|
Наименование характеристик
|
Марки теодолитов
|
|
Т30
|
2Т30
|
Т15
|
|
1. Цена деления лимба
|
10'
|
1o
|
1
|
|
2. Отсчётное приспособление
|
штриховой микроскоп
|
шкаловой микроскоп
|
шкаловой микроскоп
|
|
3. Длина шкалы отсчётного приспособления
|
-
|
1o
|
1o
|
|
4. Количество делений в шкале
|
-
|
12
|
60
|
|
5. Цена деления шкалы
|
-
|
5'
|
1'
|
|
6. Точность отсчитывания
|
1'
|
0,5'
|
0,1'
|
Рисунок 3 - Поле зрения микроскопа
теодолита 2Т30
Отсчитывание по лимбу с помощью
шкалового микроскопа теодолита 2Т30: зафиксировать штрих градусного деления
лимба внутри шкалы микроскопа (между цифрами 0 и 6) - это будут градусы
отсчёта; по положению этого штриха взять отсчёт по шкале микроскопа с точностью
до полминуты (рис.5 - отсчёт по горизонтальному кругу 134o28.5', по
вертикальному кругу 7o47.0'). Следует помнить, что шкала микроскопа
вертикального круга имеет двойную оцифровку. Если у градусного деления
вертикального лимба нет знака, для отсчёта по шкале микроскопа используется
положительная оцифровка; если у градусного деления есть знак "минус",
то для отсчёта по шкале используется отрицательная оцифровка.
. Поверка уровня. Ось уровня при
алидаде горизонтального круга должна быть перпендикулярна оси вращения алидады.
Эта поверка включает следующие операции:
вращая алидаду, установить уровень
параллельно линии, соединяющей два подъёмных винта; вращая эти винты в противоположные
стороны, привести пузырёк в нульпункт;
повернуть алидаду точно на 180о;
сосчитать количество делений n, на которые пузырёк уровня отклонился от
нульпункта;
вращая эти же два подъёмных винта,
сместить пузырёк уровня в сторону нульпункта на n/2 делений;
вращая исправительные винты уровня,
привести пузырёк в нульпункт.
Если после поворота алидады на 180о
пузырёк уровня уходит за пределы шкалы, то отклонение пузырька следует измерять
в оборотах подъёмных винтов и исправлять уровень методом последовательных
приближений; кроме того, в этом случае можно применить способ Г.Ф. Лысова [7].
Порядок поверки уровня по способу Г.Ф. Лысова:
вращая один (любой) подъёмный винт,
наклонить теодолит на 1о - 2о (около двух полных оборотов винта);
осторожно вращая алидаду, найти
такое её положение, когда пузырёк уровня будет точно в нульпункте (пользоваться
наводящим винтом алидады!); взять отсчёт N1 по горизонтальному кругу;
осторожно вращая алидаду, найти
второе её положение, когда пузырёк уровня будет точно в нульпункте
(пользоваться наводящим винтом алидады !); взять отсчёт N2 по горизонтальному
кругу;
вычислить установочный отсчёт
= 1/2*(N1 + N2) + 90о
и установить его на горизонтальном
круге;
исправительными винтами уровня
привести пузырёк уровня в нульпункт.
После исправления уровня нужно
заново привести ось вращения алидады в вертикальное положение (выполнить
горизонтирование теодолита).
. Поверка коллимационной ошибки.
Визирная ось трубы должна быть перпендикулярна к оси вращения трубы. Для
выполнения этой поверки необходимо выполнить следующие операции:
навести зрительную трубу при КЛ на
хорошо видимую точку вблизи горизонта, взять отсчёт по горизонтальному кругу NL
;
перевести трубу через зенит и,
вращая алидаду, навести трубу при КП на эту же точку, взять отсчёт по
горизонтальному кругу NR ;
вычислить двойную коллимационную
ошибку по формуле:
Пример: NL = 23о14,5'; NR =
203о16,0'; 2С = -1,5'.
Если величина 2C превышает 5', то
выполняются следующие операции:
вычислить правильный отсчёт при КП
вращая алидаду микрометренным
винтом, установить этот отсчёт на лимбе горизонтального круга - в поле зрения
трубы точка сместится с вертикальной нити;
отвернуть защитный чехол на окуляре
зрительной трубы и обеспечить доступ к исправительным винтам сетки нитей;
ослабить вертикальные исправительные
винты и, вращая горизонтальные винты, навести вертикальную нить на точку;
зажать все исправительные винты:
повторить определение коллимационной
ошибки.
