Эластичность спроса и предложения на рынке

  • Вид работы:
    Курсовая работа (т)
  • Предмет:
    Эктеория
  • Язык:
    Русский
    ,
    Формат файла:
    MS Word
    838,2 Кб
  • Опубликовано:
    2014-05-02
Вы можете узнать стоимость помощи в написании студенческой работы.
Помощь в написании работы, которую точно примут!

Эластичность спроса и предложения на рынке

Введение

Описывая рынок, экономисты пользуются понятием «спрос» для описания поведения покупателей и понятием «предложение» для описания поведения продавцов. Рынок - это взаимодействие покупателей и продавцов, определяющее равновесную цену и равновесное количество обмениваемого продукта.

Для изучения возможной реакции потребителя на те или иные изменения цены используется понятие «эластичность спроса». Это понятие относится как к индивидуальному, так и к рыночному спросу.

Для определения изменения уровня объема и объема продаж в определенный момент времени используется эластичность предложения.

Целью курсовой работы является изучение эластичности спроса и предложения.

Исходя из поставленной цели необходимо решить следующие задачи:

рассмотреть понятие спроса и предложения;

определить факторы, воздействующие на спрос и предложения;

дать характеристику эластичности спроса и предложения;

изучить виды эластичности спроса;

описать применение теории эластичности.

Объектом изучения является эластичность спроса и предложения.

Теоретической и методологической основой курсовой работы послужили труды ученых по экономической теории, менеджменту, управлению персоналом.

Информационной основой явились данные материалов глобальной сети интернета.

При анализе применялись методы и подходы экономической теории.

1. Спрос на товар и его эластичность

.1 Понятие спроса и его факторы

спрос эластичность предложение экономический

Под спросом понимается количество продукта, которое покупатели не только хотят, но и могут купить по любой возможной цене за определенный промежуток времени. [3, стр. 85] Спрос (платежеспособную потребность), следовательно, можно охарактеризовать как взаимоотношение между ценой и количеством приобретаемого товара.

Экономисты моделируют спрос, т.е. представляют его в виде модели. Спрос рассматривается как функция множества переменных, главная из которых - рыночная цена товара. Общеизвестно, что количество купленных товаров зависит от их цены. Чем выше цена товара, тем меньшее его количество люди хотят купить, и наоборот, чем ниже цена, тем больше объем спроса на него. Подобную зависимость экономисты называют законом спроса. Закон спроса - при прочих равных условиях, чем ниже цена, тем больше величина спроса, и наоборот, чем выше цена, тем величина спроса меньше. Таким образом, между ценой и величиной спроса существует обратная зависимость.

Связь между ценой и объемом спроса на любой товар можно проиллюстрировать с помощью кривой спроса. Кривая спроса - графическое выражение зависимости между ценой товара и величиной спроса, предъявляемого покупателями на этот товар.

Кривая спроса (D) является нисходящей, убывающей. Подобное «поведение» кривой отражает действие закона спроса, поскольку график показывает обратную зависимость между ценой товара X (Рх) и величиной спроса на данный товар (Qx). На рисунке ниже падение цены с Р1 до Р2 ведет к росту объема спроса с Q1 до Q2.

Рис. 1.1. Кривая спроса

Рассматривая категорию «спрос», мы акцентировали внимание на влиянии изменения цены товара на величину спроса. При этом предполагалось, что меняется только цена товара, все же остальные факторы, которые могут оказывать влияние на спрос (вкусы потребителей, доходы домохозяйств, цены на другие товары и т.п.), остаются неизменными. Но каждый из этих факторов сказывается на спросе на товар X, и под воздействием этих факторов спрос может меняться. В частности, при неизменной рыночной цене товара потребители могут предъявлять спрос на большее или меньшее его количество.

В том случае когда под влиянием изменения какого-то фактора величины спроса меняются при каждой данной цене, происходит смещение всей кривой спроса вправо или влево параллельно самой себе; говорят, что произошло изменение спроса - спрос возрос или сократился.

Если кривая D0 смещается вправо, спрос увеличивается. Если кривая D0 сместится влево, то спрос уменьшится. Неценовые факторы спроса иначе называются неценовыми детерминантами спроса.

Рис. 1.2. Изменение спроса под действием неценовых факторов

Наиболее существенное воздействие на поведение покупателей, а следовательно, и на сдвиг кривой спроса оказывают следующие детерминанты. [5, стр. 169]

. Вкусы и предпочтения потребителей» которые, в свою очередь, определяются такими факторами, как мода, реклама, качество потребляемых благ, обычаи, традиции и т.п. Если вкусы потребителей изменятся в пользу данного товара, то спрос на него увеличится, и кривая спроса сместится вправо.

. Уровень доходов населения. Увеличение дохода потребителей приводит к тому, что они предъявляют спрос на большее количество данного блага при каждой цене, т.е. спрос растет и кривая спроса смещается вправо из положения D0 в положение D1. Соответственно, снижение уровня доходов населения вызывает понижение спроса и сдвиг кривой спроса до положения D2.

