Разработка финансовой политики организации

  • Вид работы:
    Контрольная работа
  • Предмет:
    Финансы, деньги, кредит
  • Язык:
    Русский
    ,
    Формат файла:
    MS Word
    30,48 Кб
  • Опубликовано:
    2014-05-09
Вы можете узнать стоимость помощи в написании студенческой работы.
Помощь в написании работы, которую точно примут!

Разработка финансовой политики организации

Министерство сельского хозяйства Российской Федерации

Федеральное государственное образовательное учреждение высшего профессионального образования

Ижевская государственная сельскохозяйственная академия

Кафедра бухгалтерского учета, финансов и аудита

Специальность «Менеджмент»



 

КОНТРОЛЬНАЯ РАБОТА

По дисциплине «Финансовый менеджмент»

На тему:

Разработка финансовой политики организации



Выполнил: А.А. Кузнецов

студент 193 группы

Проверил П.В. Антонов





Ижевск 2014

СОДЕРЖАНИЕ

Введение

. Сущность и направления разработки финансовой политики предприятия

.1 Финансовая политика

.2 Стратегия финансовой политики организации

.3 Основные этапы финансовой политики предприятия

.4 Разработка финансовой политики организации

. Практическая часть контрольной работы

Задача №1

Задача №2

Заключение

ВВЕДЕНИЕ

Данная тема посвящена сущности и направлению разработки финансовой политики предприятия. Для начала ознакомимся с наиболее динамичной часть финансовой политики - финансовым механизмом, управлением финансами.

Государство в процессе своего функционирования осуществляет политическую деятельность в различных сферах общественной жизни. Объектом этой деятельности выступают экономика в целом, а также ее отдельные составные элементы: цена, денежное обращение, финансы, кредит, валютные отношения и т.п.

Финансовая политика - использует существующие финансовые отношение, разработанные механизмы и методы оптимизации доходов, расходов, денежных потоков и т.п. в финансовом менеджменте для формирования, распределения и использования финансовых ресурсов, которые в конечном итоге позволят предприятию развиваться. Разработка и внедрение финансовой политики на предприятии позволят более четко определить основные направления развития.

Целью данной курсовой работы является изучение сущности и стратегии финансовой политики предприятия.

Для достижения поставленной цели необходимо рассмотреть:

- стратегию финансовой политики предприятия;

основные этапы финансовой политики предприятия;

содержание финансовой политики;

разработку финансовой политики организации.

1. Сущность и направления разработки финансовой политики предприятия

.1 Финансовая политика

Содержание финансовой политики охватывает широкий комплекс мероприятий:

·  разработку общей концепции финансовой политики, определение ее основных направлений, целей, главных задач;

·        управление финансовой деятельностью государства и других субъектов экономики.

Основу финансовой политики составляют:

·  стратегические направления, которые определяют долгосрочную и среднесрочную перспективу использования финансов и предусматривают решение главных задач, вытекающих из особенностей функционирования экономики и социальной сферы страны;

·        осуществление государством выбора текущих тактических целей и задач использования финансовых отношений. Они связаны с основными проблемами, стоящими перед государством, в области мобилизации и эффективного использования финансовых ресурсов, регулирования экономических и социальных процессов и стимулирования передовых направлений развития производительных сил, отдельных территорий и отраслей экономики.

Финансовый механизм - наиболее динамичная часть финансовой политики. Его изменения происходят в связи с решением различных тактических задач, и поэтому финансовый механизм чутко реагирует на все особенности текущей обстановки в экономике и социальной сфере страны.

Управление финансами предполагает деятельность государства, связанную с практическим использованием финансового механизма. Эта деятельность осуществляется специальными организационными структурами.

Управление включает в себя ряд функциональных элементов: прогнозирование, планирование, оперативное управление, регулирование и контроль. Эти элементы обеспечивают проведение мероприятий финансовой политики в текущей деятельности государственных органов, юридических лиц и граждан.

Финансовая политика является составной частью экономической политики предприятия. В ней конкретизируются главные направления стратегии развития хозяйства; определяется общий объем финансовых ресурсов, их источники и направления использования; разрабатывается механизм регулирования и стимулирования финансово-хозяйственной деятельности.

При выработке финансовой политики следует исходить из отраслевых и региональных особенностей организации. Она должна учитывать:

·  специфику внутренней и внешней среды предприятия;

·        реальные нефинансовые возможности развитых рынков.

