|
Нагрузка
|
Mн, кНм
|
Mp, кНм
|
Mpв, кНм
|
Qн, кН
|
Qp, кН
|
|
1-я схема А14
|
17,34
|
38,56
|
28,65
|
-
|
-
|
|
2-я схема А14
|
19,82
|
27,75
|
25,115
|
57,39
|
117,74
|
|
Н14
|
37,18
|
40,97
|
-
|
60,037
|
91,257
|
|
Максимальная
|
37,18
|
40,97
|
28,65
|
60,037
|
117,74
|
|
Постоянная
|
2,56
|
3,14
|
-
|
7,106
|
8,72
|
|
Экстремальное
|
39,75
|
44,11
|
28,65
|
73,143
|
126,46
|
Таблица 3. Построение огибающей эпюры изгибающих моментов
проезжей части.
Рис.7 Огибающие эпюры М
.3 Подбор рабочей арматуры плиты
Подбор рабочей арматуры осуществляется из условия прочности
по изгибающему моменту исходя из уравнений равновесия внешних и внутренних сил:
суммы проекций на горизонтальную ось и момента относительно центра тяжести
растянутой арматуры (рис. 7)
Рис. 8 Схема к подбору сечения плиты
=
ø/2
откуда следует:
,
где X - высота сжатой зоны;
Ав - площадь сжатой зоны;
Rs - расчётное сопротивление арматурной стали;
hо - рабочая высота сечения;
А
площадь арматуры
z - плечо внутренней пары сил;
m - Коэффициент условий работы, для бездиафрагменных пролетных
строений m=0,8
ЗС+Ø/2
и
- толщины соответственно нижнего и
верхнего защитных слоев.
Условие прочности:
, где М
наибольший расчетный момент
Для плиты принят бетон класса В35 с Rb=17,5 МПа и арматура класса AII диаметром 14мм с Rs=265МПа
,
где d
фактический диаметр арматуры, n - количество стержней арматуры.
Минимальное количество стержней n =5
Задаваясь различным количеством стержней арматуры добьемся
условия прочности.
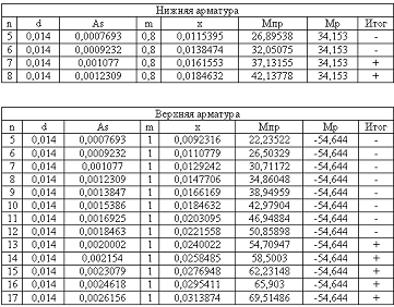
Исходя из условия прочности, принимаем 13 стержней ∅14мм - верхней арматуры и 7 стержней ∅14мм - нижней.
.4
Расчет наклонных сечений плиты на прочность при
действии поперечной силы
Qb - поперечное усилие, передаваемое в расчете на
бетон сжатой зоны над концом наклонного сечения и определяемое по формуле:
где b, h0 - ширина сплошной плиты и расчетная высота
сечения, пересекающего центр сжатой зоны наклонного сечения;
с - длина проекции невыгоднейшего наклонного сечения на
продольную ось элемента.- коэффициент условий работы, равный
,
но не менее 1,3 и не более 2,5
где Rb,sh - расчетное сопротивление на скалывание при изгибе;
tq -
наибольшее скалывающее напряжение от нормативной нагрузки;
при tq £ 0,25 Rb,sh - проверку на прочность по наклонным
сечениям допускается не производить.
Рис. 9 Схема к определению
где
поперечная сила от нормативной нагрузки,
статический момент отсеченной части, I - момент инерции сечения, b - ширина сплошной плиты
,
t - толщина плиты, у - расстояние от центра тяжести отсеченной
части до центра тяжести плиты.
,
=
R
,65кПа
-проверку на прочность по наклонным
сечениям допускается не производить.
.5 Расчет бетона и арматуры на выносливость
Расчет на выносливость элементов железобетонных конструкций
с ненапрягаемой арматурой производится по формулам сопротивления материалов без
учета работы бетона растянутой зоны.
