Управление запасами предприятия

  • Вид работы:
    Курсовая работа (т)
  • Предмет:
    Финансы, деньги, кредит
  • Язык:
    Русский
    ,
    Формат файла:
    MS Word
    68,18 Кб
  • Опубликовано:
    2014-06-03
Вы можете узнать стоимость помощи в написании студенческой работы.
Помощь в написании работы, которую точно примут!

Управление запасами предприятия

Министерство образования и науки Российской Федерации

Федеральное государственное автономное образовательное учреждение

высшего профессионального образования

«Нижегородский государственный университет им. Н.И.Лобачевского»

Факультет подготовки региональных кадров

Специальность: «Финансы и кредит»






КУРСОВАЯ РАБОТА

по дисциплине: Теоретические основы финансового менеджмента

Управление запасами на предприятии


Выполнила студентка 5 курса заочной формы обучения (гр. 11-25ФК/6)

Смирнова Наталья Алексеевна





г. Н.Новгород

г.

Содержание

Введение

Глава 1. Сущность, функции и понятие товарно-материальных запасов на предприятии

.1       Нормативно-правовые акты, регулирующие учет материально-производственных запасов на предприятии

1.2     Определение и функции запасов на предприятии

Глава 2. Определение и функции запасов на предприятии

2.1 Нормирование запасов

2.2 Анализ товарно-материальных запасов (Метод АВС)

.3 Анализ товарно-материальных запасов (метод XYZ)

.4 Определение оптимального размера партии заказа

Глава 3. Методы совершенствования управления запасами

Заключение

Список литературы

Введение

В современных рыночных условиях деятельность предприятия тесно связана с конечными результатами производства, важнейшими из которых является объем продаж и прибыль. Главная задача предприятия в условиях рынка - организовать свою деятельность в целях удовлетворения конечных потребителей и получения наибольшей прибыли.

Необходимым условием выполнения планов по производству продукции, снижению ее себестоимости, росту прибыли, рентабельности является полное и своевременное обеспечение предприятия запасами необходимого ассортимента и качества.

Актуальность избранной темы подтверждается тем, что рост потребности предприятия в запасах может быть удовлетворен экстенсивным путем (приобретением или изготовлением большего количества материалов и энергии) или интенсивным (более экономным использованием имеющихся запасов в процессе производства продукции).

Первый путь ведет к росту удельных запасов на единицу продукции, хотя себестоимость ее может при этом и снизиться за счет увеличения объема производства и уменьшения доли постоянных затрат.

Второй путь обеспечивает сокращение удельных материальных затрат и снижение себестоимости единицы продукции. Экономное использование сырья, материалов и энергии равнозначно увеличению их производства.

Управление запасами включает в себя две основные задачи:

определение размера необходимого запаса, т.е. нормы запаса;

создание системы контроля за фактическим использованием запасов и своевременным его пополнением в соответствии с установленной нормой, а так же:

оценка реальности планов материально-технического снабжения, степени их выполнения и влияния на объем производства продукции, ее себестоимость и другие показатели;

оценка уровня эффективности использования запасов;

выявление внутрипроизводственных резервов экономии запасов и разработка конкретных мероприятий по их использованию.

Источниками информации для оценки запасов являются план материально-технического снабжения, заявки, договоры на поставку сырья и материалов, формы статистической отчетности о наличии и использовании материальных ресурсов и о затратах на производство, оперативные данные отдела материально-технического снабжения, сведения аналитического бухгалтерского учета о поступлении, расходе и остатках материальных ресурсов и др.

Основной целью работы является рассмотрение и изучение самой сущности понятия запасов предприятия, определение их функций, изучение методов управления запасами и теоретических аспектов эффективности управления запасами в целом.

Глава 1. Сущность, функции и понятие товарно-материальных запасов на предприятии

.1 Нормативно-правовые акты, регулирующие учет материально-производственных запасов на предприятии

В соответствии с ПБУ 5/01 «Учет материально-производственных запасов», утв. Приказом Минфина РФ от 09.06.2001г. №44-н «Об утверждении Положения по бухгалтерскому учету «Учет материально-производственных запасов » с изменениями и дополнениями: от 27.11.2006г.; 26.03.2007г.; 25.10.2010г.

1.Настоящее Положение устанавливает правила формирования в бухгалтерском учете информации о материально-производственных запасах организации. Под организацией в дальнейшем понимается юридическое лицо по законодательству Российской Федерации (за исключением кредитных организаций и государственных (муниципальных) учреждений).

. Для целей настоящего Положения к бухгалтерскому учету в качестве материально-производственных запасов принимаются активы:

используемые в качестве сырья, материалов и т.п. при производстве продукции, предназначенной для продажи (выполнения работ, оказания услуг);

предназначенные для продажи;

используемые для управленческих нужд организации.

