Управление запасами предприятия торговли как способ укрепления его позиций на рынке

  • Вид работы:
    Дипломная (ВКР)
  • Предмет:
    Менеджмент
  • Язык:
    Русский
    ,
    Формат файла:
    MS Word
    629,07 Кб
  • Опубликовано:
    2013-12-12
Вы можете узнать стоимость помощи в написании студенческой работы.
Помощь в написании работы, которую точно примут!

Управление запасами предприятия торговли как способ укрепления его позиций на рынке

Аннотация

товарный запас торговля затраты

на дипломную работу студентки 5 курса ускоренной заочной формы обучения специальности 080502 "Экономика и управление на предприятии" ВСГАКИ Зайнутдиновой Рамили Фаритовны на тему: "Управление запасами предприятия торговли как способ укрепления его позиций на рынке".

Розничная торговля - это завершающая форма продажи товаров конечному потребителю в небольших объемах через магазины, павильоны, лотки, палатки и другие пункты сети розничной торговли. Коммерческая работа по продажи в розничных торговых предприятиях в отличии от оптовых предприятий имеет свои особенности. Розничные торговые предприятия реализуют товары непосредственно населению, то есть физическим лицам, применяя свои, специфические способы и методы розничной продажи, окончательно завершают обращение от изготовителя продукции.

В дипломной работе исследуется возможность в современных остро конкурентных условиях сократить издержки обращения за счет управления запасами оптово-розничного торгового предприятия "Галион" (ИП Васильева Л.В.) г. Улан-Удэ и укрепить свои позиции на рынке.

Содержание

Введение

. Теоретические основы управления запасами в организации оптово-розничной торговли

.1 Основные понятия в управлении запасами в организации оптово-розничной торговли

.2 Специфика оптово-розничной торговли, особенности функционирования розничных организаций

.3 Особенности управления запасами в организации оптово-розничной торговли

Выводы по первой главе

. Анализ системы управления запасами сетевой организации оптово-розничной торговли ОЦ "Галион" (ИП Васильева Л.В.)

.1 Анализ розничного товарооборота ОЦ "Галион"

.2 Анализ товарных запасов и товарооборачиваемости ОЦ "Галион"

.3 Основные параметры системы управления запасами в ОЦ "Галион"

Выводы по второй главе

. Совершенствование системы управления запасами оптово-розничной центра "Галион"

.1 Мероприятия по оптимизации системы управления запасами ОЦ "Галион"

.2 Автоматизация системы управления запасами ОЦ "Галион"

.3 Расчет эффективности мероприятий по совершенствованию системы управления запасами ОЦ "Галион"

Выводы по третьей главе

Заключение

Список использованных источников и литературы

Приложение

Введение

На протяжении ряда лет продолжается рост рынка оптово-розничной торговли. По официальным данным, розничный товарооборот в целом по РФ за период с 2008 по 2011 год возрос на 30,7%. Одновременно наблюдался рост численности организаций торговли - за три года до спада числа малых предприятий в 2012г. из-за изменения в отчислениях ПФР на территории Республики Бурятия появилось 128 новых организаций, занимающихся оптово-розничной торговлей. В их числе не только супермаркеты, но и большое число средних и узкоспециализированных магазинов. Это приводило к обострению конкуренции между организациями оптово-розничной торговли, сокращению нормы прибыли от торговых операций. В настоящее время оптово-розничная торговля вступила в зону инфляционных и структурных рисков, связанных с экономическим кризисом.

Актуальность дипломной работы заключается в том, что во всех неблагоприятно складывающихся ситуаций руководители многих торговых организаций начали искать скрытые резервы, позволяющие снижать финансовую нагрузку на ресурсы организации и увеличивать рентабельность торговой деятельности. Одним из таких резервов является эффективное управление товарными запасами.

Эффективному управлению товарным запасом предприятия посвящен ряд работ отечественных и зарубежных авторов, однако несмотря на все многообразие представленных методов руководители организаций, функционирующих в сфере оптово-розничной торговли, по-прежнему при принятии управленческих решений в данных вопросах полагаются в большей степени на собственный опыт, т.к. не могут применить существующие теоретические положения в практике своих организаций.

Отчасти это объясняется тем, что при применении существующих классических методов управления запасами рассматриваются идеальные внешние условия и эти методы оказываются малоприменимыми в реальных ситуациях. Причина заключается в том, что данные методы направлены, прежде всего, на решение локальных проблем. Они совершенно не учитывают влияния результата управления товарными запасами каждого элемента на всю распределительную систему в целом. Поэтому проведение дальнейших исследований систем и моделей управления запасами является крайне актуальным для повышения конкурентоспособности организации.

Целью работы является совершенствование механизма управления товарными запасами организаций оптово-розничной торговли для оптимизации затрат на содержание запасов при достижении высокого уровня обслуживания потребителей.

Для достижения поставленной цели необходимо решение следующих задач:

рассмотреть сущность и роль товарных запасов как объекта управления, изучить существующие методы и модели управления запасами, привести их сравнительную характеристику;

изучить специфику развития оптово-розничной торговли, рассмотреть особенности управления запасами в организациях оптово-розничной торговли;

оценить параметры существующей системы управления запасами на ОЦ "Галион", выявить принципы и особенности технологии управления и проанализировать эффективность системы в разрезе выполняемых функций;

провести анализ товарооборота и товарных запасов ОЦ "Галион" с целью выявления недостатков системы управления запасами;

предложить комплекс мероприятий по совершенствованию системы управления запасами ОЦ "Галион";

изучить компьютерные разработки в области управления запасами, провести их сравнительный анализ;

оценить эффективность автоматизации системы управления запасами ОЦ "Галион".

Объектом исследования является оптово-розничный центр "Галион" ИП Васильева.

Предмет - изучение стратегия управления запасами торгового предприятия.

Методологической основой исследования послужил диалектический метод познания предмета исследования, предполагающий изучение экономических процессов в их развитии, взаимосвязи и взаимозависимости. В качестве методологического инструментария исследования применялись такие общенаучные методы исследования как наблюдение, группировка, систематизация, сравнительный анализ и синтез теоретического и практического материала и другие. В работе также нашли применение методы: экономического анализа (структурный и динамический анализ, анализ абсолютных и относительных показателей), АВС-анализ, эконометрические методы.

Теоретическими основами исследования послужили научные труды по проблемам управления запасами, прогнозирования спроса отечественных и зарубежных ученых: Аникина Б.А., Бауэрсокса Д.Дж., Гаджинского A.M., Клосса Д.Дж., Сергеева В.И., Стерлиговой А.Н., Тяпухина А.П., Уайта О., Уотерса Д., Хедли Дж.

В работе использованы законы РФ, нормативные документы, материалы научно-практических конференций, специальных периодических изданий.

Информационной базой исследования явились данные Федеральной службы государственной статистики РФ, Федеральной службы государственной статистики по Республики Бурятия, годовая и текущая отчетность организации оптово-розничной торговли ОЦ "Галион".

Работа состоит из введения, трех глав, заключения, литературы и приложения.

Во введении обоснована актуальность темы исследования, определены цели и задачи, методы исследования, приведено краткое описание работы.

В первой главе "Теоретические аспекты управления запасами организации оптово-розничной торговли" рассмотрены сущность, цель, функции и роль товарных запасов организации, приведен краткий обзор взглядов на проблему управления запасами, рассмотрены существующие методы и модели управления запасами, сформулированы актуальные проблемы управления запасами для организаций оптово-розничной торговли.

Во второй главе "Анализ системы управления запасами сетевой организации оптово-розничной торговли (на примере ОЦ "Галион")" проанализирована деятельность оптово-розничной сетевой организации, классифицированы и рассмотрены методы планирования товарооборота, проведен анализ затрат на содержание запасов, выявлены недостатки системы управления запасами, определены задачи оптимизации системы товародвижения.

В третьей главе "Совершенствование системы управления товарными запасами сетевой организации оптово-розничной торговли (на примере ОЦ "Галион")" разработан ряд практических предложений по совершенствованию механизма управления запасами организации оптово-розничной торговли, дается оценка эффективности предлагаемых рекомендаций.

В заключении обобщены полученные результаты проведенного исследования и сформулированы выводы и рекомендации, оценена степень достижения поставленных цели и задач.

1. Теоретические основы управления запасами в организации оптово-розничной торговли

.1 Основные понятия в управлении запасами в организации оптово-розничной торговли

Товарные запасы - согласно ГОСТ Р 51303-99 - "количество товаров в денежном или натуральном выражении, находящихся в торговых предприятиях, на складах, в пути на определенную дату".

По определению Стерлиговой А.Н., товарные запасы - это "запасы готовой продукции, находящиеся у организаций-изготовителей на складах готовой продукции, а также в каналах сферы обращения".

Таким образом, товарные запасы - это готовая продукция, предназначенная для реализации и находящаяся на пути следования товара от поставщика к потребителю, то есть запасы на предприятиях оптовой и оптово-розничной торговли, а также находящиеся в пути.

Товарные запасы классифицируются по следующим признакам:

.        по целям использования:

–       потребительские товары - это товары, непосредственно предназначенные для конечного потребления, удовлетворения личных потребностей человека;

–       производственные товары - это товары, используемые в производственном цикле при создании новых товаров;

.        по времени использования/потребления:

–       товары краткосрочного пользования, используемые один или несколько раз;

–       товары длительного пользования, используемые многократно;

.        по характеру потребления:

–       товары повседневного спроса;

–       товары тщательного выбора;

–       престижные товары;

.        по функциональной принадлежности:

–       товары - продукты питания;

–       промышленные товары;

.        по видам запасов:

–       текущие запасы - это товары на стадии реализации;

–       подготовительные запасы - это товары на стадии предпродажной подготовки;

–       гарантийные (страховые) запасы - необходимый и достаточный резерв товарных запасов с целью обеспечения непрерывного процесса реализации на случай срыва запланированных сроков текущих поставок товаров, изменения интенсивности потребления при непредвиденном возросшем спросе;

–       сезонные запасы - это необходимый и достаточный резерв товарных запасов с целью обеспечения непрерывного процесса реализации в период сезонного колебания покупательского спроса;

–       переходящие запасы;

.        по видам движения товаров в учете:

–       товары в пути;

–       товары на складе;

–       товары на стадии предпродажной подготовки;

–       зарезервированные товары;

–       товары в магазинах в процессе реализации;

–       товары на консигнации;

–       реализованные товары на ответственном хранении.

Необходимость образования запасов связана с множеством различных факторов. Основной причиной образования запасов является несовпадение в пространстве и времени производства и потребления материальных ресурсов. К необходимости создания запасов приводят следующие факторы:

.        дискретность поставок;

.        случайные колебания спроса;

.        предполагаемые изменения конъюнктуры:

–       сезонность спроса,

–       сезонность производства,

–       инфляционные ожидания;

–       ожидаемое повышение цен.

Перечисленные факторы, действуя порознь или группируясь в различных сочетаниях, создают тенденцию к увеличению запасов.

К функциям товарных запасов относятся:

–       обеспечение непрерывности экономического воспроизводства и нормального процесса обращения товаров;

–       создание условий для широкого выбора товаров и наиболее полного удовлетворения спроса потребителей;

–       обеспечение соответствия предложения товаров спросу покупателей;

–       совершенствование ассортимента товаров.

Однако помимо выполнения своих функций запасы могут оказывать и отрицательное влияние на деятельность организации, если их уровень выше необходимого. Затраты на содержание запасов бывают следующих видов:

–       капитальные запасы - зависят от процента на инвестированный в запасы капитал, размер которого может колебаться от ставки рефинансирования ЦБ до нормы доходности активов предприятия. Это важный параметр, поскольку от установленного процента будут зависеть все вычисления, связанные с эффективностью вложений в запасы;

–       страхование - стоимость страховки зависит от стоимости запасов, их характеристик, условий хранения и т.д.;

–       износ и списание - в процессе хранения продукция может портиться, а также морально устаревать. Важно в расчетах учитывать только издержки, связанные с хранением на складе, не зависящие от ошибок в планировании производства и сбыта;

–       расходы на хранение - расходы на аренду склада или содержание складских помещений, наем персонала, ремонт или закупку техники и т.д.

Главные затраты на содержание запасов - это вложенный в них капитал. Средства, потраченные на запасы, больше никуда не вкладываются и на долгое время фактически исключаются из оборотного капитала (если коэффициент оборачиваемости склада низкий).

При учете и планировании товарных запасов используются абсолютные и относительные показатели. Абсолютная величина товарных запасов может быть выражена в натуральных или в стоимостных единицах. Абсолютная величина товарных запасов - величина непостоянная. Она все время изменяется в зависимости от поступления и продажи товаров. Поэтому при анализе и планировании большое значение имеет сопоставление товарных запасов с товарооборотом. С этой целью товарные запасы выражаются в днях. Этот показатель - относительный, он характеризует величину товарного запаса, который находится на предприятии торговли на определенную дату, и показывает, на сколько дней торговли хватит товарных запасов.

Размеры товарных запасов непосредственно связаны со скоростью обращения товаров. При неизменном объеме товарооборота ускорения оборачиваемости товаров приводит к снижению товарных запасов, и, наоборот, замедления оборачиваемости требует большей массы товарных запасов.

Оборачиваемость товаров можно ускорить только за счет усовершенствования всей торгово-коммерческой и экономической работы предприятия. Это требует глубокого понимания влияния разнообразных факторов на формирование товарных запасов.