. Поверка сетки нитей. Вертикальная
нить сетки нитей должна быть параллельна оси вращения алидады. Для выполнения
поверки нужно выполнить следующие операции:
вращая алидаду, навести зрительную
трубу на хорошо видимую точку;
наводящим винтом трубы плавно
смещать трубу по высоте сначала вниз, потом вверх; если изображение точки не
отклоняется от вертикальной нити, условие выполнено; если изображение точки
отклоняется от вертикальной нити, то при измерении углов следует всегда
наводить трубу на визирную цель так, чтобы цель была в центре поля зрения
трубы.
. Поверка места нуля. При
горизонтальном положении визирной оси зрительной трубы и пузырька уровня при
вертикальном круге в нульпункте (для теодолитов Т15 и Т5) отсчёт по
вертикальному кругу должен быть равен нулю. Для выполнения поверки места нуля
выполняют следующие операции:
навести зрительную трубу на точку
при КЛ;
с помощью микрометренного винта
алидады вертикального круга привести пузырёк уровня при вертикальном круге в
нульпункт, взять отсчёт по вертикальному кругу VL;
перевести трубу через зенит и
навести трубу на эту же точку при КП;
привести пузырёк уровня в нульпункт,
взять отсчёт по вертикальному кругу VR;
вычислить место нуля; для теодолитов
2Т30 по формуле
Пример: теодолит 2Т30; VL = 7о14';
VR = -7о12'; M0 = +1,0'.
У теодолитов Т30 и 2Т30 нет уровня
при вертикальном круге, поэтому место нуля у них определяется после тщательной
установки оси вращения алидады в вертикальное положение.
Место нуля вертикального круга можно
не исправлять, но нужно регулярно его определять и следить за тем, чтобы в
течение дня значение места нуля было примерно постоянным.
.2 Поверки и исследования нивелира и
реек
Перед выполнением поверок нивелира
необходимо привести его ось вращения в вертикальное положение с помощью подъёмных
винтов и установочного круглого уровня. Для этого нужно вращать подъёмные винты
в произвольном направлении до тех пор, пока пузырёк уровня установится в центре
малого круга.
Нивелирная рейка имеет чёрную шкалу
на одной стороне и красную шкалу на другой стороне. Деления оформлены в виде
дециметров, разделённых на 10 частей; каждый дециметр подписан двузначным
числом, например, 03, 17, 29 - на чёрной стороне и 48, 57, 74 - на красной
стороне. Начало каждого дециметра фиксируется тонким горизонтальным штрихом, от
которого строится пятисантиметровая фигура в форме буквы Е; затем следуют ещё 5
делений: три белых и два закрашенных (рис. 4). В трубе с перевёрнутым
изображением деления рейки возрастают сверху вниз.
Рисунок 4 - Изображение рейки в
трубе нивелира
Отсчёт по нивелирной рейке берётся в
миллиметрах и всегда выражается четырёхзначным числом: первые две цифры - номер
дециметра, 3-я цифра - число полных сантиметровых делений от начала дециметра
до средней нити, 4-я цифра - десятые доли следующего сантиметрового деления (на
рис. 6 отсчёт по центральной нити 1058).
. Поверка главного условия нивелира
с уровнем при трубе. Ось цилиндрического уровня и визирная ось трубы должны
лежать в параллельных вертикальных плоскостях и быть параллельны.
Поверка первой части главного
условия включает следующие операции:
установить ось вращения нивелира в
отвесное положение;
вращая нивелир по азимуту,
установить трубу перпендикулярно линии, соединяющей два подъёмных винта (по
направлению третьего подъёмного винта);
элевационным винтом привести пузырёк
уровня в нульпункт;
вращая два подъёмных винта на 2 - 3
оборота в противоположных направлениях, наклонить нивелир сначала в одну
сторону, затем в другую; если пузырёк уровня остаётся на месте или отклоняется
оба раза в одну и ту же сторону, то условие выполнено; если пузырёк отклоняется
в разные стороны, то условие нарушено.
Вторая часть поверки выполняется
двойным нивелированием вперёд и включает следующие операции:
на местности забивают два колышка на
расстоянии 40 - 50 метров;
устанавливают нивелир над первым
колышком так, чтобы окуляр трубы находился с колышком на одной отвесной линии;
измеряют высоту i1 центра окуляра над колышком в миллиметрах; на второй колышек
вертикально устанавливают рейку;
наводят трубу на рейку, с помощью
элевационного винта устанавливают пузырёк уровня в нульпункт и берут отсчёт по
рейке по центральной нити b1 ;
меняют местами нивелир и рейку и
повторяют измерения - получают i2 и b2;
вычисляют величину x по формуле
= 1/2*( i1 + i2 ) - 1/2*( b1 + b2 )
и затем - угол непараллельности оси
уровня и визирной оси трубы по формуле
где
"=206265"; по Инструкции [4] угол i не должен превышать
20", что на расстоянии 50 м соответствует допуску x в 4 мм.
