|
М/с
|
ДЕСТ
|
Sт, мм
|
Шв. руху, м/хв.
|
tпечі
°С±10°С
|
tмет
°С±10°С
|
Охолодження
|
|
|
|
|
І
|
ІІІ
|
|
|
|
20
|
ГОСТ 8733-74 ГОСТ
11017-80
|
4
|
2,4-1,7
|
870
|
850
|
830
|
790
|
Повітря Вентилятор
|
Виправлення
Виправлення проводиться для зменшення кривизни труб які
наслідком короблення після термообробки або викривлення в наслідок прокатки.
Правлення проводиться на косовалкових чи роликових машинах
шляхом багаторазового перегинання, а якщо кривизна дуже велика то попередньо
труби правлять на кучаткових пресах.
Обрізання кінців, порізка, торцювання
Обробляємі труби при необхідності ріжуть на мірні довжини та
обрізають кінці на радіаках або БТС з припуском по довжині +10 мм. Після
порізки труби торцюють на станах або вручну.
Відібрані зразки розкреслюють для всіх випробувань, а потім
маркерують (тавром). Відбирають труби на образці з загального потоку.
Огляд ВТК
Перед ВТК їх описковують потім проводять огляд на якому перевіряють
геометричні розміри, стан поверхні.
Оформлення документів та здача в збут
Після цього труби зв’язують в пакети, зважують, оформляють
супровідні документи та здають до збуту.
1.4
Теоретичні основи деформації металу
Холодну прокатку тонкостінних труб виробляють на станах
періодичної дії ХПТ. На рисунку 1.2 показані три основних моменти процесу
холодної прокатки труб.
Рисунок 1.2а відповідає крайньому задньому положенню кліті,
коли калібр 1 звільняє робочий конус 2 і виконується подача металу. При цьому
між робочим конусом і конічною оправкою 3 утвориться зазор. Для вільного
подавання труби у даному положенні на калібрах і частково на робочих валках
передбачені ділянки з великою глибиною рівчака. Ділянка з великою глибиною
рівчака має назву - зева подачі.
На рисунку 1.2б показано один з моментів робочого ходу.
Деформація металу здійснюється коли перекатуються калібри. Калібри
представляють собою навпівдиски, які закріплені у вирізах робочих валків. По
півколу калібрів нарізаний робочий рівчак перемінного січення. Деформація
поданої порції металу починається з зменшення діаметру труби та недуже великим
збільшенням товщини стінки. Після цього, як внутрішня поверхня робочого конусу
доторкається з конічною оправкою, починається обтисненням стінки труби. З метою
підвищення точності геометричних розмірів і рівномірного обтиснення металу на
станах ХПТ передбачено механізм повороту труби. Труба може повертатися на
70...90° так, як в крайньому передньому положенні кліті, як на рисунку 1.2в. Важливою особливістю процесу холодної
прокатки труб в порівнянні з холодним волочінням є те, що за один робочий цикл
може бути проведена деформація до 75...95% від початкового січення заготовки,
так як процес здійснюється з 14...18 кратним витягненням.
Для процесу холодної прокатки труб характерна висока
пластичність металу. На рисунку 1.3 показані дві схеми напруженого стану металу
по периметру січення, які можуть бути при холодній прокатці труб за час прямого
ходу робочої кліті. При схемі, показаній на малюнку 1.3а у січеннях робочої
ділянки, відповідно гребню рівчака діє активне розтягуючи напруження в
подовжньому напрямку, що викликано безконтактною областю деформації труб. Ця
схема може бути при прокатці труб в рівчаку з невеликим розвалом. По схемі,
показаній на рисунку 1.2б у січення робочої ділянки, за виключенням випусків,
схема напруженого стану наближається до нерівномірного усестороннього
стиснення. Схема 1.2б більш ймовірна при прокатці в рівчаку з великим розвалом.
Рис. 1.2 - Схема деформації при холодній прокатці труб
Рис. 1.3 - Напружений стан металу по периметру січення а -
при прямому ході кліті; б - при зворотному ході кліті
Дрібність деформації значно збільшує пластичність металу.
Розберемо вплив дрібності деформації на пластичність металу в умовах холодної
прокатки труб. Збільшення дрібності деформації зменшує величину деформації в
кожному січенні труби за один цикл і зменшує величину залишкових напружень в
робочій ділянці, які виникають під час деформації. В час попереднього циклу, з
додатковим напруженням, з’являється при деформації металу під час даного циклу.
При цьому величина подовжнього розтягуючого напруження, обмежуючого пластичного
металу, зменшується. Таким чином, чим більше дрібність деформації при холодній
прокатці труб, тим вища пластичність металу. Збільшення довжини робочої частини
рівчака і поворот труби в крайніх положеннях робочої кліті підвищують дрібність
