Проект асинхронного двигателя
Содержание
Введение <l >
1.
Магнитная цепь двигателя. Размеры, конфигурация, материал
1.1 Главные размеры <l
>
1.2 Сердечник статора <l
>
1.3 Сердечник ротора <l
>
2. Обмотка статора <l >
2.1 Параметры общие для любой
обмотки <l >
2.2 Обмотка статора с трапецеидальными
полузакрытыми пазами <l >
3. Обмотка короткозамкнутого
ротора <l >
4. Расчёт магнитной цепи
<l >
4.1 МДС для воздушного зазора
<l >
4.2 МДС при трапецеидальных
пазах статора <l >
4.2 МДС при овальных закрытых
пазах ротора <l >
4.3 МДС для спинки статора
<l >
4.4 МДС для спинки ротора
<l >
4.5 Параметры магнитной цепи
<l >
5. Активные и индуктивные
сопротивления обмоток <l >
5.1 Сопротивление обмотки
статора <l >
5.2 Сопротивление обмотки
короткозамкнутого ротора овальными <l > закрытыми пазами <l >
5.3 Сопротивление обмоток
преобразованной схемы замещения двигателя (с вынесенным на зажимы
намагничивающим контуром) <l >
6. Режимы холостого хода и
номинальный <l >
Литература <l >
Приложение: Рабочие
характеристики <l >
Введение
Современный электропривод - это комплекс из аппаратов и
устройств, предназначенный для управления и регулирования физическими и
мощностными показателями электродвигателя. Наиболее распространенным
электрическим двигателем, применяемым в промышленности, является асинхронный
двигатель. С развитием силовой электроники и разработкой новых мощных систем
управления асинхронным двигателем, электропривод на базе асинхронного двигателя
и преобразователей частоты, является лучшим выбором, для управления различными
технологическими процессами. Асинхронный электропривод обладает лучшими
технико-экономическими показателями, а разработка новых энергосберегающих
двигателей, позволяет создавать энергоэффективные системы электропривода.
Асинхронный электродвигатель, электрическая асинхронная
машина для преобразования электрической энергии в механическую. Принцип работы
асинхронного электродвигателя основан на взаимодействии вращающегося магнитного
поля, возникающего при прохождении трёхфазного переменного тока по обмоткам
статора, с током, индуктированным полем статора в обмотках ротора, в результате
чего возникают механические усилия, заставляющие ротор вращаться в сторону
вращения магнитного поля при условии, что частота вращения ротора n меньше
частоты вращения поля n1. Т.о., ротор совершает асинхронное вращение по отношению к полю.
Целью курсовой работы является проектирование асинхронного
двигателя. Посредством данного проектирования мы
изучаем свойства и характеристики данного двигателя, также изучаем особенности
данных двигателей. Данная работа является неотъемлемой частью курса изучения
электромашин.
1.
Магнитная цепь двигателя. Размеры, конфигурация, материал
1.1
Главные размеры
1. Высоту оси вращения асинхронного двигателя определяем по
таблице 9-1 на основании
и
.
2. Наружный диаметр сердечника
при стандартной высоте оси вращения
выбираем из таблицы 9-2.
3. Внутренний диаметр сердечника статора
определим на основании таблицы9-3.
Принимаем
. Находим среднее значение коэффициента
из рисунка 9-1.
5. Предварительное значение КПД находим из рисунка 9-2.
. Предварительное значение коэффициента мощности асинхронного
двигателя определяем из рисунка 9-3.
. Расчетную мощность двигателя потребляемую из сети находим
по формуле 1-11.
Принимаем
. Для
нахождения линейной нагрузки обмотки статора воспользуемся рисунком 9-4а и
таблицей 9-5.
9. Предварительное значения магнитной индукции в воздушном
зазоре будем использовать рисунок 9-4 б и таблицу 9-5,
10. Задаемся предварительным значением обмоточного
коэффициента §9-3,
11. Найдём расчётную длину сердечника
по формуле 1-30.
мм.
12. Конструктивная длина сердечника статора
округляется до ближайшего числа
кратного 5.
= 115 мм.
. Определим коэффициент по формуле 9-2.
