Значение оценки эластичности спроса и предложения для предпринимательской практики

  • Вид работы:
    Курсовая работа (т)
  • Предмет:
    Эктеория
  • Язык:
    Русский
    ,
    Формат файла:
    MS Word
    648,16 Кб
  • Опубликовано:
    2014-09-30
Вы можете узнать стоимость помощи в написании студенческой работы.
Помощь в написании работы, которую точно примут!

Значение оценки эластичности спроса и предложения для предпринимательской практики

Федеральное государственное образовательное бюджетное учреждение высшего профессионального образования

Финансовый университет при правительстве РФ

Финансово-экономический факультет

Кафедра «Микроэкономика»




КУРСОВАЯ РАБОТА

по дисциплине «Микроэкономика»

Тема:

Значение оценки эластичности спроса и предложения для предпринимательской практики



Выполнила Жовтовская Татьяна

студентка 1 курса, группы ФЭФ1-1

Научный руководитель:

д.э.н., профессор Малова Т.А.




Москва - 2014

СОДЕРЖАНИЕ

ВВЕДЕНИЕ

Глава 1. Основные показатели эластичности

.1 Экономическая сущность и определение

.2 Методы измерения эластичности спроса и предложения

.3 Перекрестная эластичность спроса по цене

Глава 2. Особенности методики оценки ценовой эластичности в условии Российской экономики

Глава 3. Практическое использование ценовой эластичности

ЗАКЛЮЧЕНИЕ

СПИСОК ИСПОЛЬЗОВАННЫХ ИСТОЧНИКОВ И ИНТЕРНЕТ-РЕСУРСОВ

ВВЕДЕНИЕ

В данной курсовой работе рассмотрено практическое применение эластичности спроса и предложения в современной экономике. Так что же такое эластичность? Для начала дадим определения понятий как: эластичность спроса, предложения. Эластичность - одна из самых важных категорий экономической науки. Впервые она была введена в экономическую теорию А. Маршаллом и представляет собой выраженное в процентах изменение одной переменной в ответ на выраженное в процентах изменение другой переменной. Она позволяет выяснить, как происходит адаптация рынка к изменениям его факторов. Обычно предполагается, что фирма, повышая цену на свою продукцию, имеет возможность увеличить выручку от ее продажи. Однако в действительности так бывает не всегда: возможна ситуация, когда повышение цены приведет не к росту, а, наоборот, к снижению выручки в силу уменьшения спроса и соответствующего сокращения сбыта.

Актуальность исследования не вызывает сомнений, потому что спрос и предложение являются неотъемлемой частью нормально функционирующего рынка, а их эластичность отражает реакцию потребителей и производителей на изменение цен на ресурсы и готовую продукцию. Изучение же спроса на рынке сейчас становится первоочередной задачей при функционировании предприятия. Постоянное отслеживание спроса и способность моментально реагировать на малейшие его изменения (то есть гибкость производства) - все это предопределяет выживание и успешную работу предприятия. Сейчас для любой фирмы важнее даже не произвести какую-либо продукцию, а сбыть ее, найти конкретную нишу на рынке для своего товара. Поэтому-то на первые роли выходят в настоящее время многочисленные отделы маркетинга, непосредственно занимающиеся вопросами сбыта и реализации продукции. И там хорошо знают, что такое спрос и как он изменяется с течением времени. "Клиент всегда прав" - этот принцип, принятый на вооружение многими ведущими производителями, лишний раз доказывает первостепенное значение исследования такого экономического понятия, как эластичность рыночного спроса.

Степень разработки проблемы. Анализ использованных источников показывает, что от того, эластичны спрос и предложение или нет, зависят многие факторы современной рыночной экономики.

Объектом исследования выступает эластичность спроса и предложения, а также факторы влияющие на нее и безусловно, ее практическое применение в предпринимательской деятельности в условиях рыночной экономике.

Методологической и теоретической основой диссертационного исследования послужили концепции, теоретические положения, представленные в классической и в современной литературе.

Цель - изучение теории эластичности и её практического применения в рыночной экономике. Для достижения поставленной цели предусматривает постановку следующих задач:

.    дать характеристику эластичности спроса и её измерения;

2.      выявить факторы, влияющих на эластичность спроса и предложения;

.        изучение перекрестной эластичности спроса и эластичности спроса по доходу, ценовая эластичность;

.        дать характеристику эластичности предложения;

.        выявить факторы, влияющих на эластичность предложения.

.        изучить практическое применение эластичности в предпринимательской экономике.

Глава 1. Основные показатели эластичности

 

.1 Экономическая сущность и определение

· 

·Для того чтобы правильно понять как эластично влияет на спрос и предложение мы должны дать определение обоим показателям.

·Спрос - фундаментальное понятие рыночной экономики, означающее подкрепленное денежной возможностью желание, намерение покупателей, потребителей приобрести данный товар. Спрос характеризуется его величиной, означающей количество товара, которое покупатель желает и способен приобрести по данной цене в данный период времени. Объем и структура спроса зависят как от цен на товар, так и от других, неценовых факторов, таких, как мода, доходы потребителей, а также от цены на другие товары, в том числе на товары-заменители и на сопряженные, сопутствующие товары. Различают индивидуальный спрос одного лица, рыночный спрос на данном рынке и совокупный спрос на всех рынках данного товара или на все производимые и продаваемые товары.

·Также мы можем рассмотреть качественную характеристику эластичности. Если коэффициент эластичности по модулю меньше единицы, то говорят о неэластичности переменной y по x. Если коэффициент эластичности больше 1, то говорят, что y эластичен по x, так как каждый процент изменения фактора приводит к ещё большему изменению y. Если коэффициент эластичности равен 1, то говорят о единичной эластичности. В предельном случае, когда коэффициент эластичности равен бесконечности, говорят о совершенной эластичности. Соответственно, при нулевом коэффициенте эластичности - о совершенной неэластичности.

·Если мы рассмотрим ситуацию, складывающуюся на рынке какого-нибудь товара, то заметим, что между ценой товара и количеством проданного (реализованного) товара существует определенная связь. Чем ниже цена товара, тем большее его количество (при прочих равных условиях) готовы купить покупатели, тем выше на него спрос. Например, при цене в 60 долл. покупатели готовы купить лишь одну единицу блага X, при цене в 30 долл. - три единицы, при цене в 20 долл. - четыре единицы и т.д.

· 

·

·Рис. 1. Зависимость величины спроса от цены

·Источник: Курс микроэкономики: учебник / Р.М. Нуреев.- 2-е изд., изм.- М.: Норма, 2009.-576 с. 84

· 

·Обратная зависимость между ценой и величиной спроса называется законом спроса. Эта зависимость количества проданных благ от уровня цен может быть изображена графически. Кривая спроса - кривая, показывающая, какое количество экономического блага готовы приобрести покупатели по разным ценам в данный момент времени (рис. 1). Изображенная кривая характеризует состояние цен и объема покупок продукции Х в определенный момент времени. Она имеет отрицательный наклон, что свидетельствует о желании потребителей купить большее количество благ при меньшей цене.