Одни из этих факторов ускоряют скорость обращения товаров и благодаря этому объективно уменьшают необходимую величину запасов, другие, наоборот, замедляют скорость товарного обращения и благодаря этому увеличивают размер запасов. Зная это, можно обнаружить резервы ускорения оборачиваемости запасов предприятия, снизить затраты на образование и хранение товарных запасов.

К основным факторам, которые влияют на оборачиваемость и величину товарных запасов, относятся следующие.

–       соотношения между спросом и предложением товаров. В условиях, когда спрос населения превышает предложение товаров, резко ускоряется их оборачиваемость, товарооборот осуществляется с меньшими товарными запасами. По мере увеличения предложения товаров, насыщения рынка, наблюдается некоторое замедление скорости обращения товаров. Изучения спроса населения - одно из условий, которые оказывают содействие нормализации товарных запасов;

–       сложность ассортимента товаров. Время обращения товаров сложного ассортимента, как правил, намного превышает время обращения товаров простого ассортимента;

–       организация и частота завоза товаров. Чем чаще завозятся товары в магазин, тем с меньшими товарными запасами можно выполнить план товарооборота. В свою очередь частота завоза зависит от местонахождения торговых предприятий, условий транспортирования, размещения производственных предприятий. Чем ближе размещенные промышленные предприятия или оптовые базы к районам потребления, тем чаще вырабатывается завоз товаров, тем менее времени расходуется на их доставку. Высокая частота завоза характерна для товаров, которые быстро портятся;

–       потребительские свойства товаров. Они или уменьшают, или увеличивают время оборота;

–       ритмичность поступления товаров в течение квартала и месяца, порядок завоза товаров.

На обращение товаров влияет и великое множество других факторов: организация рекламы и продажи товаров, транспортные условия, состояние материально-технической базы, особенности фасовки товаров и т.п. Важное значение имеют квалификация кадров и уровень руководства сложным торговым процессом, организация работы и т.п.

Таким образом, товарные запасы являются основополагающими элементами управления торговой организации, от эффективности управления товарными запасами напрямую зависят результаты торговой деятельности, показатели товарооборота и рентабельности.

.2 Специфика оптово-розничной торговли, особенности функционирования розничных организаций

Оптово-розничная торговля включает в себя виды экономической деятельности, связанные с продажей товаров и услуг потребителям для личного, семейного, домашнего использования.

Оптово-розничная торговля - это последний этап процесса распределения. В отличие от оптово-розничной, оптовая торговля - это промежуточный этап процесса распределения, когда товары и услуги продаются не конечному потребителю, а фирмам-клиентам (например, фирмам-производителям или розничным фирмам); эти фирмы, в свою очередь, используют данные товары и услуги для ведения своего собственного бизнеса или для перепродажи другим.

Основные функции оптово-розничной торговли - доведение продукции до населения и организация торгового обслуживания покупателей.

Оптово-розничная торговля является важной составной частью российской и мировой экономики. Объемы розничных продаж и занятость в сфере оптово-розничной торговли - это важные экономические показатели, а тенденции в оптово-розничной торговле нередко зеркально отражают тенденции в экономике страны в целом. По данным Госкомстата РФ, оборот розничной торговли в январе-феврале т.г. в товарной массе вырос на 8,4% по сравнению с соответствующим периодом предыдущего года и составил 640,4 млрд. руб. ($20,2 млрд.). В том числе в феврале т.г. оборот розничной торговли составил 319,4 млрд. руб. ($10,12 млрд.), что в товарной массе на 8,6% больше, чем в соответствующем периоде 2012 г. Напомним, что в январе-феврале 2012 г. рост объема розничной торговли России составлял 9,2% от уровня января-февраля 2011 г., а в феврале 2012 г. значение данного показателя идентично значению февраля т.г. (8,6%).

- 2010 год, 2-2011 год, 3- 2012 год.

В 2012 г. оборот розничной торговли составил 3719 млрд. руб. ($118,36 млрд.), что в товарной массе на 9,1% превышает показатель 2011 г. ($102,68 млрд.). Также стоит отметить, что реальные располагаемые денежные доходы населения выросли в январе-феврале т.г., по данным Госкомстата, на 17% к соответствующему периоду прошлого года, а в 2012 г. рост составил 8,9%.

- 2007 год, 2- 2008 год, 3- 2009 год, 4- 2010 год, 5- 2011 год, 6- 2012 год.

В структуре оборота розничной торговли в феврале т.г., по данным Госкомстата, доля продовольственных товаров составила 46,2% (в феврале 2002 г. - 47,1%), непродовольственных - 53,8% (52,9%). В январе-феврале 2003 г. оборот розничной торговли продовольственных товаров составил 296,4 млрд. руб. ($9,35 млрд.), что на 6,3% больше, чем в январе-феврале 2012 г. Оборот непродовольственных товаров увеличился на 10,2% по сравнению с аналогичным периодом 2012 г. и составил 344 млрд. руб. ($10,85 млрд.).

Следует также отметить увеличение удельного веса торговых организаций в общем объеме оборота розничной торговли с 75% в феврале 2011 г. до 75,7% в феврале 2012 года и соответственно снижение доли рынков с 25% до 24,3%.

Исходя из приведенного анализа розничной торговли в 2011 г. и начале 2012 г. видно, что продолжается сохранение положительных тенденций развития розничной торговли в стране, несмотря на некоторое замедление динамики оборота.

По данным Федеральной службы государственной статистики РФ, оборот оптово-розничной торговли в 2012 году составил 19,1 трлн. руб., или 107% к 2011 году. Число организаций в оптово-розничной торговле по сравнению с 2011 годом увеличилось на 3,8% и составило 623,4 тыс.

Состояние торговли в 2012 году характеризовалось следующими основными итогами:

–       в структуре валового внутреннего продукта торговля занимает лидирующие позиции: по итогам 2012г. доля оптовой и оптово-розничной торговли (включая ремонт автотранспортных средств, мотоциклов, бытовых изделий и предметов личного пользования) составила в основных ценах (включая субсидии на продукты, без налогов на них) более 18%, торговля обеспечивает около 10% всего объема налоговых поступлений в бюджетную систему Российской Федерации;

–       опережающими темпами развивается сетевая торговля и современные форматы торговли. Так, в 2012г. по сравнению с 2011г. оборот оптово-розничной торговли торговых сетей составил 111,3% против 105,4% по общему объему оборота оптово-розничной торговли;

–       практически в течение всего года сохранялся устойчивый уровень товарных запасов в организациях оптово-розничной торговли (30-32 дня торговли), за исключением ноября (33 дня) и декабря (29 дней).

Оптово-розничной торговли присущи особенности, отличающие ее от других видов бизнеса. Во-первых, средний размер покупки у розничных торговцев намного меньше, чем у фирм-производителей. Во-вторых, конечные потребители совершают много незапланированных (импульсивных) покупок; а те, кто покупают для перепродажи, использования в производстве продуктов или для ведения собственного бизнеса, в закупках проявляют большую систематичность и, как правило, планируют свои действия заранее. В-третьих, большинство обычных покупателей необходимо каким-то образом завлечь в магазин. Каждый фактор влечет за собой особые требования, предъявляемые к организации оптово-розничной торговли.

Средний объем покупок, совершаемых за одно посещение универмага, специализированного магазина или супермаркета, как правило, не превышает 2000 руб. Столь незначительные размеры покупок заставляют розничных торговцев жестко контролировать затраты, связанные с каждой трансакцией (например, на проверку платежеспособности, содержание торгового персонала и упаковку купленных товаров); стремиться максимально увеличить количество потребителей, посещающих данный магазин (для этого необходимо уделять больше внимания рекламе и мероприятиям по стимулированию сбыта), увеличивать количество импульсивных покупок, навязывая товары покупателю. Однако очень часто средний объем продажи остается низким, а затраты - высокими, и розничный торговец далеко не всегда может как-то повлиять на эту ситуацию. Например, на протяжении последнего десятилетия рост среднего размера трансакции в универмагах оказался лишь немногим выше темпов инфляции.

"Управление запасами в оптово-розничной торговле нередко связано со значительными сложностями, что объясняется необходимостью проведения множества мелких трансакций с многочисленными потребителями". Например, каждую неделю типичный супермаркет совершает от 6 до 7 тыс. трансакций. Это чрезвычайно затрудняет розничным организациям задачу определения уровней имеющихся у них запасов и популярности различных торговых марок, а также размеров и цен. Именно поэтому розничные организации все чаще используют компьютеризованные системы управления запасами.

Продажи в оптово-розничной торговле зачастую связаны с незапланированными, или импульсивными, покупками. Результаты опросов показывают, что "значительная часть потребителей не обращает внимания на рекламу до похода в магазин, не составляют заранее списки покупок (или отклоняются от такого списка, оказавшись в магазине) и поэтому совершают абсолютно незапланированные покупки". Такое поведение потребителей указывает на важность создания выставок товаров в местах продажи, привлекательной планировки магазина, а также хорошо организованных магазинов, каталогов и web-сайтов. Шоколадки, косметика, легкие закуски, журналы и подобная продукция могут продаваться в качестве "товаров импульсивной покупки", если их поместить на видные места в магазине, мимо которых движутся основные потоки посетителей. Поскольку посетители совершают столь много незапланированных покупок, огромное значение приобретает способность розничного торговца прогнозировать, закладывать в бюджет и заказывать соответствующие товары, а также предусматривать необходимое количество персонала в торговых залах.

На развитие оптово-розничной торговли оказывают воздействие некоторые группы факторов: общеэкономические, нормативно-правовые, социальные и т.п. Необходимо широкое использование в торговле достижений научно-технического прогресса, к важнейшим направлениям которого могут быть отнесены:

–       совершенствование действующей торговой сети и строительство современных предприятий торговли;

–       механизация и автоматизация трудоемких работ;

–       электронизация торговых операций;

–       внедрение прогрессивных технологий торгового обслуживания;

–       автоматизация процессов продажи товаров.

Мировой и российский опыт свидетельствует о том, что объединение магазинов в единую сеть - важнейший эффективный путь развития оптово-розничной торговли.

Оптово-розничная сеть - это "основанная на логистических принципах торговая организация, объединяющая в единую структуру специализированные магазины в виде отдельных строений, магазинов на территории крупных торговых центров".

Другими словами, оптово-розничная сеть - это два или более розничных торговых заведения, находящихся под общим владением или контролем, продающих товары аналогичного ассортимента, имеющих общую службу закупок.

Преимущества сетевой торговли заключаются в следующем:

–       в соответствии с потребительскими предпочтениями возможно изменение ассортимента товаров и формирование привлекательного ассортимента по конкурентоспособным ценам;

–       размеры сетей позволяют им закупать большие партии товаров, получая при этом максимальные скидки и экономя на транспортных расходах;

–       централизация и высокий уровень управления всей коммерческой деятельностью за счет привлечения квалифицированных специалистов позволяют избежать многих недостатков, характерных для отдельного магазина;

–       снижение затрат на единицу товара за счет экономии на издержках по стимулированию сбыта.

Образование и развитие сетевых структур в оптово-розничной торговле является реализацией логистической методологии - розничные торговые сети оптимизируют цепочку поставок, сокращают общий уровень логистических издержек по всей цепочке.

В развитых странах торговыми сетями захвачено все рыночное пространство. Все прочие розничные точки (маленькие магазинчики, лавки) занимают не более 4% рынка.

В Европе сетевая торговля контролирует 70-75% розничного товарооборота, а в России - на уровне 30-40%.

Таким образом, в период глобализации и активного роста и развития рыночных отношений, оптово-розничная торговля становится одним из важнейших секторов экономики, который относится к наиболее прогрессивным видам деятельности, затрагивающим все слои населения.

.3 Особенности управления запасами в организации оптово-розничной торговли

В торговых организациях, осуществляющих розничную продажу товаров населению, товарные запасы служат гарантией бесперебойной торговли и наиболее полного удовлетворения потребительского спроса.

Система управления товарными запасами основана на их минимизации, ускорении товарооборачиваемости и хорошо налаженном учете и контроле за их формированием и использованием.

Чрезмерные вложения средств в товарные запасы приводит к уменьшению оборотного капитала торговой организации, к увеличению потребности в кредитах для выплаты заработной платы торговым работникам, оплаты поставщикам за поставленные товары, осуществления текущих расходов. "Омертвление" финансовых ресурсов, вложенных в товарные запасы, сокращает возможность роста доходности организаций за счет финансовых ресурсов в другие, более прибыльные направления торговой деятельности. Кроме того, наличие избыточных (с точки зрения возможностей их реализации) торговых запасов требует больших расходов на их распродажу по сниженным ценам, аренду дополнительных складских помещений, на их содержание для уплаты налогов.

Недостаточные вложения средств в товарные запасы также имеют ряд отрицательных последствий. В этом случае в торговле могут отсутствовать необходимые товары, что приводит к потере потенциальных покупателей, снижению объемов товарооборота из-за их нехватки, увеличению расходов на 1 рубль товарооборота, так как торговым работникам организации приходится выплачивать не заработанную заработную плату, оплачивать содержание неработающего оборудования.

Влияние ошибок управления запасами на прибыль организации представлено на рис.1.

Рис.3. Влияние ошибок управления запасами на прибыль организации

И одна, и другая ситуации нежелательны. И поэтому важно привести товарные запасы в соответствие с потребностями в них и создать работающую на практике систему управления ими.

В определенном смысле управление запасами представляет собой попытку установить равновесие между двумя противоположными требованиями: требованиями финансистов, стремящихся минимизировать затраты на хранение товаров и требованиями маркетологов, которые стремятся оптимизировать обслуживание потребителей, поддерживая постоянный уровень запасов товаров по всему спектру торгового ассортимента.