14. Определяем коэффициент max по таблицам 9-6 и 9-7.
.2 Сердечник статора
15. Для данной высоты оси вращения выбираем марку стали 2013.
(стр. 122)
. Сердечник собираем из отдельных отштампованных листов
электротехнической стали толщиной 0,5 мм, имеющих изоляционные покрытия для
уменьшения потерь в стали от вихревых токов. (стр. 122)
. Для стали 2013 используем изолирование листов с
оксидированием. (стр. 123)
. Выбираем коэффициент заполнения стали из §9-3.
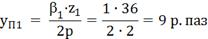
. Определим количество пазов на полюс и фазу из таблицы 9-8.
20. По выбранному значению
количество пазов сердечника статора z1определяем по формуле 9-3.
.3 Сердечник ротора
21. Для данной высоты оси вращения выбираем марку стали 2013.
(стр. 122-123)
22. Сердечник собирают из отдельных отштампованных листов
электротехнической стали толщиной 0,5 мм. (стр. 122-123)
. Для сердечника принимаем то же изолирование листов, что и
для статора - оксидирование. (стр. 122-123)
. Выбираем коэффициент заполнения стали §9-3.
25. Определим среднее значение воздушного зазора между
статором и ротором из таблицы 9-9.
26. Определим скос пазов
из §9-3.
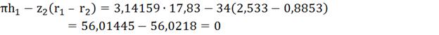
Так как
, то двигатель выполняют со скосом пазов.
27. Наружный диаметр сердечника ротора вычислим по формуле
9-5.
. Рассчитаем внутренний диаметр листов ротора по формуле 9-6.
Принимаем
. Длину сердечника ротора
принимаем равной длине сердечника
статора
так как h≤ 250 мм.
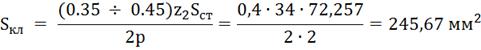
30. Количество пазов в сердечнике для двигателя с
короткозамкнутым ротором находим по таблице 9-12, 9-11. z2 = 34
. Рассчитаем коэффициент распределения по формуле 9-9.
где
.
. Выбираем укорочение шага из §9-4. (стр. 129)
Так как
, то
. Вычисляем укороченный шаг для двухслойной обмотки по формуле 9-11
34. Определим коэффициент укорочения по формуле 9-12.
35. Вычислим обмоточный коэффициент по формуле 9-13.
. Определим предварительное значение магнитного потока по формуле 9-14.
. Рассчитаем предварительное количество витков в обмотке фазы по формуле 9-15.
38. Определим количество параллельных ветвей обмотки статора
из §9-4,
39. Вычислим предварительное количество эффективных
проводников в пазу по формуле 9-16.
. Значение NП1 принимаем согласно §9-4
стр.129. NП1 = 26.
. Уточняем предварительно установленное значение витков в
обмотке фазы по формуле 9-17.
42. Уточняем предварительно установленное значение магнитного
потока по формуле 9-18.
. Уточняем предварительно установленное значение индукции в
воздушном зазоре по формуле 9-19.
. Уточняем
предварительное значение номинального фазного токапо формуле 9-20.
. Уточняем предварительно установленное значение линейной
нагрузки статора по формуле 9-11.
46. Определим среднее значение магнитной индукции в спинке
статора по таблице 9-13. ВС1 = 1,65 Тл.
47. Вычислим зубцовое деление по внутреннему диаметру статора
по формуле 9-22.
2.2
Обмотка статора с трапецеидальными полузакрытыми пазами
48. Определим среднее значение магнитной индукции зубца по таблице 9-14, В31 = 1,85 Тл.
. Рассчитаем ширину зубца статора по формуле 9-23.
. Рассчитаем высоту спинки статорапо формуле 9-24.
. Определим высоту паза статорапо формуле 9-25.
. Вычислим большую ширину паза по формуле 9-26.
. Определим предварительное значение ширины шлица по формуле
9-34.
54. Вычислим меньшую ширину паза по
формуле 9-27.
55. Проверка правильности определения b1 и b2 исходя из требования b31=const по формуле 9-28.