·Кроме цены, на спрос влияют и другие факторы. Рассмотрим это влияние подробнее. Важнейшим из них является цена на единицу блага в данный момент. Изменение цен означает движение по кривой спроса (рис. 2).

· 

·

·Рис. 2. Кривая спроса

·Источник: Нуреев Р.М. Курс микроэкономики: учебник / Р.М. Нуреев.-2-е изд., изм.- М.: Норма, 2009.-576 с. 87

· 

·На спрос влияют не только цены, но и иные факторы:

·1) увеличение (или сокращение) доходов потребителя,

·2) изменение вкусов и предпочтений,

·3) ценовые и дефицитные ожидания,

·4) колебание расходов на рекламу,

·5) изменение цен товаров-субститутов и комплементарных товаров,

·6) рост (или уменьшение) количества покупателей и др.

·Эти факторы способствуют сдвигу кривой спроса вправо или влево (рис. 3).

· 

·

Рис. 3. Функция спроса (сдвиг кривой спроса)

Источник: Нуреев Р.М. Курс микроэкономики: учебник / Р.М. Нуреев.-2-е изд., изм.- М.: Норма, 2009.-576 с. 87

· 

·Например, увеличение денежных доходов потребителей (при отсутствии инфляции) означает повышение спроса, то есть сдвиг кривой D в положение D2. При этом спрос может возрастать быстрее или медленнее роста дохода в зависимости от качества товара, его места в бюджете потребителя и ряда других свойств, которые будут выяснены позже. Такая ситуация типична для большинства товаров за исключением низкокачественных. Рост доходов переключает спрос потребителей на товары лучшего качества, спрос же на низкокачественные товары снижается, то есть кривая перемещается из положения D в положение D1.

·Рост цен на товар, который является субститутом, данного товара, повышает спрос на данный товар. Например, рост цен на красные гвоздики может переключить часть спроса на розовые гвоздики, вследствие чего цена их также начнет расти. Это позволяет сделать вывод о том, что если два товара взаимозаменяемы, (являются товарами-субститутами), то между ценой на один из них и спросом на другой существует прямая связь.

·Наоборот, повышение цен на взаимодополняемое (комплементарное) благо сокращает спрос на него. Например, рост цен на лыжи приведет к уменьшению объема их продаж. Следствием сокращения объема продаж лыж будет падение спроса на лыжные крепления. Падение спроса на них заставит продавцов снизить их цены. Если два товара взаимодополняемы, между ценой на один из них и спросом на другой существует обратная связь.

·На изменение спроса влияют и вкусы потребителей, однако их влияние порой довольно трудно определить однозначно. К тому же один и тот же фактор может оказывать разное (нередко прямо противоположное) влияние на различные группы населения.

·Таким образом, движение вдоль кривой спроса отражает изменение величины спроса: чем выше цена, тем ниже (при прочих равных условиях) величина спроса и, наоборот, чем ниже цена, тем выше величина спроса (см. рис. 3.3). Сдвиг кривой спроса влево или вправо отражает изменение спроса: оно происходит под влиянием факторов, определяющих функцию спроса (см. рис. 3.4). Предложение - это стремление, желание производителя (продавца) предложить к продаже свои товары. Количественно измеряется, выражается величиной, объемом предложения. Величина предложения характеризует количество товаров и услуг, которое производитель желает и может, способен продать по данной цене в определенный период времени. Величина предложения зависит от цены, но на предложение влияют и многие другие, так называемые неценовые, факторы.

·Если мы рассмотрим ситуацию, складывающуюся на рынке со стороны предложения, то заметим, что зависимость величины предложения от цены прямая: чем выше цена, тем большее количество товара (при прочих равных условиях) готовы предложить продавцы. Например, при цене 20 долл. производители согласны продать лишь две единицы блага X, при цене 30 долл. - четыре единицы, а при цене 50 долл. - шесть единиц блага X.

·Прямая связь между ценой и количеством предлагаемого продукта называется законом предложения. Зависимость количества произведенных благ от уровня цен может быть изображена графически. Кривая предложения - кривая, которая показывает, какое количество экономического блага готовы продать производители по разным ценам в данный момент времени (рис. 4)

·

·0Q

·Рис. 4. Зависимость величины предложения от цены

·Источник: Нуреев Р.М. Курс микроэкономики: учебник / Р.М. Нуреев.-2-е изд., изм.- М.: Норма, 2009.-576 с. 86

Изображенная кривая S (от англ. supply) характеризует уровень цен и объем продаж блага Х в определенный момент времени. Она имеет положительный наклон, что свидетельствует о желании производителя продать большее количество благ по более высокой цене.

·Функция предложения определяет предложение в зависимости от влияющих на него различных факторов. Важнейшим из них является цена на единицу блага в данный момент времени. Изменение цены означает движение по кривой предложения (рис. 5).

· 

·Рис. 5. Кривая предложения (изменение величины предложения)

·Источник: Нуреев Р.М. Курс микроэкономики: учебник / Р.М. Нуреев.-2-е изд., изм.- М.: Норма, 2009.-576 с. 87

· 

·В действительности на предложение блага влияют не только цены самого блага, но и другие факторы:

·1) цены факторов производства (ресурсов), 2) технология, 3) ценовые и дефицитные ожидания агентов рыночной экономики, 4) размер налогов и субсидий, 5) количество продавцов и др.

· 

·

·Рис. 6. Функция предложения (сдвиг кривых предложений)

·Источник: Курс микроэкономики: учебник / Р.М. Нуреев.-2-е изд., изм.- М.: Норма, 2009.-с. 87

·Например, повышение цен на факторы производства означает сокращение предложения, то есть сдвиг кривой S в положение S1. Наоборот, в случае понижения цен на факторы производства произойдет увеличение предложения, что приведет к сдвигу кривой S в положение S2 (рис. 6).

·Таким образом, движение вдоль кривой предложения отражает изменение величины предложения: чем выше цена, тем выше (при прочих равных условиях) величина предложения и, наоборот, чем ниже цена, тем ниже величина предложения. Сдвиг кривой предложения влево или вправо отражает изменение предложения: оно происходит под влиянием факторов, определяющих функцию предложения.

·В условиях рыночной экономики конкурентные силы способствуют синхронизации цен спроса и цен предложения, что приводит к равенству объемов спроса и объемов предложения.