Цель управления запасами - снизить затраты на продвижение товарных запасов через организацию, при обеспечении высокого уровня качества торговли и одновременно максимизировать возвраты на инвестиции в товарные запасы.

Создание системы управления товарными запасами позволяет решить следующие задачи: бесперебойности снабжения, минимального вложения денег, минимального риска, обеспечение простоты процедуры заказа на пополнение запасов, устойчивости товарного процесса.

Эффективно работающая система управления товарными запасами позволяет принять экономически обоснованное решение о количестве товаров, которые необходимо иметь в каждой точке торгово-технологического процесса и какие товарные линии из составленного ранее плана необходимо запасать и чем пополнять запас.

Рис. 4. Система управления товарными запасами

Организация управления запасами в торговле осуществляется в следующей последовательности:

–       расчет потребности организации в товарных ресурсах;

–       определение норм запаса;

–       разработка политики пополнения запаса;

–       организация контроля за уровнем запаса;

–       оценка эффективности системы управления запасами.

В структурированном виде система управления товарными запасами представлена на рис. 2.

Схематично этапы построения и реализации системы управления товарными запасами представлены на рисунке 2.

Эффективно работающая система управления товарными запасами позволяет принять экономически обоснованное решение о количестве товаров, которые необходимо иметь в каждой точке торгово-технологического процесса и какие товарные линии из составленного ранее плана необходимо запасать и чем пополнять запас.

Организация управления запасами в торговле осуществляется в следующей последовательности:

–       расчет потребности организации в товарных ресурсах;

–       определение норм запаса;

–       разработка политики пополнения запаса;

–       организация контроля за уровнем запаса;

–       оценка эффективности системы управления запасами.

В структурированном виде система управления товарными запасами имеет следующий вид:

Схематично этапы построения и реализации системы управления товарными запасами представлены на рисунке 3.

Важнейшими стратегическими и тактическими целями формирования товарных запасов являются: обеспечение устойчивого товарного ассортимента достаточного для достижения высоких темпов роста розничного товарооборота, ритмичности торгово-технического процесса, бесперебойной работы торговой организации, накопления сезонных запасов и запасов целевого назначения, накопления (если это экономически оправдано) дополнительных товарных запасов для последующей их перепродажи другим торговым организациям с целью получения дополнительной прибыли.

Рис.5 Алгоритм построения системы управления товарными запасами

Формирование информационной базы для создания системы управления товарными запасами включает в себя: информацию, характеризующую товарные запасы. Скорость реализации товаров, степень соответствия товарных запасов покупательскому спросу, конъюнктуру рынка, его сегментов, структуру покупательского спроса, возможности эффективной закупки товаров, тенденции изменения цен (розничных, отпускных, оптовых), плановые показатели деятельности торговой организации (объем и структура товарооборота, материально-техническая база, план платежного баланса, финансовые ресурсы по источникам их образования).

Выявление тенденций и закономерностей формирования и использования товарных запасов: обеспеченности товарными запасами, товарооборачиваемости, определение причин ускорения и замедления показателей эффективности управления товарными запасами.

Экономическое обоснование норматива товарных запасов, достаточных для развития товарооборота при наименьших затратах на их формирование и содержание.

Разработка бюджетного плана закупки товаров позволяет определить на основе данных о тенденциях продаж товаров в натуральных единицах изменения товарооборачиваемости запасов, состояние системы проведения закупок, выбор эффективного поставщика, частота завоза, количество заказываемых товаров, методы и маршруты доставки товаров, сумму денежных средств ежемесячно направляемых на закупку товаров данной категории.

Затраты на транспортировку, хранение и перемещение и управление товарными запасами должны быть тщательно оценены, сообразуясь с категорией товара и спецификой организации его продаж.

Опыт работы субъектов оптово-розничной торговли, подсказывает, что бакалейные товары необходимо поставлять ежедневно, одежду - 2 раза в неделю, свежие продукты питания - от одного до нескольких дней, товары широкого потребления - непрерывные поставки, сезонные немодные - поставка к сезону, сезонные повседневные - в соответствии с межсезонными схемами продаж.

Экспертиза бюджетного плана на соответствие стратегическим целям организации и возможность его реализации. Если бюджетный план закупки экономически обоснован, планирование рекомендуется завершить разработкой плана мероприятий по его исполнению с назначением ответственных и определением размеров материального поощрения.

Контроль за состоянием товарных запасов и ходом реализации бюджетного плана, их формированием и использованием: разработка графика завоза товаров, определение оптимального размера партии товаров, определение причин возникновения сверхнормативных запасов, обоснование мер профилактики возникновения сверхнормативных запасов и политики их реализации.

Эффективность сформированной системы управления товарными запасами зависит от тщательности исследования состояния проблемы формирования, размещения и использования товарных запасов обоснованности всех ее элементов и эффективности принятых управленческих решений по их перемещению во всех каналах движения товаров в организации (рис.4).

Рис.4 Элементы системы управления запасами

Все элементы системы взаимосвязаны между собой. Для принятия обоснованного управленческого решения нельзя пренебрегать ни одним из вышеперечисленных элементов.

Управление запасами и потоками товаров начинается с формирования ассортиментной политики, а ассортиментная политика основывается на оперативном анализе продаж: то, что хорошо продается и приносит прибыль, не меньшую нормы, должно рассматриваться как товар, не подлежащий исключению из ассортимента. Сложнее с товарами, приносящими прибыль меньшую нормы или даже убыточными. Не всегда их исключение из ассортимента положительно влияет на товарооборот. Тонкие методы численного анализа продаж позволяют выявлять убыточные товары, положительно влияющие на стабильность или даже рост общего товарооборота. Методы классификации и категоризации товаров дают возможности выявлять основные пропорции товарного ассортимента по различным разрезам: тенденциям спроса и потребления. Эта информация даёт возможность для эффективного прогнозирования и планирования торговой деятельности.

В среднем один раз в квартал (или как минимум один раз в полгода) нужно проводить анализ продаж и не только оценивать те товары, которые плохо продаются, но и отслеживать новинки, появившиеся на рынке, и вовремя вносить их в ассортимент.

Наиболее сложной задачей в реализации системы управления запасами является задача обеспечения эффективной закупки товаров; выбор системы поставок товаров; определение размера заказываемой партии товаров; расчет интервалов времени пополнения запасов.

При определении необходимого объема товарных запасов возникают две проблемы, связанные с минимизацией затрат на покупку товара и затрат на хранение товара. Первая группа затрат включает затраты на поиск поставщика, оплату телефонных разговоров, услуги связи, выписку счетов, документированное оформление, контроль за поступлением товаров и др. При этом известно, что чем крупнее запас, тем ниже должны быть расходы на единицу товара. Вторая группа затрат связана с включением финансовых ресурсов в товар: затратами на складское обслуживание; расходами, возникающими в результате порчи товара или его устранения. Чем больше заказ, тем выше затраты на его хранение. Оптимизация запасов ставит своей целью критерий оптимальности, т.е. минимизации совокупных затрат по управлению запасами.

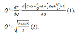
Оптимальная величина закупаемой партии товара может быть определена с помощью универсальной формулы Уилсона - EOQ (оптимального размера заказа). Данная формула была разработана в 1915 году и с тех времен претерпела не принципиальные, но многообразные переработки, вызванные развитием условий и возможностей бизнеса.

Формула Вильсона - наиболее известный и широко применяемый метод расчета размера заказа. Она была получена в результате дифференцирования функции общих затрат по размеру заказа Q:


где Т - общие затраты, связанные с запасом, руб.;

С - закупочная цена единицы товара, руб.;- размер заказа, единиц;- объем потребности в запасе, единиц;

А - затраты на выполнение одного заказа, руб.;

 - размер страхового запаса, единиц;

 - затраты на содержание единицы запаса, руб.;

 - оптимальный размер заказа, единиц.

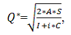
Довольно часто в качестве варианта формулы Вильсона используют следующее выражение:


где А - стоимость размещения одного заказа, руб.;- объем потребности в запасе, единиц;- доля цены продукции, приходящейся на затраты по хранению, руб.;

С - закупочная цена единицы товара, руб.

Данная формула используется в том случае, если затраты на хранение необходимо связать с ценой продукции.

Два представленные варианты расчета (формулы (2) и (3)) рассматривают затраты на хранение запасов с двух позиций. Формула (2) предполагает, что замороженными в запасах средствами можно пренебречь. Формула (3), напротив, пренебрегает чисто складскими затратами, учитывая затраты, связанные с замороженным капиталом. Последний подход оправдан в том случае, когда доля капитальных затрат при работе с запасами велика и составляет львиную долю от затрат на хранение запаса. Для того, чтобы учесть и ту и другую сторону затрат, связанных с содержанием запаса на складе, можно объединить составляющие затрат на складирование.

Аналитическая обработка суммы затрат на складскую обработку и потерь от замораживания капитала в общих затратах, связанных с содержанием, приводит к следующей формуле:


где А - стоимость размещения одного заказа, руб.;- объем потребности в запасе, единиц;- доля цены продукции, приходящейся на затраты по хранению, руб.;

С - закупочная цена единицы товара, руб.;- затраты на содержание единицы запаса, руб.

Формула Вильсона малочувствительна к ошибкам в исходной информации или в прогнозе спроса из-за малой кривизны графика общих затрат в области оптимального размера заказа. Учитывая состав формулы, при ошибке прогноза спроса на +20% изменение оптимального размера заказа составит  = 1,095 или 9,5%. Если затраты на хранение рассчитаны с ошибкой -20%, то ошибка расчета оптимального размера заказа составит  = 1,118 или 11,8%. Аналогично, если ошибка расчета затрат на хранение составляет +20%, то ошибка расчета оптимального размера заказа составит  = 0,913 или 8,7%.

Несмотря на кажущуюся привлекательность формулы Вильсона для решения задачи оптимизации размера заказа, использование ее даже теоретически ограничено. Вывод формулы основывается на целом ряде допущений, абсолютное большинство которых не может быть применено к практике бизнеса. К таким допущениям можно отнести следующие:

.        Модель применяется для одного вида товара.

.        Уровень спроса постоянен в течение планового периода времени.

.        Средний уровень запаса составляет половину размера заказа.

.        Интервал времени между поставками постоянен.

.        Время доставки постоянно.

.        Стоимость хранения запасов определяется исходя из среднего размера запаса.

.        Затраты на размещения заказа постоянны.

.        Цены на закупку постоянны.

.        Каждый заказ приходит отдельной поставкой.

.        Вследствие постоянного темпа потребления и отгрузки приемка осуществляется в момент времени, когда уровень запаса равен нулю.

.        Транспортный, подготовительный, сезонный и страховой запасы отсутствуют.

.        Отсутствуют ограничения по производственным мощностям склада.

.        Отсутствуют потери от дефицита.

Все перечисленные ограничения чрезвычайно упрощают реальные бизнес-ситуации, но, несмотря на это, применение формулы Вильсона вполне возможно для решения практических задач.

Формула расчета оптимального размера заказа имеет множественные модификации, соответствующие разнообразным ситуациям работы с запасом в условиях современного бизнеса. Вот некоторые из них:

–       модель с постепенным пополнением;

–       модель с учетом потерь от дефицита;

–       модель с учетом дефицита при постепенном пополнении;

–       модель работы с многономенклатурным заказом;

–       модель с учетом оптовых скидок;

–       модель с учетом НДС.

Подводя итог, необходимо отметить, что введение той или иной модели расчета, очевидно, не дает ответа на вопрос: "Каким должен быть размер заказа?". Ответ лежит в спектре логистического менеджмента различных уровней управления организацией. Тем не менее, формула расчета оптимального размера заказа - хорошее начало для организаций, которые только начинают работать над своими запасами. Расчет оптимального размера заказа - первый и необходимый шаг на пути совершенствования работы с запасами, и им не стоит пренебрегать.

Также розничные продавцы могут выбирать и управлять своими источниками поставок посредством выбора той или иной системы и каналов поставок в зависимости от структуры, размера и сложности товарного ассортимента, а также жизненного цикла, на котором находится конкретная организация. Небольшие и средние розничные организации ограничиваются только довольно простыми источниками поставок, так как они покупают продукцию у производителей и оптовиков на внутреннем рынке.

По мере увеличения розничного товарооборота, которое происходит при увеличении числа торговых точек или при расширении способов продаж, организация приобретает большой опыт на товарном рынке и поддерживает в управлении цепями поставок более функциональную специализацию. Сочетание большей уверенности в выборе продукции, знание отрасли и учет интересов других участников, например, желание увеличить валовую прибыль, заставляет розничных продавцов исследовать новые возможности в поиске источников и форм поставки.

Розничные торговые организации прежде всего ищут источники поставки товаров на внутреннем рынке у местных поставщиков (производители и оптовики). При прямой цепи поставок торговая организация заказывает товар исходя из покупательского спроса и своих возможностей по оплате и размещению товаров. Появление глобальных цепей поставки может изменять цепь поставки в обратном направлении. Структура продажной цены, ассортимент продукции, качество, дизайн, технология и вкус определяется теперь поставщиком и ценностями, присутствующими в самой цепи поставок. Преимущества внутренних источников поступления товаров:

устраняются проблемы, связанные с общением, с языковыми различиями, причем сама инфраструктура коммуникаций в большинстве развитых стран разработана хорошо;

график поставки оказывается менее сложным, поскольку можно ограничиваться наземным транспортом, в то время, как для поставок из-за рубежа может потребоваться несколько видов транспорта, а также различная политика формирования отношений между поставщиками и потребителями. Логистические системы доступны только крупным структурам (для мелких поставщиков в относительно слабых экономических системах логистика все еще остается серьезной проблемой);

доступные потоки информации имеется возможность посещать выставки и самостоятельно осматривать товары;

использование посредников в цепи поставок часто также имеет экономический смысл, особенно при закупке товаров за рубежом, поскольку они хорошо знают местные условия и контролируют с большим числом местных товаропроизводителей.