Пример: i1=1440; b1=1172;=1380; b2=1643;+i2 =2820; b1+b2=2815; S = 40 м; x=+2,5мм; i=12".
Если угол i превышает 20", то
следует исправить его, выполнив следующие действия:
вычислить правильный отсчёт b2o=b2+x
;
элевационным винтом установить
среднюю нить на отсчёт по рейке b2o;
исправительными винтами уровня при
трубе привести пузырёк уровня в нульпункт;
заново выполнить поверку второй
части главного условия.
Исправление уровня, если это
необходимо, разрешается только в присутствии преподавателя.
. Поверка круглого уровня. Ось
круглого уровня должна быть параллельна оси вращения нивелира. Для выполнения
этой поверки нужно выполнить следующие операции:
тщательно установить ось вращения
нивелира в вертикальное положение с помощью подъёмных винтов, элевационного
винта и цилиндрического уровня при трубе;
исправительными винтами круглого
уровня привести его пузырёк в нульпункт.
. Поверка сетки нитей.
Горизонтальная нить сетки нитей должна быть перпендикулярна оси вращения
нивелира, то есть быть горизонтальной. Эта поверка выполняется так:
поставить рейку в 30 м от нивелира;
навести трубу на рейку; установить
изображение рейки в центре сетки нитей; элевационным винтом привести пузырёк
уровня в нульпункт; взять отсчёт по рейке bo;
наводящим винтом трубы сместить
изображение рейки влево, затем вправо; оба раза взять отсчёты по горизонтальной
нити bл и bп соответственно.
Если отсчёты bл и bп отличаются от
bo более, чем на 1 мм, сетку нитей нужно развернуть; эту операцию можно
выполнять только в присутствии преподавателя. Для исключения влияния наклона
горизонтальной нити нужно всегда устанавливать изображение рейки точно в центре
сетки нитей.
Кроме поверок для нивелира и реек
выполняют некоторые исследования.
. Определение увеличения зрительной
трубы:
закрепить рейку в вертикальном
положении на расстоянии 8 - 10 м от нивелира;
навести зрительную трубу на рейку;
выделить в поле зрения трубы одно
деление рейки и спроектировать его на рейку, видимую другим (невооружённым)
глазом; сосчитать, сколько делений на рейке укладывается в одном делении
изображения рейки - это и будет увеличение трубы.
Если в поле зрения трубы выделяется
n делений и в них укладывается N делений рейки, то увеличение трубы равно
Vx=N/n.
. Определение цены деления
цилиндрического уровня. Для выполнения этого исследования необходимо выполнить
следующие операции:
установить рейку вертикально на
расстоянии 40 - 50 м от нивелира;
навести зрительную трубу на рейку;
с помощью элевационного винта наклонить
трубу вместе с уровнем так, чтобы пузырёк уровня расположился вблизи левого
края шкалы уровня, и дать ему успокоиться; взять отсчёты по шкале уровня по
левому (Л1) и правому (П1) концам пузырька и без перерыва - отсчёт по рейке
(N1) по средней нити. Если шкала уровня не подписана, нужно подписать её хотя
бы мысленно; с помощью элевационного винта наклонить трубу вместе с уровнем в
другую сторону так, чтобы пузырёк расположился вблизи правого конца шкалы
уровня, и дать ему успокоиться; взять отсчёты по шкале уровня по левому (Л2) и
правому (П2) концам пузырька и без перерыва - отсчёт по рейке (N2) по средней
нити; на этом заканчивается прямой ход; с помощью элевационного винта чуть
сместить пузырёк уровня;
дать уровню успокоиться; взять
отсчёты по шкале уровня по левому (Л1') и правому (П1') концам пузырька и без
перерыва - отсчёт по рейке (N1') по средней нити; с помощью элевационного винта
наклонить трубу вместе с уровнем в другую сторону так, чтобы пузырёк
расположился вблизи левого конца шкалы уровня, и дать ему успокоиться; взять
отсчёты по шкале уровня по левому (Л2') и правому (П2') концам пузырька и без
перерыва - отсчёт по рейке (N2') по средней нити;
измерить с помощью нитяного
дальномера расстояние S от нивелира до рейки;
вычислить цену деления уровня в
прямом и обратном ходе по формуле:
где
отдельно для прямого и обратного
хода;
вычислить среднее значение цены
деления уровня
.
Пример определения цены деления
уровня приведён в таблице 4.
Таблица 4- Определение цены деления
уровня с помощью рейки
|
ХОД
|
Отсчёты по шкале уровня
|
b
|
по рейке мм
|
N
|
|
Л1
|
П1
|
U1
|
Л2
|
П2
|
U2
|
|
N1
|
N2
|
|
|
прямой
|
0,4
|
11,7
|
6,05
|
13,0
|
24,2
|
18,60
|
12,55
|
146,4
|
158,2
|
11,8
|
|
обратн.
|
1,3
|
12,3
|
6,80
|
13,5
|
24,9
|
19,20
|
12,40
|
146,8
|
158,9
|
12,1
|
=9,10 м = 9100 мм.