Готовая продукция является частью материально-производственных запасов, предназначенных для продажи (конечный результат производственного цикла, активы, законченные обработкой (комплектацией), технические и качественные характеристики которых соответствуют условиям договора или требованиям иных документов, в случаях, установленных законодательством).

Товары являются частью материально-производственных запасов, приобретенных или полученных от других юридических или физических лиц, и предназначенные для продажи.

.        Единица бухгалтерского учета материально-производственных запасов выбирается организацией самостоятельно таким образом, чтобы обеспечить формирование полной и достоверной информации об этих запасах, а также надлежащий контроль за их наличием и движением. В зависимости от характера материально-производственных запасов, порядка их приобретения и использования единицей материально-производственных запасов может быть номенклатурный номер, партия, однородная группа и т.п. [12]

Кроме того, в целях учета материально-производственных запасов организации используют еще один документ - Методические указания по бухгалтерскому учету материально-производственных запасов, утвержденные Приказом Минфина Российской Федерации от 28 декабря 2001 года № 119н (далее - Методические указания).

Материально-производственные запасы могут поступать в производственную организацию различными способами: приобретаться за плату у поставщиков, вноситься в счет вклада в уставный капитал, поступать по договорам, предусматривающим оплату не денежными средствами, кроме того, организация может получать материалы и безвозмездно.

В соответствии с ПБУ 5/01 (ред. 26.03.07г.) материально-производственные запасы принимаются к учету по фактической себестоимости, определение которой зависит именно от способа поступления МПЗ в организацию.

Настоящие Методические указания определяют порядок организации бухгалтерского учета материально-производственных запасов на основе Положения по бухгалтерскому учету "Учет материально-производственных запасов" (ПБУ 5/01), утвержденного Приказом Министерства финансов Российской Федерации от 9 июня 2001 г. N 44н  (зарегистрировано в Министерстве юстиции Российской Федерации 19 июля 2001 г., регистрационный номер 2806).

Настоящие Методические указания по бухгалтерскому учету материально-производственных запасов распространяются на организации, являющиеся юридическими лицами по законодательству Российской Федерации (за исключением кредитных организаций и государственных (муниципальных) учреждений). [12]

.2 Определение и функции запасов на предприятии

Одно из важнейших направлений деятельности предприятия - управление запасами. Достижение максимальной рентабельности собственного капитала возможно в основном двумя способами:

повышение эффективности (рентабельности) производственной деятельности;

повышение оборачиваемости активов. [4.с.245]

Материально-производственные запасы, являясь предметом труда, обеспечивают вместе со средствами труда и рабочей силой производственный процесс организации. Они целиком потребляются в каждом производственном цикле и полностью переносят свою стоимость на стоимость производимой продукции (работ, услуг). [1, с. 33]

Материальные запасы - различные вещественные элементы производства, используемые в качестве предметов труда в производственном процессе. Они целиком потребляются в каждом производственном цикле и полностью переносят свою стоимость на стоимость производимой продукции.

Для правильной организации учета материалов важное значение имеют их научно обоснованная классификация, оценка и выбор единицы учета.

В зависимости от той роли, которую играют разнообразные производственные запасы в процессе производства, их подразделяют на следующие группы [2, с. 50]:

Сырье и основные материалы - предметы труда, из которых изготовляют продукт и которые образуют материальную (вещественную) основу продукта.

Сырьем называют продукцию сельского хозяйства и добывающей промышленности (зерно, хлопок, скот, молоко и пр.), а материалами - продукцию обрабатывающей промышленности (мука, ткань, сахар и др.).

Вспомогательные материалы используют для воздействия на сырье и основные материалы, придания продукту определенных потребительских свойств или же для обслуживания и ухода за орудиями труда и облегчения процесса производства (специи в колбасном производстве, смазочные, обтирочные материалы и др.).

Следует иметь в виду, что деление материалов на основные и вспомогательные носит условный характер и нередко зависит лишь от количества материала, использованного на производство различных видов продукции.

Покупные полуфабрикаты - сырье и материалы, прошедшие определенные стадии обработки, но не являющиеся еще готовой продукцией. В изготовлении продукции они выполняют такую же роль, как и основные материалы, т. е. составляют ее материальную основу.

Возвратные отходы производства - остатки сырья и материалов, образовавшиеся в процессе их переработки в готовую продукцию, полностью или частично утратившие потребительские свойства исходного сырья и материалов (опилки, стружка и др.).

Топливо подразделяют на технологическое (для технологических целей), двигательное (горючее) и хозяйственное (на отопление)

Тара и тарные материалы - предметы, используемые для упаковки, транспортировки, хранения различных материалов и продукции (мешки, ящики, коробки).

Запасные части используют для ремонта и замены износившихся деталей машин оборудования. В специальную группу выделяют МБП.

