Электроснабжение промышленного предприятия
Тема:
Электроснабжение промышленного предприятия
Содержание
Введение
1. Расчетная
часть
.1 Составление схемы замещения
.2 Расчет сечения проводов
1.3 Выбор мощностей трансформаторов
повышающей и понижающей подстанции
.4 Определение параметров линии
электропередач
1.5 Расчет
схемы замещения по звеньям
.6 Разработка схемы электроснабжения
2 вариантов
1.7 Расчет токов короткого замыкания
1.8 Выбор коммутационных аппаратов
. Технико-экономический
расчет
Заключение
Список используемой литературы
электроснабжение трансформатор
подстанция замыкание
Введение
От всех видов энергии
электрическая выгодно отличается тем, что ее мощные потоки можно практически
мгновенно передавать на тысячекилометровые расстояния. "Руслами"
энергетических рек служат линии электропередачи (ЛЭП) - основные звенья
энергосистем.
В настоящее время сооружаются
ЛЭП двух видов: воздушные, которые несут ток по проводам над поверхностью
земли, и подземные, которые передают ток по силовым кабелям, проложенным, как
правило, в траншеях под землей.
ЛЭП состоят из опор - бетонных
или металлических, к плечам которых прикрепляются гирлянды фарфоровых или
стеклянных изоляторов. Между опорами протягиваются медные, алюминиевые или
стале - алюминиевые провода, которые подвешиваются к изоляторам. Опоры ЛЭП
шагают через пустыни и тайгу, взбираются высоко в горы, пересекают реки и
горные ущелья.
Изолятором между проводами
служит воздух. Поэтому, чем выше напряжение, тем большее расстояние должно быть
между проводами. ЛЭП проходят и через поля, рядом с населенными пунктами.
Поэтому провода должны быть подвешены на безопасной для людей высоте. Свойства
воздуха как изолятора зависят от климата и метеорологических условий. Строители
ЛЭП должны учитывать силу господствующих ветров, перепады летних и зимних
температур и многое другое. Вот почему строительство каждой новой ЛЭП требует
серьезной работы изыскателей наилучшей трассы, научных исследований,
моделирования, сложнейших инженерных расчетов и еще высокого мастерства
строителей.
Одновременное создание мощных
электрических станций и электрических сетей было предусмотрено еще в плане
ГОЭЛРО. При передаче электроэнергии по проводам на расстояние неизбежны потери
энергии, ведь, проходя по проводам, электрический ток их нагревает. Поэтому
передавать ток низкого напряжения. 127, 220 В, каким он поступает в ваши
квартиры, на расстояние более 2 км невыгодно. Чтобы снизить потери в проводах,
напряжение электрического тока, перед тем как подавать на линию, повышают на
электрических повышающих подстанциях (см. Электрические подстанции). С
увеличением мощности электрических станций, расширением территорий, охваченных
электрификацией, напряжение переменного тока на передающих линиях
последовательно увеличивалось до 220, 380, 500 и 750 кВ. Для объединения
энергосистем Сибири, Северного Казахстана и Урала построена ЛЭП напряжением
1150 кВ. Подобных линий нет ни в одной стране мира: высота опор до 45 м (высота
15-этажного дома), расстояние между проводами каждой из трех фаз - 23 м.
Однако провода, находящиеся под
высоким напряжением, опасны для жизни, и вести их в дома, на фабрики и заводы
нельзя. Вот почему, прежде чем передать электроэнергию потребителю, ток
высокого напряжения понижают на понижающих подстанциях.
Схема передачи переменного тока
такова. Ток низкого напряжения, вырабатываемый генератором, подается на
трансформатор повышающей подстанции, преобразуется в нем в ток высокого
напряжения, далее по линии электропередачи поступает к месту потребления
энергии, здесь преобразуется трансформатором в ток низкого напряжения, после
чего поступает к потребителям.
Наша страна - родоначальник и
другого типа линий электропередачи - линий постоянного тока. Передавать по ЛЭП
постоянный ток выгоднее, чем переменный, так как если длина линии превышает
1,5-2 тыс. км, то потери электроэнергии при передаче постоянного тока будут
меньше. Перед тем как ввести ток в дома потребителей, его снова преобразуют в
переменный.