Важным этапом управления запасами является планирование. Цель, которую преследует планирование товарных запасов - это установление такого запаса товаров в днях, который обеспечивает бесперебойную продажу широкого ассортимента товаров при минимальных затратах. Товарные запасы можно разделить на запасы текущего хранения, которые обеспечивают обычную повседневную реализацию товаров, и запасы сезонного хранения, которые создаются для обеспечения оптово-розничной торговли по сезонам. Планирование товарных запасов предусматривает установление двух уровней товарных запасов: минимального, ниже которого объем запасов опускаться не должен, и максимального, превышение которого чревато замедлением товарооборота и всеми сопутствующими проблемами для торговой компании. Максимальный уровень товарных запасов устанавливается по каждому товарному наименованию и может меняться в процессе деятельности компании в соответствии с ситуацией.

Для планирования товарных запасов необходимо разработать общий и потоварные нормативы. Для потоварных нормативов обычно используется технико-экономический метод расчета, при котором норматив рассчитывается суммированием запаса товаров на среднесуточную реализацию, запаса товаров представительного ассортиментного набора, запаса товаров на время осуществления приемки товаров и их подготовки к продаже, запаса текущего пополнения и страхового (гарантийного) запаса. Основную часть норматива составляет торговый запас, состоящий из рабочего товарного запаса, постоянно находящегося в торговом зале, и запаса текущего пополнения, необходимого для бесперебойной торговли до очередного поступления товаров. В случае возникновения форс-мажорных обстоятельств бесперебойную торговлю должен обеспечить гарантийный запас. Представительский ассортиментный набор является демонстрационным запасом товаров, которые находятся в торговом зале, и обеспечивают покупателям широкий выбор в рамках представленного ассортимента данной товарной группы. Там же, в торговом зале, хранится и запас в размере среднесуточного оборота, который пополняется ежедневно за счет товарного запаса текущего пополнения.

Следовательно, формула, по которой рассчитывается норматив, имеет следующий вид:

Н=ВПП+РЗ+1/2 ЗТП+ ГЗ,

где Н - это норма товарного запаса, выраженная в днях, ВПП - выраженное в днях время на приемку товаров и подготовку их к продаже, РЗ - выраженный в днях рабочий запас товаров, ЗТП - выраженный в днях запас текущего пополнения, ГЗ - гарантийный запас, также выраженный в днях.

Впрочем, осуществляя планирование товарных запасов, норматив можно рассчитывать и опытно-статистическим методом - экстраполяция данных за прошлые периоды.

Управление запасами наряду с планированием, предусматривает организацию контроля за их фактическим состоянием. Контроль за состоянием запасов - это изучение и регулирование уровня запасов продукции с целью выявления отклонений от норм запасов и принятия оперативных мер к ликвидации отклонений.

Для осуществления контроля за состоянием запасов предназначены модели управления запасами. Модели должны отвечать на два основных вопроса: сколько заказывать продукции и когда. Есть множество разнообразных моделей, каждая из которых подходит к определенному случаю, рассмотрим четыре наиболее общих модели:

1.      Модель с фиксированным размером заказа

Модель с фиксированным уровнем запаса работает так: на складе есть максимальный желательный запас продукции (МЖЗ), потребность в этой продукции уменьшает ее количество на складе, и как только количество достигнет порогового уровня, размещается новый заказ. Оптимальный размер заказа () выбирается таким образом, чтобы количество продукции на складе снова ровнялось МЖЗ, так как продукция не поставляется мгновенно, то необходимо учитывать ожидаемое потребление во время поставки. Поэтому необходимо учитывать резервный запас (РЗ), служащий для предотвращения дефицита.

Для определения максимального желательного запаса (МЖЗ) используется формула:

МЖЗ =  + РЗ.

2.      Модель с фиксированным интервалом времени между заказами

Модель с фиксированным интервалом времени между заказами работает следующим образом: с заданной периодичностью размещается заказ, размер которого должен пополнить уровень запаса до МЖЗ.

3.      Модель с установленной периодичностью пополнения запасов до установленного уровня

Модель с установленной периодичностью пополнения запасов до установленного уровня работает следующим образом: заказы делаются периодически (как во втором случае), но одновременно проверяется уровень запасов. Если уровень запасов достигает порогового, то делается дополнительный заказ.

В зафиксированные моменты заказов расчет размера заказа производится по следующей формуле:

= МЖЗ - ТЗ + ОП,

где,- размер заказа, шт.;

МЖЗ - желательный максимальный заказ, шт;

ТЗ - текущий заказ, шт;

ОП - ожидаемое потребление за время.

В момент достижения порогового уровня размер заказа определяется по следующей формуле:

= МЖЗ - ПУ + ОП,

где,- размер заказа, шт.;

МЖЗ - максимальный желательный заказ, шт.;

ПУ - пороговый уровень запаса, шт.;

ОП - ожидаемое потребление до момента поставки, шт.

При ближайшем рассмотрении этих моделей видно, что первая модель довольно устойчива к увеличению спроса, задержке поставки, неполной поставке и занижение размера заказа. "Вторая модель устойчива к сокращению спроса, ускоренной поставке, поставке завышенного объема и завышенного размера заказа". Третья модель объединяет все плюсы двух первых моделей.

Для получения ответа на вопросы: когда и сколько заказывать материалов, необходимо рассчитать объем резервного запаса и оптимального размера заказа. При расчете объема резервного запаса (РЗ) рассматривается два случая: спрос на продукцию (Тд) - детерминированная или случайная величина.

В первом случае:

З = Пд x Tзп,

где Tзп - время возможной задержки поставки.

Во втором, время поставки и время возможной задержки поставки - детерминированы.

Значит ежедневный спрос за предыдущий период определяется как математическое ожидание и дисперсия.

Время между моментом размещения заказа и моментом его получения (F):

= Tп + Tзп.

Спрос за время равен сумме ежедневных спросов, если более 4-х дней, то суммарный спрос распределен по нормальному закону с математическим ожиданием

q) = F * M(Пд),

и дисперсией

q) = F * M(Пд).

Зададимся вероятностью возможного дефицита , по таблице нормального распределения находим

,

Значит


Таким образом, находим уровень резервного запаса из условия, что вероятность возможного дефицита будет не более заданного.

Оптимальный размер заказа находится по формуле Уилсона:


где,затраты на размещение одного заказа;- издержки на хранение 1 ед. продукции в ед. времени.

Выше были рассмотрены однопродуктовые модели. В реальных ситуациях заказы делаются не на отдельные виды продукции, а на множество с одними транспортными расходами. При переходе к многопродуктовой ситуации расчеты резервного запаса и оптимального размера заказа не меняются. В этих случаях более жизненными являются вторая и третья модели.

Осуществлять контроль за состоянием запасов помогают также методы управления запасами, среди которых метод "минимум-максимум", метод АВС, метод XYZ.

Метод "Минимум - Максимум" основывается на внесении в карточки складского учета минимальной и максимальной норм запаса. Периодически уровень запасов сравнивается с минимальной и максимальной нормами. Если при проверке оказалось, что уровень запасов меньше или равен пороговому уровню, то делается заказ. В случае превышение максимальной нормы принимаются меры по снижению уровня запасов данного товара.

Важнейшим методом управления запасами является метод условно обозначенный как АВС. С помощью данного метода удается более точно прогнозировать, контролировать состояние и надежность поставок, организовывать учет сохранности. Суть метода заключается в разбиении номенклатуры реализуемых товарно-материальных ценностей на три группы. Класс А - это группа запасов, на которую приходится около 10-15% наименований физических единиц запасов, но в денежном выражении она составляет 70-80% от общей стоимости запасов. Класс В - это группа запасов, на которую приходится около 20-30% от общего числа наименований и 15-25% общего объема стоимости. Остальные запасы образуют класс С и составляют 5% от общего годового размера затрат, но 55-65% наименований от общего их числа.

Метод АВС основан на основе закона Парето, согласно которому действует правило 80/20. Исходя из этого правила, запасы группы А требуют более тщательного контроля и размещаются в более надежных местах. Особое внимание к дорогим изделиям объясняется тем, что более значительная часть капитала торговой организации "омертвляется" при длительном хранении их на складе, а дорогостоящие изделия пользуются спросом у более ограниченного числа покупателей. Постоянный учет и контроль за такими запасами приведет к тому, что вложенные в запасы деньги принесут прибыль.

Чтобы оценить успешность управления запасами, необходимо регулярно анализировать состояние и эффективность запасов. Последние разработки в сфере программного обеспечения позволяют значительно ускорить эту процедуру и получить более точные результаты.

Как правило, совместно с АВС-анализом проводят XYZ-анализ. XYZ-анализ - математически-статистический метод, позволяющий анализировать и прогнозировать стабильность продаж отдельных видов товаров и колебания уровня потребления тех или иных ресурсов. Этот метод обычно применяется для ранжирования и группирования ассортиментных позиций по степени прогнозируемости объема спроса или оборачиваемости товара.

Метод XYZ-анализа сходен с АВС-анализом и основывается на том же принципе - товары подразделяются на три группы X, Y, Z, исходя из значения коэффициента вариации за определенный период времени. Этот анализ делит объекты по степени отклонения от среднего показателя, высчитываемого за несколько периодов. XYZ-анализ показывает, насколько стабилен или нестабилен спрос на товар. Чем стабильнее спрос на товар, тем легче им управлять, тем ниже потребность в товарных запасах, тем легче планировать движение продукта. Таким образом, результаты XYZ-анализа служат дополнительным материалом для принятия решений о пребывании товара в ассортиментной матрице.

Выводы по первой главе

.Товарные запасы являются основополагающими элементами управления торговой организации, от эффективности управления товарными запасами напрямую зависят результаты торговой деятельности, показатели товарооборота и рентабельности.

. Задача управления запасами заключается в том, чтобы найти оптимальное решение по объему и срокам запасов, чтобы своевременно и в необходимом размере удовлетворить имеющиеся потребности и при этом обеспечить минимальные издержки на хранение и поставку ресурсов.

. Управление товарными запасами осуществляется путем их планирования, оперативного учета, контроля и регулирования. Планирование запасов заключается в установлении необходимых объемов и размеров товарных запасов, которые могут обеспечить нормальную работу торгового предприятия. Оперативный учет и контроль над их состоянием предполагает изучение и анализ уровня запасов предприятия с целью выявления отклонений от норм запасов. Управление товарными запасами путем их регулирования заключается в действиях, направленных на поддержание определенного уровня товарных запасов и маневрировании.

2. Анализ системы управления запасами сетевой организации оптово-розничной торговли ОЦ "Галион" (ИП Васильева Л.В.)

2.1 Анализ розничного товарооборота ОЦ "Галион"

Оптовый центр "Галион" основан в 1994 году. Основное направление деятельности организации - оптово-розничная продажа продуктов питания, бытовой химии, косметики и парфюмерии.

Основные принципы деятельности ОЦ "Галион":

–       поддержание широкого ассортимента продукции;

–       быстрое реагирование на требования покупателей;

–       гибкое ценообразование.

На данный момент оптовый центр является частным коммерческим предприятием и осуществляет свою деятельность в соответствии с Уставом предприятия, Конституцией РФ и действующим законодательством РФ.

ОЦ "Галион" является самостоятельным юридическим лицом, зарегистрировано Межрайонной инспекцией Федеральной налоговой службы № 2 по г.Улан-Удэ Республики Бурятия, имеет самостоятельный баланс и расчетный счет.

ОЦ "Галион" является самостоятельной хозяйственной единицей, действующей на основе полного хозяйственного расчета, самофинансирования и самоокупаемости. ОЦ "Галион", как и любая другая организация, осуществляющая финансово-хозяйственную деятельность, получает доход, с которого уплачивает различные налоги и платежи в бюджет. Средства, оставшиеся у организации после оплаты этих налогов и платежей, поступают в его полное распоряжение.

ОЦ "Галион" представляет собой оптово- розничную сеть, состоящую из 1 базы и 4 миникиосков. Организация осуществляет свою деятельность на территории Республики Бурятия, Иркутской области и Забайкальского края.

Коммерческая политика организации отдает предпочтение продукции местных производителей.

Основные показатели деятельности ОЦ "Галион" за 2010-2012 гг. представлены в Таблице 1.

Таблица 1 Основные показатели деятельности ОЦ "Галион" за 2010-2012 гг.

Показатели

Год

Изменение (+;-)

Темп изменения, %


2010

2011

2012

2011 г. к 2010 г.

2012 г. к 2011

2011 г. к 2010

2012 г. к 2011

2012 г. к 2010

Выручка от продажи продукции, тыс. руб.

40544

43046

43118

2502

72

100,17

106,35

Себестоимость проданной продукции, тыс. руб.

37655

39656

39370

2001

-286

105,31

99,28

104,55

Валовая Прибыль, тыс. руб.

2889

3390

3748

501

358

117,34

110,56

129,73


Из Таблицы 1 следует, что выручка от реализации товаров в 2011 году по сравнению с 2010 годом увеличилась на 2502 тыс.руб. или на 6,17%. В 2012 году рост выручки от реализации составил по сравнению с 2011 годом 72 тыс.руб. или 0,17%.

