Комплекс геодезических работ и процесс камеральной обработки геодезических измерений
Введение
В период с
14.06.2010
по 03.07.2010 г. я, Нурбаева Н.Н. , студентка группы ГиК 08-3, проходила производственную
практику в ДГП «Караганда НПЦзем».
Перед началом работ руководитель нашей практики,
начальник кадастрового отдела - Богатырев Н.В. ознакомил нас с
нормативно-технической документацией и программным обеспечением, использующемся
в отделе при камеральной обработке результатов геодезических измерений и
подготовке технической отчетности, а также провел инструктаж по технике
безопасности при производстве топографо-геодезических работ.
Цель работы: приобретение и усвоение
практических навыков, на базе ранее полученных в высшем учебном заведении
теоретических знаний, в условиях производственно-хозяйственной деятельности
предприятия в процессе самостоятельной работы.
P Необходимо выполнение:
· поверок и юстировок геодезических
приборов;
· геодезических работ при создании
геодезического обоснования;
· теодолитной, высотной,
тахеометрической съемок;
· специальные виды геодезических
работ, а также решение конкретных геодезических задач;
P Виды работ:
· выкипировка земельного участка
<#"514196.files/image001.gif">.
Значение
. Если
, то
выполняют юстировку.
Þ Юстировка
Наводящим винтом алидады
устанавливают по горизонтальному кругу отсчет:
.
При этом изображение наблюдаемой
точки сместится из центра сетки нитей. Ослабив исправительные винты сетки,
боковыми исправительными винтами совмещают центр сетки нитей с точкой.
Осторожно затягивают исправительные винты (1.2.1 и 1.3.1 - повторяют).
Результаты измерений:
КЛ 1960 37|
КП 160 36|
Определение места нуля (МО)
Место нуля - это отсчет по
вертикальному кругу, когда зрительная труба горизонтальна, а пузырек уровня при
алидаде находится в нуль - пункте. Зрительную трубу наводят на высоко
расположенную точку, и при двух положениях теодолита снимают отчет по
вертикальному кругу. Место нуля вычисляют по формуле:
. Значение
. Если
, то
выполняют юстировку.
Þ Юстировка
По вертикальному кругу устанавливают
отсчет, равный углу наклона
, равный:
. При этом
изображение наблюдаемой точки сместится из центра сетки нитей. Ослабив боковые
исправительные винты сетки нитей, вертикальными исправительными винтами
совмещают центр сетки нитей с наблюдаемой точкой. Закрепляют винты.
Результаты измерений:
КЛ 160 12|
КП -160 12|
2. Нивелир 2Н - 3Л
Поверка круглого уровня
Ось круглого уровня должна быть параллельна оси
вращения нивелира.
Двумя подъемными винтами приводят пузырек
круглого уровня в нуль - пункт. Если после поворота верхней части нивелира на
1800 пузырек останется в нуль - пункте - условие выполнено. В противном случае,
исправительными винтами уровня перемещают пузырек в направлении к нуль - пункту
на половину дуги отклонения. Подъемными винтами приводят уровень на середину.
Поверка повторяется.
Результаты поверки:
После поворота на 1800 .
Поверка выполнена.
Поверка сетки нитей
Выполняется аналогично поверке сетки нитей у
теодолита (повторяется горизонтальная нить сетки по рейке).То есть вертикальная
нить сетки должна быть параллельна оси вращения нивелира.
Поверку выполняют двумя способами:
1. На расстоянии 25 - 30 м от нивелира
подвешивают шнур с отвесом и наводят вертикальную нить сетки на шнур отвеса.
Если вертикальная нить совпадает со шнуром, поверку считают выполненной, если
не совпадает, тогда необходимо провести юстировку.
2. Наводят трубу нивелира на вертикально
установленную рейку таким образом, чтобы рейка была слева и снимают отсчет по
рейке. Затем наводящим винтом нивелира перемещают изображение на правый край
сетки и снова снимают отсчет по рейке. Если отсчеты одинаковые, поверку считают
выполненной, если нет - требуется юстировка.
Þ Юстировка
Открепляют винты, удерживающие окуляр и
производят разворот окуляра вместе с сеткой нитей на нужный угол.
Поверка цилиндрического уровня (главное условие
нивелира).
Ось цилиндрического уровня должна быть
параллельна визирной оси трубы. Поверку выполняют двойным нивелированием (в
прямом и обратном направлениях) линии длиной 50 - 70 м.
Точки А и В (рис.) закрепляют колышками. Над
точкой А устанавливают нивелир так, чтобы окуляр находился над (.) А, в точку В
ставят рейку. Измеряют высоту инструмента iA
по черной стороне рейки, наводят трубу на рейку и записывают отсчет b
по черной стороне. Ту же операцию выполняют по красной стороне рейки. Нивелир и
рейку меняют местами.
Измеряют iB,
a по черной стороне
рейки, затем для контроля по красной стороне. Вычисляют Х по черной и красной
стороне:
Значения Х, полученные по черной и красной
сторонам рейки не должны расходиться более чем на 4 мм. Затем вычисляют Х ср:
Значение
мм. Если Х
ср.>4 мм, следовательно, главное условие нивелира не выполняется и поэтому
выполняют юстировку. ÞЮстировка
Элевационным винтом устанавливают по рейке
исправительный отсчет, который вычисляют по формуле: а испр. = а - Х ср.
При этом цилиндрический уровень сместиться из
середины (концы пузырька разойдутся). Возникшее смещение пузырька уровня
устраняют вертикальными исправительными винтами уровня, предварительно ослабив
боковые исправительные винты. После этого поверки 1и 3 повторяют.
Результаты поверки: IA
черн. =1682;
IA кр. = 6481;
IВ черн. = 1744;
IВ кр. = 6545;
b черн. = 1318;
b кр. = 6119;
а черн. = 2108;
а кр. = 6909.
.
Осмотр нивелирных
реек, мерной ленты и штатива
Рейка не должна быть изогнутой. Раскраска рейки
должна быть четкой. Для удобства измерений обе рейки должны иметь одинаковую
оцифровку по красным сторонам.
Точное определение длины мерной ленты может быть
выполнено на специальном базисе, длина которого измерена с повышенной
точностью.
Номинальная длина ленты 20 м.
Если лента имеет повреждения, то необходимо
определить ее фактическую длину и вычислить поправку, которую нужно вводить в
результаты измерений.
