Геодезические работы при проектировании, строительстве и эксплуатации промышленного предприятия

  • Вид работы:
    Курсовая работа (т)
  • Предмет:
    Геология
  • Язык:
    Русский
    ,
    Формат файла:
    MS Word
    744,39 Кб
  • Опубликовано:
    2014-03-11
Вы можете узнать стоимость помощи в написании студенческой работы.
Помощь в написании работы, которую точно примут!

Геодезические работы при проектировании, строительстве и эксплуатации промышленного предприятия

Оглавление

Введение

. Краткая характеристика промышленной площадки и сооружений

.1 Физико-географическое описание района строительства

.2 Топографо-геодезическая изученность района работ

. Создание плановой разбивочной основы, производство разбивочных работ

.1 Порядок разбивки осей зданий и сооружений

.2 Точность выноса основных разбивочных осей

.3 Проект планового обоснования для строительства промышленного предприятия

.4 Проект выноса исходных направлений строительной сетки в натуру. Предварительная разбивка сетки

2.5 Проект разбивки основных осей здания

2.6 Предвычисление точности угловых и линейных измерений при выносе здания в натуру

.7 Расчет точности угловых и линейных измерений при построении строительной сетки

.8 Оценка точности строительной сетки как плановой основы исполнительной съёмки

.9 Выбор метода определения координат пунктов строительной сетки: методика угловых и линейных измерений

. Проект нивелирной сети строительной площадки

Заключение

Список литературы

строительство координата нивелирный сеть

Введение


Строительство современных промышленных предприятий с жесткой технологической связью между отдельными зданиями и сооружениями, с густой сетью межцеховых коммуникаций невозможно без соответствующего геодезического обеспечения. Недостаточное внимание к вопросам геодезического обеспечения строительства приводит к снижению качества строительно-монтажных работ, неоправданным переделкам, увеличению стоимости и сроков ввода сооружений в эксплуатацию.

Для решения вопросов геодезического обеспечения строительства крупных промышленных объектов в настоящее время составляется проект производства геодезических работ (ППГР), который включает следующие разделы:

1)  создание опорных геодезических сетей;

2)         геодезические разбивочные работы;

3)         геодезические работы при возведении зданий и контроле установки конструкций;

4)         проект наблюдений за осадками зданий и сооружений;

5)         организация геодезических работ.

Разнообразие задач, решаемых при составлении ППГР и его реализации в натуре, требует от специалистов по прикладной геодезии наряду со знаниями специальных геодезических дисциплин также определенных знаний в области проектирования, строительства и эксплуатации сооружений.

Для закрепления теоретических знаний и получения практических навыков при решении вопросов геодезического обеспечения строительства и эксплуатации промышленных предприятий студентам 3-го курса специальности "Прикладная геодезия" предлагается написание курсовой работы на тему: "Геодезические работы при проектировании, строительстве и эксплуатации промышленного предприятия".

Исходные данные для курсовой работы приведены в индивидуальном задании, которое включает следующие материалы:

1)   топографическую карту масштаба 1:10 000;

2)            генеральный план предприятия в масштабе 1:10 000;

3)            план одного из корпусов предприятия в масштабах 1:500 - 1:1000.

Пользуясь настоящими методическими указаниями и рекомендуемой литературой, студент может практически самостоятельно выполнить все задания по курсовой работе.

1. Краткая характеристика промышленной площадки и сооружений

 

1.1 Физико-географическое описание района строительства


Район строительных работ, рассмотренных в данной курсовой работе, располагается не далеко от населенного пункта Ванеево.

Климат в Ванеево умеренно-континентальный, смягченный влиянием Атлантического океана. В Ванеево сравнительно теплое лето и холодная зима. Средняя годовая температура плюс 3 градуса. В самом холодном месяце, январе, средняя температура - минус 10 градусов, а в самом теплом июле - плюс 18,3 градуса. Годовое количество осадков в среднем составляет 723 миллиметров. Наиболее влажным является осенний период. Годовая величина относительной влажности воздуха - 80%. Преобладающая роза ветров в поселке - восточная, юго-восточная и северная.

