Энергоменеджмент на предприятии

  • Вид работы:
    Курсовая работа (т)
  • Предмет:
    Физика
  • Язык:
    Русский
    ,
    Формат файла:
    MS Word
    1,25 Мб
  • Опубликовано:
    2014-02-04
Вы можете узнать стоимость помощи в написании студенческой работы.
Помощь в написании работы, которую точно примут!

Энергоменеджмент на предприятии















Курсовая работа

Энергоменеджмент на предприятии

ВВЕДЕНИЕ

Проблемы энергосбережения являются одной из важнейших проблем всех стран, в том числе и России так как наши энергоресурсы используются крайне неэффективно.

Как показывает обширный и пока еще небольшой российский опыт - энергосбережение является высокоэффективным и относительно быстро реализуемым методом покрытия потребностей экономики в энергии. Поэтому энергосбережение является важнейшим направлением энергетической политики в новых экономических условиях.

Основой энергосбережения на предприятии является создание системы энергетического менеджмента - системы управления энергоресурсами.

Без энергоменеджмента невозможно говорить о системном снижении расходов на энергоресурсы и о внедрении каких-либо энергосберегающих технологий на предприятии, что говорит об актуальности темы курсовой работы.

Введение на предприятии системы энергетического менеджмента позволяет найти и соблюсти баланс оптимального потребления энергетических ресурсов при заданном графике производства.

Энергетический менеджмент - это постоянно действующая на предприятии система управления энергопотреблением, позволяющая прогнозировать и контролировать процессы выработки, транспортировки и использования необходимого количества энергоресурсов для обеспечения хозяйственной деятельности предприятия.

Энергоменеджмент представляет собой управленческий процесс, предполагающий цикличность, последовательное выполнение, координацию планирования и создания на предприятии адекватных структур управления и механизмов стимулирования и контроля над рациональным расходованием топливно-энергетических ресурсов.

Цель курсовой работы - рассмотреть все аспекты энергоменеджмента предприятия.

Для достижения цели курсовой работы были поставлены следующие задачи:

определить понятие энергоменеджмента;

рассмотреть организацию системы энергоменеджмента на предприятии;

рассмотреть принципы планирования энергосбережения;

рассмотреть экологические аспекты энергосбережения

Объект исследования - энергоменеджмент предприятия.

. ПОНЯТИЕ ЭНЕРГЕТИЧЕСКОГО МЕНЕДЖМЕНТА

Понятие энергетического менеджмента появилось сравнительно недавно в отечественной литературе. Энергоменеджмент, по сути, представляет собой грамотное, гибкое, непрерывное и научно обоснованное управление энергетическими ресурсами производства, начиная с уровня цеха и заканчивая предприятием, концерном, отраслью.

Энергетический менеджмент включает в себя организацию оптимального функционирования и развития энергетической части любого производства на основе достижений науки, техники, технологии. В свою очередь, это и систематическое проведение энергоаудита (обследования) основного и вспомогательного производства <#"706428.files/image001.gif">

Кроме того, ему необходимо:

отслеживать решения местных властей, касающиеся данного производства, экологии, потребления энергии, и т.д.;

знать компании-производители энергетических услуг и оборудования;

знать технологию производства, торговые и сбытовые организации;

хорошо понимать концепцию энергетического менеджмента и энергетической эффективности;

обладать экономическими знаниями, знать принципы формирования бюджета предприятия и методы разработки бизнес-планов в области энергетической эффективности.

Энергетический менеджер обязан следить за изменениями в области энергетической политики и сопутствующих аспектах, например, нового законодательства по налогообложению, субсидий, технологического присоединения, защиты окружающей среды и т.д.