Ножки штатива должны быть надежно скреплены с
головкой штатива, металлические наконечники должны плотно прилегать к
заостренным концам ножек. Любые обнаруженные неисправности устраняются только в
присутствии учебного мастера или руководителя практики.
Вынос точек в натуру
Физико-географическое положение местности
Вынос точек в натуру осуществлялся тахеометром Leica
TC 407, системой GPS
на местность, земельные участки которого расположены в территериально-степной
части села Новая Узинка. Рельеф данной местности равнинный, в некоторых частях
территории имеются небольшие возвышенности. Растительность данной территории
включает в себя полынь, караган и другую растительность, характерную для
степной природной зоны. Почва на территории села Новая Узинка является
суглинистой, что вызвало трудности при установлении межевых знаков. Площадь
территории полностью удовлетворяет размерам земельного участка, на котором
будет производиться строительство взлетно-посадочной полосы. Также местность
равнинного рельефа полностью подходит для размещения объекта такого характера.
При строительстве взлетно-посадочной полосы учитываются все основные
характеристики: рельеф, площадь, что не мало важно при создании проекта и в
строительстве данного объекта.
Тахеометрическая съемка
В названии "тахеометрическая"
подчеркивается высокая производительность труда при этом виде съемки:
"tachys" означает быстрый.
Съемку выполняют либо теодолитом, либо
тахеометром-автоматом; в комплект приборов для съемки еще входит рейка.
Съемочное обоснование для тахеометрической
съемки создают, прокладывая теодолитные ходы, ходы технического нивелирования,
высотные или тахеометрические ходы.
Тахеометрический ход - это комбинация
теодолитного и высотного ходов в одном. На каждом пункте хода измеряют
горизонтальный угол, углы наклона на заднюю и переднюю точки и дальномерное
расстояние прямо и обратно. Превышение между пунктами вычисляют по формуле
тригонометрического нивелирования.
Уравнивание тахеометрического хода выполняют
отдельно для координат (как в теодолитном ходе) и превышений (как в высотном
ходе). Допустимые невязки вычисляют по следующим формулам:
) угловую:
2) абсолютную:
3) высотную:
Здесь n - число измеренных углов хода, S - длина
хода в метрах.
Тахеометрическая съемка выполняется с пунктом
съемочного обоснования в полярной системе координат. Теодолит центрируют над
пунктом А, горизонтируют, приводят трубу в рабочее положение и ориентируют на
соседний пункт В съемочного обоснования, т.е. устанавливают на лимбе отсчет
0o0' при наведении трубы на этот пункт. Другими словами, полюсом полярной
местной системы координат является пункт А, а направление полярной оси
совмещается с направлением АВ.
Трубу теодолита наводят на рейку, установленную
в какой-либо точке местности и измеряют три величины, определяющие положение
снимаемой точки в плане и по высоте: горизонтальный полярный угол, угол наклона
и дальномерное расстояние. Затем вычисляют превышение и горизонтальное
проложение.
Точка установки рейки называется пикетом;
различают высотные и плановые пикеты.
Высотные пикеты располагают во всех характерных
точках и линиях рельефа: на вершинах гор и холмов, на дне котловин и впадин, по
линиям водослива лощин и водораздела хребтов, у подошв гор и хребтов, у бровок
котловин и лощин, в точках седловин, на линиях перегиба скатов и т.п.
Расстояние между высотными пикетами не должно превышать: 40 мм на плане при
масштабе съемки 1:500, 30 мм - при масштабе 1:1000, 20 мм - при масштабе
1:2000, чтобы при рисовке рельефа было удобно выполнять интерполирование
горизонталей. Главное условие выбора высотных пикетов - чтобы местность не
имела между соседними пикетами перегибов ската.
Чем больше высотных пикетов, тем легче рисовать
рельефа на плане, но не надо забывать, что объем выполненной работы определяется
не числом пикетов, а заснятой площадью в гектарах или в квадратных километрах.
Поэтому пикетов надо набирать столько, сколько требуется для правильной рисовки
рельефа.
Плановые пикеты располагают на контурах и
объектах местности; иногда плановые пикеты называют реечными точками. При
замене криволинейных контуров ломаными линиями ошибка спрямления не должна
превышать 0.5 мм в масштабе плана.
Требуемая точность измерения горизонтальных
углов и расстояний при тахеометрической съемке такая же, как и при горизонтальной
съемке:
mβ = 24', ms/S = 1/150
Расчитаем допустимую ошибку измерения угла
наклона. Для этого возьмем формулу тригонометрического нивелирования:
h' = S * tg ν
и продифференцируем ее по измеряемым элементам:
m2h=(S/cos2ν)2
* m ν2/ρ2
+ tg2 ν*m2s
Поскольку требования к точности измерений при
тахеометрической съемке невысокие, то измерения при съемке пикетов выполняют по
упрощенной методике:
) горизонтальные углы измеряют при одном
положении круга;
) расстояния, измеряемые по нитяному дальномеру,
округляют до целых метров при съемке в масштабах 1:2 000 или 1:5 000;
)углы наклона измеряют при одном положении
круга, установив место нуля близким или равным нулю; при этом отсчет по
вертикальному кругу будет равен углу наклона, если съемку выполнять при
основном положении круга.
Все результаты измерений записывают в журнал
тахеометрической съемки; затем там же вычисляют углы наклона, горизонтальные
проложения, превышения пикетов относительно точки стояния теодолита и отметки
пикетов. Одновременно с ведением журнала составляют схематический чертеж
местности - абрис (кроки), на котором показывают все заснятые с этой станции
пикеты, контуры, ситуацию, формы рельефа, направления скатов. Иногда абрис
рисуют до начала съемки, намечая на нем плановые и высотные пикеты, и затем уже
ведут съемку в соответствии с абрисом.
Рационализация и автоматизация
тахеометрической съемки
При тахеометрической съемке много времени
тратится на вычисление превышений и горизонтальных проложений. За один рабочий
день обычно набирают 400 - 500 пикетов, а специалисты высокой квалификации - до
1000 пикетов; на обработку такого объема приходится тратить несколько часов,
при этом неизбежны разного рода ошибки, для исключения которых превышения и
горизонтальные проложения выбирают из таблиц во вторую руку. Существенную
пользу может дать применение программируемого микрокалькулятора.