Условие:
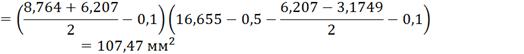
. Вычислим площадь поперечного сечения паза в штампе по формуле 9-29.
57. Вычислим площадь поперечного сечения паза в свету по
формуле 9-30.
где bc=0,1мм, hc=0,1мм - припуски на обработку сердечников
статора и ротора электродвигателей с
мм.
. Вычислим площадь поперечного сечения корпусной изоляции по
формуле 9-31.
. Определим площадь поперечного сечения прокладок между
верхней и нижней катушками на дне паза и под клином по формуле 9-32.
. Вычислим площадь поперечного сечения паза, занимаемая
обмоткой по формуле 9-33.
. Коэффициент заполнения паза k ппри ручной укладке. k п=0,75.
62. Задавшись k п, определяем произведениеc(d′)2 по
формуле 9-36.
. Выбираем число c=2 §9-4 и находим диаметр
элементарного изолированного проводапо формуле 9-37.
64. Выбираем номинальный диаметр и площадь поперечного
сечения неизолированного провода из приложения 1.
65. Коэффициент заполнения паза вычисляем по формуле 9-35.
. Вычислим ширину шлица по формуле 9-38.
Так как
, то
мм
. Определим плотность тока в обмотке статора по формуле 9-39.
. Вычислим
произведение линейной нагрузки на плотность тока А1J1 в обмотке §9-4.
А1J1 = 255,74·6,521= 1667,68 А2/(см
мм2)
Принимаем A1J1=1670 А2/(см·мм2)
По рисунку 9-8 для DН1 = 197 мм получаем допустимую
тепловую нагрузку при классе нагревостойкости F. (А1J1)доп= 2050 А2/(см мм2)
. Вычислим среднее зубцовое деление статора по формуле 9-40.
. Определим среднюю ширину катушки обмотки статора по формуле 9-41.
. Вычислим среднюю длину одной лобовой части катушки по формуле 9-42.
. Определим среднюю длину витка обмотки по формуле 9-43.
. Вычислим длину вылета лобовой части обмотки по формуле
9-45.
3.
Обмотка короткозамкнутого ротора
Применим обмотку ротора с овальными полузакрытыми пазами, т.к. Dн1 = 197мм.
. Определим среднее значениеhп2короткозамкнутого ротора из рисунка 9-12. hп2=22 мм
. Вычислим расчетную высоту спинки ротора по формуле 9-66.
. Определим магнитную индукцию в спинке ротора по формуле
9-68.
. Вычислим зубцовое деление по наружному диаметру ротора по
формуле 9-69.
. Выбираем среднее значение магнитной индукции в зубцах
ротора Вз2 по таблице 9-18.
79. Рассчитаем ширину зубца по формуле 9-70.
80. Вычислим меньший радиус паза по формуле 9-71.
81. Определим больший радиус паза по формуле 9-72.
82. Вычислим расстояние между центрами радиусовпо формуле
9-73
83. Проверка правильности определения
и
исходя из условия
84. Площадь поперечного сечения стержня, равна площади поперечного
сечения паза в штампе и определяется по формуле 9-75.
3.1 Размеры короткозамыкающего кольца
85. Вычислим поперечное сечение кольца литой клеткипо формуле
9-93.
. Рассчитаем высоту кольца литой клетки по формуле 9-95.
. Определим длину кольца по формуле 9-97.
. Вычислим средний диаметр кольца литой клетки по формуле
9-98.
4.
Расчёт магнитной цепи
4.1
МДС для воздушного зазора
89. Вычислим коэффициент, учитывающий увеличение магнитного
сопротивления воздушного зазора вследствие зубчатого строения статора по
формуле 9-116.
. Определим коэффициент, учитывающий увеличение магнитного
сопротивления воздушного зазора вследствие зубчатого строения ротора по формуле
9-117.
. Выберем коэффициент, учитывающий уменьшение магнитного
сопротивления воздушного зазора из §9-7. kК = 1
. Вычислим общий коэффициент воздушного зазора по формуле
9-120.
. МДС для воздушного зазора определим по формуле 9-121.
4.2
МДС при трапецеидальных пазах статора
94.