Учет текущих особенностей должен дополняться изучением опыта использования экономического и финансового механизма, новых тенденций развития, а также мирового опыта.

Финансовая политика предприятия - совокупность мероприятий по целенаправленному формированию, организации и использованию финансов для достижения целей предприятия.

Финансовая политика - наиболее важный составной элемент общей политики развития предприятия, которая включает также инвестиционную политику, инновационную, производственную, кадровую, маркетинговую и т.п. Если рассматривать термин «политика» более широко, то «это действия, направленные на достижение цели». Так, достижение любой задачи, стоящей перед предприятием, в той или иной мере обязательно связано с финансами: затратами, доходами, денежными потоками, - а реализация любого решения, в первую очередь, требует финансового обеспечения. Таким образом, финансовая политика не ограничена решением локальных, обособленных вопросов, таких, как анализ рынка, разработка процедуры прохождения и согласования договоров, организация контроля за процессами производства, а имеет всеобъемлющий характер.

В настоящее время на многих предприятиях финансовые ресурсы расходуют на согласование противоречивых задач и решений на разных уровнях управления, поэтому трудно перейти к следующему этапу - выбору оптимальных механизмов, позволяющих в кратчайшие сроки и с наименьшими затратами добиться поставленных целей.

Основа финансовой политики - четкое определение единой концепции развития предприятия как в долгосрочной, так и краткосрочной перспективе, выбор из всего многообразия механизмов достижения поставленных целей наиболее оптимальных, а также разработка эффективных механизмов контроля.

Только при разработанной финансовой политике можно с наименьшими затратами и в кратчайшие сроки добиться поставленных целей. Именно поэтому как алгоритм действий «финансовая политика» все больше применима в практической сфере управления предприятиями. Руководители хозяйствующих субъектов уже долгое время пытаются создать эффективную налоговую политику, обосновать ценовую политику, регламентировать кредитную политику, валютную и т.д., для того чтобы избежать метода «черного ящика» применительно к финансовым потокам. Но это лишь частные случаи общей финансовой политики предприятия, которая должна быть разработана в комплексе единых стратегических направлений.

.2 Стратегия финансовой политики организации

Содержание финансовой политики предприятия многогранно и включает следующие аспекты:

·  разработку концепции управления финансами предприятия, обеспечивающей сочетание высокой доходности и низкого риска;

·        определение основных направлений использования финансовых ресурсов на текущий период (месяц, квартал) и на перспективу (год и более длительный период) с учетом планов предприятий и коммерческой деятельности;

·        практическое достижение поставленной цели (финансовый анализ и контроль, выбор способов финансирования, оценка экономической эффективности инвестиционных проектов.

В составе финансовой политики выделяют финансовую стратегию и тактику.

Финансовая стратегия - это финансовый курс, рассчитанный на долгосрочную перспективу и предполагающий решение крупномасштабных задач развития предприятия. В процессе ее разработки прогнозируют основные тенденции развития финансов, формируют концепцию их использования, намечают принципы финансовых отношений с государством (налоговую политику) и партнерами. Стратегия предполагает выбор альтернативных путей развития предприятия. При этом используются прогнозы, опыт, интуиция специалистов для мобилизации финансовых ресурсов на достижение поставленной цели. С позиции стратегии формирования конкретной цели и задачи производственной и финансовой деятельности принимают оперативные управленческие решения.

Стратегическими задачами финансовой политики являются следующие: максимизация прибыли; оптимизация капитала и поддержка финансовой устойчивости предприятия; достижение информационной прозрачности для собственников, инвесторов и кредиторов; обеспечение инвестиционной привлекательности; использование рыночных механизмов привлечения денежных средств (эмиссия ценных бумаг); эффективное управление финансами на основе диагностики финансового состояния и выбора стратегических целей деятельности предприятия, адекватных рыночным условиям и плану путей их достижения.

При разработке эффективной системы управления постоянно возникают проблемы единства таких противоречивых целей, как развитие производства и поддержание достаточно высокой ликвидности предприятия.

Разработка финансовой стратегии на предприятии предлагает принятие решений по учетной, налоговой, кредитной, амортизационной, ценовой и дивидендной политике; управление оборотными средствами и кредиторской задолженностью, операционными расходами, сбытом продукции и прибылью.

Финансовая стратегия реализуется благодаря перспективному финансовому планированию, ориентированному на достижение заданного уровня основных параметров деятельности предприятия: объема продаж и себестоимости, прибыли и рентабельности, финансовой устойчивости и платежности, ценовой конкурентоспособности.