пр = 21,3" ,
обр =
22,1" ,
ср =
21,7".
. Определение разности высот нулей
рейки. Это исследование выполняется в следующем порядке.
На расстоянии около 20 м от нивелира
прочно забивают в землю 4 кола различной длины и в торцы их вбивают гвозди с
полусферической шляпкой.
Последовательно на каждый кол ставят
первую рейку и делают отсчёты по красной и чёрной сторонам. Затем такие же
отсчёты делают по второй рейке. После изменения высоты нивелира на 5 - 7 см
выполняют второй такой же приём. Порядок записи отсчётов и вычислений приведён
в таблице 5.
Таблица 5- Определение разности
высот нулей реек
|
N приё
|
N кола
|
Отсчеты по рейке 1
|
Отсчеты по рейке 2
|
|
|
чёрная ст.
|
красная ст.
|
разность
|
чёрная ст.
|
красная ст.
|
разность
|
|
|
1
|
363
|
5150
|
4787
|
362
|
5051
|
4689
|
|
|
2
|
412
|
5200
|
4788
|
411
|
5099
|
4688
|
|
I
|
3
|
491
|
5277
|
4786
|
491
|
5178
|
4687
|
|
|
4
|
592
|
5379
|
4787
|
591
|
5279
|
4688
|
|
|
1
|
409
|
5196
|
4787
|
410
|
5099
|
4689
|
|
|
2
|
457
|
5245
|
4788
|
458
|
5147
|
4689
|
|
II
|
3
|
538
|
5325
|
4787
|
539
|
5277
|
4688
|
|
|
4
|
638
|
5426
|
4788
|
636
|
5325
|
4689
|
|
|
|
3900
|
42198
|
38298
|
3898
|
41405
|
37507
|
|
|
Ср.
|
487.5
|
5274.8
|
487.3
|
487.2
|
5175.6
|
4688.4
|
Разность высот нулей красной и
чёрной сторон рейки 1 - 4787 мм.
Разность высот нулей красной и
чёрной сторон рейки 2 - 4688 мм.
Разность высот нулей реек (1 - 2):
чёрных сторон 487.5 - 487.2 = + 0.3
мм,
красных сторон 5274.8 - 5175.6 = +
99.2 мм,
пары реек + 0.3 - 99.2 = - 98.9 мм =
- 99 мм.
С величинами -99мм в случае (1 - 2)
и +99мм в случае (2 - 1) сравнивают разности значений превышения на станции,
полученные по чёрным и красным сторонам реек.
рекогносцировка съемка теодолит
геодезический
3. Полевые измерения
.1 Измерение горизонтальных углов в
теодолитном ходе
Подготовка к измерениям:
установить теодолит на штативе на
пункте, являющемся вершиной угла;
выполнить центрирование и
горизонтирование теодолита;
установить вешки в вертикальное
положение на пункты, фиксирующие первую и вторую стороны угла; вешка ставится в
створе стороны угла рядом с колышком, в который вбит гвоздь.
Рисунок 5 - Схема установки вешек в
створе сторон измеряемого угла
Центрирование и горизонтирование
теодолита можно выполнить двумя способами:
а) С помощью нитяного отвеса.
Поставить штатив с отвесом над центром пункта так, чтобы верхняя площадка
головки штатива была горизонтальной, а отвес в спокойном состоянии отклонялся
от центра пункта не более 5 мм. Затем установить на штатив теодолит и закрепить
становой винт; в случае необходимости подвигать теодолит по площадке, чтобы отвес
не отклонялся от центра пункта более 5 мм. Выполнить горизонтирование теодолита
с помощью подъёмных винтов и уровня при алидаде горизонтального круга.
б) С помощью оптического центрира
(теодолиты Т15 и Т5):
установить штатив вместе с
теодолитом над центром пункта так, чтобы верхняя площадка головки штатива была
горизонтальной и в поле зрения оптического центрира было видно изображение
центра пункта (шляпки гвоздя). Умеренно углубить в землю все три ножки штатива;
вращая алидаду, установить уровень
параллельно линии, соединяющей острия двух ножек штатива. Вращая подъёмные
винты (любые и в любом направлении), привести изображение центра пункта точно в
центр малого круга поля зрения оптического центрира;
уменьшая или увеличивая длину одной
ножки штатива из пары, привести пузырёк уровня в нульпункт с точностью до двух
делений;
повернуть алидаду на 90o , то есть,
установить уровень по направлению третьей ножки штатива;
уменьшая или увеличивая длину этой
ножки штатива, привести пузырёк уровня в нульпункт;
проверить центрировку и в случае
необходимости повторить последние 5 действий ещё раз;
в заключение следует выполнить (если
это окажется необходимым) точное горизонтирование теодолита по обычной методике
с помощью подъёмных винтов и уровня при алидаде горизонтального круга.