- проверка по бетону
- проверка по арматуре
Ired,b - момент инерции приведенного сечения
относительно нейтральной оси без учета растянутой зоны бетона с введением
отношения n к площади всей арматуры.
x¢ - высота сжатой зоны
бетона, определяемая по формулам упругого тела, без учета растянутой зоны
бетона;
mbl, masl - коэффициенты, учитывающие асимметрию цикла
напряжений в бетоне и в ненапрягаемой арматуре (с учетом сварных соединений)
согласно, вводимые к расчетным сопротивлениям соответственно бетона Rb и арматуры Rs;
m
где bb -
коэффициент, учитывающий рост прочности бетона во времени и принимаемый по
табл. 25[1]. Для класса бетона В35 bb =1,31
eb - коэффициент, зависящий от асимметрии
цикла повторяющихся напряжений
и принимаемый по табл. 7.17[1]
m
,
где ers -
коэффициент, зависящий от асимметрии цикла изменения напряжения в арматуре r = smin /
smax, приведен в табл. 7.17[1]
brw - коэффициент,
учитывающий влияние на условия работы арматурных элементов наличия сварных
стыков или приварки к арматурным элементам других элементов, приведен в табл.
7.18 [1].
Расчет нижней арматуры и бетона
Рис.10 Схема к определению нижней арматуры на выносливость
r =
Из таблицы 7.17[1] eb - 1,01; Из таблицы 7.17.[1] ers =0,835;
Из таблицы 7.18[1] brw
=0,668
m
m
,
где n'- коэффициент отношения модулей
упругости , при котором учитывается виброползучесть бетона. n' =15
,
Условие выполнено! Исходя из условия выносливости,
принимаем 7 стержней арматуры диаметром 14 мм.
Расчет верхней арматуры и бетона
Рис.11 Схема к определению верхней арматуры из условия
выносливости бетона.
r =
m
m
,
Условие выполнено! Исходя из условия выносливости,
принимаем 13 стержней арматуры диаметром 14 мм.
.6 Расчет по раскрытию трещин
Ширину раскрытия нормальных и наклонных к продольной оси трещин
а
, см, необходимо определить по формуле:
,
где
- растягивающее напряжение, Е - модуль
упругости арматуры ,
предельное значение расчетной ширины раскрытия трещин .
,
где М
нормативный изгибающий момент в середине
расчетного пролета,
приведенный момент сопротивления.
, где
приведенный момент инерции,
у
- коэффициент раскрытия трещин, определяемый в зависимости от
радиуса армирования,
- радиус армирования, см.
где
площадь зоны взаимодействия для
нормального сечения, принимаемая ограниченной наружным контуром сечения и
радиусом взаимодействия r = 6d,
- коэффициент, учитывающий степень сцепления арматурных
элементов с бетоном, n - число
арматурных элементов с одинаковым номинальным диаметром d, d - диаметр одного стержня.

,см
сечение в середине пролёта

у
Сечение на опоре

у
.6 Увязка и компоновка рабочей арматуры
Увязка и компоновка рабочей арматуры верхних и нижних сеток
представлена в приложении на листах 5 и 6
3. Определение усилий в сечениях главной балки
.1 Определение постоянных нагрузок
Сбор постоянных нагрузок.
Для определения постоянной нагрузки, приходящейся на одну
балку, воспользуемся методом упруго оседающих опор.(см. рис.12)
Рис. 12 Схема к определению линий влияний R
,
где d =1,770- расстояние между несущими
элементами,
I
- момент инерции сечения балки,
расчетный пролет,
момент инерции плиты.
I
=0,02985м4
,
где b - ширина плиты, t
толщина плиты
По приложению 10[2], по интерполяции находим ординаты линий
влияния для нулевой и первой балок. Результаты помещены в табл.5.
|
Ординаты
л.вл. на 0 балке
|
значение
|
Ординаты
л.вл. на 1 балке
|
значение
|
|
Rкл
|
0,839
|
Rкл
|
0,556
|
|
Rp00
|
0,629
|
Rp10
|
0,346
|
0,346
|
Rp11
|
0,313
|
|
Rp02
|
0,138
|
Rp12
|
0,224
|
|
Rp03
|
0,019
|
Rp13
|
0,125
|
|
Rp04
|
-0,033
|
Rp14
|
0,048
|
|
Rp05
|
-0,046
|
Rp15
|
-0,007
|
|
Rp06
|
-0,050
|
Rp16
|
-0,049
|
|
Rкп
|
-0,0532
|
Rкп
|
-0,0522
|
Ординаты на консолях для 0 балки.