В инструкции по съемкам написано:
"Тахеометрическая съемка производится, как правило, тахеометром-автоматом,
и, как исключение, - теодолитом- тахеометром". Тахеометр-автомат
отличается от теодолита-тахеометра тем, что превышение и горизонтальное
проложение вычисляют в уме по дальномерным отсчетам, используя простые формулы:
= C * lS , (7.13) ' = K * lh , (7.14)
где C и K - постоянные коэффициенты (обычно C =
100 и K = 10 или K = 20), и lh - дальномерные отсчеты по рейке.
Для сравнения напишем формулы для вычисления
превышения и горизонтального проложения для обычного нитяного дальномера:
S = (C * l + c) * Cos2ν
,' = 0.5 * (C * l + c) Sin2ν
Чем отличаются формулы тахеометра-автомата от
этих формул? Во-первых, в них нет малой постоянной "c" нитяного
дальномера; это достигается применением в трубе дополнительной линзы, которая
смещает вершину диастимометрического угла на ось вращения прибора. Зрительная
труба, у которой c=0, называется аналитической. Во-вторых, нет функций угла
наклона ν.
В-третьих,
для горизонтального проложения имеется своя постоянная C и свой дальномерный
отсчет lS , а для превышения - своя постоянная K и свой дальномерный отсчет l h
.
Тахеометр-автомат называют еще номограммным
тахеометром, так как сетка нитей в его трубе имеет вид номограммы или диаграммы
(рис. 7.8-б); у обычного теодолита дальномерные нити - это два симметричных
относительно центральной горизонтальной нити параллельных штриха (рис. 7.8-а)
на расстоянии p=fоб/C один от другого. Расстояние между линиями номограммы
тахеометра-автомата переменное и зависит от угла наклона трубы.
Рис. 7.8
Теория тахеометра-автомата заключается в выводе
формул:
= ps (fоб, C, ν), p h = p
h (f об
, K, n).
Нарисуем упрощенную схему измерения
горизонтального проложения S и превышения h (рис.7.9). На рисунке: точка J -
вершина диастимометрического угла φ, l - отсчет
по рейке, соответствующий углу φ ν - угол
наклона визирной линии, наведенной на нуль рейки, i - высота прибора,V - высота
нуля рейки.
Рис.7.9
Из треугольника JON выразим горизонтальное
проложение S и превышение нуля рейки относительно горизонта инструмента h':
S = JN = JO * Cos ν,'
= ON = JO * Sin ν.
Из треугольника JKO выразим отрезок JO, а из
треугольника KOG - отрезок OG:
OG = l * Cos(ν + φ).
Подставим последовательно OG в формулу для JO и
затем JO - в формулы :
Распишем косинус суммы двух углов:
Cos(ν + φ) = Cosν * Cosφ -
Sinν * Sinφ
и преобразуем дробь в формулах :
Тогда:
= l * Cosν
* (Cosν
* Ctgφ
- Sinν)
,' = l * Sinν * (Cosν
* Ctgφ
- Sinν)
.
Замечаем, что:
C = Cosν * (Cosν * Ctgφ -
Sinν),= Sinν * (Cosν * Ctgφ - Sinν).
Коэффициенты C и K - это постоянные величины,
поэтому для выполнения равенств при любых значениях угла наклона ν
диастимометрический
угол φ
должен
изменяться в зависимости от угла ν. Раскроем
скобки и выразим Ctgφ через
функции угла ν:
С другой стороны известно, что Ctgφ
= fоб/p,
где fоб - фокусное расстояние объектива, а p - расстояние между дальномерными
нитями. Фокусное расстояние объектива - величина для данной трубы постоянная,
поэтому для изменения φ или Ctgφ
нужно
изменять расстояние между дальномерными нитями по закону: - для горизонтальных
проложений:
для превышений:
Формулы окончательные; они показывают, что в
тахеометре-автомате расстояние между дальномерными нитями сетки должно
автоматически изменяться с изменением угла наклона трубы, причем дальномерная
нить горизонтальных проложений и дальномерная нить превышений не совпадают.
Конструктивно это делается так: в поле зрения трубы передается та часть
номограммы, которая соответствует данному углу наклона трубы.
Тахеометрический ход
Тахеометрическим ходом называют построенную на местности
разомкнутую или замкнутую ломаную линию, в которой измерены все стороны,
горизонтальные углы между ними и вертикальные углы с каждой точки хода на
смежные с ней точки.
По измеренным сторонам и углам определяют
прямоугольные координаты вершин теодолитного или тахеометрического хода, а по
измеренным вертикальным углам и длинам сторон - превышения между точками
тахеометрического хода, т. е. теодолитным ходом определяют плановое положение
вершин хода, а тахеометрическим ходом - плановое и высотное их положение. На
рисунке 1.14 изображена часть теодолитного хода. Для точки 1 координаты:
Рис. 1.14. Схема разомкнутого теодолитного хода
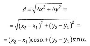
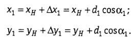
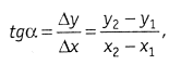
Формулы решают прямую геодезическую задачу на
плоскости, в которой при известных прямоугольных координатах хH,уH,
горизонтальном проложении d и дирекционном угле а требуется определить
координаты х1, у1, точки 1. В обратной задаче по известным координатам х1,у1;
х2,у2, точек 1 и 2 (рис. 1.15) требуется определить дирекционный угол α
и
горизонтальное проложение d.
Рис.1.15 Решение обратной задачи на плоскости
На рисунке 1.15 из прямоугольного треугольника
122' откуда находят дирекционный угол α:
Горизонтальное проложение равно:
Измерив горизонтальный угол β0
между
исходной и определяемой сторонами, на pисунке 1.14 имеем:
если измерены левые по направлению теодолитного
хода углы.
Если измерены правые углы β'0',
β'1
и т.д., то, учитывая β0 = 360° - β'0, находим
Следовательно, для определения координат точек
теодолитного хода необходимо начинать ход с опорной точки, имеющей координаты
хH,уH, и в этой начальной опорной точке измерить примычный угол β0
и
β'0
между
линией с известным дирекционным углом и линией d1 хода.
Способы выноса осей сооружений в
натуру
Главными осями (осями симметрии) принято
называть взаимно перпендикулярные линии, относительно которых расположено здание
или сооружение. Основными осями здания или сооружения называют оси, задающие
его габариты в плане.