Составление карты потребления энергии на предприятии

На этапе внедрения энергетического менеджмента на предприятии составление подробной карты потребления энергии для всего предприятия, иногда именуемой энергетическим балансом предприятия, возможно, вызовет затруднение. В этом случае можно сосредоточиться на предварительном подсчете потребления энергии наиболее важными установками и системами. Все виды энергии (электроэнергия, газ, мазут и т.д.) должны быть учтены, так же как потребление воды. По возможности при составлении карты потребления энергии энергетическому менеджеру должна быть оказана помощь со стороны энергетического аудитора. В дальнейшем степень детализации и точности может быть повышена.

Показания основных счетчиков и других приборов и систем учета и контроля необходимо снимать ежедневно или не реже одного раза в неделю для получения данных по общему потреблению газа, электроэнергии, воды и т.д. При наличии дополнительных счетчиков необходимо проверить, установлены ли они в требуемых местах. Снятие показаний дополнительных счетчиков производится ежедневно, еженедельно или ежемесячно в зависимости от уровня потребления энергии.

Необходимо проводить сбор данных по объему производства и по использованию сырья. Если потребление энергии полностью зависит от определенных параметров, например, от качества исходных материалов или температуры воздуха, то эти параметры должны быть приняты во внимание или даже изменены - там, где это возможно.

На более поздних этапах будет необходима установка дополнительных счетчиков и контрольно-измерительной аппаратуры.

Анализ данных

На данном этапе энергетический менеджер производит расчет ключевых данных (в том числе удельное потребление энергии на единицу произведенной продукции) по предприятию в целом и для отдельных особо энергоемких установок и систем. Эти данные могут быть использованы для сравнительного анализа с целью изучения воздействия мер по энергосбережению на вышеупомянутые параметры и объем производства (часто удельное потребление энергии резко возрастает присокращении производства). Можно также произвести сравнительный анализ данных с аналогичными данными других предприятий для оценки общей эффективности производства.

Энергетический менеджер может пользоваться расчетными данными в качестве «индикатора» для быстрого реагирования в случае внезапного роста уровня потребления энергии. Для этого целесообразно разработать математическую модель потребления энергии, учитывающую объем производства и другие важные параметры. Используя данную модель, можно довольно просто произвести сравнение расчетного и действительного уровня потребления энергии.

менеджер энергия экологический система

3. ПЛАНИРОВАНИЕ ЭНЕРГОСБЕРЕЖЕНИЯ

Крупные проекты по рациональному использованию энергии должны быть проанализированы с учетом приоритетности выполнения мероприятий и составлен план деятельности на год [2]. Очень важно, чтобы мероприятия по энергетическому менеджменту не стали однократной кампанией.

После проведения первоначального энергоаудита и построения карты потребления энергии должны быть проконтролированы основные показатели потребления энергии, и на основе их анализа будут запланированы первоочередные меры по повышению энергоэффективности. После внедрения первоочередных мер расходы энергии вновь измеряются, анализируются, планируются и внедряются следующие мероприятия, и так далее - этот процесс довольно длителен.

Задача энергетического менеджера организовать дело так, чтобы указанный цикл повторялся снова и снова. Только в этом случае изменение условий работы предприятия, внедрение новых технологий, запуск в производство новых видов продукции не будут выводить предприятие из энергетически эффективного режима.

Метод целевого энергетического мониторинга

В качестве основы системы энергоменеджмента можно применить положительно зарекомендовавший себя во всем мире метод целевого энергетического мониторинга (ЦЭМ).

Метод целевого энергетического мониторинга разработан и широко применяется на крупных промышленных предприятиях Западной Европы и США в качестве одной из частей общей структуры управления предприятием. По оценкам Британского агентства по энергоэффективности, внедрение ЦЭМ снижает текущие затраты на энергоресурсы в денежном выражении на 10-20% без дополнительных расходов на модернизацию технологии. Чаще всего внедрение ЦЭМ рекомендуется в качестве первоочередного мероприятия в комплексной программе по повышению энергоэффективности.

Метод ЦЭМ требует четкой организационной структуры, ответственной за его функционирование.

Ядром такой структуры выступает чаще всего отдел энергетического менеджмента, а периферийными звеньями - центры энергетического учета.