. Цены на другие товары могут повлиять на изменение спроса на данный товар. В частности речь идет о ценах на взаимозаменяемые и взаимодополняющие друг друга товары. Взаимозаменяемые товары - товары, которые по своим потребительским свойствам похожи и могут быть заменены друг другом. Представим, что цена товара Y, заменителя X, возросла, тогда очевидно, что товар X становится относительно дешевле (по сравнению с Y) и покупатели будут стремиться приобретать в больших количествах товар Х при каждой возможной его цене, и график спроса на товар X сместится вправо. Аналогичным образом происходит смещение графика спроса на товар X влево при снижении цены Y. Например, чай и кофе в некотором смысле являются заменителями; с повышением цены на кофе увеличивается спрос на чай. Таким образом, между ценой на один из взаимозаменяемых товаров и спросом на другой существует прямая зависимость. Взаимодополняющие товары - товары, которые не могут быть использованы друг без друга (бензин и автомобиль, фотоаппарат и фотопленка, магнитофон и кассеты). Если товар Z дополняет товар X, то снижение цены Z повлечет за собой увеличение спроса на товар X и сдвиг кривой спроса на него вправо, а повышение цены Z вызовет обратный эффект, т.е. здесь зависимость между ценой на один товар и спросом на другой - обратная. Очень многие товары не связаны друг с другом, и изменение цены одного из них не оказывает воздействия на спрос на другой. Количество покупателей. Рост числа покупателей (например, за счет увеличения населения) в конечном итоге вызовет расширение спроса на товар.

. Ожидания потребителей. Если покупатели ожидают изменения цен на товары, повышения или понижения своих доходов, определенных действий правительства, затрагивающих доступность товаров, то это может повлиять на их желание приобретать товар в данный момент, а, следовательно, вызовет изменение спроса. Так, ожидания будущего повышения цены товара (инфляционные ожидания) подстегивают спрос, т.е. потребители стремятся приобрести товар в больших количествах сегодня, бо­ясь потерять возможность его купить в будущем, когда цена на него возрастет. Результатом ажиотажного спроса будет смещение графика D вправо.

. Эффект отложенного спроса связан с существованием циклических колебаний спроса во времени - годовые, квартальные, недельные колебания. Так, в течение года имеют место три «пика» и три «провала» спроса. Первый «пик» - конец декабря - начало января (новогодние праздники), затем следует падение спроса. Второй «пик» - февраль - март - в России тоже приходится на праздники (23 Февраля, 8 Марта). Третий «пик» обычно приходится на август - сентябрь (период массовых отпусков, время подготовки к новому учебному году). Цикличность существует и в течение месяца - выделяют два «пика» - аванс и зарплату. В течение недели возрастание спроса наблюдается перед выходными.

Итак, на спрос оказывают воздействие как цена, так и неценовые факторы. В этой связи не следует путать изменения в спросе, происходящие под действием ценовых и неценовых факторов. При изменении в спросе происходит сдвиг кривой спроса, поскольку в этом случае при каждой цене предъявляют спрос на иное (большее или меньшее) количество товара. Перемены в спросе могут произойти только в случае изменения неценовых детерминант спроса. Когда же все неценовые факторы постоянны и не изменяются, а цена товара или увеличивается, или уменьшается, то мы от одного соотношения «цена-количество спрашиваемой продукции» при прочих равных условиях по закону спроса переходим к другому, новому соотношению «цена-количество спрашиваемой продукции». Соответственно, при сни­жении цены с Р1 до Р2 происходит смещение из точки А в точку В одной и той же кривой спроса. В подобных случаях вследствие действия закона спроса происходит лишь изменение величины (объема) спроса, перемещение вдоль кривой спроса.

1.2 Понятие эластичности спроса и факторы ценовой эластичности спроса

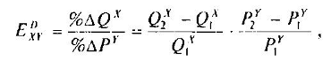
Ценовая эластичность спроса - категория, характеризующая реакцию потребительского спроса на изменение цены товара, т.е. поведение покупателей при изменении цены в ту или иную сторону. [12, стр. 204] Если понижение цены приводит к значительному увеличению спроса, то этот спрос считается эластичным. Если же существенное изменение в цене ведёт лишь к небольшому изменению в количестве спрашиваемого товара, то имеет место относительно неэластичный или просто неэластичный спрос.

Степень чувствительности потребителей к изменению цены измеряют с помощью коэффициента ценовой эластичности спроса, представляющего собой отношение процентного изменения количества спрашиваемой продукции к процентному изменению цены, вызвавшему это изменение спроса. Иными словами, коэффициент ценовой эластичности спроса:

ЕDР =%ΔQ/%ΔP (1.1)

Процентные изменения объема спроса и цены рассчитываются следующим образом:

%ΔQ = (Q2 - Q1)/Q1 x 100%;%ΔP = (P1 - P2)/P1 x 100% (1.2)

где Q1 и Q2 - первоначальный и текущий объем спроса;и Р2 - первоначальная и текущая цена.

Таким образом, следуя данному определению, коэффициент ценовой эластичности спроса рассчитывается:

 (1.3)

Если ЕDР > 1 - спрос эластичен; чем выше этот показатель, тем эластичнее спрос. Если ЕDР < 1 - спрос неэластичен. Если ЕDР =1, имеет место спрос с единичной эластичностью, т.е. снижение цены на 1% приводит к росту объема спроса тоже на 1%. Иными словами, изменение цены товара в точности компенсируется изменением спроса на него.

Выделяют и крайние случаи:

абсолютно эластичный спрос: возможно существование только одной цены, при которой товар будет приобретаться покупателями; коэффициент ценовой эластичности спроса стремится к бесконечности. Любое изменение цены приводит либо к полному отказу от приобретения товара (если цена повышается), либо к неограниченному увеличению спроса (если цена уменьшается);

абсолютно неэластичный спрос: как бы ни изменялась цена товара, в данном случае спрос на него будет постоянным (одинаковым); коэффициент ценовой эластичности равен нулю.

На рисунке линия D1 демонстрирует абсолютно эластичный спрос, а линия D2 - абсолютно неэластичный спрос.