Главные и основные оси являются геодезической
основой для последующих разбивочных работ. Оси разбивают от пунктов плановой
разбивочной основы (от красных линий, вершин строительной сетки, пунктов
полигонометрии).
Разбивку зданий и сооружений сложной формы
начинают с перенесения главных осей I-I, II-II, а зданий простой формы - с
основных осей. В первом случае от опорного пункта переносят и закрепляют сначала
одну из длинных главных осей. Затем путем промеров находят точку 3 пересечения
осей. Установив теодолит в точке, строят полным приемом два угла по 90º
и
получают направление оси П-П. Разбивку основных осей начинают от пунктов
геодезической разбивочной основы, вынося на местность две крайние точки А-2,
Б-2, задающие положение самой длинной продольной оси, от которой далее
проводится разбивка.
Строя полным приемом прямые углы в этих точках и
откладывая в заданном направлении проектную длину получают точки А-1 и Б-1. Для
контроля построения могут быть измерены диагонали закрепленного на местности
прямо угольника.
Перенесение осей на местность осуществляется
различными способами в зависимости от рельефа местности, вида геодезической
разбивочной основы, точности разбивочных работ.
Способ прямоугольных координат (перпендикуляров)
применяется для перенесения осей зданий и сооружений, расположенных вблизи
пунктов разбивочной основы, например, вершин строительной сетки или красных
линий застройки. В этом случае вдоль прямой МN откладывают отрезок d1 а затем
теодолитом из полученной точки К строят перпендикуляр d2 и фиксируют точку А
угла здания. Аналогично получают точку В. Для контроля измеряют линию АВ и
определяют ошибку ее построения по разности измеренной и проектной длины.
Относительная ошибка в длине переносимой линии должна быть в пределах
1:2000-1:10000, в зависимости от типа здания или сооружения. Для промышленных
сооружений относительная ошибка должна быть наименьшей. Обычно этим способом
переносят на местность только одну ось здания или сооружения. Поэтому линия АВ
является основной для разбивки остальных осей. Построением прямых углов в
точках А и В и построением проектных линий АС и ВD получают на местности точки
С и D. Для контроля измеряют диагонали АD и СВ.
Способ прямоугольных координат широко
применяется на практике, так как обеспечивает достаточную точность разбивки при
использовании технического теодолита и рулетки. Ошибка перенесения т.А и В на
местность способом прямоугольных координат зависит от точности построения
прямых углов и расстояний d.
Способ полярных координат применяется на
открытой и удобной для измерения линий местности. Этот способ достаточно точный
и применяется на строительных площадках, где нет строительной сетки. Для выноса
на местность точек А и В пересечения основных осей здания необходимо с опорных
точек М и N (пунктов геодезической разбивочной основы), построить разбивочные
углы β1
, β2 и отложить разбивочные отрезки d1, d2.
Дирекционные углы линий, образующих разбивочные
углы и длины линий, вычисляют по координатам выносимых точек, взятых из проекта
и координатам опорных точек из решения обратных геодезических задач. При помощи
теодолита и мерной ленты (рулетки) на местности строят углы β1,β2
и
откладывая расстояния d1, d2 , получают точки А и В, которые закрепляют
кольями, штырями. Для контроля измеряют линию АВ и получают разность Δ
= АВизм
- АВпр.
Способ прямой угловой засечки применяется при
перенесении на местность точек проекта, расстояние до которых измерить
затруднительно или невозможно. Для выноса точки А этим способом необходимо
иметь на местности точки геодезической разбивочной основы М и N, а также
рассчитать разбивочные углы β1 , β2. Разбивочные
углы β1
и
β2
вычисляют
как разности дирекционных углов направлений которыми они образованы. При этом
угол засечки γ должен быть близок
к 90°, но быть не менее 30° и не более 150°. По известным координатам опорных
пунктов М, N и точки А решением обратной геодезической задачи вычисляют
дирекционные углы соответствующих направлений.
Способ линейной засечки применяется на ровн ой
открытой местности, когда проектные расстояния d1, d2 не превышают длины
мерного прибора. Расстояния d1 и d2 для ответственных зданий и сооружений
определяют из решения обратной геодезической задачи, а для простых - графически
(с плана). Для перенесения точки А на местность в точке М закрепляется нулевое
деление рулетки и радиусом, равным d1, прочерчивают на местности дугу. Затем
нулевое деление рулетки закрепляют в точке N и прочерчивают дугу радиуса d2.
Пересечение дуг даст положение выносимой точки А.
Способ створной засечки применяется при наличии
строительной сетки или закрепленных на местности главных и основ ных осей
зданий, сооружений.
Указанными выше способами можно производить
разбивку зданий и сооружений на застроенных участках от существующей застройки.
В этом случае геодезическая подготовка данных для выноса осуществляется
графическим методом по плану крупного масштаба. Точность выноса контролируется
измерениями местности и проверкой положения вынесенных точек и линий
относительно зданий и сооружений, имеющихся на местности.
Практически в каждом способе перед выносом осей
сооружения в натуру рассчитывают так называемые разбивочные элементы -
проектные горизонтальные углы и (или) отрезки, построив которые на местности,
можно зафиксировать положение разбиваемой оси. Разбивочный чертеж - документ,
на котором приведены числовые значения разбивочных элементов, показана схема
разбивки и исходные пункты, с которых она осуществляется.
Межевание земель
Межевание земель представляет собой комплекс
работ по установлению, восстановлению и закреплению на местности границ
земельного участка, определению его местоположения и площади.
Установление и закрепление границ на местности
выполняют при получении гражданами и юридическими лицами новых земельных
участков, при купле-продаже, мене, дарении всего или части земельного участка,
а также по просьбе граждан и юридических лиц, если документы, удостоверяющие их
права на земельный участок, были выданы без установления и закрепления границ
на местности.
Восстановление границ земельного участка
выполняют при наличии межевых споров, а также по просьбе граждан и юридических
лиц в случае полной или частичной утраты на местности межевых знаков и других
признаков границ принадлежащих им земельных участков. Межевание земель
выполняют проектно-изыскательские организации Роскомзема, а также граждане и
юридические лица, получившие в установленном порядке лицензии на право
выполнения этих работ.