Общие принципы построения ЦЭМ таковы. Предприятие разбивается на отдельные центры энергетического учета (ЦЭУ). Примеры отдельных центров учета приведены ниже:

• крупные энергопотребители (печи, котлы, технологические линии и установки);

• подразделения предприятия (цехи, отделения, участки);

• отдельно стоящие здания;

• системы (отопления, вентиляции, кондиционирования; подготовки сжатого воздуха, освещения);

• предприятие в целом.

Деление предприятия на отдельные ЦЭУ может проводиться различными способами, однако от правильности организации этого этапа зависит общая эффективность работы ЦЭМ. Слишком большое количество ЦЭУ сделает систему ЦЭМ громоздкой и малооперативной, а чрезмерное укрупнение ЦЭУ приведет к большой погрешности в оценке параметров энергопотребления. Каждый из выделенных ЦЭУ является обособленным потребителем, основной характеристикой которого служит количество потребленного энергоресурса данного вида за учетный период. Эти сведения регулярно собираются со всех ЦЭУ в конце каждого учетного периода и поступают в отдел энергоменеджмента.

Однако данных по энергопотреблению еще недостаточно для проведения анализа энергоэффективности. В дополнение по каждому ЦЭУ собираются данные по факторам, влияющим на энергопотребление. Такими факторами могут быть:

) объем произведенной продукции или услуг в физическом выражении (для таких ЦЭУ, как производственные линии, цеха, отдельные предприятия);

) выход вторичного энергоресурса (для котельных, компрессорных, насосных);

) количество градусо-дней (для систем отопления, вентиляции, кондиционирования); градусо-дни

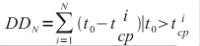
климатический параметр для оценки необходимого количества тепла для отопления. Обозначается DD (от англ. «Degree Days»). За любой период времени рассчитывается по формуле


где N - количество дней в периоде; ti ср - среднесуточная наружная температура i-го дня; t0 - базовая наружная температура (температура, выше которой отсутствует необходимость в отоплении). В суммировании участвуют только те дни, когда tiср<t0. Базовая температура зависит от климатических особенностей данного региона и от принятых строительных стандартов на изоляцию зданий.

Например, для Московского региона t0=8 оС. Для идеальной системы отопления количество потребленного тепла за любой период времени пропорционально DD;

) параметр наружной освещенности, «люксодни» (для систем освещения);

) параметр населенности, число человеко-часов присутствия людей в здании (для административнобытовых зданий, офисов и т.д.).

На рис. 2 показан пример функционирования и взаимодействия всех составляющих энергоменеджмента предприятия.


Тест состояния энергоменеджмента на предприятии

Для оценки текущего состояния управления энергопотреблением рекомендуются специальные бенчмарк-тесты (табл. 1, 2). С их помощью производится анализ, имеется ли у предприятия достаточный «задел» для быстрого и безболезненного внедрения эффективного энергетического менеджмента.




Необходимо отметить, что для большинства крупных российских предприятий результаты тестов состояния энергоменеджмента, как правило, невысоки.

. ЭКОЛОГИЧЕСКИЕ АСПЕКТЫ ЭНЕРГОСБЕРЕЖЕНИЯ

. Ограниченность невозобновляемых источников энергии, прежде всего запасов природного газа, нефти и даже угля, на использовании которых в основном строится сегодняшняя система энергообеспечения. В настоящее время потребление первичной энергии в мире составляет 10 млрд. тонн условного топлива. Несмотря на некоторое замедление, темпы прироста энергопотребления остаются достаточно высокими, и самые оптимистические прогнозы в части обеспеченности людей органическим топливом дают всего несколько десятков лет относительно «безбедного» энергообеспечения общества. Значит, энергосбережение сможет «растянуть» период адаптации мирового сообщества к новому режиму энергообеспечения, когда на смену скудеющим запасам органического топлива на передний план будут выходить другие источники энергии.