Валовая прибыль ОЦ "Галион" за исследуемый период имеет ярко выраженную тенденцию к росту. Так, в 2010 году она составила 2889 тыс.руб., в 2011 году - 3390 тыс.руб., в 2012 году - 3748 тыс.руб. Полученные данные свидетельствуют о том, что темп роста валовой прибыли ОЦ "Галион" снижается. В 2011 году он составил 17,34%, а в 2012 году - 10,56%.

Происходящие изменения отразились на росте показателя рентабельности продаж. Рентабельность продаж рассчитывается делением прибыли от реализации продукции или чистой прибыли на сумму полученной выручки.

Рп2010 = (2889 тыс. руб. / 40544 тыс. руб.) * 100% = 7,13%

Рп2011 = (3390 тыс. руб. / 43046 тыс. руб.) * 100% = 7,88%

Рп2012 = (3748 тыс. руб. / 43118 тыс. руб.) * 100% = 8,69%

Как показывают вышеприведенные расчеты рентабельность продаж ОЦ "Галион" увеличилась за анализируемый период с 7,13% до 8,69%, что положительно характеризует коммерческую деятельность организации.

Таким образом, в целом за период 2010-2012 гг. наблюдается тенденция основных показателей деятельности к росту.

Организационная структура рассматриваемого предприятия представлена на Рисунке 5.

Директор ОЦ "Галион" самостоятельно на основе единоначалия решает вопросы возглавляемой им организации, за исключением отнесенных действующим законодательством и уставом к компетенции общего собрания трудового коллектива и совета трудового коллектива. Директор без доверенности действует от имени предприятия, распоряжается имуществом предприятия, заключает договоры, в том числе трудовые, выдает доверенности, открывает в банках расчетные и иные счета, пользуется правом распоряжения средствами, издает приказы и дает указания, обязательные для всех работников предприятия.

Непосредственно директору подчиняются руководители функциональных служб: главный бухгалтер, юрист, специалист по подбору персонала, специалист по информационным технологиям, заведующие магазинов, руководитель отдела логистики, руководитель отдела маркетинга и рекламы.

Бухгалтерия включает в себя главного бухгалтера (финансовая отчетность, начисления заработной платы) и кассира (выплата заработной платы сотрудникам, сопровождение платежных поручительств в коммерческий банк). Главный бухгалтер, работая в тесном контакте с руководителем, совместно решают финансовые вопросы (налоги, средства на закупку оборудования, сырья, оплата транспортных расходов и т.п.).

Отдел логистики планирует запас продукции, организует и проверяет правильную приемку поступающих в магазины товаров и тары по количеству и качеству. Систематически проводит инструктажи работников магазина связанных с приемкой, хранением товаров, организует выполнение всеми подведомственными секциями планов товарооборота и повседневно контролирует состояние реализации товаров как по секциям, так и по товарным группам и отдельным наименованиям, следят за ритмичностью поставок продукции от поставщиков, определяют перспективные направления развития предприятия.

Рис.5 Организационная структура ОЦ "Галион"

Ассортиментная политика и маркетинг ОЦ "Галион" соответствует формату "магазин у дома". Суть формата состоит в предоставлении покупателям возможности с минимальными затратами времени приобретать продукты питания и сопутствующие товары в комфортных условиях. В среднем, в магазинах сети представлено 3500 наименований товаров - лидеров продаж. Это позволяет экономить время клиента за счет малой площади магазина, удовлетворяя его основные потребности в ассортименте продукции.

Глубина ассортимента продуктов питания включает в себя все товары, формирующие потребительскую корзину. Представлены все товарные группы продуктов питания. Также ассортимент организации включает в себя хозяйственные товары, товары бытовой химии. Формирование ассортимента осуществляется с целью максимального удовлетворения потребностей целевого покупателя на основе исследований и статистического анализа продаж.

Ценовая политика соответствует покупательной способности населения и может быть охарактеризована как умеренная. На основную группу товаров наценки небольшие, особенно это касается социально значимой группы товаров.

ОЦ "Галион" закупает продукцию у 51 поставщика. Часть закупаемой продукции вывозится от поставщиков собственным автотранспортом, большая часть - доставляется поставщиками.

Товарные запасы - часть имущества, предназначенная для продажи. Учет запасов ведется а порядке, установленном Положением по ведению БУ и бухгалтерской отчетности в РФ, Положением по бухгалтерскому учету "Учет материально-производственных запасов".

Предприятие заключает договоры снабжения на поставку продукции с различными поставщиками. Предпочтение отдается тем поставщикам, которые предлагают качественную недорогую продукцию и расположенные в близлежащих районах.

.2 Анализ товарных запасов и товарооборачиваемости ОЦ "Галион"

Общая характеристика организации и анализ его экономической деятельности приведен в Приложении.

Товарооборот является важнейшим оценочным показателем торгового предприятия, измерителем эффективности деятельности. Объем продажи товаров характеризует конкурентные позиции предприятия на рынке, его долю в общем объеме продаж и степень устойчивости положения на рынке, способность продавать товары, пользующиеся спросом потребителей и обеспечивающие получение намеченных и стабильных результатов.

Анализ товарооборота позволяет оценивать соответствие имеющихся товаров спросу населения для принятия мер по оптимизации структуры товарооборота, увеличению товарооборота, увеличению объема продаж, ускорению оборачиваемости товаров, ритмичности и равномерности продаж.

Анализ объема и динамики товарооборота торговой организации основывается на данных бухгалтерской, статистической и оперативной отчетности.

Торговая деятельность организации характеризуется, прежде всего, степенью выполнения плана и динамикой товарооборота. Для анализа товарооборота ОЦ "Галион" изучим его динамику, которая позволит выявить тенденцию и закономерности его развития, выявление возможностей улучшения динамики продаж. Обратимся к Таблице 2.

При анализе динамики товарооборота необходимо определить и изучить среднегодовой темп его роста. Среднегодовой темп увеличения товарооборота и других показателей хозяйственной деятельности может быть исчислен по формуле средней геометрической:


где  - фактический товарооборот;

 - базовый товарооборот;- количество анализируемых периодов.

=*100% = 106,3% (в действующих ценах);

=*100% = 107,6 (в сопоставимых ценах).

Таблица 2 Динамика товарооборота ОЦ "Галион" за 2010-2012 гг.

Год

Фактический товарооборот, тыс. руб.

Цепной темп роста, %

Базисный темп роста, %


в действующих ценах

в сопоставимых ценах

в действующих ценах

в сопоставимых ценах

в действующих ценах

в сопоставимых ценах

2010

40062

36822

-

-

-

-

2011

41946

38553

104,7

104,7

104,7

104,7

2012

45230

42630

107,8

110,6

112,9

115,8


Из таблицы видно, что за последние три года розничный товарооборот увеличился на 5168 тыс. руб., что составляет 12,9% к фактическому товарообороту 2010 года. Этот прирост произошел за счет увеличения количества реализованных товаров (физического объема розничного товарооборота) на 5808 тыс. руб. (42630 - 36822), и в связи с увеличением розничных цен на товары - на 2600 тыс. руб. (45230 - 42630).

Розничный товарооборот организации за 2012 год в сопоставимых ценах составил 42630 тыс. руб., а темп роста по отношению к 2010 году составил 15,8%. Следовательно, за счет ценового фактора (повышение розничных цен на товары) увеличился товарооборот организации. Количество реализованных товаров увеличилось в 2011 году 4,7%, а в 2012 году - на 7,8%. Темпы роста физического объема товарооборота (количества товаров) отмечаются довольно высокие.

Для углубленного анализа увеличения темпа роста товарооборота 2012 года к 2011 рассмотрим в поквартальном разрезе, используя информацию Таблицы 3.

Таблица 3 Информация о доле квартала в годовом товарообороте ОЦ "Галион" за 2012 год, тыс. руб.

Квартал

2011 год

2012 год

Отклонение от 2011 г.

В % к 2011 г.


сумма, тыс.руб.

удельный вес, %

сумма, тыс. руб

удельный вес, %



1 квартал

7408

17,7

7968

17,6

560

107,6

2 квартал

10524

25,1

11325

25,0

801

107,7

3 квартал

11020

26,3

11914

26,3

894

108,1

4 квартал

12994

30,9

14023

31,1

1029

107,9

Всего за год

41946

100,0

45230

100,0

3284

107,8


Товарооборот торговой организации увеличился на 3284 тыс. руб., таким образом, прирост составил 7,8%. Увеличение происходило неравномерно, наибольшее суммарное отклонение от 2011 года наблюдается в 4 квартале и оно составляет 1029 тыс. руб., а наименьшее суммарное отклонение было во 2 квартале - 560 тыс. руб.

Еще более неритмичное развитие получил товарооборот по месяцам года (см. Таблицу 4).

Таблица 4 Ритмичность развития розничного товарооборота ОЦ "Галион" по месяцам года.

Месяцы

2011 год

2012 год

Темп роста, %

Январь Февраль Март

1461 2812 3135

1526 3043 3399

104,5 108,2 108,4

Итого за 1 кв.

7408

7968

107,6

Апрель Май Июнь

1965 3141 5418

2242 3529 5554

114,1 112,4 102,5

Итого за 2 кв.

10524

11325

107,7

Июль Август Сентябрь

1995 3293 5732

2101 3347 6466

105,3 101,6 112,8

Итого за 3 кв.

11020

11914

108,1

Октябрь Ноябрь Декабрь

2616 3951 6427

2756 4491 6776

105,4 113,7 105,4

Итого за 4 кв.

12994

14023

107,9

Всего за год

41946

45230

107,8


Из данных таблицы видно, что размах колебаний роста розничного товарооборота еще больше, чем по кварталам. Темп роста товарооборота по сравнению с прошлым годом варьирует от 101,6 в августе до 114,1 в апреле. Товарооборот во всех месяцах превышает показатели прошлого года.

Наибольшая положительная разница товарооборота наблюдается в 3 квартале на 8,1%, а если рассмотреть по месяцам этого квартала, то это сентябрь (12,8%). Кроме того, рассматривая 3 квартал, видим, что наименьший прирост в августе (101,6%).

Рассматривая 1 квартал, отметим, что товарооборот является наименее скачкообразным: с самым низким приростом в январе (104,5%) и самым высоким в марте (108,4%).

Динамика рассмотренных показателей характеризует неравномерное удовлетворение спроса покупателей на товары. Причинами этого могут быть недостатки в изучении покупательского спроса, снабжении товарами и др.

Для определения равномерности развития розничного товарооборота необходимо рассчитать среднее квадратическое отклонение ( и коэффициент вариации, или неравномерности (v) по следующим формулам:


где Х - процент выполнения плана или темп изменения в динамике по изучаемому показателю за каждый квартал;

 - процент выполнения плана или темп повышения (снижения) в динамике по анализируемому показателю за год;- число изучаемых периодов.

Среднее квадратичное отклонение определяет диапазон колебания реализации товаров, т.е. максимальный и минимальный объем товарооборота организации в среднем за период исследования. Коэффициент вариации оценивает равномерность реализации товаров на протяжении периода, который исследуется, т.е. относительный (в %) размер отклонения объема товарооборота от среднего размера.

По коэффициенту вариации (неравномерности) можно проанализировать неравномерность развития исследуемого показателя.

Коэффициент равномерности () рассчитывают по следующей формуле:

=100 - v.

Рассчитаем показатели с помощью приведенных формул и представим их в таблице 5.

Таблица 5. Расчеты, необходимые для определения коэффициента ритмичности за 2011-2012 гг.

Месяц

Темп отклонения, %

Январь

104,5

- 3,3

10,89

Февраль

108,2

0,4

0,16

Март

108,4

0,6

0,36

Апрель

114,1

6,3

39,69

Май

112,4

4,6

21,16

Июнь

102,5

- 5,3

28,09

Июль

105,3

-2,5

6,25

Август

101,6

- 6,2

38,44

Сентябрь

112,8

5,0

25,0

Октябрь

105,4

- 2,4

5,76

Ноябрь

113,7

5,9

34,81

Декабрь

105,4

- 2,4

5,76

107,8

-

216,37




==4,25%==3,94%

= 100 - 3,94 = 96,06%.

Итак, колебание в развитии товарооборота составляет 4,25%. Темп отклонения от товарооборота прошлого года был равномерным на 96,06%. Чем ближе к 100% коэффициент ритмичности, тем ритмичнее изменяется товарооборот. При анализе товарооборота следует учитывать, что динамика квартальных и месячных объемов продажи существенно отличается от годовых показателей; часто она имеет резко выраженные колебания, которые необходимо изучать. С этой целью рассчитывается индекс сезонности (Таблица 6).

Таблица 6 Сезонность развития товарооборота в действующих ценах по кварталам, тыс. руб.

Квартал

2010 год

2011 год

2012 год

Итого за три года

Средняя величина за 3 года

Коэффициент сезонности, %

1 квартал

7211

7408

7968

22587

7529

71,0

2 квартал

10084

10524

11325

31933

10644

100,4

3 квартал

10958

11020

11914

33892

11297

106,6

4 квартал

11809

12994

14023

38826

12942

122,1

Итого за год

40062

41946

45230

127238

42412

400,00

Среднеквартальный товарооборот

10015

10487

11308

31810

10603

-


По данным таблицы можно сделать вывод, что наибольший спрос на продукцию приходится на 4 квартал (122,1%), а наименьший наблюдается в 1 квартале (71,0%). Такая большая амплитуда в показателях товарооборота говорит о том, что в ассортименте достаточно велика доля товаров сезонного спроса. Это необходимо учитывать при планировании в следующем году.