Межевание земель включает:
подготовительные работы по сбору и изучению
правоустанавливающих, геодезических, картографических и других исходных
документов;
полевое обследование и оценку состояния пунктов
государственной геодезической сети (ГГС) и опорной межевой сети (ОМС) - опорных
межевых знаков (ОМЗ);
полевое обследование границ размежевываемого
земельного участка с оценкой состояния межевых знаков;
составление технического проекта (задания)
межевания земель;
уведомление собственников, владельцев и
пользователей размежевываемых земельных участков о производстве межевых работ;
согласование и закрепление на местности межевыми
знаками границ земельного участка с собственниками, владельцами и
пользователями размежевываемых земельных участков;
сдачу пунктов ОМС на наблюдение за сохранностью;
определение координат пунктов ОМС и межевых
знаков;
определение площади земельного участка;
составление чертежа границ земельного участка;
контроль и приемку результатов межевания земель
производителем работ;
государственный контроль за установлением и сохранностью
межевых знаков;
формирование межевого дела;
сдачу материалов в архив.
Камеральные работы
геодезический прибор
тахеометрический съемка
Планово-высотное обоснование
|
X
|
Y
|
|
1
|
63968,402
|
13952,835
|
|
2
|
64659,546
|
15170,935
|
|
3
|
64003,30
|
15168,16
|
|
4
|
64080,014
|
14838,500
|
|
5
|
63708,603
|
14183,916
|
|
6
|
63599,950
|
13835,984
|
|
7
|
63761,388
|
13744,389
|
|
С1
|
64964,473
|
15152,075
|
|
С2
|
64174,106
|
15041,355
|
|
С3
|
63711,289
|
13807,419
|
|
RAD MIH
|
55239,690
|
16652,520
|
|
RAD TEMA
|
71241,270
|
17565,320
|
|
TELEFIL
|
57596,320
|
19728,880
|
|
PP 838
|
65151,716
|
15567,298
|
Таблица угловых значений и расстояний точек для
выноса в натуру
|
c1
|
pp838
|
305,509 м
|
|
|
2
|
|
|
|
c2
|
c1
|
212,730 м
|
|
|
3
|
|
|
|
c2
|
c1
|
223,615 м
|
|
|
4
|
|
|
|
c3
|
c2
|
376,507 м
|
|
|
5
|
|
|
|
c3
|
c2
|
114,945 м
|
|
|
6
|
|
|
|
c3
|
c2
|
80,515 м
|
|
|
7
|
|
|
|
c3
|
c2
|
295,386 м
|
|
|
1
|
|
|
Ведомость измеренных углов тахеометрического
хода
pp838tel efil
pp838-c1
|
455,489XYΔXΔY
|
|
|
|
|
|
|
|
|
|
|
c1
|
|
|
65151,716
|
15567,298
|
-187,243
|
-415,223
|
c1pp838
c1-c2
|
798,085XYΔXΔY
|
|
|
|
|
|
|
|
|
|
|
c2
|
|
|
64964,473
|
15152,075
|
-790,367
|
-110,72
|
c2c1
c2-c3
|
1317,876XYΔXΔY
|
|
|
|
|
|
|
|
|
|
|
c3
|
|
|
64174,106
|
15041,355
|
-462,817
|
-1233,936
|
c3c2
c3-pp838
|
2274,204XYΔXΔY
|
|
|
|
|
|
|
|
|
|
|
pp838
|
|
|
63711,289
|
13807,419
|
1440,427
|
1759,879
|
PP838 - C1
∆x=-187.243 m
∆y=-415.223 m=455.489 m
α=245°43`37.97``
α pp838-TELEFIL=151° 9` 13.03``
α pp838-PAD MIH =173° 45` 6.61``
α pp838-RAD TEMA = 18° 9` 53.99``
α pp838-C1 = 245° 43` 37.97``
C1 C2
∆x=-790.367 m
∆y=-110.72 m=798.085 m
α=187°58`28.16``
α C1-pp838=65° 43`
37.97``
α C1-TELEFIL =179° 59` 16``
α C1-2= 176° 27` 38.5``
SC1-2 = 305.509 m
C2 C3
∆x=-462.817 m
∆y=-1233.936 m=1317.876 m
α=249°26`24.9``
α C2-TELEFIL =144° 31`30.7``
α C2-4=245° 6` 58.7``
S C2-4= 223.615 m
α C2-3=143° 24` 36.3``
SC2-3 = 212.730 mPP838
∆x=1440.427 m
∆y=1759.879 m=2274.204 m
α=50°42`1.21``
α C3-TELEFIL =135° 55` 15.8``
α C3-7=308° 28` 45.1``
S C3-7= 80.515 m
α C3-6=165° 36` 38.2``
S C3-6= 114.945 m
α C3-1=29° 29` 28.68``
S C3-1= 295.386 m
α C3-5=90° 24` 31.51``
S C3-5= 376.507
Нивелирование
- определение разности высот
<#"514196.files/image055.gif">
Рисунок 11- Способы
геометрического нивелирования
Рисунок 12 - Схемы
последовательного нивелирования
Превышение получают по формуле
h
= i-b.
Высоту прибора измеряют
стальной рулеткой или отсчитывают по рейке. Превышение будет положительным,
если i>b,
и отрицательным при i<b.
В тех случаях, когда превышение
между точками, расположенными на значительном расстоянии, с одной постановки
нивелира определить нельзя, а также для составления профиля местности
выполняется последовательное нивелирование (рисунок 12,а).
Превышение конечной точки В над
начальной А при нивелировании из середины равно
hо
=∑h=∑а-∑b
При нивелировании способом
вперед
т. е. превышение конечной точки
над начальной равно сумме высот нивелира минус сумма отсчетов по передней
рейке.
Точки 1, 2, 3, ... называются
связующими точками. Точки постановки нивелира называются станциями.
Связующие точки на местности намечаются через
равные интервалы, обычно через 100 м, и они часто не совпадают с перегибами
рельефа, а для составления профиля надо знать отметки этих точек, которые
называются промежуточными.или плюсовыми. Обозначаются промежуточные точки
числом метров, соответствующим расстоянию от задней точки.
При нивелировании крутых скатов
определить превышение между двумя точками с одной станции нельзя, так как
визирный луч зрительной трубы будет проходить выше рейки или бить в землю. В
этом случае намечаются дополнительно одна или несколько связующих точек, в
зависимости от крутизны ската, которые называются иксовыми точками, они служат
для передачи отметки с задней точки на переднюю. Расстояние до иксовых точек не
измеряется (рисунок 12, б). Превышение точки 7 над 6
Нивелирование поверхности участка по квадратам.
