Измерение горизонтальных и вертикальных углов теодолитом
Содержание
Введение
. История развития теодолита
. Классификация, основные параметры и размеры
3. Общие технические требования
4. Принципиальная схема устройства теодолита
.1 Горизонтальный круг. Отсчетные устройства
.2 Зрительные трубы
.3 Уровни
.4 Вертикальный круг теодолита
. Устройство технических теодолитов
. Поверки и устройство теодолитов
. Установка теодолита в рабочее положения
. Измерение горизонтальных углов
. Погрешности измерения горизонтальных углов
. Измерение вертикальных углов
. Измерение теодолитом магнитного и истинного азимутов
направлений
. Понятие об электронных и лазерных теодолитах
Заключение
Список использованной литературы
Введение
Содержанием данной курсовой работы является изложение методики и
результатов исследований теодолита, выполненной с целью определение
действительных значений его технических характеристик, а после его исправления
(при необходимости) для подтверждения готовности приборов к измерениям. Такие
исследования в геодезии и маркшейдерском деле называют технологической
проверкой. Технологическую проверку выполняет исполнитель геодезических и
маркшейдерских работ, как правило, перед их началом или по специальному
графику, если работы выполняются круглогодично. Операции, выполняемые при
технологической проверке, упрощены и, как правило, не требует специальных
лабораторных условий.
Помимо технологической проверки, маркшейдерско-геодезические приборы
должны поверяться органами Государственной метрологической службы или
аккредитованными метрологическими службами юридических лиц. Величина
межповерочного интервала составляет 1 год.
На время выполнения курсовой работы за каждым студентом закрепляется
теодолит на бригаду, за которые он (они) несут личную ответственность.
Готовность прибора к работе, обеспеченная и подтвержденная в процессе
технологической проверки, означает соблюдение геометрических и иных
конструктивных требований, предъявляемых к исправному прибору. Исправный прибор
должен обеспечивать измерение горизонтальных и вертикальных углов с паспортной
или необходимой точностью, допускаемой погрешностью.
. История развития теодолита
В глубокой древности, сразу после того как люди научились “решать”
треугольники, строители и архитекторы стали применять в своей практике
всевозможные угломерные устройства и инструменты, такие как гномоны,
параллактические линейки, армиллы, астролябии, квадранты и другие. Данные
инструменты использовались для измерения либо вертикальных, либо горизонтальных
углов. Объединение двух измерительных приборов в одном, способном измерить оба
угла одновременно, было лишь вопросом времени.
Уже во второй половине XVI века был изобретен инструмент под названием
пантометр, который представлял собой некую астролябию с вертикальным кругом, и
мог измерять как вертикальные, так и горизонтальные углы. Подобного рода
инструменты состояли из основания с градуированной круговой шкалой и
приспособлением для измерения вертикальных углов, чаще всего полукругом. Для
наблюдения объекта при измерении горизонтальных углов использовалась алидада,
вторая алидада монтировалась на вертикальном полукруге. Позже стали обходиться
одной алидадой на вертикальном полукруге. В 1725 году англичанин Джонатан
Сиссон заменил простую алидаду грубой наводки зрительной трубой. Вскоре в
приборах стали применяться микроскопы, верньеры и сетки нитей.
<#"719768.files/image001.gif">
Рис. 1.
В местах пересечения основных и дальномерных штрихов сетки допускается
наличие разрывов.
У сеток нитей видов 2 и 4 допускается вместо дальномерных штрихов
наносить окружность, пересекающую вертикальный и горизонтальный основные штрихи
сетки, для измерения расстояний как по вертикальной, так и по горизонтальной
рейке.
Компенсатор углов наклона должен иметь характеристики, значения которых
приведены в таблице 2.
Предел разрешения оптической линзовой системы зрительных труб
в угловых секундах в центре поля
зрения должен быть не более
(1)
где 144 -коэффициент приведения, мм угловые секунды;
- диаметр входного зрачка зрительной трубы, мм.
Таблица 2.
|
Характеристика
|
Значение для теодолита типа
|
|
Т1
|
12
|
Т5
|
Т15
|
Т30
|
Т60
|
|
Диапазон компенсации, не менее
|
±2’
|
±3’
|
±4’
|
±5’
|
|
Допускаемая систематическая погрешность компенсации на 1 ¢
наклона оси теодолита
|
±0,4"
|
±0,8"
|
±2"
|
±8"
|
Коэффициент пропускания зрительной трубы обратного изображения должен
быть не менее 0,6, трубы прямого изображения - не менее 0,55; коэффициент
рассеяния зрительной трубы - не более 0,1.
Момент
силы трения покоя при температуре (20±5) °С для устройств наведения зрительной
трубы на цель и перефокусировки должен быть не более 0,05 Н × м, для головки винта оптического микрометра
<#"719768.files/image005.gif">
Рис.2.
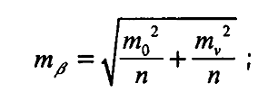
Принципиальная схема теодолита
Основной
частью теодолита является механическая конструкция, состоящая из лимба 3 и алидады
2, которую обобщенно принято называть горизонтальным кругом. В процессе
измерения горизонтального угла плоскость лимба должна быть горизонтальной, а
его центр - устанавливаться на отвесной линии, проходящей через вершину
измеряемого угла.
Отвесная
линия ZZ, проходящая через ось вращения алидады горизонтального круга,
называется осью вращения теодолита.
Ось
вращения теодолита ZZ устанавливается в отвесное положение (плоскость лимба - в
горизонтальное положение) по цилиндрическому уровню 9 с помощью трех подъемных
винтов 1 подставки 10. Лимб и алидада снабжены зажимными (закрепительными)
винтами, служащими для закрепления их в неподвижном положении, и наводящими
винтами для их медленного и плавного вращения.
Визирование
на наблюдаемые цели осуществляется зрительной трубой 5, визирная ось W которой
при вращении трубы вокруг горизонтальной оси НН образует проектирующую
плоскость, называемую коллимационной. Зрительная труба соединена с алидадой
горизонтального круга с помощью колонки 4. На одном из концов оси вращения
зрительной трубы закреплен вертикальный круг 5, на алидаде 6 которого имеется
цилиндрический уровень 7. Зрительная труба имеет закрепительный и наводящий
винты.
При
измерениях теодолит обычно устанавливается на штативе. Штатив состоит из
металлической верхней части - головки и трех раздвижных (переменной длины)
деревянных ножек. Концы ножек снабжены металлическими острыми наконечниками для
вдавливания их в грунт и надежного закрепления штатива над точкой. Теодолит
закрепляется на штативе становым винтом. К крючку станового винта привязывается
нить отвеса, служащая продолжением вертикальной оси вращения прибора ZZ. С
помощью отвеса теодолит центрируется над точкой, т. е. устанавливается таким
образом, чтобы ось вращения прибора проходила через вершину измеряемого угла.
Становые винты изготавливаются полыми, что дает возможность использовать для
центрирования теодолита над точкой оптические центриры. Рассмотрим подробнее
основные части теодолита.
.1
Горизонтальный круг. Отсчетные устройства
Горизонтальный
круг теодолита предназначен для измерения горизонтальных углов и состоит из
лимба и алидады. Лимб является основной частью угломерного прибора и в
оптических теодолитах представляет собой стеклянное кольцо. На скошенном крае
лимба с помощью делительной машины нанесены равные деления. Величина дуги лимба
между двумя ближайшими штрихами называется ценой деления лимба.
Цена
деления лимба определяется по оцифровке градусных (или градовых) штрихов.
Оцифровка лимбов обычно производится по часовой стрелке от 0 до 360°. Лимб
закрывается металлическим кожухом, предохраняющим его от механических
повреждений, влаги и пыли.
Роль
алидады в современных теодолитах выполняют специальные оптические системы,
являющиеся отсчетными устройствами (отсчетными индексами). Алидада может
вращаться вокруг своей оси совместно с верхней частью теодолита относительно
неподвижного лимба; при этом отсчет по горизонтальному кругу изменяется. Если
алидада вращается вокруг оси совместно с лимбом (зажимной винт алидады
закреплен, а лимб - откреплен), то отсчет по горизонтальному кругу остается
неизменным.
Отсчетом
по угломерному кругу называется угловая величина дуги между нулевым штрихом
лимба и индексом алидады. Штрихи лимба, между которыми оказывается индекс,
называются младшим и старшим штрихами. Для оценки интервала между младшим
штрихом лимба и индексом служат отсчетные устройства.
В
зависимости от типа и назначения приборов для взятия отсчетов по лимбу
применяются верньеры, штриховые (микроскопы-оценщики) и шкаловые микроскопы,
оптические микрометры и микроскопы-микрометры. В технических теодолитах старых
конструкций с металлическими лимбами в качестве отсчетных устройств
использовались верньеры, в оптических теодолитах применяются штриховые и
шкаловые микроскопы и реже - микрометры. Принцип действия указанных отсчетных
устройств основан на способности глаза с высокой точностью воспринимать
совпадение штрихов одной шкалы со штрихами другой, а также оценивать десятые
доли промежутка между штрихами.
Рис.3.
Поле зрения отсчетного микроскопа-оценщика теодололита Т30. Отсчеты: по
горизонтальному кругу 71⁰07’; по вертикальному кругу 359⁰53’
В
теодолите ТЗО в поле зрения микроскопа-оценщика строятся одновременно
изображения шкал горизонтального и вертикального кругов с общим индексом.
Отсчеты берут по одной стороне кругов с точностью до 1'.
Шкаловый
микроскоп широко используется в современных технических и точных теодолитах с
односторонним отсчитыванием по лимбу. В поле зрения такого микроскопа видны
изображения лимба и шкалы, длина которой равна изображению наименьшего (обычно
градусного) деления лимба. Индексом для отсчета служит штрих лимба,
расположенный в пределах шкалы.
На
рис. 4, а показано поле зрения шкалового микроскопа теодолитов Т5 и Т15,
имеющих шкалы для горизонтального и вертикального кругов, каждая из которых
разделена на 60 частей. Поскольку цена деления лимба 1°, одно деление шкалы
соответствует 1'. При отсчете по микроскопу десятые доли наименьшего деления
шкалы оцениваются на глаз с точностью до 0,1'.
Рис.