Ординаты на консолях для 1 балки.
где
длина консоли, d - расстояние между балками.
По данным значениям строим линии влияния для 0 и 1 балок.
Рис.13 Линии влияния R0 и R1
Сбор
постоянных нагрузок для балки №1
|
Наименование
|
q ; P
|
w / y
|
q норм
|
q расч
|
|
|
Собств. вес
Г.Б.
|
16,62335
|
1
|
16,62335
|
1,1
|
18,28569
|
|
Выравн. слой
|
3,18
|
1
|
3,18
|
1,3
|
4,134
|
|
Гидро изол.
|
0,3975
|
1
|
0,3975
|
1,3
|
0,51675
|
|
Защ. слой
|
1,5
|
2,111299
|
3,166948
|
1,3
|
4,117032
|
|
Асф. Бетон ПЧ
|
1,61
|
1,39821
|
2,251118
|
1,5
|
3,376677
|
|
Асф. Б.
(трот)
|
0,92
|
0,713089
|
0,656041
|
1,5
|
0,984062
|
|
Барьерное
огр.
|
5,475
|
0,6425
|
3,517688
|
1,1
|
3,869456
|
|
Перильное
огр.
|
0,5
|
0,85022
|
0,42511
|
1,1
|
0,467621
|
|
ИТОГО
|
|
30,21775
|
|
35,75128
|
Сбор постоянных нагрузок для балки № 1
|
Наименование
|
q ; P
|
w / y
|
q норм
|
q расч
|
|
|
Собств. вес
Г.Б.
|
13,61579
|
1
|
13,61579
|
1,1
|
14,97737
|
|
Выравн. слой
|
2,34
|
1
|
2,34
|
1,3
|
3,042
|
|
Гидро изол.
|
0,2925
|
1
|
0,2925
|
1,3
|
0,38025
|
|
Защ. слой
|
1,5
|
2,430668
|
3,646001
|
1,3
|
4,739802
|
|
Асф. Бетон ПЧ
|
1,61
|
1,717579
|
2,765302
|
1,5
|
4,147953
|
|
Асф. Б.
(трот)
|
0,92
|
0,713089
|
0,656041
|
1,5
|
0,984062
|
|
Барьерное
огр.
|
5,475
|
0,276
|
1,5111
|
1,1
|
1,66221
|
|
Перильное
огр.
|
0,5
|
0,219
|
0,1095
|
1,1
|
0,12045
|
|
ИТОГО
|
|
24,93624
|
|
30,0541
|
.2 Определение КПУ для временных нагрузок
Для определения КПУ воспользуемся методом упруго оседающих
опор.
При определении коэффициентов КПУ линии влияния,
построенные по принятому методу, загружаются временной нагрузкой,
устанавливаемой в невыгоднейшее положение на проезжей части для рассматриваемой
линии влияния.
· 1 схема загружения - нагрузку А14 располагают
при загруженных тротуарах не ближе 1,5 м от кромки проезжей части до оси
нагрузки. Размер полосы безопасности зависит от габарита проезжей части.
Расстояние между осями соседних полос нагрузки должно быть не менее 3,0 м.
Число полос нагрузки не должно превышать числа полос движения для заданного
габарита проезжей части.
Рис.14 I схема
установки А-14
Значения КПУ
)Балка 0:
- для пешеходной нагрузки
- для колесной нагрузки от тележки Р/2
) Балка 1:
· 2 схема загружения - при незагруженных тротуарах нагрузку А
14 устанавливают на расстоянии 1,5 м от ограждения ездового полотна до оси нагрузки.