Вычислим зубцовое деление на 1/3 высоты зубца, при Вз1 ˃1,8 Тл
по формуле 9-122
95. Рассчитаем коэффициентзубцовпо формуле 9-123.
96. Напряженность магнитного поля найдём из приложения 14, HЗ1 = 21А/см.
. Вычислим среднюю длину пути магнитного потока по формуле
9-124.
98. МДС для зубцов определим по
формуле 9-125
4.2
МДС при овальных полузакрытых пазах ротора
99. Напряженность магнитного поля в верхней части зуба
находим из приложений 8.
100. Вычислим среднюю длину пути магнитного потока по формуле
9-139.
101. МДС для зубцов верхней части зуба определим по формуле
9-140.
4.3
МДС для спинки статора
102. Напряжённость магнитного поля НС1 находим из
приложения 11.
. Вычислим среднюю длину пути магнитного потока по формуле
9-166.
. МДС для спинки статора определим по формуле 9-167.
.4
МДС для спинки ротора
105. Напряжённость магнитного поля НС2 найдем из
приложения 5.
. Вычислим среднюю длину пути магнитного потока при 2р = 4 по формуле 9-169.
107. МДС для спинки ротора определим по формуле 9-170.
.5
Параметры магнитной цепи
108. Суммарная МДС магнитной цепи на один из полюсвычисляется
по формуле 9-171.
. Коэффициент насыщения магнитной цепи определим по формуле 9-172.
. Вычислим намагничивающий ток по формуле 9-173.
. Намагничивающий ток определяем по формуле 9-174.
. ЭДС холостого хода вычислим по формуле 9-175.
. Рассчитаем главное индуктивное сопротивление по формуле
9-176.
. Главное индуктивное сопротивление определим по формуле
9-177.
асинхронный магнитный статор ротор
5.
Активные и индуктивные сопротивления обмоток
5.1
Сопротивление обмотки статора
115. Активное сопротивление обмотки фазы при 20С
определяем по формуле 9-178.
. Активное сопротивление обмотки фазы r1 при 20С вычислим по формуле
9-179.
. Проверка правильности определения r1по формуле 9-180.
118. Определяем размеры паза статора из таблицы 9-21 и
рисунка 9-7.
b2= 6,207 мм
bш1= 3,1749 мм
hш1= 0,5 мм
hк1= 0,7 мм
h2= 0,6 мм
hп1= 16,655 мм
h4 = 0 мм
. Коэффициенты, учитывающие укорочение при 1=0,65…1 определяем по формуле 9-181 и 9-182.

. Коэффициент проводимости рассеяния для прямоугольного
полуоткрытого паза П1
121. Коэффициент kд1 берем из таблицы 9-23. kд1 = 0,0141
122. Коэффициент, учитывающий влияние открытия пазов статора на
проводимость дифференциального рассеяния вычисляем по формуле 9-188.
123. Коэффициент kр1 берем из таблицы 9-22. kр1
= 0,91
124. Коэффициент проводимости дифференциального рассеяния Д1определяем
по формуле 9-189.
. Полюсное делениевычисляем по формуле 9-130.
. Коэффициент проводимости рассеяния лобовых частей обмотки
рассчитаем по формуле 9-191.
. Коэффициент проводимости рассеяния обмотки статора
вычисляем из формулы 9-192.
128. Индуктивное сопротивление обмотки фазы статора
определяем по формуле 9-193.
. Индуктивное сопротивление обмотки фазы статора вычисляем по
формуле 9-194.
130. Проверка правильности определения x1 по формуле 9-195.
.2
Сопротивление обмотки короткозамкнутого ротора овальными закрытыми пазами
131. Активное сопротивление стержня клетки при 20С
вычислим по формуле 9-198.
. Коэффициент приведения тока кольца к току стержня вычислим
по формуле 9-197.
. Сопротивление короткозамыкающих колец, приведенное к току
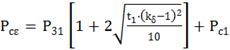
стержня при 20С определяем по формуле 9-199.
134. Центральный угол скоса пазов определим по формуле 9-200.

