Особливості формування трудових ресурсів підприємства

  • Вид работы:
    Дипломная (ВКР)
  • Предмет:
    Эктеория
  • Язык:
    Украинский
    ,
    Формат файла:
    MS Word
    536,94 Кб
  • Опубликовано:
    2014-02-15
Вы можете узнать стоимость помощи в написании студенческой работы.
Помощь в написании работы, которую точно примут!

Особливості формування трудових ресурсів підприємства














ДИПЛОМНА РОБОТА

з дисципліни «Економіка та фінанси підприємства»

на тему: «Особливості формування трудових ресурсів підприємства»

ЗМІСТ

ВСТУП

РОЗДІЛ 1. НАУКОВІ ОСНОВИ ФОРМУВАННЯ ТРУДОВИХ РЕСУРСІВ ПІДПРИЄМСТВА

.1 Сутність і основні напрямки формування трудових ресурсів підприємства в сучасних умовах

.2 Необхідність та засоби розвитку трудових ресурсів підприємства

1.3 Зміст і методи оцінювання трудових ресурсів підприємства

РОЗДІЛ 2. АНАЛІЗ ФОРМУВАННЯ ТРУДОВИХ РЕСУРСІВ ТОВ «КОРПОРАЦІЯ «РОВЕКС»

2.1 Організаційно - економічна характеристика підприємства

2.2 Аналіз ефективності використання трудових ресурсів підприємства

2.3 Оцінка мотивації трудових ресурсів підприємства до підвищення продуктивності праці

РОЗДІЛ 3. ШЛЯХИ РАЦІОНАЛЬНОГО ФОРМУВАННЯ ТРУДОВИХ РЕСУРСІВ ПІДПРИЄМСТВА НА ПЕРСПЕКТИВУ

3.1 Вдосконалення методів формування трудових ресурсів підприємства

3.2 Пропоновані етапи формування і розвитку трудового колективу

3.3 Шляхи оптимізації структури та підвищення ефективності роботи трудового колективу підприємства

ВИСНОВКИ ТА ПРОПОЗИЦІЇ

СПИСОК ВИКОРИСТАНИХ ДЖЕРЕЛ

ДОДАТКИ

ВСТУП

В умовах розбудови України дедалі більшого значення набувають проблеми формування трудових ресурсів підприємства. Ефективне формування трудових ресурсів підприємства позитивно впливає на результати діяльності підприємства завдяки оптимізації використання персоналу, виявленню й продуктивному застосуванню професійного потенціалу співробітників, створенню основи для планомірного набору й відбору персоналу, скороченню загальних витрат на робочу силу за рахунок продуманої, послідовної й активної політики на ринку праці. Тому комплексне вивчення теоретичних і практичних основ формування трудових ресурсів підприємства є важливою основою підприємницької діяльності, у чому й складається актуальність обраної теми.

Розрахунок поточної, середньострокової та перспективної потреби підприємства в персоналі є основою для прогнозування і формування його розвитку. Методи, що застосовувались для оптимізації чисельності трудових ресурсів за часів адміністративно-командної системи стосуються підприємств, функціонування котрих є відносно стабільним протягом тривалого періоду. Перехід до ринкових відносин докорінно змінює ситуацію. Діючі методики недостатньо розкривають практичні аспекти реалізації технічних й організаційних чинників, вони не враховують дії психофізіологічних (витрати розумової й фізичної енергії, ступінь втомлюваності та ін.) та економічних (ступінь використання встаткування, фонду робочого часу, матеріалів) чинників.

Перехід від адміністративно-командних до організаційно-економічних методів управління жадає від керівників усіх рівнів не просто виконання своїх функцій як виду діяльності по керівництву людьми, а досягнення поданих цілей, використовуючи працю, інтелект і мотиви поведінки інших людей

Питання, що стосуються формування трудових ресурсів підприємства, методики обліку необхідного персоналу, ефективності заходів щодо планування були досліджені в роботах Веснина В.Р., Кибанова А.Я., Шекшкні С.В., Базарова Б.Л, Кобець Е.А, Данюка В.М та ін. Так само питання формування трудових ресурсів підприємства знаходять своє відбиття в працях закордонних економістів, таких як Мескон і Десслер.