В районе территории работ в западной части протекает река Букля, вытянутая по меридиальному направлению, в юго-западном углу карты в реку Буклю впадает река Света, а в северо-восточном углу карты впадает река Черная. Также через реку Букля проходят железнодорожный и автомобильный мосты. Кроме того юго-западная часть карты частично заболочена и возле населенного пункта Ванеево есть небольшая заболоченная местность. Исходя из данной информации, строительство целесообразно производить в южной части топокарты, чтобы обеспечить устойчивое залегание пунктов строительной сетки и реперов нивелирования.

Говоря о растительности, можно сказать, что западная часть карты покрыта массивными березниками, также в центре топокарты расположен урочище Байковщина. В целом, большая часть территории обладает хорошей видимостью, что будет способствовать геодезическим работам.

В южной части карты, где предполагается строить объект, проходит железная дорога и автомобильная трасса. Предполагается построить предприятие вблизи данных путей сообщения, чтобы обеспечивать быструю и удобную транспортировку и доставку необходимых материалов. Кроме того, планируется разместить завод между населенными пунктами Ванеево и Шиловка, примерно в 1000 м юго-западнее от центра Ванеево, чтобы не создавать шумовое загрязнение для жителей при строительстве.

 

1.2 Топографо-геодезическая изученность района работ


Для того чтобы начать проектировать работы, необходимо ознакомиться с существующими картами и планами на площадку. Район работ представлен на карте в масштабе 1 : 10000 с сечением рельефа 2,5 метра.

Вследствие ранее выполненных основных геодезических работ, на территории располагаются:

·        Репер грунтовый Н=151,4 м; Н=146,2 м.

·        Пункты ГГС: Н=102,5 м; Н=160,5 м.

·        Пункты триангуляции: Н=164,5 м.

Схем и каталогов координат пунктов полигонометрии, триангуляции и реперов найти не удалось, что связанно с некачественным ведением документов в Ванеевском районе.

При визуальном осмотре пунктов, можно утверждать, что состояние их хорошее, не подвержено сильным осадкам и смещениям, потому будем их использовать для дальнейших работ при строительстве предприятия.

2. Создание плановой разбивочной основы, производство разбивочных работ

 

2.1 Порядок разбивки осей зданий и сооружений


Для перенесения в натуру промышленных зданий и сооружений производятся геодезические разбивочные работы. Они подразделяются на основные и детальные.

Цель основных геодезических разбивочных работ - определить на местности положение главных и основных осей зданий и сооружений, детальных - определить на местности положение рабочих осей относительно главных или основных осей. Главные, основные, а также дополнительные (промежуточные) оси разбиваются от пунктов специального обоснования, рабочие оси - от главных, основных или дополнительных осей.

Общий принцип выноса проекта сооружений в натуру следующий: сначала создается плановое обоснование, затем от него выносятся в натуру главные или основные оси, а для больших зданий (более 100 м) и дополнительные оси. От основных или дополнительных осей выносятся рабочие оси фундаментов, колонн, по которым непосредственно возводится здание, т.е. ведется монтаж фундаментов, колонн, подкрановых путей и т.д.

 

2.2 Точность выноса основных разбивочных осей


Точность выноса основных или главных разбивочных осей регламентируется зависит от множества параметров. В данном случае таким параметром является величина пролётов здания, для пролётов свыше 18 и до 30 м. (в курсовой работе максимальная величина составляет 24 м.), принимается средняя квадратическая относительная ошибка построения основных осей 1/T=1/10000.

Средняя квадратическая ошибка в расстоянии между основными осями вычисляются по формуле:


Подставляя Sосн.1 = 72000 мм и Sосн.2 = 168000 мм получим:

m Sосн.1 = 7,2 мм; m Sосн.2 = 16,8 мм;

 

2.3 Проект планового обоснования для строительства промышленного предприятия


Виды создания геодезической разбивочной основы строительства промышленных предприятий определены СП126.13330.2012 где указано, что геодезическая основа создается в виде строительной сетки с размерами сторон от 50 до 300 м в зависимости от плотности застройки. На практике плановая основа разбивочных работ строится также в виде триангуляционных, триллатерационных и полигонометрических сетей.

