основных
работ, требующих предоставления "окна". Продолжительность его зависит
от объема работ по смене путевой решетки (фронта работ Lф), вида
капитального ремонта, применяемых путевых машин и других факторов. Протяжение
фронта работ в "окно" зависит от годового объема работ, количества
рабочих дней в сезоне, периодичности предоставления "окон". В данном
задании Lф 2200 м.
Последовательность работ, выполняемых в
"окно", может быть различна в зависимости от существующей конструкции
пути и типа верхнего строения, укладываемого в процессе капитального ремонта, а
также от средств механизации, имеющихся на вооружении на данной путевой
машинной станции.
Верхнее строение пути до ремонта принято
следующим: рельсы - Р65 длиной 25 м, шпалы - деревянные, балласт - щебеночный
загрязненный; после ремонта: рельсы - Р65, шпалы - железобетонные, балласт -
щебеночный очищенный, с добавлением нового. После обкатки пути поездами
уложенные в путь инвентарные рельсы длиной 25 м заменяются во время специально
предоставляемого для этого "окна" на бесстыковые рельсовые плети.
При выполнении капитального ремонта пути
используются следующие тяжелые путевые машины: щебнеочистительная машина ЩОМ-4
или ЩОМ-4М, путеукладочные краны УК-25/9 для разборки и укладки звеньевого пути
на деревянных шпалах звеньями длиной 25 м и УК-25/9-18 для снятия и укладки звеньев
пути длиной 25 м на железобетонных шпалах, планировщик с гусеничным трактором
для планировки балластного слоя между разборкой и укладкой пути,
хоппер-дозаторные составы для перевозки, выгрузки и дозировки щебня и
выправочно-подбивочно-отделочная машина ВПО-3000 для выправки пути со сплошной
подбивкой шпал. При недостаточной толщине балластного слоя под шпалой
производят подъемку пути на деревянных шпалах электробалластером ЭЛБ-1, на
железобетонных - ЭЛБ-3м.
Построение графика производства основных работ в
"окно"
Исходные данные:ф = 2200 м - фронт
работ;1 = 10 мин. - время необходимое для оформления закрытия
перегона и следования рабочих поездов на место производства работ;2 =
15 мин. - время на зарядку щебнеочистительной машины ЩОМ-4;
Продолжительность работы ЩОМ-4 на всем фронте
работ определится так:
где 
- фронт работ, км.;
υщом-4 - скорость
ЩОМ-4 (
= 1,5 км/ч);
α - коэффициент для учета затрат
времени (при работах в "окно"), связанных с пропуском поездов по
соседнему пути. Значение α
зависит
от размеров движения. В расчетах принимаем α = 1,1;
- количество минут в часе.3
- интервал времени между началом очистки щебня и началом разболчивания стыков.
Этот интервал составляет ≈ 3 мин, в течение которых ЩОМ-4 удаляется на
достаточное расстояние.4 - интервал времени между началом разболчивания
стыков и началом разборки пути путеразборочным поездом с укладочным краном
УК-25/9. В течение этого интервал рабочие, занятые разболчиванием стыком,
должны удалиться на расстояние срочного фронта, позволяющее начать разборки
пути.
Для того чтобы путеразборочный поезд
быстрее вступил в работу, разболчивание стыков на участке срочного фронта работ
Lср.ф ведется в темпе работы ЩОМ-4, а на остальном участке (Lф
- Lср.ф) может производиться медленнее, как правило, в темпе работы
путеразборочного поезда.
Расстояние 
складывается из протяжения пути lразб
= 75 м, занятого бригадой рабочих, занятого бригадой рабочих, разболчивающих
стыки, разрыва 
= 50 м между этой бригадой и
путеразборочным поездом, необходимо по условиям обеспечения безопасности
работающих, и длины путеразборочного поезда lр.п:
где 
- длина путеукладчика крана УК-25, 
;

- число платформ, снабженных
роликами и предназначенных для погрузки снимаемых на фронте работ 
звеньев пути длиной 
. Звенья укладываются пакетами на
сцеп из двух платформ с числом звеньев в одном пакете 
(при наличии деревянных шпал в
зависимости от способа погрузки и типа рельсов 
Число платформ должно быть четным,
поэтому 
округляется до ближайшего целого
четного числа в большую сторону. В нашем случае 
принимаем 
;

- длина платформа, снабженных
роликами и предназначенных для погрузки на них звеньев,
;