Мета даної дипломної роботи полягає в уважному вивченні одного з найважливіших аспектів теорії й практики - формування трудових ресурсів підприємства, а також розглянути практичне застосування формування трудових ресурсів підприємства на прикладі ТОВ «Корпорація «Ровекс».

Завдання дипломної роботи:

-  вивчити сутність формування трудових ресурсів підприємства;

-       визначити принципи формування трудових ресурсів підприємства;

-       розглянути підходи та методи формування трудових ресурсів підприємства;

-       провести аналіз формування трудових ресурсів підприємства ТОВ «Корпорація «Ровекс»;

-       сформувати рекомендації з удосконалення процесу формування трудових ресурсів для підприємства ТОВ «Корпорація «Ровекс».

Об’єкт - механізм формування трудових ресурсів підприємства.

Предмет - підходи, методи і принципи формування трудових ресурсів в рамках підприємства.

Інформаційною базою для написання дипломної роботи слугували монографії, статті з періодичних видань, матеріали наукових конференцій вітчизняних і зарубіжних авторів та первинна бухгалтерська звітність ТОВ «Корпорація «Ровекс», Інтернет - ресурси.

Методи дослідження - діалектичний метод, метод системного аналізу, спостереження, документалістика та розрахунково-аналітичний метод, якісний і кількісний аналіз і синтез, прогнозування.

РОЗДІЛ 1. НАУКОВІ ОСНОВИ ФОРМУВАННЯ ТРУДОВИХ РЕСУРСІВ ПІДПРИЄМСТВА

1.1 Сутність і основні напрямки формування трудових ресурсів підприємства в сучасних умовах


Формування трудових ресурсів як одна із важливих функцій управління персоналом полягає в кількісному, якісному, часовому і просторовому визначенні потреби в персоналі, необхідному для досягнення цілей організації. Формування трудових ресурсів ґрунтується на стратегії розвитку організації, її кадрової політики. Функція формування кадрів стає все більш важливою в забезпеченні стратегії організації, оскільки точний облік майбутніх потреб дає змогу чітко орієнтуватися під час розроблення планів підвищення кваліфікації і роботи з резервом. Проте треба зазначити, що заплановані програми економічного зростання організації дедалі частіше не забезпечуються відповідними управлінськими кадрами, в них більше уваги приділяється питанням фінансування та інвестицій.

Метою формування трудових ресурсів є визначення його кількісного та якісного складу, що забезпечує розвиток підприємства, його економічне зростання в коротко-, середньо- та довгостроковий період.

Формування трудових ресурсів може здійснюватися за такими напрямами:

-  структурно визначене формування, тобто формування, що ґрунтується на поділі праці відповідно до виробничого процесу;

-       індивідуальне формування - формування кар’єри співробітника, формування оновлення трудових ресурсів;

колективне формування - формування трудових ресурсів колективу, або окремих його груп [18].

Короткострокове формування - поширюється на період не більше одного року.

Середньострокове формування - передбачає розроблення планів на період від одного року до п’яти років.

Довгострокове формування - це розроблення планів більш ніж на п’ять років.

За короткострокового формування трудових ресурсів переважно приділяється увага його використанню, за середньо- і довгострокового - питанням набору, розвитку і звільнення працівників з роботи.

Первісним етапом формування трудових ресурсів є формування потреби в ньому, тобто визначення якісної і кількісної потреби в персоналі, що обумовлена економічним станом підприємства.

Визначаючи потребу в персоналі, необхідно враховувати кон’юнктуру ринку, володіти ситуацією на ринку праці, з тим щоб забезпечити ефективне покриття потреби організації в кваліфікованих працівниках, що є передумовою реалізації її цілей. Доцільно проводити дослідження ринку з метою визначення поточних і перспективних потреб у персоналі з урахуванням його кількості та якості, розвитку виробництва для власного підготування нових робочих місць і вимог до працівників; залучення трудових ресурсів, особисті якості якого відповідають вимогам, що їх ставить організація.

Формування потреби проводиться за категоріями трудових ресурсів: робітники, професіонали, фахівці та технічні службовці. Потреба в робітниках планується окремо для основного і допоміжного виробництв, за професіями, а також виходячи зі складності робіт - за кваліфікацією. Професіонали, фахівці, технічні службовці групуються за видами діяльності відповідно до функцій управління підприємством [37].