. Неопределенность перспектив развития ядерной энергетики. Широкое использование делящихся материалов для производство электрической и тепловой энергии на АЭС и АСТ может отодвинуть время наступления энергетического кризиса, связанного с исчерпанием запасов органического топлива, за пределы обозримого будущего: существующая база ядерной энергетики и запасы делящихся материалов, во всяком случае в России, таковы, что потребности АЭС на перспективу России и СНГ могут быть обеспечены с избытком. Подобный ход развития энергетики сдерживается последствиями Чернобыльской катастрофы (1986 г.) и стоящими в одном ряду с ней крупными авариями на ядерных объектах других стран, например, Виндскейл (Великобритания, 1957 г.) и Тримайл-Айленд (США, 1979 г.). Только по состоянию на начало 90-х годов на 400 АЭС в мире произошло порядка 30 более или менее крупных аварий. Вместе с многочисленными зафиксированными нештатными ситуациями в различных системах всех ныне существующих АЭС эти аварии и катастрофы образуют некоторый устойчивый феномен, с которым нельзя не считаться статистически. Априорная аварийность ядерных объектов - основной аргумент противников быстрого развития ядерной энергетики.

. Неопределенность перспектив развития нетрадиционных возобновляемых источников энергии (малая гидроэнергетика, геотермальная энергия, энергия биомассы, энергия ветра, солнечная энергия, низкопотенциальное тепло).

В табл. 3 представлен потенциал таких источников энергии, выраженный в млн. т. условного топлива. Как видно, экологически оправданным сегодня является использование нетрадиционных источников с потенциалом в 271,4 млн. т. у.т, то есть »2,7% от сегодняшнего потребления первичной энергии. Правда, потенциал технически реализуемых 9882,6 млн. т. у.т. практически равен современному мировому энергопотреблению - »10 млрд. т. у.т. Это означает, что нетрадиционные источники, в принципе, «если уж сильно прижмет»,могут с избытком заместить весь объем используемого органического топлива. Но для того, чтобы это замещение действительно началось, необходимы значительные побудительные силы.

Таблица 3 - Потенциал нетрадиционных возобновляемых источников энергии, млн. т. условного топлива

Ресурсы

Валовой потенциал

Технический потенциал

Экологический потенциал

Малая гидроэнергетика

360,4

124,6

65,2

Геотермальная энергия

40×106

2950

115

Энергия биомассы

10×103

53

35

Энергия ветра

26,5×103

4400

22

Солнечная энергия

6,0×106

2240

4,24

Низкопотенциальное тепло

525

115

30

Итого

46×106

9882,6

271,4


Нетрадиционные источники не так уж безобидны экологически. Так, ветровые электрические станции (ВЭС) являются помехой для воздушного сообщения, для распространения радиоволн, нарушают пути миграции птиц, ведут к климатическим изменениям вследствие нарушения естественной циркуляции воздушных потоков. Возбуждаемые ВЭС низкочастотные звуковые колебания (инфразвуки) опасны для человека. Эксплуатация геотермальных источников сопряжена с просадкой грунта и риском стимулирования землетрясений, с интенсивным загрязнением водных объектов, с выбросом вредных газов. Значительные экологические издержки характерны и для других нетрадиционных источников энергии. И в целом очевидно, что вместе с использованием новых видов энергии возникают и новые виды экологических последствий, которые могут привести к изменениям природных условий в глобальных масштабах и которые в полной мере сегодня трудно представить.

. Одним из обстоятельств, предопределяющих необходимость энергосбережения, является то, что энергетика - один из главных загрязнителей биосферы. Так, в СНГ на долю энергетики, прежде всего ТЭС, приходится 30 % всех загрязнений атмосферы, в США - 20 %; суммарная доля загрязнения атмосферы, приходящаяся на энергетику и автотранспорт, и для СНГ, и для США составляет 70 %.

Объекты энергетики загрязняют атмосферу, землю и воду вредными выбросами дымовых газов и сточными водами электростанций, сбросами большого количества теплоты, расходуя значительное количество водных и земельных ресурсов, подвергая биосферу вредному воздействию радиации, связанной с эксплуатацией атомных электростанций, электромагнитных полей линий электропередачи.