Рис. 1.3. Абсолютно эластичный и абсолютно неэластичный спрос

Факторы ценовой эластичности спроса: [7, стр. 96]

) Прямая эластичность спроса по цене зависит прежде всего от наличия благ-заменителей. Чем больше таких благ-заменителей, чем ближе их основные свойства, тем эластичнее спрос на данный благо. Отсутствие благ-заменителей предопределяет совершенную неэластичность спроса (например, спрос на поваренную соль). Поэтому, чем более агрегированную группу благ мы рассматриваем, тем ниже эластичность спроса (например, спрос на мясопродукты менее эластичен, чем спрос на колбасы, а спрос на колбасы менее эластичен, чем спрос на колбасу определенного вида).

) Эластичность зависит также от разнообразия возможностей (направлений) использования данного блага. Чем разнообразнее эти возможности, тем выше и эластичность (например, спрос на универсальное оборудование более эластичен, чем на специализированное).

) Прямая эластичность спроса зависит также от степени насыщения потребностей. Если почти все семьи уже имеют хотя бы по одному холодильнику, небольшое снижение рыночной цены вряд ли существенно скажется на объеме спроса и продаж. Напротив, на стадии начального насыщения спроса, скажем, на компьютеры, сравнительно небольшое снижение цены может вызвать значительный рост спроса и продаж.

) Наконец, эластичность спроса зависит от фактора времени. Спрос более эластичен в длительном периоде, чем в коротком, поскольку для приспособления к изменившемуся соотношению цен необходимо время. Безусловно, шок от повышения цен на энергоресурсы приведет к появлению новых энергосберегающих технологий и, значит, к относительному сокращению спроса на них. Но переход к новым технологиям не может произойти на утро следующего после освобождения цен на энергоресурсы дня. Мы уже знакомы со ступенчатыми линиями спроса (рис. 2.13 и 4.1), которые составлены как бы из чередующихся горизонтальных и вертикальных сегментов.

Очевидно, что в пределах каждого вертикального сегмента прямая эластичность спроса по цене равна нулю. И когда мы говорим о совершенно неэластичном спросе на поваренную соль, нам следует помнить, что это утверждение справедливо лишь в пределах ограниченного ценового интервала, или, иначе, в пределах определенного вертикального сегмента кривой спроса.

1.3 Виды эластичности спроса

При рассмотрении эластичности спроса по цене возникает вопрос: что же происходит с выручкой (валовым доходом) фирмы при изменении цены на товар в случае эластичного спроса, неэластичного спроса и спроса единичной эластичности. [10, стр. 63] Валовом доход определяется как произведение цены продукции на объем продаж (TR= PxQx). Как видим, в выражение TR (валового дохода), как и в формулу показателя эластичности спроса по цене, входят значения цены и объема товара (Рх и Qx). В этой связи логично предположить, что на изменение валового дохода могут оказывать воздействие величины эластичности спроса по цене.

Проанализируем, как изменяется выручка продавца в случае снижения цены на его продукцию при условии, что спрос на нее отличается высокой степенью эластичности. В этом случае снижение цены (Рх) вызовет такое увеличение объема В спроса (Qx), что произведение TR= PXQX, т.е. общая выручка, возрастет. Из графика видно, что общая выручка от реализации продукции в точке А меньше, чем в точке В при продаже продукции по более низким ценам, так как площадь прямоугольника PaAQaO меньше площади прямоугольника PBBQB0. При этом площадь РААСРВ - проигрыш от снижения цены, площадь CBQBQA - увеличение объема продаж от снижения цены.

Рис. 1.4. Оценка эластичности спроса по показателю общей выручки

SCBQBQA - SPaАСРВ - величина чистого выигрыша от снижения цены. С экономической точки зрения это означает, что в случае эластичного спроса снижение цены на единицу продукции полностью компенсируется значительным увеличением объемов реализуемой продукции. В случае увеличения цены данного товара мы столкнемся с обратной ситуацией - выручка продавца будет сокращаться. Проведенный анализ позволяет сделать вывод: если снижение цены товара влечет за собой увеличение выручки продавца, и наоборот, при росте цены выручка падает, то имеет место эластичный спрос.

На рисунке б изображена промежуточная ситуация - снижение цены на единицу изделия полностью компенсируется увеличением объемов продаж. Выручка в точке A (PAQA) равна произведению Рх и Qxb точке В. Здесь говорят о единичной эластичности спроса. При этом SCBQBQA = SpaACPb а чистый выигрыш Scbqbqa-Spaacpb=o.

Итак, если снижение цены на продаваемую продукцию не ведет к изменению выручки продавца (соответственно, рост цены также не вызывает изменений в выручке), имеет место спрос единичной эластичности.

Теперь о ситуации на рисунке в. В этом случае SPaAQaO<SPbBQвО, т.е. выручка в точке А меньше обшей выручки в точке в. SРAАСРв> SCBQBQA, т.е. проигрыш от снижения цены выше выигрыша от увеличения объема продаже Экономический смысл ситуации состоит в том, что для данного товара снижение цены на единицу продукции не компенсируется общим незначительным увеличением объема продаж. Таким образом, если снижение цены блага будет сопровождаться снижением величины общей выручки продавца (соответственно, увеличение цены повлечет за собой и увеличение выручки), то мы столкнемся с неэластичным спросом.

Итак, изменение объема продаж вследствие колебания величины потребительского спроса в связи с изменение цены, сказывается на объеме выручки и финансовом положении продавца.

Как уже было выяснено ранее, спрос - функция многих переменных. Кроме цены, на него оказывают воздействие множество других факторов, в качестве основных из них можно назвать доход потребителей; цены на взаимозаменяемые товары (товары-субституты); цены на взаимодополняющие товары исходя из этого, помимо концепции эластичности спроса по цене, выделяют понятия «эластичности спроса по доходу» и «перекрестной эластичности спроса».