·В условиях неразвитой рыночной экономики цена предложения может значительно превышать цену спроса, а объем предложения не соответствовать объему спроса. В первом случае максимальная цена, которую в состоянии дать за данный товар (или услугу) покупатели, значительно ниже той минимальной цены, которую в состоянии предложить продавцы. Следовательно, рынок для данного товара (услуги) еще не сложился: покупатели еще недостаточно богаты, чтобы предъявить на него спрос. Во втором случае максимальный объем спроса ниже минимально допустимого объема предложения. Объем спроса настолько мал, что производителям невыгодно поставлять товар в столь микроскопических количествах.

·В ходе развития рынка осуществляется процесс взаимного приспособления продавцов и покупателей. Важную роль при этом играют цены, которые способствуют быстрому обмену необходимой информацией. Они делают условия обмена простыми, ясными и стандартизированными для всех участников рыночной экономики (рис. 7). Точка равновесия обозначается Е (от латинского Equilibrium).

· 

·

·Рис. 7. Цена равновесия и отклонения от нее

·Источник: Нуреев Р.М. Курс микроэкономики: учебник Р.М. Нуреев.-2-е изд., изм.- М.: Норма, 2009.- с 90

· 

·В точке равновесия

· 

·PE = PS = PD

· 

·где PE - равновесная цена;

·PS - цена предложения;

·РS - цена спроса.

·Это означает, что

· 

·QE = Qs = QD

· 

·где QE - равновесный объем;

·QS - объем предложения;

·QD - объем спроса.

·Равновесная цена - цена, уравновешивающая спрос и предложение в результате действия конкурентных сил. Образование равновесной цены - процесс, требующий определенного времени. В условиях совершенной конкуренции происходит быстрое взаимное приспособление цен спроса и цен предложения, объема спроса и объема предложения. В результате установления равновесия выигрывают и потребители, и производители.

·Поскольку цена равновесия обычно ниже максимально предлагаемой потребителями цены, величину излишка (выигрыша) потребителя графически можно изобразить через площадь Pmax EPE (рис. 8). В свою очередь, равновесная цена обычно выше минимальной цены, которую могли бы предложить наиболее передовые фирмы. Если Е - точка равновесия, то цена, по которой продаются и покупаются товары, равна РE, а объем проданного товара равен QE. Следовательно, совокупная (общая) выручка равна TR = PE x QE. Совокупные издержки (затраты) производителей равны площади фигуры 0Рmin EQE.

· 

·

·Рис. 8. Излишек потребителя, издержки и излишек производителя

·Источник: Нуреев Р.М. Курс микроэкономики: учебник / Р.М. Нуреев.-2-е изд., изм.- М.: Норма, 2009.-с 91

· 

·Разница между общей выручкой PE x QE (площадью прямоугольника 0PEEQE) и совокупными издержками (площадь 0PminEQE) и составляет излишек (выигрыш) производителя (площадь РEЕРmin).

·Тем не менее, потребители далеко не всегда полагают, что существующие цены оптимальны. Дело в том, что несовершенство общественной структуры производства на поверхности выступает как несовершенство системы цен. Общественное недовольство существующими равновесными ценами образует плодотворную почву для государственного вмешательства в рыночное ценообразование.

·На практике это выливается в установление максимальных или минимальных цен. Если установленная государством максимальная цена (потолок цены) находится ниже равновесного уровня, то образуется дефицит, если государство устанавливает минимум цены выше равновесного уровня (так называемая субсидируемая цена), то образуется излишек (рис. 9). Фиксация цен означает отключение механизма рыночной координации.

·В случаях, когда цена находится ниже равновесного уровня, дефицит не ослабевает, а усиливается, к тому же к денежным затратам потребителя добавляются неденежные.

· 

·

·Рис. 9. Затраты потребителя в условиях установленного потолка цен

Источник: Нуреев Р.М. Курс микроэкономики: учебник / Р.М. Нуреев.-2-е изд., изм.- М.: Норма, 2009.-с 92

· 

·Последние связаны с поисками товаров, стоянием в очередях и т.д. - все они являются омертвленными затратами, которые не служат расширению производства дефицитного товара. Они оседают в сфере распределения дефицитного товара и не доходят до тех, кто его реально производит.

·Потолок цен "подрезает" излишек производителей и тем самым снижает стимулы к его производству на тех предприятиях, у которых издержки производства данного товара минимальны, поэтому дефицит не убывает.

·Наоборот, те, кто продает (или распределяет) дефицитный товар, заинтересованы в сохранении его дефицита, потому что он становится источником их доходов (потому что увеличивает размеры неденежных затрат).

·В случаях, когда цена находится выше равновесной, возникает необходимость дополнительных мер, стимулирующих ограничение предложения и увеличение спроса, чтобы сократить разрыв между субсидируемой и равновесной ценами. И в том и в другом случае рыночная экономика начинает функционировать менее эффективно, чем в условиях совершенной конкуренции.

·Устойчивое равновесие достигается тогда, когда отклонения цен спроса от цен предложения постепенно погашаются, стремясь к равновесной цене PE , a объем предложения приспосабливается к объему спроса. В точке равновесия цена спроса совпадает с ценой предложения (РD = PS) и объем спроса равен объему предложения (QD = QS).

 

.2 Методы измерения эластичности спроса и предложения


Мера реакции одной величины на изменение другой называется эластичностью. Эластичность показывает, насколько процентов измениться одна переменная экономическая величина при изменении другой на один процент. Примером может служить эластичность спроса по цене, или ценовая эластичность спроса, которая показывает на сколько изменится в процентном отношении величина спроса на товар при изменении его цены на один процент.

Если обозначить цену Р, а величину спроса Q, то показатель (коэффициент) ценовой эластичности спроса Ep равен:


где DQ - изменение величины спроса, %;

«Р» в индексе означает, что эластичность рассматривается по цене.

Аналогично можно определить показатель эластичности по доходам или какай-то другой экономической величине.

Показатель ценовой эластичности спроса для всех товаров является отрицательной величиной. Действительно, если цена товара снижается - величина спроса растет, и наоборот. Однако для оценки эластичности часто используется абсолютная величина показателя (знак «минус» опускается).

Если абсолютная величина показателя ценовой эластичности спроса больше 1, то мы имеем дело с относительно эластичным спросом. Иными словами, изменение цены в данном случае приведет к большему количественному изменению величины спроса. Если абсолютная величина показателя ценовой эластичности спроса меньше 1, то спрос относительно неэластичен. В этом случае изменение цены повлечет за собой меньшее изменение величины спроса.

При коэффициенте эластичности, равном 1, говорят о единичной эластичности. В этом случае изменение цены приводит к такому же количественному изменению величины спроса.

