Енергозбереження в Україні

  • Вид работы:
    Курсовая работа (т)
  • Предмет:
    Физика
  • Язык:
    Украинский
    ,
    Формат файла:
    MS Word
    296,17 Кб
  • Опубликовано:
    2015-04-12
Вы можете узнать стоимость помощи в написании студенческой работы.
Помощь в написании работы, которую точно примут!

Енергозбереження в Україні















Енергозбереження в Україні

Вступ

На превеликий жаль Україна, навіть серед країн СНД, є чемпіоном з енерговитрат на одиницю виробленого продукту. Цікаво, що першими з цього питання забили тривогу європейці, а саме представники ЄБРР, які порадили Україні використовувати енергозберігаючі технології і навіть обіцяли фінансове сприяння. Нагадаю,що енергетична залежність України від постачання органічного пального в 2000-2004 роках становить 60,7%, а для порівнянь, в більшості країн ЄС енергозалежність близько 51%. Багато країн мають значно нижчі заказники забезпечення первинними паливо - енергетичними ресурсами. Щоб вижити, Україні треба економити на енерговитратах. За свідченням Сухина, голови Національного агентства України з питань забезпечення ефективного використання енергоресурсів, черкаське підприємство «Азот» на виробництво однієї тонни аміаку використовує 1,3 тис.  газу, а ось є технології, що дають змогу заощадити майже вдвічі, однак в устаткування треба інвестувати 280 млн. доларів і власники, на жаль, не готові це зробити. Деякі власники найбільших заводів - споживачів газу - мають намір повністю відмовитися від використання газу. Це пообіцяв зробити, найближчим часом, власник Нікопольського феросплавного заводу. Почалася реконструкція на Алчевського меткомбінаті. Повністю програму буде виконано до 2011 р.

Голландська компанія Marlex inter Br. погоджувала з українською стороною будівництво в Закарпатті двох заводів з переробки відходів деревини (біомаси) в електроенергію. Один з заводів намічено спорудити в Тячівському районі, де розташовано Тарасівський деревопереробний комбінат.

Проте, Україна не така вже і бідна на газові запаси. На думку фахівців, варто продовжувати пошук газових родовищ. І ретельніше в Полтавській і Харківській областях. А це не мало для споживачів України.

Проблеми енергозбереження

Задача енергозбереження актуальна для кожного хазяйства, починаючи з домашнього, найбільш актуальне для міських господарств. До самого сучасного часу єдиною задачею енергетиків було - забезпечити місто енергією. Вартість не мала значення. Енергетики з задачею впоралися - у місті немає не достатку як в тепловій енергетиці, так і в електричній. Будівників не займала енергетична ефективність ними побудованими. У них своя економічна задача. В результаті наше місто використовує у 4 рази більше, ніж могло використовувати при раціональному будівництві і енергопостачанні, за те ми маємо потенціал тепло збереження близько одного триліона у рік. Зрозуміло, що реалізувати це в повному обсязі не можливо, проте більшу половину виконати можливо.

У Хмельницькому використовується різні схеми контролю і регулювання споживання теплової енергії. Нажаль ще не одна з них не охопила нею споживача, але так і за оснащенностью отеплювальним обладнанням.

Крим. АРК має великий потенціал для розвитку альтернативних джерел енергії, а також можливості власного газовидобування. Україна використовує у двічі більше ніж світові стандарти складаючи 1 млрд. куб. метрів на 1 млн. життів. Стимулювання енергозбереження, зниження складової енергоємних виробництв, розширення сфери використання нетрадиційних і відновлювальних джерел енергії - основний напрямок державної політики у сфері забезпечення енергобезпекою.

Енергозбереження - головний напрямок енергетичної політики, пов’язане як з недостатнім забезпеченням енергоресурсними проблемами.

1.   Загальна частина

1.1 Основні відомості о електроприймачах

Електроприймачі бувають трьох категорій:

1 категорія - електроприймачі, перерва електропостачання яких може призвести до небезпек для життя людей, пошкодження обладнання, масовий брак продукції. До першої категорії відносяться: хімічні та металургійні виробництва, нафтохімічні заводи. Електроприймачі повинні мати 2 незалежні один від одного джерела живлення і третій у аварійних випадках.

2 категорія - це електроприймачі, перерва електропостачання яких призводить до масового не допуску продукції, до масового простою працівників, механізмів.

ЕП 2 категорії потрібно забезпечити електроенергією від двох незалежних ІП. 2 категорія є найбільш численнішим.

категорія - це електроприймачі які не входять до 1 та 2 категорії. До третьої категорії відносяться: допоміжні цехи, невідповідальні склади. Для ІІІ категорії досить одного джерела живлення. Виходячи з завдання дане підприємство відноситься до ІІ категорії ЕП. Розрахунок будемо проводити методом коефіцієнтів попиту, для того, щоб оцінити розрахунки максимальних навантажень промислових підприємств на вищій напрузі схеми електропостачання. Електроприймачі працюють у режимах:

Довгочасний режим - цей режим роботи ЕП продовжується тривалий час, що підвищує температуру нагрівання усіх його частин вище температури навколишнього середовища.

Короткочасний режим - характеризується невеликим по часу періодом роботи і довгими паузами з відключенням ЕП від мережі. В короткочасному режимі працюють додаткові механізми, приводи різних заслонок, де пауза значно перевищує час періоду роботи.

Повторно-короткочасний режим, при якому короткочасний період роботи чередується з паузами. При цьому робочій період на стільки довгий, щоб перевищення температури нагрівання електроустановок перевищило температуру навколишнього середовища.

2. Спеціальна частина

.1 Розрахунок навантажень

На практиці застосовують різні методи визначення електричних навантажень. Розрахунковим навантаженням по нагріванню, що допускається, є така незмінне в часі 30-хвилинне навантаження, що викликає таке ж нагрівання провідників чи мережі тепловий знос ізоляції, як і реальне перемінне в часі навантаження.

Необхідність визначення очикуємих навантажень промислових підприємств за рекомендованими нижче методами викликана неповним завантаженням деяких ЕП, неодночасністю їх роботи, можливим випадковим характером включення і відключення ЕП, які залежать від особливостей технологічного процесу й організаційно-технічних заходів по забезпеченню належних умов праці робочих даного підприємства. Правильне визначення очикуємих електричних навантажень й забезпечення необхідного ступеню безперебійності їх живлення має велике народногосподарське значення. Від цього розрахунку залежать вихідні дані для вибору всіх елементів СЕС промислового підприємства й грошові затрати при установці, монтажі та експлуатації обраного електрообладнання.

Створення кожного промислового об'єкта починається з його проектування. Не просте складання встановлених потужностей ЕП підприємства, а розрахунок очикуємих значень електричних навантажень є першим і основополагаючим етапом формування СЕП. Розрахунки на стороні 0,4 кВ проводять наступними методами: упорядкованих діаграм, коефіцієнтом попиту, методом питомого споживання на одиницю продукції, питомої щільності електричного навантаження на 1 м виробничої площі.

Розрахунок будимо проводити методом коефіцієнта максимуму.

Для кожного розподільчого пункту проводимо розрахунки окремо для різних режимів роботи.

Першим етапом необхідно скласти структурну однолінійну схему електропостачання малюнок 1.

Для розрахунку навантажень використовуемо вихідні данні на курсове проектування, які наводимо в таблиці 1.

Таблиця 1

Напруга проектуємої ТП та електроприймачів

№ п/п


кВ

кВ

МВА

МВА

км

км

км

км

1

6

0.4

300

280

4

5

3

2


Таблиця 2

Данні по ЩО

Найменування

ЩО1

ЩО2


ДРЛ

ЛЛ

ЛР

ДРЛ

ЛЛ

ЛР


%

%

%

%

%

%


30

30

40

10

30

60

cos

0,4

0,92

1

0,4

0,92

1

P кВт

40

25

Таблиця 3

Данні по навантаженню РП 0.4 кВ

№ п.п

Найменування електроприймачів

S

I

ƞ

P

n

Cos /tg

ПВ



кВА

м

%

кВт

шт



%

1

Крупні станки


12

0,82

75

3

0,86

0,17


2

Ковочні машинки


15

0,87

18,5

2

0,85

0,2


3

Крупні станки


13

0,92

80

4

0,86

0,17


4

Крани


7

0,85

120

2

0,5

0,1

40


РП 1








5

Поточні лінії



25

4

0,7

0,6


6

Кран балки



15

2

0,5

0,1

45

7

ЩО 1



40






РП 2








8

Сушильні шафи

60



2

0,95

0,75

65

9

Конвеєри



9

4

0,7

0,4

65


РП 3








10

Конвеєри



12

2

0,7

0,55

45

11

Волочильні стани



60

2

0,65

0,2



РП 4








12

Піч опору

55



1

0,95

0,75

65

13

Крани



30

2

0,5

0,1

25


РП 5








14

Санітарно-технічна вентиляція



15

3

0,85

0,6


15

ЩО 2



25






Розрахунок

Порядок виконання розрахунку

Визначаємо номінальні потужності електроприймачів:

Рн =, к (1)

Коли немає коефіцієту ПВ:

Рн=Рн, кВт (1.1)

Це коли немає Рн, а дано S;

Pн = S*cos, кВт (1.2)

Визначаємо номінальну потужність групи однакових електроприймачів:

Рном = Рн * n, кВт (2)

де n - кількість однорідних електроприймачів;

Визначаємо середнє активне навантаження за найбільш завантажену зміну:

Рсм = Рном * Кв, кВт (3)

де Кв - коефіцієнт використання активної потужності;

Визначаємо середнє реактивне навантаження за найбільш завантажену зміну:

Qсм=Рсм*tgφ, квар (4)

де tgφ визначається відповідно до соsφ

tgφ= (4.1)

Визначаємо сумарні данні електроприймачів:

 (5)

 (5.а)

Середньовзвішений коефіцієнт використання:

Квср= (6)

Середньовзвішений tgφ:

tgφср= (7)

Визначаємо проміжну величину m

m= (8)

Ne = (8а)

Визначаємо розрахункові активне та реактивне навантаження:

Рр= (9)

Qр= (9а)

Розраховуємо потужність освітлювальних приладів:

Росв = Рн*0,9 (10)

Знаходимо сумарні данні розрахункових навантажень по РП:

=  +  + … + , кВт (11)

=  +  + … + , кВт (11а)

Повна розрахункова потужність визначається по формулі:

 = , кВА (12)

Розраховуємо нульову групу ЕП

1. Pн1 = 75 кВт;

Pн2 = 18,5 кВт;

Pн3 = 80 кВт;

Pн4 = 120*=75,9 кВт;

2. Pном1 = 75*3 = 225 кВт;

Pном2 = 18,5*2 = 37 кВт;

Pном3 = 80*4 = 320 кВт;

Pном4 = 75,9 = 151,8 кВт;

. Pсм1 = 225*0,17 = 38,25 кВт;

Pсм2 = 37*0,2 = 7,4 кВт;

Pсм3 = 320*0,17 = 54,4 кВт;

Pсм4 = 151,8*0,1 = 15,18 кВт;

. Qсм1 = 38,25*0,59 = 22,57 кВт;

Qсм2 = 7,4*0,61 = 4,6 кВт;

Qсм3 = 54,4*0,59 = 32,096 кВт;

Qсм4 = 15,18*1,73 = 26,29 кВт;

.  = 38,25+7,4+54,4+15,18 = 115,23 кВт;

 = 22,57+4,6+32,096+26,29 = 85,556 кВт;

. Квср =  = 1,34 кВт;

Tgφср =  = 0,77 кВт;

Розраховуємо першу групу ЕП

1. Pн5 = 25 кВт;

Pн6 = 15* = 10,06 кВт;

2. Pном5 = 4*25 = 100 кВт;

Pном6 = 2*10,06 = 20,12 кВт;

. Pсм5 = 100*0,6 = 60 кВт;

Pсм6 = 20,12*0,1 = 2,012 кВт;

. Qсм5 = 60*1,02 = 61,21 кВт;

Qсм6 = 2,012*1,73 = 3,48 кВт;

.  = 62,012 кВт;

 = 64,69 кВт;

. Квср =  = 0,96 кВт;

Tgφср =  = 1,043 кВт;

Розраховуємо другу групу ЕП

. Pн7 = 60*0,95* = 45,05 кВт;

Pн8 = 9*  = 7,25 кВт;

. Pном7= 2*45,09 = 91,9 кВт;

Pном8 = 4*7,25 = 29 кВт;

. Pсм7 = 91,9*0,75 = 68,93 кВт;

Pсм8 = 29*0,4 = 11,6 кВт;

. Qсм7= 68,93*0,32 = 22,65 кВт;

Qсм8 = 11,6*1,02 = 11,83 кВт;

5.  = 80,53 кВт;

 = 34,48 кВт;

. Квср =  = 2,3 кВт;

Tgφср =  = 0,42 кВт;

Розраховуємо третю групу ЕП

. Pн9 = 12* = 8,05 кВт;

Pн10 = 60 кВт;

.Pном9= 2*8,05 = 16,1 кВт;

Pном10 = 2*60 = 120 кВт;

. Pсм9 = 16,1*0,55 = 8,855 кВт;

Pсм10 = 120*0,2 = 24 кВт;

. Qсм9= 8,855*1,02 = 9,03 кВт;

Qсм10 = 24*1,169 = 28,06 кВт;

.  = 32,855 кВт;

 = 37,09 кВт;

. Квср =  = 0,88 кВт;

Tgφср =  = 37,09 кВт;

Розраховуємо четверту групу ЕП

1. Pн11 = 55*0,95 = 42,13 кВт;

Pн12 = 30* = 15 кВт;

. Pном11= 1*42,13 = 42,13 кВт;

Pном12 = 2*15 = 30 кВт;

. Pсм11 = 42,13*0,75 = 31,59 кВт;

Pсм12 = 30*0,1 = 3 кВт;

. Qсм11= 31,59*0,33 = 10,42 кВт;

Qсм12 = 3*1,73 = 5,19 кВт;

.  = 34,59 кВт;

 = 15,61 кВт;

. Квср =  = 2,21 кВт;

Tgφср =  = 0,45 кВт;

Розраховуємо п’яту групу ЕП

. Pн13 = 15 кВт;

. Pном13= 15*3 = 45 кВт;

. Pсм13 = 45*0,6 = 27 кВт;

. Qсм13= 27*0,62 = 16,74 кВт;

.  = 27 кВт;

 = 16,74 кВт;

. Квср =  = 1,6 кВт;

Tgφср =  = 0,62 кВт;

.  = 115,23+62,012+36+80,53+32,859+34,59+27+22,5 = 410,7 кВт;

 = 85,556+64,69+34,48+34,48+15,61+16,74 = 251,556 кВт;

.  =  = 481.62 Кв*А;

.2 Компенсація реактивної потужності

При підключенні в електричну мережу активно - індуктивного навантаження струму  відстає від напруги U на кут зсуву . Косинус цього кута (cos ) називається коефіцієнтом потужності. Більша частина активної енергії витрачається на втрати. Реактивна потужність витрачається на створення електромагнітних полів в електродвигунах, трансформаторах, лініях. Заходи по зниженню споживання реактивної потужності: природна компенсація без використання спеціальних компенсуючих приладів.

Переваги КБ: незначні втрати активної потужності до 0,005 кВт/квар, відсутність обертаючих частин, простота монтажу і експлуатації, відносно невисока вартість, мала маса, відсутність шуму під час роботи.

Недоліки КБ: пожежонебезпека, підвищена небезпека при обслуговуванні, чуттєвість до перенапруження і поштовхам струму, можливість тільки покрокові, а не плавного регулювання потужності.

Розрахунок

.     Знаходимо сумарну реактивну потужність пристрою, що компенсує.

 =  * (tg  - tg ), квар

де  - розрахункова активна потужність за найбільш завантажену зміну, кВт.

tg  - розрахунковий;

tg  - економічний tg  задається електропостачаючої організації.

tg  = ∑/∑

tg  = 251,556/410,7 = 0,61

 = 410,7*0,61 = 250,527 квар

.     Вибираємо потужність конденсаторної батареї по [1] табл. 5.1 з огляду на потужність батареї, вид мережі і напруги.

УК1 - 0,4 - 37,5 - УЗ 1шт.

.     Знаходимо сумарну потужність яку виробляють обрані батареї.

 = ∑ * , квар

де  - кількість обраних конденсаторних батарей;

 - потужність обраних конденсаторних батарей

 = 2*100+37 = 237 квар

.     Знаходимо не скомпенсовану реактивну потужність.

 =  - , квар

 = 250,5-237 = 13 квар

.     Розраховуємо повне навантаження після компенсації.

 = , кВА

 =  = 410,9 кВА

.     Знаходимо фактичний cos  після компенсації.

cos  =  /

cos  = 410,7/410,9 = 0,99

2.3 Обрання силових трансформаторів

Силові трансформатори призначені для перетворення електроенергії змінного струму однієї потужності в іншу.

Правильний вибір числа й потужності трансформаторів на підстанціях промислових підприємств є одним з основних питань раціональної побудови СЕП. У нормальних умовах силові трансформатори повинні забезпечувати живлення всіх ЕС підприємства. Як правило, трансформаторів на підстанції повинне бути не більше двох. Найбільш економічні однотрансформаторні підстанції, які при наявності централізованого (складського) резерву або зв'язків по вторинній напрузі можуть забезпечити надійне живлення споживачів II й III категорій.

Двухтрансформаторні підстанції застосовуються при значному числі споживачів I й II категорій, при зосереджених навантаженнях на даній ділянці з високою питомою щільністю (), а також якщо є ЕП особою групи. Крім того, двухтрансформаторні підстанції доцільні при нерівномірному добовому й річному графіках навантаження підприємства, при сезонному режимі роботи одно- або двозмінних підприємств зі значною різницею завантаження змін.