Зіставлення планової потреби і фактичної чисельності працівників дає можливість визначити зміни чисельності за професіями і посадовими групами, що слугує основою для розроблення програм розвитку трудових ресурсів. При цьому вакансії використовуються насамперед для ротації трудових ресурсів, формування службової кар’єри і професійного росту працівників, розроблення програми перепідготовки і підвищення кваліфікації для успішного освоєння роботи на новому робочому місці. Джерелом комплектування вакансій передусім мають бути працівники, які вивільнені з інших видів діяльності та дільниць виробництва.

Якісна потреба визначається на основі професійно-кваліфікаційного розподілу робіт, вимог до робочих місць і посад, штатного розпису організації та її структурних підрозділів.

Визначення кількісної потреби у персоналі передбачає установлення вихідних даних для розрахунку та безпосередній розрахунок необхідної чисельності працівників на певний період часу, робочих місць, обсягу витрат.

Додаткова потреба (абсолютний приріст чисельності) забезпечується за рахунок наймання молоді, яка закінчує професійні навчальні заклади, і набору нових співробітників. Підбір трудових ресурсів здійснюється як своїми силами, так і через служби зайнятості, а також незалежними кадровими центрами і фірмами [16].

Формування набору трудових ресурсів ґрунтується на прогнозі, на основі якого визначається потреба в заміні або додатковому наборі співробітників. При цьому враховуються їх якісні та кількісні характеристики. Формування набору здійснюється виходячи з обсягу і структури майбутньої потреби в персоналі (наприклад, пріоритет внутрішнього набору співробітників перед зовнішнім, запрошення на роботу освічених працівників, залучення співробітників соціально нестабільних верств). Якісне і кількісне формування набору трудових ресурсів полягає у визначенні кількості працівників кожної категорії трудових ресурсів, які повинні бути найняті на роботу на внутрішньому або зовнішньому ринку робочої сили.

Підбір трудових ресурсів може здійснюватися на основі таких процедур:

-  аналіз поданих із заявою документів (свідоцтва, біографії, характеристики тощо);

-       співбесіди під час наймання (у довільній чи підготовленій заздалегідь формі);

-       психологічні тести;

-       оцінювання особистості через моделювання типових для відповідного робочого місця ситуацій.

Нині важливим є формування вивільнення трудових ресурсів, що пов’язане з появою надлишку робочої сили порівняно із запланованою потребою в ній. При цьому необхідно з’ясувати причини виникнення надлишку робочої сили за допомогою перевірки структурних підрозділів і визначення, в якому з них з’явився надлишок робочої сили. Причини вивільнення можуть бути такі:

-    припинення виробництва через недоцільність існування підприємства;

-       тривалий спад зайнятості працівників;

-       характерні для усієї галузі процеси згортання виробництва;

-       обмежений або необмежений дефіцит капіталу;

-       нові напрями технічного розвитку;

-       зміни вимог до робочих місць;

-       зміни організаційної структури.

Формування вивільнення трудових ресурсів потрібне для установлення і своєчасного або випереджаючого зменшення його «надлишків». Випереджаюче вивільнення трудових ресурсів за допомогою прогнозів щодо вивільнення трудових ресурсів і формування альтернативного використання працівників, зміна робочого місця всередині підприємства, відмова від прийняття нових працівників, їх добровільне звільнення, а також розроблення нових умов роботи сприяє уникненню надлишків робочої сили і завчасному скороченню штату [21].

Випереджаюче формування вивільнення трудових ресурсів широко застосовується на підприємствах Західної Європи. Це пояснюється тим, що персонал розглядається як людський капітал, як вирішальний фактор успіху діяльності підприємства, оскільки персонал повинен використовуватися протягом тривалого періоду і в нього були зроблені капіталовкладення (наприклад, на заходи, пов’язані з первісною і подальшою освітою працівників).

Використання трудових ресурсів являє собою комплекс заходів, спрямованих на забезпечення умов для найефективнішої реалізації трудового потенціалу працівників. Воно повинно відповідати цілям організації, захищати інтереси працівників і забезпечувати дотримання законодавства про працю у процесі роботи.

