Ценообразование на базе анализа эластичности спроса

  • Вид работы:
    Курсовая работа (т)
  • Предмет:
    Маркетинг
  • Язык:
    Русский
    ,
    Формат файла:
    MS Word
    146,32 Кб
  • Опубликовано:
    2014-03-12
Вы можете узнать стоимость помощи в написании студенческой работы.
Помощь в написании работы, которую точно примут!

Ценообразование на базе анализа эластичности спроса

ФЕДЕРАЛЬНОЕ АГЕНСТВО ЖЕЛЕЗНОДОРОЖНОГО ТРАНСПОРТА

Федеральное государственное образовательное учреждение высшего профессионального образования «Петербургский Государственный Университет Путей Сообщения»

Кафедра «Менеджмент и маркетинг»

Дисциплина: «Ценообразование»






Курсовая работа

на тему: «Ценообразование на базе анализа эластичности спроса»

Выполнил Малинина А.А.

Проверил преподаватель Грушинский С.В.





Санкт-Петербург 2013

Оглавление

Введение

. Теоретические основы оценки эластичности спроса

.1Способы оценки эластичности спроса

.2 Оценка коэффициентов эластичности спроса и предложения

. Ценообразование и ценовая эластичность спроса и её учет в стратегии ценообразования

.1 Стратегии ценообразования

.2 Связь эластичности спроса с выбором стратегии ценообразования

. Ценообразование на примере торговой марки Canon с учетом эластичности спроса

Заключение

Список используемых источников

Введение


Ценообразование - установление цен, процесс выбора окончательной цены в зависимости от начальной стоимости продукции, цен конкурентов, соотношения спроса и предложения и других факторов.

Цель ценообразования - обеспечить мотивированную, своевременную и достаточную ценовую реакцию, таким образом, чтобы получить максимальный объем продаж с минимальной потерей маржинальности.

Нужно понимать, что ценообразование того или иного товара всегда зависит от целей, которые ставит организация.

Эластичность спроса позволяет почти точно измерить степень реакции покупателя на изменение цен, уровня доходов или других факторов.

В данной курсовой будут рассмотрены теоретические основы эластичности спроса, связь ценообразования с ценовой эластичностью. А так же приведен пример ценообразования торговой марки Canon с учетом эластичности спроса.

Цель работы - проанализировать влияние эластичности спроса на ценообразование.

Задача данной работы - на основе анализа изучить способы оценки эластичности спроса, изучить оценку коэффициентов эластичности спроса и предложения, рассмотреть различные стратегии ценообразования, выявить связь эластичности спроса с выбором стратегии ценообразования.

Курсовая работа состоит из введения, трех разделов с выводами, заключения и списка используемых источников.

1. Теоретические основы оценки эластичности спроса


Эластичность - одна из самых важных категорий экономической науки. Впервые она была введена в экономическую теорию А. Маршаллом и представляет собой выраженное в процентах изменение одной переменной в ответ на выраженное в процентах изменение другой переменной. Понятие эластичности позволяет выяснить, как происходит адаптация рынка к изменениям его факторов. Обычно предполагается, что фирма, повышая цену на свою продукцию, имеет возможность увеличить выручку от ее продажи. Однако в действительности так бывает не всегда: возможна ситуация, когда повышение цены приведет не к росту, а наоборот, к снижению выручки в силу уменьшения спроса и соответствующего сокращения сбыта.

Поэтому понятие эластичности имеет огромное значение для производителей товаров, т.к. дает ответ на вопрос о том на какую величину изменится объем спроса и предложения при изменении цены.

Изучение спроса потребителей, а также мотивов, которыми они руководствуются, совершая покупки, - важнейшая задача фирмы в условиях конкуренции. Обладание как можно более полной информацией о спросе позволяет фирме обеспечивать сбыт своей продукции, расширять производство и успешно конкурировать на рынке.