Финансовая тактика определяет способы и пути решения локальных задач конкретного этапа развития предприятия путем своевременного изменения финансовых связей, перераспределения денежных ресурсов между отдельными видами расходов. Если финансовая стратегия относительно стабильна, финансовая тактика должна отличаться гибкостью, обеспечивая быстрое реагирование на изменения рыночной конъюнктуры (спроса и предложения на ресурсы, товары и услуги). Стратегический и тактический аспекты финансовой политики тесно взаимосвязаны: правильный выбор стратегии создает благоприятные возможности для решения тактических задач.

.3 Основные этапы финансовой политики предприятия

Финансовую политику предприятия можно охарактеризовать как определенный алгоритм действий для достижения главной цели предприятия, который предполагает реализацию последовательных этапов и включает различные инструменты и механизмы.

Содержание финансовой политики многогранно и имеет следующие этапы:

1. Определение стратегических направлений развития.

·  стратегическое;

·        оперативное;

·        бюджетное.

3.Разработка оптимальной концепции управления:

·  капиталом;

·        активами;

·        денежными потоками;

·        ценами;

·        издержками.

4.Контроль:

·  проверка выполнения планов;

·        сравнительный анализ;

·  ревизии;

·        аудит.

Этапы финансовой политики делят на долгосрочные и краткосрочные. Наиболее существенное различие состоит во временных характеристиках денежных потоков. Долгосрочная финансовая политика призвана принимать решения, влияющие на деятельность предприятия в течение длительного промежутка времени, как правило, больше года. Например, стратегическое планирование предполагает решение по закупке оборудования, которое будет относиться на финансовые результаты в течение нескольких лет. Краткосрочная политика нацелена на принятие текущих решений на срок до одного года или на период продолжительности операционного цикла, если он более 12 месяцев. Так, краткосрочные финансовые решения принимают, когда компания заказывает производственные запасы, платит и планирует продажу готовой продукции, синхронизирует денежные потоки и т.д.

Финансовая политика учитывает многофакторность, многокомпонентность и многовариантность управления финансами для достижения намеченных целей и выполнения поставленных задач. Разработку и реализацию финансовой политики нужно постоянно контролировать. Очень сложно отнести этап контроля к тому или иному виду финансовой политики. Контроль должен соединить эти два вида в общую финансовую стратегию фирмы.

Финансовая политика - основа процесса управления финансами предприятия. Ее главные направления определяют учредители, собственники, акционеры предприятия. Однако реализация финансовой политики возможна только через организационную подсистему, которая является совокупностью отдельных людей и служб, подготавливающих и непосредственно осуществляющих финансовые решения.

Реализуют финансовую политику на предприятиях по-разному. Это зависит от организационно-правовой формы хозяйствующего субъекта, сферы деятельности, а также масштабов предприятия.

Субъектами управления на малых предприятиях могут выступать руководитель и бухгалтер, так как малый бизнес не предполагает глубокого разделения управленческих функций. Иногда для корректировки направлений развития привлекают внешних экспертов и консультантов.

На средних предприятиях текущую финансовую деятельность могут осуществлять внутри других подразделений (бухгалтерия, планово-экономический отдел и т.д.), серьезные же финансовые решения (инвестирование, финансирование, долгосрочное и среднесрочное распределение прибыли) принимает генеральная дирекция фирмы.

В крупных компаниях есть возможность расширить организационную структуру, кадровый состав и достаточно четко дифференцировать полномочия и ответственность между:

·  информационными органами: юридическая, налоговая, бухгалтерская и другие службы;

·        финансовыми органами: финансовый отдел, казначейский отдел, отдел управления ценными бумагами, отдел бюджетирования и т.д.;

·  контрольными органами: внутренняя ревизия, аудит.

Ответственным за постановку проблем финансового характера, анализ целесообразности выбора того или иного способа их решения выступает, как правило, финансовый директор. Однако если принимаемое решение имеет существенное значение для предприятия, он является лишь советником высшего управленческого персонала.

Субъекты финансовой политики учредители организации и руководство (работодатели), финансовые службы, которые разрабатывают и реализуют стратегию и тактику финансового менеджмента в целях повышения ликвидности и платежеспособности предприятия посредством получения и эффективного использования прибыли.