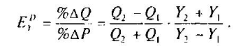
Концепция эластичности спроса по доходу отражает процентное изменение количества спрашиваемой продукции, обусловленное тем или иным процентным изменением дохода потребителя: [2, стр. 246]


где Q1 и Q2 - первоначальный и новый объемы спроса;и Y2 - первоначальный и новый уровни дохода.

Здесь, как и в предыдущем варианте, можно использовать и формулу центральной точки:

 (1.5)

Реакция спроса на изменение дохода позволяет разделить все товары на два класса.

. Для большинства товаров рост дохода будет приводить к росту спроса на сам товар, поэтому EDY > 0. Такие товары называются обычными или нормальными товарами, товарами высшей категории. Товары высшей категории (нормальные товары) - товары, для которых характерна следующая закономерность: чем выше уровень доходов населения, тем выше объем спроса на такие товары, и наоборот.

. Для отдельных товаров характерна другая закономерность: с ростом дохода величина спроса на них сокращается, т.е. EDY < 0. Это товары низшей категории. Маргарин, ливерная колбаса, газированная вода являются товарами низшей категории по сравнению со сливочным маслом, сервелатом и натуральным соком, являющимися товарами высшей категории. Товар низшей категории - вовсе не бракованный или испортившийся товар, просто это менее престижная (и качественная) продукция.

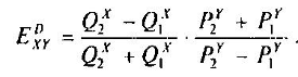
Концепциям перекрестной эластичности позволяет отразить чувствительность спроса на один товар (например, X) к изменению цены другого товара (например, Y):

 (1.6)

где Q2X и Qxx - первоначальный и новый объемы спроса на товар Х;

Р2Y и Р1Y - первоначальная и новая цена товара Y.

При использовании формулы средней точки коэффициент перекрестной эластичности будет рассчитываться следующим образом:

 (1.7)

Знак ЕDху зависит от того, являются ли данные товары взаимозаменяемыми, взаимодополняющими друг друга или независимыми. Если ЕDху > 0, то товары взаимозаменяемы, и чем больше значение коэффициента перекрестной эластичности, тем больше степень взаимозаменяемости. Если ЕDху <0, то X и Y - взаимодополняющие друг друга товары, т.е. «идут в комплекте». Если ЕDху = О, то мы имеем дело с независимыми друг от друга товарами.

Основные формы перекрестной эластичности спроса:

положительная, характерна для взаимозаменяемых благ;

отрицательная, присуща взаимодополняемым благам;

нулевая, свойственна благам, не относящимся ни к взаимозаменяемым, ни к взаимодополняемым.

Основные формы эластичности спроса по доходу:

положительная, при которой объем спроса увеличивается с увеличением дохода. Эта форма относится к нормальным товарам, в частности к предметам роскоши;

отрицательная, при которой объем спроса сокращается с сокращением дохода. Эта форма характера для низших товаров, выступающих в виде некачественных благ;

нулевая, когда объем спроса не реагирует на изменение дохода. Она присуща благам, потребление которых нечувствительно к доходам. Это товары первой необходимости.

2. Рыночное предложение и его эластичность

.1 Предложение товара и его характеристики

Товаропроизводители исходят из потребностей людей и производят товары и услуги, продаваемые на рынке. [6, стр. 105] Следовательно, совокупность товаропроизводителей обеспечивает людям удовлетворение их платежеспособного спроса, т.е. формирует предложение. Предложение - желание и способность производителей (продавцов) предоставлять товары для продажи на рынке по каждой возможной цене в каждый данный момент времени. Способность предоставлять товары связана с использованием ограниченных ресурсов, поэтому эта способность не столь велика, чтобы удовлетворить все потребности всех людей, ведь совокупные потребности, как известно, безграничны.

Объем предложения зависит от объема производства, но две эти величины не всегда совпадают. Величина предложения не тождественна объему произведенной продукции, поскольку обычно часть произведенной продукции потребляется в рамках предприятия (внутреннее потребление) и на рынок не предоставляется. С другой стороны, существуют различные потери при транспортировке и хранении товаров (например, естественная убыль).

На количество товара, которое фирма желает произвести, оказывают воздействие многие факторы, основные из которых следующие: цена самого товара; цена ресурсов, используемых в производстве данного блага; уровень технологий; цели фирмы; величины налогов и субсидий; ожидания производителей. Таким образом, предложение - функция многих переменных, но нас, прежде всего, интересует характер зависимости между величиной предложения и ценой товара при неизменности остальных факторов, способных оказать воздействие на предложение.

Между ценой и количеством предлагаемого товара существует положительная (прямая) зависимость: при прочих равных условиях с повышением цены возрастает и величина предложения, и наоборот, снижение цены сопровождается при прочих равных условиях сокращением объема предложения. Эта специфическая связь называется законом предложения.

Действие закона предложения можно проиллюстрировать при помощи графика предложения.

Рис. 2.1. Кривая предложения

Кривая предложения - графическое выражение зависимости между ценой товара и количеством этого товара, которое производители хотят предложить на рынке. Кривая предложения имеет восходящий характер, что обусловлено действием закона предложения.

Так же, как и в случае со спросом, различают индивидуальное и рыночное предложение. [9, стр. 137] Индивидуальное предложение - предложение отдельного производителя. Рыночное предложе­ние - совокупность индивидуальных предложений данного товара. Рыночное предложение находится чисто арифметически, как сумма предложений данного товара разными производителями по каждой возможной цене. График рыночного предложения определяется путем горизонтального суммирования графиков индивидуального предложения.