Для зменшення струмів КЗ робота трансформаторів на двох трансформаторних підстанціях у мережах промислових підприємств, як правило, передбачається роздільною. У ряді випадків буває необхідна паралельна робота трансформаторів.

Сукупність припустимих навантажень, систематичних й аварійних перевантажень визначає навантажувальну здатність трансформаторів, в основу розрахунку якої покладене теплове зношування ізоляції трансформатора. Якщо не враховувати навантажувальну здатність трансформаторів, то можна необґрунтовано завищити обирану встановлену потужність  що економічно недоцільно. Дослідження різних режимів роботи трансформаторів показали, що максимальні припустимі систематичні навантаження й аварійні перевантаження не приводять до помітного старіння ізоляції й істотному скороченню нормальних (20-25 років) строків їхньої служби. Це викликано тим, що при роботі трансформаторів з підвищеними навантаженнями прискорене зношування ізоляції компенсується недовикористанням її в годинники роботи з навантаженнями нижче номінальних. В експлуатації трансформатори, як правило, недогружаются в нічні годинники й літні місяці року.

Навантаження трансформаторів потужністю вище номінальної допускаються тільки при справній і повністю включеній системі охолодження трансформатора (вентилятори дуття, резервні охолоджувачі)

Виходячи з теми курсового проекту, електроспоживачі належать до першої категорії.

Розрахунок

.     Розраховуємо потужність встановлених трансформаторів.

 =  / (), кВА

де  - повна розрахункова потужність ділянки, кВА

 - кількість встановлених трансформаторів;

 - коефіцієнт завантаження трансформаторів, приймаємо ( %)

 = 410,9/(2*0,7) = 293,5 кВА

 = 410,9/(3*0,7) = 195,67 кВА

.     По [1] П 1.1 вибираємо тип і потужність трансформаторів

ТМ-250/10 (2шт) ТМ160/10 (3шт)

.     Перевіряємо коефіцієнт завантаження обраних трансформаторів

 =  / (n * )

де  - номінальна потужність обраного трансформатора

 = 410,9/(2*250) = 0,8

 = 410,9/(3*160) = 0,85

.     Перевіряємо обрані трансформатори на коефіцієнт перевантаження (один трансформатор вийшов з ладу, а інші несуть подвійне навантаження)

 =  / ((n - 1) * )

 = 410,9/((2-1)*250) = 1,6

 = 410,9/((3-1)*160) = 1,28

Порівнюючи коефіцієнти завантаження і перевантаження вибираємо варіант із двома трансформаторами типу ТМ160/10.

Тип

Sн, кВА

Uном, кВ ВН

Uном, кВ НН

Втрати Рх

Втрати Рк

Uк, %

Iv, %

ТМ-160/10

160

6,3

0,4

0,7

2,7

5,5

4


.4 Розрахунок струмів КЗ

Коротке замикання - це будь-яке випадкове або навмисне, не передбачене нормальним режимом роботи електричне з'єднання різних точок електроустановки між собою або "Землею", при якому струм в гілках електроустановки різко підвищується, перевищуючи максимальний допустимий струм тривалого режиму.

Коротке замикання може виникнути в наслідок механічного ушкодження ізоляції (пошкодження ізоляції кабелів в наслідок земляних робіт, руйнування порцелянових ізоляторів, падіння опор ПЛ), поступового зношення (старіння) ізоляції, зволоження ізоляції, перекриття фаз тваринами та птахами, перекриття фаз лінії при атмосферних перенапругах. Коротке замикання може виникнути при неправильних оперативних перемиканнях (відключення навантаженої лінії роз'єднувачем, коли електрична дуга, що виникла у результаті відключення перекриває ізоляцію між фазами).

В наслідок короткого замикання відбувається миттєве зростання струму в лінії та зниження напруги в окремих точках системи. Електрична дуга, що виникає у місці КЗ призводить до часткового або повного руйнування машин, апаратів та іншого обладнання. Збільшення струму в лініях, що примикають до місця КЗ, призводить до значних механічних впливів на струмоведучі частини та ізолятори, на обмотки електричних машин. Проходження великих струмів викликає підвищений нагрів струмоведучих частин та ізоляції, що може викликати пожежу в розподільчих пристроях, кабельних лініях та інших елементах електропостачання та буде причиною подальшого розвитку аварії. Для зменшення шкідливого впливу короткого замикання потрібно швидко відключити ушкоджену ділянку. Це досягається шляхом застосування швидкодіючих вимикачів та релейного захисту з мінімальною витримкою часу. Всі електричні апарати та струмоведучі частини електроустановки повинні бути обрані таким чином, щоб уникнути їх руйнування під впливом проходження по ним найбільших можливих струмів КЗ, у зв'язку із чим виникає необхідність розрахунку цих величин.

Розрахунок струмів КЗ у системі електропостачання промислових підприємств проводиться спрощеним способом з рядом допущень: вважають, що трифазна система є симетричною, при розрахунку не враховують насичення магнітних систем (вважають, що індуктивні опори в процесі КЗ не змінюються), вважають, що фази всіх ЕРС у процесі КЗ не змінюються, напруга на шинах вважається незмінною, тому що точки КЗ є віддаленими від джерела, аперіодична складова струму КЗ не враховується (тривалість КЗ у віддалених точках перевищує 0,15 секунди - аперіодична складова струму за цей час згасає).

Для розрахунку струмів КЗ складається розрахункова схема - спрощена однолінійна схема установки, у якій враховуються всі джерела живлення (генератори, синхронні компенсатори, енергосистеми), трансформатори, реактори, повітряні та кабельні лінії. За розрахунковою схемою складається схема заміщення, в якій вказуються опори всіх елементів, а також позначаються точки для розрахунку струмів КЗ. Генератори та трансформатори великої потужності заміщуються лише індуктивними опорами, тому що їхні індуктивні опори значно більше за активні. Кабельні лінії 6-10 кВ, трансформатори малої та середньої потужності заміщуються активними та індуктивними опорами. Всі опори визначають в іменованих (Ом) чи відносних (в.о.) одиницях. Спосіб підрахунку опорів на результат не впливає. Для розрахунку опорів задаються базовими величинами: напругою та потужністю . За базову напругу приймають середню номінальну напругу того ступеню, де проводиться розрахунок струмів КЗ.

Струми короткого замикання розраховуємо у мінімальному та максимальному режимах для розрахунку ДСЗ.

Обчислення струмів КЗ необхідно для:

1.   Вибору електроустаткування;

2.      Вибору засобів обмеження струмів КЗ;

.        Проектування релейного захисту.

Трифазне коротке замикання є симетричним, тому що при ньому симетрія струмів і напруг не порушується. Складаємо розрахункову схему (мал. 2), за структурною схемою складаємо схему заміщення (мал.3).

Розрахунок виконуємо в іменованих одиницях.

Генератори, трансформатори великої потужності, повітряні лінії, реактори звичайно представляються в схемі заміщення їхніми індуктивними опорами, тому що активні опори в багато разів менше індуктивних. Кабельні лінії 6-10 кВ, трансформатори потужністю 1600 кВА и менше у схемі заміщення представляються індуктивними й активними опорами.

Всі опори приводимо до базової напруги Uб = 6,3 кВ.

Приймаємо опір:

для повітряної лінії х0 = 0,4 Ом/км;

для кабельної лінії х0 = 0,08 Ом/км;

r0кл = 0,13 Ом/км

відстань між трансформаторами l5 = 0.8 км

Схема заміщення

Мал. 2                                             Мал. 3

Порядок виконання розрахунку

Розраховуємо опір системи:

де Uб - базова напруга (виходячи з завдання Uб = 10,5 кВ або 6,3 кВ)

Sк - потужність короткого замикання, МВА

Опір кабельної лінії розраховуємо по формулі:


де X0кл - опір кабельної лінії X0кл = 0,08 Ом/км

lкл - довжина кабельної лінії, км.

r0кл =0,035 Ом/км

Опір повітряної лінії розраховуємо по формулі:


де X0пл - опір повітряної лінії X0пл =0,4 Ом/км,

Струм короткого замикання розраховуємо по формулі при наявності активного та індуктивного опору:


де Uб - базова напруга (виходячи з завдання Uб = 10,5 кВ або 6,3 кВ)

Знаходимо повний результуючий опір від системи до крапки короткого

Замикання:


Ударний струм розраховуємо по формулі:


де Ку - ударний коефіцієнт, визначаємо по[1] мал. 7.4 або табл.7.1

для розрахунків струмів КЗ за силовим трансформатором, стороні 0,4 кВ необхідно сумарний опір до силового трансформатора перевести з ОМ в мОм

При визначенні струмів КЗ на шинах 0,4 кВ, примаємо:

Uб = Uном = 0,4 (кВ)

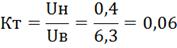
Опір від системи до шин 6 кВ (10 кВ) приводимо до напруги 0,4 кВ


де Кт - коефіцієнт трансформації


де Uн - низька напруга силового трансформатора, кВ

Uв - висока напруга силового трансформатора, кВ

Знаходимо опір силового трансформатора:


де Uк - напруга короткого замикання силового трансформатора в % від номімальної. Паспортні данні трансформатора , беремо з розділу 2.3

Sнт - номінальна потужність трансформатора, кВА

Uб - базова потужність Uб = 6,3 В

Рк - втрати короткого замикання силового трансформатора, кВт


Знаходимо сумарний опір до шин 0,4 кВ, з урахуванням опору шин, які з’єднують

трансформатор зі збірними шинами 0,4 кВ та перехідного опору контактів вимикача, яке приймаємо рівними rдоб=2 мОм


При розрахунках струмів КЗ на шинах 0,4 кВ, вплив групи двигунів, які розташовані на відстані більш ніж 15м - не враховуємо.