Чтобы ввести ток высокого
напряжения в города и распределить его по электрическим понижающим подстанциям,
под землей прокладывают кабельные линии электропередачи. Специалисты считают,
что в будущем воздушные линии электропередачи вообще уступят место кабельным. У
воздушных линий есть недостаток: вокруг высоковольтных проводов создается
электромагнитное поле, превосходящее магнитное поле Земли. А это неблагоприятно
сказывается на организме человека. Еще большую опасность это может представлять
в будущем, когда напряжение и сила тока, передаваемые по ЛЭП, еще более
возрастут. Уже сейчас, чтобы избежать нежелательных последствий, вокруг ЛЭП
приходится создавать "полосы отчуждения", где запрещено что-либо
строить.
Испытана кабельная линия,
моделирующая будущие сверхпроводящие линии электропередачи. Внутри
металлической трубы, покрытой несколькими слоями самой совершенной тепловой
изоляции, проложена медная жила, состоящая из многих проводников, каждый из
которых покрыт пленкой из ниобия. Внутри трубы поддерживается настоящий
космический холод - температура 4,2 К. При такой температуре потери
электроэнергии из-за сопротивления отсутствуют.
Для передачи электроэнергии
советские ученые разработали газонаполненные линии (ГИЛ). ГИЛ - это
металлическая труба, заполненная газом - шестифтористой серой. Газ этот -
отличный изолятор. Расчеты показывают, что при повышенном давлении газа по
проводам, проложенным внутри трубы, можно передать электрический ток
напряжением до 500 кВ.
Уложенные под землей кабельные
ЛЭП сэкономят сотни тысяч гектаров драгоценной земли, особенно в крупных
городах.
1. Расчетная часть
U=10/110/10 кВ
Выполнить электрический расчет
высоковольтной
линии. U=110-10 кВ
Предназначенное для электроснабжение промышленного предприятия имеющего 75%
потребителей 1-2 категории с генераторным напряжением Uг
= 10,5 кВ. Исходные
данные на проектирования
. Мощность системы Sс
= 540 МВ·А.
. Сопротивление системы Хс = 0,46.
. Длина питающей линии = 8,8 км.
. Имеется генераторное напряжение Uг
=110 кВ
. Годовое число часов максимума нагрузки T-max
= 6200 часов.
. Максимальная мощность P-max
= 105 MBT
. Коэффициент мощности cos
φ = 0.67
Рисунок 1- Расчетная схема.
1.1 Составление
схемы замещения
Согласно расчетной схеме составляем схему
замещения.
Рисунок 2- Схема замещения.
1.2 Выбор сечения линии
Линия применяется одно цепной, воздушной со
сталеалюминевыми проводами на железобетонных опорах так как у нас 75%
потребителей I - II
категории.
Рассчитываем рабочий ток в линии Ipм,
А по формуле:
Определяем максимальный расчетный ток линии Ip,
А по формуле:
Принимаем провод марки АС - 120/19 мм2,
при Iдоп=265 A.
Проверяем выбранное сечение по условиям
механической прочности:
по допустимому нагреву расчетным током:
- по нагреву максимальным расчетным током:
Проверяем выбранное сечение по допустимой потере
напряжения:
где, - длина линии на 1% потери напряжения при
полной нагрузке, км;
длина линии от системы до завода, км;
- допустимая
потеря напряжения, % (для нормального режима работы линии
,
в аварийном режиме = 10%);
допустимая длина линии, км.
Подставляя значения в вышеуказанную формулу,
получаем:
в нормальном режиме:
Выбранное сечение воздушной линии АС - 70/11 мм2
удовлетворяет всем вышеуказанным условиям и является допустимым сечением
по техническим условиям.
.3 Выбор
мощности трансформаторов понижающей и повышающей подстанции
Выбираем мощность трансформаторов и число
трансформаторов по заданной мощности и категории потребителей так как 1 и 2
категории составляют 75% от объема нагрузки завода.
Принимаем 2 трансформатора. Мощность
трансформаторов выбираем по перегрузочной способности трансформатора.
≥ Sp.max
Где Sном
тр - номинальная мощность трансформатора.
Sp - расчетная
мощность потребителей электроэнергии
Где Кз ном - коэффициент загрузки трансформатора
в нормальном режиме работы;
Кз ав - коэффициент загрузки в аварийном режиме
работы;
Sp - расчетная
нагрузка потребителей электроэнергии;
Выбираем мощность трансформатора повышающей
подстанции.