Рис.15 II схема
установки А-14
1)Балка 0:
2) Балка 1:
· Схема загружения нагрузкой Н14 - следует располагать вдоль
направления движения на любом участке проезжей части моста. Нагрузку НК14 не
учитывают совместно с временной нагрузкой на тротуарах и для определения
максимальных усилий в балке устанавливают вплотную к полосе безопасности.
Рис.16 схема установки НК-100
)Балка 0:
) Балка 1:
3.3 Определение коэффициентов надежности и динамичности
Согласно п.2.23 [1] коэффициент надежности по нагрузке
- следует принимать:
для тележки
=1,337, где
длина загружения
для полосовой нагрузки АК14
для НК 14
для толпы
Согласно п.2.22 [1] коэффициент динамичности
- следует принимать:
для НК14
для АК14
;
Нормативную временную нагрузку на тротуары следует определять по
формуле:

.4 Определение внутренних усилий от временной нагрузки
Определение усилий М и Q в
главных балках производят путем загружения линий влияния этих усилий постоянной
и временной нагрузками.
При этом временной нагрузкой следует загружать таким образом,
чтобы получить при этом максимальное усилия. А именно: полосовая нагрузка
ставится на максимальную площадь, а тележки - на максимальные ординаты.
Определяют усилия в характерных сечениях, количество которых
достаточно для построения огибающих эпюр этих усилий.
В курсовом проекте усилия определяют в трех сечениях:
в середине пролета ( сечение 1-1)
в четверти пролета (сечение 2-2)
на опоре пролета ( сечение 3-3)
Определяют М и Q в сечениях
1-1, 2-2 и 3-3 путем загружения соответствующих линий влияния усилий в каждом
сечении.
Усилия от временной нагрузки при загружении проезжей части А14
по первой схеме определены по формулам:
Усилия от временной нагрузки при загружении проезжей части А14
по второй схеме определены по формулам:
При загружении колесной нагрузкой НК 14 формулы М и Q будут:
Определяем усилия, возникающие в главной балке от временных
нагрузок.
) от нагрузки АК14
а) в середине пролёта
По первой схеме АК
По второй схеме АК
Загружение нагрузкой Н 14
Для балки №0
Для балки №1
б) в четверти пролёта
По первой схеме АК
По второй схеме АК
Загружение нагрузкой Н 14
Для балки №0
Для балки №1
Определение поперечной силы
) от нагрузки АК14
а) в середине пролёта
По первой схеме АК
По второй схеме АК
Загружение нагрузкой НК - 100
Для балки №0
Для балки №1
б) в четверти пролёта
По первой схеме АК
По второй схеме АК
Загружение нагрузкой НК - 100
Для балки №0
Для балки №1
в) в опорном сечении
По первой схеме АК
По второй схеме АК
Загружение нагрузкой НК - 100
Для балки №0
Для балки №1
Результаты расчетов внутренних усилий в главной балке удобно
оформить в табличной форме.
Расчётные значения внутренних усилий
Балка №0 Нормативная
|
Сеч.
|
пост. нагр
|
А 14
|
Н14
|
Экстремал
|
|
|
1 схема
|
2 схема
|
|
|
|
Мн
|
Qн
|
М
|
Q
|
М
|
Q
|
М
|
Q
|
М
|
Q
|
|
оп
|
0,000
|
254,667
|
0,000
|
121,38
|
0,000
|
192,068
|
0,000
|
187,66
|
0,000
|
446,73
|
|
l/4
|
897,702
|
95,500
|
366,39
|
83,53
|
114,085
|
539,88
|
135,75
|
1475,76
|
306,1
|
|
l/2
|
1196,936
|
0,000
|
482,74
|
59,29
|
755,15
|
92,8
|
721,57
|
80,81
|
1952,1
|
80,81
|
Расчётная
|
Сеч.