Кривая предложения строится исходя из предположения, что все факторы, кроме рыночной цены, остаются неизменными. Выше уже было указанно, что кроме цены на объем предложения влияют многие другие факторы. Они получили название неценовых. Под воздействием изменения какого-то из них величины предложения меняются при каждой цене. В этом случае говорят, что происходит изменение предложения. Это проявляется в смешении кривой предложения вправо или влево.

Когда предложение расширяется, то кривая S0 смещается вправо и занимает положение S1, в случае сужения предложения кривая предложения сместится влево до положения S2.

Рис. 2.2. Кривая предложения и неценовые факторы предложения

Среди основных факторов, способных изменить предложение и сместить кривую S вправо или влево, можно выделить следующие (эти факторы называются неценовыми детерминантами предложения): [4, стр. 75]

. Цены ресурсов, используемых в производстве товара. Чем больше должен платить предприниматель за труд, землю, сырье, энергоносители и т.п., тем ниже его прибыль и тем меньше его желание предлагать на продажу данный товар. Значит, при увеличении цен на применяемые факторы производства предложе­ние товара снижается, а уменьшение цен на ресурсы, наоборот, стимулирует повышение количества предлагаемого товара при каждой цене, и предложение возрастает.

. Уровень технологии. Любое технологическое усовершенствование, как правило, приводит к сокращению затрат на ресурсы (снижению издержек производства) и поэтому сопровождается расширением предложения товара.

. Цели фирмы. Основная цель любой фирмы - максимизация прибыли. Однако зачастую фирмы могут преследовать иные цели, что сказывается на предложении. Например, стремление фирмы производить товар без загрязнения окружающей среды может привести к снижению количества предлагаемого товара при каждой возможной цене.

. Налоги и субсидии. Налоги влияют на расходы предпринимателей. Рост налогов означает для фирмы рост затрат на производство продукции, а это, как правило, вызывает сокращение предложения; снижение налогового бремени имеет обычно обратный эффект. Субсидии ведут к снижению издержек производства, поэтому увеличение субсидий бизнесу, безусловно, стимулирует расширение производства, и кривая предложения смещается вправо.

. Цены на иные товары также могут влиять на предложение данного блага. Например, резкое повышение цен на нефть может привести к увеличению предложения угля.

. Ожидания производителей. Так, ожидания производителями возможного повышения цен (инфляционные ожидания) оказывают неоднозначное воздействие на предложение товаров. Предложение тесно связанно с инвестициями, а последние чутко и, главное, труднопредсказуемо реагируют на конъюнктуру рынка. Однако в зрелой рыночной экономике ожидаемый рост цен на многие товары вызывает оживление предложения. Инфляция в условиях кризиса обычно вызывает снижение производства и сокращение предложения.

. Количество производителей (степень монополизации рынка). Чем больше фирм выпускает данный товар, тем выше предложение этого товара на рынке. И наоборот.

Так же, как и в случае воздействия на спрос ценовых и неценовых факторов, разделяют изменение предложения и изменение величины предложения:

изменение неценовых факторов приводит к смещению самого графика предложения вправо или влево, поскольку в этом случае производители при каждой цене предлагают рынку иное (большее или меньшее) количество данного товара. Подобные перемены в предложении могут произойти только в случае изменений неценовых детерминант предложения. Здесь мы говорим об изменении предложения;

всякий раз, когда в результате каких-то перемен в рыночной ситуации меняется величина предложения, а все факторы, влияющие на него, кроме цены товара X, остаются неизменными, кривая предложения на товар остается на прежнем месте, происходит перемещение вдоль кривой предложения. В подобных случаях при прочих равных условиях изменяется количество товара X, предлагаемое производителями к продаже. Здесь мы говорим об изменении величины предложения.

2.2 Эластичность предложения и факторы влияющие на него

Аналогично понятию «эластичность спроса» выделяют понятие «эластичность предложения». [11, стр. 319] Эластичность предложения по цене - показатель, отражающий степень чувствительности предложения к изменению цены предлагаемого товара.

Рассмотрим следующие три случая, соответствующие графикам S1, S2, S3. Первый случай (предложение представлено линией S1,) - ситуация, когда объем предложения товара остается практически неизменным вне зависимости от изменения цены. В этом случае имеет место неэластичное предложение. Примером рынка, для которого характерно неэластичное предложение, может служить рынок свежей рыбы. Ведь продать ее необходимо в любом случае при любой цене, иначе этот товар просто испортится и его будет вовсе невозможно реализовать. Второй случай (график предложения выглядит как линия S2) - ситуация обратная первой. Здесь незначительное изменение цены товара вызывает значительное изменение объема предложения, т.е. речь идет об эластичном предложении. Третий, промежуточный, случай (линия S3) - изменение цены товара полностью компенсируется изменением объема предложения. Здесь имеет место предложение с единичной эластичностью.

Рис. 2.3. Эластичность предложения

Ценовую эластичность предложения можно оценить количественно, с помощью коэффициента ценовой эластичности предложения. Коэффициент ценовой эластичности предложения ESP рассчитывается так же, как и коэффициент ценовой эластичности спроса EDP, только вместо величин спроса берутся величины предложения:

 (2.1)

где Q1 и Q2 - первоначальный и текущий объем предложения;

Р1 и Р2 - первоначальная и текущая цена.

Обратите внимание, что здесь сразу применена формула центральной точки.