Введение эластичности в экономический анализ имеет огромное значение:

§   с одной стороны, коэффициент эластичности - это инструмент статистических измерении, в том числе активно используемый в маркетинговых исследованиях (консалтинговые фирмы в США берут от 50 000 до 75 000 долл. за подсчет эластичности для частных фирм);

§   с другой стороны, концепция эластичности служит важным инструментом экономического анализа, поскольку в науке недостаточно только измерить, необходимо еще и уметь объяснить полученный результат. Сегодня нет ни одного раздела экономики, где бы не использовалось понятие эластичности: анализ спроса и предложения, теория фирмы, теория экономических циклов, МЭО, экономические ожидания и т.д.

Наиболее общее определение эластичности - отношение относительного приращения функции к относительному приросту независимой переменной.

1.1 Способы оценки эластичности спроса


В математике обычно коэффициент эластичности представляет собой отношение темпов роста зависимой переменной к темпам роста независимой переменной (признака-фактора). Коэффициент эластичности позволяет судить, на сколько процентов изменится зависимая переменная при изменении независимой переменной на 1%. Таким образом, если выявлена причино-следственная зависимость между переменными, можно рассчитать коэффициент эластичности одной из этих переменных по другой.

Причино-следственные зависимости исследуются в корреляционно-регрессионном анализе, при этом корреляция описывает тесноту связи, а регрессия форму связи. В отличие от них, эластичность характеризует зависимость изменений.

Коэффициенты эластичности необходимо учитывать при выборе стратегии и тактики ценообразования, анализе и прогнозировании спроса.

Ценную информацию для принятия решений в области ценообразования несут следующие коэффициенты эластичности:

·        спроса от цены;

·        спроса от дохода;

·        перекрестной эластичности спроса от цены;

·        прибыли от цены;

·        цены от расходов, связанных с производством и реализацией.

 

1.2 Оценка коэффициентов эластичности спроса и предложения


Эластичность спроса по цене

По значению коэффициента эластичности товары обычно делят на 4 группы:

Товары высокоэластичного спроса. Коэффициент эластичности спроса по цене больше единицы. Спрос и цена меняются разнонаправлено, причем на каждый процент изменения цены приходится более одного процента изменения спроса. В результате снижение цены приводит к росту выручки, а повышение цены к снижению выручки. Высокоэластичный спрос характерен для конкурентного рынка и в несколько меньшей степени для рынка монополистической конкуренции.

Например, в экономически развитых странах считается, что снижение тарифа на страховые услуги на 10% ведет к увеличению состава клиентов и расширению объема страхования на 30%. Следовательно, коэффициент эластичности спроса от цены страховых услуг равен трем. Высокая эластичность страховых услуг позволяет рассчитывать на рост дохода при снижении размера тарифа.

Товары низкоэластичного спроса. Коэффициент эластичности спроса по цене меньше единицы. Спрос и цена меняются разнонаправлено, причем на каждый процент изменения цены приходится менее одного процента изменения спроса. В результате снижение цены приводит к снижению выручки, а повышение цены к повышению выручки. Низкоэластичный спрос характерен для олигополии и монополии. На рынке монополистической конкуренции для поддержания низкой эластичности спроса требуются значительные усилия по защите собственного сегмента рынка (реклама, каналы сбыта и т.д.)

Товары с единичной эластичностью спроса. Коэффициент эластичности спроса по цене равен единице. Спрос и цена меняются разнонаправлено, причем на каждый процент изменения цены приходится один процент изменения спроса. В результате снижение цены и повышение цены не изменяет выручку. Единичная эластичность довольно редко встречается на практике.

Товары с положительной эластичностью спроса. Коэффициент эластичности спроса по цене положительная величина, следовательно, цена и спрос изменяются однонаправлено. Снижение цены приводит к снижению спроса, а повышение цены к повышению спроса. Такая ситуация не может существовать постоянно относительно какого-либо товара, но может иметь место.