Существует два крайних случая. В первом возможно существование только одной цены, при которой товар будет приобретаться покупателями. Любое изменение цены приведет либо к полному отказу от приобретения данного товара (если цена повысится), либо к неограниченному увеличению спроса (если цена снизится). При этом спрос является абсолютно эластичным, показатель эластичности бесконечен. Графически этот случай можно изобразить в виде прямой, параллельной горизонтальной оси.

Например, спрос на помидоры, продаваемые отдельным торговцем на городском рынке, абсолютно эластичен. Однако рыночный спрос на помидоры не является эластичным.

Другой крайний случай представляет собой пример абсолютно неэластичного спроса: изменение цены не отражается на величине спроса. График абсолютно неэластичного спроса выглядит как прямая, перпендикулярная горизонтальной оси.

Примером может служить спрос на отдельные виды лекарств, без которых больной не может обойтись, и т.п.

Таким образом, абсолютная величина показателя ценовой эластичности спроса может изменяться от нуля до бесконечности:

< |Eр| £ ¥ - спрос эластичен;

£ |Eр| < 0 - спрос неэластичен;

|Eр| = 1 - спрос с единичной эластичностью.

Как измерить эластичность спроса по цене? Для этого необходимо подсчитать процентное изменение величины спроса, процентное изменение цены и соотнести их:


Из этой формулы видно, что показатель эластичности зависит не только от соотношения приростов цены и объема, или от наклона кривой спроса, но и от их фактических значений. Даже если наклон кривой спроса является постоянным, показатель эластичности будет различным для разных точек на этой кривой.

На участках эластичного спроса снижение цены и рост объема продаж приводят к увеличению общей выручки от реализации продукции фирмы, на участке неэластичного спроса - к уменьшению выручки. Поэтому каждая фирма будет стремиться избегать того участка спроса на продукции, где коэффициент эластичности меньше единицы.

Важным моментом, оказывающим воздействие на эластичность спроса, является наличие товаров-заменителей. Чем больше на рынке продуктов, призванных удовлетворить одну и ту же потребность, тем больше возможностей для покупателя отказаться от приобретения данного конкретного продукта в случае повышения его цены, тем выше эластичность спроса на данный товар.

Например, спрос на хлеб относительно неэластичен. В то же время спрос на отдельные сорта хлеба является относительно эластичным, так как с повышением цены, к примеру, на бородинский хлеб покупатель может перейти на другой сорт ржаного хлеба и т.п. Спрос на сигареты, лекарства, мыло и другие подобные продукты относительно неэластичен. Однако если рассматривать эластичность по отношению к отдельным видам сигарет, сортам мыла и т.п., то она будет выше.

Та же закономерность применима к изделиям, выпускаемым отдельной фирмой. Если на рынке присутствует значительное число конкурентов, выпускающих аналогичную или близкую по назначению продукцию, то спрос на продукцию этой фирмы будет относительно эластичен. В условиях совершенной конкуренции, когда много продавцов предлагают одинаковую продукцию, спрос на товар каждой фирмы будет абсолютно эластичным.

Другим важным обстоятельством, влияющем на ценовую эластичность, является фактор времени. В краткосрочном периоде спрос имеет тенденцию быть менее эластичным, чем в долгосрочном. Например, спрос на бензин со стороны индивидуальных владельцев автомобилей относительно неэластичен, и повышение цены, особенно в летний сезон, вряд ли сократит спрос. Однако можно предположить, что осенью значительная часть автовладельцев поставит свои машины в гараж, спрос на бензин сократится, сократится и объем продаж. А к следующему лету часть из них начнет пользоваться пригородными электричками. Несмотря на то, что спрос на бензин относительно неэластичен в обоих случаях, в долгосрочном периоде эластичность выше.

Такая тенденция изменения эластичности во времени объясняется тем, что с течением времени каждый потребитель имеет возможность изменить свою потребительскую корзину, найти товар-заменитель.

Различия в эластичности спроса объясняется также значимостью того или иного товара для потребителя. Спрос на предметы первой необходимости неэластичен; спрос на товары, не играющие важной роли в жизни потребителя, обычно эластичен. Действительно, при повышении цен мы можем отказаться от дополнительной пары обуви, драгоценностей, мехов, но вряд ли сократим покупки хлеба, мяса и молока. Как правило, спрос на продукты питания неэластичен, и сейчас, при снижающемся уровне жизни населения, на их приобретение тратится все большая часть доходов средней российской семьи.

Понятие перекрестной эластичности спроса используется для определения степени влияния на величину спроса на данный товар изменения цены другого товара. Коэффициент перекрестной эластичности - это отношение процентного изменения спроса на товар А к процентному изменению цены товара Б:


где «с» в индексе означает перекрестную эластичность (англ. cross). Значение коэффициента от того, какие товары рассматриваются - взаимозаменяемые или взаимодополняемые.

Если товары являются взаимозаменяемыми, коэффициент перекрестной эластичности будет положительным. Так, подорожание сливочного масла вызовет увеличение спроса на маргарин, снижение цены на бородинский хлеб приведет к сокращению спроса на другие сорта черного хлеба. Если товары являются взаимодополняемыми, как, например, бензин и автомобили, фотоаппараты и фотопленка, величина спроса будет изменяться в направлении, противоположном изменению цен, а коэффициент эластичности будет отрицательным.

Измерив перекрестную эластичность, можно определить, являются ли выбранные товары взаимодополняемыми или взаимозаменяемыми и соответственно, как изменение цены на какой-то один вид продукции, производимой фирмой, может отразиться на спросе на другие виды продукции той же фирмы. Такие расчеты помогут оценить решения по изменению цен на выпускаемую продукцию.

Для оценки эластичности спроса может быть выбрана не только цена, но и другие экономические переменные. Эластичность спроса по доходу измеряется как отношение изменения спроса на товар к изменению доходов потребителей. Измерив эластичность по доходу, можно определить, относится ли данный товар к категории нормальных (когда рост доходов приводит к росту спроса) или низших (когда реакция обратная).

Основная масса потребительских товаров относится к категории нормальных. С ростом мы больше покупаем одежды и обуви, высококачественных продуктов питания, товаров длительного пользования. Однако есть товары, спрос на которые обратно пропорционален доходам потребителей. К ним относится вся продукция «second hand», некоторые виды продовольствия (крупы, сахар, хлеб и т.п.).

Измерив эластичность предложения по цене, можем получить ответ на вопрос, насколько производство той или иной продукции реагирует на изменение цены. Коэффициент ценовой эластичности предложения рассчитывается по той же формуле, что и коэффициент ценовой эластичности спроса. Различие лишь в том, что вместо величины спроса берется величина предложения:


где Q0 и Q1 -предложение до и после изменения цены; Р0 и Р1 - цены до и после изменения; «s» в индексе означает эластичность предложения.