деформації і пластичність металу, а збільшення розвалу рівчака знижує
пластичність та властивості металу.
Значить висока пластичність металу при холодній прокатці труб
обумовлена двома факторами:
- дрібністю деформації і схемою напруженого стану, головним з
яких є, дрібність деформації.
1.5 Техніка безпеки та
протипожежна техніка
Техніка безпеки
Описуємо проти хода виробництва труб.
На ділянці обробки труб існують слідуючи небезпечні операції:
а) правка на валковому правильному стані;
б) вирізання дефектів;
в) розрізка труб станом “Радіак”;
г) продувка;
д) торцювання;
У процесі виконання цих робіт необхідно дотримуватись
слідуючи заходів з техніки безпеки.
Забороняється виконувати ремонт, змазку, чистку і прибирання
обладнання в процесі роботи з метою уникнення травмування, також обов’язкове
застосування захисних засобів (окуляри, рукавиці і т.п.).
Під час правки не слід задавати наступну трубу в калібр доки
не вийшла попередня, не можна правити труби довшу за вихідний жолоб.
Вирізання дефектів виконують без рукавиць, а також
забороняється тримати труби під час шліфовки, користуватися необхідно
дерев’яною прокладкою.
Під час розрізання труб на пилах “Радіак” працюють в
рукавицях і з захисними окулярами. Перед установкою наждачного диска упевніться
в його цільності, справністю захисного кожуха, при зміні диску користуються
гайковим ключем.
При порізані необхідно прокрутити диск в холосту не менш 1
хвилини, не можна стояти проти обертаючого диску. При порізані труби, диск
необхідно опускати повільно, не допускати його ударів об трубу. Слідкувати за
справністю пиловловлюючого приладу пил “Радіак” і не допускати його
переповнення. Після оформлення пакетів, оформлення супроводжуючих ярликів труби
потрапляють до правильного відділення.
У технологічний процес входить також термообробка, яку
виконують у прохідній печі. Перед роботою на ній необхідно перевіряти:
а) справність і кріплення огорожок;
б) справність обладнання, стелажів, рольгангів, настилів та
інших приладів;
в) нарахування видимого справного заземлення (ковпака і
муфілей прохідних печей);
г) справність інструмента (молотки, ключі, крючки).
Необхідно обов’язково слідкувати за герметичністю газопроводу
печі.
Забороняється переміщувати метал транспортними засобами у
гарячому стані. Тому необхідно охолоджувати труби після ТО промисловими
вентиляторами, до температури робочої зони.
Основними заходами боротьби з тепловиділенням вважається
аерація, вентиляція.
Далі труби поступають на склад готової продукції при
необхідності здійснюється ТО з послідуючим травленням.
Технічна операція на складі готової продукції аналогічна
операціям на відділку.
У травильному відділі застосовують слідуючи операції, які
використовують у технологічному процесі:
а) усунення змазки і покриття;
б) піскоструминна установка;
в) усунення окалини;
Робота по травленню, обезжирюванню та мідненню труб пов’язана
з застосуванням сильних кислот, лужних розчинів, солей та інших хімікатів.
Необережне і неправильне застосування веде до травмування.
У процесі обробки труб, у розчинах виділяються шкідливі пари
і гази. Тому необхідно слідкувати за систематичною роботою приточно-витяжної
вентиляції.
Після нанесення мастильних покриттів труби потрапляють на
прокат.
В процесі роботи на станах ХПТ необхідно виконувати слідуючи
правила:
а) при запуску стана необхідно перевірити чи немає сторонніх
речей в кліті;
б) знаходитись проти прокатуємої труби і використовувати
замір стінок труби, настройку підоймової системи на ходу стана заборонено;
в) задавати заготівку в стан і пересувати прокатані труби,
опиратися руками в її торець забороняється;
г) не можна виконувати пересування кліті стана
електродвигуном при незакритому сепараторі.
Дана технологія виробництва труб передбачає використання
станів ХПТ при виробництві готових розмірів.
Згідно переліку технологічних операцій необхідних для
виробництва труб по ГОСТ 8734-75 розміром 45´3,0 мм, марки сталі 20 труби
повинні спочатку оброблятись у відділку підготовки виробництва.
Протипожежна безпека
Згідно з технічними вимогами пожежної безпеки об’єкта
забезпечують системою запобігання пожежі, системою пожежного захисту і заходів
організаційного характеру.
При усіх умовах повинна бути забезпечена пожежна безпека
об’єкту і людей.
Для ліквідації пожеж існує професійна воєнізована пожежна
охорона.