В зависимости от значения коэффициента эластичности предложения выделяют:

неэластичное предложение (график S1): значительное процентное изменение цены приводит к незначительному процентному изменению объема предложения; коэффициент эластичности предложения меньше 1;

эластичное предложение (график S2): незначительное процентное изменение цены товара вызывает значительное воздействие на объемы предложения; коэффициент эластичности предложения больше 1;

предложение с единичной эластичностью (график S3): изменение цены товара, выраженное в процентах, в точности компенсируется аналогичным процентным изменением объема предложения; коэффициент эластичности предложения равен 1;

абсолютно эластичное предложение (график S4): возможно существование только одной цены, при которой товар будет предлагаться для продажи; коэффициент эластичности стремится к бесконечности. Любое изменение цены приводит либо к полному отказу от производства товара (если цена понижается), либо к неограниченному увеличению предложения (если цена повышается);

абсолютно неэластичное предложение (график S5): как бы ни изменялась цена товара, в данном случае его предложение будет постоянным (одинаковым); коэффициент эластичности равен нулю.

Эластичность предложения по цене определяется рядом факторов, наиболее весомые из которых следующие:

. Эластичность предложениям тем выше, чем больше возможности длительного хранения товара и чем ниже издержки его хранения.

. Предложение товара будет эластично, если технология производства позволяет производителю быстро увеличить объемы выпуска в случае роста рыночной цены на его продукцию или столь же быстро переориентироваться на производство какой-либо другой продукции в случае ухудшения рыночной конъ­юнктуры и снижения цены товара.

. Степень эластичности предложения зависит от фактора времени: чем больше у производителя времени «приспособиться» к новым рыночным условиям, связанным с изменениями цены, тем эластичнее предложения.

Так как производство товаров зависит от степени загрузки производственных мощностей, размеров товарных запасов, способности к инвестициям и сроков их реализации, то эластичность предложения (реакция на изменение рыночной ситуации) в значительной степени зависит от фактора времени. По способности предприятия отреагировать на рыночную ситуацию выделяют три временных периода.

) Кратчайший период, когда производителю не хватает времени, чтобы изменить объем производства при изменении рыночной цены (кривая S0 на рис. 2.4). Увеличение спроса до D1 вызывает лишь рост P->Pмах, а QS остается постоянным - предложение неэластично (ES=0).

) Короткий период, в течение которого производственные мощности остаются неизменными, но объем производства может быть изменен за счет интенсивности их использования (работа в две смены), (кривая S1). То есть с ростом спроса (D -> D1) значительное изменение цены (P0 -> P1) вызывает незначительное увеличение объема до Q1 - предложение более эластично (1>ES>0).



Рис. 2.4. Влияние фактора времени на эластичность предложения

Таким образом, чем больше времени имеется в распоряжении производителя, для реагирования на изменение цены, тем больше будет изменение в объеме предложения.

3. Применение теории эластичности

.1. Взаимодополняемость и взаимозаменяемость товаров и услуг. Взаимодополняемость благ

Значение коэффициента перекрестной эластичности зависит от того, какие товары рассматривают: взаимозаменяемые или взаимодополняемые. [1, стр. 428]

Взаимозаменяемые товары - товары, способные в определенной степени заменять друг друга благодаря тому, что выполняют аналогичные функции, удовлетворяют те же потребности.

Взаимодополняемые товары - товары, которые в совокупности удовлетворяют одну и ту же потребность (напр., фотоаппараты и химикалии для фотолюбителей, сосиски и горчица, автомобили и шины и т.д.).

Примером взаимодополняемых потребительских благ могут служить автомобиль и бензин, ручка и бумага, лыжи и лыжные крепления, стол и стул. Взаимодополняемыми могут быть не только потребительские блага, но и производственные ресурсы: капитал и труд, сталь и прокатный стан, компьютер и программное обеспечение.

Взаимодополняемые блага называются комплементарными товарами (complementary good). Взаимодополняемость бывает абсолютной (жесткой), когда одному благу соответствует определенное количество другого блага, например лыжи и крепления к ним, и относительной, например чай и сахар, автомобиль и бензин. График жесткой взаимодополняемости имеет одну точку пересечения кривых безразличия с любой бюджетной прямой (рис. 3.1). Выбор потребителя здесь является вынужденным и единственно возможным, независимо от цен на блага X и Y, о чем наглядно свидетельствуют бюджетные линии HG и MN. Поэтому предельная норма замещения равняется нулю. MRS = 0.

Однако чаще имеет место относительная взаимодополняемость, которая может быть выражена кривыми безразличия, изображенными на рис. 3.2. В этом случае зоной взаимодополняемости служит отрезок кривой от точки С до точки D. Снижение цен на один из взаимодополняемых товаров, например на фотоаппараты, приводит к увеличению спроса на них. С ростом спроса на фотоаппараты увеличивается спрос на фотобумагу, что при прочих равных условиях повышает цену на нее. Это означает, что снижение цен на один из взаимодополняемых товаров ведет к росту спроса и соответственно цен на другой, и наоборот. Таким образом, если два продукта взаимодополняемы, между ценой на один из них и спросом на другой существует обратная связь.

Рис. 3.1. Абсолютная (жесткая) взаимодополняемость

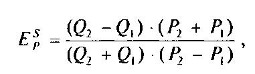
Величину обратной связи можно подсчитать с помощью коэффициента перекрестной эластичности ЕDх, y, показывающего эластичность спроса на одно благо относительно цен на другое благо:

ЕDх, y = (dQx/Qx)/(dPy/Py), (3.1)

где Qx - величина спроса на благо X;

Рy - цена блага Y.

Рис. 3.2. Относительная взаимодополняемость

Отрицательная перекрестная эластичность комплементарных благ (ЕDх, y < 0) означает, что спрос на благо X и цена на благо Y изменяются в противоположных направлениях. Чем меньше эластичность, тем больше взаимодополняемость. Поэтому жесткая взаимодополняемость имеет коэффициент перекрестной эластичности ЕDх, y = -∞. Это означает, что бесконечно малое увеличение цен на благо Y приводит к полному исчезновению спроса на благо X. Взаимодополняемость ресурсов аналогична взаимодополняемости потребительских благ.