У теодолитов Т30 и 2Т30 нет
оптического центрира, но его роль может выполнять зрительная труба,
установленная вертикально объективом вниз на отсчёт 90o 00'. Для визирования
трубы на центр пункта в корпусе теодолита имеется сквозное круглое отверстие
диаметром около 10 мм.
Измерение угла способом отдельного
угла (способом приёмов):
при КЛ (круге лево) навести трубу на
заднюю точку п.2 (рис.7), взять отсчёт по горизонтальному кругу Л2;
вращая алидаду, навести трубу на
переднюю точку п.4, взять отсчёт по горизонтальному кругу Л4;
вычислить значение левого по ходу
угла при КЛ по формуле ,
' = Л4
- Л2[+360o]; если отсчёт Л4 меньше отсчёта Л2 (угол получается отрицательный),
то нужно прибавить 360o;
сместить лимб горизонтального круга
примерно на 1o - 1o30';
перевести трубу через зенит в
положение КП (круг право);
вращая алидаду, навести трубу на
заднюю точку п.2, взять отсчёт по горизонтальному кругу П2;
вращая алидаду, навести трубу на
переднюю точку п.4, взять отсчёт по горизонтальному кругу П4;
вычислить значение левого по ходу
угла при КП по формуле
"=
П4 - П2[+360o];
если
отсчёт П4 меньше отсчёта П2 (угол получается отрицательный), то нужно прибавить
360o;
если выполняется условие
, то вычисляется среднее значение угла
= 1/2*(
'
+
"
);
значение 
доп следует принять для
теодолитов Т30 и 2Т30 
доп=2', для теодолитов
Т15 и Т5 
доп=1'.
Если измеряются правые по ходу углы,
то при вычислении угла при КЛ и КП нужно из отсчёта на заднюю точку (п.2 -
рис.5) вычитать отсчёт на переднюю точку (п.4 - рис.5).
Записи отсчётов и вычисление углов
производится в журнале установленной формы (Смотреть журнал измерения углов и
длин).
.2 Измерение расстояния нитяным
дальномером
На одном конце линии установить
теодолит на штативе, выполнить его горизонтирование и центрирование. На другом
конце линии вертикально установить нивелирную рейку.
Навести трубу на рейку так, чтобы
верхняя дальномерная нить была совмещена с круглым отсчётом N1 (например,
N1=1000); взять отсчёт N2 по нижней горизонтальной нити (например, N2=1116).
Длина линии вычисляется по формуле ,
где C - коэффициент дальномера, равный 100. В нашем примере D = 100*(116 мм) =
11600 мм = 11,6 м. Если отсчёт N1 или N2 берётся по центральной горизонтальной
нити, то коэффициент дальномера нужно взять равным 200.
Для приближённых измерений полезно
помнить, что 1 см на рейке (одно деление рейки) соответствует 1 м на местности,
а 1 дм на рейке соответствует 10 м на местности.
.3 Измерение превышений в ходе
технического нивелирования
Отметки любого геодезического пункта
В обычно получают по формуле:
= HA + h,
где HA - известная отметка
какого-либо пункта, h - превышение между определяемым пунктом В и исходным
пунктом А.
Для измерения превышений методом
геометрического нивелирования нужен нивелир, комплект из пары реек и нивелирные
башмаки.
Если расстояние между пунктами
невелико (до 150 м) и превышение между ними также небольшое (до 2 м), то
превышение можно измерить с одной постановки (одной станции) нивелира и
обойтись без башмаков (рис. 10).
