Розрахунок нагрівання та структурних перетворень під час зварювання
Вступ
температурний
електродуговий зварювання ізотерма
Ця курсова робота є заключним етапом
вивчення дисципліни "Теорія зварювальних процесів" і виконується
студентами, що навчаються за бакалаврською програмою "Зварювання".
Вона передбачає застосування знань теоретичних основ курсу для практичного
аналізу конкретних умов зварювання чи наплавлення з метою оптимізації їхніх
режимів.
У зв'язки з тим, що всі методи і
види дугового зварювання чи наплавлення й інші термічні та термомеханічні
процеси пов'язані з місцевим нагріванням та подальшим охолодженням деталей,
технологічна міцність та експлуатаційні властивості зварних з'єднань і
наплавлених шарів вирішальною мірою визначаються тепловими процесами, що
відбуваються при цьому.
1. Мета роботи
Освоїти методику розрахунку та
побудови температурних полів, які виникають під час електродугового зварювання
та наплавлення деталей.
Дослідити вплив режиму зварювання,
зокрема його погонної енергії, на характер ізохрони, ізотерм, термічних циклів
та швидкість охолодження металу зварного з'єднання.
Проаналізувати вплив параметрів
температурного поля на розміри та мікроструктуру зони термічного впливу (ЗТВ)
під час зварювання чи наплавлення деталей із конкретної марки сталі.
Дослідити вплив хімічного складу
сталі та параметрів режиму зварювального процесу на схильність зварних з'єднань
чи наплавлених деталей до утворення гарячих і холодних тріщин.
2.Короткі теоретичні відомості
Процеси поширення теплоти під час
зварювання та наплавлення реальних виробів досить складні, а їхні розрахунки
надзвичайно трудомісткі. Тому для розрахунку температурних полів, як правило,
застосовують спрощені методи з використанням ідеалізованих теоретичних схем.
Схематизації підлягають як зварні чи наплавлені тіла, так і джерела нагрівання.
Всю різноманітність тіл, які
зварюються чи наплавляються, переважно зводять до таких основних схем:
нескінченні та напівнескінченні тіла, плаский шар, нескінченні та
напівнескінченні тонкі пластини, нескінченні та напівнескінченні стрижні.
Джерела нагрівання схематизують так:
за характером розподіленості в об'ємі ―
зосереджені (точкові, лінійні, плоскі) та розподілені за певним законом
введення теплоти у тіло; за часом дії ―
миттєві та безперервно діючі; за характером руху відносно заданої точки ―
нерухомі, рухомі і такі, що швидко рухаються.
Розрахункова схема передбачає
одночасний вибір і джерела нагрівання, і тіла, яке воно нагріває. Правильний її
вибір максимально наближує розрахунок до реальних умов. У курсовій роботі
використовуються такі основні розрахункові схеми: рухоме точкове джерело, що
діє на поверхні пів нескінченного тіла (РТД); рухоме джерело у нескінченній
пластині (РЛД); потужне точкове джерело, що швидко рухається на поверхні пів
нескінченного тіла (ПТШД); потужне лінійне джерело, що швидко рухається в
пластині (ПЛТТІД).
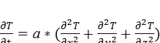
Для кожної з наведених схем
розрахунку температурних полів існують певні формули, одержані шляхом
розв'язання диференційного рівняння теплопровідності, яке у загальному випадку
об'ємного поля за відсутності теплообміну з навколишнім середовищем має такий
вигляд:

Це рівняння пов’язує
швидкість зміни температури з характером її розподілення в тілі.
Температурні поля зручно
досліджувати графічним способом за допомогою ізотерм, ізохрони, термічних
циклів.
З.Основні
завдання курсової роботи
Розрахувати та побудувати
розподіли температур у напрямку осі шва чи наплавленого валика для різних
віддалей від неї.
Побудувати ізотерми 500 К,
800 К, 1100 К, 1600К у площині переміщення зварювального джерела.
Розрахувати термічний цикл
точок тіла, що нагрівались до температур, близьких до плавлення сталі (1600 ―
1650К).
Визначити лінійні розміри ЗТВ
та проаналізувати структурні перетворення в ній.
Визначити кінцеву мікроструктуру
в ділянці, що нагрівалась до температур 1600―1650 К.
Оцінити стійкість з'єднання
до утворення гарячих та холодних тріщин за заданих режимів зварювання та
запропонувати шляхи її підвищення.
Таблиця 1. Завдання до
курсовох роботи
4. Методика
виконання курсової роботи
Спочатку, виходячи із
завдання роботи, вибирають розрахункову схему та відповідне її рівняння
граничного стану для визначення температурного поля.
Після ретельного аналізу
вибраної розрахункової формули розраховують температурне поле.
Вибір розрахункової формули
Для даного завдання вибираємо таку
розрахункову схему: рахунок температур при дії потужного точкового джерела, що
швидко рухається на поверхні напівнескінченного тіла з адіабатичною границею
(ПТШД).
Цю схему використовують у випадку
автоматичного наплавлення масивних деталей.
Рівняння граничного стану поширення
теплоти, віднесене до рухомої системи координат, має вигляд:

де 
- час з моменту перетинання джерелом
нагрівання площини 
у якій знаходиться задана точка;

- зростання температури точки
твердого тіла, град;

- ефективна теплова потужність,
Вт;

- ефективний ККД нагріву деталі зварювальною
дугою;

- коефіцієнт
температуропровідності, м2/с;

- швидкість зварювання, м/с;

- коефіцієнт теплопровідності,
Вт/(м*град);

- коефіцієнт тепловіддачі,
Вт/(м2*град);

- погонна енергія, Вт*с/м.
Після ретельного аналізу
вибраної розрахункової формули розраховують температурне поле в послідовності,
наведеній нижче.
5.Розрахунок
розподілу температур у напрямку осі Х
При дії потужних джерел, що
швидко рухаються (ПТШД, ПЛШД), для розрахунку температур у напрямку осі Х у
формули (3, 4), в яких відсутня координата Х, потрібно ввести одразу заміну:
= -x/V
За допомогою програми MathCad
проводимо розрахунки для двох режимів. Вводимо всі необхідні дані та значення
теплофізичних величин для середньовуглецевої сталі наведені в таблиці 2.
Таблиця 2. Усереднені для 850
К значення теплофізичних величин деяких сталей
|
Матеріал
|
λ
|
Сγ
|
а
|
α
|
|
Вт/(м·град)
|
Вт/(м3·град)
|
м2/с
|
Вт/(м2·град)
|
|
Низьковуглецева сталь
|
40
|
49·105
|
81·10-3
|
30
|
|
Середньовуглецева сталь
|
35
|
50·105
|
70·10-3
|
27
|
|
Низьколегована сталь
|
52·105
|
62·10-3
|
25
|
Розрахунок розподілу температур у
напрямку осі X для режиму зварювання №1:
Погонна енергія 

.
Розрахунок розподілу
температур у напрямку осі X для режиму зварювання №2:
Погонна енергія 

.
Відповідні графіки розподілу
температур у напрямку осі Х для двох режимів зварювання зображені на рис.1 та
рис.2.
Аналізуючи отримані графіки
розподілу температур вздовж осі Х можна зробити висновок, що погонна енергія
впливає на розподіл ізохрони температурного поля. Це дуже добре видно на
графіках, у другому випадку погонна енергія більша і ізохрони ширше
розповсюдженні, ніж у першому випадку, де погонна енергія є меншою. При цьому
криві ізохрони скупчені між собою.
6.Побудова
ізотерм у площині XOY
Одержати ізотерми можна
розрахунковим способом. Для цього, користуючись відповідними формулами,
необхідними на площині XOY знайти координати X і Y точок, що мають однакову
температуру (температуру ізотерми ).
Значно простіше ізотерми
одержують графічною перебудовою кривих розподілу температур вздовж осі X. При
цьому необхідно, щоб для кожної ізотерми кількість точок була не меншою за 8 -
10. Якщо ж їх одержується менше, то треба доповнити розрахункові дані з
розподілу температур вздовж осі X додатковими за інших значень Y.
Криві ізотерми для двох
режимів зварювання зображені відповідно на рис. З і рис,4.
Аналізуючи ці криві, можна
відмітити, що ізотерми для першого режиму зварювання більше витягнуті відносно
осі X, ніж ізотерми для другого режиму зварювання, тобто кількість теплоти, що
виділяється при першому режимі зварювання інтенсивніше, більше розповсюджується
від джерела нагрівання, ніж при другому режимі.
Пропорційне збільшення
потужності зварювальних дуг та швидкості зварювання змінює температурне поле
так, що ізотерми видовжуються в напрямку переміщення джерела, в той час як
ширина їх збільшується менш помітно.
При великих швидкостях
зварювання ізотерми ще більше наближаються до прямих, паралельних до осі ОХ. Це
приводить до того, що теплота в основному розповсюджується в напрямку,
перпендикулярному до осі шва.
.Побудова
термічних циклів
Термічний цикл заданої точки, тобто
зміну її температури в часі, розраховують відносно просто у випадку потужних
джерел, що швидко рухаються. Для рухомих джерел у розрахункових формулах час
відсутній, тому у цьому випадку його задають через координату X.