4. Поле зрения шкалового микроскопа теодолитов
Отсчеты:
а
- по горизонтальному кругу 124⁰42,1'; по
вертикальному кругу 358°15,5'; б - по горизонтальному кругу 241⁰46,7'; по вертикальному кругу 0°02,6'; в - по
горизонтальному кругу 124° 18,5'; по вертикальному кругу - 0⁰26,5'; г - по горизонтальному кругу 323⁰55'28"; по вертикальному кругу 90°21'57"
В
теодолитах Т15К, 2Т5К, 2T30 и 4Т30П (рис. 4, б, в) отсчеты по горизонтальному
кругу производятся по аналогии с предыдущим. Однако шкала вертикального круга
имеет два ряда цифр со знаками « + » и « - ». По нижнему ряду со знаком « - »
берут отсчеты в случаях, если в пределах шкалы находится штрих вертикального
круга с тем же знаком.
У
теодолитов 2Т30 и 4Т30П цена деления шкал отсчетного микроскопа (рис. 4, в)
равна 5', отсчеты по угломерным кругам берутся с точностью 0,5'. У теодолита
4Т30П в экспортном варианте горизонтальный (Н) и вертикальный (V) угломерные
круги разделены на 360⁰, а цена деления шкал микроскопа составляет 1', т. е.
аналогично теодолитам Т15 и Т5 (см. рис. 4,а).
У
теодолита 4Т15П отсчеты по угломерным кругам берутся с помощью микрометра,
обеспечивающего высокую точность отсчитывания (рис. 4, г). Для этого вращением
рукоятки микрометра ближайший штрих лимба вводят в середину бифилярного
индекса, после чего берут отсчет по шкале микрометра соответствующего
угломерного крута с точностью до 1'.
Результаты
отсчитывания по угломерным кругам с помощью рассмотренных видов отсчетных
устройств приведены на рис. 4.
На
точность взятия отсчета по угломерным кругам оказывают влияние погрешности
делений лимба, эксцентриситета алидады и некоторые другие.
Эксцентриситетом
алидады называют несовпадение оси вращения теодолита (оси вращения алидады) с
центром лимба. Это вызывает смещение отсчетного индекса или шкалы отсчетного
микроскопа относительно делений лимба, что влечет за собой взятие ошибочных
отсчетов по лимбу. У технических оптических теодолитов влияние эксцентриситета
алидады на точность взятия отсчетов не учитывается из-за малого его значения по
сравнению с погрешностью отсчитывания по лимбу. Кроме того, при взятии отсчетов
по лимбу при положениях вертикального круга влево от зрительной трубы и вправо
от нее среднее арифметическое из отсчетов будет свободным от эксцентриситета
алидады.
.2
Зрительные трубы
Устройство
зрительной трубы. Для визирования на удаленные наблюдаемые предметы в
геодезических приборах используют зрительные трубы. Некоторые из них относятся
к типу астрономических и дают обратное изображение предметов. Во многих случаях
в оптических теодолитах используются трубы, обеспечивающие прямое изображение
(например, 4Т30П и др.).
Перед
наблюдением зрительная труба должна быть отфокусирована.
Фокусированием
называется установка трубы таким образом, чтобы в поле зрения было отчетливо
видно изображение визирной цели, т. е. наблюдаемого предмета. Различают трубы с
внешним и внутренним фокусированием.
В
современных геодезических приборах применяют трубы с внутренним фокусированием,
имеющие постоянную длину. Их конструкция обеспечивает большее увеличение при
меньшей длине по сравнению с трубами с внешним фокусированием, а также
предохраняет от проникновения в нее пыли и влаги.
Оптическая
система зрительной трубы с внутренним фокусированием (рис. 5, а) состоит из
объектива 1, окуляра 2, внутренней фокусирующей линзы 3, которая перемещается
внутри трубы вращением кремальеры 4 (кремальерного винта или кольца) и сетки
нитей 5.
Рис.5
Зрительная труба: a - продольный разрез: б - ход лучей в зрительной трубе
Совместное
действие объектива и фокусирующей линзы равносильно действию одной
собирательной линзы с переменным фокусным расстоянием, называемой
телеобъективом. Принципиально оптическая схема трубы с телеобъективом (рис. 5,
б) не отличается от схемы простой зрительной трубы (трубы Кеплера) с внешним
фокусированием, но обладает более совершенной конструкцией.
Предмет
АВ, расположенный за двойным фокусным расстоянием, рассматривается через
объектив (см. рис. 5, б). Его изображение ab, получаемое с
помощью телеобъектива, будет действительным, обратным и уменьшенным. Указанное
изображение увеличивается окуляром, в результате чего получается мнимое и
увеличенное изображение а'b' наблюдаемого предмета.
Изображение
предмета, получаемое простой зрительной трубой, сопровождается оптическими
искажениями, основными из которых являются сферическая и хроматическая
аберрации.
Сферическая
аберрация вызывается тем, что лучи света (особенно, падающие на края линзы)
после преломления не пересекаются в одной точке и дают тем самым неясное и
расплывчатое изображение.
Хроматическая
аберрация заключается в том, что лучи света после преломления в линзе
разлагаются на составные цвета светового спектра и окрашивают края изображений.
Для ослабления влияния оптических искажений в зрительных трубах применяют
диафрагмы, задерживающие прохождение крайних лучей света, а также сложные
объективы и окуляры, состоящие из 2 - 3 линз с различными коэффициентами
преломления стекла.
Сетка
нитей. Установка зрительной трубы для наблюдения. Для визирования на
наблюдаемые цели в зрительной трубе должна быть постоянная точка К -
действительная или воображаемая между параллельными линиями. Для получения этой
точки в окулярном колене вблизи переднего фокуса окуляра помещается
металлическая оправа, в которой вставлена стеклянная пластинка с нанесенной на
ней сеткой нитей (штрихов) (рис. 6, а). Виды сеток нитей, применяемых в
оптических теодолитах, показаны на рис. 6, б, в.
Рис.6.
Сетка нитей зрительной трубы:
а
- схема закрепления оправы сетки нитей; б - сетка теодолитов Т5, Т15, ТЗО, Т60;
в - сетка теодолитов Т15М и ТЗОМ
Сетка
нитей представляет собой систему штрихов, расположенных в плоскости
изображения, даваемого объективом зрительной трубы. Основные штрихи сетки
используются для наведения трубы в горизонтальной и вертикальной плоскостях.
Двойной вертикальный штрих называется диссектором нитей; визирование на
наблюдаемую цель биссектором производится точнее, чем одной нитью. Точка
пересечения основных штрихов сетки нитей (либо осей заменяющих их биссекторов)
называется перекрестием сетки нитей.
Воображаемая
линия, соединяющая перекрестие сетки нитей и оптический центр объектива,
называется визирной осью трубы, а ее продолжение до наблюдаемой цели - линией
визирования. Линия, проходящая через оптические центры объектива и окуляра,
называется оптической осью трубы.
Зрительная
труба имеет также геометрическую ось, т. е. линию симметрии, проходящую через
центры поперечных сечений цилиндра трубы.
Для
правильной установки сетки нитей ее оправа снабжена исправительными
(юстировочными) винтами: двумя горизонтальными - 1 и двумя вертикальными - 2
(см. рис. 6, а), которые закрываются навинчивающимся колпачком. С помощью
каждой из пар исправительных винтов сетку нитей можно перемещать в небольших
пределах в горизонтальной и вертикальной плоскостях, изменяя тем самым
положение визирной оси зрительной трубы.
При
визировании на цель наблюдатель должен отчетливо видеть в поле зрения трубы
штрихи сетки нитей и изображение рассматриваемого предмета. Для выполнения
этого условия должны быть выполнены действия, составляющие установку зрительной
трубы для наблюдения. Полная установка трубы для наблюдения складывается из
установки ее по глазу и по предмету.
Установка
трубы по глазу производится перемещением диоптрийного кольца окуляра до
получения четкой видимости штрихов сетки
нитей; она выполняется каждым наблюдателем соответственно остроте
его зрения и периодически проверяется.
Установка
трубы по предмету (фокусирование) для получения
отчетливого изображения визирной цели осуществляется перемещением фокусирующей
линзы с помощью кремальеры (кремальерного винта или кольца). При наблюдении
предметов, расположенных на различных расстояниях от прибора, фокусирование
приходится проводить
каждый раз заново. Перекрестие сетки нитей не должно сходить с изображения
наблюдаемой цели при перемещении глаза относительно окуляра. В противном случае
имеет место явление, называемое параллаксом
сетки нитей, который возникает при недостаточно тщательном фокусировании трубы
вследствие несовмещения изображения предмета с плоскостью сетки нитей.
Параллакс устраняется небольшим поворотом кремальеры, что способствует
повышению точности визирования.
Технические
показатели зрительных труб. Оценка качества зрительных труб осуществляется по
ряду технических показателей, к основным из которых относятся увеличение трубы,
поле зрения трубы и яркость изображения.
Видимым,
или угловым, увеличением зрительной трубы Г называется отношение угла β (см. рис. 5, б), под которым изображение
рассматриваемого предмета видно в трубу, к углу α, под которым предмет виден невооруженным глазом, т. е.
Г
=
, (2)
Практически
увеличение зрительной трубы можно принять равным отношению фокусных расстояний
объектива и окуляра:
Г
=
, (3)
Увеличение
зрительной трубы можно определить по вертикальной рейка установленной в 5- 10 м
от прибора (рис. 7, а). На рейку смотрят одновременно двумя глазами: одним -
непосредственно на рейку, другим - через трубу. При этом два видимых
изображения рейки проектируются одно на другое; подсчитывают, сколько делений
рейки, видимых невооруженным глазом, проектируется на одно увеличенное деление,
видимое через трубу. Это число и будет увеличением зрительной трубы.
Рис.7.
Схема исследования зрительной трубы при помощи рейки:
а-
определение увеличения зрительной трубы;
б
- определение поля зрения зрительной трубы
Принимая
погрешность визирования невооруженным глазом равной 60" и зная увеличение
трубы Г, можно найти предельную погрешность визирования при наблюдении в
зрительную трубу:
mv =
. (4)
Для
получения большего увеличения в зрительных трубах геодезических приборов
используют длиннофокусные объективы и короткофокусные окуляры. Увеличение
зрительных труб, применяемых в инженерной практике, находится в пределах 15
-30х, а в высокоточных приборах - до 40х.
Полем
зрения зрительной трубы называется коническое пространство, видимое глазом
через неподвижно установленную трубу. Оно измеряется углом ср между лучами,
идущими из оптического центра объектива к краям a и b
диафрагмы (рис. 7, б). Величина угла поля зрения трубы определяется по формуле:
φ =
, (5)
т.