Например, незначительное снижение цен на товары престижного спроса (модная одежда, обувь, кожгалантерея) может восприниматься покупателями как ухудшение их качества и привести к снижению спроса. Положительная эластичность спроса характерна и для товаров первой необходимости в ситуации, которая получила название феномена Гиффена.

В периоды значительного ухудшения экономической ситуации в стране рост цен на товары первой необходимости, являющиеся основой потребительского бюджета наименее обеспеченных слоев населения, может привести к увеличению спроса на них.

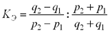
Для количественной оценки степени эластичности различных товаров могут быть использованы общие, дуговые и точечные коэффициенты эластичности.

Общий коэффициент эластичности является средним для товара на всей кривой спроса. Он позволяет сравнить различные товары между собой.

(1.1)

где KЭ - коэффициент эластичности спроса по цене;

Δq - процентное изменение спроса;

Δp - процентное изменение цены.

Уравнение показывает, что эластичность спроса от цены равна изменению количества, вызванному единичным изменением цены, помноженному на отношение цены к количеству. Но по мере движения вниз по кривой спроса оба составляющих меняются, следовательно, эластичность спроса одного и того же товара будет различна при разных начальных уровнях цены. Поэтому более точную оценку дают дуговые и точечные коэффициенты эластичности.

Дуговой коэффициент эластичности (средний на интервале) позволяет оценить как изменяется спрос при изменении цены товара на определенном участке кривой спроса. По технике расчетов он называется дуговой коэффициент эластичности, рассчитанный по приращениям.

(1.2)

где p1 - начальный уровень цены;- конечный уровень цены;- начальный уровень объема спроса;- конечный уровень объема спроса.

Точечный коэффициент эластичности рассчитывается как предельная форма выражения дугового коэффициента эластичности.

Таблица 1. Факторы, влияющие на эластичность спроса по цене

Факторы, понижающие эластичность спроса по цене

Факторы, повышающие эластичность спроса по цене

Уникальность товара, отсутствие аналогов

Существование множества товаров субститутов

Потребителю не известны товары субституты

Потребителю сложно сравнить качество различных субститутов, цена выступает символом качества товара

Потребитель может легко сравнить качество различных субститутов

Затраты потребителя на приобретение товара значительно меньше его дохода или совокупных расходов

Затраты потребителя на приобретение товара занимают значительную долю в его совокупных расходах

Потребитель может разделить затраты на приобретение товара с кем-либо, товар приобретается для коллективного использования

Потребитель приобретает товар для индивидуального использования

Товар поддерживает спрос на продукцию фирмы

Товар инициирует спрос на продукцию фирмы

Предметы необходимости (настоятельность потребности в товаре)

Предметы роскоши

Краткосрочная реакция (невозможность изменить совокупность условий, вызвавших спрос)

Долгосрочная реакция (возможность изменить совокупность условий, вызвавших спрос)

Потребитель не имеет возможности долго хранить товар

Товар может храниться длительное время, не требует значительных дополнительных затрат на хранение


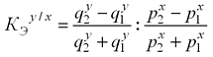
Перекрестная эластичность спроса. Взаимозаменяемые, взаимодополняемые и нейтральные товары

Для принятия ценовых решений необходимо рассчитать перекрестные коэффициенты эластичности спроса от цен. Спрос на какой-либо товар зависит не только от его цены, но и от уровня цен на другие товары (в первую очередь заменяющие его). Коэффициент перекрестной эластичности показывает, на сколько процентов изменится спрос на данный товар при изменении цены на другой товар на один процент, при условии, что остальные цены и доход останутся неизменными.

(1.3)

где KЭy/x - коэффициент перекрестной эластичности спроса на товар у при изменении цены товара х;x - начальный уровень цены товара х;x - конечный уровень цены товара х;y - начальный уровень объема спроса на товар у;y - конечный уровень объема спроса на товар у.

Взаимодополняющие товары - коэффициент перекрестной эластичности отрицательный.

Взаимозаменяющие товары - коэффициент перекрестной эластичности положительный.

Независимые товары - коэффициент перекрестной эластичности равен нулю.