Проведенный анализ позволяет сделать следующие выводы:

за последние три года товарооборот организации устойчиво растет;

динамика рассмотренных показателей характеризует достаточно ритмичное развитие товарооборота, однако в некоторых периодах отмечено неравномерное удовлетворение спроса покупателей на товары. Причинами этого могут быть недостатки в изучении потребительского спроса, снабжении товарами и др.;

Значение коэффициента сезонности говорит о том, что в ассортименте значительная доля товаров сезонного потребления, что необходимо учитывать при планировании.

Важнейшим этапом построения и реализации оптимальной системы управления товарными запасами является анализ их состояния и эффективности использования.

Анализ товарных запасов позволяет в конкретных ситуациях находить оптимальное решение проблем, возникающих у торговой организации в связи с низкой оборачиваемостью товаров и большим объемом товарных запасов, что препятствует получению ожидаемой прибыли и снижает эффективность работы торговой организации.

Анализ товарных запасов нужен, чтобы определять, насколько соответствует фактический объем товарных запасов установленным в организации нормативам как по отдельным товарным группам, так и в целом, находить причины отклонений, выявлять изменения в товарных запасах, а также особенности спроса на отдельные товары.

В ходе анализа запасов используются показатели, которые характеризуют состояние товарных запасов в натуральном и стоимостном выражении, их обеспеченность, эффективность использования средств, вложенных в товарные запасы. Анализ товарных запасов проводится на основании данных, полученных из статистических и бухгалтерских отчетов за интересующий период, а также данных инвентаризации.

Цель анализа состоит в выявлении причин и последствий изменения товарных запасов и скорости их обращения, выявления неиспользованных возможностей повышения эффективности их использования.

Для анализа влияния товарных запасов на товарооборот используем данные о движении товаров за 2011-2012 гг., представленные в Таблице 7.

Таблица 7 Данные товарного баланса за 2011-2012 гг.

Показатели

2011 г.

2012 г.

Отклонение от 2011 г.

Темп роста к 2011 г., %

Остаток товаров на начало года

4897,3

5575,9

678,6

113,9

Поступило товаров

42624,6

43596,2

971,6

102,3

Остаток товаров на конец года

5575,9

3942,1

- 1633,8

70,7

Реализовано товаров

41946

45230

3284

107,8

Среднегодовые остатки товарных запасов

4236,6

4759

522,4

112,3


Среднегодовые запасы в 2012 году по сравнению с 2011 годом увеличились на 522,4 тыс. руб., что составляет 12,3%. В динамике прослеживается следующая ситуация. Фактический объем товарооборота вырос на 7,8% или на 3284 тыс.руб. и факторами, побудившими рост товарооборота, являются увеличение объема поступления товаров в текущем году (+971,6 тыс. руб.), а также увеличения товарных запасов на начало года (+678,6 тыс.руб.). Также возможности увеличения товарооборота были повышены за счет снижения остатков на конец года (- 1633,8 тыс.руб.).

Для обеспечения ритмичной работы, широкого выбора товаров и наиболее полного удовлетворения спроса покупателей торговая организация должна обладать определенными товарными запасами. Поэтому дальнейший анализ проведем с оценкой, как товарные запасы обеспечивают развитие товарооборота и бесперебойное обеспечение населения необходимыми товарами. Для чего анализ товарных запасов проведем в разрезе товарных групп по данным Таблицы 8.

Таблица 8 Исходная информация о товарных запасах ассортимента в действующих ценах за 2012 год

Товарная группа

Товарооборот, тыс.руб.

На начало года

На конец года

Изменение



тыс. руб.

тыс. руб.

дни

тыс. руб.

дни

Хлебобулочные изделия

2837,9

53,5

6,9

24,1

3,1

-29,4

-3,8

Кондитерские изделия

4665,5

773,4

60,5

556,1

43,5

-217,3

-17

Вино-водочные изделия

6982,1

941,4

49,2

691,9

36,2

-249,5

-13

Бакалея

1354,6

191,4

51,6

161,2

43,4

-30,2

-8,2

Молочные продукты

3847,2

351,6

33,4

201,4

19,1

-150,2

-14,3

Мясные изделия

6677,4

891,6

48,7

408,6

22,3

-483

-26,4

Консервы

1321,0

211,7

58,5

302,6

83,6

90,9

25,1

Свежие овощи и фрукты

4433,3

377,1

31,0

123,4

10,2

-253,7

-20,8

Безалкогольные напитки

5197,5

401,8

28,2

405,1

28,4

3,3

0,2

Рыбные продукты

1100,7

199,0

66,0

83,4

27,7

-115,6

-38,3

Табак

1000,2

154,1

56,2

76,2

27,8

-77,9

-28,4

Сыры

914,6

83,4

33,3

17,7

7,1

-65,7

-26,2

Чай, кофе

560,2

76,9

50,1

112,8

73,5

35,9

23,4

Чипсы, снэки

420,2

59,1

51,3

31,4

27,3

-27,7

-24

Соусы, специи

186,4

29,4

57,6

31,9

62,5

2,5

4,9

Непродовольственные товары

9242,7

780,5

30,8

714,3

28,2

-66,2

-2,6

Итого

45230

5575,9

45

3942,1

31

-1633,8

-14


Изменение фактических товарных запасов в денежном выражении по товарным группам за 2012 год неравномерно, снижение произошло по большей части товарных групп, значительный рост по группе "Консервы", "Чай, кофе", "Соусы, специи". Также уменьшились товарные запасы в днях на конец периода на 14 дней, что может сказаться негативно в следующем периоде при условии спроса.

В связи с тем, что темп роста товарных запасов на конец года сократился на 14 дней, а также среднегодовые темпы не успевают за ростом товарооборота, произведем расчеты влияния факторов на изменение товарных запасов. На их размер оказывают влияние два фактора:

изменение объема товарооборота;

ускорение или замедление товарооборачиваемости.

Средние товарные запасы в 2012 году по отношению к 2011 изменились незначительно (522,4 тыс.руб.). Проанализируем влияние товарооборачиваемостина изменение товарных запасов и результаты расчетов оформим в таблице 9.

Таблица 9 Информация о средних товарных запасах и товарооборачиваемости по торговой организации

Показатель

2011г.

2012г.

Отклонение от 2011г.

В % к 2011 г.

Товарооборот, тыс.руб.

41946

45230

3284

107,8

Среднегодовые запасы, тыс.руб.

4236,6

4759

522,4

112,3

Время обращения товаров в днях

36,4

37,9

1,5

104,1

Скорость обращения товаров, в оборотах

9,9

9,5

- 0,4

96,0


Исходя из информации, содержащейся в Таблице 9, видим, что в 2011 году в среднем товарные запасы оборачивались 9,9 раз в год. В 2012 году оборачиваемость понизилась и составила 9,5 раз. В результате снижения товарооборачиваемости последовало увеличение среднего периода оборота товаров, т.е. среднюю продолжительность пребывания их в виде товарных запасов, с 36,4 дней в 2011 году до 37,9 дней в 2012 году.

Отсюда снижение скорости оборота товарных запасов в динамике в 0,4 раза увеличило нахождение товаров в запасе на 1,5 дня, что привело к недостаче оборотных средств в сумме 190 тыс. руб.

Для увеличения товарооборачиваемости необходимо довести имеющиеся в настоящий момент товарные запасы до оптимального уровня за счет равномерного и частого завоза товаров. Оптимальной в данном случае является величина запасов, которые действительно пользуются спросом, и в ближайшее время будут реализованы. Кроме того, возможно увеличение товарооборота за счет распродажи товаров, не пользующихся спросом, совершенствования организации торговли и обслуживания покупателей.

.3 Основные параметры системы управления запасами в ОЦ "Галион"

К основным условиям, которым должна удовлетворять система управления запасами, можно отнести следующие:

объем запасов должен обеспечивать бесперебойную торговлю;

размер запасов должен быть оптимальным в целях сокращения затрат на хранение материального запаса, строительство складских помещений и т.д.

Рассмотрим основные параметры системы управления товарными запасами ОЦ "Галион".

.        Планирование

Планирование потребности сводится к расчету потребности, которую специалисты ОЦ "Галион" просчитывают путем:

–       определения параметров страхового запаса;

–       учета корректировок текущего товарного запаса;

–       оптимизации количества (контроль непревышения максимально допустимого товарного запаса по каждому товару).

По своему назначению товарные запасы, формируемые в любой организации торговли, можно подразделить на товарные запасы текущего хранения, запасы сезонного хранения и досрочного завоза. Данная классификация запасов является основой для их планирования, анализа, контроля и учета в организации ОЦ "Галион".

Основную массу всех запасов организации составляют товарные запасы текущего хранения. Они необходимы для обеспечения бесперебойной продажи товаров в текущем периоде, их размер определяется объемом реализации товаров и интервалом поставки.

Рассмотрим технологию определения оптимального размера текущего запаса в ОЦ "Галион" (при равномерном процессе продаж). Размер текущего запаса определяется тремя величинами: максимальной, минимальной и средней. Если новая партия расходуемого товара прибывает точно в момент окончания предыдущей, минимальная величина текущего запаса будет равно нулю, а средняя величина - половине максимальной. Таким образом, при таком режиме поставок максимальный текущий запас будет равен размеру поставленной партии товара. На рисунке 6. показано изменение величины текущего запаса в течение определенного периода времени.

Рис. 6 Изменение величины текущего запаса

Таким образом, оптимальным размером текущего запаса является значение его средней величины равное половине заказанной и доставленной партии товара. Задача поиска оптимального размера запаса преобразуется в задачу поиска оптимального размера заказываемой партии. Причем критерием оптимума является минимум общих затрат за период, связанных с созданием и содержанием запаса.

Товарные запасы сезонного хранения и досрочного завоза формируются, в первую очередь, по таким товарам, которые имеют значительный разрыв во времени между их производством и потреблением. Кроме того, они создаются исходя из особенностей географического расположения торговых предприятий, а также на предприятиях, размещенных в населенных пунктах, к которым из-за распутицы или по другим причинам не может быть обеспечена регулярная доставка товаров.

При построении системы управления запасами в ОЦ "Галион" за основу были взяты положения концепции, называемой система с фиксированной периодичностью заказа. Однако сглаживание недостатков данной концепции стало возможно благодаря ее модификации, в результате которой она перестроилась в так называемую систему с фиксированным интервалом времени между заказами и двумя фиксированными уровнями.

Сущность модифицированной системы заключается в том, что в ней кроме верхнего максимального уровня запаса, устанавливается также минимальный. Если размер заказа снижается до минимального уровня раньше наступления момента очередного заказа, то делается внеочередной заказ. В остальное время данная система функционирует, как система с фиксированной периодичностью заказа. Движение запаса продукции при использовании стратегии с фиксированной периодичностью и двумя фиксированными уровнями иллюстрирует рисунок 7.

Рис.7 Сущность системы с фиксированной периодичностью и двумя фиксированными уровнями.

Достоинством выбранной стратегии является исключение возможности нехватки материалов. Несмотря на то, что данная система сглаживает недостатки концепции с фиксированным интервалом времени, однако она все же имеет единственный недостаток - необходимость ведения регулярного наблюдения за уровнем запасов.

. Формирование заказа

Портфель заказов формируется заведующими магазинов совместно с отделом логистики исходя из обоснованных потребностей предприятия. Сначала определяют допустимые условия поставок (цены, сроки, размеры партий), а затем ведут поиск возможных поставщиков. Их выбирают по базам данных, каталогам, прайс-листам, нередко путем проведения расчетов предположительных транспортных и складских затрат. После этого осуществляются размещение заказов и заключение контрактов на поставку товаров по установленным ценам, в заданные сроки, в определенных объемах.

На данный момент организация сотрудничает с более чем 80 поставщиками, которые обеспечивают формирование и поддержание текущего ассортимента.

Большинство поставщиков организации - местные производители, а также оптовые организации. Поставщики организации отбираются по следующим критериям:

–       качество товара;

–       закупочная цена;

–       отсрочка платежа и коммерческие условия.

В основе системы управления поставками и запасами лежит принцип снижения затрат организации на логистические операции. Поэтому доставка большинства товаров осуществляется поставщиками.

Стратегия организации - использование нескольких поставщиков в каждой товарной группе, что позволяет быть независимым от поставщиков и активно развивать сотрудничество с каждым из них.

. Получение заказа

Получаемая от поставщиков продукция проходит процедуру входного контроля. Если она соответствует спецификации поставки и удовлетворяют сертификатам качества, то ее передают на склад.

Как только продукция приходит, кладовщик проверяет документы, счета-фактуры, сопроводительные документы, обеспечивает приемку и разгрузку поступившего товар, производит подсчет, сверяет фактические цифры с теми, что указаны в накладных. Если требуется он составляет акт недостачи или излишков либо порчи при несоответствии данных. Еженедельно составляются отчеты о движении товара.

Для контроля и учёта товарных потоков, поступающих на склад, используют самые разнообразные формы документов. В них фиксируются все действия по приёму товаров, начиная с их разгрузки и кончая размещением на складе.

Наличие таких документов обеспечивает детальное документирование всей деятельности по приёму товаров. Документы этой группы имеют учётное значение и входят, как составная часть, в общие учётные документы торгового предприятия. Главное назначение этих документов состоит в том, чтобы обеспечить тщательный учёт всех товаров, поступающих на склад.

Правильное безошибочное оформление документов имеет особо важное значение для приёмки товаров. Ошибки в составлении и оформлении документов при приёмке товаров отрицательно сказываются на всех дальнейших операциях технологического процесса складской обработки товаров.