Порядок измерения превышения на
станции:
установить нивелир примерно
посередине между пунктами А и В, привести нивелир в рабочее положение;
расстояние от нивелира до реек не должно быть слишком большим (не больше 100 м)
или слишком маленьким (менее 5 м); если это расстояние по условиям местности
получается меньше 5 м, то рекомендуется поставить нивелир в стороне от реек
(рис. 6);
Рисунок 6 - Одна из возможных схем
расположения нивелира и реек
установить вертикально рейки на
пункте А (задняя рейка) и на пункте В (передняя рейка); рейка устанавливается
на центр пункта (верхняя часть марки исходного пункта или шляпка гвоздя на
определяемом пункте);
навести зрительную трубу на заднюю
рейку, отфокусировать изображение рейки и установить его в центр поля зрения;
элевационным винтом привести пузырёк уровня точно в нульпункт и взять отсчёт по
чёрной стороне рейки по центральной горизонтальной нити ЗЧ; записать отсчёт в
журнал;
дать команду реечнику развернуть
рейку красной стороной; проверить положение пузырька точно в нульпункте и взять
отсчёт по красной стороне рейки по центральной горизонтальной нити ЗК; записать
отсчёт в журнал;
повернуть нивелир на переднюю рейку
и повторить операции 3 и 4 для передней рейки - в результате получатся отсчёты
ПЧ и ПК; записать отсчёты в журнал;
выполнить обработку измерений на
станции, то есть:
вычислить разности нулей для задней
Р0З и передней Р0П реек
Р0З = ЗК - ЗЧ; Р0П = ПК - ПЧ;
записать их в журнал; вычислить
превышения по чёрным ЧП и красным КП сторонам реек
ЧП = ЗЧ - ПЧ; КП = ЗК - ПК;
записать их в журнал;
вычислить разность превышений ЧП -
КП и записать её в журнал;
проверить условие
ЧП - КП = Р0П - Р0З;
при выполнении предыдущего условия
вычислить среднее превышение
СП = 1/2*[ЧП+(КП
100)],
округлить его до миллиметров и
вписать в журнал. Знак "плюс" или "минус" выбирается с
таким расчётом, чтобы величина в круглых скобках была почти равна ЧП.
Допуски на станции: на расхождение
вычисленной и теоретической разности нулей реек
5 мм; на расхождение чёрного и красного превышений
5 мм.
Образец журнала для технического
нивелирования приведен в таблице 8.
Таблица 8 - Образец записей в
журнале технического нивелирования
|
N станции
|
Расстояния до реек
|
Отсчёты по рейкам
|
Превышения мм
|
Ср. прев. мм
|
|
NN реек
|
|
задняя
|
передняя
|
|
|
|
1
|
|
|
|
- 692 (7)
|
- 693 (10)
|
|
|
1471 (1)
|
2163 (3)
|
|
|
|
1-2
|
|
6172 (2)
|
6966 (4)
|
- 794 (8)
|
|
|
|
4701 (5)
|
4803 (6)
|
+ 102 (9)
|
|
Примечание:
графа "Расстояния до реек"
и первая строка в графе "Отсчёты по рейкам" в техническом
нивелировании не заполняются;
числа в скобках указывают номера
операций.
Если хотя бы один допуск будет
нарушен, нужно аккуратно зачеркнуть записи станции и повторить на ней все
измерения.
Если расстояние между пунктами А и В
большое или превышение между ними больше 2 м, то превышение измеряют по частям;
в качестве промежуточных пунктов используют нивелирные башмаки. Работа на каждой
станции выполняется по описанной выше методике, а превышение между пунктами
вычисляется как сумма средних превышений на станциях.
Ход технического нивелирования по
пунктам теодолитного хода может быть как разомкнутым, так и замкнутым; он
выполняется в одном направлении.
4. Вычисление координат и отметок
пунктов съёмочного обоснования
.1 Вычисление координат пунктов
стандартного замкнутого теодолитного хода
Эти вычисления выполняются в
следующем порядке:
Вычислить сумму измеренных углов
;
Вычислить теоретическую сумму углов:
для внутренних измеренных углов (правых по ходу)
для внешних углов (левых по ходу)
Вычислить угловую невязку хода в секундах
или в минутах
и убедиться, что она не превышает
допустимого значения
Вычислить поправку в измеренные
значения углов
и округлить её до целых секунд или
до десятых долей минуты. Проверить выполнение контроля
и если контроль не выполняется, то
изменить одну или несколько поправок, начиная с последней, на 1" или на
0,1' и добиться выполнения контроля;
Вычислить исправленные значения
углов
Вычислить дирекционный угол первой
стороны хода по формуле
где
0 - дирекционный угол исходного направления СА, а
прим - левый примычный угол, и затем дирекционные углы всех
остальных сторон хода по формуле для внутренних (правых по ходу) углов
если дирекционный угол получается
отрицательным, его нужно увеличить на 360o; если дирекционный угол получается
больше 360o, то его нужно уменьшить на 360o. Убедиться, что в конце хода
вычисленное значение дирекционного угла первой стороны хода в точности
совпадает с его первоначально вычисленным значением;
Вычислить приращения координат по
каждой стороне хода (в метрах с округлением до 2-го знака после десятичной
запятой) по формулам:
перед нахождением функций
дирекционного угла нужно перевести его значение в десятичную форму;
Вычислить суммы приращений координат
по всему ходу
и
;
Теоретические суммы приращений
координат принять равными нулю:
Вычислить координатные невязки
и затем абсолютную и относительную
невязки хода:
где
S - сумма горизонтальных проложений сторон хода;
Вычислить поправки в приращения
координат по формулам (в метрах с округлением до 2-го знака после запятой):
проверить выполнение контролей:
если контроль не выполняется, нужно
изменить на 0,01 м одну или несколько поправок ( порознь для Vx и Vy ), начиная
с самой длинной стороны; Вычислить исправленные значения приращений координат
по формулам:
Вычислить координаты пунктов хода по
формулам:
Следует убедиться, что вычисленные
значения координат исходного пункта в конце хода в точности равны их заданным
значениям. Пример вычисления координат пунктов стандартного замкнутого
теодолитного хода приведён в таблице 10 .