В курсовой работе предлагается плановую разбивочную основу создать в виде строительной сетки. Проектирование строительной сетки необходимо выполнить на ксерокопии генплана сооружений

При составлении проекта учтены следующие требования:

1) Пункты сетки располагаются на свободных от застройки местах;

2)      Между смежными пунктами сетки должна быть прямая видимость;

)        Длины сторон сетки должны быть кратны 10 м;

)        Крайние пункты сетки должны несколько выходить за территорию промышленной площадки, что обеспечит их большую сохранность;

)        Расположение пунктов должно позволять удобно производить работы по выносу точек основных осей зданий.

В данном курсовом проекте строительная сетка представлена 56 пунктами, стороны сетки от 90 до 280 м. Площадь, занимаемая сеткой составляет 1,4268 км2. Число фигур (квадратов и прямоугольников) - 35. Максимальная длина стороны сетки равна 280 м., минимальная - 90 м. Пункты располагаются на свободных от застройках территориях, большинство пунктов располагаются вблизи строящихся зданий. Между смежными пунктами существует прямая видимость. Дирекционый угол стороны 1-2 равен 0°0'0".

Координаты 1 пункта:

X1=1000 м.

Y1=1000 м.

Проектные координаты пунктов строительной сетки представлены в таблице 1

Таблица 1 Проектные координаты вершин строительной сетки

Номер вершины

Проектные координаты

Проектные координаты


X

Y


X

Y

1

1000

1000

29

1000

1710

2

1240

1000

30

1240

1710

3

1490

1000

31

1490

1710

4

1660

1000

32

1660

1710

5

1820

1000

33

1820

1710

6

2060

1000

34

2060

1710

7

2160

1000

35

2160

1710

8

2160

1130

36

2160

1910

9

2060

1130

37

2060

1910

10

1820

1130

38

1820

1910

11

1660

1130

39

1660

12

1490

1130

40

1490

1910

13

1240

1130

41

1240

1910

14

1000

1130

42

1000

1910

15

1000

1410

43

1000

2140

16

1240

1410

44

1240

2140

17

1490

1410

45

1490

2140

18

1660

1410

46

1660

2140

19

1820

1410

47

1820

2140

20

2060

1410

48

2060

2140

21

2160

1410

49

2160

2140

22

2160

1560

50

2160

2280

23

2060

1560

51

2280

24

1820

1560

52

1820

2280

25

1660

1560

53

1660

2280

26

1490

1560

54

1490

2280

27

1240

1560

55

1240

2280

28

1000

1560

56

1000

2280


Проектная схема строительной сетки представлена в приложении А.

2.4 Проект выноса исходных направлений строительной сетки в натуру. Предварительная разбивка сетки


Для переноса проекта строительной сетки в натуру необходимо на кальке оставить схему выноса исходных направлений. Между конечным и начальным пунктами должна быть прямая видимость. Выбираются два взаимно перпендикулярных направления или одно исходное направление с тремя пунктами сетки, подлежащими выносу. Для данного курсового проекта это направление 50-56.

Вынос точек строительной сетки в натуру производиться от пунктов геодезической сети или от твёрдых местных предметов и контуров. Сначала на местности определяют исходное направление методами: полярным, угловых и линейных засечек, промеров от твёрдых контуров. Опишем место применения каждого из вышеперечисленных методов с целью обоснования выбранного в курсовой работе способа

·        Полярный метод - используется при передаче координат с временных точек на стенные знаки, установленные в виде одинарных знаков, двойных и тройных систем;

·        Метод угловых засечек целесообразно применять, когда непосредственное измерение расстояний от временных точек до центров стенных знаков затруднено интенсивными движениями транспорта и пешеходов;

·        Метод линейной засечки можно применять, если стенные знаки незначительно удалены от временных точек и нет никаких помех для проведения линейных измерений;

·        Способ промеров применяется в открытой местности, когда точки находятся в створе опорных пунктов геодезической сети или бесспорно опознанных контурных точек.

Таким образом, вынос предусматривается полярным способом, как наиболее приемлемый для нашего района работ.

С этой целью по карте графически определяют координаты конечных пунктов исходных направлений. Координаты пунктов плановой оси, от которых выполняется вынос исходных направлений, выбираются из каталогов координат.

Затем по полученным координатам пунктов плановой основы и конечных пунктов исходных направлений решением обратных геодезических задач находятся полярные расстояния S1, S2, S3 и полярные углы β1, β2, β3.