Основні принципи раціонального використання трудових ресурсів передбачають забезпечення:

-  раціональної зайнятості працівників;

-       стабільності та рівномірного навантаження працівників протягом робочого періоду (дня, тижня, місяця, року);

-       відповідності трудового потенціалу працівника, його психофізіологічних даних вимогам робочих місць і виробництва за допомогою переходу з одного робочого місця на інше;

-       максимальної можливості виконання на робочому місці різних операцій, що забезпечує чергування навантажень на різні частини тіла та органи чуття людини.

Виходячи з цих принципів раціональне використання трудових ресурсів означає насамперед досягнення кількісної та якісної збалансованості робочих місць і працівників, поширення гнучких форм зайнятості, забезпечення умов і організації праці, що сприяють повній реалізації трудового потенціалу працівників. Окрім того, необхідний диференційований підхід щодо зайнятості працівників на таких стадіях, як навчання, робота в передпенсійному та пенсійному віці [42].

Для характеристики процесу формування стабільності трудового колективу використовують такі показники:

-  показник обороту трудових ресурсів;

-       коефіцієнт стабільності трудових ресурсів;

-       коефіцієнт плинності трудових ресурсів;

-       коефіцієнт змінності трудових ресурсів.

Оборот трудових ресурсів визначається як відношення кількості усіх вибулих (оборот по звільненню) або усіх прийнятих (оборот по прийняттю) за певний період до середньооблікової чисельності працюючих протягом того самого періоду.

Коефіцієнт обороту по звільненню визначається за формулою:

Кз = Rз : Rср • 100 %, (1.1)

де Кз - коефіцієнт обороту по звільненню;з - кількість звільнених;ср - середньооблікова чисельність.

Коефіцієнт обороту по прийняттю розраховується аналогічно:

Кп = Rп : Rср • 100 %. (1.2)

Коефіцієнт загального обороту визначається як сума обох величин:

Кзаг = Кз + Кп . (1.3)

Постійність, або стабільність, трудових ресурсів - це поняття, що відбиває величину, яка визначається відношенням чисельності працівників зі стажем роботи на підприємстві більше одного року (Rі) до їх середньооблікової чисельності (Rср). Цей показник розраховується за формулою:

К = Rі : Rср • 100 %. (1.4)

Величина плинності трудових ресурсів характеризується коефіцієнтом плинності - відношенням кількості працівників, які звільнилися з підприємства протягом певного періоду за власним бажанням і які звільнені за прогули та інші порушення дисципліни та іншим причинам, що не викликані виробничою або загальнодержавною потребою (Rзв) до середньооблікової чисельності працівників за той самий період:

Кпл = Rзв : Rср • 100 %. (1.5)

Від плинності трудових ресурсів треба відрізняти його змінність. Змінністю кадрів називається заміщення прийнятими працівниками звільнених з підприємства. Її показником є коефіцієнт змінності (Кзм), тобто найменше число із прийнятих або звільнених, віднесене до середньооблікової чисельності працівників, звільнених у зв’язку зі скороченням штатів:

Кзм = Rп (Rз) : Rср • 100 %. (1.6)

де Кзм - коефіцієнт змінності;п (Rз) - найменше число з прийнятих (звільнених).

Важливим напрямом роботи з персоналом в організації під час залучення кадрів є управління трудовою адаптацією.

Адаптація - це оволодіння спеціальністю, а також пристосування працівника до певних соціальних норм організації, установлення таких відносин співробітництва працівника і всього колективу, які сприятимуть забезпеченню ефективної праці, матеріально-побутових і духовних потреб обох сторін [32].

Адаптація може бути:

-  первинна, тобто пристосування молодих кадрів, які не мають досвіду професійної діяльності. Це найчастіше випускники навчальних закладів;

-       вторинна, тобто пристосування працівників, які мають досвід професійної діяльності, проте змінюють об’єкт діяльності або професійну роль.

1.2 Необхідність та засоби розвитку трудових ресурсів підприємства


У сучасних умовах великого значення набуває конкурентоспроможність трудових ресурсів, що являє собою вміння кожного з працівників та всіх разом як єдиного організму швидко й ефективно сприймати та реалізувати різні нововведення на кожній стадії життєвого циклу продукції.

Конкурентоспроможність кадрів досягається лише за умов постійного поглиблення знань, умінь, навичок, сприятливого соціально-психологічного клімату, відповідних умов праці. Конкурентоспроможність трудових ресурсів можна визначити як результат його розвитку, котрий досягається через застосування комплексу заходів, що охоплює професійне навчання, перепідготовку, підвищення кваліфікації кадрів, а також формування кар’єри трудових ресурсів організації.