Производственные запасы в данном случае понимаются в более широком смысле, нежели просто сырье и материалы, необходимые для производственного процесса, а именно к ним относятся сырье и материалы, включая малоценные и быстроизнашивающиеся предметы, незавершенное производства и готовая продукция, а также и товары для предприятия. Для финансового менеджера предметно-вещественная природа запасов не имеет особого значения; важна лишь общая сумма денежных средств, омертвленных в запасах в течении технологического (производственного) цикла; именно по этому можно объединить эти на первый взгляд разнородные, активы в одну группу.

Для осуществления беспрерывного процесса товарного обращения необходимые определенные запасы товаров.

Товарный запас - это совокупность товарной массы, которая находится в сфере обращения и предназначена для продажи. Товарные запасы выполняют определенные функции [2, с. 47]:

обеспечивают непрерывность расширенного производства и обращения, в процессе которых происходят их систематическое образование и расходования;

удовлетворяют платежеспособный спрос населения, поскольку являются формой товарного предложения;

характеризуют соотношения между объемом и структурой спроса и товарного предложения.

Необходимость образования товарных запасов предметов потребления вызвана следующими причинами:

непрерывностью процессов обращения;

сезонностью производства и потребление;

неравномерностью размещения производства и районов потребления;

непредвиденными колебаниями спроса и ритма производства;

необходимостью преобразования производственного ассортимента в торговый;

необходимостью образования страховых резервов,

другими причинами.

Товарные запасы классифицируют по разнообразным признакам. Так, в зависимости от особенностей обращения они делятся на: - товарные запасы текущего хранения, которые предназначены для удовлетворения повседневной потребности торговли в бесперебойной продаже товаров для населения, а также запасы товаров сезонного накопления и досрочного завоза, которые связаны с сезонностью производства и потребления отдельных товаров, с условиями их транспортирования в отдельные районы страны.

При учете и планировании товарных запасов используются абсолютные и относительные показатели. Абсолютная величина товарных запасов может быть выражена в натуральных или в стоимостных единицах. Абсолютная величина товарных запасов - величина непостоянная. Она все время изменяется в зависимости от поступления и продажи товаров. Поэтому при анализе и планировании большое значение имеет сопоставление товарных запасов с товарооборотом. С этой целью товарные запасы выражаются в днях. Этот показатель - относительный, он характеризует величину товарного запаса, который находится на предприятии на определенную дату, и показывает, насколько дней реализации хватит товарных запасов.

Размеры товарных запасов непосредственно связаны со скоростью обращения товаров. При неизменном объеме товарооборота ускорения оборотности товаров приводит к снижению товарных запасов, и, наоборот, замедления оборотность требует большей массы товарных запасов.

Ускорение времени обращения товаров имеет большое значение: повышает экономическую эффективность всего общественного производства, влияет на темпы воспроизведения, являясь вместе с тем важным условием повышения рентабельности деятельности предприятия.

Оборотность товаров можно ускорить только за счет усовершенствования всей торгово-коммерческой и экономической работы предприятия. Это требует глубокого понимания влияния разнообразных факторов на формирование товарных запасов. Одни из этих факторов ускоряют скорость обращения товаров и благодаря этому объективно уменьшают необходимую величину запасов, другие, наоборот, замедляют скорость товарного обращения и благодаря этому увеличивают размер запасов. Зная это, можно обнаружить резервы ускорения оборотности запасов предприятия, снизить затраты на образование и хранение товарных запасов.

К основным факторам, которые влияют на оборотность и величину товарных запасов, относятся следующие:

соотношения между спросом и предложением товаров. В условиях, когда спрос населения превышает предложение товаров, резко ускоряется их оборотность, товарооборот осуществляется с меньшими товарными запасами. По мере увеличения предложения товаров, насыщения рынка, наблюдается некоторое замедление скорости обращения товаров. Изучения спроса населения - одно из условий, которые оказывают содействие нормализации товарных запасов;

сложность ассортимента товаров. Время обращения товаров сложного ассортимента, как правил, намного превышает время обращения товаров простого ассортимента;

организация и частота завоза товаров. Чем чаще завозятся товары в магазин, тем с меньшими товарными запасами можно выполнить план товарооборота. В свою очередь частота завоза зависит от местонахождения торговых предприятий, условий транспортирования, размещения производственных предприятий. Высокая частота завоза характерна для товаров, которые быстро портятся;

потребительские свойства товаров. Они или уменьшают, или увеличивают время оборота.

ритмичность поступления товаров в течение квартала и месяца, порядок завоза товаров.

На обращение товаров влияет и великое множество других факторов: организация рекламы и продажи товаров, транспортные условия, состояние материально-технической базы, особенности фасовки товаров и т.п.