Мощность трансформатора выбирается по формуле.
=
= 126,5 MBa;
Sном.mр
≥
=
=90,3
MBa;
Выбираем 2 трансформатора типа
ТДЦ-125000/110/10. С первичным напряжением 10 кВ, а вторичным 110 кВ .
Технические данные трансформатора
ТДЦ-125000/110/10:
|
№
ТП
|
Число
и наименование транс-ров
|
Полная
нагрузка S,кВА
|
ΔРХХ,
кВт
|
ΔРКЗ, кВт
|
UКЗ,
%
|
IХХ,
%
|
|
|
Кт,
млн.тг.
|
|
ТП-1
|
ТДЦН-125000/110/10
|
125
|
120
|
400
|
10,5
|
0,55
|
0,63
|
1,27
|
100
|
1.4*125
≥ 126,6
43,2 ≥ 43,2
Выбранные трансформаторы ТДЦ-125000/110/10
подходят по коэффициенту загрузки в нормальном и аварийном режимах работы для
данного предприятия.
1.4 Нахождение
параметров линии электропередач
Для выбранных проводов, сечением AC
= 120/19 мм2 .
= 0,27 см/км.
= 0,41 см/км.
Определяем сопротивление линии.
Определяем активные и индуктивные сопротивления
обмотки трансформатора повышающей и понижающей подстанции.
Определяем реактивную мощность холостого хода на
высокой стороне.
1.5 Расчет схемы замешения по звеньям
Расчет ведем с 3-го звена:
Рисунок 3 - Расчетная схема и схема замещения.

Определяем потери напряжения в звене и его
сопротивление.
Продольное составляющие;
Это алгебраическая
разность между напряженьями в начале и конце линии. То есть падения напряжения.
.
Определяем мощность и напряжения в начале 3
звена.
Расчет 2-го звена:
Рисунок4 - Расчетная схема и схема замещения.
Находим потери мощности в звене.
,
Определим
в
звене и его составляющих:
Продольное составляющие;

.
Определяем мощность и напряжение в начале 2
звена.
,
Определяем U
в точке
:
.
Расчет 1-го звена:
Рисунок 5-Расчетная схема и схема замещения.
Находим потери мощности в звене.
Определяем падения напряжения в звене и его
составляющих:
1 Это
алгебраическая разность между напряженьями в начале и конце линии. То есть
падения напряжения.
.
Определяем мощность и напряжения в начале 1
звена.
Определяем U
в
точке
:
Все данные по звеньям внесены в таблицу 1.
Таблица 1 - Расчетные данные по звеньям.
|
№
|
U в конце звена, кВ
|
Мощность
в конце звена
|
Потери
мощности
|
Потери
напряжения, кВ
|
Мощность
в начале звена
|
U в начале звена, кВ
|
|
|
Р,
МВт
|
Q, МВАр
|
Р, МВт
|
Q, МВАр
|
U
|
U
|
Р,
МВт
|
Q, МВАр
|
|
|
3
|
121
|
105
|
70,35
|
0,40
|
13,3
|
7,41
|
10,3
|
105
|
83,65
|
128,8
|
|
2
|
128,8
|
105,4
|
83,65
|
1,2
|
1,9
|
2
|
0,75
|
106,6
|
85,55
|
130,8
|
|
1
|
130,8
|
106,6
|
85,55
|
0,4
|
13,3
|
8,2
|
9,7
|
105,4
|
121
|
Находим технико-экономические показатели ЛЭП.
Определяем КПД:
Определяем действительный
:
Определяем общую потерю напряжения в линии:
Рассчитываем потерю напряжения в процентном
соотношении:
.
Так как, допускаемая потеря напряжения в линии в
аварийном режиме составляем 10-12%, а в рабочем режиме с 5-8%, сечение линии
соответствует для нормального режима работы.
= 0,81,
следовательно, линия является работоспособной и может нормально
эксплуатироваться.
1.6 Разработка
схем электроснабжения двух вариантов
Вариант.
Рисунок 7
-1 Вариант схемы.
2 Вариант.
Рисунок 7-2 Вариант схемы.
1.7 Расчет токов короткого замыкания
Рисунок 8-Расчетная схема.