Опором кабелів, якими підключені двигуни нехтуємо, тому що довжина його мала.

Отриманні значення опорів наносимо на відповідні елементи схем заміщення.

Розраховуємо струми короткого замикання.

Струм КЗ від системи


де Uб - базова напруга (виходячи з завдання Uб = 400 В)

Ударний струм розраховуємо по формулі:


де Ку - ударний коефіцієнт, визначаємо по [1] мал. 7.4

Струм КЗ від двигуна


Ударний струм КЗ від двигуна


Сумарні струми КЗ на стороні 0,4 кВ


.5 Обрання обладнання

Живлення на силовий трансформатор подається від енергосистеми напругою 6 кВ.

Масляні вимикачі призначені для включення і відключення ланцюгів у нормальних і аварійних режимах: тривале навантаження, перевантаження, коротке замикання, холостий хід, несинхронна робота.

Роз’єднувач - це комутаційний апарат, призначений для комутацій ланцюга без струму і створення надійного видимого розриву ланцюга для забезпечення безпечного проведення ремонтних робіт на устаткуванні і струмоведучих частинах електроустановки.

По повітряній лінії довжиною 1 -5 км, напруга 10 кВ надходить на понижуючі трансформатори, буквений код Т, що знижують напругу до 0,4 кВ.

Трансформатор призначений для перетворення електричної енергії перемінного струму однієї напруги в електричну енергію перемінного струму іншої напруги.Напруга розподіляється за допомогою шин, які кріпляться на прохідних й опорних ізоляторах. На кожній секції шин встановлюємо лічильники активної та реактивної потужності, амперметри та вольтметри.

Правильний вибір електроустаткування підстанції забезпечує надійну роботу електроприймачів. Електроустаткування вибирається: по виду установки, по номінальній напрузі, по номінальному струму й перевіряють на термічну й електродинамічну дію струмів короткого замикання.

В якості комутаційного обладнання на стороні 0,4 кВ встановлюємо автоматичні вимикачі, які призначені для відключення електричного ланцюга при нормальних режимах вручну та автоматично при нормальних режимах - КЗ та перевантаженнях.

Розрахунок

Розраховуємо номінальний струм силових трансформаторів на високій та низькій стороні трансформатор

 =  / ( * ), (А) (48)

 =  / ( * ), (А) (49)

 = 630 /(  * 6) =60,64 (А)

 = 630 /(  * 0,4) = 913,04 (А)

енергозбереження електроприймач потужність захист

Вибираємо електроустаткування на 6 кВ

Вибір масляного вимикача

Місце установки - закритий розподільчий пристрій (ЗПР)

Масляний вимикач вибираємо по номінальній напрузі:

 ≥  (50)

≥ 6

По номінальному струму:

 ≥  (51)

≥ 60,64

Перевіряємо на електродинамічну стійкість:

 ≥  (52)

≥ 2,45

Перевіряємо на термічну стійкість:

 t ≥  t (53)


Данні порівняння заносимо до таблиці.

Таблиця 5

Умови вибору масляного вимикача

Умова вибору

Дані роз’єднувача

Дані установки

Виконання умов

 ≥

10

6

Виконується

 ≥

400

60,64

Виконується

 ≥

25

2,45

Виконується

 t ≥  t

Виконується


По таблиці 5.2 обираю масляний вимикач типу ВММ-10А-400-10У3

Вибір роз’єднувача

Таблиця 6

Умови вибору роз’єднувача

Умова вибору

Дані роз’єднувача

Дані установки

Виконання умов

 ≥

10

6

Виконується

 ≥

400

60,64

Виконується

 ≥

25

2,45

Виконується

 t ≥  t

Виконується


По таблиці 5.5 обираю роз’єднувач типу РВ-6/400У3

Обираємо трансформатори струму

Таблиця 7

Умови вибору трансформатора струму

Умова вибору

Данні вибору

Данні трасформатору

Uн ≥ Uр

6

6

Iн ≥ Iр

400

60,64

 I1н

-

-

Вк ≤

-

-


По таблиці 5.9 обираю трансформатор типу ТВЛМ-6У3.

Перевіряємо трансформатор струму по вторинному навантаженню.

До трансформатору струму підключені: амперметр, лічильники активної та реактивної енергії. Підраховуємо вторинне навантаження трансформаторів струму наведемо в таблиці 8.

Таблиця 8

Вторинне навантаження трасформатору струму, для трансформатору.

Прилади

Тип

Навантаження фаз



А

В

С

Амперметр

Е - 350

0,5

-

-

Лічильник активної енергії

САЗ - И 680

2,5

-

-

Лічильник реактивної енергії

СР4 - И 689

2,5

-

2,5

Заголом

-

5,5

-

5,0


Найбільший завантаженим виявився трансформатор струму фази А.


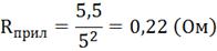
Заганий опір приладів (струмових катушок)


Припустимий опір з’єднувальних дротів:


де  - опір контактів при кількості приладів до трьох.


Перетин з’єднувальних дротів, при з’єднанні вторинних обмоток

трансформаторів струму в неповному зірку, та довжині дротів L = 8м


Відповідно до ПУЕ приймаємо перетин алюмінієвих жил, з’єднувальних дротів 4

Вибір шин

Матеріал шин - мідь.

Розрахунковий струм на даній секцій шин становить:

 = 480 /(  * 0,4) = 913,04 (А)

Визначаємо максимальний розрахунковий струм


Вибираємо найближчий перетин шин 80х6

Для них припустимий струм

Перевіряємо шини по припустимому струму

1480 ≥ 1186.95

Перевіряємо шини на електродинамічну стійкість


де l - довжина прольоту між ізоляторами. l = 900 мм

а -відстань між шинами. а = 260 мм

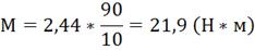
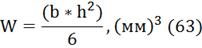
Розраховуємо згинальний момент:


Визначаємо момент опорів:


Розрахункова напруга в перетині шин


Обладнання на напругу 0,4 кВ

Апарати захисту обираємо для електроприймача. Відміченого в пункті 2.5.

Автоматичні вимикачі обираємо по номінальному струму двигуна, та номінальній напрузі.

Визначаємо номінальний струм двигуна:


де Iн - номінальний струм двигуна, А

Uн - номінальна напруга двигуна, кВ

сosφ - коефіцієнт потужності двигуна

Р -потужність двигуна, кВт

Струм розцеплювача визначаємо по формулі:


Виходячи з цих умов обираємо вимикач по додатку 4.

Тип А3710Б160А I = 40 (A)

Обираемо автомат для щита освітлення.

Обираємо по номінальному струму:


де Iн - номінальний струм ЩО, А

Uн - номінальна напруга мережі, кВ

сosφcр - коефіцієнт потужності

Р - потужність ЩО, кВт


Перевіряємо струм відсічки комбінованого розцеплювача:


Вимикач ЩО обираємо з додатку 4.

А3720Б250А I = 250 (A)

2.6 Обгрунтування систем захисту

Максимальний струмовий захист - вид релейного захисту, дія якої пов'язане із збільшенням сили струму в захищається ланцюга при виникненні короткого замикання на ділянці даному колі. Даний вид захисту застосовується практично повсюдно і є найбільш поширеним в електричних мережах.

Принцип дії МТЗ аналогічний принципу дії струмового відсічення. У разі підвищення сили струму в мережі, що захищається захист починає свою роботу. Однак, якщо струмова відсічення діє миттєво, то максимальна струмовий захист дає сигнал на відключення тільки після закінчення певного проміжку часу, званого витримкою часу. Витримка часу залежить від того, де розташовується захищається ділянку. Найменша витримка часу встановлюється на найбільш віддаленому від джерела ділянці. МТЗ сусіднього (ближчого до джерела енергії) ділянки діє з більшою витримкою часу, що відрізняється на величину, звану щаблем селективності. Ступінь селективності визначається часом дії захисту. У разі короткого замикання на ділянці спрацьовує його захист. Якщо з якихось причин захист не спрацювала, то через певний час (рівне щаблі селективності) після початку короткого замикання спрацює МТЗ ближчого до джерела ділянки та відключить як пошкоджений, так і свою ділянку. З цієї причини важливо, щоб ступінь селективності була більше часу спрацьовування захисту, інакше захист суміжного ділянки відключить як пошкоджений, так і робочий ділянку до того, як власна захист пошкодженої ділянки встигне спрацювати. Однак важливо так само зробити щабель селективності досить невеликий, щоб захист встигла спрацювати до того, що струм короткого замикання завдасть серйозної шкоди електричної мережі.