Предложение, поскольку оно связано с изменениям производственного процесса, медленнее адаптируется к изменению цены, чем спрос. Поэтому фактор времени является важнейшим в определении показателя эластичности.

Обычно при оценке эластичности предложения рассматриваются три временных периода: краткосрочный, среднесрочный и долгосрочный.

1 Под краткосрочным понимается период, слишком короткий для осуществления фирмой каких-либо изменений в объеме выпускаемой продукции. Например, садовод, вырастивший яблоки и приехавший на рынок их продавать, не может изменить количество предлагаемых им яблок, какая бы ни сложилась рыночная цена. В этом случае предложение неэластично;

2 Среднесрочный период достаточен для расширения или сокращения производства на уже существующих производственных мощностях, но недостаточен для введения новых мощностей. Эластичность предложения в этом случае повышается;

3 Долгосрочный период предполагает расширение или сокращение фирмой своих производственных мощностей, а также приток новых фирм в отрасль в случае расширения спроса или уход из нее при условии сокращения спроса на данную продукцию. Эластичность предложения будет выше, чем в двух предыдущих случаях.

эластичность спрос предложение цена

1.3 Перекрестная эластичность спроса по цене

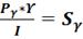
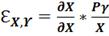
Перекрестная эластичность характеризует реакцию спроса по какому-либо товару на изменение цен других товаров. Коэффициент перекрестной эластичности спроса показывает, на сколько процентов изменяется спрос на товар X при изменении цены товара Y на один процент. Это коэффициент рассчитывается по формуле:

· 

· (1)

· 

·или в дифференциальной форме

· 

(2)

· 

·По взаимодополняемым товаром (общий комплементы)

По взаимозаменяемым товарам (общие субституты)  Если  товары характеризуются как независимые.

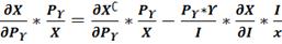
При изменение цены товара  спрос на товар  меняется не только под влиянием перекрестного эффекта замещения, но и под влиянием перекрестного эффекта дохода. Поэтому значение коэффициента  не дает точного представления о степени взаимозаменяемости товара. Для того, чтобы правильно оценить ее, необходимо элиминировать влияние перекрестного эффекта дохода. Это можно сделать, используя управление Слуцкого для перекрестного эффекта:

· 

·(3)

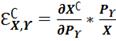
Проделаем операцию, аналогичные тем, что мы делаем в предыдущем параграфе. Умножим все члены уравнения (3) на  и последний его член на ), получим:

· 

· (4)

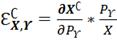
Введем понятие перекрестной эластичности замещения, которая измеряется коэффициентом:

· 

· (5)

Коэффициент перекрестной эластичности замещения показывает, насколько изменится величина спроса на товар Х под влиянием перекрестного эффекта замены при относительно небольшом изменении цены товара У на один процент. Поскольку этот коэффициент не зависит от перекрестного эффекта дохода, он может служить адекватным измерителем степени взаимозаменяемости товаров. Если , товары X и У характеризуются как чистые субституты. Чем больше  по абсолютному значению, тем выше степень взаимозаменяемости товаров.

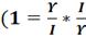
С учетом того, что , и с учетом формул  ,

· 

·,  выражение

· можно переписать в виде:

· (6)

· 

·Мы получили уравнение Слуцкого для перекрестного эффекта в коэффициентах эластичности. Оно показывает нам, в какой мере перекрестная эластичность спроса связана с перекрестным эффектом замещения (компонент и в какой - с перекрестным эффектом дохода (компонент Из уравнения  видно, что чем выше доля товара Y в общем объеме потребительских расходов (), тем в меньшей степени коэффициент перекрестной эластичности спроса () отражает степень взаимозаменяемости товаров.

· 

·Глава 2. Особенности методики оценки ценовой эластичности в условии Российской экономики

Из курса экономики известно, что рыночный механизм - это механизм, позволяющий покупателям и продавцам совместно определять цены и количество товаров. На конкурентном рынке покупатель и продавец вступают в сделку, руководствуясь свободой выбора и личным интересом. Если человек купил в магазине телевизор за 10 тыс. руб., то это значит, что для него телевизор представляет большую ценность, чем 10 тыс. руб., а для магазина - меньшую. Рынок телевизоров установил цену и передал телевизор тому, для кого он представляет наибольшую ценность.

В данном случае речь идет об идеальном рынке, где царствует абсолютная свобода контрагентов, где нет никаких ограничений, нет налогов, нет государства. В этом смысле рыночный механизм действует с максимальной эффективностью, т.е. приносит максимальную полезность покупателю и продавцу, ибо в противном случае они бы не вступили в сделку. Понятно, что любое внешнее вмешательство (в том числе налоговое) изменит поведение сторон, изменит равновесие и, скорее всего (об этом пока можно только догадываться), приведет к потере эффективности.

Рассмотрим теперь на условном примере воздействие налогов на спрос и предложение. Предположим, что на рынке мороженого в некотором городе спрос и предложение определяются кривыми, изображенными на рис. 2.1.

Таким образом, как показывает рисунок, цена равновесия равна 60 руб., а равновесный объем продаж-покупок - 5 тыс. порций.

·

·Рис. 2.1 Спрос и предложение

·Источник: Экономическая теория: Учеб. для вузов / А.Г. Грязнова, Т.В. Чечелева, Т.Д. Бурменко и др.]; Под ред. А.Г. Грязновой, Т.В. Чечелевой; Финансовая акад. при Правительстве Рос. Федерации. - М.: Экзамен, 2014. - 442 с.181

P - цена; Q - количество (тыс.) порций (объем продаж-покупок); D - кривая спроса; S - кривая предложения; O - точка равновесия;  - цена равновесия;  - равновесное количество.

Допустим, городская администрация принимает решение о введении налога на продажу (покупку) в размере 15 руб. Как это отразится на рынке? Кто должен стать плательщиком налога или как распределится налоговое бремя между покупателем и продавцом? Поиск ответов на эти и другие вопросы станет предметом последующего анализа.

Первый случай: уплата налога возлагается на покупателя. Тогда этот налог можно рассматривать как надбавку к цене покупки. Как отразится налог на поведении покупателей и продавцов, на кривых спроса и предложения?

Поскольку налог платит покупатель, мотивы поведения продавца никак не меняются, и кривая предложения остается в исходном виде. Весь эффект введения налога связан с изменением спроса, а именно произойдет сдвиг кривой спроса вниз на величину налога  (рис. 2.2).