Основные объекты воздействия на окружающую среду - электростанции. Они различаются потреблением первичных энергоресурсов, от характеристик которых существенно зависят условия и форма воздействия станций на окружающую среду.

Принципиально различны в экологическом отношении такие виды первичных источников энергии, как органическое топливо, ядерное топливо, гидроэнергия, солнечная энергия, энергия ветра, приливов, волн, геотермальная энергия. В этих условиях взаимозаменяемость электростанций обеспечивает возможность маневрирования их составом и размещением в целях снижения отрицательного воздействия энергетики на окружающую среду с учетом состояния природы и экологических характеристик электростанций.

Хорошо отлаженная в организационно-правовом отношении политика энергосбережения приводит к уменьшению энергетических ресурсов, потребляемых станциями, и к соответствующему уменьшению отрицательного воздействия энергетической отрасли на биосферу.

Экологически вредным фактором, напрямую связанным с объемом энергопотребления предприятия, отрасли, народного хозяйства в целом, является тепловое загрязнение. Другие экологически вредные факторы связаны с уровнем энергопотребления опосредованно. Так, уровень загрязнения атмосферы летучей золой ТЭС предопределяется не только мощностью последней, но и технологией сжигания топлива, качеством устройств пылеулавливания и рассеивания выбросов. В части фактора теплового загрязнения с большей степенью достоверности можно считать, что объемы потребления энергопотребителем топлива, горячей воды, пара одновременно являются и объемами теплового загрязнения прилегающего района. Динамика теплового загрязнения в мире от энергетических производств представлена в табл. 4

Температура, пожалуй, важнейший из абиотических факторов, влияющих на процессы в мире микроорганизмов, на выживание животных и организмов. Последнее сегодня особенно актуально для водной фауны и флоры, поскольку по сложившейся технологии сброса избыточного тепла значительная его часть отводится в водоемы, что при относительно малом объеме поверхностных вод (средний расход планетарного поверхностного стока составляет » 1,24×103 км3/с) приводит к их значительному подогреву.

Таблица 4 - Динамика теплового загрязнения в мире от энергетических производств

Показатель

1972г.

1986г.

2000г.

Мощность потока теплового загрязнения, млн. МВт

6,0

9,6

32,0

Отвод тепла в окружающую среду, млн. Гкал

45200

72300

241000


Для каждого вида существует свой интервал температур, благоприятный для обитания (диапазон толерантности по фактору температуры). Для любого конкретного вида диапазон переносимых температур относительно узок, в некоторых случаях крайне узок - до нескольких градусов по Цельсию. У теплокровных животных развит набор механизмов для поддержания тела в требуемых температурных пределах, в том числе механизм поведенческого регулирования температуры: например, рыба-нетеплокровное, перемещаясь, находит место с оптимальной для нее температурой. Организмы же, не способные перемещаться (укорененные растения, взрослые устрицы), находятся в полной зависимости от температуры окружающей среды, и таких организмов много, если не большинство. Но даже рыбы могут стать жертвой теплового загрязнения: привыкнув к подогретой воде, они оказываются беззащитными перед водой с естественной температурой, например, зимой, когда ТЭС по каким - либо причинам временно прекращает тепловые сбросы в реку (ремонт и т.д.).

Однако менее очевидные эффекты могут иметь более серьезные последствия. Например, влияние температуры на репродуктивную функцию организмов. Так, форели необходимы низкие температуры воды летом для формирования нормальных, жизнеспособных икринок. Взрослые особи способны выжить в теплой воде, но они не смогут размножаться. Другой пример: повышение температуры может вызвать появление насекомых из яиц раньше, чем в обычных, без нагрева воды, условиях. Затем они погибают, так как в это время пища для них «еще не готова». В перспективе такие и подобные эффекты могут стать более губительными для популяции, чем непосредственная гибель от перегрева воды. Температура может оказывать воздействие на структуру всего водного сообщества. Например, изменение температуры может изменить конкурентные позиции различных видов. В целом повышение температуры ведет к упрощению водных сообществ, то есть число различных видов уменьшается, хотя количество представителей отдельных видов может быть велико. В исследованиях показано, что при 31°С число видов уменьшалось вдвое, чем при 26°С, при повышении температуры до 34°С исчезли еще 24 % видов. По-видимому, такие экосистемы гораздо менее устойчивы, чем исходная, более сложная экосистема.