- число моторных платформ,
необходимых для перетяжки пакетов со звеньями с крана на обычные платформы,
снабженные роликами; принимается из расчета одна моторная платформа на десять
обычных, поэтому 
;

- длина моторной платформы, 
;

- длина платформы прикрытия, 
.
С учетом изложенного выше
Продолжительность работы τр.п
путеразборочного крана на всем фронте работ (время разборки пути)
где 
- количество снимаемых звеньев
длиной 
на фронте работ 
;- норма времени на снятие одного
звена (или темп работы путеразборочного крана); при 
и наличии деревянных шпал m = 1,7
мин/звено;
5 - интервал
времени между началом укладки пути с железобетонными шпалами путеукладчика
поездом с краном УК-25/9-18, обычно принимаемый 8-10 мин. В этот интервал
производится планировка балластного слоя. Принимаем t5 = 8 мин.
Эти пять отрезков времени в сумме
будем называть временем развертывания путевых работ:
При капитальном ремонте ведущей
машиной является путеукладочный кран. Время выполнения главной работы в
"окно" - укладки новой путевой решетки с железобетонными шпалами
звеньями длиной lзв = 25 м - τу.п определится
аналогично времени разборки пути по формуле
где 
- техническая норма времени на
укладку одного звена путеукладочным краном; при lзв = 25 м и
железобетонных шпалах 
;
Работы по регулировке зазоров,
сболчиванию стыков с постановкой накладок, а также рихтовке пути выполняются в
темпе укладочного крана. Следовательно, продолжительность этих работ будет
равна 184 мин.
Из графика технологического процесса
видно, что для определения продолжительности "окна" необходимо найти
еще несколько отрезков времени. t6 - интервал времени
между окончанием укладки пути и окончанием работы по регулировке зазоров между
рельсами. В течение этого интервала должна быть закончена работа по регулировке
зазоров на участке пути, равном длине путеукладочного поезда lу.п
плюс расстояние по технике безопасности 
между путеукладочным поездом и бригадой,
производящей регулировку зазоров;
Длина путеукладочного поезда определяется так
же, как и длина путеразборочного по формуле
где 
- длина локомотива; 
При определении количества обычных
платформ в путеукладочном поезде Nпл, предназначенных для погрузки
звеньев новой путевой решетки с железобетонными шпалами длиной lзв =
25 м, принимаем число звеньев в одном пакете nзв.пак = 5…7 (в
зависимости от условий производства работ и типа рельсов). Nпл
округляется до ближайшего целого четного числа в большую сторону. В нашем
случае

принимаем
7 - интервал
времени между окончанием работ по регулировке зазоров и сболчиванию стыков с
постановкой накладок;
где 
- фронт работ бригады, производящей
регулировку стыковых зазоров; 
;

- расстояние по технике
безопасности между бригадами; 
;
8 - интервал
времени между окончанием работ по сболчиванию стыков и рихтовки пути. При
фронте работы по сболчиванию стыков 
и 
9 - интервал
времени между окончанием работ по рихтовке пути и выгрузке щебня из
хоппер-дозаторов. В течение этого интервала должна быть произведена выгрузка
балласта на участке пути, длина которого определяется из условия размещения на
нем бригады, производящей рихтовку пути и имеющий фронт работы lрихт
= 100 м, и хоппер-дозаторного состава длиной lх.д.с. Между бригадой
и составом должен быть обеспечен разрыв 
для обеспечения безопасности
работающих. Скорость выгрузки балласта принимается равной m1 = 0,75
мин/звено, т.е. рабочей скорости выправочно-подбивочно-отделочной машины
ВПО-3000 υвпо = 2 км/ч,
производящей выправку пути в плане и профиле вслед за выгрузкой балласта;
Длина хоппер-дозаторного состава 
определится по формуле
где W = 600 м3 - объем
щебня, выгружаемого на 1 км пути;

м3 и 
- соответственно емкость и длина
хоппер-дозаторного вагона;
10 - интервал,
показывающий, через какое время после окончания выгрузки балласта может быть
закончена выправка пути. При длине ВПО-3000 lвпо = 100 м и
расстояние между машинами по технике безопасности 
При одинаковой скорости работ по
выгрузке балласта и выправке пути υвпо = 2 км/ч (m1
= 0,75 мин/звено) их продолжительность составит
Зная момент окончания этих работ и
их продолжительность, можно определить на графике начало каждой работы. 
- время на оформление открытия
перегона (как правило, не более 5 мин); 
.
Сумму 
называют временем на свертывание
работ в "окно"; 
.
Таким образом, продолжительность
"окна" при производстве капитального ремонта пути
где 
- время работы ведущей машины -
путеукладочного крана; 
;
Разумеется, настоящая методика
определения 
относится к вполне конкретному виду
производства работ по капитальному ремонту пути. В случае постановки пути на
щебень или работах на бесстыковом пути, или в других случаях перечень и
последовательность работ будут иные. Однако принципиально продолжительность 
будет также слагаться из времени
разворота работ 
, времени выполнения основной работы