·

·Рис. 2.2 Налог на покупателя

·Источник: Экономическая теория: Учеб. для вузов / А.Г. Грязнова, Т.В. Чечелева, Т.Д. Бурменко и др.]; Под ред. А.Г. Грязновой, Т.В. Чечелевой; Финансовая акад. при Правительстве Рос. Федерации. - М.: Экзамен, 2014. - 442 с.182

Сдвиг кривой спроса D к  меняет точку равновесия: равновесный объем снижается до  (4 тыс. порций), а равновесная цена - до  = 50 руб. (точка ). Продавцы получают теперь за каждую порцию на 10 руб. меньше, чем они получали в отсутствие налога, а покупатели платят на 5 руб. больше ( = 65,  = 50).

Итак, введение налога сокращает рынок на 1 тыс. порций, а бремя налога падает как на покупателя, так и на продавца: покупатель платит больше, продавец получает меньше. В какой пропорции распределяется налоговое бремя - этот вопрос пока остается открытым.

Второй случай: налог уплачивает продавец. Здесь также имеет место надбавка к цене предполагаемого товара в 15 руб., а кривая предложения сдвинется вверх на величину налога, как показано на рис. 2.3.

В результате налогообложения продавца равновесная цена увеличивается до 65 руб. При этом рынок сокращается на 1000 порций, потребитель платит за порцию на 5 руб. больше (65 руб.), а продавец получает на 10 руб. меньше (50 руб.).

Рис. 2.3 Налог на продавца

Источник: Курс экономической теории. Учебник. Издание 5-е, исправленное дополненное и переработанное издание - Киров: АСА, 2006 г. - 832 с. Под общей редакцией проф. Чепурина М.Н., проф.Киселевой Е.А.

Сравнение рис. 2.2 и 2, а также результатов налогообложения продавцов и покупателей приводит к удивительному и важному выводу об эквивалентности налогов для производителя и потребителя. В обоих случаях налог "вклинивается" между ценой, которую платит покупатель, и ценой, которую получает продавец.

Сумма налоговых поступлений равна произведению количества проданных товаров  и величины налога на единицу товара , т.е. , или в нашем примере: 15 руб. x 4 тыс. = 60 тыс. руб. для обоих вариантов налогообложения.

Заметим также, что и распределение налога в 15 руб. на порцию мороженого также одинаково в обоих случаях: 5 руб. платит покупатель, 10 руб. - продавец. А для того, чтобы уяснить себе общий принцип распределения налога между покупателем и продавцом, вспомним еще один общеэкономический показатель - показатель эластичности. Именно от соотношения эластичности спроса и предложения зависит распределение налогового бремени между производителем и потребителем.

Ценовая эластичность (E) спроса и предложения характеризует их относительное изменение при относительном изменении цены и определяется формулой:

Относительное изменение спроса (предложения)

E = ---------------------------------------------------------------,

Относительное изменение цены

или в используемых обозначениях:


При этом в разных точках кривой спроса (и предложения) эластичность может быть неодинаковой и меняется от нуля до бесконечности. Но существует общая закономерность: чем круче наклон кривой в какой-то точке, чем менее она полога, тем меньше в этой точке эластичность.

Рассчитаем теперь для нашего примера с мороженым эластичность спроса и предложения вблизи точки равновесия O.

Для кривой спроса:

; ; ; ;

Q = 5 тыс.; ; итого: .

Для кривой предложения:

; ; ; ;

Q = 5 тыс.;

Итого

Итак, эластичность кривой предложения в точке O в 2 раза меньше, чем эластичность кривой спроса, поэтому и бремя налога, которое несет продавец, вдвое выше налогового бремени покупателя. В общем случае именно от соотношения эластичностей спроса и предложения зависит распределение налога между покупателем и продавцом.

В предельных случаях, когда эластичность спроса (предложения) равна нулю (кривая строго вертикальна), весь налог падает на покупателя (продавца). Важно, что при этом получаются существенно разные результаты налогообложения с точки зрения рынка и бюджета. Рассмотрим ситуации с совершенно эластичным и совершенно неэластичным спросом (рис. 2.4, (а) и (б)).

а) абсолютно неэластичный спрос;

б) абсолютно эластичный спрос

Рис. 2.4 Источник: Экономическая теория (политэкономия): Учебник/ Под общ. Ред. Акад. В.И. Видяпина, акад. Г.П. Журавлевой -4-е изд.- М7.: ИНФРА-М, 2007. - 640с.- (высшее образование). с 124

Допустим, спрос абсолютно неэластичен, т.е. объем покупок не зависит от цены. Конечно, такое не встречается на практике, но кривые спроса, например на хлеб и электроэнергию, на некоторых участках почти вертикальны; если равновесие достигается на таком участке, то сделанное допущение о неспособности потребителей варьировать объем покупок не слишком расходится с реальностью.

На рис. 2.4 (а) возложенный на продавца налог в размере T на единицу товара будет означать соответствующее увеличение издержек и перемещение кривой предложения вверх на величину налога T. Поскольку спрос неэластичен, покупатель вынужден принять новую цену , а вместе с ней полностью налоговое бремя в размере .

В том случае, когда спрос абсолютно эластичен (см. рис. 1.4 (б)), хотя кривая предложения по-прежнему сдвигается вверх, потребители не готовы платить какую бы то ни было цену, превышающую , их реакция в этом случае выражается в уменьшении количества приобретаемого товара с  до . Не имея возможности включить налог в цену, продавцы вынуждены платить его в размере  за счет уменьшения собственных доходов. Если до введения налога их выручка достигала , то теперь размер выручки уменьшается до , причем на долю продавцов достается только разность . Таким образом, именно продавцы оказываются в сфере действия налога.

В то же время покупатели также терпят некоторые неудобства. Хотя налоговое бремя в данном случае не затрагивает их денежных доходов, им приходится, очевидно, искать замену данному товару, поскольку его потребление сокращается. Нетрудно видеть и существенно разные последствия для бюджета: в первом случае (рис. 2.4 (а)) доходы бюджета (сумма налога) будут равны произведению , а во втором - .

Аналогичные рассуждения можно провести и для абсолютно эластичного (неэластичного) предложения.

Итак, для уяснения себе места налога в модели спроса и предложения важно понимание того обстоятельства, что на конкурентном рынке налог падает (распределяется) не по желанию законодателя (и буквы закона), но в соответствии с экономической силой покупателя и продавца, т.е. в зависимости от соотношения эластичности спроса и предложения.


Глава 3. Практическое использование ценовой эластичности

· 

·Спрос определяется платежеспособной потребностью покупателей (потребителей), а предложение - совокупностью товаров, предложенных продавцами (производителями).

·Соотношение между ними складывается в обратно пропорциональную зависимость, определяя соответствующие изменения в уровне цен на товары.