Проблема теплового загрязнения имеет два измерения: глобальное (планетарное) и локальное. Можно допустить, что в глобальном масштабе это загрязнение (уровень 2000 г.) пока не велико и составляет лишь 0,019 % от поступающей на Землю солнечной радиации (»1,68×105 млн. МВт), то есть ситуация находится в рамках правила одного процента. Правда, для глобальных систем, таких, как биосфера, их энергетика, по-видимому, не может превзойти уровень примерно 0,2 % от поступающей солнечной радиации (уровень энергетики фотосинтеза) без катастрофических последствий. Но ожидаемая в 2000 г. антропогенная энергетика (32 млн. МВт) пока еще меньше энергетики фотосинтеза (» 100 млн. МВт), хотя по порядку величины фактически достигла данного принципиального порога.

Гораздо более впечатляющи локальные очаги теплового загрязнения в промышленных районах. Так, плотность потока антропогенного тепла от Земли на территории ФРГ в среднем составляет 1,6 Вт/м2 (в 1973г. 33% этого тепла приходилось на коммунальную сферу, 25% - на электрические станции, 29% - на промышленность, 13% - на транспорт), в Вестфалии - 4,5 Вт/м2, в Руре - 17 Вт/м2, в Берлине - 22 Вт/м2. В центре Манхеттена - 630 Вт/м2, в зоне бумажной фабрики - 2000 Вт/м2, на угольной ТЭС 1000МВт - 24000 Вт/м2, Заметим, что максимальная плотность потока солнечной радиации вблизи поверхности Земли составляет »935 Вт/м2. Значит, тепловое загрязнение по ФРГ составляет в среднем 0,17 % от падающей на Землю радиации, а на отдельных территориях (в Руре, например) достигает 2 %. На основании этих данных легко представить, какого уровня достигнет тепловое загрязнение Земли, если все страны будут продвигаться к уровню энергопотребления, достигнутому в ФРГ. Тем более, что существуют мнения, что пороговой величиной для антропогенной энергетики является величина 0,1 % от падающей на Землю солнечной радиации.

В большинстве промышленных стран установлены пределы теплового загрязнения. Они относятся, как правило, к режимам водоемов, так как по сложившейся технологии отвода «тепловых отходов» водоемы (реки, озера, моря) принимают основную часть сбросного тепла и наиболее страдают от теплового загрязнения.

В Европе принято, что вода водоема не должна подогреваться больше чем на 3°С по сравнению с естественной температурой водоема. В США нагрев воды в реках не должен превышать +3°С, а в озерах - +1,3°С, в прибрежных водах морей и океанов 0,8°С летом и 2°С в остальное время. В России, согласно «Правилам охраны поверхностных вод от загрязнения сточными водами», действующим с 1975 г., температура воды в водоемах хозяйственно-питьевого и культурно-бытового назначения не должна повышаться более чем на 3°С по сравнению со среднемесячной температурой самого жаркого месяца за последние 10 лет.