Ниже приводятся используемые на предприятии документы:

транспортная накладная является подтверждением заключения договора перевозки груза. Транспортная накладная, если иное не предусмотрено договором перевозки груза, составляется на одну или несколько партий груза, перевозимую на одном транспортном средстве, в 2 экземплярах (оригиналах) соответственно для грузоотправителя и грузополучателя.

Форма транспортной накладной установлена Правилами перевозок грузов автомобильным транспортом <#"707261.files/image040.gif"> <http://www.basegroup.ru/solutions/tasks/quality_contro>

–       Бюджетирование <http://www.basegroup.ru/solutions/tasks/budgeting/>

Бюджетирование совмещает как процесс планирования и согласования бюджетов, так и различные механизмы контроля, обнаружения отклонений, анализа их причин. Deductor реализует функционал, необходимый для построения полноценной системы бюджетирования, выходящей за рамки консолидации и отчетности, позволяющей производить полноценное сценарное моделирование.

Для возможности оценки и оптимизации работы склада в Deductor ISO предусмотрен расчет разнообразных показателей (Таблица 10):

Таблица 10 Показатели оценки и оптимизации работы склада в Deductor ISO

Блок

Показатели

Отчеты

Оценка основных экономических показателей товара

Рентабельность, товарооборачиваемость, ликвидность и др.

АВС-XYZ-анализ; Рентабельность товаров; Динамика рентабельности товара и др.

Показатели движения материальных потоков

Средний запас на складе, товарооборачиваемость, время обращения товаров и др.

Средний товарный запас на складе по товарам; скорость товарооборота и др.

Оценка эффективности работы склада

Интенсивность работы склада, эффективность использования складских площадей и др.

Интенсивность работы склада; Эффективность использования складских площадей и др.


Данные отчеты позволяют быстро и четко выделить те объекты, на которые нужно обратить внимание.

При внедрении информационной системы управления запасами трансформации и реинжиниринга организационной структуры управления организацией не потребуется. Сбор первичных данных, копирование информации из баз данных в таблицы информационной системы, расчет показателей, получение и анализ результативной (выходной) информации будет осуществляться ответственными лицами учреждения на основе разработанного регламента и должностных инструкций.

.3 Расчет эффективности мероприятий по совершенствованию системы управления запасами ОЦ "Галион"

Произведем расчет экономической эффективности предложенного мероприятия по внедрению автоматизированной системы управления запасами на предприятии.

По данным разработчиков программы повышение эффективности управления торговыми запасами после внедрения Deductor ISO в среднем достигает 25%.ISO позволяет минимизировать издержки, избежать ошибок при планировании, потерь средств и времени на исправление просчетов:

-   понижение трудоемкости работы за счет автоматизации до 90% действий аналитика по прогнозированию и планированию;

-   повышение вероятности наличия необходимых товаров;

-   снижение транспортных и складских расходов;

-   формирование прозрачной системы принятия решений по количеству и ассортименту закупаемого товара, исключение принятия необоснованных решений по закупке;

-   оптимальное распределение складских запасов;

-   освобождение денежных ресурсов, вложенных в товар, не пользующийся спросом.

Стоимость внедрения системы управления запасами Deductor ISO представлена в таблице 11.

Таблица 11 Стоимость внедрения Deductor ISO

Наименование

Описание

Стоимость

Deductor Enterprise

Аналитическая платформа, годовая подписка на техническое сопровождение

618 950 руб.

Ввод в эксплуатацию

Адаптация моделей на данных заказчика, консультации аналитика при работе с решением

320 000 руб.

Решение по прогнозированию и планированию

Готовое решение для автоматизации процессов ассортиментного планирования, прогнозирования товарного запаса, формирования рекомендаций по текущему заказу товара

625 000 руб.

Обучение

Очный тренинг по работе с решением для сотрудников

90 000 руб.

Итого

1 653 950 руб.


Сроки внедрения Deductor ISO в среднем занимают 3-4 месяца.

Таблица 12 Сроки внедрения Deductor ISO

Этап

Срок

Результат

Подготовка данных

3 недели

- хранилище данных - подготовленные данные для прогноза - отчеты с выявленными ошибками - система аналитической отчетности

Прогнозирование

2 месяца

- адаптированные с учетом особенностей организации прогностические модели - показатели качества прогнозов - потоварный прогноз спроса

Планирование

3 недели

- рекомендации по поставке - рейтинг поставщиков - оптимальные страховые запасы - потоварный план закупок с разбивкой по поставщикам



Таблица 13 Стоимость внедрения Deductor ISO

Наименование

Описание

Стоимость




Deductor Enterprise

Аналитическая платформа, годовая подписка на техническое сопровождение

618 950 руб.

Ввод в эксплуатацию

Адаптация моделей на данных заказчика, консультации аналитика при работе с решением

320 000 руб.

Решение по прогнозированию и планированию

Готовое решение для автоматизации процессов ассортиментного планирования, прогнозирования товарного запаса, формирования рекомендаций по текущему заказу товара

625 000 руб.

Обучение

Очный тренинг по работе с решением для сотрудников

90 000 руб.

Итого


1 653 950


По данным независимых информационных агентств, при правильном, тщательно спланированном внедрении, компании могут добиться действительно значимых результатов, как то:

-  Экономия оборотных средств - 2%;

-   Уменьшение цикла реализации - 25%;

-   Снижение коммерческих затрат - 5%;

-   Снижение страхового уровня складских запасов - 20%;

-   Увеличение оборачиваемости средств в расчетах - 25%;

-   Увеличение оборачиваемости товарных запасов - 30% .

В результате ее использования произойдет увеличение прибыли на 20%.

Срок окупаемости - это продолжительность функционирования производства до момента погашения всей суммы инвестиций, включая оплату процентов за кредит, из собственной прибыли.

Чем меньше срок окупаемости, тем лучше. Как правило, срок окупаемости проекта не должен превышать срок реализации проекта либо срок, на который предприятие привлекает финансовые ресурсы.

А - сумма инвестиций (определена ранее)

В - сумма процентных платежей за кредит (определена ранее)

С - Доходная часть проекта и сумма амортизационных отчислений

При полном погашении инвестиций соблюдается равенство:

(С) = А+ В, где (А+В) /С

- срок окупаемости в годах.

Таблица 14 Показатели для расчетов

Наименование

Рекомендуемые показатели, %

Прогнозируемые , %

Расчет

сокращение запасов

50

16

4759000*16% = 761440

сокращение издержек по заказу

20



рост доходов благодаря сокращению дефицитов

20



рост оборачиваемости

2



рост рентабельности

50



Амортизация программного продукта

3 года


1653950/3г/4 квартала = 137829

% по кредиту

20%

15% Программа "Добросовестный клиент"

1653950*15%*2= 496185/2 г./4 квартала = 62023


Таблица 15 Расчет окупаемости

Наименование

Инвестиции, тыс.руб.

2013г, в т.ч. по кварталам, тыс.руб.

Доходы


10780

10780

10780

10780

Амортизация Deductor ISO


138

138

138

138

Сокращение запасов


952

952

952

Расходы


9842

9842

9842

9842

% за кредит


62

62

62

62

Прибыль


1966

1966

1966

1966

Налоги


118

118

118

118

Чистая прибыль


1848

1848

1848

1848

Итого

-1654





ЧДД


194

2042

3890



Рассчитаем срок окупаемости автоматизации системы управления запасами.

Срок окупаемости - период времени, необходимый для того, чтобы доходы, генерируемые инвестициями, покрыли затраты на инвестиции.

Реальные изменения после внедрения ИТ-технологий происходят не сразу, некоторые из них носят субъективный характер и плохо поддаются количественной оценке в денежном выражении. Поэтому экономическая эффективность проекта всегда носит условный характер. К этому можно добавить и чисто российскую специфику. Если западные компании меняют свои системы после того, как они устаревают, или происходит модернизация бизнес-процессов (что происходит в среднем раз в пять лет), то в России иначе. Например, экономии рабочей силы не придается такого значения, как в западных компаниях. Затраты рабочего времени, материальное стимулирование - все это отходит на второй план.

. Выгодность или невыгодность внедрения информационной системы означает соответствие или несоответствие результатов работы системы целям и задачам компании. Основными выгодами от внедрения являются: снижение операционных и управленческих затрат, экономия оборотных средств, уменьшение цикла реализации продукции, снижение коммерческих затрат, уменьшение дебиторской задолженности, увеличения оборачиваемости средств.

Выводы по третьей главе

.        Все затраты на новое программное средство полностью окупятся на первый год использования программы. Кроме того, внедрение программы позволит существенно увеличить скорость и эффективность обработки заказов: сократится время их комплектации при одновременном увеличении объемов отгрузок.

.        За счет автоматизации достигаются следующие результаты:

-экономия оборотных средств на 2%;

уменьшение цикла реализации на 25%;

снижение коммерческих затрат на 5%;

снижение страхового уровня складских запасов на 20%;

увеличение оборачиваемости средств в расчетах на 25%;

увеличение оборачиваемости товарных запасов на 30%

Заключение

По данным Федеральной службы государственной статистики РФ, оборот оптово-розничной торговли в 2012 году составил 19,1 трлн. руб., или 107% к 2011 году. Число организаций в оптово-розничной торговле по сравнению с 2011 годом увеличилось на 3,8% и составило 623,4 тыс.

Продолжается рост рынка оптово-розничной торговли и в Бурятии . По официальным данным, розничный товарооборот в целом по РФ за период с 2008 по 2011 год возрос на 30,7%. Одновременно наблюдался рост численности организаций торговли - за три года до спада числа малых предприятий в 2012г. из-за изменения в отчислениях ПФР на территории Республики Бурятия появилось 128 новых организаций, занимающихся оптово-розничной торговлей. В их числе не только супермаркеты, но и большое число средних и узкоспециализированных магазинов. Это приводило к обострению конкуренции между организациями оптово-розничной торговли, сокращению нормы прибыли от торговых операций. В настоящее время оптово-розничная торговля вступила в зону инфляционных и структурных рисков, связанных с экономическим кризисом.

Состояние торговли в 2012 году характеризовалось следующими основными итогами:

–       в структуре валового внутреннего продукта торговля занимает лидирующие позиции: по итогам 2012г. доля оптовой и оптово-розничной торговли (включая ремонт автотранспортных средств, мотоциклов, бытовых изделий и предметов личного пользования) составила в основных ценах (включая субсидии на продукты, без налогов на них) более 18%, торговля обеспечивает около 10% всего объема налоговых поступлений в бюджетную систему Российской Федерации;

–       опережающими темпами развивается сетевая торговля и современные форматы торговли. Так, в 2012г. по сравнению с 2011г. оборот оптово-розничной торговли торговых сетей составил 111,3% против 105,4% по общему объему оборота оптово-розничной торговли;

–       практически в течение всего года сохранялся устойчивый уровень товарных запасов в организациях оптово-розничной торговли (30-32 дня торговли), за исключением ноября (33 дня) и декабря (29 дней).

Оптово-розничной торговли присущи особенности, отличающие ее от других видов бизнеса. Во-первых, средний размер покупки у розничных торговцев намного меньше, чем у фирм-производителей. Во-вторых, конечные потребители совершают много незапланированных (импульсивных) покупок; а те, кто покупают для перепродажи, использования в производстве продуктов или для ведения собственного бизнеса, в закупках проявляют большую систематичность и, как правило, планируют свои действия заранее. В-третьих, большинство обычных покупателей необходимо каким-то образом завлечь в магазин. Каждый фактор влечет за собой особые требования, предъявляемые к организации оптово-розничной торговли.

Средний объем покупок, совершаемых за одно посещение универмага, специализированного магазина или супермаркета, как правило, не превышает 2000 руб. Столь незначительные размеры покупок заставляют розничных торговцев жестко контролировать затраты, связанные с каждой трансакцией (например, на проверку платежеспособности, содержание торгового персонала и упаковку купленных товаров); стремиться максимально увеличить количество потребителей, посещающих данный магазин (для этого необходимо уделять больше внимания рекламе и мероприятиям по стимулированию сбыта), увеличивать количество импульсивных покупок, навязывая товары покупателю.

Однако очень часто средний объем продажи остается низким, а затраты - высокими, и розничный торговец далеко не всегда может как-то повлиять на эту ситуацию. Например, на протяжении последнего десятилетия рост среднего размера трансакции в универмагах оказался лишь немногим выше темпов инфляции.

Размеры товарных запасов непосредственно связаны со скоростью обращения товаров. При неизменном объеме товарооборота ускорения оборачиваемости товаров приводит к снижению товарных запасов, и, наоборот, замедления оборачиваемости требует большей массы товарных запасов.

Оборачиваемость товаров можно ускорить только за счет усовершенствования всей торгово-коммерческой и экономической работы предприятия. Это требует глубокого понимания влияния разнообразных факторов на формирование товарных запасов.

Одни из этих факторов ускоряют скорость обращения товаров и благодаря этому объективно уменьшают необходимую величину запасов, другие, наоборот, замедляют скорость товарного обращения и благодаря этому увеличивают размер запасов. Зная это, можно обнаружить резервы ускорения оборачиваемости запасов предприятия, снизить затраты на образование и хранение товарных запасов.

К основным факторам, которые влияют на оборачиваемость и величину товарных запасов, относятся следующие.