Важное значение имеют квалификация кадров и уровень руководства сложным производственным процессом, организация работы и т.п. [3, с. 61-63]

Эффективное управление товарно-материальными запасами (ТМЗ) позволяет:

уменьшить производственные потери из-за дефицита материалов;

ускорить оборачиваемость этой категории оборотных средств;

свести к минимуму излишки ТМЗ, которые увеличивают стоимость операций и замораживают дефицитные денежные средства;

снизить риск старения и порчи товаров;

снизить затраты на хранение ТМЗ.[11]

Глава 2. Модели и анализ управления товарно-материальными запасами на предприятии

.1 Нормирование запаса

Управление запасами заключается в решении двух основных задач:

) определение размера необходимого запаса, т.е. нормы запаса, и частоты его пополнения;

) создание системы контроля за фактическим размером запаса и своевременным его пополнением в соответствии с установленной нормой.

Норма запаса - расчетный минимальной уровень запасов, который должен быть на складе предприятия для обеспечения бесперебойного снабжения производства продукции или реализации товаров.

Для определения норм запасов используют три группы методов: эвристические методы, методы технико-экономических расчетов и экономико-математические методы.

Эвристические методы предполагают использование опыта специалистов, которые изучают отчетность за предыдущий период, анализируют рынок и принимают решения о минимально необходимых запасах, основанные, в значительной степени, на субъективном понимании тенденций развития спроса. В качестве специалиста может выступать работник предприятия, постоянно решающий задачу нормирования запасов. В этом случае метод решения задачи называется опытно-статистическим. Если используется опыт сразу нескольких специалистов, то их субъективные оценки ситуации анализируются по специальному алгоритму, проверяются на непротиворечивость и трансформируются в окончательное решение, близкое к оптимальному. Такой метод называется методом экспертных оценок.

Метод технико-экономических расчетов заключается в разделении совокупного запаса в зависимости от целевого назначения на отдельные группы, например, номенклатурные или ассортиментные позиции. Затем для этих групп отдельно рассчитываются страховой, текущий и сезонный запасы. Каждый из этих уровней также может быть разделен на более мелкие составляющие, например, страховой запас на случай нарушения поставок, или страховой запас на случай увеличения спроса и т.д. Метод технико-экономических расчетов позволяет довольно точно определять необходимый размер запасов, но отличается большой трудоемкостью. Такой подход используется также в системе MRP

Экономико-математические методы позволяют определять норму запаса на основе построенных математических моделей УЗ, либо с помощью методов экстраполяции прогнозировать будущий запас на основе темпов изменения и тенденций в образовании и запасов в предыдущем периоде.

Эффективность работы систем УЗ во многом зависит от того, насколько точно будет предсказан спрос на ресурс и, следовательно, насколько правильно будет проведено нормирование. Это является довольно сложной задачей. Выделяют следующие типы спроса по степени определенности и неизменности его величины (рис.2.3)

Рис.2.3. Классификация типов спроса

запас спрос управление

Детерминированный спрос точно известен заранее, в отличие от вероятностного спроса. При статическом типе спроса интенсивность потребления ресурса остается неизменной во времени, при динамическом типе спроса интенсивность потребления изменяется в зависимости от времени. При стационарном типе спроса его функция плотности вероятности неизменна во времени, а при нестационарном - функция плотности вероятности спроса изменяется во времени.

По признаку источника возникновения спрос разделяют на независимый и зависимый.

Независимый спрос - спрос, который складывается из отдельных составляющих спроса большого числа потребителей, каждый из которых испытывает потребность независимо от других. Зависимый спрос имеет место, когда производитель использует ряд компонентов для изготовления ГП, спрос на каждый из компонентов связан друг с другом и зависит от производственного плана изготовления ГП.

При независимом типе спроса используется подход, при котором запасы не связываются с производственными планами, и поэтому они должны быть достаточно высокими, чтобы удовлетворить любой возможный спрос. Эти запасы снижаются во время производства, но вскоре снова пополняются. Общая динамика изменения запасов при независимом и зависимом спросе показана соответственно на рис. 2.4 (a) и (б).

Сопоставление динамики изменения объема запасов при зависимом и независимом спросе


При наличии зависимого спроса может быть использован подход MRP -планирования потребности в материалах(material requirements planning). Суть этого подхода заключается в расчете потребностей во всех видах материалов, сырья, комплектующих, деталей, необходимых для производства каждого продукта из плана производства в требуемом объеме, и подаче соответствующих заказов на поставку.

В расчетах используются ведомости спецификации - упорядоченный список всех составляющих, необходимых для производства [10 ]

.2 Анализ товарно-материальных запасов (метод ABC)

Система управления запасами проектируется с целью непрерывного обеспечения производства. Реализация этой цели достигается решением следующих задач: учет текущего уровня запаса на складах; определение размера гарантийного (страхового) запаса; расчет размера заказа; определение интервала времени между заказами.