136. Коэффициент приведения сопротивления обмотки ротора к
обмотке статора определяем по формуле 9-201.
. Активное сопротивление обмотки ротора при 20С,
приведенное к обмотке статора вычислим по формуле 9-202.
. Активное сопротивление обмотки ротора при 20С,
приведенное к обмотке статора рассчитываем по формуле 9-208.
. Вычислим ток стержня ротора для рабочего режима по формуле 9-204.
140.Коэффициент проводимости рассеяния для овального полузакрытого паза
рассчитываем по формуле 9-205.
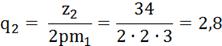
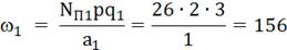
141. Количество пазов ротора на полюс и фазу q2 определяем по формуле 9-8а.
. Коэффициент дифференциального рассеяния ротора находим по рисунку
9-17. kд2
=0,012
143. Коэффициент проводимости дифференциального рассеяния вычисляем по
формуле 9-207.
. Коэффициент проводимости рассеяния короткозамыкающих колец литой
клетки рассчитываем по формуле 9-208.
145. Относительный скос пазов ротора, в долях зубцового деления ротора
определяем по формуле 9-209.
. Коэффициент проводимости рассеяния скоса пазов вычисляем по формуле
9-210.
. Коэффициент проводимости рассеяния обмотки ротора рассчитываем по
формуле 9-211.
. Индуктивное сопротивление обмотки ротора определяем по формуле 9-212.
. Индуктивное сопротивление обмотки ротора, приведенное к обмотке
статора,вычисляем по формуле 9-213.
. Индуктивное сопротивление обмотки ротора, приведенное к обмотке
статора x2*′, рассчитаем по формуле 9-214.
. Проверка правильности определения x2′вычисляется
по формуле 9-215.
.3
Сопротивление обмоток преобразованной схемы замещения двигателя
152. Коэффициент рассеяния статора вычисляем по формуле
9-244.
. Коэффициент сопротивления статора рассчитываем по формуле
9-245.
. Так как х1 = 0,024 воспользуемся упрощёнными
формулами 9-247 для расчета r1, x1, r2, x2.
155.
.
.
6.
Режимы холостого хода и номинального
158. Реактивная составляющая тока статора при синхронном вращении
вычисляется по формуле 9-257.
. Электрические потери в обмотке статора при синхронном
вращении рассчитываем по формуле 9-258.
. Расчётная масса стали зубцов статора, при трапецеидальных
пазахопределяется по формуле 9-259.
. Магнитные потери в зубцах статора вычисляем по формуле
9-250.
. Масса стали спинки статора рассчитывается по формуле 9-261.
. Магнитные потери в спинке статора определяем по формуле
9-254.
. Суммарные магнитные потери в сердечнике статора, включающие
добавочные потери в стали вычисляем по формуле 9-262.
Вт.
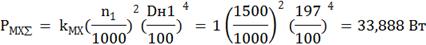
165. Механические потери при степени защиты IP44,
способе охлаждения ICO141 определяются по формуле 9-265.
. Активная составляющая тока холостого хода вычисляем по формуле
9-267.
. Ток холостого хода рассчитываем по формуле 9-268.
А
168. Коэффициент мощности на холостом ходу определяется по формуле
9-269.
169. Активное сопротивление короткого замыкания вычисляем по формуле
9-271.
. Индуктивное сопротивление короткого замыкания рассчитываем по формуле
9-272.
. Полное сопротивление короткого замыкания вычисляем по формуле
9-273.
Ом.
172. Добавочные потери при номинальной нагрузке определяем по формуле
9-274.
. Механическая мощность двигателя вычисляется по формуле 9-275.
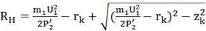
. Эквивалентное сопротивление схемы замещения рассчитываем по
формуле 9-270а.
;
Ом.
175. Полное сопротивление схемы замещения вычисляем по формуле
9-276.
Ом.
176. Проверка правильности расчётов RH и zH

,0383 = 0,0383 Ом-1
177. Скольжение SН
178. Активная составляющая тока статора при синхронном вращении ICA
179. Ток ротора I2
. Ток статора, активная составляющая IA1