Уставку (або величину струму, при якій спрацьовує захист) вибирають, виходячи з найменшого значення струму короткого замикання в мережі, що захищається (при різних пошкодженнях струми короткого замикання відрізняються). Однак при виборі уставки слід також враховувати характер роботи мережі, що захищається. Наприклад, при самозапуску електродвигунів після перерви харчування, значення сили струму в мережі може бути вище номінального, і захист не повинна його відключати.

Реалізація

Реалізується МТЗ, як правило, за допомогою реле струму. Реле струму можуть бути як миттєвої дії, так і спрацьовують з витримкою часу, яка визначається величиною струму, в цьому випадку для забезпечення необхідної витримки часу додатково використовують реле часу. У сучасних схемах релейного захисту та автоматики найчастіше використовуються мікропроцесорні блоки захисту, які поєднують в собі властивості цих реле.

Струмова відсічка

Струмова відсічка - це МСЗ з обмеженою зоною дії струм спрацювання СВ залежить від струму к. з. в кінці захищаємої ділянки (“максимальний зовнішній струм к. з.”).

Струмова відсічка в більшості виконується миттєвою (t »0,1 с - замість реле часу встановлюють проміжне реле).

СВ встановлюється для прискорення вимикання коли основний МСЗ має велику видержку часу. В окремих випадках коли захищається лінія, що живить тупікову ПС, використовують Неселективну струмову відсічку.

Коли СВ захищає трансформатор, зовнішній струм к.з. - це струм при к.з. за трансформатором, чутливість захисту винаходиться по мінімальному струму к.з. в місці встановлення захисту, але при цьому струми приводять к одному ступеню напруги трансформатора. Струмова відсічка захищає тільки частину обмоток.

В де-яких випадках для покращення чутливості використовують МСЗ з пуском по мінімальній напрузі (з блокуванням по мінімальній напрузі). Для цього в коло котушки реле часу КТ додатково включені контакти реле мінімальної напруги, які замикаються при знижені напруги.

Газовий захист - вид релейного захисту, призначений для захисту від пошкоджень електричних апаратів, розташованих в заповненому маслом резервуарі.

Деякі могутні електричні апарати в процесі експлуатації виділяють значну кількість тепла, внаслідок чого повітряне охолоджування таких пристроїв виявляється недостатньо ефективним. У цих випадках для охолоджування ці апарати (до них можуть відноситися трансформатори, автотрансформатори, реактори) поміщають в бак, заповнений трансформаторним маслом, яке природним або примусовим чином охолоджує ці пристрої. Крім того, масло додатково служить для підвищення рівня ізоляції обмоток трансформаторів.

Використання масла вирішує проблему охолоджування, проте створює нову проблему, пов'язану з підвищеною небезпекою експлуатації електричного апарату. У разі пошкодження токоведущих частин (наприклад, при короткому замиканні між обмоткамі трансформатора), масло починає нагріватися, відбувається посилене газоутворення, різко піднімається тиск масла в баку, що може привести до вибуху, що супроводжується пожежею. Для попередження таких пошкоджень застосовується газовий захист.

Згідно ПУЕ газовий захист встановлюється в обов'язковому порядку на трансформаторах потужністю 6,3 МВА і більш, шунтуючих реакторах на напрузі 500кВ, трансформаторах потужністю 630 ква, якщо вони розташовуються усередині приміщень.

Газовий захист може використовуватися для включення системи пожежогасінні трансформатора.

Принцип дії газового захисту

Оскільки трансформаторне масло, що використовується для ізоляції і охолоджування, має високий коефіцієнт температурного розширення, а температура масла в процесі експлуатації апарату може змінюватися в широких межах (-45°С+90°) об'єм масла в баку також змінюється. Для компенсації зміни об'єму масла служить розширювальний бак - резервуар, сполучений з баком трубопроводом і частково заповнений маслом. Об'єм розширювача вибраний так, щоб у всьому діапазоні зміни температур рівень масла в розширювачі знаходився в допустимих межах. Розширювач обладнався індикатором рівня масла, воздухоосушителем для повітря, що поступає, трубопроводом для доливання в бак масла.

Газовое реле

У розтин трубопроводу, що сполучає бак і розширювач, встановлюється газове реле (наприклад, що раніше випускалися типу РГЧЗ-66, ПГ-22, німецького виробництва BF-50,BF-80, або вітчизняні РЗТ-50, РЗТ-80). Газове реле має герметичний корпус з оглядовими віконцями. Зверху на корпусі реле є спеціальний кран, призначений для випуску повітря і відбору проб газу.Газове реле має два елементи поплавців, що діють при спрацьовуванні на замикання механічно пов'язаних з ними контактів, і що реагують на зниження рівня масла в реле, а також струменевий елемент (підвішена на шляху масла пластинка з отвором, що калібрується), що спрацьовує при інтенсивному русі потоку масла з бака в розширювач. У нормальному режимі корпус газового реле заповнений маслом, і контакти, пов'язані з його поплавцями і струменевим елементами, розімкнені.

Работа газового захисту

При внутрішньому пошкодженні в баку апарату, що захищається, - горіння електричної дуги, або перегрів внутрішніх елементів - трансформаторне масло розкладається з виділенням горючого газу, що містить до 70% водню. Газ, що виділяється, підіймається до кришки, і так як апарат встановлюється з нахилом 1-2% у бік розширювача, рухається в розширювач. Проходячи через газове реле, газ витісняє з нього масло. При незначному виділенні газу, або зниженні рівня масла в розширювачі до рівня верхнього елементу поплавця газового реле, він спрацьовує, і замикаються контакти, що діють на сигнал (1-й ступінь газового захисту). При значному виділенні газу спрацьовує нижній елемент поплавця газового реле і замикаються контакти, що діють на відключення (2-й ступінь газового захисту). При інтенсивному русі потоку масла з бака в розширювач спрацьовує струменевий елемент газового реле, що діє на відключення, аналогічно нижньому елементу поплавця. Для газового захисту регулятора напруги трансформатора під навантаженням (РПН) використовуються струменеві реле (наприклад, типу РЗТ-25, RT-25, RS-1000), що не має елементів поплавців і що реагує тільки на інтенсивний рух потоку масла з бака РПН в розширювач. Струмове реле не має крана для спуску повітря, і його корпус може бути не повністю заповнений маслом. У деяких типів струмових реле при спрацьовуванні в оглядовому віконці з'являється сигнальний прапорець. Струмове реле може спрацювати при доливанні масла в бак РПН знизу. Після спрацьовування струмового реле його контакти залишаються замкнутими, і для повернення реле в початкове положення необхідно натиснути кнопку "Повернення".

2.7 Засоби автоматики

Застосування автоматики дозволяє: забезпечити нормальне тривале функціонування СЕП, у найкоротший строк ліквідувати аварію, забезпечити високу надійність електропостачання промислових споживачів і простоту схем, скоротити витрати на обслуговування, виявити ушкоджені ділянки з найменшими витратами праці. Завдяки пристроям автоматики стало можливим застосування підстанцій зі спрощеними схемами комутації.

У мережах напругою вище 1000В застосовують масляні або повітряні вимикачі з різним приводом, що дозволяють здійснювати й АВР й АВП і застосовують КУ. Однак роздільна робота ИП менш надійна в порівнянні з паралельною роботою ИП, що викликає необхідність установки пристроїв автоматики. Порушення електропостачання частини споживачів відновлюеться дією АВР.

Розглянемо пристрої пропонуємі до встановлення на ТП :

Пристрій АВР називають пристрій, всі елементи якого встановлення на одній підстанції і дія яких не виходить за межі цієї підстанції.

Пристрій АВР повинно задовольняти наступним умовам:

-     діяти у всіх випадках зникнення напруги на шинах з боку основного живлення;

-        для запобігання включення на ушкоджену ділянку (робоче джерело) останній повинен бути відключене до включення резервного джерела;

         для скорочення часу перерви живлення споживачів резервне джерело повинне включатися негайно після відключення робочого джерела;

         включення резервного джерела повинне бути однократним;

         резервне джерело повинне включитися лише в тому випадку, якщо сам він готовий прийняти на себе навантаження (контролюється наявність напруги на резервному джерелі).

Автоматичне введення резерву-спосіб забезпечення резервним електропостачанням навантажень, підключених до системи електропостачання, що має не менше двох живлячих вводів і спрямований на підвищення надійності системи електропостачання. Полягає в автоматичному підключенні до навантажень резервних джерел живлення в разі втрати основного.