У цій курсовій роботі
необхідно одержати термічний цикл точок тіла, що нагрівались до максимальної
температури 1600 - 1650°С. З цією метою спочатку потрібно знайти координату У,
що нагрівалась до цієї температури.
Криві залежності температури
від часу зображені на рис.5 і рис.6.
Аналізуючи графіки, робимо
висновок, що температура плавлення для обох режимів досягається одночасно. А
щодо охолодження, то спад температури відбувається швидше при зварюванні на
першому режимі. Тому можна сказати, що швидкість охолодження буде більша при
першому режимі зварювання, що пов'язано з погонною енергією. Чим більша погонна
енергія, тим менша швидкість охолодження. Що нам і показують дані графіки,
оскільки погонна енергія при першому режимі становить 
Вт*с/м, а при другому ̶ 
Вт*с/м.
8.Визначення
лінійних розмірів ЗТВ
Для визначення лінійних
розмірів ЗТВ потрібно знати розподіл максимальних температур на площині XOY.
Знайти їх математично-аналітичним способом досить важко. Це завдання значно
спрощується за наявності необхідної кількості ізохрон у напрямку осі X. У цьому
випадку криву розподілу максимальних температур на площині XOY можна одержати
шляхом графічного перенесення максимальних значень температур ізохрони на
площину XOY. Отже, необхідно одержати криву в інтервалі температур АСі-Тпл.
Для визначення лінійних
розмірів ЗТВ для першого режиму користуємося рис.1. ЗТВ знаходиться в інтервалі
температур від 730°С до температур близьких до плавлення, а саме 1400°С. На
графіку ця зона обмежена кривими у5=0.0043 і у9=0.0053. Переносимо ці значення
на площину XOY і визначаємо дійсні значення у5=4,3 мм, та у9=5,3 мм.
Величина зони термічного
впливу визначається: у9-у5=5,3-4,3=1 мм.
Отже, для першого режиму
зварювання величина ЗТВ складає 1 мм.
Аналогічно знаходимо лінійні
розміри ЗТВ для другого режиму зварювання, за допомогою рис.2. В інтервалі
температур 730°С - 1400°С ця зона обмежена кривими уз=0.0069 і у8=0.0091, тобто
у3=6,9 мм і у8=9,1 мм.
Отже, величина ЗТВ для
другого режиму складає: у8-у3=9,1-6,9=2,2мм.
Аналізуючи отримані
результати можна зробити висновок, що розмір ЗТВ при першому режимі зварювання
менший, ніж розмір ЗТВ при другому режимі зварювання.
Для визначення кінцевої
структури точки, котра нагрілась до 1650°С, а також ̶
структури в різних ділянках ЗТВ, що нагрілись в інтервалі температур АС1-Тпл,
необхідно використати розрахований термічний цикл точки і зіставити його з
діаграмою анізотермічного розпаду аустеніту заданої сталі. Також можна
скористатись структурною діаграмою, котра пов'язує кінцеву структуру із
швидкістю охолодження. Визначити миттєву швидкість охолодження за певної
температури можна шляхом графічного диференціювання відповідної ділянки
термічного циклу.
9.Визначення
швидкості охолодження
Для даного завдання швидкість
охолодження обраховують за формулою:
де 
̶
температура до зварювання; 
Знаходимо швидкість охолодження для
першого режиму:
Для другого режиму зварювання:
10.Визначення кінцевих структур
За допомогою визначених швидкостей
охолодження та структурної діаграми зображено на рис.7 визначаємо кінцеву
структуру для двох режимів зварювання:
Рис.7. Структурна діаграма для сталі
40Х
При першому режимі зварювання
кінцева структура сталі буде містити 100% мартенситу.
При другому режимі зварювання
кінцева структура сталі буде містити 98% мартенситу та 2% перліт+бейніту.
Аналізуючи отриману структуру для
першого і другого режимів зварювання, можна зазначити, що сталь схильна до
утворення холодних тріщин.