е. угол поля зрения обратно пропорционален увеличению трубы и не зависит от
размеров объектива. Это обстоятельство ограничивает применение в геодезических
приборах труб с большим увеличением, так как ими весьма трудно отыскивать
визирные цели. Поэтому на трубах с большим увеличением часто устанавливают
дополнительную трубу-искатель с малым увеличением, но большим полем зрения.
На
практике для определения угла поля зрения трубы на расстоянии d от объектива
(рис. 7,6) устанавливают рейку и отсчитывают по ней число делений /, видимых в
трубу между краями поля зрения. Тогда
φ =
p’. (6)
Пример:
d = 20 м, l = 60 см, φ =0,60м/20м* 3438'= 103'= 1,7°.
Зрительные
трубы геодезических приборов имеют углы поля зрения от 30' до 2°.
Яркость
изображения, или степень освещенности, характеризуется количеством света,
получаемым глазом в одну секунду на каждый квадратный миллиметр видимого
изображения. Относительная яркость изображения I, определяемая отношением
яркостей изображения при наблюдении невооруженным глазом Е0 и с помощью
зрительной трубы E1 может быть найдена из выражения
I=
=τ(
)², (7)
где
τ - коэффициент пропускания системы, учитывающий потери
светового потока на отражение при преломлении лучей на полированных
поверхностях и поглощение при их прохождении через оптические детали; DBX-
диаметр входного отверстия объектива; Гdгл - диаметр
зрачка глаза.
Как
следует из формулы, для наблюдений (особенно в затемненных условиях или при
слабой освещенности) выгодно применять трубы с большим диаметром входного
отверстия и небольшим увеличением. Однако увеличение диаметра входного
отверстия объектива ведет к усилению влияния хроматической аберрации, а
уменьшение оптического увеличения трубы - к снижению ее разрешающей способности
и соответственно точности визирования.
Применение
просветленной оптики в современных геодезических приборах сводит к минимуму
потери яркости изображения при прохождении лучей через оптическую систему
трубы.
.3
Уровни
Уровни
служат для приведения осей и плоскостей геодезических, приборов в
горизонтальное либо вертикальное положение. В точных приборах с помощью
накладных уровней измеряют незначительные (порядка нескольких секунд) углы
наклона осей. Уровни применяются также в виде самостоятельных приборов при
монтаже технологического оборудования и в строительном деле. По форме различают
цилиндрические и круглые (сферические) уровни.
Цилиндрический
уровень. Цилиндрический уровень (рис. 8, а) представляет собой стеклянную
трубку (ампулу), внутренняя поверхность которой в вертикальном продольном
разрезе имеет вид дуги АВ крута радиуса от 3,5 до 200 м.
Рис.8
Типы цилиндрический уровней: а - разрез уровня и вид сверху; б -
компенсированный; в - камерный; г - контактный
При
изготовлении уровня ампулу заполняют легкоподвижной жидкостью (серным эфиром
или спиртом), нагревают и запаивают. После охлаждения внутри ампулы образуется
небольшое пространство, заполненное парами жидкости, которое называется
пузырьком уровня. Для защиты от повреждений ампула заключается в металлическую
оправу, заполненную гипсом. Юстировка уровня, т. е. его установка на приборе в
требуемом положении, выполняется исправительными винтами.
Если
пузырек уровня находится в нуль-пункте, то ось уровня горизонтальна. При
наклоне оси уровня его пузырек перемещается. Центральный угол, соответствующий
одному делению ампулы, называется ценой деления уровня μ.
Следовательно,
с помощью уровня можно измерять небольшие углы наклона линий, связанных с его
осью. Если пузырек отклоняется от нуль-пункта на n делений, то угол наклона оси
уровня к горизонту
=nμ. (8)
В
геодезических приборах используют цилиндрические уровни с ценой деления от 1'
до 2'. Цена деления зависит от радиуса внутренней поверхности ампулы уровня и
служит мерой чувствительности уровня, т. е. способности его пузырька быстро и точно
занимать наивысшее положение. Кроме того, чувствительность уровня зависит от
качества шлифовки внутренней поверхности ампулы, свойств заполняющей жидкости,
ее температуры и длины пузырька уровня (длинный пузырек обладает большей
чувствительностью, чем короткий).
Нормальная
длина пузырька уровня составляет 30 - 40% длины ампулы при температуре + 20°.
Для сохранения длины пузырька при изменении температуры используют
компенсированные уровни (рис. 8, б) либо уровни с запасной камерой - камерные
уровни (рис. 8, в). Принцип устройства компенсированной ампулы основан на
сокращении объема заполнителя путем помещения в ампулу стеклянной трубки 1 с
запаянными концами.
Камерный
уровень кроме рабочей камеры имеет запасную камеру. Запасная камера 2 (см. рис.
8, в) такого уровня отделяется от рабочей стеклянной перегородкой с отверстием
внизу. Наклоняя уровень, можно перемещать часть паров заполнителя из одной
камеры в другую и тем самым регулировать длину пузырька. На некоторых приборах
устанавливают реверсивные (оборотные) уровни, позволяющие наблюдать пузырек при
опрокидывании его на 180°.
Для
повышения точности установки пузырька в нуль-пункт используют контактные
уровни. В таких уровнях изображение концов пузырька с помощью призменной
системы передается в поле зрения трубы (рис. 8, г). Несовмещенное положение
концов пузырька уровня соответствует наклонному положению оси цилиндрического
уровня, совмещенное - горизонтальному. Опыт показывает, что точность
контактного уровня обычно в 3 - 4 раза выше точности цилиндрического.
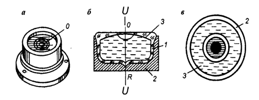
Круглый
уровень (рис. 9) представляет собой цилиндрический стеклянный резервуар 1,
внутренняя сторона 3 которой является частью сферической поверхности
определенного радиуса. Резервуар заполнен серным эфиром или спиртом и заключен
в металлическую оправу 2, прикрепляемую к прибору тремя винтами.
Рис.9.
Круглый уровень: а - общий вид; б - разрез; в - вид сверху
На
наружной поверхности резервуара выгравировано несколько окружностей с общим
центром 0, являющимся нуль-пунктом круглого уровня.
Линия
радиуса внутренней сферической поверхности, проходящая через нуль-пункт,
называется осью круглого уровня. Если пузырек круглого уровня находится в
нуль-пункте, т. е. расположен концентрично с окружностями, то его ось занимает
отвесное положение.
Круглые
уровни отличаются простотой конструкции и удобством в работе, но менее
чувствительны, чем цилиндрические; обычно цена деления составляет 5' и более.
Поэтому круглые уровни используются для предварительного приведения осей приборов
в отвесное положение, а также в случаях, когда не требуется большой точности в
установке приборов.
.4
Вертикальный круг теодолита
Вертикальный
крут служит для измерения углов наклона и зенитных расстояний. В инженерной
практике измеряют преимущественно углы наклона.
Устройство
вертикального круга. Вертикальный круг теодолита состоит из лимба и алидады.
Лимб вертикального круга жестко закреплен на оси вращения зрительной трубы и
вращается вместе с ней; при этом нулевой диаметр лимба (0° - 180° или 0° - 0° в
зависимости от оцифровки лимба) должен быть параллелен визирной оси трубы.
Алидада вертикального круга при вращении трубы остается неподвижной.
На
алидаде вертикального крута закреплен цилиндрический уровень, который
предназначен для приведения линий нулей (отсчетных индексов) алидады при
измерении углов наклона в горизонтальное положение. С этой целью перед взятием
отсчетов по вертикальному кругу пузырек уровня должен быть приведен в
нуль-пункт с помощью наводящего винта алидады.
Уровень
укрепляется на алидаде таким образом, чтобы его ось U2 - U2 была параллельна
линии нулей (нулевому диаметру) алидады 00 (рис. 10, а). При соблюдении этого
условия после установки на лимбе нулевого отсчета и приведения пузырька уровня
в нуль-пункт визирная ось зрительной трубы будет горизонтальна.
Рис.10.
Вертикальный круг
В
теодолитах типов ТЗО и Т15 уровень при алидаде вертикального круга отсутствует;
его функции выполняет цилиндрический уровень при алидаде горизонтального круга,
пузырек которого устанавливается в нуль-пункт подъемными винтами теодолита.
У
многих оптических теодолитов (Т15К, Т5К) уровень при алидаде вертикального
круга заменяет специальная оптическая система - компенсатор, который
автоматически устанавливает указатель отсчетного микроскопа (индекс шкалы) в
необходимое положение.
В
современных теодолитах используются две основные системы оцифровки вертикальных
кругов:
азимутальная
(круговая), при которой деления круга подписаны от 0 до 360° по ходу часовой
стрелки (теодолит Т15, T5) либо против хода часовой стрелки (теодолит ТЗО);
секторная,
при которой вертикальный круг разбит на четыре сектора, из которых два
диаметрально противоположных сектора имеют положительную оцифровку, а два
других - отрицательную (2Т30, Т15К, 2Т5 и др.). Подобная система надписей более
удобна, так как отсчеты градусов получаются одинаковыми по обеим сторонам
вертикального утла, что упрощает вычисления углов наклона.
Теория
вертикального круга. Угол наклона представляет собой разность двух направлений
в вертикальной плоскости. Одно из направлений должно соответствовать
горизонтальному положению визирной оси зрительной трубы. В случае совпадения
нулевых диаметров лимба и алидады (отсчетного устройства) при горизонтальном
положении визирной оси трубы и оси цилиндрического уровня отсчет по
вертикальному кругу должен равняться нулю. Тогда отсчет по вертикальному кругу
при визировании на наблюдаемую цель дает значение угла наклона v. Однако на
практике при горизонтальном положении визирной оси трубы W и оси
цилиндрического уровня U2U2 отсчет по вертикальному кругу может оказаться
равным не нулю, а некоторой величине, называемой местом нуля МО (рис. 10, б).
Как следует из рис. 10, б, величина МО представляет собой угол, обусловленный
непараллельностью нулевого диаметра алидады 00 и оси цилиндрического уровня, т.
е. линии горизонта.
Местом
нуля МО вертикального круга называется отсчет по вертикальному кругу при
горизонтальном положении визирной оси трубы и оси цилиндрического уровня при
алидаде вертикального круга.
