Дифференциальный метод оценки уровня качества продукции

  • Вид работы:
    Практическое задание
  • Предмет:
    Маркетинг
  • Язык:
    Русский
    ,
    Формат файла:
    MS Word
    10,55 Кб
  • Опубликовано:
    2013-12-22
Вы можете узнать стоимость помощи в написании студенческой работы.
Помощь в написании работы, которую точно примут!

Дифференциальный метод оценки уровня качества продукции

Дифференциальный метод оценки уровня качества продукции

Комплексный метод оценки уровня качества продукции осуществляется с использованием комплексных показателей качества.

Комплексная оценка не дает представления об отдельных свойствах продукции; комплексные показатели можно получать при разном сочетании единичных показателей. Поэтому комплексные показатели должны дополнять, а не заменять отдельные показатели качества.

Комплексный показатель (К) характеризует совокупность взаимосвязанных свойств из всего множества свойств, образующих качество продукции и выражается одним числом показателей качества продукции с таким же количеством базовых показателей. Он отражает совокупность свойств продукции, по которой принято решение оценивать качество продукции.

Средние взвешенные показатели применяются, если нельзя установить функциональную зависимость главного показателя от исходных показателей качества, но возможно с достаточной степенью точности определить параметры весомости усредняемых показателей.

Оценка уровнем качества на основе средневзвешенного показателя может быть осуществлена с помощью арифметического показателя. На основе средневзвешенного арифметического показателя формула определения уровня качества имеет следующий вид:

,

где  - коэффициент весомости i-го показателя качества;

 - относительный i-й показатель качества.

Сущность экспертного метода ранжирования. Ранжирование предполагает расстановку объектов измерений или показателей качества в порядке их предпочтения или важности. Для этого экспертам предлагают проранжировать параметры в порядке возрастания важности, то есть минимальный ранг аij = 1 получает наименее важный аij=2 и так далее. Наиболее важному показателю присваивается ранг n.

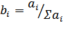
Коэффициент весомости bi определяется по формуле:

,

где  - сумма баллов, присвоенных всеми экспертами по i-ому показателю качества,

 - сумма баллов, присвоенных всеми экспертами по всем показателям.

Фотоаппараты

Образец продукции

Показатели качества

Число пикселов матрицы, МПикс

Диагональ дисплея, «

Вес, Кг

Оптический ZOOM, кратность

Цифровой ZOOM, кратность

Разрешение видеосъёмки, МПикс

1

2

3

4

5

6

Canon A1400

16,6

2,7

0,174

5

4

0,9

Panasonic DMC-FS50

16,6

2,7

0,1

5

4

0,3

Fujifilm S4300

14

3

0,448

26

6,7

0,9

Nikon L27

12,3

2,6

0,161

4

3

0,5

Olympus D-770

16

2,8

0,122

6

4

0,3

GE C1433

14,4

2,4

0,12

3

4

Оцениваемый образец: Samsung ES95

16,2

2,7

0,09

5

2

0,9


Результаты экспертного опроса

Показатели качества

Номер эксперта

Сумма баллов, аi

bi


1

2

3

4

5



Х1

4

5

3

5

5

22

0,21

Х2

2

4

4

3

5

18

0,17

Х3

1

3

3

2

5

14

0,13

Х4

5

4

5

2

4

20

0,19

Х5

2

4

5

2

4

17

0,16

Х6

2

2

3

2

5

14

0,13


1


Расчет относительных показателей качества между оцениваемым образцом и базовыми.

P1 - базовый образец.- базовый образец.- базовый образец.- базовый образец.- базовый образец.

Р6 - базовый образец.