Представляет собой наиболее простой вид топосъемки.
Используется на открытой местности со слабо выраженным рельефом. Получаемый
нивелированием по квадратам топографический план наиболее удобны для
определения объемов земляных масс при проектировании искусственного рельефа
местности.
Построение сетки квадратов на местности
выполняется теодолитом и лентой. Стороны квадратов в зависимости от масштаба
съемки и рельефа местности принимают равными 10, 20, 40 и более метров.
Рассмотрим вариант разбивки шести квадратов со сторонами 40 м (рис.42). За
начальное направление выбирают наиболее длинную линию А1-А4. В створе этой
линии забивают через 40 м колышки соответствующие точкам А1, А2, А3, А4. В
угловых точках А1 и А4 строят прямые углы и откладывают отрезки А1-В1 и А4-В4,
фиксируют колышками угловые точки В1 и В4. Для контроля измеряют сторону В1-В4
и, если ее длина не отличается от проектной более чем на 1:2000 (<5см на 100
м), то выполняют разбивку точек Б1, Б4 и, вешением в соответствующих створах, -
точек Б2 и Б3. Колышки забивают вровень с поверхностью земли рядом забивают
колышки-"сторожки", на которых подписывают их обозначения.
Плановое положение элементов ситуаций определяют
линейными промерами от вершин и сторон квадратов способами прямоугольных
координат, линейных засечек и створов. Высоты вершин квадратов получают из
геометрического нивелирования
Нi = ГП- bi,
где ГП - горизонт прибора ГП = Нрп + bрп;-
отсчет по рейке горизонтальным лучом визирования.
В журнале-схеме (рис.42) записывают отсчеты по
черной и красной сторонам рейки, поставленной на землю, поочередно у каждой
вершины квадратов. Контроль правильности отсчетов выполняют по разности нулей
(РО), которая не должна отличаться от стандартного значения РО равного 4683 или
4783 мм не более 3 мм. Высоты целесообразно выражать в метрах с округлением до
0.01 м. Привязка сетки квадратов к пунктам геодезической сети с целью
построения топоплана в принятой системе координат выполняется прокладкой
теодолитно-нивелирного хода. В учебном задании таким ходом является обратный
ход от пункта 513 до пункта 512 через точки 3 и В1. Высотная привязка точки В1
выполнена замкнутым нивелирным ходом от пункта 512 до точки В1 и обратно без
дополнительного контроля высот, что обычно не рекомендуется нормативными
документами.
Рис.42.Схема нивелирования по квадратам
Создание опорной геодезической сети
Рекогносцировка местности, закрепление точек
планово-высотной основы.
На учебном полигоне руководитель практики задает
каждой бригаде границы участка для топографической съемки и исходные пункты.
После детального ознакомления с участком, студенты составляют проект планово -
высотной основы, руководствуясь следующими требованиями:
· Хорошая взаимная видимость между
соседними пунктами основы;
· Пункты основы должны обеспечивать
хороший обзор местности для топографической съемки;
· Количество пунктов их взаимное
расположение выбирают с таким расчетом, чтобы с этих пунктов можно было снять
полностью весь участок съемки. При съемки расстояние от пункта основы до
снимаемой точки не должно превышать 100 м;
· Удобство установки инструмента;
· Удобство для линейных измерений и
нивелирования;
· Расстояние между соседними пунктами
должно быть не более 150 м и не менее 50 м.
Пункты закрепляются на местности предварительно
заготовленными деревянными колышками и сторожками диаметром 2 - 4 см
Колышек будет являться носителем координат и
высоты. Он в процессе всей практики должен оставаться жестко зафиксированным.
Колышек вбивают вровень с землей, оставляя не более 1 - 2 см над поверхностью.
В центре колышка забивают маленький гвоздик, над которым в дальнейшем будет
центрироваться теодолит. Если во время практики колышек изменит свое положение,
необходимо будет его закрепить заново и определить его координаты и высоту.
Сторожок служит для удобства отыскания пункта.
Его должно быть хорошо видно на местности. На сторожке топором делают срез, на
котором записывают номер бригады и номер пункта.
Измерение горизонтальных углов.
В теодолитных ходах измеряют левые и правые по
ходу горизонтальные углы.
В разомкнутом ходе (см. рисунок) 30,
31, 55, 56 - исходные пункты, 1 - 6 - пункты теодолитного хода.
- левые
горизонтальные углы.
- левые
примычные углы.
В замкнутом ходе 42 - 43 - исходные
пункты. 1 - 8 - пункты теодолитного хода.
- левые внутренние горизонтальные
углы.
- левый
примычный угол.
На практике во избежание путаницы
измеряют левые горизонтальные углы.
Методика измерений:
q Теодолит центрируют над пунктом с
точностью не менее +5 мм;
q Приводят в рабочее положение ( по
уровню);
q Добиваются резкого изображения сетки
нитей;
q Закрепляют лимб;
q На предыдущем и последующих пунктах
устанавливают вехи позади колышков (в створе наблюдаемых направлений);
q При положении КЛ снимают отсчет по
горизонтальному кругу а1 на предыдущую, затем отсчет а2 на последующую вехи,
отсчеты записывают в журнал;
q Ту же операцию повторяют при
положении КП;
q Не снимая теодолит, вычисляют
горизонтальные углы л,
п:
л
= а2 - а1
п
= а4 - а3,
где а3 и а4 - отсчеты при КП соответственно на
предыдущую и последующие вехи.
Расхождение между л
и п не должно
превышать 2|.
q Вычисляют ср.
= (л + п)/2
и записывают в журнал
q Если углы измеряются с повышенной
точностью, лимб поворачивают на 900 и повторяют все измерения.
При наведении на веху стараются навести трубу
как можно ниже, так как низ вехи всегда отклоняется меньше, чем верх.
Измерение углов наклона
Вертикальные углы измеряют в прямом и обратном
направлениях. На каждой станции измеряют высоту инструмента с точностью до 1
см, отмечают эту высоту на вехе. Веху устанавливают вертикально сначала на
предыдущей, затем на последующей точках хода. При измерении вертикального круга
должен быть на середине. Среднюю горизонтальную нить наводят на веху на высоту
инструмента (рис.) при положении КЛ, затем КП и снимают отсчеты по
вертикальному кругу КЛ и КП, которые записывают в журнал. Затем вычисляют место
нуля:
Значение
.