Если
место нуля заранее неизвестно, то угол наклона v и МО можно определить по
результатам двух отсчетов, полученных при визировании на наблюдаемую цель при
двух положениях вертикального круга относительно зрительной трубы (со стороны
окуляра): «круге право» (КП) и «круге лево» (КЛ). При этом вид формул, по
которым вычисляют значения v и МО, зависит от системы оцифровки лимба
вертикального круга.
.
Азимутальная оцифровка лимба (теодолиты Т15 и Т5). Как видно из рис. 44, в, при
визировании на точку М при двух положениях трубы (КП и КЛ) угол наклона v можно
определить из отсчетов по вертикальному кругу и значению МО:
при
«круге право» v = КП-МО;
при
«круге лево» v = 360-КЛ+МО, (9)
или,
отбросив полную окружность (360°), получим
=
МО-КЛ. (10)
Решая
уравнения и относительно v и МО, имеем
=
;
МО
=
. (11)
Следует
иметь в виду, что формулы (10), (11) справедливы в том случае, если отсчеты
берутся по стороне лимба, ближайшей к окуляру. Если же при КП и КЛ отсчитывание
производится по одной стороне лимба, то отсчеты при КЛ увеличиваются на 180°,
тогда значения МО и угла наклона v определятся по формулам:
МО
=
;
v
=
;
v
= МО-(КЛ+180⁰)=КП-МО. (12)
Нетрудно
убедиться, что для теодолитов с круговой оцифровкой вертикального круга против
часовой стрелки (теодолит ТЗО) значения МО и углов наклона могут быть
рассчитаны по формулам:
МО
=
;=
;
v
= КЛ-МО = МО-(КП+180). (13)
При
вычислениях по всем вышеприведенным формулам (9) - (13) следует
руководствоваться следующим правилом: к величинам отсчетов КП, КЛ и МО, меньшим
90°, необходимо прибавлять 360°.
.
Секторная оцифровка лимба вертикального круга от нуля в обе стороны - по ходу и
против хода часовой стрелки (теодолиты 2Т30, 2Т15, 2Т5 и др.).
Для
указанных теодолитов вычисление МО и углов наклона можно выполнять по формулам
(10) - (13), исключив из них значение 180°, т. е.
МО
=
;=
;
v
= КЛ - МО = МО - КП. (14)
При
этом добавлений 360° делать не нужно.
Таким
образом, особенностью измерения углов наклона является необходимость
определения места нуля вертикального крута. В принципе углы наклона могут быть
вычислены по формулам без предварительного определения МО. Однако на практике
МО вычисляют на каждой станции, так как его постоянство (в пределах допустимых
отклонений) служит надежным контролем правильности измерения углов наклона при
КП и КЛ.
.
Устройство технических теодолитов
Из
всех типов, применяемых в настоящее время оптических теодолитов рассмотрим
устройство технических теодолитов ТЗО, Т15 и их модификаций.
Теодолит
ТЗО (рис. 11, а) является малогабаритным повторительным теодолитом закрытого
типа. Он устанавливается на головку штатива вместе с круглым основанием 10
металлического упаковочного футляра и прикрепляется становым винтом. К
основанию наглухо прикреплена подставка 8 с тремя подъемными винтами 9. Лимб и
алидада имеют зажимные (на рис. не видны) и наводящие винты 1 и 7. Зажимные
(закрепительные) винты лимба и алидады обеспечивают как совместное, так и
раздельное вращение этих частей теодолита, что позволяет измерять углы
способами приемов и повторений. Полая (в смысле конструкции) вертикальная ось
теодолита дает возможность использовать зрительную трубу для центрирования
прибора над точкой.
Рис.11.
Теодолиты: а-Т30; б-Т15; в-3Т30П; г-4Т15П.
На
корпусе алидады установлен цилиндрический уровень, с помощью которого ось
вращения прибора приводится в отвесное положение подъемными винтами. Так как
алидада вертикального круга не имеет уровня, то уровень горизонтального круга
располагается параллельно коллимационной плоскости. Внутри колонки закреплены
втулки, в которых вращается ось зрительной трубы. К корпусу трубы прикреплен
вертикальный круг. Вертикальный круг снабжен зажимным (закрепительным) 5 и
наводящим 6 винтами.
Зрительная
труба с внутренним фокусированием имеет увеличение 20х и оснащена просветленной
оптикой. Фокусирование трубы осуществляется вращением кремальеры, установка
сетки нитей по глазу наблюдателя - вращением диоптрийного кольца окуляра.
Перемещение сетки нитей производится с помощью юстировочных винтов, закрываемых
защитным колпачком. По обе стороны трубы имеются оптические визиры для ее
грубого наведения на наблюдаемые предметы.
Горизонтальный
и вертикальный угломерные круги диаметром 70 мм - стеклянные. Крути разделены
делениями от 0 до 360° через 10', каждое градусное деление оцифровано. С
помощью специальной оптической системы изображение горизонтального и
вертикального круга передается в поле зрения отсчетного микроскопа-оценщика
(см. рис. 8) окуляр которого расположен рядом с окуляром зрительной трубы
Отсчет и оценка долей наименьшего деления круга производится пс неподвижному
индексу. Угломерные круги освещаются с помощью откидного зеркала 3.
Для
наблюдения предметов, расположенных под утлом более 45° * горизонту, а также
для центрирования теодолита над точкой используются окулярные насадки,
надеваемые на окуляры зрительной трубы и отсчетного микроскопа 2, Теодолит
снабжен съемной буссолью, устанавливаемой в посадочный паз 4 на боковой крышке
вертикального круга.
В
1981 г. теодолит ТЗО заменен новой моделью 2Т30, которая отличается от базовой
применением шкалового микроскопа с пятиминутной ценой деления шкал
горизонтального и вертикального кругов. Это дает возможность брать отсчеты по
лимбам с ценой деления в 1° с точностью до 0,5' (см. рис. 9, в). Вертикальный
круг имеет секторную оцифровку от 0 до +75° и от 0 до -75°. Теодолит 2Т30П
имеет зрительную трубу прямого изображения.
Новая
модификация теодолита 4Т30П снабжена съемной подставкой со встроенным
оптическим центриром (рис.11, в) и зрительной трубой прямого изображения.
Средние квадратические погрешности измерения одним приемом горизонтального и
вертикального углов составляют соответственно 20 и 30".
Теодолит
Т15 (рис. 11, б) с повторительной системой вертикальной оси имеет ряд
особенностей. Наводящий винт 10 алидады горизонтального круга соосен с
соответствующим зажимным винтом 9. Юстиро-вочный винт 6 цилиндрического уровня
выведен на колонку. В полой оси алидады расположен объектив оптического
центрира, а его окуляр закреплен в алидадной части теодолита.
Корпус
зрительной трубы изготовлен совместно с горизонтальной осью, имеющей на концах
цапфы, с помощью которых она устанавливается в эксцентриковых лагерах колонки.
Зрительная труба с внутренним фокусированием имеет увеличение 25х.
Фокусирование трубы осуществляется вращением кремальеры 5. По обе стороны трубы
расположены оптические визиры 4 для предварительного наведения на цель.
Вертикальный
крут имеет зажимной 7 и наводящий 8 винты, расположенные соосно. На алидаде
вертикального круга закреплен цилиндрический уровень 3. Перед отсчитыванием по
вертикальному кругу пузырек уровня приводят в нуль-пункт наводящим винтом 2.
У
теодолитов Т15К и 2Т15К роль уровня выполняет самоустанавливающаяся система
оптического компенсатора. Диапазон действия компенсатора ±4', точность
компенсации - 5". Горизонтальный и вертикальный стеклянные угломерные
круги разделены и оцифрованы через 1°. Оцифровка вертикального крута выполнена
по секторам: от 0 до +75° и от 0 до -75°. Отсчеты производятся по одной стороне
угломерных кругов с точностью до 0⁰1'.
Изображение штрихов и цифр передается в поле зрения отсчетного шкалового
микроскопа (см. рис. 4, б), окуляр которого расположен рядом с окуляром
зрительной трубы прямого изображения. Теодолит Т15К может быть как
повторительного, так и неповторительного типа.
Теодолит
закрепляется в съемной подставке 11. В комплект теодолита входят съемная
ориентир-буссоль, а также окулярные насадки зрительной трубы и отсчетного
микроскопа для удобства визирования при больших углах наклона. Прибор может
быть снабжен электроосветителем отсчетного микроскопа, выполненным во
взрывобезопасном исполнении.
Новая
модель 4Т15П (рис. 11, г) снабжена зрительной трубой прямого изображения.
Отсчетная система теодолита - микрометр с ценой деления шкалы 10".
Устройство
точных теодолитов Т5 и Т2 и их модификаций рассмотрено во второй части учебного
пособия.
.
Поверки и юстировки теодолита
Перед
началом измерений теодолит необходимо тщательно осмотреть и проверить, так как
даже серийно выпускаемые приборы имеют свои индивидуальные особенности. В
первую очередь производят проверку и регулировку его механических деталей,
обращая внимание на состояние и работу всех винтов прибора: подъемных, зажимных
и наводящих винтов лимба и алидады, наводящего винта уровня вертикального
крута, исправительных (юстировочных) винтов уровней, колонок, сетки нитей и т.
п. Вращение лимба и алидады должно быть плавным, без заеданий и колебаний.
Горизонтальный и вертикальный угломерные круги не должны иметь механических
повреждений; изображения делений шкал и сетки нитей должны быть четкими.
Зрительная труба должна быть уравновешенной (центр тяжести должен находиться в
районе оси ее вращения) и иметь свободное вращение. Присутствие пыли и грязи на
оптических деталях прибора не допускается. После внешнего осмотра теодолита
выполняют его поверки и юстировки.
Для
обеспечения выполнения нарушенных условий производят юстировку (регулировку)
прибора.
Рассмотрим
основные поверки и юстировки технических теодолитов.
В
соответствии с принципом измерения горизонтального угла конструкция теодолита
должна удовлетворять следующим основным геометрическим условиям (см. рис. 6).
.
Ось цилиндрического уровня U1Ul должна быть перпендикулярна к оси вращения
теодолита ZZ. Визирная ось зрительной трубы W должна быть перпендикулярна к
горизонтальной оси теодолита (оси вращения трубы) НН.
Горизонтальная
ось теодолита НН должна быть перпендикулярна к оси вращения теодолита ZZ.
Дополнительные
геометрические условия вытекают из теории измерения вертикальных углов. Поверки
должны выполняться в последовательности, в которой они изложены далее.
.