Учет перекрестной эластичности спроса по цене может существенно повлиять на принятие стратегических и тактических решений на конкурентном рынке.

Эластичность спроса по доходам

Эластичность спроса от дохода характеризует относительное изменение спроса на товар при изменении дохода потребителя. Принимая решение о цене товара, следует учитывать, что изменение доходов потребителей может по-разному сказаться на динамике спроса. Графическое изображение этой зависимости представлено кривыми Энгеля.

Рисунок 1

На оси абсцисс откладывается уровень дохода потребителя, а на оси ординат - расходы на потребление данного блага.

На графике показан примерный вид кривых Энгеля:

·              E1 - кривая для нормальных товаров;

·              E2 - кривая для предметов роскоши;

·              E3 - кривая для низкокачественных товаров.

Возможные ситуации:

·        коэффициент эластичности меньше нуля - с ростом дохода потребление снижается (при насыщении спроса на товары первой и не первой необходимости, при возможности переключения спроса на более дорогие товары);

·        коэффициент эластичности равен нулю - с увеличением доходов спрос остается стабильным;

·        коэффициент эластичности от нуля до единицы - по мере изменения дохода происходит незначительное однонаправленное изменение спроса (товары первой необходимости);

·        коэффициент эластичности больше единицы - темпы изменения спроса выше темпов изменения дохода.

Эластичность спроса по доходам существенно различается для разных категорий покупателей, поэтому коэффициентами эластичности следует пользоваться только в пределах одной доходной группы. Более точные модели учитывают различную эластичность спроса по доходам, выделяя различные категории по возрасту, полу, социальным характеристикам.

Нет четких границ для отнесения товаров к товарам необходимости и предметам роскоши. При этом эластичность спроса на товар может меняться в разные периоды.

По мере сближения степени дифференциации в уровне доходов происходит снижение различий в степени эластичности расходов на различные блага, т.е. выравнивается степень настоятельности потребности.

Эластичность - одна из самых важных категорий экономической науки

Коэффициенты эластичности необходимо учитывать при выборе стратегии и тактики ценообразования, анализе и прогнозировании спроса.

Ценную информацию для принятия решений в области ценообразования несут следующие коэффициенты эластичности:

·        спроса от цены;

·        спроса от дохода;

·        перекрестной эластичности спроса от цены;

·        прибыли от цены;

·        цены от расходов, связанных с производством и реализацией.

По значению коэффициента эластичности товары обычно делят на 4 группы:

Товары высокоэластичного спроса. Коэффициент эластичности спроса по цене больше единицы. Товары низкоэластичного спроса. Коэффициент эластичности спроса по цене меньше единицы. Товары с единичной эластичностью спроса. Коэффициент эластичности спроса по цене равен единице. Товары с положительной эластичностью спроса. Коэффициент эластичности спроса по цене положительная величина.

Для количественной оценки степени эластичности различных товаров могут быть использованы общие, дуговые и точечные коэффициенты эластичности.

Для принятия ценовых решений необходимо рассчитать перекрестные коэффициенты эластичности спроса от цен. Спрос на какой-либо товар зависит не только от его цены, но и от уровня цен на другие товары (в первую очередь заменяющие его).

2. Ценообразование и ценовая эластичность спроса и её учет в стратегии ценообразования

 

.1 Стратегии ценообразования


Рыночные стратегии ценообразования подразделяются на четыре группы, каждая из которых, в свою очередь, включает несколько частных стратегий:

.        стратегии дифференцированного ценообразования:

ü  стратегия скидки на втором рынке;

ü  стратегия сезонных (периодических) скидок;

ü  стратегия случайных скидок;

ü  стратегия применения скидки при больших объемах закупки;

ü  стратегия применения скидки при продаже товаров, которые не соответствуют стандарту.

.        конкурентные стратегии:

ü  стратегия «снятия сливок»;

ü  стратегия проникновения на рынок;

ü  стратегия сигнализирования ценами.