Расчет токов короткого замыкания производим
упрощённым способом. При расчете токов короткого замыкания приняты следующие
допущения:
а) трёхфазная нагрузка является симметричной.
б) индуктивное сопротивление X,
не изменяется в процессе короткого замыкания.
в) Напряжение на шинах источника питания
применяется неизменным.
Для того что бы определить токи короткого
замыкания, необходимо преобразовать схему замещения и выполнить расчет токов
короткого замыкания
;
L= 8,8км;
Xc = 0.46ом;
Расчет токов короткого замыкания производим
после того, как составим схему замещения.
Рисунок 9- Схема замещения
Приводим сопротивление системы к базисным
условиям по формулам;
Сопротивление двух обмоточного трансформатора,
расположенного на ГПП определяем по формуле: 1,2
Oм;
Сопротивление
воздушной линии на напряжение 110 кВ определяем по формуле:
Рисунок 10 - Схема замещения.
Определяем параметры для точки К1:
Определяем параметры для точки К2:
Определяем параметры для точки К3:
1.8 Выбор
и проверка коммутационных аппаратов на 110 кВ
Выбор и проверка высоковольтного выключателя и
разъединителя проводится по условиям: номинального напряжения, номинального
тока, ударного тока, проверка на термическую стойкость и номинальный ток
отключения (только для выключателей).
Проверка на термическую стойкость проводится по
тепловому импульсу (ВК) ток к.з.
Полный импульс квадратичного тока к.з.,
определяется из выражения:
t_откл=t_(р.з)+t_(откл.В)=0,01+0,05=0,27 с;
где, Та - значение постоянной времени
затухания апериодической составляющей[1];
где, tр.з - время срабатывания
релейной защиты;откл.В - собственное время отключения
высоковольтного выключателя[1].
Расчётные параметры, номинальные данные
выключателя на напряжение 110 кВ, условия выбора и проверки выключателей
приведены в таблице 2.
Таблица 2 - Условия выбора коммутационных
аппаратов
|
Расчетные
данные
|
Условие
проверки
|
Каталожные
данные
|
|
|
Выключатель
ВГБ-110
|
Разъединитель
РНДЗ-110/600
|
|
Uуст=110
кВ
|
Uуст ≤ Uном
|
Uном=110
|
|
Imax=664А
|
Imax
≤ Iном
|
Iном=2000
|
Iном=630
|
|
Iкз=3,5кА
|
Iкз ≤ Iном.откл
|
Iном.откл=40
|
-
|
|
iуд=8,9 кА
|
iуд ≤ iдин
|
iдин=102
|
iдин=80
|
|
Вк=0,27 кА2с
|
|
It2tt=0,0025
|
It2tt=992,25
|
Выбранные высоковольтный выключатель ВГБ-110 и
разъединитель РНДЗ-110/600 У1 удовлетворяют всем условиям.
Выбор коммутационных аппаратов на 10 кВ
Для выбора электрооборудования на 10 кВ
необходимо рассчитать ток на данном участке цепи. Расчетный ток на стороне 10
кВ определяем по формуле:
В качестве вводного и секционного выключателей
на ЗРУ используем ячейки КРУ. Выбор и проверка данных аппаратов аналогична
выключателям.
Выбираем ячейку типа К-XXVIM-10
с выключателем типа ВМПЭ-10
Выбор секционного выключателя на шинах ГПП
производим по нагрузке на одну секцию шин.
Проверка на термическую стойкость проводится по
тепловому импульсу (ВК) ток к.з. Полный
импульс квадратичного тока к.з., определяется из выражения:
Вк = Iн,а2
∙ ( tоткл + Та ) = 3,12
∙ ( 0,025 + 0,02 ) = 0,21 кА2с
где, Та - значение постоянной времени
затухания апериодической составляющей;
Tоткл = tр.з
+ tоткл.в = 0,2 + 0,01
= 0,22 с
Расчётные параметры, номинальные данные, условия
выбора и проверки ячеек КРУ на напряжение 10 кВ приведены в таблице 4.
Таблица 4 - Условия выбора и проверки ячеек КРУ
|
Расчетные
данные
|
Условие
проверки
|
Каталожные
данные
|
|
|
Выключатель
ВМПЭ
|
K-XXVIM
|
|
Uуст=10
кВ
|
|
Uном=20
|
Uном=20
|
|
Ip= А
|
|
Iном=12500
|
-
|
|
Iкз=16.5
кА
|
|
Iном.откл=160
|
-
|
|
iуд=84.15
кА
|
|
iдин=410
|
iдин=115
|
|
Вк=199.8 кА2с
|
|
It2tt=0,14
|
8410
кА2с
|
Выбранные ячейки проходят по всем условиям
проверки.