Финансовая политика заключается в постановке целей и задач финансового управления, а также в определении и использовании методов и средств их реализации, в постоянном контроле, анализе и оценке соответствия происходящих процессов намеченным целям.

Финансовая политика проявляется в системе форм и методов мобилизации и оптимального распределения финансовых ресурсов, определяет выбор и разработку финансовых механизмов, способы и критерии оценки эффективности и целесообразности формирования, направления и использования финансовых ресурсов в управлении.

На крупных предприятиях структура разработки и реализации финансовой политики может быть централизованной или децентрализованной. Однако даже в условиях децентрализованной структуры финансовая деятельность остается жесткой в стратегических направлениях развития.

Объект финансовой политики - хозяйственная система и ее деятельность во взаимосвязи с финансовым состоянием и финансовыми результатами, денежный оборот хозяйствующего субъекта, представляющий собой поток денежных поступлений и выплат. Каждому направлению расходования денежных фондов должны соответствовать определенные источники: на предприятии к источникам можно отнести собственный капитал и пассивы, которые инвестируются в производство и приобретают форму активов.

В действующей организации невозможно определить исходную и конечную точки денежного оборота. Объем денежных средств, которым располагает организация, изменяется во времени и зависит от характера производственного процесса, объема продаж, погашения дебиторской задолженности и др. Величина запасов сырья, незавершенного производства, готовой продукции на складе, дебиторской задолженности и подлежащий оплате коммерческий кредит также колеблются в зависимости от реализации, производственного процесса и финансовой политики организации в отношении кредиторской и дебиторской задолженности, формирования запасов.

Основные объекты управления имеют следующие направления:

1. Управление капиталом:

·  определение общей потребности в капитале;

·        оптимизация структуры капитала;

·        минимизация цены капитала;

·        обеспечение эффективного использования капитала.

2. Дивидендная политика - определение оптимальных пропорций между текущим потреблением прибыли и ее капитализацией.

3. Управление активами:

·  определение потребности в активах;

·        оптимизация состава активов с позиций их эффективного использования;

·        обеспечение ликвидности активов;

·        ускорение цикла оборота активов;

·        выбор эффективных форм и источников финансирования активов.

4. Управление текущими издержками:

·  минимизация издержек;

·        нормирование затрат;

·        оптимизация соотношения постоянных и переменных издержек.

5. Управление денежными потоками (пооперационной, инвестиционной и финансовой деятельности):

·  формирование входящих и исходящих потоков денежных средств, их синхронизация по объему и времени;

·        эффективное использование остатка временно свободных денежных средств.

Предмет финансовой политики - внутрифирменные и межхозяйственные финансовые процессы, отношения и операции, включая производственные процессы, образующие финансовые потоки и определяющие финансовое состояние и финансовые результаты, расчетные отношения, инвестиции, вопросы приобретения и выпуска ценных бумаг и т.п.

финансовый кредитный дивидендный доходность

1.4 Разработка финансовой политики организации

К основным направлениям разработки финансовой политики организации относятся:

- анализ финансово-экономического состояния организации;

разработка учетной и налоговой политики;

выработка кредитной политики организации;

управление оборотными средствами, кредиторской и дебиторской задолженностью;

управление издержками, включая выбор амортизационной политики;

выбор дивидендной политики.

1. Анализ финансово-экономического состояния организации является той базой, на которой строится разработка финансовой политики организации. Анализ опирается на показатели квартальной и годовой бухгалтерской отчетности. Предварительный анализ осуществляется перед составлением бухгалтерской и финансовой отчетности, когда еще имеется возможность изменить ряд статей баланса, а также для составления пояснительной записки к годовому отчету.

На основе данных итогового анализа осуществляется выработка почти всех направлений финансовой политики организации. От того, насколько качественно он проведен, зависит эффективность принимаемых управленческих решений. Качество самого финансового анализа зависит от применяемой методики, достоверности данных отчетности, а также от компетентности лица, принимающего управленческое решение в области финансовой политики.

Перечислим основные компоненты финансово-экономического анализа деятельности организации.

·  Анализ бухгалтерской отчетности. Это - изучение абсолютных показателей, представленных в бухгалтерской отчетности. В процессе анализа определяется состав имущества организации, его финансовые вложения, источники формирования собственного капитала, оцениваются связи с поставщиками и покупателями, определяются размер и источники заемных средств, оценивается объем выручки от реализации и размер прибыли. При этом следует сравнить фактические показатели отчетности с плановыми (сметными) и установить причины их несоответствия.