Розвиток трудових ресурсів є важливим фактором успішної діяльності підприємства.

Завданням формування розвитку трудових ресурсів є визначення майбутніх вимог, що ставляться до робочих місць, а також формування заходів, необхідних для професійного розвитку працівників.

У плануванні розвитку трудових ресурсів важливим завданням є формування заходів, спрямованих на досягнення рівня освіти, необхідного для призначення на певну посаду. На підприємствах треба розробляти плани щодо подальшої освіти співробітників, направлених для набуття спеціальної професійної кваліфікації і виробничого досвіду [43].

Потреба в розвитку трудових ресурсів визначається через порівняння знань і вмінь працівників з майбутніми завданнями і вимогами. При цьому необхідно враховувати інтереси і побажання працівника, а також його потенціал. Працівники заінтересовані в пристосуванні своєї кваліфікації до вимог робочого місця, в гарантіях виробничого зростання (формування кар’єри): підвищення особистої мобільності на ринку робочої сили; отримання шансів для самореалізації на робочому місці.

Розвиток трудових ресурсів для кожного підприємства є важливим напрямом виробничих інвестицій. Пріоритетність інвестицій в розвиток трудових ресурсів визначається необхідністю підвищення ділової активності кожного працівника з метою подальшого успішного розвитку організації, упровадження нових технологій, зростання продуктивності праці тощо.

Успішний розвиток трудових ресурсів обумовлений трьома факторами: знаннями, можливостями і поведінкою працівників.

Знання є основою розвитку здібностей трудових ресурсів, сприяє формуванню особистого потенціалу. Можливості виражають умови використання отриманих знань, визначають їх корисність, реалізацію. Розвиток трудових ресурсів пов’язаний насамперед з приведенням у відповідність знань працівників та їхніх можливостей. Виходячи зі своїх можливостей і на основі своєї діяльності співробітники набувають необхідного досвіду.

Поведінка трудових ресурсів все більшу роль відіграє за групового управління, солідарного стилю лідерства. Розвиток трудових ресурсів неможливо забезпечити тільки на основі підвищення знань і можливостей. Необхідно враховувати особливості поведінки, взаємовідносин, міжособистісних і неформальних комунікацій.

Розрізняють дві групи методів формування та активізації знань, можливостей і поведінкових аспектів:

-  формування і розвитку кадрового потенціалу;

-       розвитку потенціалу кожного співробітника.

До першої групи відносять методи:

-    організаційного розвитку, удосконалення організаційних структур;

-       поліпшення стилю управління;

-       конфліктного менеджменту, що сприяє міжособистісним комунікаціям і створенню сприятливого мікроклімату;

-       техніка групової роботи менеджера.

До другої групи належать методи:

-  підготовки і перепідготовки робітників, фахівців, професіоналів і керівників;

-       підвищення кваліфікації;

-       проведення семінарів, конференцій, групових дискусій [11].

Умовами розвитку трудових ресурсів можуть бути:

-  оцінювання трудових ресурсів, тобто визначення здібностей і можливостей працівника для підвищення ефективності роботи;

-       визначення мінімальної кваліфікації працівника як у нинішній момент, так і в майбутньому. При цьому метою кожного працівника є виконання поставлених перед ним вимог і завдань. Водночас він має бути задоволений своєю роботою, поліпшувати свій імідж, мати можливість просування службовими східцями; брати на себе відповідальність, поліпшувати своє становище на ринку праці, мати надійне робоче місце і достатній заробіток;

-       визначення стратегічних цілей підприємства щодо потреб у персоналі, формування попереднього резерву, просування складу резерву керівників, заходи щодо підвищення кваліфікації, оплата праці, орієнтована на виконану роботу.

Розвиток трудових ресурсів - це сукупність заходів щодо набуття і підвищення кваліфікації працівників, а саме:

-  навчання, яке у формі загального і професійного навчання дає необхідні знання, навички і досвід;

-       підвищення кваліфікації, тобто поліпшення професійних знань і навичок у зв’язку з розвитком науково-технічного прогресу;

-       перекваліфікація, що, по суті, дає друге навчання, тобто професійна профорієнтація, можливість освоїти нову спеціальність;

-       навчання в школі управління і керівництва, що дає необхідні знання і підготовку для призначення на керівну посаду і формування кар’єри керівника.