·Эластичность - одна из самых важных категорий экономической науки. Впервые она была введена в экономическую теорию А. Маршаллом и представляет собой выраженное в процентах изменение одной переменной в ответ на выраженное в процентах изменение другой переменной. Понятие эластичности позволяет выяснить, как происходит адаптация рынка к изменениям его факторов. Обычно предполагается, что предприятие, повышая цену на свою продукцию, имеет возможность увеличить выручку от ее продажи. Однако в действительности так бывает не всегда.

·Возможна ситуация, когда повышение цены приведет не к росту, а наоборот, к снижению выручки в силу уменьшения спроса и соответствующего сокращения сбыта.

·Поэтому понятие эластичности имеет огромное значение для производителей товаров, так как дает ответ на вопрос о том, на какую величину изменится объем спроса или предложения при изменении цены.

·Теория эластичности спроса и предложения имеет важное практическое значение. Эластичность спроса является важным фактором, влияющим на ценовую политику предприятия. Другим примером фактического использования теории эластичности является государственная налоговая политика, а также политика в области занятости населения.

·Изучение понятия эластичности позволяет предпринимателям быть в курсе изменения потребительских предпочтений, своевременно реагировать на динамично меняющуюся среду рынка и реагировать соответствующим образом.

·Значение эластичности в микроэкономическом анализе.

·В хозяйственной практике анализ эластичности позволяет:

·1) определить размеры производства отдельных товаров и услуг;

·2) изучить поведение потребителей;

·3) планировать ценовую политику предприятия;

·4) формировать стратегию предприятия в кратко срочном и долгосрочном периоде для максимизации прибыли и минимизации убытков;

·5) прогнозировать изменение в расходах потребителей и в доходах предпринимателей в связи с изменением цены на товары и услуги.

·Проведение разумной ценовой политики предприятия немыслимо без понимания того, как понижение стоимости на продукцию может сказаться на объемах продаж, а значит, и на выручке.

·Подсчитывать, как изменяется объем продаж того или иного товара в ответ на изменение цены, можно по разному. Например, в тоннах, штуках и т.д. Но все эти подходы требуют дополнительной информации и сами по себе мало о чем говорят. Оценка эластичности в процентном исчислении позволяет избежать путаниц и построить единый показатель для всех случаев.

·Такой коэффициент называется коэффициентом эластичности. Его можно определить как отношение процентного изменения одной величины к процентному изменению другой.

·Одной из главнейших составляющих экономики является теория спроса и предложения, а наряду с ней и понятие эластичности.

·Опираясь на произведения выдающихся представителей различных школ мировой экономики и используя собственные взгляды, я постараюсь убедиться в том, что оценка спроса и предложения важна не только в теоретическом плане, но также имеет и практический смысл, непосредственно выраженный в теории эластичности. Причем постараюсь доказать, что в связи с тем, что современная экономика характеризуется все более развивающимися рыночными отношениями значение эластичности не только не утрачивает своей актуальности, но и приобретает все новые, ранее не изученные, аспекты.

·Анализ эластичности позволяет проникнуть в суть экономических проблем, а это крайне необходимо при действительном функционировании любых разновидностей рынка. В экономических исследованиях и по сей день требуется не только установить факт взаимосвязи между двумя величинами, но и определить степень, эластичность, этой взаимосвязи. Эластичность помогает предвидеть динамику доходов фирм при изменении цен при условии, что остальные факторы, влияющие на доходы, остаются фиксированными, что очень важно в условиях современного рынка. Кроме того, глубокое осмысление необходимости и важности применения теории эластичности в экономическом анализе позволит выявить некоторые особенности влияния эластичности покупательского спроса на цены, издержки и прибыль предприятия, а также проследить зависимость предельных величин коэффициента эластичности продаж от цены в практике исследуемого предприятия [4, стр. 47].

·В последнее время все чаще на многих рынках, как экономически развитых, так и развивающихся стран наблюдается специфическое экономическое явление, непосредственно связанное с теорией эластичности.

·В первую очередь, это касается ситуации, характеризующейся тем, что эластичность спроса на потребительских рынках все чаще приобретает массовый характер. К примеру, если руководству какого-либо предприятия хватит смелости действительно попробовать увеличить прибыль предприятия не числом (за счет повышения цен), а умением (за счет пусть незначительного, но все же снижения этих цен), то результаты не заставят себя долго ждать. Благодарный рынок тут же продемонстрирует такое свое качество как эластичность спроса. Даже на символическое снижение цены потребитель ответит незамедлительным ростом спроса, обеспечивающим для предприятия рост объема продаж. А это обусловит уже остальные позитивные для предприятия финансовые последствия, в том числе снижение себестоимости единицы товара и рост прибыли, т.е. повышение экономичности производства в целом. Соответственно, такая благоприятная экономическая ситуация будет выгодна для любой компании, поэтому любые предприятия постараются последовать примеру аутсайдера, в чем и проявляется вышеупомянутая тенденция эластичности, которую можно наблюдать, в частности на российском рынке, лишь сравнительно недавно [2, стр. 29].

·Таким образом, на основе приведенного примера можно сделать вывод о том, что эластичность покупательского спроса оказывает непосредственное влияние на такие важнейшие экономические составляющие любого предприятия, как цена, издержки и прибыль.

ЗАКЛЮЧЕНИЕ

Итак, эластичность спроса показывает, на сколько процентов изменится величина спроса при изменении какого-либо из факторов спроса на один процент. Значение эластичности спроса изменяется в пределах от нуля до бесконечности. При более чем однопроцентном изменении величины спроса (эластичность больше единицы) говорят об эластичном спросе, а при ее изменении менее чем на один процент (эластичность меньше единицы) - о неэластичном спросе. В данной работе были рассмотрены: ценовая эластичность, отражающая влияние на спрос цены блага, перекрестная эластичность, отражающая влияние цен заменителей и дополняющих благ, и эластичность спроса по доходу, отражающую влияние изменения реального дохода потребителя. А так эластичность предложения характеризует ту же зависимость - только в отношении реагирования продавцов на изменения факторов предложения, прежде всего цены блага. В отличие от ценовой эластичности спроса, значения которой являются отрицательными, значения ценовой эластичности предложения являются положительными, так как для предложения характерна прямая связь между ценой блага и величиной предложения. Поскольку возможности реагирования участников рынка на произошедшие изменения обусловлены временным фактором, то эластичность спроса и предложения всегда определяется для задаваемого временного интервала, а характеристика эластичности спроса и предложения (более эластичные, менее эластичные) будет разной для краткосрочного и долгосрочного периодов.

Охарактеризовали основные факторы, влияющие на эластичность спроса, а именно: наличие товаров - заменителей, время и значимость товара для потребителя. Количество доступных товаров-заменителей, место продукта в бюджете покупателя, его принадлежность к предметам необходимости или роскоши, а также длительность анализируемого периода времени - все это факторы, влияющие на эластичность спроса.