Затем вычисляют вертикальный угол КЛ - М0.
Вертикальные углы измеряют в прямом и обратном направлениях. Расхождение между
ними не должно превышать 2.
Измерение длин сторон хода
При измерении длин линий по разным причинам
возникают погрешности, поэтому для контроля и повышения точности результатов
измерений каждую линию измеряют дважды, в прямом и обратном направлениях.
Погрешность измерения линии 20 - метровой лентой
не должна превышать 1:2000, то есть не должна превышать 1 см на каждые 20 м
измеренной длины. Например, для линии длиной 70м допустимое расхождение между
прямой и обратной измеренными длинами не должно превышать 3,5 см. Если
расхождение не выходит за допустимые пределы, то вычисляют среднее
арифметическое значение длины:
Если расхождение больше допустимого,
линию измеряют заново.
Измерение линий заключается в
последовательном укладывании ленты в створе линии. Измерение производят два
человека. Один совмещает нулевой штрих ленты с началом линии, а другой,
протягивает ленту по створу измеряемой линии. При этом мерщик, находящийся
сзади, корректирует переднего, ориентируясь по вехе, установленной в конце
измеряемой линии. Следуя указаниям заднего мерщика, передний укладывает ленту в
створе линии и, натянув ее одной рукой, второй рукой через прорезь в ленте
вертикально вставляет шпильку в землю. После этого передний мерщик снимает
ленту со шпильки, которая остается в земле, и оба мерщика перемещают ленту
вперед по линии. Задний мерщик надевает прорезь в ленте на оставленную передним
мерщиком шпильку и направляет по линии переднего мерщика. Далее действия
повторяются в таком же порядке. Если длина линии более 100 метров и все шпильки
находятся у заднего мерщика, он передает шпильки переднему мерщику и измерения
продолжает. Когда передний мерщик подходит к концу линии, и остается отрезок
менее 20 метров, ленту протягивают за конец линии, и передний мерщик, натянув
ленту, определяет длину последнего отрезка с точностью до 1 см. Затем,
просуммировав все отрезки, вычисляют длину линии:
Д = l n + r,
Где: l -длина
ленты, n -
количество уложений ленты ( число шпилек у заднего мерщика), r- длина
отрезка в конце линии.
После этого измеряют линию в
обратном направлении. Результат измерений записывают в журнал.
Вычисление координат точек
теодолитного хода.
Вначале проверяют все вычисления в
полевом журнале. Затем строят схему теодолитного хода, на которую выписывают
номера точек теодолитного хода, средние значения измеренных горизонтальных и
примычных углов и средние значения измеренных длин сторон. Вычисление координат
точек теодолитного хода выполняется в специальной ведомости в следующем
порядке.
1. В ведомость выписывают результаты
полевых измерений:
P Средние значения измеренных
горизонтальных и примычных углов;
P Средние значения измеренных длин
сторон;
P Средние значения измеренных
вертикальных углов.
Средние значения длины стороны находят как
полусумму ее измерений в прямом и обратном ходе. Средние значения вертикального
угла - как полусумму абсолютных его значений в прямом и обратном ходе.
. Определяют угловую невязку замкнутого
хода с измеренными внутренними углами по формуле:
Если в замкнутом ходе измерены
внешние углы, то:
В разомкнутом ходе:
где
и
- дирекционные углы начального и
конечного направлений;
3. Вычисляют допустимую угловую невязку
- для замкнутого хода,
- для разомкнутого хода.
Сравнивают полученную невязку с
допустимой. Если
, то
полученную угловую невязку распределяют на все измеренные углы поровну с
противоположным знаком, то есть поправки по формуле:
,
где
- поправка в измеренные углы.
Поправки округляют до 30||, причем
сумма округленных поправок должна давать угловую невязку с обратным знаком.
Затем вычисляют исправленные углы:
Сумма исправленных углов должна быть
равна теоретической сумме: в замкнутом полигоне с внутренними углами:
,
В замкнутом полигоне с внешними
углами:
,
В разомкнутом полигоне:
.
4. Дирекционные углы сторон хода вычисляют
по формуле:
- для левых горизонтальных углов,
- для правых горизонтальных углов,
где
,
-дирекционные углы последующей и
предыдущей сторон хода. Если
получается больше 3600, то из
значения
вычитают
3600.
Вычисляют значение румбов согласно
схеме, приведенной на следующем рисунке.
Значение румбов записывают над значениями
дирекционных углов.
. Вычисляют горизонтальные проложения:
,
где d-
горизонтальное проложение (округляют до 0,01 м),
l - измеренная
длина,
- вертикальный угол.
6. Вычисляют приращения координат:
,
, или
,
где при вычислении через румбы
значения
и
определяют
по шестизначным таблицам тригонометрических функций, а знаки 
и
- по схеме. Полученные 
и
округляют до 0,01 м.
7. Вычисляют линейные невязки:
,
- для замкнутого хода,
,
- для разомкнутого хода.
8. Вычисляют абсолютную невязку:
И относительную невязку:
,
где
, то есть периметр хода.
Относительная невязка не должна
превышать 1:1500 для замкнутого хода и 1:1000 для разомкнутого хода.
Если относительная невязка больше
допустимой, то сначала проверяют все вычисления. При отсутствии ошибок в
вычислениях перемеряют длины линий.
9. Вычисляют поправки:
Поправки округляют до 0,01 м с таким
расчетом, чтобы сумма поправок равнялась невязке с обратным знаком, то есть:
,
10. вычисляют исправленные значения приращений
координат:
,
.
11. Вычисляют координаты точек теодолитного
хода:
,
,
где
и
-исправленные приращения координат
стороны
.
Контроль вычислений: получение
точного значения координат конечного пункта.
Техническое нивелирование точек
теодолитного хода
Техническое нивелирование выполняют
с целью получения высот точек съемочного обоснования.
Начальные и конечные точки хода
должны быть привязаны к реперам, планово-высотным пунктам или к условным
реперам.
Нивелирование пунктов съемочной
основы производят методом из середины. Неравенство расстояний от нивелира до
реек не должно превышать 5 метров.