2. Технико-экономический расчет
Определение суммарных затрат на возведение линии
электроснабжения.
Вариант первый.
Определяем суммарные затраты на линию и
оборудование по формуле:
где, К1 - стоимость высоковольтного
выключателя на 110 кВ;
К2 - стоимость разъединителя;
К3 - стоимость трансформатора;
К4 - стоимость ячейки КРУ на 10 кВ;
К5 - стоимость возведения воздушной
линии.
Подставляем в вышеуказанную формулу цены
оборудования, получаем:
тг
Вариант второй.
Определяем суммарные затраты на линию и
оборудование по формуле:
где, К1 - стоимость высоковольтного
выключателя на 110 кВ;
К2 - стоимость группы
отделитель-короткозамыкатель
К3 - стоимость трансформатора;
К4 - стоимость ячейки КРУ на 10 кВ;
К5 - стоимость возведения воздушной
линии.
Подставляем в вышеуказанную формулу цены оборудования,
получаем:
тг
Расчет воздушной линии на напряжение 110 кВ.
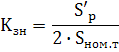
Определяем коэффициент загрузки линии в
нормальном режиме по формуле:
Стоимость одной цепи линии рассчитываем по
формуле:
где , К - переводной коэффициент, рассчитываемый
для каждого года (принимаем К равным 150);
- стоимость одной
цепи линии на километр, тыс.руб/км.
Подставляя значения в вышеуказанную формулу,
получаем
Общая стоимость возведения линии определяем из
выражения:
Определяем потери в линии по формуле:
где,
-
удельная потеря мощности на один километр линии, кВт/км[1];’p -
расчетный ток на линии, А;- длина линии, км;- число линий.
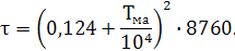
Рассчитываем время максимальных потерь по
формуле:
где, Тма - время потребления
максимума активной энергии, часы.
Подставляя значения в вышеуказанную формулу,
получаем:
Определяем стоимость потерь электроэнергии по
формуле:
Стоимость потерь электрической энергии в линии
рассчитывается по формуле:
где, Со - стоимость 1 кВтч
электроэнергии,=0,38 тенге/кВтч.
Подставив значения в формулу, получаем:
Амортизационные отчисления на линию составляют:
где,
-
норма амортизационных отчислений на линию, %.
Подставив значение в формулу, получаем:
Суммарные эксплуатационные отчисления на линию
определяем по формуле:
Полные затраты на линию определяем по формуле:
Расчет и выбор трансформатора.
Определяем потери реактивной мощности в режиме
холостого хода и короткого замыкания.
Потери реактивной мощности в режиме холостого
хода определяем по формуле:
где, iхх - потери мощности
трансформатора в режиме к.з.
Потери реактивной мощности в режиме короткого
замыкания определяем по формуле:
Определяем приведенные потери активной мощности
при коротком замыкании по формуле:
где,
-
потери активной мощности в меди трансформатора, равен потери мощности
трансформатора в режиме к.з;
Кэк - эквивалентный коэффициент
потерь, называемый так же экономическим эквивалентом мощности. Зависти от
и
системы электроснабжения, принимается равным 0,06 кВт/кВАр.
Определяем приведенные потери активной мощности
в режиме холостого хода по формуле:
где,
-
потери активной мощности в стали трансформатора, равен потери мощности
трансформатора в режиме холостого хода.
Определяем полные потери трансформатора:
где, Кз - коэффициент загрузки
трансформатора в нормальном режиме работы. Определяется из выражения:
Определение полных потерь мощности в линии и
трансформаторе:
Определяем потери электроэнергии:
Стоимость полных потерь электрической энергии в
линии и трансформаторе рассчитывается по формуле:
где, Со - стоимость 1 кВт/ч
электроэнергии.
Определяем мощность амортизационных отчислений:
где, Ра - норма амортизационных
отчислений на трансформатор, %;
- общая стоимость
линии и трансформатора;
где,
-
стоимость возведения линии;
- стоимость
трансформатора.