·  Горизонтальный анализ. Состоит в сравнении показателей бухгалтерской отчетности с показателями предыдущих периодов. Наиболее распространенными методами горизонтального анализа являются: простое сравнение статей отчетности и анализ их резких изменений; анализ изменений статей отчетности в сравнении с изменениями других статей. При этом особое внимание следует уделять случаям, когда изменение одного показателя по экономической природе не соответствует изменению другого показателя.

·        Вертикальный анализ. Проводится в целях выявления удельного веса отдельных статей отчетности в общем итоговом показателе и последующего сравнения результата с данными предыдущего периода.

·        Трендовый анализ. Основан на расчете относительных отклонений показателей отчетности за ряд лет от уровня базисного года.

·        Расчет финансовых коэффициентов.

Для предварительной оценки финансово-экономического состояния приведенные показатели следует разделить на первый и второй классы, имеющие между собой качественные различия.

Во второй класс показателей входят ненормируемые показатели, значения которых не могут служить для оценки эффективности функционирования организации и ее финансово-экономического состояния без сравнения со значениями этих показателей в организациях, выпускающих продукцию, аналогичную продукции организации, и имеющих производственные мощности, сравнимые с мощностями организации, или анализа тенденций изменения этих показателей. В эту группу входят показатели рентабельности, характеристики структуры имущества, источников и состояния оборотных средств.

По данной группе показателей целесообразно опираться на анализ тенденций изменения показателей и выявлять их ухудшение или улучшение. Таким образом, вторая группа может быть охарактеризована лишь следующими состояниями:

·  «улучшение» - 1;

·        «стабильность» - 2;

·        «ухудшение» - 3.

Для ряда показателей могут быть определены «коридоры» оптимальных значений в зависимости от их принадлежности к различным видам деятельности и других особенностей функционирования организаций. Так, обобщение достаточного фактического материала позволит определить наиболее эффективные соотношения оборотных и необоротных средств, которые различаются для организаций различных отраслей.

Информационной базой для проведения углубленного финансового анализа служит бухгалтерский баланс, отчет о прибылях и убытках и некоторые формы бухгалтерского учета организации. В связи с этим организации следует выделить службу, занимающуюся анализом финансово-экономического состояния, основными задачами которой будут:

·  разработка входных и выходных форм документов с показателями. Бухгалтерской службе следует заполнять эти формы с той периодичностью, которая наиболее целесообразна для поддержки работы финансовой службы;

·        периодическое (ежеквартально, ежемесячно, ежегодно) составление пояснительных записок к выходным формам с расчетными показателями с подробным анализом отклонений (от плановых, среднеотраслевых показателей, показателей предыдущего года, конкурентов и т.д.) с выдачей рекомендаций по устранению недостатков.

Примером осуществления финансовой политики на основе полученных результатов финансово-экономического анализа может служить принятие решения о реструктуризации имущественного комплекса в результате проведенного анализа рентабельности основных средств. Если их рентабельность низкая, стоимость основных фондов в структуре имущества высокая, поэтому следует принять решение о ликвидации или продаже (передаче), консервации основных средств, целесообразности проведения их переоценки с учетом их рыночной стоимости, изменения механизма начисления амортизации и т.д.

.   Разработка учетной политики как системы методов и приемов ведения бухгалтерского учета обязательна для всех организаций в соответствии с Положением по бухгалтерскому учету «Учетная политика организации» (в ред. Приказа Минфина РФ от 14.02.2012 №23н).

В связи с этим целесообразно на основании проведенного анализа финансово-экономического состояния просчитать варианты тех или иных положений учетной политики, поскольку от принятых в этой части решений напрямую зависит количество и суммы перечисляемых налогов, структура баланса, значения ряда ключевых финансово-экономических показателей.

При определении учетной политики у организации существует выбор, который касается главным образом методов списания сырья и материалов в производство, методов оценки незавершенного производства, возможности применения вариантов амортизации, вариантов формирования ремонтных и страховых фондов и т.д.

Наибольший эффект оптимизация учетной политики дает на этапе маркетинговых исследований конкретных видов продукции, освоения их производства, а также планирования новых производств и участков, технологических схем и создания новых структур.

.   В целях выработки кредитной политики организации рекомендуется провести анализ структуры пассива баланса и уровень соотношения собственных и заемных средств. На основании этих данных организация решает вопрос о достаточности собственных оборотных средств либо об их недостатке. В последнем случае принимается решение о привлечении заемных средств, просчитывается эффективность различных вариантов.