|
Пост. нагр
|
А 14
|
Н14
|
Экстремал
|
|
|
1 схема
|
2 схема
|
|
|
|
Мр
|
Qр
|
М
|
Q
|
М
|
Q
|
М
|
Q
|
М
|
Q
|
|
оп
|
0,000
|
299,497
|
0,000
|
180,92
|
0,000
|
302,27
|
0,000
|
206,42
|
0,000
|
601,76
|
|
l/4
|
1055,728
|
112,311
|
508,17
|
125,16
|
909,38
|
214,08
|
593,87
|
149,32
|
1965,1
|
326,39
|
|
l/2
|
1407,637
|
0,000
|
612,87
|
87,94
|
1187,11
|
149,9
|
793,73
|
88,89
|
2594,75
|
149,9
|
Балка №1
Нормативная
Расчетная
3.5 Построение огибающих эпюр усилий
Балка № 0
Балка № 1
Рис. 19. Огибающие эпюры М и Q от нормативных и расчетных
нагрузок
4. Расчет и конструирование главной балки
.1 Подбор рабочей арматуры главной балки
Подбор рабочей арматуры осуществляется из условия прочности
по изгибающему моменту исходя из уравнений равновесия внешних и внутренних сил:
суммы проекций на горизонтальную ось и момента относительно центра тяжести
растянутой арматуры (см.п.2.3)
Схема к подбору рабочей арматуры в балке
предельный момент,
где
толщина стенки, h0- расстояние от центра
тяжести арматурного сечения до верха плиты проезжей части, х - высота сжатой
зоны.
h -a, где h= 1,53м - высота балки.
,
где
расстояние от центра тяжести арматур из
стержней.
В расчетах будем использовать арматуру ∅32 мм. Кроме того, после стыковки трех
стержней в сечение вводим коротыши ∅32мм.
Условие прочности:
М
Задаваясь различным количеством стержней арматуры, добьемся
условия прочности. Результаты расчета сведены в табл.8
Подбор арматуры в балке
|
N
|
As,см2
|
X,см
|
h0
|
m
|
Mпр
|
усл
|
Mр,кН
|
|
2
|
16,100
|
1,200
|
148,3
|
1
|
631704,2
|
-
|
629044,5
|
|
4
|
32,200
|
2,500
|
146,6
|
1
|
1248710
|
-
|
1238071
|
|
6
|
48,200
|
3,700
|
144,8
|
1
|
1851020
|
-
|
1827082
|
|
8
|
64,300
|
5,000
|
142,2
|
1
|
2423930
|
-
|
2381376
|
|
10
|
80,400
|
6,200
|
140,0
|
1
|
2982140
|
-
|
2915654
|
|
12
|
96,500
|
7,500
|
138,8
|
1
|
3548020
|
+
|
3452282
|
Таким образом, для главной балки принимаем 12 стержней + 2
коротыша (в вертикальном сечении).
.2 Проверка по прочности нормальных сечений
Расчет сечений, нормальных к продольной оси элемента, когда
внешняя сила действует в плоскости оси симметрии сечения и арматура
сосредоточена у перпендикулярных указанной плоскости граней элемента, должен
производиться в зависимости от значения относительной высоты сжатой зоны x = х/h0, определяемой
из соответствующих условий равновесия. Значение x при расчете
конструкций, как правило, не должно превышать относительной высоты сжатой зоны
бетона xy, при которой предельное состояние бетона
сжатой зоны наступает не ранее достижения в растянутой арматуре напряжения,
равного расчетному сопротивлению Rs или Rp с учетом соответствующих коэффициентов условий
работы для арматуры.
Значение xy определяется по
формуле
,
где w =
0,85-0,008 Rb - для элементов с обычным армированием;
при этом расчетное сопротивление бетона Rb следует принимать в МПа напряжения в
арматуре s1 следует принимать равным 350МПа, s - для ненапрягаемой арматуры;
напряжение s2
является предельным напряжением в арматуре сжатой зоны и должно приниматься
равным 500 МПа.
Если при расчете по прочности окажется необходимым и обоснованным
сохранение полученного по расчету значения x = х/h0 по величине большего граничного
значения xy согласно п. 7.61 [1], то рекомендуется
руководствоваться указаниями СП 63.13330.
w = 0,85-0,008*Rb = 0,85 - 0,008*15,5 =0,726
x= х/h0
Определение высоты сжатой зоны сведено в табл.19
Таблица №19
|
N
|
x/h0
|
усл
|
дзета
|
|
2
|
0,0143056
|
+
|
0,586
|
|
4
|
0,02892303
|
+
|
0,586
|
|
6
|
0,04386261
|
+
|
0,586
|
|
8
|
0,05980142
|
+
|
0,586
|
|
10
|
0,07560365
|
+
|
0,586
|
|
12
|
0,09177019
|
+
|
0,586
|
x< x
в любом изменении сечения,
следовательно, проверка выполняется.