.        ассортиментные стратегии:

ü  стратегия товарных наборов;

ü  стратегия различной прибыльности;

ü  стратегия лидерства при потерях;

ü  стратегия установления цен выше номинала.

.        стратегии монопольного ценообразования:

ü  установление монопольных цен;

ü  установление демпинговых цен.

Дифференцированные стратегии охватывают следующие виды стратегий.

Стратегия скидки на втором рынке заключается в том, что на один и тот же товар или услугу на других (вторых) рынках цена устанавливается ниже. В качестве вторых рынков выступают демографические, географические, внешние. Например, на вторых демографических рынках, т.е. на рынках для пенсионеров, детей, студентов могут действовать более низкие цены на услуги парикмахерских, коммунальные услуги, билеты в театры и кинотеатры, музеи, проездные билеты на городском транспорте. Цены со скидками могут использоваться в другом географическом районе (рынки административно-территориальных делений), на внешнем рынке (демпинговые цены).

Стратегия сезонной (периодической) скидки основывается на неоднородности покупательского спроса во времени и применяется для его стимулирования. Такая стратегия используется при продаже товаров сезонного спроса во вне сезона, товары, вышедшие из моды, а также при установлении цен на овощи и фрукты по сезонам их заготовки, тарифов на услуги связи в различное время суток, билетов на дневные и вечерние представления и т.д. Использование данной стратегии позволяет обеспечить фирмам более равномерную загрузку производственных мощностей и расширить объем продаж.

Стратегия "случайной скидки" предполагает, что скидка с цены устанавливается по случайному принципу на основе теории больших чисел, например, для каждого сотого, тысячного покупателя. Данная стратегия ориентирована на покупателей, заинтересованных в низких ценах, как правило, это люди с невысокими, средними доходами, которые часто переоценивают свою экономию, получаемую от покупки по таким ценам.

Стратегия применения скидки при больших объемах покупки заключается в предоставлении скидки при покупке больших или относительно больших объемов продукции, при чем для каждого вида товаров понятие «большого объема» может быть разным. Стратегия применения скидки при продаже товаров, которые не соответствуют стандарту, предусматривает скидку в том случае, если продукция не удовлетворяет требованиям по расфасовке, упаковке, маркировке товара, а также по каким-то технико-эксплуатационным характеристикам.

Конкурентные стратегии включают следующие виды стратегий.

Стратегия «снятия сливок» аналогична политике с соответствующим названием.

Стратегия проникновения на рынок заключается в том, что первоначально фирма устанавливает относительно низкую цену на свой товар, после завоевания определенной части (сегмента) рынка фирма поднимает цену, не меняя качество товара.

Стратегия сигнализирования ценами основывается на том, что цена может служить базой для оценки покупателем товара. Высокая надбавка к цене часто используется в качестве инструмента для того, чтобы выделить модель класса «люкс» от обычных моделей. Величина надбавки к цене в таких случаях обычно намного значительнее, чем разница в издержках производства моделей класса «люкс» и обычной. Таким образом, более высокая цена может быть неотъемлемым элементом создания репутации товара фирмы с широкой номенклатурой, а также являться одним из источников дополнительной прибыли. Однако, используя данную стратегию, фирма может продать низкокачественный товар по высокой цене, используя эффект - «более высокое качество всегда означает более высокие цены».

Ассортиментные стратегии объединяют следующие виды стратегий.

Стратегия товарных наборов заключается в том, что цена набора (бритвенный прибор и лезвия, фотоаппарат и фотопленка, косметические наборы) устанавливается ниже, чем сумма цен входящих в него компонентов. При этом по более низкой цене может продаваться основное изделие, а дополняющие его или сопутствующие товары - по более высокой. При этой стратегии выигрывают как покупатели - за счет сниженных цен, так и продавцы - за счет увеличения объема продаж. Стратегия различной прибыльности используется в ценообразовании на взаимозаменяемые товары или услуги. При этом фирма устанавливает на аналогичные товары цены таким образом, что получает большую прибыль от дорогостоящих моделей и порой даже убыток от дешевых, а в целом имеет среднюю норму прибыли. Модели товаров или виды услуг, отличающиеся по цене и качественным характеристикам, предназначены для различных категорий покупателей. Использование данной стратегии объясняет различие в ценах билетов на первые и последние ряды в театрах, люксовые и обычные номера в гостиницах, престижные и рядовые марки автомобилей, тарифы на услуги (транспортные, коммунальные, бытовые) для населения и предприятий и т.д.