и времени на свертывание работ 
. Естественно, эти слагаемые будут
численно отличаться от тех, которые определены в приведенной методике.
Определение количества рабочих для
производства основных работ в "окно", выполняемых с помощью
механизированного инструмента
Количество рабочих K для выполнения
любой операции можно определить как частное от деления трудовых затрат в
чел.-мин на эту работу на ее продолжительность, т.е.
где N - норма времени затрат труда
на измеритель, чел.-мин;
S - объем выполняемой работы (может выражаться в
различных единицах измерения: км, звено, стык пути, шпала, болт и т.д.);
τ - продолжительность
работы, мин.
Упростим последнюю формулу. Для этого введем
единый измеритель для выражения объема любой работы - звено пути (lзв
= 25 м). Тогда
где N - норма затрат труда на звено, чел.-мин;

- количество звеньев пути на фронте
работ 
.
Продолжительность любой работы можно
определить по формуле
где 
- темп (скорость выполнения)
соответствующей работы, мин/звено.
Тогда
Количество рабочей силы для
производства путевых работ определяется по приведенной выше формуле.
Технические нормы затрат труда на отдельные виды работ и подсчет рабочей силы
приведены в таблице. На работах с применением тяжелых машин количество монтеров
пути и машинистов определяется технологическими требованиями производства
работ.
Таблица 1
|
Наименование
работ
|
Техническая
норма затрат труда на звено N, чел.-мин
|
Темп
работы  , мин/звеноКоличество рабочих K,
чел
|
|
|
Разболчивание
стыков со снятием болтов и накладок
|
13,60
|
1,0;
1,7
|
14;
8
|
|
Установка
нормальных стыковых зазоров (регулировка зазоров)
|
3,8
|
1,9
|
2
|
|
Постановка
накладок и сболчивание стыков электрогаечными ключами
|
27,89
|
1,9
|
15
|
|
Рихтовка
пути с постановкой на ось
|
11,75
|
1,9
|
6
|
.3 Построение графиков основных работ
Графики основных работ строятся на миллиметровой
бумаге в масштабе: горизонтальный - в зависимости от фронта работ в
"окно", обычно принимают 1 см - 50 или 100 метров пути, масштаб
вертикальный 1 час - 60 мм.
Работы наносятся в последовательности их
выполнения. В произведенных ранее расчетах нам известно начало или окончание работ
какой-либо машины, рабочего поезда или бригады монтеров пути. Построение
графика производится в следующей последовательности: определяются точки начала
работ путевых машин при развертывании работ или наносятся точки окончания
работы машин при свёртывании работ; затем проводятся линии работы машин (из
точки начала или окончания работы откладывается время работы машины)
4. Разработка мероприятий по очистке от снега
крупной станции
Оперативный план организации снегоборьбы на
станции составляет начальник дистанции пути совместно с начальником станции,
согласовывает с начальником отдела пути, после чего его утверждает начальник
отделения дороги. Закрепление снегоуборочных машин и снегоочистителей по узлам
утверждает приказом начальник дороги по представлению начальника службы пути,
зданий и сооружений.
При разработке плана руководствуются
требованиями "Инструкции по снегоборьбе на железных дорогах СССР".
В плане указываются:
очередность, объем и порядок работ по очитке и
уборке станции от снега с перечислением лиц, ответственных за организацию
работ;
потребность в механизмах, подвижном составе,
рабочей силе и их расстановке;
маршруты вывозки снега и места его выгрузки.
Прилагаются необходимые расчеты очищаемых
площадей, графики работы снегопоездов и т.д.
Технологические процессы очистки и уборки
станции от снега составляются для трех вариантов толщины снега над головкой
рельса - 10, 20, 30 см. Это делается для того, чтобы в зависимости от
интенсивности снегопада и метели можно было бы выбрать оптимальный вариант.
Очередность очистки путей от снега
устанавливается в зависимости от степени важности их в оперативной работе
станции. Согласно, все станционные пути по очередности их очистки от снега
делятся на три очереди:очередь - главные, приемоотправочные, горочные,
сортировочные пути и маневровые вытяжки (с подходами к ним), пути стоянок
восстановительных, пожарных и других специальных поездов, поворотные круги и
треугольники, пути к складам топлива, пути для выпуска локомотивов из депо, а
также все стрелочные переводы, расположенные на указанных путях;очередь -
пакгаузные и погрузочные пути, пути к складам материалов и мастерским, а также
все стрелочные переводы на этих путях;очередь - все прочие пути и стрелочные
переводы. На схеме станции пути, очищаемые в первую очередь, для наглядности
обозначают красным карандашом, во вторую - синим, в третью - зеленым.
При разработке организации и технологии
выполнения работ по механизированной очистке станции от снега в курсовой работе
предлагается следующая последовательность выполнения работ:
а) на заданной схеме станции цветными
карандашами намечается очередность очистки путей;
б) определяется объем снега, подлежащей уборке,
отдельно для каждого пути, намечается (выбирается) способ очистки;
в) определяются натуральные затраты по
снегоборьбе на станции (продолжительность работы машин, объем снега, вывозимого
снегоуборочной машиной, и др.).
Объем снега определяется отдельно для каждого
пути и каждой очереди очистки по формуле, м3,
где 
- длина станционного пути, м;