Застосування

Згідно ПУЕ всі споживачі електричної енергії поділяються на три категорії: I категорія - до споживачів цієї групи відносяться ті, порушення електропостачання яких може спричинити за собою небезпеку для життя людей, значних матеріальних збитків, загрозу для безпеки держави, порушення складних технологічних процесів та ін II категорія - до цієї групи відносять електроприймачі, перерва в живленні яких може призвести до масового недоотпуска продукції, простою робочих, механізмів, промислового транспорту. III категорія - всі інші споживачі електроенергії.

Таким чином, крім незручностей у повсякденному житті людини, тривала перерва в електроживленні може привести до загрози життю і безпеці людей, матеріальних збитків та іншим, не менш серйозних наслідків. Безперебійне харчування можна реалізувати, здійснивши електроживлення кожного споживача від двох джерел одночасно (для споживачів I категорії так і роблять), проте подібна схема має ряд недоліків:

Токи короткого замикання при такій схемі набагато вище, ніж при роздільному харчуванні споживачів.

Релейний захист складніше, ніж при роздільному харчуванні.

Необхідність обліку перетоків потужності викликає труднощі, пов'язані з виробленням певного режиму роботи системи.

У деяких випадках не виходить реалізувати схему через те, що немає можливості здійснити паралельну роботу джерел живлення через раніше встановленої релейного захисту та обладнання.

У зв'язку з цим виникає необхідність в роздільному електропостачанні і швидкому відновленні електроживлення споживачів. Вирішення цього завдання і виконує АВР. АВР може підключити окреме джерело електроенергії (генератор, акумуляторну батарею) або включити вимикач, що розділяє мережу, при цьому перерву харчування може становити всього 0.3 - 0.8 секунд.

При проектуванні схеми АВР, що допускає включення секційного вимикача, важливо враховувати пропускну здатність живильного трансформатора і потужність джерела енергії, що живлять паралельну систему. В іншому випадку може вийти так, що перемикання на живлення від паралельної системи виведе з ладу і її, так як джерело живлення не зможе впоратися з сумарним навантаженням обох систем. У разі якщо неможливо підібрати таке джерело живлення, звичайно передбачають таку логіку захисту, яка відключить найменш важливих споживачів струму обох систем.

АВР поділяють на:

АВР односторонньої дії. В таких схемах присутній одна робоча секція мережі живлення, і одна резервна. У разі втрати живлення робочої секції АВР підключить резервну секцію.

АВР двосторонньої дії. У цій схемі будь-яка з двох ліній може бути як робочої, так і резервної.

АВР з відновленням. Якщо на відключеному введенні знову з'являється напруга, то з витримкою часу він включається, а секційний вимикач вимикається. Якщо короткочасна паралельна робота двох джерел не допустима, то спочатку відключається секційний вимикач, а потім включається вступної. Схема повернулася в початковий стан.

АВР без відновлення.

Принцип дії

В якості вимірювального органу для АВР у високовольтних мережах служать реле мінімальної напруги, підключені до захищається дільниць через трансформатори напруги. У разі зниження напруги на захищається ділянці електричної мережі реле дає сигнал в схему АВР. Однак, умова відсутності напруги не є достатнім для того, щоб пристрій АВР розпочало свою роботу. Як правило, повинен бути задоволений ще ряд умов:

На захищається ділянці немає неусунутій короткого замикання. Так як зниження напруги може бути пов'язане з коротким замиканням, включення додаткових джерел живлення в цей ланцюг недоцільно і неприпустимо. Вступної вимикач включений. Ця умова перевіряється, щоб АВР не спрацювало, коли напруга зникло через те, що вступної вимикач був відключений навмисно. На сусідній ділянці, від якого передбачається отримувати харчування після дії АВР, напруга присутня. Якщо обидві живлять лінії знаходяться не під напругою, то перемикання не має сенсу.

Після перевірки виконання всіх цих умов логічна частина АВР дає сигнал на відключення ввідного вимикача знеструмленій частини електричної мережі та на включення міжлінійного (або секційного) вимикача. Причому, міжлінійний вимикач включається тільки після того, як вступної вимикач відключився.

У низьковольтних мережах одночасно як вимірювального і пускового органу можуть служити магнітні пускачі або модуль АВР-3/3. Або призначений для управління схемами АВР мікропроцесорний контролер АВР.

3. Техніка безпеки

.1 Основні вимоги до охорони праці

Одним із найважливіших завдань охорони праці є забезпечення таких умов праці, які б виключали можливість дії на працівників різних небезпечних і шкідливих виробничих факторів. Згідно зі статтею 153 Кодексу законів про працю, власник підприємства зобов'язаний забезпечити належне технічне обладнання всіх робочих місць і створювати на них умови праці відповідно до нормативно-правових актів з охорони праці.

Умови праці - це сукупність факторів виробничого середовища і виробничого процесу, які впливають на здоров'я і працездатність людини під час її професійної діяльності.

Працездатність - здатність людини до праці, яка визначається рівнем її фізичних і психофізіологічних можливостей, а також станом здоров'я та професійною підготовкою.

Безпека - відсутність неприпустимого ризику, що пов'язаний з можливістю нанесення ушкодження.

Безпека праці - стан умов праці, за якого відсутній виробничий травматизм.

Безпека умов праці - стан умов праці, за яких вплив на працівника небезпечних і шкідливих виробничих факторів взагалі відсутній або дія шкідливих виробничих факторів не перевищує граничнодопустимих рівнів.

Безпека виробничого процесу - здатність виробничого процесу відповідати вимогам безпеки праці під час його проведення в умовах, встановлених нормативно-технічною документацією.

Безпека виробничого устаткування - здатність устаткування зберігати безпечний стан при виконанні заданих функцій у певних умовах протягом встановленого часу.

Умови праці поділяються на 4 класи:

клас - оптимальні умови праці, за яких зберігається здоров'я працівників працездатність підтримується на високому рівні протягом тривалого часу;

клас - допустимі умови праці, за яких параметри факторів виробничого середовища не перевищують встановлені гігієнічні нормативи;

клас - шкідливі умови праці, які характеризуються наявністю факторів виробничого середовища і трудового процесу, рівні яких перевищують гігієнічні нормативи та можуть мати негативний вплив на організм працівників; шкідливі умови праці поділяються на 4 ступені (за величиною перевищення гігієнічних нормативів і виразності змін у організмі працівників);

 клас - небезпечні (екстремальні) умови праці, що характеризуються таким рівнем виробничих чинників, коли їхня дія протягом робочої зміни створює великий ризик виникнення тяжких форм професійних захворювань, отруєнь, загрозу для життя.

Нанесення травми людині на виробництві зумовлюється наявністю фізичних, хімічних, біологічних та психофізіологічних небезпечних і шкідливих виробничих чинників.

Фізичні небезпечні виробничі чинники - це рухомі машини, елементи обладнання, вироби, матеріали, підвищена або знижена температура поверхні обладнання чи матеріалів, небезпечна напруга електричної мережі, енергія стиснутого газу, повітря тощо.

Хімічні небезпечні та шкідливі виробничі чинники - це дія на людину їдких, токсичних та подразнювальних речовин. Хімічні небезпечні та шкідливі виробничі фактори поділяються:

за характером дії на організм людини (загаль-нотоксичні, подразнювальні, канцерогенні, мутагенні);

за способом проникнення до організму людини (через органи дихання, через систему травлення, через шкірний покрив).

Біологічні небезпечні та шкідливі виробничі чинники - це біологічні об'єкти, вплив яких на працівників призводить до травми або захворювання (бактерії, віруси, рослини, тварини).

Психофізіологічні небезпечні та шкідливі чинники - це фізичні та нервово-психічні перевантаження.

Безпечність виробничих процесів досягається комплексом проектних та організаційних рішень. Це вибір технологічного процесу, робочих операцій, черговості обслуговування обладнання тошо. Безпечність виробничих процесів полягає у запобіганні впливу небезпечних і шкідливих факторів на працівників. Забезпечується це завдяки організаційним заходам (навчання, інструктажі, виконання вимог інструкцій з охорони праці) та технічним засобам безпеки.

Дія технічних засобів захисту повинна забезпечити безпеку працівників від початку робочого процесу до його закінчення і не має припинитися раніше за дію небезпечного або шкідливого виробничого фактора.

Основними технічними засобами безпеки для запобігання виробничому травматизму є огороджувальні та запобіжні пристрої, блокування, профілактичні випробування машин.

Основні вимоги, що висуваються до технічних засобів безпеки - це підвищення продуктивності праці, зниження небезпеки та шкідливості при обслуговуванні обладнання та виконанні технологічних операцій, надійність і міцність, зручність під час обслуговування устаткування та засобів захисту, виконання вимог технічної естетики.

Важливу роль відіграє використання комплексної механізації, автоматизації та дистанційного керування в тих випадках, коли дію небезпечних і шкідливих виробничих факторів не можна усунути.