В данном курсовом проекте выносились пункты 54, 55, 56 строительной сетки.

пп =1252.4901 Yпп =2516.6964

X46 =1490 Y46 =2280

X47 =1240 Y47 =2280

X48 =1000 Y48 =2280

α=30°;

;

;

;

α46=r46=44°54'

β46=74°54'

=

α47=180°+r47=86°59'

β47=123°01'

=

α48=r48=43°09

β48=166°51'

Рекомендуемые для выноса исходных направлений строительной сетки инструменты: линейные измерения следует производить, лазерными рулетками и другими приборами соответствующей точности; угловые измерения выполняются тахеометрами Topcon GSN-100 и другими.

Результаты отображены в приложении А "Схема выноса исходных направлений"

После выноса исходных направлений выполняется предварительная разбивка всех пунктов строительной сетки и их временное закрепление.

Предварительная разбивка строительной сетки от пунктов опорной геодезической сети выполняется в следующем порядке. Вначале выносят в натуру полярным способом два главных направления сетки; при этом координаты их концов определяют графически на плане, на котором запроектирована сетка. От этих главных направлений разбивают с точностью 1:1000 - 1:2000 все фигуры сетки и закрепляют их временными знаками. Затем по всем вершинам сетки прокладывают полигонометрические ходы и вычисляют фактические (исполнительные) координаты каждой вершины. По разностям исполнительных и проектных координат определяют элементы редукции, редуцируют пункты сетки на проектное положение и закрепляют постоянными железобетонными знаками

Рис. 1. Типы знаков временного закрепления вершин строительной сетки: а) металлическая труба, кованый гвоздь со сторожком, б) cвайка, в) деревянный столб, г) крест (краской) на валуне, д) штырь, кованый гвоздь в пне

2.5 Проект разбивки основных осей здания

Выбор способа получения на местности планового положения точек зависит от вида геодезической сети на строительной площадке, особенностей местности и возводимого сооружения и других причин. Реализация того или иного способа заключается в основном в построении на местности заданных углов и расстояний. Для контроля положения вынесенной на местности точки ее координаты определяют другим независимым способом.

Полевые разбивочные и контрольные работы выполняют по разбивочным чертежам, составленным по специальным расчетам, в которых исходными служат координаты опорных и проектных точек.

К основным способам выноса основных осей здания можно отнести:

·        Способ прямоугольных координат

·        Способ прямоугольных координат

·        Способ линейной засечки

·        Способ пересечения створов

В представленном курсовом проекте используется способ прямоугольных координат. Подробнее опишем его.

Этот способ обычно применяют в случаях, когда геодезической основой является строительная сетка (рис. 2), ее вершины A, B, C, D закреплены на местности. Для выноса точки K (точка сооружения) по линии AD откладывай ют отрезок d1=YK-YA и по перпендикулярному AD направлению отрезок d2=XK-XA. Для построения отрезков и d2 теодолит устанавливают над точкой A и проводят его в рабочее положение.

Перекрестие нитей зрительной трубы наводят на точку D и от точки A в створе линии AD, фиксируем теодолитом, откладывают горизонтальное проложение d1 и получают точку P. Теодолит переносят и устанавливают над точкой P, приводят его в рабочее положение, откладывают прямой угол APP. По направлению PP от точки P откладывают горизонтальное проложение d2, получают точку K, закрепляют её.

Рис. 2. Способ прямоугольных координат

В данном курсовом проекте вынос основных осей зданий производился от 4-х пунктов строительной сетки: пункты № 15,16,27,28.

Для выноса основных осей здания рекомендуют следующий порядок действий:

1.      Графически снимают с генплана координаты одного из углов здания. В представленном курсовом проекте это угол 1

2.      Далее по проектным Расстояниям между основными осями, выбранными с плана здания, рассчитываются аналитически координаты всех точек пересечения основных осей.

.        Результаты заносятся в таблицу 2 "Проектные координаты точек пересечения основных осей"

Для данного курсового проекта значения проектных координат точек пересечения основных осей представлены ниже:

Таблица 2 Проектные координаты точек пересечения основных осей.