- расстояние между осями путей, м;

- толщина снега, убираемого
машиной, м.
Результаты вычислений сводятся в
таблицу.
При выборе способов очистки и
вывозки снега со станции можно использовать следующие технологические процессы:
а) уборка снега снегоуборочной
машиной с предварительной перевалкой снега снегоочистителем или стругом на один
из путей (при толщине слоя снега менее 10 см над головкой рельса);
б) то же, без предварительной
перевалки снега (при толщине снега над головкой рельса более 10 см);
в) очистка путей снегоочистителем
или стругом с размещением снега на междупутьях с последующей вывозкой
снегоуборочной машиной;
г) очистка боковых путей станции
снегоочистителем с последующей перевалкой снега с одного пути на другой и
удалением снега с крайнего пути в отвал (при толщине снега до 15 см допускается
до пяти перевалок, при толщине более 15 см - три перевалки).
Технология очистки выбирается в
зависимости от типа и количества имеющихся на дистанции снегоуборочных машин. При
проектировании технологии следует стремиться к максимальному использованию
средств механизации и всемерному сокращению ручного труда.
Исходные данные:
Схема станции прилагается
Средняя величина выпавшего
снега 13 см
Срок очистки путей первой
очереди 9,5 ч
Срок вывозки снега со станции
2,25 суток
Дальность возки снега
снегоуборочными поездами 5 км
Мех. средства очистки СДПМ -1
ед.; СМ-2 -1 ед.
Таблица 2
|
Номер
пути
|
Наименование
пути
|
Длина
пути  , мРасстояние между осями путей  , мПлощадь очистки  , м2Объем снега  , м3, при  мСпособ очистки и вывозки
снегаОбъем очистки и вывозки снега
|
|
|
|
|
|
|
Первая
очередь очистки
|
|
1
|
Главный
|
2000
|
5,3
|
10600
|
1378
|
См-2
|
СМ-2
6443м3
|
|
2
|
Главный
|
2000
|
5,3
|
10600
|
1378
|
См-2
|
|
|
3
|
Приемоотправочные
|
1050
|
5,3
|
5565
|
724
|
См-2
|
|
|
4
|
"
"
|
1200
|
5,3
|
6360
|
827
|
См-2
|
|
|
5
|
"
"
|
1000
|
5,3
|
5300
|
689
|
См-2
|
|
|
6
|
"
"
|
1150
|
5,3
|
6095
|
792
|
См-2
|
|
|
7
|
"
"
|
950
|
5,3
|
5035
|
655
|
См-2
|
|
|
8
|
"
"
|
1100
|
5,3
|
5830
|
758
|
См-2
|
СДП
5754 м3 в отвал
|
|
9
|
Сортировочные
|
900
|
5,3
|
4770
|
620
|
См-2
|
|
|
10
|
"
|
1050
|
5,3
|
5565
|
724
|
См-2
|
|
|
11
|
"
|
850
|
5,3
|
4505
|
586
|
См-2
|
|
|
12
|
"
|
1000
|
5,3
|
5300
|
689
|
СДП
|
|
|
13
|
"
|
800
|
5,3
|
4240
|
551
|
СДП
|
|
|
Маневровые
вытяжки
|
1600
|
5,3
|
8480
|
1102
|
СДП
|
|
Стрелочные переводы 30 шт. 30
355,35565724СМ-2СМ-2
|
724
м3
|
|
|
|
|
|
|
|
Всего
по первой очереди: 12197 м3
|
а) снегоуборочную машину СМ-2, которая очищает и
вывозит снег со всей территории станции;
б) снегоочиститель СДП, который очищает крайние
пути в отвал или работает совместно с СМ-2 с предварительной перевалкой снега
на междупутье (в случае ограниченного срока очистки).
Далее решается вопрос о возможном количестве
рейсов СМ-2:
где 
- заданный срок очистки путей
первой очереди, ч;