.3 Построение эпюры материалов
Построение эпюры материалов позволяет рационально использовать
рабочую арматуру по длине балки. При построении эпюры материалов откладываем
предельные моменты от каждой пары стержней в точках пересечения огибающей эпюры
моментов с i -ми предельными моментами получаем
точки теоретического обрыва. Согласно п.7.126 [1] выключившиеся из работы
стержни необходимо продолжить на расстояние не менее 27ø
арматуры. 27*32=864мм.
Перегибы стержней арматуры делают по дуге круга радиусом не менее 10ø
арматуры. Наклон отгибаемых
стержней к оси балки выполнен под углом 45
.
Рис. 22 Эпюра материалов.
4.3 Расчет по прочности сечений, наклонных к
продольной оси элемента
Расчет по прочности наклонных сечений должен производиться
с учетом переменности сечения:
на действие поперечной силы между наклонными трещинами (см.
п. 7.77[1]) и по наклонной трещине (см. п. 7.78 [1]);
на действие изгибающего момента по наклонной трещине для
элементов с поперечной арматурой (см. п. 7.83 [1]).
Расчет сечений, наклонных к продольной оси элемента, на действие
поперечной силы. Для железобетонных элементов с
поперечной арматурой должно быть соблюдено условие, обеспечивающее прочность по
сжатому бетону между наклонными трещинами:
Q £ 0,3jwl jbl Rb bh0
где : Q - поперечная сила на расстоянии не ближе h0 от оси
опоры;
jwl = 1 + hn1mw, при расположении
хомутов нормально к продольной оси
jwl £ 1,3,
где h = 5 - при хомутах, нормальных к продольной оси
элемента;
n1 - отношение модулей упругости арматуры и
бетона, определяемое согласно п. 7.48*[1];
;
Asw площадь сечения ветвей хомутов, расположенных в одной
плоскости;w - расстояние между хомутами по нормали
к ним;- толщина стенки (ребра);- рабочая высота сечения.
Коэффициент jbl
определяется по формуле
jbl = 1 - 0,01 Rb ,
в которой расчетное сопротивление Rb принимается в МПа.
jbl = 1 - 0,01 R
=1- 0,01*17,5=0,825
;
=15
jwl = 1 + hn1mw =
£ 0,3jwl jbl Rb bh0
633,03
,03кН < 1502,94кН
Расчет наклонных сечений элементов с поперечной арматурой на
действие поперечной силы
следует производить для элементов с ненапрягаемой арматурой из
условий:
Q £ S Rsw Asi sin a + S Rsw Asw + Qb + Qrw ;
Q - максимальное значение поперечной силы от внешней нагрузки,
расположенной по одну сторону от рассматриваемого наклонного сечения;
SRswAsisina, SRswAsw - суммы проекций усилий всей
пересекаемой ненапрягаемой (наклонной и нормальной к продольной оси элемента)
арматуры при длине проекции сечения с, не превышающей 2h0;
Rsw, - расчетное сопротивление ненапрягаемой арматуры с учетом
коэффициента ma4 , определяемого по п. 7.40[1];
a - угол наклона стержней (пучков) к
продольной оси элемента в месте пересечения наклонного сечения;
Qb - поперечное усилие, передаваемое в расчете на бетон сжатой
зоны над концом наклонного сечения и определяемое по формуле
,
где b, h0 - толщина стенки (ребра) или ширина сплошной плиты и расчетная
высота сечения, пересекающего центр сжатой зоны наклонного сечения;
с - длина проекции невыгоднейшего наклонного сечения на продольную
ось элемента, определяемая сравнительными расчетами согласно требованиям п.
7.79[1].- коэффициент условий работы, равный
,
но не менее 1,3 и не более 2,5,
где Rb,sh - расчетное сопротивление на скалывание при изгибе (табл.