.2 Вычисление отметок пунктов хода
технического нивелирования (рис. 12)
Рисунок 12 - Схема разомкнутого
нивелирного хода
Для вычисления отметок пунктов хода
технического нивелирования следует выполнить следующие операции:
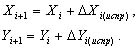
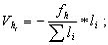
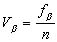
Вычисление высотной невязки хода по
формуле
где
hтеор - теоретическая сумма превышений, найденная по формуле
сравнение её с допустимым значением
fh(доп) ; для технического нивелирования
где
l - длина хода в км;
Вычисление поправок в измеренные
превышения по формуле
поправки нужно округлять до
миллиметров (или в метрах - до третьего знака после запятой);
Проверка контроля
если контроль не выполняется хотя бы
на 1 миллиметр, то нужно исправить одну или несколько поправок на 1 миллиметр,
начиная с самой длинной секции, до абсолютного выполнения контроля;
Вычисление исправленных превышений
по формуле
Вычисление отметок промежуточных
реперов по формуле
вычисленное значение отметки пункта
в конце хода рп42 должно в точности совпасть с его заданным значением.
Пример обработки хода технического
нивелирования приведён в таблице 13.
Таблица 13 - Обработка хода
технического нивелирования
|
N секции i
|
Название репера
|
Измерен. превыш. hi (м)
|
Длина секции li (км)
|
Поправка в превыш. Vhi (м)
|
Исправл. превыш. hi(испр) (м)
|
Отметки реперов Hi (м)
|
|
|
рп41
|
|
|
|
|
100,000
|
|
1
|
|
+1,427
|
3,8
|
+0,036
|
+1,463
|
|
|
|
рпт-1
|
|
|
|
|
101,463
|
|
2
|
|
+0,540
|
6,1
|
+0,058
|
+0,598
|
|
|
|
рпт-2
|
|
|
|
|
102,061
|
|
3
|
|
+3,123
|
0,9
|
+0,009
|
+3,132
|
|
|
|
рпт-3
|
|
|
|
|
105,193
|
|
4
|
|
-2,268
|
2,2
|
+0,021
|
-2,247
|
|
|
|
рпт-4
|
|
|
|
|
102,946
|
|
5
|
|
+0,041
|
1,4
|
+0,021
|
+0,054
|
|
|
|
рп42
|
|
|
|
|
103,000
|
|
|
|
|
|
|
|
|
|
|
|
+2,863
|
14,4
|
+0,137
|
+3,000
|
|
Примечание: Отметки исходных пунктов
подчёркнуты.
5. Тахеометрическая съёмка
.1 Выполнение полевых измерений
Конечным результатом
тахеометрической съёмки является план участка местности, вычерченный в условных
знаках на ватмане в принятом масштабе с соблюдением некоторых правил.
Геодезической основой плана являются
пункты с известными координатами и отметками, равномерно расположенные на
участке съёмки; эти пункты называются пунктами съёмочного обоснования. Каталог
координат и отметок таких пунктов составляется после обработки теодолитного
хода и хода технического нивелирования. Теоретически съёмка заключается в
выборе на местности характерных точек, в определении их координат и нанесении
их на план.
Различают съёмку плановой ситуации и
съёмку рельефа. Практически при съёмке ситуации выделяют объекты, которые (или
границы которых) нужно изобразить на плане, затем выбирают на границах объектов
характерные точки (пикеты) и выполняют для них необходимые измерения.
Для каждого пикета, как правило,
измеряют полярные координаты, причём полярная система координат вводится на
каждом пункте съёмочного обоснования, на котором выполняется съёмка. Съёмку
выполняют тем же теодолитом, который использовался при измерении углов в
теодолитном ходе.