11.Оцінка технологічної міцності
зварних з'єднань
У процесі кристалізації та
формування металу шва можливе утворення тріщин у зварному з'єднанні. Залежно
від температур, при яких вони утворюються, тріщини можна розділити на дві
групи: гарячі (високотемпературні) і холодні (низькотемпературні).
Гарячі тріщини виникають при
температурах кінця затвердіння металу (вище 800°С).
Створенню гарячих тріщин сприяє
підвищений зміст в шві сірки, вуглецю, кремнію і нікелю. Так, сірка і нікель
утворюють із залізом легкоплавкі евтектики, що розташовані по межах зерен і
збільшують ймовірність утворення тріщин у шві. На створення тріщин впливає
напрям зростання кристалітів. Так, вузькі шви з глибоким проваром більш схильні
до утворення тріщин, ніж широкі шви з невеликим проваром.
Для зменшення схильності металу до
створення гарячих тріщин застосовують наступні заходи:
використовують зварювальні матеріали
з мінімальним вмістом сірки і вуглецю, який сприяє посиленню ліквації сірки;
підвищують зміст в металі шва
марганцю, який знижує зміст сірки та виводить її в шлак, такий процес називають
рафінуванням металу шва; - вводять в шов елементи, що модифікують
(титан, алюміній), та сприяють подрібненню структури;
проводять попередній і супутній
підігрів виробу, який зменшує величину розтягуючої напруги в зварному шві.
Холодні тріщини створюються при
температурі нижче 300° С. Вони виникають на межах зерен, а потім з часом (до
декількох діб) розповсюджуються у шві та біля шовній зоні основного металу.
Найчастіше холодні тріщини утворюються в зварних швах, що гартуються. На
схильність стали до створення холодних тріщин впливає підвищений зміст вуглецю
та легуючих елементів, що викликають гартування, наявність в шві водню,
забруднення фосфором, швидке охолодження шва.
З метою зменшення схильності металу
до утворення охолодження тріщин застосовують наступні заходи:
використовують зварювальні матеріали
з мінімальним вмістом фосфору, що надає сталі холодноламкість;
застосовують прожарення електродів і
флюсів, а також осушення захисних газів з метою виведення вологи, що є джерелом
попадання водню в шов;
проводять гаряче проковування швів
після зварювання для зняття або зменшення внутрішньої напруги;
при необхідності застосовують
попередній або супутній підігрів зварюваних виробів.
Технологічну міцність оцінюють,
аналізуючи стійкість з'єднань до утворення гарячих і холодних тріщин.
Схильність сталі до утворення
холодних тріщин зазвичай оцінюють за величиною вуглецевого еквіваленту:
Сталі, в яких Секв менше за 0.45,
вважаються не схильними до утворення холодних тріщин, а при більших його
величинах ̶
потенційно схильними.
Таблиця 3. «Хімічний склад сталі
40Х»
|
Тип сталі
|
С
|
Si
|
Cr
|
Ni
|
S
|
P
|
Cu
|
|
40Х
|
0.36
|
0.17
|
0.5
|
0.8
|
0.2
|
0,025
|
0,025
|
0.2
|
Секв = 0.63, отже дана сталь
потенційно схильна до утворення холодних тріщин. Технологічну міцність слід
оцінювати аналізуючи стійкість з'єднання до утворення гарячих та холодних
тріщин.
Регулювання структури зварних
з'єднань з метою підвищення стійкості до утворення холодних тріщин зводиться до
таких заходів: зменшення кількості низькотемпературних продуктів розпаду
аустеніту, мартенситу та бейніту, підвищення дисперсності мартенситної та
бейнітної складових, подрібнення аустенітних зерен.
Керування структуроутворенням.
Керування структуроутворенням передбачає зменшення вмісту мартенситу та
нижнього бейніту, а також підвищення температури їхнього утворення а отримання
найсприятливішої внутрішньої тонкої структури при мінімально можливому розмірі