Необхідність постійного професійного навчання обумовлена певними факторами:

-  упровадженням нової техніки, технологій, виробництвом сучасних товарів, зростанням комунікативних можливостей;

-       виходом на ринок з високим рівнем конкуренції;

-       тією обставиною, що для організації ефективнішим є підвищення віддачі від уже працюючих працівників на основі їх неперервного навчання, ніж залучення нових працівників.

Підприємство повинно розробляти і постійно поновлювати свої програми систематичної підготовки і перепідготовки працівників. Програми мають бути складені з урахуванням конкретних особливостей структури трудових ресурсів і актуальних завдань розвитку підприємства [45].

Розрізняють два види професійного навчання:

-  загальна (первинна) професійна підготовка;

-       підвищення кваліфікації та перепідготовка.

Процес професійного навчання відображений на рис. 1.1.

Рис. 1.1. Процес професійного навчання

Одним із елементів системи управління персоналом є формування трудової кар’єри.

Як свідчить зарубіжний досвід, необхідно планувати ділову кар’єру з моменту прийняття працівника на роботу до його звільнення.

Розрізняють два види кар’єри: професійну та внутрішньоорганізаційну.

Професійна кар’єра характеризується тим, що конкретний працівник у процесі свого трудового життя проходить різні стадії розвитку: навчання, вступ на роботу, професійний ріст, підтримання індивідуальних професійних здібностей і, нарешті, вихід на пенсію. Усі ці стадії працівник може пройти послідовно в різних організаціях.

Внутрішньоорганізаційна кар’єра охоплює послідовну зміну стадій розвитку працівника в одній організації.

Вона може бути:

-  вертикальною - піднімання на вищий ступінь структурної ієрархії;

-       горизонтальною - переміщення в іншу функціональну сферу діяльності або виконання певної службової ролі на сходинці, що не має жорсткого формального закріплення в організаційній структурі (наприклад, виконання ролі керівника тимчасової цільової групи, програми тощо). Окрім того, до горизонтальної кар’єри відносять також розширення або ускладнення завдань у межах сходинки, на якій перебуває працівник, з відповідною зміною винагороди. Працівник повинен знати не тільки свої перспективи на коротко- та довгостроковий періоди, а й результати, яких він повинен досягти, щоб розраховувати на просування по службі [23].

Однією з форм розвитку трудових ресурсів, зокрема керівного складу, є створення резерву на заміщення керівних посад і планомірна робота з ним.

Резерв керівних кадрів - це певна група працівників, які відібрані для просування на керівні посади за результатами оцінювання їхніх професійних знань, умінь і навичок, ділових і особистих якостей. Формування кадрового резерву повинно забезпечувати своєчасне заміщення вакантних посад новими працівниками, сталість управління організацією та її структурними підрозділами; призначення на посади компетентних, здібних працівників; навчання претендентів на посади; постійне накопичення ними необхідного досвіду на новій для них посаді.

1.3 Зміст і методи оцінювання трудових ресурсів підприємства


Оцінювання трудових ресурсів - це запланована, формалізована характеристика трудової діяльності зайнятих, ефективності роботи трудових ресурсів.

З оцінкою трудових ресурсів тісно пов’язані такі поняття виробничої практики: мотивація, системи заробітної плати і преміювання, формування кар’єри, підвищення кваліфікації, кадрове регулювання.

Зміст і методи оцінювання можуть суттєво різнитися залежно від того, які конкретні завдання вирішуються з його допомогою.

Оцінювання може проводитися:

-    кандидатів під час приймання їх на роботу;

-       відповідності працівників вимогам робочого місця, посаді;

-       ефективності праці з метою установлення рівня оплати і форм стимулювання;

-       працівників для формування кадрового резерву, формування кар’єри, професійно-кваліфікаційного просування;

-       професійних знань і навичок працівників з метою організації внутрішньофірмового навчання;

-       професійних і лідерських якостей під час підбору на керівні посади;

-       ділових якостей працівників у разі необхідності зміни виду діяльності, професії у зв’язку зі станом здоров’я, переорієнтацією підприємства і вивільненням трудових ресурсів [34].