Существуют две основные модели системы управления запасами: модель с фиксированным объемом заказа (Q-модель); модель с фиксированным периодом между заказами (Р-модель). Системы управления фиксированным размером заказа. При управлении по Q-модели очередной заказ на поставку осуществляется в момент, когда запас материала снизится до порогового уровня. Это может произойти в любой момент и зависит от объема потребления.

Использование данной системы предполагает постоянный контроль остатка запасов. Q-модель рекомендуется для управления запасами дорогостоящих ресурсов, так как она обеспечивает наименьший средний размер заказа. Однако для указанной модели характерна большая трудоемкость обслуживания, поэтому для менее дорогостоящих объектов применяется система с фиксированным временем между заказами.

Система управления запасами с фиксированным периодом времени между заказами. При управлении запасами по Р-модели размещение очередного заказа осуществляется через заранее определенный период. При Р-модели вычисление остатка запаса производится лишь по истечении контрольного периода времени.

Р-модель имеет больший запас, поскольку ресурсов должно хватить до момента следующей поставки через фиксированный интервал. [9]

В управлении запасами классификация проводится на основе денежной ценности (стоимость единицы запасов умножают на потребность в натуральных единицах).

При ранжировании используют правило: на небольшое количество позиций запасов приводится значительная денежная ценность.

Выделяют три основные категории товарно-материальных запасов

Категория А - для управления запасами из данной категории применяют наиболее сложные методики, тщательно отслеживается оборот и наличие данных запасов на складе; особое внимание уделяется работе с поставщиками данных запасов, небольшие ошибки в управлении запасами данной категории ведут к большим потерям.

Категория В - применяются те же методики управления, но в них используются более простые приближенные расчеты, большие ошибки при управлении так же недопустимы.

Категория С - применяются упрощенные методы управления запасами, как правило, используют большой объем одного заказа, создают избыточные страховые запасы (в разумных пределах), реже отслеживается состояние запасов на складе; затраты на скурпулезное управление данным видом запасов не компенсируется экономией от эффективного управления, основная задача управления данной категорией запасов - постоянное их наличие на складе. [4, 245-246]

а) A - высокий стоимостный объем;

б) В - умеренный стоимостный объем;

в) С - низкий стоимостный объем.

Для классификации запасов по значимости (ЛВС-анализ) определяют долю стоимости каждого наименования в общей стоимости запасов, а затем располагают их в порядке убывания. Затем в группу А включают примерно 20 % первых позиций упорядоченного списка, общая стоимость которых составляет 75-80 % суммарной стоимости запасов. В группу В включают примерно 30 % позиций, доля стоимости которых составляет до 70 %. В группу С включают оставшиеся позиции, примерно 50 %.

Цель этих процедур заключается в том, чтобы отделить существенные позиции от несущественных.

Совмещением результатов применения АВС- и XYZ-методов анализа получаем 9 групп запасов, для каждой из которых фирма должна разработать свои варианты управления. Группы АХ, AY и AZ требуют наибольшего внимания. Для них применяется модель с фиксированным размером заказа, рассчитывается оптимальный размер заказа и используется технология поставок «точно в срок». Для ресурсов групп СХ, СY и СZ применяются упрощенные методы планирования, а функции управления ими, как правило, передаются низшим звеньям производственной цепочки. [9]

.3 Анализ товарно-материальных запасов (метод XYZ)

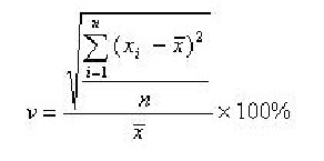
Наибольший эффект этот метод дает в сочетании с методом XYZ, который позволяет произвести классификацию той же номенклатуры запасов, но в зависимости от динамики их потребления. Группировка ресурсов при XYZ-анализе осуществляется в порядке возрастания коэффициента вариации спроса на товар за определенный период времени, который рассчитывается для каждой позиции ассортимента:


где Xi - значение спроса по оцениваемой позиции; х- среднеквартальное значение спроса; п - число кварталов.

Совмещением результатов применения АВС- и XYZ-методов анализа получаем 9 групп запасов, для каждой из которых фирма должна разработать свои варианты управления. Группы АХ, AY и AZ требуют наибольшего внимания. Для них применяется модель с фиксированным размером заказа, рассчитывается оптимальный размер заказа и используется технология поставок «точно в срок». Для ресурсов групп СХ, СY и СZ применяются упрощенные методы планирования, а функции управления ими, как правило, передаются низшим звеньям производственной цепочки. [9]анализ позволяет произвести классификацию ресурсов компании в зависимости от характера их потребления и точности прогнозирования изменений в их потребности в течение определенного временного цикла. Алгоритм проведения можно представить в четырёх этапах:

1.       Определение коэффициентов вариации для анализируемых ресурсов;

2.       Группировка ресурсов в соответствии с возрастанием коэффициента вариации;

.        Распределение по категориям X, Y, Z.