Поверка цилиндрического уровня. Ось цилиндрического уровня алидады
горизонтального круга должна быть перпендикулярна к оси вращения теодолита.
Выполнение
этого условия позволяет с помощью уровня устанавливать ось вращения теодолита в
отвесное положение, а следовательно, плоскость лимба в горизонтальное.
Пусть
ось уровня неперпендикулярна к оси вращения теодолита ZZ и составляет с ней
угол β (рис. 12, а). Тогда при приведенном на середину
ампулы пузырьке уровня ось вращения прибора не будет отвесной. При повороте
алидады горизонтального круга вместе с уровнем вокруг оси ZZ пузырек сойдет с середины
на n делений, и ось уровня займет новое положение U1U1.
Как видно рис. 12, а, при этом ось уровня составит со своим горизонтальным
положением UU некоторый угол δ = μn,
где μ - цена деления уровня. Очевидно, что если привести
ось уровня в положение биссектрисы U1U1 угла δ, то она окажется перпендикулярной к оси вращения
теодолита, так как 2β + δ = 180°,
следовательно, β
+ δ/2 = 90°.
Рис.
12. Схема поверок теодолита
Из
вышеизложенного вытекает способ поверки данного условия. Ось поверяемого уровня
устанавливают по направлению двух подъемных винтов и вращением их в разные
стороны приводят пузырек уровня в нуль-пункт. Вращением алидады вокруг оси ZZ
поворачивают уровень на 180°. Если после поворота пузырек уровня останется в
нуль-пункте, то условие перпендикулярности осей UU и ZZ выполняется. При
смещении пузырька производится исправление положения уровня. Для этого пузырек
уровня перемещают по направлению к нуль-пункту на половину дуги отклонения с
помощью исправительных винтов при уровне.
После
юстировки уровня следует повторить поверку и убедиться в выполнении требуемого
условия. Практически условие считается выполненным, если после поворота на 180°
пузырек уровня отклоняется от нуль-пункта в пределах одного деления шкалы
ампулы цилиндрического уровня.
Перед
выполнением следующих поверок необходимо тщательно привести ось вращения
теодолита в отвесное положение по исправленному цилиндрическому уровню, т. е.
выполнить горизонтирование теодолита.
Уровень
устанавливают по направлению двух подъемных винтов и вращением их в разные
стороны выводят пузырек уровня в нуль-пункт. Затем поворачивают алидаду
примерно на 90° и третьим подъемным винтом выводят пузырек на середину ампулы.
Эти действия повторяют до тех пор, пока пузырек не будет оставаться на середине
ампулы при любом положении алидады.
.
Поверка положения коллимационной плоскости. Визирная ось зрительной трубы
должна быть перпендикулярна к горизонтальной оси теодолита.
Как
известно, визирная ось трубы проходит через оптический центр объектива и
перекрестие сетки нитей. Если указанное условие выполняется, то при вращении
трубы вокруг горизонтальной оси визирная ось образует коллимационную плоскость.
При несоблюдении условия визирная ось будет описывать не плоскость, а две
конические поверхности.
Угол
с между фактическим положением визирной оси ОК и требуемым положением ОК (рис.
12, б) называется коллимационной погрешностью.
Для
поверки данного условия на местности выбирают ясно видимый удаленный предмет N
и, визируя на него при двух положениях вертикального круга (КП и КЛ), берут
отсчеты по лимбу горизонтального крута M1 и М2. Как видно из рис. 12, б, при КП
отсчет по лимбу М1; будет меньше правильного отсчета М на величину х, а при КЛ
отсчет М2 будет больше правильного отсчета М + 180° на ту же величину х, т. е.
при КП М = M1 + х, при КЛ М + 180° = М2 - х. Решая полученные уравнения
относительно х и М, имеем:
х
=
;
х
=
. (15)
Следует
учесть, что величина х является проекцией угла на горизонтальную плоскость
лимба и меняется в зависимости от угла наклона визирной оси; для угла наклона,
равного 0°, х = с при обоих положениях трубы. Поэтому при выполнении поверки
линия визирования должна быть по возможности горизонтальной.
Как
следует из выражения, среднее из отсчетов по лимбу, взятых при двух положениях
вертикального круга, свободно от влияния коллимационной погрешности. Поэтому
измерение горизонтальных углов следует производить при двух положениях трубы
(КП и КЛ).
Если
величина коллимационной погрешности превышает точность отсчетного устройства,
то производят исправление положения визирной оси. Для этого по формуле
вычисляют правильный отсчет М и наводящим винтом алидады устанавливают отсчет М
+ 180° (при КЛ) на лимбе горизонтального круга. При этом алидада повернется на
угол х = с, а перекрестие сетки нитей отклонится от изображения наблюдаемой
точки N. Тогда, ослабив вертикальные винты оправы сетки нитей, с помощью
боковых юстировочных винтов перемещают сетку до совмещения ее перекрестия с
визирной целью. После этого сетку закрепляют вертикальными винтами и вновь
повторяют поверку.
. Поверка
положения горизонтальной оси теодолита. Горизонтальная ось теодолита должна
быть перпендикулярна к оси вращения теодолита.
Выполнение
условия необходимо для того, чтобы после горизонтирования теодолита
коллимационная плоскость занимала отвесное положение. Поверка может быть
выполнена двумя способами.
Первый
способ. На расстоянии 10 - 20 м от стены здания устанавливают теодолит и
визируют на высоко расположенную точку А на стене здания (рис. 12, в). Наклоняя
трубу, проектируют эту точку до горизонтального положения визирной оси и
отмечают на стене проекцию точки аг Повторив ту же операцию при втором
положении трубы, отмечают точку а2. Если точки a1 и а2 не совпадут, то условие
не выполнено, т. е. необходимо изменить положение горизонтальной оси теодолита
относительно вертикальной.
Второй
способ. На расстоянии 10 - 20 м от теодолита подвешивают отвес на длинной нити.
Наводят перекрестие сетки нитей на верхнюю точку отвеса и плавно опускают
зрительную трубу до горизонтального ее положения; при этом наблюдают, не сходит
ли изображение нити отвеса с перекрестия сетки нитей.
В
современных теодолитах соблюдение этого условия гарантируется
предприятием-изготовителем. Тем не менее поверка условия должна быть
обязательно выполнена.
В
случае несоблюдения условия исправление положения горизонтальной оси теодолита
в полевых условиях не производится; его выполнение допускается только в
специальной мастерской или в заводских условиях, так как требует частичной
разборки прибора.
Следует
учесть, что среднее из отсчетов по лимбу, взятых при наведении на точку при
двух положениях трубы (КП и КЛ), свободно от влияния наклона оси вращения
трубы.
. Поверка
сетки нитей. Вертикальный штрих сетки нитей должен
располагаться в коллимационной плоскости трубы. Или, иначе, горизонтальный
штрих сетки нитей должен быть перпендикулярным к оси
вращения теодолита
Выполнение
данного условия требуется для создания удобства при визировании на отвесные
предметы (например, вехи). Для этого, тщательно установив ось вращения
теодолита в отвесное положение, визируют на нить отвеса, подвешенного на расстоянии
5- 10 м от прибора. Если вертикальный штрих сетки нитей не совпадает с
изображением нити отвеса, то необходимо исправить ее положение путем поворота.
Для
этого слегка ослабляют винты, скрепляющие окулярную часть с корпусом трубы, и
поворачивают окулярную часть вместе с сеткой нитей до требуемого положения;
затем винты закрепляют. Отклонение вертикального штриха от отвесной линии
допускается не более чем на V3 величины биссектора сетки нитей.
После
юстировки второй основной штрих сетки должен быть горизонтальным, так как
взаимная перпендикулярность штрихов гарантируется заводом-изготовителем. Чтобы
убедиться в этом, наводят горизонтальный штрих на какую-либо точку и наводящим
винтом поворачивают алидаду горизонтального круга; при этом поверяемый штрих
должен оставаться на изображении точки. При невыполнении условия юстировку
повторяют.
.
Поверка места нуля. Место нуля МО вертикального круга должно быть равно 0° либо
близким к 0⁰
Для
поверки данного условия до начала работ несколько раз определяют МО из
измерений различных углов наклона при двух положениях зрительной трубы, чтобы
на практике убедиться в его постоянстве. Если среднее значение МО не превышает
двойной точности отсчетного устройства (МО < 2t), то оно не осложняет
вычислений. В противном случае МО необходимо привести к нулю либо сделать
близким к 0°.
В
зависимости от конструкции теодолита выполнение данной поверки имеет свои
особенности.
Для
теодолитов с цилиндрическим уровнем при алидаде вертикального круга (T5, T15) и
др. Действуя наводящим винтом зрительной трубы, устанавливают на вертикальном
круге отсчет, равный вычисленному значению МО; при этом пузырек уровня при
алидаде вертикального круга должен находиться в нуль-пункте. В результате
визирная ось трубы будет приведена в горизонтальное положение. Далее наводящим
винтом алидады совмещают нулевые штрихи отсчетного устройства и вертикального
круга; при этом пузырек уровня отклонится от нуль-пункта. Тогда с помощью
исправительного винта уровня снова приводят пузырек уровня в нуль-пункт. После
этого для контроля вновь определяют МО из измерений вертикального угла при КП и
КЛ и в случае необходимости повторяют юстировку.
Для
теодолитов с уровнем при горизонтальном круге (ТЗО, 2Т30 и др.) по отсчетам КЛ
и КП, полученным при визировании на один и тот же предмет, по формуле вычисляют
свободное от места нуля значение угла наклона v и наводящим винтом трубы
устанавливают его на вертикальном круге. При этом горизонтальный штрих сетки
сместится с визирной цели. Тогда, действуя вертикальными юстировочными винтами
сетки нитей, совмещают средний горизонтальный штрих сетки с изображением
наблюдаемой цели. После этого повторяют данную поверку и поверку коллимационной
погрешности. Для теодолитов с компенсатором вертикального круга (Т5К, 2Т5К и
др.). В теодолитах данного типа МО = 0° обеспечивается автоматически с помощью
специального оптического компенсатора вертикального круга, действующего в
диапазоне ±3,0 - 5,0'. При больших значениях МО указанная поверка должна
выполняться при установке компенсатора в среднее положение. Уменьшение величины
МО вертикального круга теодолитов Т5К и др. может быть достигнуто, как и в
предыдущем случае, перемещением основного горизонтального штриха сетки
вертикальными юстировочными винтами. В теодолитах 2Т5К и Т15К место нуля исправляют
вращением специального юстировочного винта компенсатора.