23*[1]);
tq -
наибольшее скалывающее напряжение от нормативной нагрузки;
при tq £ 0,25 Rb,sh - проверку на прочность по наклонным
сечениям допускается не производить, а при tq > Rb,sh - сечение должно быть перепроектировано;
Qwr - усилие, воспринимаемое горизонтальной арматурой, кгс:
Qwr = 1000 Awr
K ,
где Awr - площадь горизонтальной ненапрягаемой
арматуры, см2, пересeкаемой наклонным сечением под углом b, град.
Значение коэффициента К определяется условием
,
где
поперечная сила от нормативной нагрузки,
статический момент отсеченной части,
I - момент инерции сечения, b - толщина стенки.
Рис.23 Схема к определению
I = 0,144м
R
tq
< Rb,sh - сечение не нужно перепроектировать.
R
R
=
расчетное сопротивление отогнутой
арматуры.
R
=
расчетное сопротивление хомутов.
Рис.23 Схема к определению усилий в опорном сечении, наклонном к
продольной оси
Результаты расчета по наклонным сечениям в месте опирания балки
Таблица
Проверка в месте первого отгиба
Рис.24 Схема к определению усилий в сечении первого отгиба,
наклонном к продольной оси
Результаты расчета по наклонным сечениям в месте первого отгиба
Таблица
Проверка в месте второго отгиба
Рис.25 Схема к определению усилий в сечении второго отгиба,
наклонном к продольной оси
Результаты расчета по наклонным сечениям в месте второго
отгиба
Таблица
Проверка в месте изменения шага хомутов
Рис.26 Схема к определению усилий в сечении третьего
отгиба, наклонном к продольной оси
Результаты расчета по наклонным сечениям в месте изменения
шага хомутов
Таблица
Проверка в месте третьего отгиба
Рис.27 Схема к определению усилий в сечении четвертого
отгиба, наклонном к продольной оси
Результаты расчета по наклонным сечениям в месте третьего
отгиба
Таблица
В месте четвертого отгиба tq £ 0,25 Rb,sh - проверку на
прочность по наклонным сечениям допускается не производить
Расчет наклонных сечений по изгибающему моменту следует
производить, используя условия:
для элементов с ненапрягаемой арматурой
М £ Rs As zs + S Rs Asw zsw + S Rs Asi zsi ;
где М - момент относительно оси, проходящей через центр
сжатой зоны наклонного сечения, от расчетных нагрузок, расположенных по одну
сторону от сжатого конца сечения;
zsw, zs, zsi ; - расстояния от усилий в ненапрягаемой и
напрягаемой арматуре до точки приложения равнодействующей усилий в сжатой зоне
бетона в сечении, для которого определяется момент;
Rs - расчетное сопротивление ненапрягаемой
арматуры.
As, Asw - площади продольной арматуры и хомутов
соответственно.
Проверка в опорном сечении
Рис.28 Схема к определению моментов в опорном сечении,
наклонном к продольной оси
Результаты расчета по наклонным сечениям в месте опирания
балки
Таблица
Проверка в месте первого отгиба
Рис.29 Схема к определению моментов в сечении первого
отгиба, наклонном к продольной оси
Результаты расчета по наклонным сечениям в месте первого
отгиба
Таблица
Проверка в месте второго отгиба
Рис.30 Схема к определению моментов в сечении второго
отгиба, наклонном к продольной оси
Результаты расчета по наклонным сечениям в месте второго
отгиба
Таблица
Проверка в месте третьего отгиба
Рис.30 Схема к определению моментов в сечении третьего
отгиба, наклонном к продольной оси
Результаты расчета по наклонным сечениям в месте третьего
отгиба
Таблица
Проверка в месте четвертого отгиба
Рис.31Схема к определению моментов в сечении четвертого
отгиба, наклонном к продольной оси
Результаты расчета по наклонным сечениям в месте четвертого
отгиба
Таблица
.4 Расчет по трещиностойкости
Трещиностойкость железобетонных конструкций мостов
обеспечивается ограничениями возникающих в элементах растягивающих напряжений
Категория требований по трещиностойкости 3В
Ширину раскрытия нормальных и наклонных к продольной оси трещин
а
, см, необходимо определить по формуле:
,
где
- растягивающее напряжение, Е - модуль
упругости арматуры, для класса арматуры A400 = 2·105 (см.табл.7.19[1] ),
- коэффициент раскрытия трещин, определяемый в зависимости от
радиуса армирования
,
- радиус армирования.