В отдельных случаях организации целесообразно брать кредиты и при достаточности собственных средств, так как рентабельность собственного капитала повышается в результате того, что эффект от вложения средств может быть значительно выше, чем процентная ставка.

Принимая решение о привлечении заемных средств, организации целесообразно составить план их возврата, рассчитать за период кредита процентную ставку и определить суммы процентов по данному кредитному договору, а также источники их выплаты с учетом порядка и условий налогообложения прибыли. Следует также учитывать порядок налогообложения курсовых разниц в том случае, если кредит взят в валюте.

Организации может быть выгодно взять вексельный кредит, при этом следует сравнить процентные ставки по векселю и кредиту.

Финансовым службам рекомендуется учитывать все возможные выгоды и затраты по привлечению финансовых ресурсов как через систему кредитования, так и через инструменты рынка ценных бумаг, а также разработать схему обеспечения их погашения с учетом всех возможных источников получения организацией средств. Финансовой службе рекомендуется:

·  рассчитать потребность в заемных средствах (при ее отсутствии - возможную выгоду от их привлечения);

·        правильно выбрать кредитную организацию (учитывая наличие лицензии, размер процентной ставки, способы ее расчета - сложным или простым процентом, сроки погашения, формы выдачи, репутацию на рынке ценных бумаг, условия пролонгации кредитов и т.д.);

·        составить план погашения заемных средств и расчет процентной суммы с учетом особенностей налогообложения прибыли.

4. Управление оборотными средствами (денежными средствами, рыночными ценными бумагами), дебиторской задолженностью, кредиторской задолженностью, начислениями и другими средствами краткосрочного финансирования (кроме производственных запасов), а также решение вопросов по этим проблемам требует значительного количества времени, и здесь наиболее ярко проявляется основная проблема управления финансами: выбор между рентабельностью и вероятностью неплатежеспособности (стоимость активов организации становится меньше его кредиторской задолженности).

Финансовой службе организации целесообразно постоянно контролировать очередность сроков финансирования активов, выбирая один из нескольких существующих на практике способов:

·  хеджирование (компенсация активов обязательствами при равном сроке погашения);

·        финансирование по краткосрочным ссудам;

·        финансирование по долгосрочным ссудам;

·        финансирование преимущественно по долгосрочным ссудам (консервативная политика);

·        финансирование преимущественно по краткосрочным ссудам (агрессивная политика).

В настоящих условиях организация может поддерживать обеспеченность взятых ссуд следующими методами:

·  увеличение доли ликвидных активов;

·        удлинение сроков, на которые выдаются ссуды организации.

Однако следует учесть, что эти методы ведут к снижению прибыльности: в первом случае - путем вложения средств в малоприбыльные активы; во втором - посредством возможности выплаты процентов по ссуде в период наличия собственных средств.

Кроме того, может быть применен метод финансирования за счет откладывания выплат по обязательствам, однако существуют пределы, установленные законодательством, до которых организация может относить сроки платежей.

В результате анализа оборачиваемости дебиторской и кредиторской задолженности с учетом их нормативных значений рекомендуется провести следующие мероприятия:

·  принятие решения о замене неденежных форм расчетов или по крайней мере об установлении их оптимального критического уровня на основе анализа эффективности вексельных расчетов или операций по переуступке прав требования долга;

·        составление программы по ликвидации задолженности по выплате заработной платы (при наличии такой задолженности);

·        рассмотрение возможности реструктуризации задолженности по платежам в бюджет.

В результате такого анализа целесообразно провести полную инвентаризацию задолженности в целях реализации возможности взаимного погашения задолженности либо ее реструктуризации или провести анализ и списание безнадежных долгов и невостребованных сумм. В ряде случаев организации следует начать претензионную работу или обращаться с исками в арбитражный суд.

.   В целях управления издержками и выбора амортизационной политики рекомендуется использовать данные финансово-экономического анализа, которые дают первоначальное представление об уровне издержек организации, а также уровне рентабельности. При разработке учетной политики организации рекомендуется выбрать такие методы калькулирования себестоимости, которые обеспечивают наиболее наглядное представление о структуре издержек производства, уровне постоянных и переменных затрат, доле коммерческих расходов.

Экономическим службам целесообразно периодически проводить анализ структуры издержек производства, производя сравнение с различного рода базовыми данными и изучая природу отклонений от них.