Свойство благ (товаров или услуг) удовлетворять потребности (личные или производственные) за счет друг друга называется взаимозаменяемостью благ. Примером взаимозаменяемых благ являются: розы и гвоздики; услуги авиационного, железнодорожного и автомобильного транспорта; услуги сферы досуга (кино - театр - цирк) и т.д. Взаимозаменяемыми могут быть не только потребительские блага, но и производственные ресурсы: уголь, нефть, газ; гидро- и тепловые электростанции; металл и пластмассы и т.д. Взаимозаменяемые блага называются товарами-субститутами (substitutional goods). Взаимозаменяемость бывает абсолютной (совершенной), когда одно благо может полностью заменить другое, например красные и розовые гвоздики, а может быть относительной, например чай и кофе, сливочное масло и маргарин. Графически совершенная взаимозаменяемость изображается параллельными кривыми безразличия (рис. 3.3). Предельная норма замещения в этом случае постоянна: MRS = const.

Рис. 3.3. Совершенная взаимозаменяемость

Кривые безразличия здесь вырождаются в прямые, предельная норма замены благ здесь всегда постоянна. Если провести бюджетное ограничение HG под углом к прямой безразличия, то найти решение проблемы равновесия нельзя. В реальной действительности чаще встречается не абсолютная, а относительная взаимозаменяемость (рис. 3.4). В этом случае покупка блага X может быть в большей или меньшей степени приравнена к покупке блага Y. Рост цен на один из взаимозаменяемых товаров, например на розы, уменьшает спрос на них С сокращением спроса на розы возрастает спрос на гвоздики, что при прочих равных условиях повышает цены на них. Это означает, что рост цен на один из взаимозаменяемых товаров ведет к росту спроса и соответственно цен на другой, и наоборот. Таким образом, если два продукта взаимозаменяемы, между ценой на один из них и спросом на другой существует прямая связь. Ее величину можно подсчитать с помощью коэффициента перекрестной эластичности ЕDхy (см. формулу 3.1)

Положительная перекрестная эластичность товаров-субститутов (ЕDхy > 0) означает, что спрос на благо X и цена на благо Y изменяются в одном направлении. Чем больше эластичность спроса на благо X по отношению к цене блага Y, тем выше степень взаимозаменяемости двух благ. Поэтому совершенная субституция имеет коэффициент перекрестной эластичности ЕDхy = + ∞. Это означает, что бесконечно малое увеличение цен на благо Y приводит к почти полному перемещению спроса на благо X. Теория взаимозаменяемости ресурсов аналогична теории взаимозаменяемости потребительских благ.

Рис. 3.4. Относительная взаимозаменяемость

Понимание взаимодополняемости и взаимозаменяемости благ имеет важное значение для анализа правил поведения агентов и закономерностей ценообразования в условиях рыночной экономики. Эффективная ценовая стратегия не может осуществляться без учета взаимодополняемости и взаимозаменяемости благ.

3.2 Применение теории эластичности на примере нормальных товаров и товаров низшей категории

Существует группа благ, спрос на которые изменяется необычным образом. [8, стр. 380] Впервые на них обратил внимание, как гласит научная традиция, английский экономист Роберт Гиффен (1837-1910). Изучая ценообразование, он обнаружил

Рис. 3.5. Парадокс Гиффена

Во время катастрофического неурожая картофеля, который был основным продуктом питания ирландских бедняков, спрос на него менялся необычным образом. Мы знаем, что если цена на товар повышается с Р1 до Р, то количество покупаемого блага должно сократиться с Ql до Q2 (рис. 3.5). Однако в результате неурожая с ростом цены на картофель спрос на него не упал, а возрос при цене Р2 с Q1 до Q3. Это означает сдвиг кривой спроса из положения D1 в состояние D2. Если соединить точки N1, N2 и так далее, то в долговременном плане получится, что спрос на картофель (кривая D) изменяется в том же направлении, что и цена, т.е. кривая долговременного спроса имеет не отрицательный, а положительный наклон.

Причину этих явлений нетрудно объяснить: во время неурожая беднякам пришлось отказаться от ряда других, более высококачественных товаров (мясо, масло, молоко и др.), цена на которые выросла в еще большей степени, чем на картофель. Тем самым низкокачественный товар вытеснил другие, высококачественные товары. Благо, спрос на которое растет при росте цен и падает при их снижении, называется малоценным или низкокачественным товаром (inferior good). Если для нормальных товаров эффект дохода и эффект замещения (субституции) суммируются, то для низкокачественных товаров они вычитаются (табл. 3.1).

Если имеется низкокачественный товар, занимающий в бюджете потребителя скромное место, то положительный эффект замещения перекрывает отрицательный эффект дохода (в случае снижения цен).

Если низкокачественный товар занимает большое место в бюджете потребителя (как это было в Ирландии середины XIX в. с картофелем), то в случае снижения цены на него отрицательный эффект дохода перекрывает положительный эффект замещения.

Таблица 3.1. Эффект дохода и эффект замещения (субституции) при снижении цены Х (РX↓4)


Общий результат выражается в снижении спроса на него, несмотря на снижение его цены (рис. 3.6). Рост дохода сопровождается обычно сокращением спроса на товары Гиффена. Поэтому, если снижается его цена, то и спрос на него падает. Следовательно, эффект дохода имеет отрицательное значение. Поскольку отрицательный эффект дохода X1X2 больше положительного эффекта замещения ХХ2, то общим результатом будет сокращение спроса на благо низшего порядка на величину X1X.