.
Установка теодолита в рабочее положение
При
измерении углов конечные точки сторон измеряемых углов закрепляют на местности
специальными знаками. Непосредственное визирование на знаки бывает затруднено в
силу условий местности. Поэтому эти знаки обозначают визирными целями - вехами,
шпильками и др. При работе в помещении в качестве визирных целей используют
заранее подвешенные на стены марки.
Поверенный
и юстированный теодолит устанавливают на штативе таким образом, чтобы острие
отвеса находилось над колышком, а головка штатива занимала приблизительно
горизонтальное положение на высоте груди наблюдателя. Ножки штатива при этом
должны быть вдавлены в грунт настолько, чтобы обеспечивалось устойчивое
положение прибора. При работе в помещении штатив устанавливают на полу в
специальных деревянных подставках, ограничивающих расхождение ножек штатива
(операция центрирования в этом случае не выполняется).
Центрирование
инструмента над вершиной измеряемого угла в зависимости от точности выполняемой
работы может быть выполнено при помощи нитяного отвеса или оптического
центрира.
При
центрирование при помощи нитяного отвеса выверенный теодолит прикрепляют
становым винтом к головке штатива. При помощи ножек штатива производят
предварительное центрирование, наблюдая при этом, чтобы головка штатива была
горизонтальна, а острие отвеса находилось в непосредственной близости от центра
знака, закрепляющего вершину угла. В результате предварительного центрирования
острие отвеса может отклоняться от центра знака на 1-2 см. Центрирование
уточняют передвижением теодолита на головке штатива. Для этой цели
предварительно открепляют становой винт, и после уточнения центрирования вновь
закрепляют.
При
центрирование при помощи оптического центрира сначала производят
предварительное центрирование при помощи нитяного отвеса в указанном выше
порядке. Далее отводят нитяной отвес в сторону, открепляют становой винт и,
слегка перемещая теодолит на головке штатива, вводят изображение точки в центр
окружности сетки оптического центрира, затем вновь закрепляют теодолит на
головке штатива при помощи станового винта. Приведение основной оси теодолит в
отвесное положение производят при помощи уровня на алидаде горизонтального
круга, действуя подъемными винтами. После приведения оси теодолита в отвесное
положение может быть нарушено центрирование. Поэтому, центрирование и
приведение оси теодолита в отвесное положение выполняют несколькими
последовательными приближениями.
Производят
поверку цилиндрического уровня и сетки нитей.
Установка
трубы для наблюдений состоит из трех действий: а) установки трубы по глазу, б)
установки трубы по предмету и в) устранение параллакса сетки нитей.
Чтобы
установить трубу по глазу, надо навести ее на светлый фон и, вращая окулярную
трубочку, добиться четкой видимости сетки нитей.
Для
установки трубы по предмету сначала визируют поверх нее, пользуясь
коллиматорным визиром (или другим приспособлением для визирования, имеющимся на
зрительной трубе). После того как наблюдаемый предмет попал в поле зрения
трубы, зажимают закрепительные винты лимба и зрительной трубы. Вращением кольца
кремальеры добиваются четкого изображения наблюдаемого предмета. Действуя
наводящими винтами алидады и зрительной трубы, совмещают центр сетки с
изображением визирного знака.
После
получения четкой видимости наблюдаемой точки местности и совмещения ее
изображения с центром сетки нитей надо слегка переместить глаз у окуляра. Если
изображение точки местности смещается относительно центра сетки нитей, то
параллакс имеется. Устранение параллакса сетки нитей производится небольшим
вращением кольца кремальеры.
.
Измерение горизонтальных углов
Общие
требования. Измерение углов следует выполнять поверенным теодолитом. Перед
началом измерений теодолит устанавливают в вершине измеряемого угла в рабочее
положение. На задней и передней точках А и В (направления ВА и ВС называют
соответственно младшим и старшим направлениями) в створе линий отвесно
устанавливаются вехи (рейки), на нижнюю часть которых осуществляют визирование
(рис. 13, а).
Рис.13.Способы
измерения горизонтальных углов
В
зависимости от конструкции приборов, условий измерений и предъявляемых к ним
требований применяются следующие способы измерения горизонтальных углов.
Способ
приемов (или способ отдельного угла) - для измерения отдельных углов при
проложении теодолитных ходов, выносе проектов в натуру и т. д.
Способ
круговых приемов - для измерения углов из одной точки между тремя и более
направлениями в сетях триангуляции и полигонометрии второго и более низких
классов (разрядов).
Способ
повторений - для измерения углов, когда необходимо
повысить точность окончательного результата измерения путем ослабления влияния
погрешности отсчитывания; используется при работе с техническими
повторительными теодолитами. В связи с распространением в геодезической
практике оптических теодолитов с высокой точностью отсчитывания по угломерным
кругам способ повторений в значительной мере утратил свое значение.
В
геодезии измеряют правые или левые по ходу горизонтальные утлы способом
приемов. При этом программа измерения должна предусматривать как можно более
полное исключение влияния основных погрешностей теодолита на точность измерения
угла.
Способ
приемов. При закрепленном лимбе вращением алидады визируют на заднюю точку А
(см. рис. 13, а). Сначала по оптическому визиру зрительную трубу наводят от
руки, пока визирная цель не попадет в поле зрения. Затем закрепляют зажимные
винты алидады и зрительной трубы и, отфокусировав зрительную трубу по предмету,
выполняют точное визирование с помощью наводящих винтов трубы и алидады
горизонтального круга. Осветив зеркалом поле зрения отсчетного микроскопа,
берут отсчет а по горизонтальному кругу и записывают его в журнал измерений
(табл. 2). Порядок записи отсчетов в журнале и обработки результатов измерений
показан номерами в круглых скобках.
Открепив
алидаду, визируют на переднюю точку С и по аналогии с предыдущим берут отсчет
Ь. Тогда значение правого по ходу угла Д измеренного при первом положении
вертикального круга (например, при К/7), определится как разность отсчетов на
заднюю и переднюю точки:
βКЛ = a - b (16)
Указанные
действия составляют один полуприем.
Проводят
трубу через зенит и повторяют измерения при втором положении вертикального
круга (при КП), т. е. выполняют второй полуприем. Вычисляют значение угла βКП.
При
измерении углов оптическим теодолитом с односторонним отсчитыванием перед
выполнением второго полуприема лимб горизонтального круга поворачивают на небольшой
(1 - 2°) угол; это позволяет не допустить грубых ошибок в отсчетах по лимбу и
исключить погрешность за счет эксцентриситета алидады.
В
случае, если отсчет на заднюю точку меньше отсчета на переднюю точку (см. табл.
2, первый полуприем), то при вычислении угла к нему прибавляют 360°.
Таблица
2
Журнал
измерения горизонтальных углов способом приемов
Дата
28.07.02 г. Теодолит 2Т30 Наблюдал Кенжегалиев Н.Х. Видимость хорошая № 25361
Вычисляла Грязнова О.В.
Два
полуприема составляют полный прием. Расхождение результатов измерений по
первому и второму полуприемам не должно превышать двойной точности отсчетного
устройства теодолита, т. е.
βКЛ
- βКП ≤ 2t.
(17)
Если
расхождение допустимо, то за окончательный результат принимают среднее значение
угла
β =
, (18)
Такой
результат будет свободен от влияния коллимационной погрешности и погрешности за
счет наклона оси вращения трубы. Измерение и вычисление левого по ходу
горизонтального угла (см. рис.13, а) про-
изводится
в аналогичной (см. табл. 2) последовательности с той лишь разницей, что левый
по ходу угол в каждом полуприеме рассчитывается как разность отсчетов на
переднюю и заднюю точки.
Значения
измеренных углов по каждому полуприему и среднее значение угла вычисляют на
станции, пока не снят теодолит.
Способ
круговых приемов. Устанавливают теодолит над точкой С (рис. 13, б) и, вращая
алидаду по ходу часовой стрелки, последовательно визируют на наблюдаемые точки
1, 2, 3 и повторно на точку 1 При наведении на каждую точку берут отсчеты по
лимбу. Такое измерение составляет первый полуприем. Повторное наведение на
начальную точку 1 (замыкание горизонта) выполняется, чтобы убедиться в
неподвижности лимба. Величина не замыкания горизонта не должна превышать
двойной точности отсчетного устройства теодолита. Затем трубу переводят через
зенит и при прежнем положении лимба, вращая алидаду против хода часовой
стрелки, визируют на точки 1, 3, 2, 1 и берут отсчеты по лимбу, т. е. выполняют
второй полуприем. Два полуприема составляют полный круговой прием.
Для
ослабления влияния погрешностей делений лимба и повышения точности измерений
углы измеряют несколькими приемами с перестановкой лимба между приемами на
величину 180°/m, где m - число приемов.
Способ
повторений. Сущность способа заключается в последовательном откладывании на
лимбе несколько раз величины измеряемого угла Р (рис.13, в).
Теодолит
в точке Т приводят в рабочее положение и устанавливают на лимбе отсчет, близкий
к 0°, Открепляют зажимной винт лимба и вращением лимба визируют на заднюю точку
А, по горизонтальному кругу берут начальный отсчет а0. Затем при открепленной
алидаде визируют на переднюю точку С и берут контрольный отсчет ак.
Переводят
трубу через зенит, открепляют лимб и повторно визируют на заднюю точку А при
втором положении вертикального круга; отсчет не берут, так как он будет равным
ак. Открепив алидаду, снова визируют на переднюю точку С и берут окончательный
отсчет b. Этим заканчивается измерение угла одним полным
повторением. Тогда величина горизонтального угла
β =
. (19)
Найденное
значение угла сравнивают с контрольным, определяемым по формуле
βК = aК - a0 . (20)
Расхождение
между окончательным и контрольным значениями угла не должно превышать
полуторной точности отсчетного устройства теодолита, т. е.
β - βК ≤ ± 1,5t. (21)
Для
повышения точности угол может быть измерен несколькими повторениями. При
измерении угла п повторениями нуль отсчетного устройства может перейти через
нуль лимба к раз. Так как каждый такой переход делает необходимым прибавление к
заключительному отсчету 360°, то конечное значение горизонтального угла
определится из выражения:
β =
,(22)
где
n - число повторений.