При разработке учетной политики службам, осуществляющим планирование деятельности организации, совместно с бухгалтерией следует правильно выбрать базу для распределения косвенных расходов между объектами калькулирования либо выбрать метод отнесения косвенных расходов на себестоимость реализованной продукции.

В целях создания предпосылок для эффективной аналитической работы и повышения качества принимаемых финансово-экономических решений необходимо четко определить и организовать раздельный учет затрат по следующим группам:

·  переменные затраты, которые возрастают либо уменьшаются пропорционально объему производства. Это расходы на закупку сырья и материалов, потребление электроэнергии, транспортные издержки, торгово-комиссионные и другие расходы;

·        постоянные затраты, изменение которых не связано непосредственно с изменением объемов производства. К таким затратам относятся амортизационные отчисления, проценты за кредит, арендная плата, затраты на содержание аппарата управления, административные расходы и др.;

·        смешанные затраты, состоящие из постоянной и переменной части. К таким затратам относятся, например, затраты на текущий ремонт оборудования, почтовые и телеграфные расходы и др.

Следует учесть, что зачастую провести четкую границу между переменными и постоянными затратами сложно. Например, в затратах на электроэнергию может быть как переменная составляющая, непосредственно зависящая от объемов производства, так и постоянная, связанная, например, с освещением помещений, работой охранных систем, компьютерных сетей и т.п. Во всех случаях руководству организации целесообразно стремиться к такой организации учета, при которой вся совокупность затрат четко разделена по названным группам.

Большую роль при формировании финансовой политики организации играет выбор амортизационной политики. Организация может применить метод ускоренной амортизации, увеличивая тем самым издержки, произвести переоценку основных средств, что повлияет на издержки производства, на сумму налога на имущество, а следовательно, на уровень внереализационных расходов. Кроме того, сумма амортизации влияет и на налогооблагаемую прибыль организации.

Проблемами, решение которых обусловливает необходимость выработки дивидендной политики, являются:

·  с одной стороны, выплата дивидендов должна обеспечить защиту интересов собственника и создать предпосылки для роста курсовой цены акций, и в этом смысле их максимизация является положительной тенденцией;

·        с другой стороны, максимизация выплаты дивидендов сокращает долю прибыли, реинвестируемой в развитие производства.

6. При формировании дивидендной политики необходимо учитывать, что классическая формула: «курс акций прямо пропорционален дивиденду и обратно пропорционален процентной ставке по альтернативным вложениям» применима далеко не во всех случаях. Инвесторы могут высоко оценить стоимость акций организации даже и без выплаты дивидендов, если они хорошо информированы о его программах развития, причинах невыплаты или сокращения выплаты дивидендов и направлениях реинвестирования прибыли.

Принятие решения о выплате дивидендов и их размерах в значительной мере определяется стадией жизненного цикла организации. Например, если руководство организации предполагает осуществить серьезную программу реконструкции и для ее реализации намечает осуществить дополнительную эмиссию акций, то такой эмиссии должен предшествовать достаточно долгий период устойчиво высоких выплат дивидендов, что приведет к существенному повышению курса акций и как следствие привлечение большего объема инвестиций для реализации намеченных целей.

2. Практическая часть

Задача 1

Вы можете вносить на счет в банке по 1000 руб. ежегодно в течение ближайших 5 лет (схема пренумерандо). Банк начисляет проценты ежегодно по ставке 10% годовых. Какая сумма будет на счете: а) через 5 лет; б) через 8 лет?

Ответ:

а)

б)


Задача 2

Экспертами предоставлены данные об ожидаемой доходности акций А и Б в зависимости от общеэкономической ситуации:

Экономическая ситуация

Вероятность

Доходность акций А, %

Доходность акций Б, %

Быстрый рост экономики

0,15

17

Умеренный рост экономики

0,45

14

11

Нулевой рост экономики

0,30

8

9

Спад

0,10

2

7


Рассчитайте показатели доходности и риска

Ответ:

Для акций А ожидаемая доходность рассчитана в таблице 1.1.

Таблица 1.1

Доходность акций А


Вероятность

Доходность, %

Ожидаемая доходность, %

Дисперсия

Сценарий

хi

pi

xi pi


Быстрый рост экономики

0,15

17

2,55

31,32

Умеренный рост экономики

0,45

14

6,3

26,68

Нулевой рост экономики

0,3

8

2,4

9,41

Спад

0,1

2

0,2

0,32

Сумма

1


11,45



Ожидаемая доходность инвестиций в акцию А составит:


Дисперсия


Дисперсия отражает риск инвестиций в акцию (А - 23,45%) наряду с использованием стандартного отклонения.