Безпечність виробничого устаткування досягається: правильним вибором принципів дії, конструктивних схем, матеріалів, робочих процесів, максимальним використанням засобів механізації, автоматизації, дистанційного керування; врахуванням вимог до технічної документації з монтажу, експлуатації, ремонту, транспортуванню і зберіганню.

З точки зору охорони праці, основними вимогами до устаткування є безпечність для здоров'я і життя людей, надійність та зручність під час експлуатації. При проектуванні машин і механізмів обов'язково повинні враховуватися ергономічні вимоги: розміщення механізмів керування на робочому місці, зусилля для приведення в дію механізмів керування тощо.

При конструюванні устаткування частини, що обертаються, рухаються, комунікації (трубопроводи, кабелі тощо) необхідно розміщувати у корпусі машини, щоб вилучити можливість доступу до них працівників. Устаткування має відповідати вимогам електробезпеки і гарантувати захист працівників від ураження електричним струмом.

У конструкції устаткування повинні передбачатися вбудовані (місцеві) відсмоктувачі, необхідні для видалення пожежо- і вибухонебезпечних сумішей, небезпечних і шкідливих хімічних речовин, пилу тощо безпосередньо з місця їх виникнення. Щоб уникнути шуму та вібрації або знизити їх до регламентованих рівнів, необхідно застосовувати звукопоглинальні матеріали, кожухи тощо.

Механізми керування технологічним обладнанням повинні мати безпечні та зручні форми і поверхню, встановлюватися у безпечному для працівників місці, приводитись у дію зусиллями, що встановлені відповідними нормами, мати напис про призначення, інструкцію з експлуатації тощо.

Устаткування має підлягати періодичному профілактичному оглядові, ремонтам за графіками.

3.2 Захисні засоби

Щоб надійно й безпечно користуватись електроенергією, потрібно знати, якою є напруга у мережі, і на якій напрузі працює те чи інше елек-троустаткування.

Залежно від мети використання розрізняють такі види електричної напруги:

до 42В - використовується переважно для переносного і місцевого освітлення й роботи ручних електроприладів у небезпечних зонах (висока вологість, наявність металічних провідників тощо);

-220В - використовується для освітлення й роботи ручних електроприладів на виробництві та у побуті;

380 В - використовується при експлуатації промислових установок;

понад 380В - використовується для передачі електроенергії на відстань (лінії електропередач) і для живлення окремих електроустановок спеціального призначення.

Основне завдання електробезпеки - мінімізувати можливість негати-вного впливу електричного струму на людину. Досягти цієї мети можна за допомогою таких заходів і засобів:

безпечною і надійною конструкцією електроустановок;

організаційними та технічними заходами щодо безпечної експлуатації електроустановок та використання електричної енергії;

технічними засобами захисту.

Конструкція електроустановки має відповідати вимогам технічних умов і стандартів. При цьому, залежно від засобів електробезпеки, усі електротехнічні вироби поділяються на 5 класів: 0, 0І, І, ІІ, ІІІ.

Клас 0 - електрична установка має лише робочу ізоляцію як засіб захисту.

Клас 0І - крім робочої ізоляції на корпусі установки є пристрій для підключення його до заземлювача або нульового захисного провідника.

Клас І - установка має робочу ізоляцію і виконана таким чином, що підключити її до електричної мережі можна лише після під’єднання корпусу до заземлювача (нульового захисного провідника), а при від’єднанні від мережі - корпус відключається від заземлювача (нульового захисного провідника) в останню чергу.

Клас ІІ - захист забезпечується подвійною ізоляцією.

Клас ІІІ - для живлення установки можливо використання лише ма-лої напруги (до 42В).

Організаційні та технічні заходи електробезпеки передбачають: допуск до роботи на електроустановках осіб не молодше 18 років, які мають відповідне посвідчення, пройшли інструктаж і медичний огляд; призначення осіб, які відповідають за організацію та проведення робіт на електроустановках, електромережах; встановлення знаків безпеки та захисних огорож біля струмовідних частин; огородження робочих місць та вивішування плакатів безпеки; виконання робіт за нарядом не менше ніж двома працівниками із застосуванням електрозахисних засобів, використання механізмів і пристосувань при проведенні робіт на струмовідних частинах та поблизу них тощо.

Технічні засоби захисту - це пристрої, що слугують для захисту людини від ураження електричним струмом. До них належать:

ізоляція струмвідних частин;

недоступність для випадкового дотику до струмовідного устаткування;

захисне заземлення;

занулення; захисне відключення;

захисне розділення електромережі;

мала напруга;

сигналізація про небезпеку дотику;

електрозахисні засоби.

Стан ізоляції струмопровідних частин повинен відповідати Прави-лам використання електроустановок. Цими Правилами передбачене періодичне випробування ізоляції (2 рази на рік у приміщеннях зі складними умовами, підвищеною вологістю і 1 раз на рік у приміщеннях з нормальним середовищем). Ізоляція створює великій опір, який перешкоджає протіканню через неї струму. Опір ізоляції кожної установки або окремої ділянки електричної мережі має бути не меншим 0,5МОм. Якщо опір ізоляції знижується на 50% від початкового, мережу або ізоляцію міняють.

Більшість приладів широкого використання на виробництві та у по-буті мають подвійну ізоляцію, яка складається з робочої й додаткової. Остання запобігає дії струму на людину у випадку пошкодження основної ізоляції. Знак подвійної ізоляції позначається на інструменті у вигляді символу, що зображує два квадрати різних розмірів, розміщених один в одному. При роботі в приміщеннях без підвищеної небезпеки напруга елект-роприладів повинна бути не більше 220В. При роботі в приміщеннях у підвищеною небезпекою і за межами приміщень напруга електроприладів повинна бути не більше 36В. В особливих умовах дозволяється вико-ристовувати електроприлади напругою до 220В, але при наявності захи-сного відключення або надійного заземлення корпусу з використанням захисних засобів (діелектричні рукавички, килимки, калоші). В даних умовах необхідно застосовувати електричні машини II і III класів згідно ГОСТ 12.2.007.0-75. Недоступність для випадкового дотику до струмопровідного устаткування досягається застосуванням стаціонарних огороджень і розташу-ванням неізольованих електропроводів на великій висоті (ЛЕП), або у не-доступному місці. Для захисту від дотику до струмоведучих елементів комутаційних апаратів застосовують прилади закритої конструкції (паке-тні вимикачі, рубильники).

Захисне заземлення - навмисне електричне з’єднання із землею мета-левих струмопровідних не струмоведучих частин, на яких може з’явитися напруга. Заземлення - це сукупність заземлювача і заземлювальних про-відників. Заземлювачі можуть бути штучні (створені спеціально для зазе-млення електроустановок) і природні (металеві предмети, що знаходяться в землі і мають будівельне технологічне чи інше призначення). Для шту-чних заземлювачів застосовують вертикальні і горизонтальні електроди. Вертикальні - зі стальних прутів діаметром 10-12 мм, кутової сталі роз-міром 40×40 мм або стальних труб діаметром 30-50 мм, довжиною 2,5-3 м. Вертикальні електроди з’єднують стальною штабою розміром 4×12 мм або круглим дротом діаметром не менше 6 мм. Опір заземлюючого при-строю не повинен перевищувати 4-10 Ом (перевіряється щорічно).

Захисне заземлення переважно застосовується в трифазних мережах напругою до 1000 В, з ізольованою нейтраллю, і більше як 1000 В - з будь-яким режимом нейтралі. Основним параметром, що характеризує заземлюючий пристрій, є опір розтіканню струму, який залежить від опору землі. Наявність у ґрунті кислот і солей знижує опір розтікання, а при промерзанні і висиханні землі такий опір зростає.

Опір розтікання струму заземлювача визначають за спеціальною методикою.

Відповідно до Правил улаштування електроустановок (ПУЕ) захисне заземлення здійснюють:

при напрузі змінного струму 380В і вище та 440В і вище для по-стійного струму у всіх електроустановках;

при номінальних напругах змінного струму вище 42В та 110В по-стійного струму, що знаходяться в приміщеннях з підвищеною небезпекою, особливо небезпечних, а також в електроустановках, які знаходяться на відкритій місцевості;

при будь-якій напрузі змінного та постійного струму - у вибухоне-безепчних установках.

Занулення - навмисне електричне з’єднання з нульовим захисним провідником металевих частин, на яких може з’явитися напруга. Нульовий захисний провідник з’єднує корпус установки з глухо за-земленою нейтраллю. Таке з’єднання на випадок пробивання ізоляції на корпус призводить до короткого замикання між фазним та нульовим про-відниками, а струм короткого замикання обумовить вимикання пошко-дженого обладнання (розплавлення плавких запобіжників або спрацю-вання автоматичних вимикачів).

Занулення застосовують у трифазних 4-х провідникових мережах на-пругою джерела живлення до 1000В з глухозаземленою нейтраллю. Це мережі напругою 660/380; 380/220 і 220/127В.