Величина
k находится с использованием контрольного угла β по формуле
k =
. (23)
.Погрешности
измерения горизонтальных углов
Измерения
углов неизбежно сопровождаются погрешностями систематического и случайного
характера. Систематические погрешности можно исключить применением
соответствующей методики наблюдений либо введением в результаты наблюдений
необходимых поправок. Действие случайных погрешностей может быть ослаблено
применением более совершенных приборов и методов измерений.
Точность
измерения горизонтального угла зависит в основном от приборных погрешностей
теодолита, погрешности способа измерения угла, точности центрирования теодолита
и визирных целей над точками и погрешностей за счет непостоянства внешней
среды.
При
работе с отъюстированным теодолитом полное или частичное исключение приборных
погрешностей предусматривается самой программой измерений, например измерением
угла при двух положениях зрительной трубы, при КЛ и КП,
Погрешность
способа измерения утла зависит от точности визирования и отсчитывания и может
быть рассчитана по формулам: при способе приемов
(24)
При
способе повторений
(25)
где
mβ - средняя квадратическая погрешность измерения угла; n -
число приемов или повторений; m0 - погрешность отсчета по лимбу, равная m0 =
t/2; t - точность отсчетного устройства теодолита; mv - погрешность визирования,
принимаемая равной mv = 60"/Г; Г- увеличение зрительной трубы.
Например,
при n = 2, t = 30" и Г= 20* получаем m0 =
15", mv = 3", mβ = 10,9", mβ’ = 5,6".
Как
видно из рассмотренного примера, погрешность угла значительно уменьшается при
его измерении способом повторений. Это объясняется меньшим влиянием погрешности
отсчитывания на точность измеряемого угла.
Влияние
неточной установки теодолита и вех над точками на погрешность измерения угла
обратно пропорционально длинам сторон. Чем короче стороны измеряемого угла и
чем ближе угол к 180⁰, тем точнее должно выполняться центрирование
теодолита. Так, при длинах сторон более 100 м допускается центрирование прибора
с точностью до 5 мм. При коротких сторонах погрешность центрирования не должна
превышать 1 - 2 мм.
Влияние погрешностей за счет непостоянства внешней среды может быть
снижено путем измерения горизонтальных углов в лучшие часы видимости, когда
горизонтальные колебания изображений наблюдаемых целей (боковая рефракция)
минимальны. Лучшим временем для производства точных и высокоточных измерений
горизонтальных углов являются утренние (до 10) и вечерние (с 15 до 16) часы.
Наблюдения следует начинать спустя час после восхода солнца и заканчивать за
час до его захода.
. Измерение вертикальных углов
В геодезии углы наклона линий в зависимости от их расположения
относительно линии горизонта могут быть положительными (углы возвышения) и
отрицательными (углы понижения). При измерении углов наклона перекрестие сетки
нитей наводят на визирные знаки; в качестве последних обычно используют вехи
(рейки), на которых отмечается точка визирования.
Теодолит устанавливают (рис.14) над точкой А в рабочее положение и
горизонтальным штрихом сетки визируют на наблюдаемую точку С при первом
положении вертикального круга (при КЛ), С отчетного микроскопа берут отсчет по
вертикальному кругу, который заносят в журнал измерений (табл.3)
Рис.14. Схема измерения вертикального угла
Таблица 3
Журнал измерения вертикальных углов
Дата 29.07.02 г. Теодолит ТЗО Наблюдала Касенова Д.Б. Видимость хорошая №
56272 Вычисляла Темирболатова Т.Т.
Перед каждым отсчетом пузырек уровня при алидаде вертикального круга с
помощью наводящего винта алидады выводят на середину ампулы. При работе с
теодолитом типа ТЗО перед отсчитыванием по вертикальному кругу следует
убедиться, что пузырек уровня при алидаде горизонтального круга находится в
нуль-пункте. В теодолитах с оптическими компенсаторами вертикального круга
отсчет берут спустя 2 секунды после наведения зрительной трубы на наблюдаемую
точку. Для исключения влияния МО вертикального круга измерения повторяют при
втором положении зрительной трубы (при КП). Значения угла наклона линии
визирования рассчитывают в зависимости от типа применяемого теодолита по одной
из формул. Правильность измерения вертикальных углов на станции контролируется
постоянством МО, колебания которого в процессе измерений не должны превышать
двойной точности отсчетного устройства.
. Измерение теодолитом магнитного и истинного азимутов направлений
Определение магнитного азимута теодолитом и буссолью. Магнитные азимуты
можно измерить с помощью ориентир-буссоли, входящей в комплект технических
теодолитов. Буссоль устанавливают в специальный паз в верхней части прибора и
закрепляют винтом. Магнитная стрелка показывает направление магнитного
меридиана, от которого отсчитывается магнитный азимут ориентируемого
направления.
Для измерения магнитного азимута направления теодолит с ориентир-буссолью
устанавливают над исходной точкой в рабочее положение. Положение магнитной
стрелки наблюдают в откидном зеркале. Устанавливают на горизонтальном круге
отсчет, равный 0°, освобождают арретиром (фиксирующим устройством) магнитную
стрелку буссоли и вращением лимба приближенно наводят зрительную трубу на
север. Затем закрепляют лимб и вращением наводящего винта лимба точно совмещают
северный конец магнитной стрелки с нулевым делением шкалы буссоли. При этом
линия визирования будет совпадать с направлением магнитного меридиана. Открепив
алидаду, визируют зрительной трубой по определяемому направлению и берут отсчет
по горизонтальному кругу. Значение отсчета будет соответствовать магнитному
азимуту направления Ам.
Если известна величина склонения магнитной стрелки S, то по измеренному
азимуту Ам можно рассчитать истинный азимут направления как
(26)
Определение истинного азимута по Солнцу, Более точным и достаточно
простым является способ определения азимута направления по наблюдениям Солнца на
одинаковых высотах. Направление из точки местности на самую высокую точку,
занимаемую Солнцем в течение дня, совпадает с южным направлением истинного
меридиана.
Тщательно поверенный теодолит за 3 - 4 часа до полудня устанавливают над
точкой М в рабочее положение (рис. 15), вращением алидады визируют на точку N
ориентируемого направления MN и берут отсчет по горизонтальному кругу п.
Наблюдения начинают в 10-11 часов по местному времени.
На окуляр надевают насадку с призмой и светофильтром и наводят зрительную
трубу на Солнце так, чтобы Солнце располагалось в верхнем правом углу поля
зрения. Закрепляют трубу и с учетом видимого в трубу движения Солнца (на рис.
15 указано стрелками), действуя наводящими винтами алидады горизонтального
круга и зрительной трубы, фиксируют момент, когда изображение Солнца коснется
одновременно вертикальным и средним горизонтальным штрихами сетки (положение
А,). Берут отсчеты по горизонтальному кругу а1; и вертикальному кругу n1 и фиксируют время наблюдения t1. До
полудня примерно через каждые полчаса повторяют наблюдения (например, положение
B1 отсчет по горизонтальному кругу b1;).
Рис.15. Схема наблюдений Солнца для определения истинного азимута
направления
Траектория движения Солнца от зенита к западу примерно симметрична кривой
пути его подъема в зенит. Поэтому после полудня наблюдения выполняют в моменты,
когда оно находится на высотах, при которых его наблюдали до полудня, но в
обратной последовательности. При каждом наблюдаемом положении Солнца (В2, А2)
берут отсчеты по горизонтальному кругу (b2, а2).
Отсчеты по горизонтальному кругу, соответствующие наведению зрительной
трубы на южное направление меридиана, определятся как
(27)
где k1, k2 - поправки в минутах за счет неравномерного (неполной
симметрии траектории) движения Солнца до полудня и после полудня, определяемые
по формуле
(28)
здесь t - половина промежутка времени в минутах между парными
наблюдениями; ∆δ - изменение склонения Солнца за 1 минуту времени,
принимаемое по астрономическому ежегоднику; φ - широта точки наблюдения,
определяемая по карте с точностью до десятой доли градуса; I5t - половина
времени в минутах между парными наблюдениями, исходя из того, что за 1 минуту
Земля поворачивается на 15'. Если наблюдения выполнялись с 22 декабря по 21
июня, то поправка к I берется со знаком «минус», а с 22 июня по 21 декабря - со
знаком «плюс».
Как следует из рис. 15, истинный азимут направления MN будет равен:
(29)
За окончательное значение азимута принимают среднее. Погрешность
определения азимута направления рассмотренным способом обычно не превышает 1'.
Определение истинного азимута гиротеодолитом. К числу геодезических
приборов, предназначенных для автономного определения истинных азимутов
направлений, относятся гиротеодолиты (гирокомпасы). Гиротеодолит представляет
собой угломерный прибор, сочетающий в себе чувствительный элемент - гироскоп
как датчик направления истинного меридиана и теодолит.
Рис. 16. Принципиальная схема устройства гироскопа: а - свободного; б -
маятникового
Под гироскопом понимают твердое тело (ротор), быстро вращающееся вокруг
оси симметрии, положение которой в пространстве может меняться. Гироскоп
называется свободным, если он имеет три степени свободы, а неподвижная точка
совпадает с точкой пересечения осей подвеса ротора и совмещена с центром
тяжести гироскопа (рис. 16, а).
При конструировании гиротеодолитов наибольшее распространение получили
маятниковые гироскопы (рис. 16, б), в которых свобода вращения вокруг оси у
частично ограничена грузом О. В результате этого центр тяжести 0 сместится вниз
по оси z в точку 0v что вынуждает ось х принять положение, параллельное
плоскости горизонта.
Принцип действия гироскопа как датчика направления истинного меридиана
обусловлен действием на главную ось двух сил - суточного вращения Земли и силы
тяжести (груз О). Сила тяжести направлена к центру Земли, поэтому под ее воздействием
ось гироскопа старается занять горизонтальное положение. В то же время
вследствие вращения Земли ось гироскопа стремится расположиться параллельно оси
вращения Земли, т. е. в плоскости истинного меридиана.
Гироскопический азимут ориентируемой линии определяется по формуле
(30)
где п - отчет по горизонтальному кругу, соответствующий направлению
ориентируемой линии; п0 - отсчет по горизонтальному кругу, соответствующий
направлению истинного меридиана (положение динамического равновесия оси
гироскопа).
Истинный азимут направления определится как
(31)
где Аг - приборная поправка гиротеодолита, определяемая из эталонирования
прибора на исходных направлениях с известными азимутами. Определение азимутов
направлений методом гироскопического ориентирования не зависит от погодных
условий, времени года и суток, магнитных аномалий и физико-географических
особенностей района работ; ориентируемые направления могут располагаться как на
поверхности, так и в подземных или закрытых сооружениях. Отечественный
гиротеодолит МТ-1 позволяет за 45 минут при наблюдении четырех последовательных
точек реверсии определять азимуты направлений с погрешностью порядка 10".