Определяем суммарные годовые эксплуатационные
расходы:
Определяем суммарные затраты:
Определение расход цветного металла.
Находим расход цветного металла, приходящего на
километр линии, на три фазы по формуле:
где М1Ф - масса провода, приходящаяся
на километр длины, для одной фазы, тонн/км;
m - число фаз.
Подставляя значения в вышеуказанную формулу,
получаем
Определяем расход цветного металла на возведение
всей линии по формуле:
Таблица 5
- Технико-экономические показатели
|
Вариант
электроснабжения
|
Показатели
|
|
, тыс.тг
|
, тыс.тг
|
З,
тыс.тг
|
G,
т
|
, МВт/ч
|
|
Вариант
1
|
|
|
|
6,9
|
|
|
Вариант
2
|
|
|
|
6,9
|
|
В результате технико электрических расчета
вариант №2 схема электроснабжения затраты на сооружения получились дороже чем
вариант №1.Но схема электроснабжения вариант №2 надежнее так как имеет
автоматическую перемычку а разница в затратах не велика то я выбираю для
электроснабжения промышленного предприятия вариант №2.
Заключение
В результате данного курсового проекта было
спроектировано электроснабжение промышленного предприятия U=10/110/10кВ.
Так как каждое промышленное предприятие
находится в состоянии непрерывного развития, система электроснабжения должна быть
гибкой, допускать постоянное развитие технологии, рост мощности предприятий и
изменение производственных условий. Это отличает систему распределения
электроэнергии на предприятиях от районных энергосистем, где процесс развития
также имеет место, однако места потребления электроэнергии и формы ее передачи
более стабильны.
В ходе данного курсового проекта были
рассмотрены и приложены 2 варианта электроснабжения. В ходе расчетов были
получены необходимые данные на проектирование схемы внешнего электроснабжения и
впоследствии выполнено ее проектирование. Был выполнен выбор всего
высоковольтного оборудования необходимого для возведения и последующей
рациональной работы линии электропередач.
Исходя из наличия на предприятии
электроприемников I и II
категории, возникает необходимость возведения более надежного пути передачи
электроэнергии. В данной работе мною было рассмотрено два варианта схем
электроснабжения. В первом варианте в качестве защиты силового трансформатора
предполагается использование группы разъединителей и короткозамыкатели, так же
как и во второй схеме. В ходе курсового проектирования, рассчитав все
эксплуатационные затраты и расходы на конструирование линии, было решено
выполнить возведение варианта номер 1 учитывая его более оптимальную надёжность.
Проведя все расчёты и необходимые способы
проверки оборудования, были выбраны следующие высоковольтные аппараты:
. Высоковольтный выключатель на 110 кВ -
ВГБ-110
. Высоковольтный выключатель на 10 кВ - ВГБ
110
. Силовой понижающий и повышающий трансформатор
ТД-40000/110
. В качестве коммутационных аппаратов на
стороне 10 кВ были выбраны ячейки K-XXVIM.
. Высоковольтный разъединитель на 110 кВ-
РЛНДЗ
- 110/600-У1
. В качестве секционного выключателя было
решено использовать те же выключатели ВМПЭ 10, что и вводные выключатели.
Список используемой литературы
. Неклепаев Б.Н., Крючков И.П.
Электрическая часть электростанций и подстанций: Справочные материалы для
курсового и дипломного проектирования :Учеб. пособие для вузов. - 4-е
изд.,перераб. и доп. - М.: Энергоатомиздат, 1989. - 608 с.: ил.
. Федоров А. А., Сербиновский Г. В
Справочник по электроснабжению промышленных предприятий. В 2-х кн. М.:
"Энергия", 1974.
. Липкин Б.Ю. Электроснабжение
промышленных предприятий и установок. - М.:Высш.шк.,1981.-376 с
. Рокотян С.С. и Шапиро И.М.
Справочник по проектированию электроэнергетических систем: 3-е изд., перераб, и
доп. - М.: Энергоатомиздат,1985. - 352с.
. Дьяков В. И. Типовые расчеты по
электрооборудованию: Практическое пособие -7-е изд., перераб. и доп. - М.:
Высш. шк., 1991.- 160 с.
. Рожкова Л.Д., Козулин В.С -
Электрооборудование станций и подстанций, Издательство: Энергоатомиздат, 1987
год выпуска