На підприємствах існують пожежно-технічні комісії, в склад
яких входять: головний інженер, головний енергетик, головний механік,
представник відділу капітального будівництва, головний технолог, начальник
пожежної охорони, інженер по охороні праці та інші. Ці комісії проводять
обстеження цехів і служб підприємства і розробляють необхідні заходи по усуненню
пожеж і вибухів.
Пожежі і вибухи на металургійних заводах відбуваються в ході
слідуючи основних причин:
нераціонального проектування металургійних цехів,
технологічних процесів, агрегатів і обладнання без належного обліку вимог
пожежної безпеки;
порушення нормальних режимів технологічних процесів;
неполадки в роботі для очистки, транспортування і споживання
газу;
нераціональне обладнання і нераціональне експлуатування
електромережі і електрообладнання;
неполадки і аварії при експлуатації основних та допоміжних
агрегатів і обладнання;
невірне ведення робіт по ремонту металургійних агрегатів і
обладнання;
самозаймання;
розрядів атмосферної і статичної електрики;
викидів іскор із труб металургійних печей і паровозів;
-порушення елементарних вимог пожежної безпеки.
Класифікація виробництва по пожежній безпеці
До категорії Д відносять виробництва, перероблюючи неспалимі
речовини в холодному стані.
При проектування промислових підприємств повинні бути
забезпечені необхідні вимоги безпеки.
Протипожежні перестороги вживають для попередження
розповсюдження пожежі. До них відносяться неспалимі перекриття і протипожежні
стінки. Двері, ворота, вікна в протипожежних стінах повинні виконуватись із
неспалимих або важко спалимих матеріалів з межою вогнестійкості не менш 1,2
годин, при цьому загальна площа промів не повинна перевищувати 25% площі
протипожежної стінки.
Протипожежні стінки спираються на фундамент або
фундаментальні балки, при цьому протипожежні стінки будуються вище покрівлі при
спалимому покритті в будівлях зі спалимим або важко спалимими зовнішніми
стінами повинні виступати за площину зовнішніх стін, а також за карнизи і
завіси дахів не менш ніж на 30 см, або ж примикати до неспалимих ділянок
зовнішніх стін з неспалимими карнизами шириною в плані не менш 1,8 м з однієї і
з другої сторони від протипожежної стінки.
При проектування виробничих, допоміжних і інших помешкань
застерігається можливість безпересторожнього виходу із приміщення при
виникненні пожежі, вибухів і інших аварій.
До основних засобів гасіння пожеж, які застосовують на
металургійних підприємствах, відносять воду, водні емульсії галоідованих
вуглеводом, водяний пар, повітряно-механічну і хімічну піну, інертні гази,
вуглекислоту, стиснене повітря, сухі вогнегасні речовини і покривала.
Вогнегасники призначені для гасіння полум’я і пожеж в
початковій стадії їх утворення до прибуття пожежних підрозділів. В залежності
від умов загорання створені різні типи вогнегасників.
Пінні вогнегасники. Хімічні пінні, призначені для подачі
хімічної піни, отриманих із водяних розчинів лугів і кислот. Вони бувають
декількох тинів: ОХП-10, ОП-М (морський) і ОП-9ММ (малогабаритний).
Газові вогнегасники - вуглекислотні. Призначені для гасіння
полум’я вуглекислотою в газо- або снігообразному виді. Для отримання газообразної
вуглекислоти застосовують стаціонарні установки або пересувні установки.
Ручні вуглекислотні вогнегасники ОУ-2, ОУ-5, ОУ-8 призначені
для різноманітних матеріалів і електрообладнань що знаходяться під напругою.
Вогнегасник складається з балону, в горловину якого ввернуті
вентилі з сифонними трубками. Вуглекислота в балоні знаходиться в рідкому і
газообразній фазі. При повертанні маховичка вентиля відбувається вибракування
вуглекислоти з утворенням вуглекислотного снігу через розтруб. Час дії 35 с, довжина
струму 2 м.
2. СПЕЦІАЛЬНА ЧАСТИНА
2.1 Розрахунок маршруту
прокатки
Вихідні дані:
Розміри заготовки:Dз´Sз=57´4,0 мм
Розміри готової труби: Dт´Sт=38´1,6 мм
Марка сталі:Сталь 20
Розрахунок
Визначаємо площу поперечного перерізу заготовки:
Fз=p·Sз·(Dз-Sз), (2.1)
де p - відношення довжини кола по діаметру;
Dз - зовнішній діаметр заготовки, мм;з
- товщина стінки заготівки, мм.з=3,14·4·(57-4)=665,68 мм2
Визначаємо площу поперечного перерізу готової труби:
Fт=p·Sт·(Dт-Sт), (2.2)
де p - відношення довжини кола по діаметру;
Dт - зовнішній діаметр готової труби, мм;т
- товщина стінки готової труби, мм.т=3,14·1,6·(38-1,6)=182,8 мм2
Визначаємо сумарний коефіцієнт витягання:

,
(2.3)
де Fз - площа поперечного перерізу заготівки, мм2;
Fт - площа поперечного перерізу готової труби, мм2,

Коефіцієнт витягання на станах ХПТ знаходиться у границях m=2...5, прокатування
проводимо в один прохід на стані ХПТ 55.
Перевіримо чи допустиме зменшення діаметру труби (мм) по
технічним характеристикам стана [11], с 85, табл. 7.14
Для стану ХПТ 55b=33 мм
b
(2.4)
мм.
Зменшення діаметру труби допустиме.
Розрахунок довжини труби за прохід
Задаємося довжиною заготовки lз=5 м з даних
технічної характеристики стана [11], с 84, табл.7.14
Задаємося втратою металу за прохід. [1], с 378
Травлення 0,5%
Брак при прокатуванні1,0%
Обрізання кінців труб1,0%
D1=2,5%
Визначаємо масу однієї заготовки:
Рз=0,0246·Sз·(Dз-Sз)·lз,
(2.5)
де lз - довжина заготовки, м;

зовнішній
діаметр і товщина стінки заготовки, мм,
Рз=0,0246·4·(57-4)·5=26,07 кг.
Визначаємо масу втрат:

,
(2.6)
Визначаємо масу труби за відрахуванням втрат:
Р1=Рз-Рвт1, (2.7)

26,07-0,65=25,42
кг.
Визначаємо лінійну густину готової труби:
ģт=0,0246·Sт·(Dт-Sт),
(2.8)
ģт=0,0246·1,6·(38-1,6)=1,43

.
Визначаємо довжину труби після прокатування:

,
(2.9)

=18,23
м
Ріжемо трубу на дві частини ( за вимогами ГОСТ 8734-72)
Оздоблення готової труби
Задаємося втратою металу [1], с 378
Термообробка0,75%
Обрізання кінців2,5%
Брак1,5%
Відбір зразків для випробувань1,0%
Dгот=5,75%
Визначаємо масу труби перед обробленням:
Р¢гот=ģт·lт, (2.10)
де 1т - довжина труби, м;
ģт
- лінійна густина труби після другого проходу,
Р¢гот=1,43·9,11=13,02 кг.
Визначаємо масу готової труби:

,
(2.11)
де Р¢гот - маса труби перед обробленням, кг;
Dгот - втрата металу при оздобленні, %.

=12,28
кг.
Визначаємо довжину готової труби:

,
(2.12)

м.
де Ргот - маса готової труби, кг ;
gт - лінійна густина труби, 
.
Отримані дані зводимо до таблиці 2.1
Таблиця
2.1 - Технологічна карта холодної прокатки вуглецевих труб 28х5,5 мм марки
сталі 20 в умовах ТВЦ ЗАТ „НЗСТ “ЮТіСТ”
|
№
|
Розмір труби
|
Довжина труби, м
|
Коефіцієнт
витягання
|
Тип стану
|
Проміжні операції
|
Кількість труб
|
Вага, кг
|
Втрати по масі
|
|
Дт,
|
Sт,
|
Fт,
|
|
|
|
|
|
|
|
|
мм
|
мм
|
мм2
|
|
|
|
|
|
1метр
|
однієї труби
|
Усіх труб
|
%
|
кг
|
|
О
|
57
|
4
|
665,68
|
5
|
-
|
ХПТ 55
|
-
|
1
|
|
|
|
|
|
|
1
|
38
|
1,6
|
182,87
|
18,23
|
3,22
|
|
травення,
нейтралізація, сушка, омилення,
|
1
|
4,48
|
25,42
|
25,42
|
2,5
|
0,65
|
|
гот
|
38
|
1,6
|
182,87
|
8,58
|
-
|
|
Знежирення
термообробка, виправлення, обрізка кінців, відбір зразків
|
2
|
4,48
|
12,28
|
24,56
|
5,75
|
0,80
|
2.2 Розрахунок калібровки
робочого інструменту стана ХПТ
Вихідні дані:
Розміри заготовки: 
Розміри готової труби: 
Марка сталі: Сталь 20
Тип стану: ХПТ 55
Характеристика калібровки
Сумарний коефіцієнт витягання:

,
(2.13)

Відносне обтиснення площі:

·100%=(1-
)·100%,
(2.14)

·100%=73%.
Відносне обтиснення стінки труби:

·100%,
(2.15)

·100%=60%
Абсолютне обтиснення діаметра:
∆D
,
(2.16)
∆D
мм.
Розрахунок
Визначаємо конусність оправки:
При ∆D
мм
- 2tģα
0,02
[3], с 148, табл. 14
де 2tgα
- конусність оправки.
Визначаємо діаметр оправки у перетисканні:

(2.17)

·
Рис. 2.1 - Оправка стану ХПТ
Рис. 2.2 - Розгорнення гребня рівчака
Визначаємо довжину калібруючої частини:
lкал = m·μ·k, (2.18)
де m - величина подавання, мм;
μ - коефіцієнт витягання;
m·μ - величина лінійного зміщення
труб, мм,
m·μ = 50 мм [11] c.68, табл.7.2;-
коефіцієнт поліровки ,= 2...4 - для холодної прокатки;
lкал=50·(2...4)=100...200 мм
Приймаємо lкал=100 мм.
Визначаємо діаметр циліндричної частини оправки:
dц = dп+2tgα·(lкон - lкал),
(2.19)
де lкон - довжина конічної частини оправки,
мм
lкон = 500 мм[5] c 7, табл.1,
dц = 34,8+0,02(500-100) = 42,8 мм.
Визначаємо довжину частини редукування:

,
(2.20)
де 2tģ
- конусність калібра у зоні редукування, для холодної прокатки 2tģ
=0,18…0,25;
∆P - зазор між заготовкою та оправкою, мм,
∆P
,
(2.21)
∆P = (57-2·4)-42,8 =6,2 мм,

Приймаємо lред = 30 мм
Визначаємо довжину обтискуємої частини:
lобт= lроб - lред - lкал,
(2.22)
де lроб - довжина робочої частини рівчака
калібру, мм
lроб=510 мм[5] c 7 табл.1,
lобт = 510-30-100 = 380 мм.
Довжину обтискуємої частини розбиваємо на десять однакових
частин:

,

Визначаємо приростання діаметра оправки у кожному
контрольному перерізі:
δ1...10 = l1...10·2tgα, (2.23)
δ1...10 = 29,0·0,02 =0,76 мм.
Визначаємо діаметри оправки у контрольних перерізах:
d0 = dп
= 34,8 мм (2.24)1 = d0 + δ = 34,8+ 0,76 = 35,38 мм2 = d1 + δ
= 35,38 + 0,76 = 35,96 мм3 =
d2 +
δ = 35,96+ 0,76 = 36,54 мм4
= d3 + δ = 36,54+ 0,76 = 37,12 мм5 = d4 + δ
= 37,12+ 0,76 = 37,7 мм6 =
d5 +
δ = 37,7+ 0,76 = 38,28 мм7
= d6 + δ = 38,28+ 0,76 = 38,86 мм8 = d7 + δ
=38,86 + 0,76 = 39,44 мм9 =
d8 +
δ = 39,44+ 0,76 = 40,02 мм10
= d9 + δ =40,02+ 0,76= 40,6 мм.
Визначаємо товщину стінки заготовок за урахуванням її потовщення
при редукуванні у 10 перерізі:
S10 = Sз+DS =
(2.25)10 = 4+(0,05...0,07)·(49-40,6) = 4,42…4,58мм
де dз - внутрішній діаметр заготовки, мм
Приймаємо: S10 = 4,5 мм.
Визначаємо сумарне витягання по стінці:

,
(2.26)