Указанные достоинства гироскопического метода ориентирования направлений
позволяют широко использовать его в геодезической практике.
. Понятие об электронных и лазерных теодолитах
Наиболее перспективными с точки зрения автоматизации угловых измерений
являются электронные (цифровые) теодолиты. При их использовании роль
наблюдателя сводится к визированию на наблюдаемые цели, анализу и оценке
точности измерений.
Отличительной особенностью электронного теодолита является наличие в его
конструкции цифрового преобразователя угла (ЦПУ) в цифровой код. Основными
элементами ЦПУ являются кодирующий диск, индексная диафрагма и
фотоэлектрическая считывающая система. Кодирующий диск и индексная диафрагма
представляют собой соосно расположенные стеклянные диски, на обращенных друг к
другу поверхностях которых нанесены концентрические кодовые дорожки с
прозрачными и непрозрачными сегментами. В этом случае значение наблюдаемого
направления (отсчет по кодовому лимбу) представляется сочетанием двух сигналов:
«темно - светло». Тем самым в основу кода положена двоичная система счисления.
Регистрация информации с кодового лимба может осуществляться на
фотопленку, перфоленту, магнитную ленту, световое табло или обычную
компьютерную дискету.
К настоящему времени разработан целый ряд конструкций электронных
теодолитов, различающихся типом отсчетного кодового устройства, способом
считывания информации и регистрации результатов измерений и точностью. Из
первых отечественных приборов можно отметить кодовые теодолиты ТК и ТТ11.
Кодовый теодолит ТК с фотографической регистрацией предназначен для
измерения горизонтальных углов в теодолитных и тахеометрических ходах при
создании съемочных сетей; средняя квадратическая погрешность измерения угла
одним приемом составляет 0,0015 град (5"). Декодирование фотопленки с
результатами измерений выполняется с помощью считывателя фильмов СФ-400 или
вручную при наличии инструментального микроскопа.
Кодовый теодолит ТТ11 создан на базе точного теодолита 2Т2 и предназначен
для измерения углов в ходах полигонометрии и триангуляции 1-го и 2-го разрядов
с погрешностью не более 5". Особенностью его конструкции является то, что
снимаемые показания высвечиваются на двух цифровых табло, расположенных на
противоположных сторонах колонки прибора. Цифровой отсчет получают путем
применения преобразователя типа «угол - код - цифра». Кодовый лимб имеет три
штриховые кодовые дорожки, а в оптический канал прибора введены
фотоэлектрическое сканирующее (считывающее) устройство и счетно-логическая
электронная схема с цифровым табло. Теодолит имеет выход на блок автоматической
регистрации показаний (накопитель информации) в двоичном коде.
Использование теодолита при измерении угла на станции четырьмя полными
приемами позволяет повысить производительность труда на 60%,
В настоящее время отечественной промышленностью освоен выпуск
электронного теодолита VEGA TEO-5B (рис. 17). Теодолит предназначен для
измерения углов при создании плановых и высотных съемочных сетей. Значение
измеренных углов высвечивается на цифровом табло с точностью до 5".
Из зарубежных кодовых теодолитов следует отметить теодолитов КО-В1 с
фотоэлектрической регистрацией, разработанный фирмой МОМ (Венгрия). Отсчеты по
угломерным кругам производятся автоматически, измеренные величины можно
фиксировать на перфоленту, использовать цифро-печать, считывать визуально с
цифрового индикатора или передавать в телеграфную сеть. При наблюдении
неподвижных целей регистрируют одиночные отсчеты либо серии, состоящие из 2 -5
отсчетов. Средняя квадратическая погрешность измерения угла составляет
0,7".

Рис. 17.
Электронный теодолит VEGA TEO-5B
К числу современных электронных теодолитов относятся теодолиты Т1000 и
Т2000 (Швейцария), Eth3 и Eth4 (ФРГ), приборы серий DTr EtL и NE (Япония) и др.
Использование электронных теодолитов не только существенно упрощает и
ускоряет полевые наблюдения, но и делает сами измерения менее субъективными.
Новым развивающимся направлением геодезического приборостроения является
создание лазерных геодезических приборов и систем различного назначения, в том
числе и лазерных теодолитов.
Лазерным называется теодолит, в котором параллельно визирной оси
зрительной трубы либо вдоль этой оси направлен узкий пучок лазерного излучения.
Серийные оптические теодолиты могут оснащаться лазерными насадками с
совмещенными осью лазерного пучка и визирной осью зрительной трубы или с
параллельно расположенными осями. При совмещении осей лазерный пучок может
вводиться в зрительную трубу с помощью гибких световодов или системы призм.
В качестве источников излучения используются оптические квантовые
генераторы (ОКГ) - лазеры, обеспечивающие высокую направленность (малую
расходимость) и большую спектральную плотность лазерного потока. В лазерных
теодолитах обычно применяются газовые (преимущественно гелий-неоновые) лазеры
непрерывного действия.
Для регистрации положения центра лазерного пучка в точках визирования
используют экран с нанесенной на него сеткой квадратов или маркой в виде
концентрических окружностей, а для автоматической регистрации -
фотоэлектрические датчики. Некоторые виды фотоэлектрических приемных устройств
позволяют фиксировать положение лазерного луча с точностью до 0,1 мм на
расстоянии 100 м.
Разработанные в нашей стране модели лазерных теодолитов в основном
предназначены для выполнения разбивочных работ, когда от видимых опорных линий,
создаваемых лазерным пучком, выполняются необходимые измерения. Лазерные теодолиты
часто изготавливаются на основе обычных теодолитов.
В лазерном теодолите ЛТ-75, выполняемом на базе теодолита ТТ 2/6,
использован лазер ЛГ-75 мощностью 30 мВт (милливатт). Лазерный излучатель
съемный и на его место можно установить зрительную трубу теодолита. Наведение
на цель осуществляется дополнительной зрительной трубой. Устроенный на
теодолите квадрант позволяет задать нужный уклон лазерного пучка с точностью до
10". Прибор предназначен для задания направлений большой протяженности при
строительстве гидротехнических сооружений.
Лазерный теодолит ЛТ-56 создан на базе горного теодолита ТГ-1 и
малогабаритного лазера ЛГ-56 мощностью 2 мВт; может питаться от аккумулятора.
Для наведения пучка лазера на цель на кожухе укреплена визирная труба.
Используется при оперативных разбивочных работах на строительных площадках и
для контроля за проведением подземных горных выработок.
Для выполнения строительно-монтажных работ с высокой точностью в ЦНИИГАиК
разработан на базе теодолита Т2 оригинальный лазерный теодолит (рис.18). В нем
лазерный источник крепится сверху на подставках теодолита, позволяя зрительной
трубе беспрепятственно вращаться вокруг горизонтальной оси на 360˟
Лазерный луч вводится в зрительную трубу системой зеркал и линз. Прибор может
работать и как лазерный, и как обычный теодолит.
Рис. 18.Схема лазерного теодолита конструкции ЦНИИГАиК
Из зарубежных лазерных теодолитов можно выделить две основные группы
приборов, выполненных:
В виде насадок к серийным оптическим теодолитам - GLO-1, GLO-2 и GLA-1, GLA-2,
GLA-3 для теодолитов Т1 А, Т16 и Т2 фирмы «Вильд» (Швейцария), FVL фирмы «Отто
Феннель» (ФРГ) и др.;
В виде самостоятельных приборов - LT3 (США), LG68 (ФРГ), SLT-20 (Япония)
и др.
Широкое применение лазерных приборов открывает новые перспективы автоматизации
измерительного процесса, повышает производительность труда и в ряде случаев
повышает точность измерений.
Заключение
Теодолит является одним из самых известных и распространенных
геодезических приборов, сравнительно недавно он был основным рабочим
инструментом геодезистов. В настоящее время на рынке геодезического
оборудования имеется большой выбор теодолитов различных марок (RGK, Vega, УОМЗ,
Geobox, Topcon, Sokkia, Boif, Foif, ADA, Nikon, CST/Berger, Suoth, Pentax,
Spectra Precision)
Теодолиты имеют оптические компенсаторы, принцип действия которых основан
на действии силы тяжести, т.е. на маятниковом подвесе установлена призма,
которая при отклонении прибора стремится занять вертикальное положение, тем
самым производится устранение ошибки установки теодолита - компенсация.
Компенсатор позволят выполнять теодолитом нивелирование. В России оптические
теодолиты производит Уральский оптико-механический завод (УОМЗ), в настоящее
время на указанном предприятии также выпускают электронные теодолиты и тахеометры.
Модельный ряд приборов, выпускаемых на УОМЗ: теодолит 2т30, теодолит 2т30п,
теодолит 4т30п, теодолит 14т15п, теодолит 3т5кп, теодолит 3т2кп. В зависимости
от точности измерения горизонтального угла, теодолиты подразделяют на:
высокоточные, точные и инженерные.
Оптический теодолит представляет собой сложный прибор, который состоит из
трёх основных узлов - подставки с трегером, зрительной трубы и корпуса прибора
(колонки) - и более мелких: кремальера, окуляр микроскопа, визир, уровень
алидады, наводящий винт, закрепительный винт трубы, зеркало подсветки, рукоятка
перевода лимба, закрепительный винт алидады, юстировочный винт, диоптрийное
кольцо окуляра, наводящий винт трубы.
Электронный теодолит имеет практически туже компоновку. Корпус
инструмента является несущим элементом, также в нём располагаются отсчётная
система. Зрительная труба - это оптическая система, предназначенная для точного
наведения на цель, для этого она имеет сетку нитей. Подставка с трегером
необходима для горизонтирования теодолита.
Список использованной литературы
. Поклад
Г.Г., Гриднев С,П, «Геодезия» Учебник для вузов.- М: Академический проект,
2007. - 592с.
. Михелев
Д.Ш. «Инженерная геодезия» Д.Ш. Михелев. - М.: Академия, 2004. - 481 с.
. Пильник
Ю.Н. Теодолит: метод. указания к выполнению лабораторной работы / Ю.Н. Пильник,
С.Б. Дудникова. - Ухта: УГТУ, 2011. - 19 с.
. Попов
В.Н., Чекалин С.И. «Горная книга» Москва, 2007 г., 519 с.