№ п/п

Номера точек

Проектные координаты



X

Y

1

I

1070

1478

2

II

1238

1478

3

III

1238

1550

4

IV

1070

1550


Далее по проектным координатам пунктов сетки и точек пересечения основных осей вычисляются разбивочные элементы.

Подробнее с разбивкой осей здания в данном курсовом можно ознакомится в приложении Б.

Рис. 3. Конструкции знаков закрепления а), б) - для сезонного промерзания, в) - для зоны глубинного промерзания, г) - для заложения капитального сооружения, д) - для заложения в бетонные покрытия. 1 - пластина 200*200 мм, 2 - наплыв от сварки, 3 - труба диаметром 50-70 мм, 4 - якорь, 5 - зона промерзания грунтов, 6 - рельс, 7 - скважина под бур, 8 - свая, 9 - сферическая поверхность.

Для района работ, представленном в данном курсовой работе, целесообразнее использовать для закрепления вершин строительной сетки знаки для зоны сезонного промерзания и для заложения в бетонные покрытия.(Рис. 3. а,б,д).

2.6 Предвычисление точности угловых и линейных измерений при выносе здания в натуру


Для расчета необходимой точности построения углов и отложения длин линий при выносе точек пересечения основных осей в натуру от пунктов строительной сетки необходимо вычислить допустимые средние квадратические ошибки в положение выноса точек.

Исходными величинами для расчета точности являются средние квадратические ошибки выноса основных осей .

Допустимую среднюю квадратическую ошибку в положении точек пересечения основных осей находим по формуле:

Тогда, учитывая это равенство, получаем формулу:


Теперь зная величину  можно рассчитать необходимую точность построения прямых углов и отложения длин линий при выносе в натуру точек пересечения основных осей способом прямоугольных координат. Для расчета точности выбирается наихудший случай разбивки, когда расстояния, откладываемые по стороне сетки и по перпендикуляру к ней, максимальны.

В данном курсовом проекте примем точку, как точку пересечения основных осей

Для вычисления точности необходимо определить следующие ошибки:

 где

 - средняя квадратическая ошибка построения прямого угла в точке а;

 - средняя квадратическая ошибка отложения расстояния ;

 -средняя квадратическая ошибка отложения расстояния ;

Эти величины вычисляются по следующим формулам:


Далее приведу расчет точности, применимо для моего случая разбивки осей здания:


Тогда  примут следующие значения:


В зависимости от точности измерения углов и отложение длин линий необходимо подобрать соответствующие инструменты, обеспечивающие необходимую точность. Для измерения прямых углов подойдет теодолит, точность которого больше 8'', поэтому такой точности подойдут: теодолит 2Т5, теодолит 2Т2, электронный тахеометр фирмы Topcon GSN-100, 200 и им аналогичные. Для измерения длин также подойдет электронный тахеометр фирмы Topcon GSN-100,200, а также дальномеры серии Leica distro d5, d2, d8 и им аналогичные. Подробную схему разбивки можно посмотреть в приложении Б.

2.7 Расчет точности угловых и линейных измерений при построении строительной сетки


Если на строительной площадке здания и сооружения имеют сравнительно небольшие размеры (менее 100 м) и между нет жесткой технологической связи, то точность строительной сетки ориентируется только на требование к точности исполнительной съемки.

При больших размерах здания и сооружений при наличии жесткой связи между отдельными зданиями предусматривается разбивка основных и дополнительных осей не реже чем 100 - 150 м.. В этом случае окончательное положение основных и дополнительных осей определяется не линейными промерами по осям, а находится непосредственно от пунктов строительной сетки, и поэтому ошибки в длинах сторон сетки влияют на точность взаимного положения основных (дополнительных) и рабочих осей.

Для расчета необходимой точности определения длин сторон сетки и измерения углов необходимо иметь схему разбивки основных осей наиболее сложного и соответственного здания.

Важнейшим условием при расчете необходимой точности является составление уравнение размерной цепи.

Для моего случая:

где S = 150 000 мм, ,

Расчет точности измерения длин сторон строительной сетки можно выполнить по следующей формуле:


Следовательно, для моего случая точность определения длин сторон строительной сетки должна быть принята

Для вычисления средней квадратической ошибки измерения углов на пункт строительной сетки воспользуемся следующей формулой:

=1;=150 000 мм;


Обобщим полученные данные:


Подробнее ознакомится с разбивкой можно в приложении Б.