Раналог

Р1 баз

Кi


Раналог

Р2 баз

Кi


Раналог

Р3 баз

Кi


16,2

16,6

0,97

<1

16,2

16,6

0,97

<1

16,2

14

1,15

>1

2,7

2,7

1

=1

2,7

2,7

1

=1

2,7

3

0,9

<1

0,09

0,174

0,51

<1

0,09

0,1

0,9

<1

0,09

0,448

0,2

<1

5

5

1

=1

5

5

1

=1

5

26

0,19

<1

2

4

0,5

<1

2

4

0,5

<1

2

6,7

0,29

<1

0,9

1

=1

0,9

0,3

3

>1

0,9

0,9

1

=1

Раналог

Р4 баз

Кi


Раналог

Р5 баз

Кi


Раналог

Р6 баз

Кi


16,2

12,3

1,31

>1

16,2

16

1,01

>1

16,2

14,4

1,125

>1

2,7

2,6

1,03

>1

2,7

2,8

0,96

<1

2,7

2,4

1,125

>1

0,09

0,161

0,55

<1

0,09

0,122

0,73

<1

0,09

0,12

0,75

<1

5

4

1,25

>1

5

6

0,83

<1

5

3

1,66

>1

2

3

0,66

2

4

0,5

<1

2

4

0,5

<1

0,9

0,5

1,8

>1

0,9

0,3

3

>1

0,9

0,3

3

>1


Расчет средневзвешенных арифметических показателей качества

Показа-тели

Коэффициент весомости bi

Относительные показатели качества, Кi

biKi



Образец продукции

Образец продукции



1

2

3

4

5

6

1

2

3

4

5

6

Х1

0,21

0,97

0,97

1,15

1,31

1,01

1,13

0,2

0,2

0,24

0,27

0,21

0,24

Х2

0,17

1

1

0,9

1,03

0,96

1,13

0,17

0,17

0,15

0,17

0,16

0,19

Х3

0,13

0,51

0,2

0,55

0,73

0,75

0,06

0,11

0,03

0,07

0,09

0,1

Х4

0,19

1

1

0,19

1,25

0,83

1,66

0,19

0,19

0,04

0,23

0,16

0,32

Х5

0,16

0,5

0,5

0,29

0,66

0,5

0,5

0,08

0,08

0,05

0,1

0,08

0,08

Х6

0,13

1

3

1

1,8

3

3

0,13

0,39

0,13

0,23

0,39

0,39

Итого

0,83

1,14

0,64

1,07

1,09

1,32


Степень согласованности мнений экспертов характеризуется коэффициентом конкордацииW.

Коэффициент конкордацииW вычисляется по формуле:

W = 12 S / (n2 (m3 - m))

n=5, m=6

где S - сумма квадратов отклонений суммы рангов каждого объектов экспертизы от среднеарифметических рангов;

n - число экспертов;

m - число показателей качества.

Коэффициент конкордации может принимать значению от 0 до 1.

аср = Σаi/ m = 105/6 = 17,5

S = Σ (22-17,5)2 + (18-17,5)2 + (14-17,5)2 + (20-17,5)2 + (17-17,5)2 + (14-17,5)2 = 20,25 + 0,25+ +12,25 + 6,25 + 0,25 + 12,25 = 51,5= 51,5= 12 *51,5 / (52 (63 - 6)) = 618 / 25 (216 - 6) = 0,118

Существенность значения коэффициента конкордации устанавливается с помощью критерия Пирсона , который определяется по формуле

 

Рассчитанный критерий Пирсона сравнивается с табличным, который выбирается при уровне значимости p = 0,05 и числе степеней свободы f = m-1 = 5 из распределения Пирсона.

 

 

2,94 < 11,0705 - согласованность между экспертами недостаточная.

После опроса экспертов можно сделать вывод, что наиболее важным показателем качества фотоаппарата является число пикселов матрицы; а наименее важным - вес и разрешение видеосъёмки. Значения коэффициента конкордации устанавливается с помощью критерия Пирсона =2,94, сравнив его с табличным, получили, что согласованность между экспертами недостаточная.

фотоаппарат экспертный конкордация пирсон

Похожие работы на - Дифференциальный метод оценки уровня качества продукции

 

Не нашли материал для своей работы?
Поможем написать уникальную работу
Без плагиата!
Без нейросетей!