В настоящее время около 30 % энергопотребления приходится на электроэнергетику, 35 % - на отопление и горячее водоснабжение, 30 % - на технологическое потребление тепла. Согласно статистике, из всех тепловых сбросов 18 % приходятся на отходы использования тепла, 22 % - на отопление и горячее водоснабжение и 42 % - на теплоконденсацию на ТЭС. Первый и третий виды сбросов, как правило, отводят непосредственно в атмосферу, второй и четвертый - через системы водяного охлаждения. Заметим, что внедрение установки Геллера позволяет отвести значительную часть потока теплового загрязнения от водоемов и направить ее в атмосферу. Хотя общий поток теплового загрязнения биосферы при этом остается неизменным, но тепловая нагрузка на водоемы ощутимо уменьшается, и облегчается участь водных сообществ (экосистем). И участь весьма не легкая. Так, в Нарвском водохранилище при сбросе подогретых на 8-10°С вод тепловое загрязнение охватывает зону радиусом 10 км. В реках тепловое загрязнение, связанное с повышением температуры на 8-10°С, сохраняется неизменным примерно на расстоянии 2 км вниз по течению, затем температура начинает снижаться.

Если говорить о масштабах теплового загрязнения атмосферы, то показательны такие виды оценки: от промышленного центра с населением 2 млн. человек, с электростанциями суммарной мощностью 4600 МВт и нефтехимическими заводами шлейф тепловых загрязнений распространяется на 80-120 км при ширине зоны загрязнения 50 км и высоте около 1 км.

Борьба с тепловым загрязнением, с инженерной точки зрения, идентична работе по энергосбережению. Чем на более высоком уровне находится энергосберегающая политика и работа, тем более интенсивно ведется борьба с тепловым загрязнением. Положим, если бы удалось благодаря внедрению источников освещения с высокой светоотдачей и систем автоматического отключения источников света уменьшить энергопотребление на нужды освещения в 2 раза, то соответственно примерно в 2 раза уменьшилось бы и тепловое загрязнение, связанное с данным сектором энергопотребления. И так обстоит дело в любом секторе энергопотребления: в системе отопления жилых и производственных помещений, в сфере транспорта, в промышленных отраслях.

В проблеме теплового загрязнения присутствует и, по-видимому, будет присутствовать такой аспект: всегда стремиться найти полезное применение «тепловым отходам», а не просто сбрасывать тепло. Ниже приведены некоторые достаточно привлекательные способы утилизации тепловых отходов электростанций:

. Орошение сельскохозяйственных земель (правда, это ведет к возрастанию безвозвратных потерь воды).

. Использование в тепличном хозяйстве.

. Поддержание северных морских гаваней в свободном ото льда состоянии.

. Перегонка мазута и других тяжелых нефтепродуктов.

. Аквакультура разведения рыб для вылова, выращивание теплолюбивых видов в северных районах.

. Получение дополнительной электроэнергии, например, с помощью термоэлементов.

. Защита животных в природе путем устройства подогреваемых зимой прудов для водоплавающей птицы.

. Ликвидация туманов и очистка посадочных и рулевых дорожек при обеспечении безопасности в аэропортах.

. Защита окружающей среды от виброакустических загрязнений.

. Источники виброакустических воздействий.

ЗАКЛЮЧЕНИЕ

Энергоменеджмент становится неотъемлемой частью системы модернизации предприятия.

Под энергоменеджментом понимается совокупность знаний, средств и форм для эффективного снижения затрат на используемые энергетические ресурсы. Зачастую предприятия даже не в курсе, сколько они на самом деле расходуют энергии. Проведение энергосберегающих мероприятий, установка новейшего оборудования это лишь небольшая часть работы по осуществлению энергосберегающих мероприятий. Помимо этих основных мероприятий должно осуществляться последующее эффективное управление.

Энергия требует такого же менеджмента, как и любой другой ресурс. Понимание этого приведет к дальнейшему повышению энергоэффективности и снижению затрат на энергию. Развитие энергоменеджмента на сегодняшний день - первоочередная задача не только отдельных стран, но и международного сообщества в целом.

Все понимают, что необходимо развитие стандартизации в этой сфере. Одними из первых, кто обеспечил свои организации сводом правил по внедрению системы энергоменеджмента, стали Датчане. Подобные стандарты разработаны также в Швеции, Австралии, Ирландии, Новой Зеландии и других странах. На данный момент существует Европейский стандарт по энергоменеджменту, имеющий национальный статус в семнадцати странах Европы.