Стандартное (среднеквадратическое) отклонение фактических данных от расчетных:


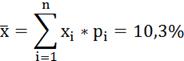
Для акций Б ожидаемая доходность рассчитана в таблице 1.2.

Таблица 1.2

Доходность акций Б


Вероятность

Доходность, %

Ожидаемая доходность, %

Дисперсия

Сценарий

хi

pi

xi pi


Быстрый рост экономики

0,15

13

1,95

Умеренный рост экономики

0,45

11

4,95

16,47

Нулевой рост экономики

0,3

9

2,7

11,91

Спад

0,1

7

0,7

3,97

Сумма

1


10,3



Ожидаемая доходность инвестиций в акцию Б составит:


Дисперсия


Дисперсия отражает риск инвестиций в акцию (Б - 15,64%) наряду с использованием стандартного отклонения.

Стандартное (среднеквадратическое) отклонение фактических данных от расчетных:



ЗАКЛЮЧЕНИЕ

Финансовая политика является составной частью экономической политики предприятия. В ней конкретизируются главные направления стратегии развития хозяйства; определяется общий объем финансовых ресурсов, их источники и направления использования; разрабатывается механизм регулирования и стимулирования финансово-хозяйственной деятельности. Финансовая политика заключается в постановке целей и задач финансового управления, а также в определении и использовании методов и средств их реализации, в постоянном контроле, анализе и оценке соответствия происходящих процессов намеченным целям.

Финансовая политика проявляется в системе форм и методов мобилизации и оптимального распределения финансовых ресурсов, определяет выбор и разработку финансовых механизмов, способы и критерии оценки эффективности и целесообразности формирования, направления и использования финансовых ресурсов в управлении.

Этапы финансовой политики делят на долгосрочные и краткосрочные. Долгосрочная финансовая политика призвана принимать решения, влияющие на деятельность предприятия в течение длительного промежутка времени, как правило, больше года. Краткосрочные финансовые решения принимают, когда компания заказывает производственные запасы, платит и планирует продажу готовой продукции, синхронизирует денежные потоки и т.д.

К основным направлениям разработки финансовой политики организации относятся:

- анализ финансово-экономического состояния организации;

разработка учетной, налоговой и кредитной политики организации;

управление оборотными средствами, кредиторской и дебиторской задолженностью;

управление издержками, включая выбор амортизационной политики;

выбор дивидендной политики.

СПИСОК ЛИТЕРАТУРЫ

1.   Гражданский кодекс Российской Федерации (часть первая) от 30.11.1994 №51-ФЗ (ред. от 06.12.2011)

2. Налоговый кодекс Российской Федерации (часть первая) от 31.07.1998 №146-ФЗ (ред. от 30.03.2012)

3. Бюджетный кодекс Российской Федерации от 31.07.1998 №145-ФЗ (ред. от 03.12.2011) (с изм. и доп., вступающими в силу с 01.01.2012)

4. Романовского М.В. Под ред. проф. учеб. Финансы предприятий (организаций): М.: Юрайт-М, 2009.

5.      Води Э., Мертон Р.К. Финансы. М.: ИД «Вильяме», 2011.

.        Дробозина Л.А., Андросова Л.Д. и др. Финансы. Денежное обращение. Кредит: Учебник для вузов / Под ред. проф. Л.А. Дробозиной. М.: Финансы; ЮНИТИ, 2010.

.        Колчина И.В., Поляк Г.Б., Павлова Л.П. и др. Финансы предприятий: Учебник / Под ред. проф. Н.В. Колчиной. М.: Финансы; ЮНИТИ, 2009.

.        Ковалев В.В. Управление финансами. - М.: ФБК-Пресс, 209.

.        Лихачева О.Н. Финансовое планирование на предприятии: Учеб. пособие. М.: ООО «ТК Велби», 2010.

10. Негашев Е.В. Анализ финансов предприятия в условиях рынка: Учеб. пособие. М.: Высшая школа, 2009.

Похожие работы на - Разработка финансовой политики организации

 

Не нашли материал для своей работы?
Поможем написать уникальную работу
Без плагиата!
Без нейросетей!