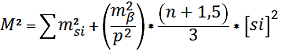
2.8 Оценка точности строительной сетки как плановой основы исполнительной съёмки


Так как пункты строительной сетки служат также плановой основой исполнительных съёмок масштаба 1:500, то ошибка пункта сетки, наиболее удалённого от исходного пункта не должна превышать 10 см

В данном курсовом проекте, учитывая проектную схему строительной сетки, а также значения 1/N и mβ, необходимо рассчитать ожидаемую ошибку в положении наиболее удалённого пункта сетки относительно исходного, принятого за начало координат частной системы.

При вычислении точности принимается, что сетка создаётся одностадийным построением, то есть все стороны и углы измеряются с одинаковой точностью.

Ожидаемая средняя квадратическая ошибка определения положения оцениваемого пункта сетки, вычисляется по формуле:


подставляя полученные значения mβ=, имеем:

M = 7,0 см, что меньше допустимого значения (Мдоп.=±10 см), значит пункты данной строительной сетки возможно использовать для исполнительных съёмок.

 

2.9 Выбор метода определения координат пунктов строительной сетки: методика угловых и линейных измерений


Для определения точных координат приближенно разбитых пунктов строительной сетки выполняются угловые и линейные измерения соответствующей точности. Метод определения точных координат выбирается, исходя из условий видимости на строительной площадке, размеров строительной сетки, требуемой точности измерений, наличия приборов и инструментов, а также квалификации исполнителей.

Для определения координат пунктов строительной сетки в данном курсовом проекте наиболее рациональным будет использование метода полигонометрии.

Полигонометрия 1-го порядка представляет собой систему вытянутых ходов (для сеток из квадратов или одинаковых прямоугольников, стороны ходов равны между собой). Отличительной чертой таких ходов являются короткие стороны (в среднем около 200 м.), что приводит к большому числу сторон в ходе, а, следовательно, требует повышения точности угловых измерений. Поэтому, если полигонометрия представляет систему полигонов, рекомендуется осуществить передачу дирекционных углов на узловые точки. Здесь также может быть использован способ измерения в комбинациях.

Исходя из средней ошибки положения пункта полигонометрии 1-го порядка ±2,7 см, получим среднюю ошибку в конце хода ±5,4 см и предельную ±10 см При длине хода между пунктами триангуляции 2-3 км - это составит 1:20000 - 1:30000, что соответствует полигонометрии 4-го класса. Однако измерения (особенно угловые) следует выполнять с особой тщательностью, так как наименьшая длина стороны в полигонометрии 4-го класса - 250 м, а в строительной сетке, как правило, все стороны в среднем равны 200м.

Полигонометрию 1-го порядка прокладывают между пунктами триангуляции или строят в виде самостоятельных схем.

Подробнее ознакомиться с проектной схемой полигонометрии можно в приложении В.

3. Проект нивелирной сети строительной площадки


Основное назначение высотной сети на строительной площадке - служить исходной основой высотных разбивок и установки конструкций в проектное положение по высоте.

Для обеспечения строительства сложной системы коммуникаций с минимальными уклонами обычно требуют, чтобы отметка в ошибке репера (Рис. 4., Рис. 5) в наиболее слабом месте сети относительно исходного пункта не превышала ±30мм

В нивелировании среднюю квадратическую ошибку принимают в 2,5-3 раза меньше предельной. Тогда средняя квадратическая ошибка слабого репера сети должна быть не более ±10мм

В курсовом проекте спроектирована двухступенчатая высотная основа. По внешнему ходу строительной сетки запроектирован замкнутый ход 1 ступени, опирающийся на исходный репер государственного нивелирования.

Отметки заполняющих пунктов сетки определяются из нивелирования 2 ступени по формуле


где  - средняя квадратическая ошибка отметок реперов первой ступени;

где  - средняя квадратическая ошибка отметок реперов второй ступени, обусловленная ошибками нивелирования 2 ступени.

Принимая коэффициент понижения точности при переходе от I ступени до II k=1.5, получим =10мм, =±5.5мм, =±8.3мм

Далее приведен расчет класса нивелирования I и II ступени.