И еще основными факторы, влияющие на эластичность предложения: фактор времени, степень сохранности товара, стоимость его хранения, возможности (гибкость) технологического процесса. Эластичность предложения зависит от трудности перераспределения ресурсов между альтернативными областями их использования. В свою очередь, эта мобильность ресурсов зависит от количества времени, имеющегося в распоряжении производителей для того, чтобы приспособиться, к данному изменению цены.

Практическое значение коэффициента эластичности заключается в облегчении прогнозирования того, какие именно отрасли имеют шансы на процветание и расширение, а какие в будущем, вероятнее всего, ожидает застой и сокращение производства. Точнее говоря, при прочих равных условиях высокая положительная эластичность по доходу означает, что вклад конкретной отрасли в экономический рост будет больше, чем ее доля в структуре экономики. Небольшой положительный или отрицательный коэффициент указывает на перспективу сокращения производства в отрасли.

В заключение выделю основные области использования эластичности в микроэкономическом анализе:

1. анализ поведения потребителя.

2.      определение стратегии фирм и предприятий, максимизирующей их прибыль.

.        выработка мероприятий государственного регулирования экономики и особенно политики занятости.

.        разработка структуры налогообложения.

5. прогнозирование изменений в расходах потребителей и в доходах продавцов из-за изменения цены продукта.


СПИСОК ИСПОЛЬЗОВАННЫХ ИСТОЧНИКОВ И ИНТЕРНЕТ-РЕСУРСОВ

Описание книги одного автора

1. Коэн Дж. Структура социологической теории. М., 1985. - 358 с.

2.      Основы микроэкономики: Учеб. пособие для вузов / Под ред. И.П. Николаевой. - М.:ЮНИТИ-ДАНА, 2011.

.        Предпринимательское право России: Учебник / Отв. ред. В.С. Белых. М.: Проспект, 2009. С. 318, 328.

.        Шаститко А.Е. Новая институциональная экономическая теория / 4-е перераб. и доп. изд. - М.: ТЕИС, 2010. - 828 с.

5. Нуреев Р.М. Курс микроэкономики: учебник / Р.М.Нуреев.-2-е изд., изм.- М.: Норма, 2009.-576 с

Описание книги 2, 3-х авторов

6. Амосова, В.В. Экономическая теория: Учебник / В.В. Амосова, Г.М. Гукасьян, Г.А. Маховикова; Под общ. ред. Г.М. Гукасьян. - СПб.: Питер, 2012. - 479 с.

7.      Бреннан Дж., Бьюкенен Дж. Причина правил. Конституционная политическая экономия. - СПб.: Экономическая школа, 2005. -272 с.

.        Дуглас Норт. Институты, институциональные изменения и функционирование экономики. / Пер. с англ. А.Н. Нестеренко, науч. ред. Б.З. Мильнера - М.: Фонд экономической книги «Начала», 1997, С. 313.

.        Кузьминов Я.И., Бендукидзе К.А., Юдкевич М.М. Курс институциональной экономики: институты, сети, трансакционные издержки и контракты. / Учебник. М., 2005 - 314 с.

10. Чеканский А.Н., Фролова Н.Л. Теория спроса, предложения и рыночных структур.- М.: Экономический факультет МГУ, ТЕИС, 1999.-421 с.

11.    Курс экономической теории. Учебник. Издание 5-е, исправленное дополненное и переработанное издание - Киров: АСА, 2006 г. - 832 с. Под общей редакцией проф. Чепурина М.Н., проф. Киселевой Е.А.

12. Макконнелл, К.Р. Экономикс: Принципы, проблемы и политика: Учеб.: Пер. с англ. / Кэмпбелл Р. Макконнелл, Стэнли Л. Брю. - М.: Инфра-М, 2012. - ХХХV, 928 С.

13.    Экономическая теория: Учебник /Под ред. В.Д. Камаева. - М.: Владос, 2011.

Описание книги 4-х и более авторов

14. Национальный экономический менталитет в контексте российских реформ А.В. Новиков. СПб. 2006. - 201 с.

15.    Предпринимательское (хозяйственное) право: Учебник / Под ред. В.В. Лаптева, С.С. Занковского. М.: Волтерс Клувер, 2006. С. 343 - 357. Примерно таких же взглядов придерживаются Е.П. Губин и С.Н. Шишкин.

.        Р. Коуз. Природа фирмы / под ред. О. И. Уильямсона, С. Дж. Уинтера; пер. с англ. М. Я. Каждана; ред. пер. В.Г. Гребенников. - М.: Дело, 2001.

.        Фуруботн Э.Г., Рихтер Р. Институты и экономическая теория: Достижения новой институциональной экономической теории / Пер. с англ. под ред. В. С. Катькало, Н.П. Дроздовой. - СПб.: Издат. дом Санкт-Петерб. гос. ун-та, 2005. - 702 с.

.        Экономика: учеб. / А.С. Булатов [и др.]; под ред. А.С. Булатова. - М.: Экономистъ, 2014. - 894 с.

.        Экономика: учебник / А.И. Архипов, д.э.н., проф., акад. РАЕН и др.]; под ред. д.э.н., проф., акад. РАЕН А. И. Архипова, к. э. н., доцента А. К. Большакова. - М.: Проспект, 2012. - 839 с.

.        Экономическая теория: Учеб. для вузов / А.Г. Грязнова, Т.В. Чечелева, Т.Д. Бурменко и др.]; Под ред. А.Г. Грязновой, Т.В. Чечелевой; Финансовая акад. при Правительстве Рос. Федерации. - М.: Экзамен, 2014. -442 с.

Описание статей из газет, журналов и сборников

21. Ерчак А.И. Анализ предельных величин коэффициента эластичности продаж от цены в практике торгового предприятия // Маркетинг в России и за рубежом. - 2013. - №3(35). - С.53-57.

22.    Игнатов А.В. Анализ влияния эластичности покупательского спроса на цены, издержки и прибыль торгового предприятия // Маркетинг в России и за рубежом. - 2013. - №2(34). - С.18-29.

.        Непша В.И. и др. Ювелирные изделия с бриллиантами: эластичность спроса по доходу и цене // Маркетинг в России и за рубежом. - 2013. - №2(34). - С31-41.

.        Эрнандо де Сото. Загадка капитала. Почему капитализм торжествует на Западе и терпит поражение во всем остальном мире / Пер. с англ. Б. Пинскер, науч. ред. Р. Левита - М.: ЗАО «Олимп-Бизнес», 2004. - 272 с.

Похожие работы на - Значение оценки эластичности спроса и предложения для предпринимательской практики

 

Не нашли материал для своей работы?
Поможем написать уникальную работу
Без плагиата!
Без нейросетей!