.        Графическое представление результатов анализа.

Категория X - ресурсы характеризуются стабильной величиной потребления, незначительными колебаниями в их расходе и высокой точностью прогноза. Значение коэффициента вариации находится в интервале от 0 до 10 %.

Категория Y - ресурсы характеризуются известными тенденциями определения потребности в них (например, сезонными колебаниями) и средними возможностями их прогнозирования.

Значение коэффициента вариации - от 10 до 25 %.

Категория Z - потребление ресурсов нерегулярно, какие-либо тенденции отсутствуют, точность прогнозирования невысокая. Значение коэффициента вариации - свыше 25 %.

Реальное значение коэффициента вариации для разных групп может отличаться по следующим причинам:

·              сезонность продаж,

·              тренд,

·              акции,

·              дефицит и т. д.

Есть несколько разновидностей XYZ-анализа, например анализ плановых данных с фактическими, что дает более точный % отклонения от прогноза. Очень часто XYZ-анализ проводят совместно с ABC - анализом позволяя выделять более точные группы, относительно их свойств.

Коэффициент вариации - это отношение среднеквадратического отклонения к среднеарифметическому значению измеряемых значений ресурса.

Рассчитывается по формуле:



где:

·              коэффициент вариации

·              среднеквадратичное отклонение

·              среднеарифметическое

·              i-тое значение статистического ряда

·              количество значений в статическом ряде [8]

.4 Определение оптимального размера партии заказа

Для создания на предприятии эффективной системы управления запасами с целью минимизации совокупных издержек владения необходимы следующие источники информации.

.        Прогноз спроса (потребности) (D) - как правило, прогноз спроса по месяцам с учетом сезонных колебаний. Может быть постоянным и переменным (в ед.)

Переменный спрос - такой, при котором существует вероятность отклонения реального дневного спроса от среднего дневного спроса.

.        Время выполнения заказа (Тп) - время, которое проходит с момента заказа товаров у поставщика до прихода товара на склад. Время выполнения заказа также может быть постоянным и переменным. При переменном времени выполнения заказа существует вероятность того, что товар поступит на склад позже установленного срока. Степень неопределенности прогноза спроса и времени выполнения заказа определяют через среднее квадратичное отклонение, которое рассчитывают исходя из статистических данных работы предприятия и оценки изменения данных показателей в будущем.

Для эффективного управления запасами необходимо знать величины основных видов затрат, связанных непосредственно с запасами:

·        Стоимость хранения запасов (Ch1) - затраты, связанные с хранением единицы запасов за отчетный период;

·        Стоимость хранения одной денежной единицы запасов (Ch) - затраты, связанные с хранением одной денежной единицы запасов за отчетный период (в %, доля стоимости);

·        Стоимость выполнения заказа (C01) - затраты, связанные с выполнением одного заказа на покупку товаров;

·     Убытки из-за недостатка запасов (Cd1) - затраты, которые несет предприятие вследствие отсутствия единицы запасов на складе в нужное время.

Эти затраты могут быть связаны как с простоем оборудования, так и с потерями вследствие снижения объемов продаж.

Общая сумма стоимости запасов состоит из затрат, связанных с владением запасами, затраты на заказ запасов и затрат, связанных с нехваткой (дефицитом) запасов.

В данном случае предприятие интересует только переменная составляющая таких затрат. Любая система управления запасами стремится минимизировать эти затраты.

Исходя из классификации затрат можно получить общее уравнение стоимости запасов:

ТС = Со + Сh + Сd,

где Со - стоимость заказа партии,

Сh - стоимость хранения,

Сd - стоимость нехватки запасов

Для определения стоимости заказа необходимо знать объем заказа. Объем заказа обозначим как (Q). Закупки будем производить равномерно. Средний объем заказа обозначим (Q/2)

Условия решения уравнения следующие:

закупки производятся равномерно;

товарно-материальные запасы расходуются равномерно.[4, 249.]

. Суммарная стоимость хранения запасов

Пусть Ch1 - стоимость хранения единицы запасов. Тогда для расчета стоимости хранения необходимо затраты по одной единицы запасов за период (год) умножить на количество запасов в течение каждого дня периода. Стоимость хранения всех запасов в течение года равна стоимости хранения среднего уровня запасов, или Q/2.

Суммарные затраты на хранение рассчитываются как:

Ch = _Ch1 * Q_

                2

.Суммарная стоимость выполнения заказа

Стоимость выполнения заказа связана с фиксированными затратами на выполнение заказа и не зависит от размера заказа.

Если спрос на продукцию известен и зафиксирован на уровне D единиц в год, то при объеме заказа в Q единиц количество заказов составит D/Q, а цикл заказа Тц = Q/D

Суммарная стоимость выполнения заказа определяется по формуле :

Co = _Co1 * D_, где

             Q

D - потребность за период; Q - заказа; Co1 - стоимость выполнения одного заказа

.Суммарная стоимость нехватки запасов.