Стратегия «имидж»-цены применяется наиболее конкурентоспособными фирмами, которые имеют устойчивую репутацию на рынке и выпускают престижную продукцию (например, марочные вина, коньяки, фирменная одежда и обувь).

Стратегия лидерства при потерях применяется, как правило, в розничной торговле, когда фирма продает товар, который завезен в большом количестве со значительной скидкой, иногда по себестоимости и ниже.

Стратегия установления цен выше номинала применяется для товаров длительного пользования, когда товары имеют примерно одинаковые характеристики, но предназначены для разных групп покупателей, и поэтому продаются по разным ценам. Стратегии монопольного ценообразования охватывают следующие виды стратегий.

Стратегия установления монопольных (монопсонических) цен применяется в том случае, когда фирма занимает доминирующее положение на рынке, дающее ей возможность оказывать решающее влияние на общие условия обращения товара на соответствующем товарном рынке или затруднять доступ на товарный рынок конкурентам.

Выделяют следующие виды монопольных цен:

ü  монопольно высокой является цена, которая устанавливается с целью получения сверхприбыли и/или компенсации необоснованных затрат за счет ущемления экономических интересов других фирм или населения;

ü  монопольно низкой является цена, которая при устойчивом спросе за счет преднамеренного снижения доходов (прибыли) в краткосрочном периоде затрудняет доступ на рынок другим фирмам и тем самым ограничивает конкуренцию на рынке данного товара;

ü  монопсонически низкой ценой является цена, устанавливаемая фирмой, доминирующей на рынке данного товара в качестве покупателя, в целях получения сверхприбыли и/или компенсации не обоснованных затрат за счет поставщика.

Стратегия установления демпинговых цен заключается в том, что фирма при проникновении (завоевании) рынка или его сегмента, а также с целью недопущения входа на рынок других компаний устанавливает цену ниже себестоимости. Так как фирма (монополист) занимала до этого доминирующее положение и получала монопольную прибыль, то она имеет вследствие этого достаточные финансовые ресурсы, чтобы в течение определенного времени продавать продукции по демпинговым ценам.

2.2 Связь эластичности спроса с выбором стратегии ценообразования


Стратегия ценообразования должна быть увязана с общими целями компании и отражать их. Различные фирмы в отрасли могут иметь разные цели и соответственно различные стратегии цены. К целям, основанным на существующем положении, стремятся фирмы, заинтересованные в стабильности или сохранении благоприятного климата для своей деятельности. Стратегия ценообразования ориентирована на избежание спада в сбыте и минимизацию воздействия таких внешних сил, как правительство, конкуренты и участники каналов сбыта.

Данные об эластичности спроса необходимы для принятия разнообразных управленческих решений, в частности решений о пересмотре или корректировке цен на отдельные товары. Использование этих данных позволяет выявить реакцию потребителя на изменение цены, подготовить производство к изменению спроса, внести необходимые изменения в ассортимент выпускаемых товаров. Все это дает возможность предприятию проводить обоснованную ценовую политику, направленную на обеспечение повышения прибыли.

На основе коэффициента эластичности спроса по цене можно определить динамику общей выручки производителя при изменении цены. Например, как изменится выручка производителя при увеличении цены, если спрос на данный товар эластичен. Ход рассуждений в этом случае может быть таким: высокая эластичность спроса означает, что при изменении цены величина объема спроса меняется более высокими темпами по сравнению с ценой, т. е. при возрастании цены объем спроса будет падать более быстрыми темпами, чем происходить ее рост. Следовательно, общая выручка производителя будет сокращаться.