Визначаємо часткові коефіцієнти витягання в контрольних
перерізах по номограмі:
Таблиця 2.2 - Часткові коефіцієнти витягання у контрольних
перерізах
|
0
|
1
|
2
|
3
|
4
|
5
|
6
|
7
|
8
|
9
|
10
|
|
μх
|
1,00
|
1,055
|
1,120
|
1,199
|
1,296
|
1,419
|
1,578
|
1,793
|
2,097
|
2,561
|
3,35
|
Визначаємо товщину стінки у контрольних перерізах:
Sx = Sт·μх, (2.27)1 = Sт·μ1 = 1,6·1,055 = 1,69 мм2 = Sт·μ2 = 1,6·1,120 = 1,79 мм3 = Sт·μ3 = 1,6·1,199 = 1,91 мм4 = Sт·μ4 = 1,6·1,296 = 2,07 мм5 = Sт·μ5 = 1,6·1,419 = 2,27 мм6 = Sт·μ6 = 1,6·1,578 = 2,52 мм7 = Sт·μ7 = 1,6·1,793 = 2,86 мм8 = Sт·μ8 = 1,6·2,097 = 3,35 мм9 = Sт·μ9 = 1,6·2,561 = 4,09 мм.10 =
Sт·μ10 = 1,6·3,35 = 5,36 мм.
Діаметри рівчака калібру у початку і кінці калібруючої
частини приймаємо однаковим зовнішньому діаметру труби на мінусовому допуску:

Діаметр рівчака калібру у початку частини редукування
дорівнюється зовнішньому діаметру труби-заготовки:

Визначаємо діаметри рівчака калібру у контрольних перерізах?

=
d2+2S2 = 35,96 + 2·1,79 = 39,54 мм

=
d3+2S3 = 36,54 + 2·1,91= 40,36 мм

=
d4+2S4 = 37,12 + 2·2,07 = 41,26 мм

=
d5+2S5 = 37,7 + 2·2,27 = 42,24 мм

=
d6+2S6 = 38,28 + 2·2,52 = 43,32 мм

=
d7+2S7 = 38,86 + 2·2,86 = 44,58 мм

=
d8+2S8 = 39,24 + 2·3,35 = 45,94 мм

=
d9+2S9 = 40,02 + 2·4,09= 48,2 мм

=
d10+2S10 = 40,6 + 2·5,36 = 51,32 мм.
Визначаємо глибину калібрів у контрольних перерізах
2hx = Dх-λ, (2.29)
де λ - значення величини зазору між
калібрами, мм
λ= 0,05...0,80 мм [11] с.72,
табл.7.4.Приймаємо λ= 0,2 мм.
hкал = Dкал-λ
= 38-0,2 = 37,80
мм
2h1 = D1-λ
= 38,76-0,2 = 38,56 мм
h2 = D2-λ
= 39,54-0,2 = 39,34 мм
h3 = D3-λ
= 40,36-0,2 = 40,16 мм
h4 = D4-λ
= 41,26-0,2 =
41,06 мм
h5 = D5-λ
= 42,24-0,2 = 42,04 мм
h6 = D6-λ
= 43,32-0,2 =
43,12мм
h7 = D7-λ
= 44,58-0,2 = 44,38 мм
h8 = D8-λ
= 45,94-0,2 = 45,74 мм
h9 = D9-λ
= 48,02-0,2 = 48,0 мм
h10 = D10-λ
= 51,32-0,2 = 51,12 мм
hред = Dред-λ
= 57-0,2 = 56,80
мм.
Визначаємо ширину калібрів за допомогою емпіричних
коефіцієнтів
Вкал = Dкал+(0,3...0,5) = 38+0,3
= 38,30 мм (2.30)
В0 = D0·(1,012…1,018) = 38·1,012
= 38,34 мм
В1 = D1·(1,015…1,020) =
38,76·1,015 = 39,34 мм
В2 = D2·(1,018…1,025) =
39,54·1,018 = 40,25 мм
В3 = D3·(1,023…1,030) =
40,36·1,023 = 41,28 мм
В4 = D4·(1,028…1,038) =
41,26·1,028 = 42,41 мм
В5 = D5·(1,035…1,048) =
42,24·1,035 = 43,71 мм
В6 = D6·(1,043…1,060) =
43,32·1,043 = 45,18 мм
В7 = D7·(1,054…1,075) = 44,58·1,054
= 46,98 мм
В8 = D8·(1,067…1,090) =
45,94·1,067 = 49,01 мм
В9 = D9·(1,081…1,120) =
48,02·1,081 = 51,90 мм
В10 = D10·(1,10…1,120) =
51,32·1,10 =56,45 мм
Вред = Dред·(1,10…1,120) =
57·1,10 = 62,70 мм.
Таблиця 2.3 - Параметри розгорнення рівчака калібру
|
Кал.
|
1
|
2
|
3
|
4
|
5
|
6
|
7
|
8
|
9
|
10
|
Ред.
|
|
lx, мм
|
100
|
33
|
33
|
33
|
33
|
33
|
33
|
33
|
33
|
33
|
33
|
80
|
|
Dх, мм
|
38,0
|
38,76
|
39,54
|
40,39
|
41,26
|
42,24
|
43,24
|
44,58
|
45,94
|
48,2
|
51,32
|
57
|
|
dx, мм
|
34,8
|
35,38
|
35,96
|
36,54
|
37,12
|
37,7
|
38,28
|
38,82
|
39,44
|
40,02
|
40,6
|
49
|
|
Вх, мм
|
38,30
|
39,34
|
40,25
|
41,28
|
42,21
|
43,71
|
45,18
|
46,98
|
49,01
|
51,90
|
56,45
|
62,70
|
|
2hx, мм
|
37,80
|
38,56
|
39,54
|
40,16
|
41,06
|
42,04
|
43,12
|
44,38
|
45,74
|
48
|
51,12
|
56,80
|
Рис. 2.3 - Калібр стану ХПТ
2.3 Розрахунок річної
продуктивності
Вихідні дані:
Розміри готової труби:DтхSт=38х1,6
мм
Марка сталі: Сталь 20
Розрахунок
Визначаємо годинну продуктивність стану ХПТ 55 у метра:

,
(2.28)
де m - величина подавання, мм;
m - коефіцієнт витягання;·µ - величина лінійного
зміщення, мм,
Приймаємо m·m = 50мм[11], с.68, табл.7.2;
n - кількість двійних ходів кліті у хвилину, 
,
Приймаємо n = 85
[11], с.71, табл.7.3; - коефіцієнт використання стану,
За цеховими даними k = 0,85.

Визначаємо годину продуктивність стану у тонах:

,
(2.29)
де 
-
лінійна густина труби, 
,

=
0,0246·Sт·(Dт-Sт) ,
(2.30)

=
0,0246·1,6·(38-1,6) =1,43 

Визначаємо річний фонд робочого часу:
Ф
(2.31)
де С1 - кількість святкових днів в році,
С1=11 діб;
С2 - кількість діб планово-попереджувальних
ремонтів,
За цеховими даними С2=18,4 діб;
С3 - кількість діб капремонту;
За цеховими даними С3 = 5 діб;
Е - кількість годин роботи стану у добу;
За цеховими даними Е = 24 години;
y - текучі простої,%,
За цеховими даними y = 12,5%,
Ф
)
6902,93
год.
Визначаємо річну продуктивність стануХПТ-55:

·Ф,
(2.32)

·6902,93=2139,58

2.4 Розрахунок на механічну
міцність валка стану ХПТ 55
Вихідні дані стану ХПТ 55max=1500 кH; Mпр.max=83
kH·м; Dв.ш.=336 мм; l1=317,5 мм; l2=337,5
мм; l3=202,5 мм; l4=135 мм; l5=100мм;
d=364 мм; d1=180мм; d2=205мм; d3=195мм; d4=220
мм; h=160 мм; r=182 мм; b2=140 мм; b3=80 мм; b=33 мм.
Розрахунок
Крутній момент діючий на одну шийку робочого валка:

,
(2.33)

·
Н·мм.
Оточуюче зусилля на ведучої шестерні:
Т
,
(2.34)
Т
·
Н.
Розпіркове зусилля:
В
·tg
,
(2.35)
де 
-кут
прямозубого зачеплення, 
,
В
·
·0,364
·
Н.
Опорні реакції у вертикальній площині:

+В,
(2.36)


+0,091·
Опорні реакції у горизонтальній площині:

·
Н.
Визначаємо напруження в перетині 1-1: -загальний момент у вертикальній
площині

·
,
(2.37)

Н
-згинаючий момент у горизонтальній площині
-сумарний загальний момент

,
(2.39)

-напруження згинання

,
(2.40)

-напруження кручення

(2.41)