Суммарная стоимость нехватки запасов определяется так же, как и стоимость хранения, т.е. средний уровень единицы нехватки запасов умножается на стоимость нехватки единицы запасов.

                   2

где d - максимальное количество единиц дефицита запасов за период.

Основная модель управления запасами включает в определение размера заказа, при котором затраты, связанные с оборотом запасов сырья и материалов, будут минимальными.

Ограничения для модели:

потребность в запасах постоянна и определена;

цены на запасы не претерпевают значительного изменения;

время поставки равно нулю;

отсутствие на складе запасов недопустимо;

весь объем заказа поставляется одновременно;

заказы на разные виды запасов осуществляется независимо друг от друга.

Оптимальный размер заказа - это такой объем покупки, при котором суммарные затраты на хранение и выполнение заказов минимальны.

Суммарные затраты минимальны тогда, когда затраты на хранение равны затратам на выполнение заказов:

 

Ch1 * Q = D *C01

     2               Q

Из данного уравнения определяем ОРЗ и совокупные расходы на заказ:

ОРЗ = Qopt = 2D * C01

                             Ch1

При уменьшении стоимости выполнения заказа (C01), ОРЗ уменьшается, а частота выполнения заказов увеличивается.

При увеличении стоимости хранения (Ch1) ОРЗ так же уменьшается, следовательно, необходимо снизить средний объем запасов на складе.

Увеличение потребности в запасах (D) приводит к увеличению ОРЗ.

При ненулевом времени поставки возникает проблема: когда размещать заказ для того, чтобы избежать отсутствия запасов на складе.

Точка перезаказа - уровень запасов на складе, при котором заказывается новая партия товара - равна потребности за время поставки.

Если для получения перезаказной партии продукции необходимо время поставки (Тп) дней, а (Тц) - цикл потребления запасов, то заказ следует размещать в период времени (Тц - Тп). С другой стороны, для удовлетворения спроса за время поставки необходим запас продукции в размере (D/365) * Тп.

В этом случае заказанная партия будет получена в момент, когда запасы исчерпываются.

Небольшие отклонения от ОРЗ дают небольшие потери; при завышенном размере заказа получаются меньшие потери, чем при заниженном размере заказа. [4, с.247-252]

Глава 3. Методы совершенствования управления запасами

До сих пор мы рассматривали типичный процесс управления запасами в общих чертах. Но некоторые фирмы, у которых этот процесс налажен и вполне нормально работает, предпринимают дополнительные меры ради повышения эффективности управления запасами. В число таких мер входят:

выработка и обновление политики;

интеграция информационных потоков;

применение экспертных оценок.

Выработка и обновление политики предприятия.

Процесс управления запасами складывается из разных типов оперативной политики и процедур, которые служат основой для принятия решений в этой области. Их составными элементами являются система оценки результатов деятельности и система профессиональной подготовки кадров.

Оценка результатов деятельности.

Специалисты по планированию запасов считают четкую и внутренне согласованную систему оценки результатов ключевым элементом процесса управления запасами.

Оценочные показатели должны отражать необходимый компромисс между желательным уровнем сервиса и целесообразным уровнем запасов.

Если используемые плановиками оценочные показатели ориентированы исключительно на уровень запасов, то это порождает тенденцию к минимизации запасов, что может отрицательно сказаться на уровне сервиса. И наоборот, нацеленность плановиков только на сервисные нормативы ведет к недооценке влияния запасов на общие результаты деятельности.

Стало быть оценочные показатели должны отчетливо выражать нужный предприятию компромисс, а система вознаграждения сотрудников, отвечающих за запасы, должна строиться с учетом этого требования.

В частности, нужно, чтобы описание системы оценки содержало четкие определения поставленных целей и ясно давало понять, как вознаграждение отдельных работников связано с достижением этих целей.

Подготовка кадров.

Управление запасами - очень сложная сфера деятельности, поскольку оно зависит от множества разных факторов и само, в свою очередь, влияет на другие функции делового предприятия.

Кроме того, нужно хорошо разбираться в характере и динамике взаимодействий между сферой управления запасами отдельного предприятия и другими хозяйственными единицами в стоимостной цепочке.

По этим причинам многие предприятия расширяют и совершенствуют свои системы профессиональной подготовки кадров, стремясь повысить эффективность решений, связанных с управлением запасами.

Здесь уместны два типа профессиональной подготовки.

Во-первых, плановикам надо научиться понимать, каким образом установленные количественные параметры - такие как сервисные нормативы, периодичность контроля, размер заказа. Величина страховых запасов, - а так же избранная логика управления запасами влияет на результаты деятельности предприятия.

В частности, важно понять, как периодичность контроля, размен заказа и величина страховых запасов соотносятся с целевыми нормативами обслуживания потребителей.