Порядок работы на станции
тахеометрической съёмки:
установить теодолит на штативе;
выполнить центрирование и горизонтирование теодолита;
выбрать направление полярной оси -
на любой другой хорошо видимый пункт съёмочного обоснования; выбор заключается
в наведении зрительной трубы на вешку, установленную на выбранном пункте и
установке на лимбе горизонтального круга отсчёта 00 00';
выполнить поверку места нуля
вертикального круга;
измерить высоту инструмента i ,то
есть, расстояние по вертикали от центра пункта до оси вращения трубы;
установить основное положение круга
(КЛ или КП);
нарисовать абрис, на котором указать
положение пункта установки теодолита, положение ориентирного пункта,
зарисовать плановую ситуацию
(объекты местности, подлежащие съёмке),
показать местоположение всех пикетов
и проставить их номера (рисовку пикетов можно выполнять и в процессе съёмки);
съёмка одного пикета:
установить вертикально рейку на
пикет;
навести зрительную трубу на рейку;
взять отсчёт по горизонтальному
кругу и записать его в журнал;
[привести пузырёк уровня вертикального
круга в нульпункт - если есть такой уровень - теодолит Т15] или [легонько
постучать пальцем руки по корпусу теодолита - если есть компенсатор углов
наклона - теодолит 2Т5К] или [ничего не делать - если нет ни того, ни другого -
теодолиты Т30 и 2Т30];
взять отсчёт по вертикальному кругу
теодолита и записать его в журнал;
измерить дальномерное расстояние с
помощью нитяного дальномера, записать его в журнал;
записать семантическую информацию о
пикете.
*Смотреть журнал тахеометрической
съемки.
.2 Построение плана тахеометрической
съёмки
Сначала выполняется обработка
журнала съёмки:
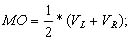
вычислить углы наклона для каждого
пикета
= КЛ - М0;
вычислить с точностью до 0.1 м
горизонтальные проложения на микрокалькуляторе по формуле
= D * Cos2(
)
или выбрать их значения из
"Тахеометрических таблиц";
вычислить с точностью до 0.01 м
тахеометрические превышения на микрокалькуляторе по формуле
= 0,5 * D * Sin(2
)
или выбрать их значения из
"Тахеометрических таблиц";
вычислить с точностью до 0.01 м
отметки пикетов
= Hст. + h.
Пример оформления журнала съёмки
приведен в таблице 14 (раздел 5.1.).
План нужно вычерчивать на листе
ватмана формата А1 (один план на всю бригаду).
Само вычерчивание плана включает
следующие операции:
построить координатную сетку с
размером квадратов 10см х 10см; подписать линии координатной сетки;
с помощью поперечного масштаба
нанести на план пункты съёмочного обоснования (пункт стояния теодолита, пункт
ориентирования теодолита и, если есть, другие пункты);
с помощью тахеографа нанести на план
все пикеты по их полярным координатам (отсчёту по горизонтальному кругу и
горизонтальному проложению); пикет обозначить точкой, рядом с которой подписать
номер пикета и его отметку с точностью до 0.1 м;
выполнить укладку горизонталей, то
есть провести их так, чтобы близко расположенные горизонтали были по
возможности параллельны и расстояние между горизонталями изменялось постепенно;
форма горизонталей - плавные кривые без резких угловатых поворотов;
провести контурные линии на плане;
четкие контуры - сплошными линиями, нечёткие - пунктирными линиями;
нарисовать условные знаки объектов
местности и заполняющие значки в соответствии с "Условными знаками для
топографических планов масштабов 1:5000, 1:2000, 1:1000 и 1:500";
оформить рамки плана и проставить
необходимые подписи.
.3 Инженерно-геодезическая задача
Преподавателями была поставлена
задача: вынести н местность точку с заданной отметкой. Подготовительные работы
для решения задачи выполняются по топографическому плану, составленному по
результатам тахеометрической съемки.
Вынос объекта производится с помощью
теодолита.
6. Написание отчёта о практике
Отчёт об учебной практике по
геодезии входит в перечень обязательных документов, предъявляемых бригадой
студентов при сдаче зачёта.
Обязательные разделы отчёта:
введение;
административно - территориальное
положение участка съёмки;
географическая характеристика района
работ: климат, гидрография, растительность, почвы и грунты, населённые пункты,
дорожная сеть и т. д.
топографо - геодезическая
изученность района работ;
съёмочное обоснование: выбор метода
создания съёмочного обоснования, выбор измерительных приборов, поверки и
исследования приборов и оборудования, методики измерений, контроли и допуски
при измерениях, оценка качества выполненных измерений;
Заключение
В ходе прохождения учебной практики
мы приобрели опыт работы с теодолитом 2Т30М и нивелиром Н3 и убедились в
необходимости точности измерений.
Влиятельными факторами являются:
·
погода
·
рельеф местности
Во время полевых работ мы произвели
разбивку полигона, измерили вертикальные и горизонтальные углы, выполнили
оценку точности полученных результатов.
Как будущие специалисты горного
профиля обязаны знать основы геодезии и уметь работать с геодезическими
приборами, свободно читать планы и карты и по ним решать инженерные задачи.