Продавец заинтересован повышать цену, если спрос негибкий, и понижать, если спрос эластичный. Зная величину коэффициента эластичности, можно определить необходимый размер изменения цены (с целью повышения доходов продавца или достижения экономии затрат потребителя).

Коэффициент прямой эластичности можно также использовать для определения необходимого изменения объема спроса при предполагаемом уровне изменения цены при условии, что масса прибыли, получаемой предприятием, остается неизменной.

Знание уровня ценовой эластичности позволяет ответить на ряд вопросов. Во-первых, можно определить вектор необходимого изменения цены с целью увеличения выручки и прибыли. Во-вторых, сопоставление эластичности конкурирующих марок позволяет определить разброс уровней эластичности и, следовательно, выявить те из них, которые имеют различную чувствительность к изменению цены. Это позволит, в свою очередь, определить конкурентоспособность различных товарных брендов и марок. И наконец, как уже отмечалось выше, вид и уровень перекрестной эластичности позволяют прогнозировать перемещение спроса с одной марки на другую.

Однако надо иметь в виду, что в реальной жизни очень трудно получить достаточно надежные и стабильные данные по коэффициентам прямой и перекрестной эластичности, чтобы использовать их для ценообразования.


Рыночные стратегии ценообразования подразделяются на четыре группы, каждая из которых, в свою очередь, включает несколько частных стратегий: стратегии дифференцированного ценообразования, конкурентные стратегии, ассортиментные стратегии, стратегии монопольного ценообразования. Стратегия ценообразования должна быть увязана с общими целями компании и отражать их. Знание уровня ценовой эластичности позволяет ответить на ряд вопросов. Во-первых, можно определить вектор необходимого изменения цены с целью увеличения выручки и прибыли. Во-вторых, сопоставление эластичности конкурирующих марок позволяет определить разброс уровней эластичности и, следовательно, выявить те из них, которые имеют различную чувствительность к изменению цены. Это позволит, в свою очередь, определить конкурентоспособность различных товарных брендов и марок. И наконец, как уже отмечалось выше, вид и уровень перекрестной эластичности позволяют прогнозировать перемещение спроса с одной марки на другую.

ценообразование рыночный эластичность спрос

3. Ценообразование на примере торговой марки Canon с учетом эластичности спроса


Компания Canon - мировой лидер в сфере производства цифровых продуктов и решений для обработки изображений, предназначенных для дома и офиса. Далее приведены данные по продажам лазерного принтера Canon PIXMA MG4240 в Санкт-Петербурге за 2010-2011гг.

Таблица 2. Данные по продажам лазерного принтера Canon PIXMA MG4240 в Санкт-Петербурге за 2010-2011гг

Годы

Выручка от продаж (без НДС), тыс. руб.

Себестоимость, тыс. руб.

Объем продаж, шт.

Цена товара, тыс. руб.

Себестоимость единицы товара, тыс. руб.

2010

358 945

147 844

67 341

5,33

2,20

2011

484 535

210 909

98 301

4,93

2,15


Как видно из табл. 2, в 2011 г. произошло снижение цены товара (с 5,33 до 4,93 тыс. руб. за единицу) при одновременном значительном росте объема продаж (с 67 341 до 98 301 единицы), то есть явно проявились признаки, что рынок становится эластичным.

Если предполагать, что зависимость объема продаж у(х) от цены является линейной, то можно составить следующую функцию:

у(х) = kx + b,

где у(х) - объем продаж товара (шт.); x - цена товара (тыс. руб. за единицу товара); k и b - коэффициенты уравнения, значения которых требуется установить.

С помощью данных из табл. 2 составим систему линейных уравнений:

,93k+b=98301

,33k+b=67341

решение которой дает искомую зависимость:

у(х) = -77400х + 47883.