Во-вторых, плановикам необходимо знать, каким образом их решение по поводу запасов воздействует на других участников стоимостной цепочки. Например, когда в процессе управления запасами принимается решение о создании запаса готовой продукции в поддержку предприятия по симулированию продаж, плановик должен понимать, как это повлияет на производство и снабжение.

Если предполагается накопить крупный запас, у производства и снабжения может не хватить мощностей или иных ресурсов для удовлетворения этих потребностей.

Точно так же специалист по планированию запасов должен осознавать и последствия сокращения потребности в запасах для своих партнеров по стоимостной цепочке.

Интеграция информационных потоков.

Интеграция необходимой информации (прогнозов, заказов, маркетинговых планов, отчетов о состоянии заказов и отправленных грузов…), циркулирующей внутри предприятия и между партнерами по каналу распределения, позволяет значительно повысить эффективность использования запасов и бизнеса в целом, а так же способствует сокращению неопределенности.

Совместное прогнозирование и использование единообразных показателей доступности запасов сокращает неопределенность во взаимодействиях между функциональными службами одного предприятия и между разными предприятиями, а, как следствие, - уменьшает и потребность в страховых запасах.

Применение экспертных систем.

Еще одна мера, к которой прибегают предприятия ради повышение эффективности управления запасами, - внедрение экспертных систем.

Работа таких систем строится на использовании компьютеризованной базы знаний для обмена накопленными навыками управления запасами в рамках делового предприятия.

Экспертные системы помогают выбрать правильную периодичность контроля, логику управления запасами и стратегию применительно к каждой группе продуктов.

Практические результаты свидетельствуют о том, что экспертные системы способны обеспечит существенный прирост производительности и эффективности использования запасов. [7]

Заключение

В современных рыночных условиях огромную роль играет экономический анализ, как важнейшая функция управления предприятием на стадии реализации принятых решений.

С помощью приемов и методов экономического анализа руководители предприятия осуществляют контроль и регулирование процесса реализации принятого решения. Сравнивая фактические результаты с плановыми, выявляя отклонения, анализируя причины, вызвавшие их, администрация предприятия может корректировать возникшие отклонения и приводить фактические результаты в соответствии с запланированными.

Результаты экономического анализа дают возможность принять меры направленные на изменение целей и обязательств, чтобы осуществить избежание в будущей деятельности потерь и снижения эффективности работы.

Коммерческая деятельность выступает в современных условиях как один из важнейших факторов функционирования и развития промышленных фирм. Эта деятельность постоянно совершенствуется в соответствии с объективными требованиями производства и реализации товаров, повышением роли потребителя в формировании технико-экономических и иных параметров продукции.

Очевидно, что предприятию запасы нужны для того, чтобы выполнять заказы своих клиентов на товары в нужном количестве и в установленные сроки. Однако, запасы требуют расходы на свое содержание, пока они не будут реализованы. Причем потери предприятия возрастают прежде всего за отвлечения из оборота части капитала, инвестированного в запасы.

Поэтому предприятие должно найти для себя оптимальное сочетание между издержками и выгодами от выбранного уровня товарных запасов, чтобы определить какая величина запасов по каждой товарной группе является достаточной. При этом желательно, кроме чисто эмпирических наблюдений за частотой ситуациями: «есть заказы-нет товаров» и «есть запасы-не хватает денег» перейти к более объективным критериям.

Какой бы метод управления запас амии не выбрало руководство и предприятия, существуют минимальные требования, чтобы данная система просто была управляемой и обеспечила возможность реализовать различные методы планирования запасов. Кроме того, их выполнение, как правило, сразу же непосредственно сказывается на уменьшении стоимости доставки и хранению товара. Эти требования касаются налаживания необходимой логистики операций, а также постановки управленческого учета.

Для повышения эффективности политики управления запасами можно выделить одно из главных направлений совершенствования деятельности в этой области - это усилие контроля за состоянием запасов материальных ресурсов и рациональным их использованием, которое оказывает существенное влияние на рентабельность предприятия и его финансовое положение.

Список литературы

1.       Аникин Б.А. «Логистика» ИНФРА-М,2007г.

.        Бердникова Т.Б. «Анализ и диагностика финансово-хозяйственной деятельности предприятия»: Учебное пособие. - ИНФРА-М,2007г.

.        Дронов Р.И. «Оценка финансового состояния предприятия»/Финансы,2008г.

.        Селезнева Н.Н. «Финансовый анализ. Управление финансами», Москва, 2006г.

.        Поздняков В.Я. «Экономика предприятия»: Практикум, ИНФРА-М,2007г.

7.       Алесинская А.В. Основы логистики.

Похожие работы на - Управление запасами предприятия

 

Не нашли материал для своей работы?
Поможем написать уникальную работу
Без плагиата!
Без нейросетей!