зерен.
Для вибраного хімічного складу сталі
регулювання структури у зварному з'єднанні можливо фактично єдиним способом, а
саме ̶ термічним циклом
зварювання.
Для вуглецевих і низьковуглецевих
сталей, що не містять карбідотвірних елементів, найважливішим параметром є
швидкість охолодження в інтервалі температур 800...900 К. Для них не складно
підібрати режим зварювання, що забезпечує таку її величину, при якій
отримується ферито-перлітна чи перліто-бейнітна структура, не схильна до
утворення холодних тріщин.
Вибір хімічного складу металу шва.
Найоптимальнішим є такий варіант, коли за хімічним складом зварний шов не
відрізняється або дуже мало відрізняється від основного металу. Хімічний склад
металу шва та основного металу - основний чинник, який впливає і на величину
температурного інтервалу крихкості (ТІК), і на деформаційну здатність сталі, і
на інтенсивність деформації. Найефективніший спосіб підвищення технологічної
міцності за рахунок хімічного складу ̶
зменшення в зварному шві вуглецю і таких шкідливих домішок, як сірка та фосфор.
В цілому, збільшення погонної
енергії, що веде до зниження швидкості охолодження швів та наплавлених валиків,
є позитивним щодо стійкості до тріщиноутворення.
Для того, щоб не отримати
технологічних дефектів застосовують попередній підігрів до температури
370...570 К. Це дозволяє збільшити погонну енергію і одержати необхідну
швидкість охолодження, яка в свою чергу, дозволяла б отримувати структуру, яка
була б не схильною до утворення тріщин.
Висновок
При виконанні курсової роботи
виконуючи розрахунки температурних полів та будуючи відповідні її графіки
розподілу температур вздовж осі шва я прийшов до висновку, що на якість
зварного з'єднання значною мірою впливає погонна енергія, яка є різною для
різних режимів зварювання. Погонна енергія залежить від потужності зварювальної
дуги та швидкості зварювання.
Проаналізуємо вплив погонної енергії
на:
Ізотерми:
Як видно з графіків ізотерм, при
збільшенні погонної енергії температурне поле розширюється, криві видовжуються
в напрямку осі X та розширюються в напрямку осі У. Із зменшенням, навпаки ̶
звужуються в напрямках осей X та У.
Термічні цикли:
Збільшення погонної енергії робить
криву залежності температури від часу менш спадною, тобто спад температури
відбувається повільніше, а це означає, що зменшується швидкість охолодження.
Також збільшення погонної енергії збільшує час досягання температури плавлення.
І навпаки із зменшенням енергії крива стає більш крутоспадною, швидкість
охолодження збільшується, час досягання температури плавлення зменшується.
Кінцеву структуру:
На кінцеву структуру погонна енергія
впливає через швидкість охолодження, адже залежність між ними обернено
пропорційна. Тобто із збільшенням погонної енергії швидкість охолодження
зменшується і навпаки.
Через це при різних режимах
зварювання кінцева структура відрізняється. Отже, зростання погонної енергії
підвищує міцність.
Список
літератури
.Палаш
В.М. Металознавчі аспекта зварності залізовуглецевих сплавів.- Львів.: ТзОВ:
"КІНПАТРІЛТД", 2003, - 236с.
.Теория
сварочных процесов/ Под ред. В.В. Фролова. - М.: Высш.шк.,1988. -
.Шоршоров
М.Х., Белов В.В. Фазовые превращения и изменение свойств стали при сварке:
Атлас- М.: Наука, 1972. - 424с.
.Сварка
в машиностроении / Под ред. Н.А. Ольшанского. Т. 1 -М.: Машиностроение, 1978. -
540С.
.Багрянский
К.В., Добротина З.А., Хренов К.К. Теория сварочних процессов. 2-е изд.
Перераб.- К.: Выщашк., 1976. - 424с.