–       соотношения между спросом и предложением товаров. В условиях, когда спрос населения превышает предложение товаров, резко ускоряется их оборачиваемость, товарооборот осуществляется с меньшими товарными запасами. По мере увеличения предложения товаров, насыщения рынка, наблюдается некоторое замедление скорости обращения товаров. Изучения спроса населения - одно из условий, которые оказывают содействие нормализации товарных запасов;

–       сложность ассортимента товаров. Время обращения товаров сложного ассортимента, как правил, намного превышает время обращения товаров простого ассортимента;

–       организация и частота завоза товаров. Чем чаще завозятся товары в магазин, тем с меньшими товарными запасами можно выполнить план товарооборота. В свою очередь частота завоза зависит от местонахождения торговых предприятий, условий транспортирования, размещения производственных предприятий. Чем ближе размещенные промышленные предприятия или оптовые базы к районам потребления, тем чаще вырабатывается завоз товаров, тем менее времени расходуется на их доставку. Высокая частота завоза характерна для товаров, которые быстро портятся;

–       потребительские свойства товаров. Они или уменьшают, или увеличивают время оборота;

–       ритмичность поступления товаров в течение квартала и месяца, порядок завоза товаров.

Таким образом, товарные запасы являются основополагающими элементами управления торговой организации, от эффективности управления товарными запасами напрямую зависят результаты торговой деятельности, показатели товарооборота и рентабельности.

На основании проведенного анализа деятельности ОЦ "Галион" можно сделать следующие выводы. На первый взгляд складывается впечатление, что ОЦ "Галион" за 2010-2012 годы имеет только положительные результаты:

валовая прибыль имеет ярко выраженную тенденцию к росту в 2010 году 2889 тыс.руб., в 2011 году - 3390 тыс.руб., в 2012 году- 3748 тыс.руб.;

розничный товарооборот увеличился на 5168 тыс. руб., что составляет 12,9% к фактическому товарообороту 2010 года.

колебание товарооборота составляет 4,25%, при этом темп отклонения от товарооборота равномерный 96,06% почти 100%.

возможности увеличения товарооборота были повышены за счет снижения остатков на конец года (- 1633,8 тыс.руб.).

Но при детальном анализе выявлены следующие негативные тенденции ОЦ "Галион":

темп роста валовой прибыли снижается в 2011 году 17,34%, в 2012 году уже только 10,56%.;

выручка от реализации товаров в 2011 году по сравнению с 2010 годом увеличилась на 2502 тыс. руб. или на 6,17%., в 2012 году рост выручки составил по сравнению с 2011 годом только 72 тыс.руб. или 0,17%.;

прирост товарооборота произошел за счет увеличения количества реализованных товаров на 5808 тыс. руб. (42630 - 36822), и в связи с увеличением розничных цен на товары - на 2600 тыс. руб. (45230 - 42630);

среднегодовые запасы в 2012 году по сравнению с 2011 годом увеличились на 522,4 тыс. руб., что составляет 12,3%.

фактический объем товарооборота вырос на 7,8% или на 3284 тыс.руб. и факторами, побудившими рост товарооборота, являются увеличение объема поступления товаров в текущем году (+971,6 тыс. руб.), а также увеличения товарных запасов на начало года (+678,6 тыс.руб.).

Общий недостаток системы управления запасами ОЦ "Галион" - необходимость ведения регулярного наблюдения за уровнем запасов. Показатели оборачиваемости товарных запасов имеют отрицательную тенденцию, что говорит о неоптимальной структуре запасов.

Существенным недостатком системы управления запасами ОЦ "Галион" является недостаточная автоматизация процессов осуществления заказов и контроля запасов.

Эффективная система контроля состояния товарных запасов, обеспечивается применением современных разработок в области управленческого учета, и в частности, компьютеризации учета прихода и расхода запасов. В ОЦ "Галион" начала реализовываться компьютерная программа "1С: Рейтинг"

Предлагаемы комплекс мероприятий по совершенствованию системы управления запасами ОЦ "Галион", который позволят добиться следующих результатов:

–       Экономия оборотных средств на 2%;

–       Уменьшение цикла реализации на 25%;

–       Снижение коммерческих затрат на 5%;

–       Снижение страхового уровня складских запасов на 20%;

–       Увеличение оборачиваемости средств в расчетах на 25%;

–       Увеличение оборачиваемости товарных запасов на 30% .

Список использованных источников и литературы

Опубликованные

1.   Гражданский кодекс Российской Федерации

2.      Налоговый кодекс РФ (части первая и вторая): по состоянию на 1 октября 2011 г. (вкл. Изменен., вступающие в силу с 1 января 2012 г.). - Новосибирск: Сиб. унив. изд-во, 2011. 761с.

Неопубликованные

3.   Отчет о прибылях и убытках ф.2. за 2010-2012 гг.

4.      Отчет о деятельности предприятия ф. 1-п за 2010-2012 гг.

.        Отчеты по остаткам товаров на складах (внутренние документы) за 2010-2012 гг.

Учебные пособия

6.   Бауэрсокс Д., Клосс Д. Логистика: Интегрированная цепь поставок./ Пер. с англ. М.: ЗАО "Олимп-Бизнес", 2001. - 640 с.

7.      Беляевский И.К., Данченок Л.А., Коротков А.В., Татаркова Н.В. Статистика рынка товаров и услуг: учебно-практическое пособие. - М.: Эксмо, 2006. - 145 с.

.        Берман Б., Эванс Д. Оптово-розничная торговля: стратегический подход, 8-е изд. Пер с англ. - М.: Издательский дом "Вильямс", 2003. - 1184 с.

.        Бродецкий Г.Л. Управление запасами. М.: Эксмо, 2008. 352 с.

.        Бузукова Е.А. Оборачиваемость товарных запасов // Продажи. - 2006. - №6. - С.26-29.

.        Григорьев М.Н., Долгов А.П., Уваров С.А. Управление запасами в логистике. - М.: Бизнес-пресса, 2006. - 368 с.

.        Гусев С. АВС-анализ в логистике: направления развития // Логистика. - 2012. - №3. - С.18-19.

.        Дашков А.П., Памбухчиянц В.К. Коммерция и технология торговли. - М.: Дашков и Ко, 2010. - 758 с.

.        Ермишин П.С. Особенности создания торговых предприятий // Современная Торговля. - 2008. - №3. - С. 65-74.

.        Иванов Г.Г. Товарные запасы: методы и способы управления // Торговый эксперт. - 2008. - №3- С. 10-14.

.        Карпенко В. Управление товарным запасом компании в условиях меняющегося рынка // Логистика. - 2012. - №5. - С.34-37.

.        Ковалев К., Уваров С., Щеглов П. Логистика в оптово-розничной торговле: как построить эффективную сеть. Сп-б.: Изд-во Питер, 2007. - 272 с.

.        Копыл В.И. Логистика управления запасами с помощью Excel. - М.: Харвест, 2007. - 64 с.

.        Кравченко Л.И. Анализ хозяйственной деятельности в торговле: учебник, 8-е изд., испр. и доп. - М.: Новое знание, 2005. 364 с.

.        Кюнт С., Зибен В. Влияние распределения спроса на реализацию политики управления запасами // Логистика сегодня. - 2012. - №55. - С. 23-27.

.        Логистика: учебное пособие под ред. Аникина Б.А, Родкиной Т.А. - М.: Проспект, 2011. - 408 с.

.        Неруш Ю.М. Логистика: учебник, 4-е изд., перераб. и доп. - М.: Проспект, 2006. - 520 с.

.        Носов А. Минимизация связанных с запасами затрат // Логистика. - 2006. - №3. - С.38-39.

.        Осипова Т. Устойчивое развитие торгового предприятия // Конъюнктура товарных рынков. - 2008. - №1. - С.109-115.

.        Парамонова Т.Н., Красюе И.Н. Конкурентоспособность предприятия оптово-розничной торговли. - М.: КноРус, 2011. - 120 с.

.        Половцева Ф.П. Коммерческая деятельность. - М.: Инфра - М, 2008. - 248 с.

.        Родионова В.Н., Туровец О.Г., Федоркова Н.В. Логистика. - М.:ИНФРА-М, 2008. - 160 с.

.        Рыжиков Ю.Н. Теория очередей и управление запасами. - С-Пб.: Питер, 2001. - 384 с.

.        Сергеев В.И. Логистика в бизнесе. - М.: КноРус, 2010. - 608 с.

.        Стерлигова А.Н. Управление запасами в цепях поставок. М.: Инфра-М, 2007. - 432 с.

.        Шрайбфедер Д. Эффективное управление запасами. - М.: Альпина Паблишер, 2008. - 304 с.

.        Половинкин С.А. Финансовые резервы предприятия // Бухгалтер консультант. - 2010.-№1.-с. 78-86.

.        Практикум по финансовому менеджменту. Учебно-деловые ситуации, задачи и решения: Под редакцией Стояновой Е.С. - М.: Перспектива, 2010. - 451 с.

.        Раицкий К.А. Экономика предприятия: Учебник для Вузов. - М.: Информационно-внедренческий центр "Маркетинг",2003. - 693с.

35.    Рудак Н.А., Русак В.А. Основы финансового анализа. - Минск: ООО "Меркавание", 2010г.

36.    Савицкая Г.В. Анализ хозяйственной деятельности предприятия: Учебник для вузов / Савицкая Г.В. - Минск: ООО "Новое издание", 2010.

.        Сергеев И.В. Экономика предприятий / Сергеев И.В. - М.: Финансы и статистика, 2004. - 430 с.

38.    Стоянов Е.А., Стоянова Е.С. Экстренная диагностика и аудит финансово- хозяйственного положения предприятия. - М.: Перспектива, 2002.

39.    Строжева В.И. Анализ хозяйственной деятельности в промышленности. - Мн.: "Высшая школа", 2004 г.

.        Сурин О. Анализ финансово-хозяйственной деятельности предприятия // Аудит и налогообложение 2010.-№1.-с. 17-20.

.        Финансовый менеджмент / Е.С. Стоянова, Т.Б. Крылова, И.Т. Балабанов; Под общей ред. Е.С. Стояновой. 4-е издание, перераб. и доп. - М.: Перспектива, 2002. - 388 с.

.        Шамхолов Ф.М. Прибыль - основной показатель результатов деятельности организаций // Финансы - 2012, №7, - С.19-21.

.        Шеремет А.Д., Сайфулин Р.С. "Финансы предприятий". - М.: "Финпресс", 2003 г.

44.    Щербина Ю.В. Анализ прибыли // Бухгалтерский учет, №7, 2004 г.

.        Экономика предприятия: Учебник / под ред. А.Е.Карлика, М.Л. Шухгальтер. - М.: ИНФРА-М, 2004. - 432с.

.        Экономика торгового предприятия: Торговое дело: Учебник / по. Ред. Л.А. Брагина. - М.: ИНФРА - М, 2011. -314с.

.        Экономика торгового предприятия: Учебное пособие / С.Н. Лебедева, Н.А. Казиначикова, А.В. Гавриков; под Ред. С.Н.Лебедевой. - Минск: Новое знание, 2003. - 240с.

Интернет-ресурсы

48. www.basegroup.ru Сайт компании "BaseGroup Labs"

49.    www.gks.ru - Официальный сайт Федеральной службы государственной статистики РФ, РБ

.        www.logist-expert.ru Сайт компании "Логист Эксперт"

51.    www.simplesoft.ru Сайт фирмы "Simplesoft"

52.    www.vsegost.com - Библиотека ГОСТов

Приложение

Показатели товарных рынков Республики Бурятия

Наименование рынка

Количество ХС ()

Степень концентрации (Н )

Степень открытости рынка

Концентрация

Тип рынка

Мясо птицы

>11

1816

97,0

Умеренно -

Открытый

Колбасные изделия

>23

2707

45,6

Высоко-

Открытый

Консервы мясные

>11

735

5,8

Cлабо-

Закрытый

Рыба, включая сельдь

>48

612

36,4

Слабо-

Открытый

Консервы рыбные

>13

2733

36,4

Высоко-

Открытый

Масло животное

>22

1510

29,0

Умеренно

Открытый

Цельномолочная продукция

>60

1001

36,1

Умеренно-

Открытый

Сыр

>20

1351

43,9

Умеренно -

Открытый

Молоко сухое

>9

4997

97,9

Высоко -

Открытый

Мороженое

>5

3071

100,0

Высоко -

Открытый

Молочные консервы

>14

2586

100,0

Высоко-

Открытый

Масло растительное

>15

2111

97,4

Умеренно-

Открытый

Маргариновая продукция

>11

2205

81,5

Умеренно-

Открытый

Яйцо

>8

2867

50,0

Высоко-

открытый

Сахар

>16

1559

100,0

Умеренно

Открытый

Кондитерские изделия

>50

1075

39,0

Умеренно

Открытый

Чай

>10

6129

100,0

Высоко

Открытый

Мука

>52

2440

87,7

Умеренно

открытый

Крупа

> 21

1012

97,3

Умеренно

Открытый

Макаронные изд

>26

5728

7,8

Высоко

Закрытый

Соль

>11

1971

100,0

Умеренно

Открытый

Овощные консервы (вкл. Томатные)

>18

2025

75,4

Умеренно-

открытый

Фруктовые консервы

>16

3687

99,3

Высоко -

Открытый

Пищеконцентраты

>10

1224

95,5

Умеренно-

Открытый

Майонез

>9

2680

87,4

Высоко -

Открытый

Мясные полуфабрикаты

>24

1601

11,5

Умеренно-

Открытый

Безалкогольные напитки

>24

1753

18,1

Умеренно-

Открытый

Пиво

>15

2304

97,8

Умеренно-

Открытый

Минеральная вода

>17

1219

50,4

Умеренно-

Открытый


Похожие работы на - Управление запасами предприятия торговли как способ укрепления его позиций на рынке

 

Не нашли материал для своей работы?
Поможем написать уникальную работу
Без плагиата!
Без нейросетей!