Рис. 3.6. Эффект дохода для товаров Гиффена

Товар Гиффена (Giffen good) - это товар, занимающий большое место в бюджете малоимущих потребителей, спрос на который при прочих равных условиях изменяется в том же направлении, что и цена, поскольку эффект дохода превышает эффект замещения.

Заключение

Изучение спроса на продукцию является первейшей задачей фирмы в условиях рынка. Одной из важнейших характеристик спроса является его эластичность. Оценка эластичности спроса (по цене, доходам покупателей и другим параметрам) позволяет фирме выбрать верную стратегию поведения на рынке. Коэффициенты (показатели) эластичности спроса и предложения дают возможность определить положение кривых спроса и предложения и прогнозировать изменение объема продаж в зависимости от изменения факторов, влияющих на спрос и предложение.

Ценовая эластичность спроса измеряет степень чувствительности потребителей к изменениям цены. Если потребители относительно чувствительны к изменениям цен, спрос является эластичным. Если потребители относительно нечувствительны к изменениям цен, спрос неэластичен.

Ценовую эластичность спроса можно определить, наблюдая за характером воздействия изменения цены на величину общей выручки от продажи продукции.

Если цена и общая выручка изменяются в противоположных направлениях, значит, спрос эластичен. Если цена и общая выручка изменяются в одном и том же направлении, спрос неэластичен. В случае единичной эластичности спроса изменение цены оставит общую выручку неизменной.

Количество доступных товаров-заменителей, место продукта в бюджете покупателя, его принадлежность к предметам необходимости или роскоши, а также длительность анализируемого периода времени - все это факторы, влияющие наэластичность спроса.

Эластичность предложения зависит от трудности перераспределения ресурсов между альтернативными областями их использования. В свою очередь, эта мобильность ресурсов зависит от количества времени, имеющегося в распоряжении производителей для того, чтобы приспособиться, к данному изменению цены.

Практическое значение коэффициента эластичности заключается в облегчении прогнозирования того, какие именно отрасли имеют шансы на процветание и расширение, а какие в будущем, вероятнее всего, ожидает застой и сокращение производства. Точнее говоря, при прочих равных условиях высокая положительная эластичность по доходу означает, что вклад конкретной отрасли в экономический рост будет больше, чем ее доля в структуре экономики. Небольшой положительный или, еще хуже, отрицательный коэффициент указывает на перспективу сокращения производства в отрасли.

Список использованной литературы

1. Алла Грязнова, Андрей Юданов Микроэкономика: Теория и российская практика / Алла Грязнова, Андрей Юданов.: КноРус, 2011. - 624 с. - ISBN 978-5-406-01180-5

. Вечканов Г.С. Экономическая теория / Г.С. Вечканов.: Питер, 2009. - 448 с. - ISBN 978-5-388-00531-1

. Гальперин В.М., Игнатьев С.М., Моргунов В.И. Микроэкономика / В.М. Гальперин, С.М. Игнатьев, В.И. Моргунов.: Омега-Л, Экономикус, 2010. - 504 с. - ISBN 978-5-903816-08-8, 978-5-370-01550-2

. Гусейнов Р.М., Семенихина В.А. Экономическая теория / Р.М. Гусейнов, В.А. Семенихина.: Омега-Л, 2011 - 439 с. - ISBN: 978-5-370-01798-8

. Кураков Л.П. Экономическая теория / Л.П. Кураков.: МПСИ, МОДЭК, 2007. - 1072 с. - ISBN 978-5-89502-991-6

. Максимова В.Ф. Микроэкономика / В.Ф. Максимова.: Маркет ДС, 2010. - 368 с. - ISBN 978-5-94416-084-3

. Микроэкономика: Учебник / Под редакцией И.В. Новиковой, Ю.М. Ясинского.: ТетраСистемс, 2010. - 448 с. - ISBN 978-985-536-020-0

. Нуреев Р.М. Курс микроэкономики: учебник для вузов / Р.М. Нуреев.: Норма, 2008. - 576 с. - ISBN 978-5-89123-470-3

. Плотницкий М.И., Корольчук А.К., Лемешевская Л.В., Радько М.К. Микроэкономика / М.И. Плотницкий, А.К. Корольчук, Л.В. Лемешевская, М.К. Радько.: Современная школа, 2011. - 384 с. - ISBN 978-985-513-932-5

. Симкина Л.Г. Экономическая теория. 2-е изд. - СПб.: Питер, 2007. - 384 с.: ил. 5-469-010073-2

. Столяров В.И. Экономическая теория / В.И. Столяров.: Академия, 2011. - 512 с. - ISBN 978-5-7695-8093-2

. Тарануха Ю.В. Микроэкономика / Ю.В. Тарануха.: Дело и Сервис, 2009. - 608 с. - ISBN 978-5-8018-0408-8

. Тарасевич Л.С., Гребенников П.И., Леусский А.И. Микроэкономика / Л.С. Тарасевич, П.И. Гребенников, А.И. Леусский.: Юрайт, 2011. - 544 с. - ISBN 978-5-9916-1167-1, 978-5-9692-1124-7

. Экономика: учебник / Под ред. д. э. н., проф. Ю.Ф. Симионова. - Ростов н/Д: Феникс, 2007. - 477 с. 978-5-222-10664-8

. Экономическая теория / Под редакцией А.И. Добрынина, Л.С. Тарасевича.: Питер, 2009. - 560 с. - ISBN 978-5-388-00457-4

Похожие работы на - Эластичность спроса и предложения на рынке

 

Не нашли материал для своей работы?
Поможем написать уникальную работу
Без плагиата!
Без нейросетей!