В энергоменеджменте, как и в любых других системах, топ-менеджмент имеет большое значение. Именно эти люди берут на себя обязательства по выполнению положений существующих стандартов и требований законодательства. Для успешной реализации идей энергоменеджмента, высшее руководство должно определиться с основными положениями энергополитики на предприятии, определить критерии и методы, для эффективной работы процессов по энергосбережению. Кроме того они должны выделять необходимые ресурсы для осуществления энергоменеджмента и проводить своевременный анализ всей системы в целом.

Энергополитика является одним из важнейших элементов во всей структуре энергоменеджмента, она отражает общие цели и перспективные направления деятельности предприятия относительно энергосбережения. Основные положения энергополитики должны быть задокументированы и одобрены руководством.

Еще один важный элемент энергоменеджмента - его цели. Они не могут идти в разрез с энергополитикой предприятия.

Необходимо понимать, что энергоменеджмент в уже недалеком будущем позволит вывести предприятие на более высокий энергоэффективный уровень, повысить производительность, уменьшив при этом объем потребляемых ресурсов.

Успешное введение энергетического менеджмента в большой степени зависит от отношения к нему руководства предприятия. Ощутимые результаты могут быть получены только в том случае, если руководство проявляет инициативу. Необходимо планомерно налаживать систему управления энергопотреблением во всех ее аспектах: техническом оснащении предприятий, создании структуры и процедуры энергоменеджмента, обучении персонала.

Сегодня абсолютно оправдан тезис о взаимозависимости энергоэффективности и надежности работы предприятия. В современных условиях, когда экономика глобализуется, границы рынков стираются, а индустрия так зависима от энергетических ресурсов и конъюнктуры рынков энергии, конкуренция все заметнее перемещается на поле энергоэффективности продукции и услуг, а долгосрочное преимущество получают именно те, кто сумел создать эффективную систему энергоменеджмента. Общепризнано, что энергетический менеджмент - важнейший элемент политики качества.

Энергетический менеджмент целесообразно рассматривать как совокупность управленческих методов повышения энергоэффективности, в отличие от инженерных, технических, технологических и прочих. Выделяя управленческие (организационные, административные) способы влияния на энергетическую эффективность, следует понимать определенную условность такого деления. Очевидно, что лишь совокупность различных мер - как управленческих, так и следующих за ними технических, - индивидуально подобранная для каждого конкретного случая, даст оптимальный результат. Сами по себе инженерные решения и технические инновации также приведут к более эффективному использованию энергетических ресурсов на предприятии, однако, именно их подчинение выстроенной на предприятии управленческой системе сделает устойчивым как процесс повышения энергоэффективности, так и в целом функционирование компании.

Литература

1. Practiсal tips for energy saving in the rubber processing industry. - Good Practice Guide No 262, Energy Efficiency Best Practice Program, ETSU, Great Britain - Crown copyright 1999.

2. Энергосбережение выходит на первый план // РДИЭ-новости. Информационный бюллетень. - 1999.- No 1.

. Журнал: «Энергоменеджмент и энергосбережение» №6, 2009г.

. Ганжа, В.Л. Основы эффективного использования энергоресурсов: теория и практика энергосбережения/ В.Л. Ганжа. - Минск: Белорус. наука, 2007. - 451

. Андрижиевский, А.А. Энергосбережение и энергетический менеджмент: учеб. пособие / А.А. Андрижиевский, В.И. Володин. - Мн.: Выш. шк., 2005. - 294 с.

. Похабов, В.И. Энергетический менеджмент на промышленных предприятиях/ Похабов В.И., Клевзович В.И., Ворфоломеев В.В. - Мн.: УП «Технопринт», 2002. - 176 с.

Похожие работы на - Энергоменеджмент на предприятии

 

Не нашли материал для своей работы?
Поможем написать уникальную работу
Без плагиата!
Без нейросетей!