-cумарне напруження у перетині 1-1

(2.42)
де [
]-допустиме
напруження згинання для матеріалу валка, МПа
[
]
,
(2.43)
тут σт - границя текучості матеріалу валка,
для сталі 30ХГСА
σт=850 МПа
К - коефіцієнт запасу міцності, уважає роботу валка при
великих навантаженнях, приймаємо К=2,5,
[
]

Умови міцності виконуються
Визначаємо напруження у перетині 2-2:
-згинальний момент вертикальної площини

(2.44)

Н·мм;
-згинальний момент у горизонтальній площини


-сумарний згинальний момент

(2.45)

-напруження згинання

(2.46)

-напруження кручення

,
(2.47)

-cумарне напруження у перетині 2-2

(2.48)

=117,06
МПа,

Умови міцності виконуються
Визначаємо напруження у перерізі 3-3
Переріз 3-3 валка зображує собою півкола, послаблений у
середині отвором центового болта і з країв - зевами.
Момент інерції перерізу відносно вісі Х-Х:

,
(2.49)
де І¢ХХ - момент інерції півкола,

(2.50)

;
І¢¢ХХ - момент інерції трикутника,

+
(2.51)
де tg
(2.52)

(2.53)
(2.54)

,
(2.55)
ή
(2.56)
І¢¢¢ХХ - момент інерції прямокутника.
Момент інерції трикутника замінює момент інерції фігури, що
утворює зев. Цей трикутник має висоту h, та площину рівну площині фігури, який
утворює зев. Із умови рівняння циз площин визначається основа b1
трикутника.

(2.57)


.
Тоді 
Момент інерції перерізу відносно вісі у-у:

(2.58)
де І¢уу - момент інерції півкола,
І¢¢уу - момент інерції трикутника,

,
(2.60)

;
І¢¢¢уу - момент інерції прямокутника,

Тоді 
438,88
.
Момент опору перерізу відносно вісі Х-Х:
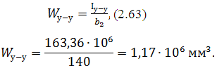
Момент опору перерізу відносно вісі у-у:

Максимальне зусилля прокатки 
діє
на валок, коли переріз 3-3 повернутий відносно зображеного на кут приблизно 70...80°.
при розрахунку цього перерізу на максимальне зусилля прокатки приймаємо, що
максимальне зусилля прокатки діє перпендикулярно вісі у-у, а оточувальне
зусилля - перпендикулярне вісі х-х.
Згинальний момент у вертикальній площині:

(2.64)
Згинальний момент у горизонтальній площині:

(2.65)
Напруження згинання у перерізі 3-3 от моменту діючого у
вертикальній площині:

,
(2.66)
Умови міцності виконуються
Напруження згинання у перерізі 3-3 від моменту діючого у
горизонтальній площині:

(2.67)

Умови міцності виконуються.
Рисунок 2.4 - Розрахункова схема робочого валка стану ХПТ
Рисунок 2.5 - Розрахункова схема перерізу 3-3 робочого валка
стану ХПТ
ВИСНОВКИ
Наслідком даної роботи є проект технологічного процесу
виробництва холоднокатаних труб на станах ХПТ в умовах ТВЦ ЗАТ НЗСТ «ЮТіСТ».
Складено схему технологічного процесу виробництва
холоднокатаних вуглецевих труб. Зроблено технологічні розрахунки маршрута
прокатки труб, калібровки робочого інструменту стану ХПТ-55 та річної
продуктивності стану.
Розглянуто вимоги діючих ДЕСТів на холоднодеформовані
вуглецеві труби і теоретичні основи деформації металу на станах ХПТ.
Наведено заходи щодо охорони праці, які здіснюються при
виробництві труб, а також протипожежні заходи у трубоволочільному цеху.
ПЕРЕЛІК ПОСИЛАНЬ
1. Розов Н.В. ²Производство труб² - М, “Металлургия”, 1974. -
598 с.
. Виноградов А.Г. ²Трубное производство - М,
“Металлургия”, 1981. - 343 с.
. Станкевич В.О. и др. “ Холодная прокатка труб “- М,
Металлургия, 1982. 148с.
. Технологическая инструкция ТИ НЗСТ В-2-05
“Производство холоднодеформированных труб вТВЦ” ЗАО НЗСТ “ЮТиСТ”-2006г.
. Технологическая инструкций ТИ №24-5в12-80
Определения размеров рабочих поверхностей деформируемого инструмента станов ХПТ
(калибровка) для холодной и теплой прокатки ЮТЗ -1980г.
. Васильев Г.А. ²Основы безопасности труда на
предприятиях черной металлургии² - М, “Металлургия”, 1983.