площадь зоны взаимодействия для нормального сечения, принимаемая
ограниченной наружным контуром сечения и радиусом взаимодействия r = 6d,
- коэффициент, учитывающий степень
сцепления арматурных элементов с бетоном (табл. 41[1]), n - число арматурных элементов с
одинаковым номинальным диаметром d, d - диаметр одного стержня.
предельное значение расчетной ширины раскрытия трещин ( см.
табл. 39.[1]).
,
где М
нормативный изгибающий момент,
приведенный момент сопротивления.
,
где
приведенный момент инерции, уs =h-зс-х/ расстояние от грани нижней растянутой арматуры до верхней
границы сжатого бетона.
где
,
величина сжатой зоны,
коэффициент отношения модулей упругости с учетом виброползучести
(см. п 7.48 [1]),
площадь растянутой арматуры,
- расстояние от центра тяжести нижней
арматуры до верхней грани плиты.
Расчет сечений сведен в таблицу 20
Таблица
20
- проверка прошла
4.5 Определение прогиба
Прогиб от временной нагрузки можно найти как сумму прогибов
от тележки и полосовой нагрузки.
,
Для определения прогиба от тележки перемножим эпюры Мр и М1
,
где.
В - жесткость,
Мр - грузовая эпюра,
М1 - единичная эпюра
где
- жесткость, для упрощения расчетов используется
осредненная жесткость:
В=0,8
Рис.34 Эпюры Мp и М
Максимальный допустимый прогиб
Прогиб от собственного веса:
Строительный
подъем
5. Расчет и конструирование опорной части
Рис.35 Схема опорной части
-горизонтальная
составляющая
-
вертикальная составляющая равнодействующей.
а) Расчет верхней подушки опорной части на изгиб
Для изготовления опорных частей принимаем сталь 09Г2С табл. №8.5[1]
табл.8.5[1]
сталь марки 10ХСНДА
б)
расчет штыря
Штырь
изготавливается из арматуры класса АI
принимаем
штырь диаметром 10 мм класса АI
в)
расчёт на диаметральное смятие нижней подушки:
-
давление на нижнюю подушку,
- радиус
кривизны, r=300мм
-
коэффициент условий работы равный 1
-
расчётное сопротивление диаметральному сжатию катков.
г) Проверка на местное смятие подферменника (элемента с косвенным
армированием).
п.7.90[1]
Аloc -
площадь смятия;
Rb,red -
приведенная прочность бетона осевому сжатию, определяемая по формуле
,
п.7.90[1]
Rb, Rs -
в МПа;
jloc,b =
£ 3
j, m - соответственно коэффициент эффективности косвенного
армирования и коэффициент армирования сечения сетками (п. 7.72, 47, 48 и 51)[1]
Армируем подферменники арматурой класса А-III (шаг сетки 100).
nx, Asx, lx - соответственно число стержней, площадь поперечного сечения
и длина стержней сетки в одном направлении (считая в осях крайних стержней);
ny, Ayx, ly - то же, в другом направлении;
Аef - площадь сечения бетона,
заключенного внутри контура сеток (считая по осям крайних стержней); Аef=0,2м2
s -
расстояние между сетками (считая по осям стержней), если устанавливается одна
сетка, то величина s принимается
равной 7 см;
Для
подферменников применяем бетон класса В30

Все проверки выполняются.
Список использованных источников
мост железобетонный нагрузка
1. СП 35.13330.2011- мосты и трубы
. Поливанов Н.И. Проектирование и расчет
железобетонных и металлических мостов.
. Щетинина Н.Н. Проектирование и расчет элементов
балочного железобетонного пролетного строения автодорожного моста.