Нивелирование на станции производят
следующим образом:
1. Устанавливают нивелир на штативе и
приводят его в рабочее положение;
. Совместив концы пузырька контактного
уровня, снимают отчеты по рейкам в следующем порядке:
P Отсчет по рабочей (черной) стороне
задней рейки (зч);
P Отсчет по рабочей стороне передней
рейки (пч);
P Отсчет по контрольной (красной)
стороне передней рейки (пк);
P Отсчет по контрольной стороне задней
рейки (зк);
Отсчеты беру с точностью до 1 мм
Высота визирного луча над поверхностью земли не
должна быть менее 0,2 м.
Результаты измерения заносим в журнал
нивелирования.
После снятия отсчетов, не уходя со станции,
производят следующие вычисления:
,
где hч , HК -
превышения по рабочей и контрольной сторонам реек. Расхождение между ними не
должно быть более 5 мм. Затем вычисляют среднее превышение hср:
ср округляют до целых миллиметров,
причем 0,5 мм округляют до четного числа. Таким образом нивелируют весь ход.
Когда нет возможности изменить превышение между точками хода с одной станции,
применяют сложное нивелирование. Между точками хода закрепляют иксовые (х1, х2,
,,,) точки и нивелируют эту сторону по частям. Нумерация иксовых точек единая
по всему нивелирному ходу.
Вычисление высот пунктов съемочной
основы
Высоты пунктов съемочной основы вычисляют в
следующем порядке:
а) в полевом журнале нивелирования делают
постраничный контроль:
;
где
- сумма задних отсчетов по черным и
красным сторонам реек;
- сумма передних отсчетов по черным
и красным сторонам реек;
- сумма превышений, вычисляемых по
черным и красным сторонам реек;
- сумма средних превышений.
Расхождения в постраничном контроле допускаются
не более 1 мм за счет округления при вычислении;
б) вычисляют допустимую невязку хода:
или
по указанию преподавателя, где L - длина
нивелирного хода в километрах, n - число измеренных превышений;
в) вычисляют фактическую невязку:
- для замкнутого хода,
- для разомкнутого хода,
где НК , НН - высоты конечного и
начального пунктов.
Фактическая невязка fH не должна
быть меньше или равна допустимой fh доп. Если fh>fh доп.
Сначала проверяют все вычисления. При отсутствии ошибок в вычислениях
нивелирование хода проверяют;
г) полученную невязку поровну
распределяют во все превышения с обратным знаком:
,
где
- поправка в превышениях, n - число
превышений.
Поправки округляют до целых
миллиметров с таким расчетом, чтобы сумма всех поправок была равна невязке с
обратным знаком:
где
- алгебраическая сумма поправок;
д) вычисляют исправленные превышения
е) вычисляют высоты пунктов
съемочной основы H:
где
- исправленное превышение к, к+1ой
линии.
Контроль вычислений: получение
точного значения высоты конечного пункта.
Полигонометрия
Полигонометрия - метод построения геодезич. сети
путём измерения расстояний и углов между пунктами ломаной линии
(полигонометрич. хода), проложенной на местности.
Полигонометрический ход: A, B, C, D - исходные
пункты; bв Яl ..., bn - измеренные углы; S1, S2, ..., Sn - измеренные стороны;
aAB, aCD - исходные дирекционные углы. Пункты полигонометрич. хода закреплены
спец. устройствами, имеющими метку (геодезич. центр), и служат плановой основой
для геодезич. измерений, выполняемых при картографировании земной поверхности,
топографич. и маркшейдерских съёмках, проведении инж. изысканий, a также при
стр-ве и эксплуатации разл. сооружений. Ha больших терр. создают системы
взаимно связанных полигонометрич. ходов или замкнутых полигонов, образующих
полигонометрич. сети. Углы в П. измеряют, как правило, высокоточными и точными
теодолитами, при этом визирными целями служат марки, устанавливаемые на
штативах над центрами пунктов. Pасстояния между пунктами измеряют
электромагнитными дальномерами. При построении геодезич. сетей сгущения,
съёмочных и маркшейдерских сетей методом П. наиболее целесообразно применять
электро-оптич. тахеометры, позволяющие одновременно выполнять угловые и
линейные измерения c автоматич. регистрацией и частичной обработкой их
результатов. Полигонометрич. ход опирается на исходные пункты A, B и C, D c
известными координатами и дирекционными углами αAB и
αCD,
что
позволяет обнаружить т.н. угловую и координатные невязки, зависящие от
погрешностей измерения расстояний и углов. Hевязки устраняют в процессе
уравнивания путём введения в измеренные величины поправок, определяемых на
основе метода наименьших квадратов. Пo уравненным значениям углов и линий
вычисляют координаты пунктов хода. Уравнивание полигонометрич. сетей и
вычисление координат пунктов выполняют на ЭВМ. Предельные длины сторон, их
число, a также требуемая точность угловых и линейных измерений в П. установлены
нормативно-техн. актами в зависимости от назначения геодезич. сетей. Для гос.
геодезич. сетей и геодезич. сетей сгущения эти параметры регламентированы
общесоюзными инструкциями, a для съёмочных сетей, городской П., маркшейдерских
сетей на земной поверхности и в горн. выработках - соответствующими
ведомственными техн. инструкциями. Полигонометрич. ходы, в к-рых углы измеряют
техн. теодолитами, a длины сторон - стальными мерными лентами или рулетками,
наз. теодолитными ходами.
Плановым обоснованием теодолитной съемки служат
теодолитные ходы, которые прокладываются в виде замкнутых полигонов и
разомкнутых ходов. При съемке населенного пункта или участка для строительства
обычно на границе прокладывается замкнутый полигон. Для обеспечения съемки
ситуации и для контроля измерений внутри полигона может быть проложен
диагональный ход. Разомкнутый теодолитный ход должен быть вытянутым т.е. с
углами поворота, по возможности, близким к 1800, и прокладывается как правило,
между пунктами триангуляции или полигонометрии.
Проложение теодолитных ходов начинается с
закрепления на местности колышками или деревянными столбами вершин углов
поворота. Точки углов поворота теодолитного хода выбирают так, чтобы стороны
между соседними точками было удобно измерять, а длины их были не более 350 м и
не менее 20 м. Линии измеряются дважды, в прямом и обратном направлениях. Углы
поворота в теодолитных ходах измеряют обычно правые походу лежащие. Измерения
выполняются при двух положениях вертикального круга и за окончательный
результат принимается среднее из двух измерений, если разница не превышает
двойной точности прибора. Углы наклона линий измеряют с помощью вертикального
круга теодолита. Результаты угловых и линейных измерений записывают в журнал
установленной формы.