- продолжительность одного рейса
снегоуборочной машины, мин;
где 
- время погрузки, определяемое из
расчета 10 мин на 100 м3 емкости СМ-2, мин;

- время транспортировки до места
выгрузки и обратно, мин;
где 
- дальность возки, км;

- скорость движения (20-30 км/ч);

- время разгрузки, определяемое из
расчета 6 мин на 100 м3 емкости СМ-2;

- время простоя в ожидании
подготовки маршрута, принимаемое 10-15 мин.
tп= (360*10) /100= 36 мин;
tр= (360*6) /100= 22 мин

= (60*5) /30= 10 мин
В нашем примере при дальности возки 2 км
продолжительность одного рейса СМ-2
Возможное количество рейсов СМ-2 при
заданном сроке очистке путей 
Далее определяется количество снега,
вывозимого снегоуборочной машиной СМ-2:
где 
- емкость СМ-2; при одном
промежуточном полувагоне - 220 м3, при двух - 360 м3;

- коэффициент уплотнения снега при
погрузке (принимаем 2-3);
Таким образом, при заданном сроке
очистки одна машина СМ-2 не сможет вывезти весь объем снега с путей первой
очереди. Поэтому по таблице 2 из объемов снега, находящегося на наиболее
ответственных путях (главных, приемоотправочных, стрелочных переводах)
набирается количество снега
(7560 м3), вывозимого
машиной СМ-2. Остальные пути очищаются снегоочистителем СДП в отвал.
Продолжительность работы снегоочистителя
СДП:
где 
- количество путей, приходящихся на
снегоочиститель 3 шт.;

- время перехода с одного пути на
другой; принимается равным 4 мин;

-средняя длина очищаемых путей
снегоочистителем, км (1,10+0,90+1,05+0,85+1+0,8+1,6)/7=1,042 км);

- скорость движения снегоочистителя
в рабочем положении, 10-15 км/ч;

- то же, в нерабочем положении,
15-20 км/ч;
- продолжительность простоя в
ожидании освобождения очередного очищаемого пути, мин;
Окончательно принятые способы
очистки и уборки снега приводятся в ведомости (табл.2) и показываются в
условных обозначениях на схеме станции.
Вывод
В ходе выполнения курсового проекта в первой
части мною были рассчитаны и определены: размеры крестовины, радиусы остряка и
переводной кривой, размеры стрелки, основные и осевые размеры стрелочного
перевода, длины рельсов, входящих в стрелочный перевод. На основании этих
данных вычерчены: "Схема разбивки стрелочного перевода марки М1:13" и
"Эпюра укладки брусьев".
Во второй части определена продолжительность
"окна" по замене рельсошпальной решетки и построен "График
производства основных работ в "окно" по замене рельсошпальной
решетки".
В третьей части: установлена очередность очистки
путей крупной станции, вычислен объем убираемого снега, выбрали способы очистки
путей и вывозки снега, определены затраты по снегоборьбе на станции. В
соответствии с этим на схеме станции пути определенной очереди очистки окрашены
соответствующим цветом.
Список используемой литературы
1. Амелин
С.В., Андреев Г.Е. Устройство и эксплуатация пути. - М.: Транспорт, 1986.
2.
Железнодорожный путь / Под ред. Т.Г. Яковлевой 2-е изд., М.-
Транспорт, 2001.
3.
Технология, механизация и автоматизация путевых работ: Учеб. для
ВУЗов / Под ред. Э. В. Воробьева и К.Н. Дьякова. - М.: Транспорт, 1996.
4.
Технологические процессы ремонтов пути. Москва, МПС России, РТП,
1998-2004.
5.
Инструкция по снегоборьбе на железных дорогах Российской
Федерации: ЦП-751 / МПС России. - М.: Транспорт, 2000.