Как известно, средняя квадратическая ошибка отметки любого репера в ходе вычисляется по:


где µ - средняя квадратическая ошибка километра хода,

L - расстояние от исходного до определяемого репера в километрах.

Для моего случая =±5,5мм, L1=1,62532, тогда

;

µ1=4,31мм

Для определения µ2 имеем =±8,3мм, L2=0,660, тогда:

;

=10,2мм

В зависимости от значения  выбирается класс нивелирования для каждой ступени.

Следовательно, в моем курсовом проекте I ступень следует нивелировать по программе III класса, а вторую ступень по программе IV класса. Схему высотного обоснования строительства можно посмотреть в приложении Г.

Так как по результатам расчёта имеется некоторый запас точности, как во II, так и в IV классах, то целесообразно выполнить проверочный расчет. Пусть 1-я ступень нивелируется III классом, а 2-я ступень - IV классом. Тогда =±6мм, =±8мм При =1,62532км и =0,660км =±5,099мм, =6,499мм и ошибка репера 2-й ступени относительно исходного репера сети составит:

=

Полученная ошибка больше допустимой ±10мм, поэтому окончательно следует принять для первой ступени - нивелирование III класса и для второй - нивелирование IV класса.

Нивелирование III класса

Способ нивелирования III класса зависит от применяемых нивелиров. Предпочтение отдают нивелирам с самоустанавливающейся линией визирования (с компенсатором).

Нивелиры и рейки исследуют и поверяют с целью установления их пригодности для нивелирования III класса, приведения в рабочее состояние и определения постоянных. Нивелирование III класса производят в прямом и обратном направлениях "способом средней нити" или "способом совмещения".

Поскольку в современных нивелирах сетка зрительной трубы не содержит нитей, правильнее было бы назвать "способ среднего штриха" или "способ наведения".

Порядок наблюдений на станции следующий:

·        отсчет по черной стороне (основной шкале) задней рейки;

·        отсчет по черной стороне (основной шкале) передней рейки;

·        отсчет по красной стороне (дополнительной шкале) передней реки;

·        отсчет по красной стороне (дополнительной шкале) задней рейки.

Нивелирование выполняют участками в 20-30 км. Переход от нивелирования в прямом направлении к нивелированию в обратном направлении делают только на постоянных знаках. При этом рейки меняют местами.

Нормальная длина луча визирования - 75 м. При отсутствии колебаний изображения реек и увеличения трубы не менее 35 длину луча разрешается увеличивать до 100 м.

Расстояния от нивелира до реек измеряют тонким тросом, просмоленной бечевой или дальномером; неравенство расстояний на станции допускают не более 2 м, а их накопление по секции - не более 5 м.

Высота луча визирования над подстилающей поверхностью должна быть не менее 0,3 м.

Нивелирование выполняют при хорошей видимости, отчетливых и спокойных изображениях реек. В солнечные дни не следует нивелировать в периоды, близкие к восходу и заходу солнца.

При работе на станции нивелир с уровнем защищают от солнечных лучей зонтом.

Рейки устанавливают по уровню на костыли или башмаки. В местах установки башмаков предварительно снимают дерн. Для удобства рекомендуется пользоваться не менее чем тремя костылями или башмаками.

При нивелировании способом "средней нити" необходимо соблюдать следующие допуски.

Отсчет по средней нити по черной стороне каждой рейки не должен расходиться более чем на 3 мм с соответствующей полусуммой отсчетов по дальномерным нитям.

Расхождение между значениями превышения, полученными по черным и красным сторонам реек, не должно быть более 3 мм с учетом разности высот пары реек.

После выполнения нивелирования по секции сравнивают между собой значения превышения, полученные из прямого и обратного ходов; расхождение между этими значениями не должно превышать 10 мм √L.

Невязки в полигонах и по линиям допускают не более 10 мм √L.

Нивелирование IV класса

Нивелирование IV класса выполняют в одном направлении способом "средней нити".

Нивелирование IV класса производят глухими нивелирами с уровнем или компенсатором, удовлетворяющими следующим требованиям:

·        увеличение трубы, крат 25;

·        цена деления цилиндрического контактного уровня ("/2 мм), не

более 30;

·        ошибка самоустановки линии визирования у нивелиров с компенсатором, не более 0,5;

При нивелировании IV класса применяют нивелиры с уровнем Н-3, НВ, N1-030, а также нивелиры с компенсатором Н-ЗК, НСЗ, НС4, №В-3, 4, 5, 6 и N1-025'.