Из табл. 2 следует, что в 2011 г. произошло также снижение себестоимости единицы товара (с 2,20 до 2,15 тыс. руб. за единицу) при одновременном росте объема продаж (с 67 341 до 98 301 единицы). Согласно теории финансового менеджмента это нужно понимать в том смысле, что зависимость себестоимости единицы товара от объема продаж формируется как функция переменных затрат (variable cost) и постоянных затрат (fixed cost), а потому данная зависимость будет выглядеть так:


где z(y) - себестоимость единицы товара (тыс. руб. на единицу товара);С - постоянные затраты (в тыс. руб.);С - переменные затраты (в тыс. руб.);- удельные переменные затраты (тыс. руб. на единицу товара).


Отсюда следует, что FС = 10 691 тыс. руб. и vc = 2,04 тыс. руб. на единицу товара.

Знание величин постоянных затрат и удельных переменных затрат, а также цены товара позволяет установить точку безубыточности. Для условий 2011 г. минимальный объем продаж ymin, при котором прибыль равна нулю, составит:


Таким образом, достигнутый в 2011 г. объем продаж (98 301 единица) более чем в 25 раз превышает безубыточный объем (3700 единиц). Разница очень большая, а это означает, что фирма уже может позволить себе наращивать свою прибыль не только за счет повышения цен, а даже наоборот - за счет их снижения. В условиях эластичного рынка снижение цен сопровождается ростом объема продаж, приводящим к росту выручки и прибыли.

 

Заключение


Эластичность отражает процесс приспособления рынка к изменяющимся факторам, воздействующим на спрос и предложение. Эластичность спроса по цене отражает изменения в величине спроса в связи с изменением цены. Эластичность спроса по доходу означает % изменения величины спроса, связанное с изменением дохода. Перекрестная эластичность спроса отражает изменение величины спроса товара а, с изменением цены на товар в.

Эластичный спрос, когда небольшие изменения в цене приводят к значительным изменениям в количестве покупаемой продукции и, соответственно, увеличению общей выручки.

Ценообразование является одним из ключевых элементов рыночной экономики. Успех деятельности любой компании или фирмы во многом зависит от правильно выбранной ими стратегии и тактики ценообразования на товары или услуги. Сложность процесса ценообразования состоит в том, что цена - категория конъюнктурная. На ее уровень и динамику существенное влияние оказывает комплекс политических, экономических, психологических и социальных факторов.

В курсовой работе были рассмотрены теоретические основы эластичности спроса, связь ценообразования с ценовой эластичностью, были изучены способы оценки эластичности спроса и оценка коэффициентов эластичности спроса и предложения, рассмотрены различные стратегии ценообразования и выявлена связь эластичности спроса с выбором стратегии ценообразования. А так же приведен пример ценообразования торговой марки Canon с учетом эластичности спроса.

Список используемых источников

 

1.       Бутакова М.М. Конспект лекций и тексты для чтения «Ценообразование в рыночной экономике» 2012г;

.        Голубков Е.П. Основы маркетинга: Учебник. - М.: Издательство «Финпресс», 2007;

.        Зубец А.Н. Страховой маркетинг. М.: Анкил, 2005;

.        Нэгл Т.Т., Холден Р.К. Стратегия и тактика ценообразования. - СПб: Питер, 2006;

.        Слепов В.А., Николаева Т. Е. Ценообразование: Учеб. Пособие / под ред проф. В. А. Слепова. - Рос. экон. акад. им. Г. В. Плеханова. - М.: ИД ФБК-ПРЕСС, 2004;

.        Шаркова О.Э, Карякина О.А., Ценообразование, Минск 2002

7.       <http://www.economicportal.ru/index.html> Экономические понятия;

.        ForexAW.com Аналитика Форекс, новости валютного рынка.

.        <http://www.itbestsellers.ru/> Аналитика Российского рынка IT

Похожие работы на - Ценообразование на базе анализа эластичности спроса

 

Не нашли материал для своей работы?
Поможем написать уникальную работу
Без плагиата!
Без нейросетей!