Відповідно до ПУЕ, занулення корпусів електроустаткування вико-ристовується в тих випадках, що й захисне заземлення. Слід відмітити, що одночасне заземлення та занулення корпусів електроустановок значно підвищує їх електробезпеку. Застосування металоконструкцій будівель, трубопроводів і облад-нання для утворення нульового робочого провідника заборонено.

Захисне відключення - це швидкодіючий захист, що забезпечує авто-матичне вимикання електричної установки при виникненні в ній небезпе-ки ураження людей електричним струмом.

За конструкцією пристрої, що вимикають, можуть реагувати на напругу корпуса відносно землі (дифреле), на струм замикання на землю тощо. Час вимикання їх повинен бути не більше 0,2 с.

Захисне розділення мереж - це розділення електричної мережі на окремі електрично не з’єднані між собою ділянки за допомогою поділяючих трансформаторів. Воно спрямоване на підвищення захисної ролі ізо-ляції струмовідних частин, що досягається або зменшенням ємкості мереж, або переходом від мереж з заземленою нейтраллю до мереж з ізольованою нейтраллю. Якщо єдину, сильно розгалужену мережу з ве-ликою ємкістю та малим опором ізоляції, поділити на низку невеликих мереж такої ж напруги, які мають незначну ємкість та великий опір ізо-ляції, то це різко покращує електробезпеку.

Мала напруга - це напруга до 42 Вт, яка не здатна викликати небез-печну електричну дію на людину за нормальних обставин. Використовується в переносних лампах, аварійному освітленні, ручному інструменті тощо.

Простим способом сигналізації про можливу небезпеку впливу елек-тричного струму є спеціальне маркування електрообладнання або його частин кольоровою гамою ізоляції проводів, а саме:

силові ланцюги - чорний (темно-коричневий) колір;

ланцюги управління, виміру, сигналізації, місцевого освітлення перемінного струму - синій (фіолетовий) колір;

ланцюги з’єднання з нульовим проводом - голубий (сірий) колір.

ланцюги заземлення - зелено-жовтий (зелений) колір.

Електрозахисні засоби використовують з метою попередження дії електричного струму, електричної дуги та електромагнітного поля на лю-дей, які працюють з електроустановками; вони підрозділяються на ізолю-вальні, огороджувальні та запобіжні.

Ізолювальні електрозахисні засоби призначені для ізоляції людини від частин електроустановок, що знаходяться під напругою, та від землі, якщо людина одночасно доторкається до землі чи заземлених частин еле-ктроустановок та струмопровідних частин (корпусів), які опинились під напругою. Використання цих засобів залежить від типу електроустано-вок:

при роботах на електроустановках з напругою до 1кВ використовують діелектричні рукавички, ізольовані штанги, інструменти з ізольо

ваними ручками, струмовимірювальні кліщі, діелектричні калоші, килим-ки, ізольовані підставки;

при роботах на електроустановках з напругою понад 1 кВ - ізольовані штанги, струмовимірювальні та ізолювальні кліщі, покажчики напруги, діелектричні рукавички, діелектричні калоші, килимки, ізольовані підставки.

Огороджувальні електрозахисні засоби - це переносні огорожі, щити та інші засоби, призначені для тимчасового огороджування струмопровідних частин, а також для їх заземлення. Запобіжні електрозахисні засоби призначені для захисту персоналу. Від випадкового падіння з висоти застосовують запобіжні пояси, для забезпечення безпечного піднімання на висоту - драбини, «кігті», для зме-ншення негативної дії світлової, теплової енергії та дії електромагнітного поля - захисні окуляри, щитки, рукавички, спецодяг тощо.

3.3 Організація пожежної безпеки

Робота з організації і забезпечення пожежної безпеки на підприємстві покладається на його керівника, а в цехах, службах, відділах і дільницях наказом керівника підприємства - на відповідних керівників. Постійно діюча пожежно-технічна комісія створюється на кожному підприємстві і очолюється головним інженером підприємства. Комісія проводить пожежно-технічне обстеження цехів, дільниць підприємства, розробляє заходи щодо зниження пожежної небезпеки окремих технологічних процесів і пожежної безпеки виробничих приміщень, обладнання, складів і всього підприємства загалом.

Пожежна охорона підприємства забезпечується добровільною пожежною дружиною (ДПД) і бойовими розрахунками в цехах, відділах, змінах, що складаються із службовців та інженерно-технічних працівників. З робітниками та інженерно-технічними працівниками, які влаштовуються на роботу, проводиться вступний загальний інструктаж з пожежної безпеки на підприємстві. Первинний інструктаж для них проводиться безпосередньо на робочому місці керівником з показуванням прийомів праці, що забезпечують пожежну і вибухову безпеку. Робітники, пов'язані з пожежонебезпечними речовинами і матеріалами, проходять додатково навчання за програмою пожежно-технічного мінімуму з подальшою перевіркою знань. Пожежна охорона підприємств контролюється органами Державного пожежного нагляду, Головним управлінням пожежної охорони Міністерства внутрішніх справ України, відділами Державного пожежного нагляду, відділами внутрішніх справ, виконавчих комітетів, міських, районних Рад народних депутатів, частинами пожежної охорони міст, селищ міського типу і районних центрів.

Державний пожежний нагляд виконує такі функції:

використовує контроль забезпечення об'єктів народного господарства і населених пунктів коштами на протипожежний захист, пожежною технікою і дотримання правил і норм пожежної безпеки;

розробляє рекомендації з посилення протипожежного захисту об'єктів народного господарства і сприяє їх реалізації;

розробляє правила пожежної безпеки будівель, споруд із зацікавленими організаціями;

готує висновки згідно з проектами стандартів, що встановлюють вимоги пожежної безпеки, а також стандартів і технічних умов на пожежну техніку;

контролює виконання проектними і будівельними організаціями протипожежних вимог;

в складі державних комісій приймає в експлуатацію підприємства, будівлі і споруди; бере участь у розв'язанні питань організації пожежної охорони об'єктів народного господарства;

веде пропаганду з питань боротьби з пожежами. Пожежно-профілактична робота на підприємстві проводиться:

керівним складом воєнізованої та професійної пожежної охорони;

членами добровільних пожежних дружин і пожежниками на громадських засадах;

уповноваженими штатними особами, відповідальними за пожежну безпеку;

членами пожежно-технічних комісій.

Організація, проведення пожежно-профілактичних заходів і контроль за дотриманням протипожежного режиму покладені на керівників служби підприємств. Керівники служби зобов'язані:

встановити на кожному об'єкті служби відповідний протипожежний режим і зобов'язати суворо дотримуватися його всіма працівниками служби;

вжити заходів щодо негайної ліквідації виявлених недоліків з пожежної безпеки і забезпечити інструктаж з пожежної безпеки для всіх робітників і службовців;

проводити постійну роз'яснювальну роботу з питань пожежної безпеки.

Випадки виникнення пожежі ретельно аналізуються комісією, що призначається керівником підприємства. На основі матеріалів розслідування розробляються профілактичні протипожежні заходи.

Протипожежний режим - комплекс встановлених норм поведінки людей, правил виконання робіт і експлуатації об'єкта, спрямованих на забезпечення його пожежної безпеки.

Пожежна профілактика - комплекс організаційних і технічних заходів, спрямованих на забезпечення безпеки людей, на запобігання пожежі, обмеження її поширення, а також створення умов для успішного гасіння пожежі. Пожежна профілактика буде ефективною, якщо постійно ведеться дослідження пожежної небезпеки об'єктів, приміщень і процесів.

Література

1. Коновалова Л.Л., Рожкова Л.Д. К 64 Электроснабжение промышленных предприятий и установок: Учеб. пособие для техникумов.- М.: Энергоатомиздат, 1989.- 528 слил.

. Липкин Б.Ю. Л61 Электроснабжение промышленных предприятий и установок: Учеб для учашихся электротехн. специальностей средних спец. учеб. заведений. 4-е изд., перераб. и доп.- М.: Высш. шк.,1990.-366с.,ил.

. Неклепаев Б.Н., Крючков И.П. Н 47 Электрическая часть электростанций и подстанций: Справочные материалы для курсового и дипломного проектирования: Учеб. пособие для вузов.-4-е., изд., перераб. и доп.- М.: Энергоатомиздат, 1989.- 608 с.: ил.

. О-92 Охрана праці:Навч. посібник / За ред. В. Кучерявого.- Львів: Оріяна-Нова, 2007.-368 с,

. Цигельман Н.Е.,Тульчин Н.К. Ц 56 Электроснабжение ,электрические сети и освещение. Изд.3-е, переработ. и доп. Учебник для электромехан. техникумов. М., Высш. шкала, 1970 488 с. силл.

Похожие работы на - Енергозбереження в Україні

 

Не нашли материал для своей работы?
Поможем написать уникальную работу
Без плагиата!
Без нейросетей!