Існує три основні традиційні методи оцінювання трудових ресурсів:

-    оцінювання за діловими якостями на основі варіантів якостей, які найбільшою мірою відповідають особистості оцінюваного (бальна або не бальна);

-       оцінювання за результатами діяльності, зокрема за ступенем виконання установлених завдань з урахуванням їх значущості;

-       система тестових методів оцінювання.

Практика управління персоналом свідчить про те, що оцінювання працівників здійснюється успішно в тих випадках, коли методи і критерії вибираються залежно від завдань, ситуації, побажань керівників і узгоджуються зі співробітниками. Оцінювання трудових ресурсів повинне проводитися систематично на основі однакових цілей, правил, за однаковими критеріями і процедурами, через однакові інтервали часу, а також порівнянням результатів оцінювання по можливості для однакових рівнів управління.

Критерії оцінювання трудових ресурсів можна згрупувати на:

-  критерії оцінювання результатів роботи: ефективність, професійна майстерність, додержання строків; погодинний виробіток; брак; використання робочого часу; уважність; технологічна дисципліна; ритмічність роботи; частота помилок; швидкість розпізнавання помилок тощо;

-       критерії поведінки на робочому місці: використання робочого часу; структура затрат часу на виконання робочого завдання і культура робочого місця; трудова дисципліна; сумлінність; особиста ініціатива; діловитість; готовність приймати самостійні рішення, підвищувати кваліфікацію; завантаженість роботою; передання професійних знань; готовність допомагати колегам; дбайливе ставлення до засобів виробництва.

Для персоналу управління залежно від вимог застосовуються інші критерії, ніж для співробітників. Критерії поведінки і результатів праці: професійна кваліфікація, застосування досвіду і навичок, знань, самостійність, ініціатива; здатність до аналізу, пошук рішень; надійність виконання роботи; доцільність методів роботи; витривалість, навантаження і стабільність, орієнтація на результат, співробітництво.

Критерії керівництва: визначення цілей, комунікабельність, мотивація співробітників, їх використання, сприяння їм, інформування співробітників.

Оцінювання ділових якостей працівника здійснюється переважно у формі атестації. Організаційно її проведення оформлюється відповідним наказом по підприємству. Цим атестації надається офіційний статус. Її результати використовуються для прийняття організаційних рішень відносно конкретного працівника. Отже, атестація - це документально оформлений результат оцінювання працівника [15].

Атестація повинна проводитися планово (раз в 3-5 років). Вона охоплює такі етапи:

-  підготовчий;

-       саму атестацію;

-       використання результатів атестації.

На підготовчому етапі вирішується питання щодо проведення атестації, строків її проведення, складаються списки працівників, які підлягають атестації, визначається кількісний склад атестаційної комісії (5-6 осіб). Усі ці документи оформлюються наказом по підприємству.

Атестаційна комісія складається з голови, членів комісії (керівні працівники, провідні спеціалісти різних структурних підрозділів, представники профспілок).

Графік проведення атестації доводиться до працівників за місяць до початку атестації, а матеріали в комісію подаються за два тижні до атестації. Це найчастіше атестаційний лист і відзив-характеристика.

Атестаційний лист готує кадрова служба. Він містить об’єктивну інформацію про працівника: освіта, стаж роботи за спеціальністю, на підприємстві, на посаді тощо.

У відзиві-характеристиці узагальнені результати оцінювання діяльності працівника, оцінювання його керівником.

Атестаційна комісія на основі цих матеріалів, повідомлень про працівника дає одну з підсумкових оцінок:

-  відповідає посаді, яку обіймає;

-       відповідає посаді, яку обіймає, за умови поліпшення роботи і виконання рекомендацій атестаційної комісії з повторною атестацією через рік;

-       не відповідає посаді, яку обіймає.

РОЗДІЛ 2. АНАЛІЗ ФОРМУВАННЯ ТРУДОВИХ РЕСУРСІВ ТОВ «КОРПОРАЦІЯ «РОВЕКС»

.1 Організаційно - економічна характеристика підприємства

Товариство з обмеженою відповідальністю «Корпорація «Ровекс» було засноване на загальних зборах власників Товариства з метою прискорення науково-технічних досягнень, сприянню найбільш повному задоволенню потреб народного господарства в послугах охорони, і зареєстроване Уманською районною державною адміністрацією Черкаської області 29 грудня 1994 року, реєстраційний № 26-01 на основі рішення Зборів засновників і є підприємством, створеним відповідно до закону України «Про підприємництво», «Про господарські товариства».