При нивелировании IV класса применяют трехметровые рейки.

Для привязки к стенным маркам используют подвесную рейку.

Порядок наблюдений на станции следующий:

·        отсчеты по черной стороне задней рейки;

·        отсчеты по черной стороне передней рейки;

·        отсчет по красной стороне передней рейки;

·        отсчет по красной стороне задней рейки.

Нормальная длина луча визирования-100 м. Если работы выполняют нивелиром, у которого труба имеет увеличение не менее 30 х, то при отсутствии колебаний изображений разрешается увеличивать длину луча до 150 м. Расстояние от нивелира до реек можно измерять дальномером. Неравенство расстояний от нивелира до реек на станции допускают до 5 м, а их накопление по секции - до 10м.

Высота луча визирования над подстилающей поверхностью должна быть не менее 0,2 м.

Во время наблюдений на станции нивелир защищают от солнечных лучей зонтом.

Рейки устанавливают отвесно по уровню на костыли, башмаки, а на участках с рыхлым и заболоченным грунтом-на колья.

На заболоченных участках рекомендуется применять нивелиры с компенсатором.

При перерывах в работе наблюдения заканчивают и продолжают согласно, но расхождения между значениями превышений до и после перерыва допускают до 5 мм.

Рис. 4. Чертежи реперов высотного обоснования

а) грунтовый репер. Тип 160 оп. знак

б) грунтовый репер. Тип 162 оп. знак

Рис. 5. Типы марок для грунтовых реперов

(а - марка, закладываемая в бетон, б - марка, приваренная к металлической трубе)

Заключение


В ходе выполнения данного курсового проекта были получены следующие навыки и умения:

. Ознакомление с технологией создания опорных геодезических сетей

. Разработка геодезических работ при создании проектной нивелирной сети.

Данный курсовой проект состоит из 3 разделов:

·        Краткая характеристика промышленной площадки

·        Создание плановой разбивочной основы, производство разбивочных работ

·        Проект нивелирной сети строительной площадки

В разделах 2 и 3 приведены графические приложения.Плановая разбивочная основа создавалась в виде строительной сетки и представлена 72 пунктами, стороны сетки от 90 до 280 м.

Для выноса основных осей здания использовался способ прямоугольных координат. В данном курсовом проекте вынос основных осей здания производился от 4-х пунктов строительной сетки: № 15, 16, 27, 28.

Точность определения длин сторон строительной сетки должна быть принята 1/29163;

Ожидаемая средняя квадратическая ошибка определения положения 72 пункта сетки равна 7.0 см, что меньше допустимого значения (mдоп. =±10 см), значит пункты данной строительной сетки возможно использовать для исполнительных съёмок. Для определения координат пунктов строительной сетки в данном курсовом проекте наиболее рациональным было использование метода полигонометрии. Исходя из того, что µ1 = 4,31 мм и µ2 = 10,2 мм, I ступень следует нивелировать по программе III класса, а вторую по программе IV класса. Пункты целесообразнее закреплять грунтовыми реперами типа 160, 162

Список литературы


1. Инструкция по топографической съемке в масштабах 1:5000, 1:2000, 1:1000 и 1:500 ГКИНП-02-033-82;

. Инструкция по нивелированию I, II, III и IV классов ГНИНП (ГНТА)-03-010-02;

. Пособие по производству геодезических работ в строительстве (к СНиП 3.01.03-84);

. Инженерно-геодезические изыскания для строительства СП 11-104-97;

. Интернет-ресурс http://www.spbtgik.ru/book/2351.html

. Интернет-ресурс http://drillings.ru/nivelirovanie4

. Интернет-ресурс http://exterior-design.ru/content/view/238/56/

. Интернет-ресурс http://batkivshchyna.net/geodezia_t2r18part4.html

Похожие работы на - Геодезические работы при проектировании, строительстве и эксплуатации промышленного предприятия

 

Не нашли материал для своей работы?
Поможем написать уникальную работу
Без плагиата!
Без нейросетей!