Товариство є юридичною особою згідно з чинним законодавством України, має печатку, самостійний баланс, майно, розрахунковий та інший рахунки в установах банків, торгівельний знак та інші ознаки юридичної особи.

Товариство набуває права юридичної особи з дня його державної реєстрації, проведеної у порядку, встановленому законодавством України.

Товариство здійснює свою діяльність на правах вільного товаровиробника на внутрішньому та зовнішньому ринках.

ТОВ «Корпорація «Ровекс» діє на принципах повного господарського розрахунку та самофінансування, несе відповідальність за результати своєї господарської діяльності, за виконання взятих на себе зобов’язань перед Засновниками і партнерами, держбюджетом і банками.

Товариство керується в своїй діяльності законодавством України, Установчим договором і Статутом.

Місцезнаходження та юридична адреса товариства: вул.. Глібка, 15а, м. Умань, Черкаська обл.., 20300.

Директор ТОВ «Корпорація «Ровекс»: Бучик Юрій Петрович, бухгалтер: Чайка Ганна Федорівна. Телефон основний: (04744) 32474, телефон бухгалтера: (04744) 32474.

Основна діяльність, - слідча діяльність та забезпечення безпеки (охорони).

ТОВ «Корпорація «Ровекс» здійснює такі види діяльності:

-  надання послуг з охорони державної та іншої власності;

-       надання послуг з охорони громадян;

-       позавідомча охорона та ін.

Види діяльності здійснюються при наявності ліцензії, якщо така необхідність зумовлена законодавством.

Майно Товариства - це основні фонди, нематеріальні активи, оборотні кошти а також інші цінності, які належать підприємству на правах власності і вартість яких відображена в самостійному балансі підприємства.

Джерелами формування майна підприємства є:

-  грошові та інші внески Засновників Товариства;

-       прибуток, одержаний підприємством;

-       інші джерела, не заборонені законодавством України.

Товариство має право:

-  самостійно набувати, обмінювати, орендувати в інших підприємствах, організаціях та установах, а також у громадян будівлі, споруди, автомобілі, інший транспорт, устаткування, сировину, матеріали та інше майно;

-       списувати з балансу своє майно у тому випадку, якщо воно фізично та морально застаріло або здійснювати відсудження майна будь-яким зручним для підприємства засобом;

-       передавати своє майне та грошові засоби у користування іншим юридичним особам і громадянам;

-       у своїй діяльності Товариство може використовувати взятий в оренду і власний автотранспорт працівників і Засновників та інше майно з послідуючим відшкодуванням витрат.

Вищим органом управління підприємством є Рада підприємства, що складаються з осіб-засновників підприємства. Виконавчий орган Товариства - Дирекція підприємства. Директор призначається Зборами Засновників і може вирішувати всі питання окрім тих, що зазначені вище. Товариство має право використовувати працю найманих робітників згідно з Цивільним кодексом України, Кодексу Законів про працю, Указами, Постановами Президента та Верховної Ради України та іншими законодавчими актами України. Товариство зобов’язується дотримуватись умов охорони праці. Всі суперечки по справах підприємства між Засновниками, а також між Товариством та іншими організаціями вирішуються в установленому законом порядку. Облік, звітність та документообіг Товариства організуються у відповідності з Положенням про бухгалтерський облік та іншими нормативними актами України.

Річний звіт про прибутки та збитки, баланс перевіряється і затверджуються Зборами Засновників. Ревізії та перевірки діяльності Товариства здійснюються у встановленому законодавством порядку фінансовими органами в межах їх компетенції. Діяльність підприємства припиняється за рішенням Зборів Засновників або в випадках, передбачених діючим законодавством. При реорганізації Товариства вся сукупність прав та обов’язків переходить до його правонаступників. Зміни та доповнення Статуту проводяться згідно з чинним законодавством.

Вищим органом самоврядування фірми є загальні збори дільничних пайовиків) трудового колективу. У період між загальними зборами справами керує правління товариства, а у період між засіданнями правління фірму її очолює директор.

Організаційна структура ТОВ «Корпорація «Ровекс» зображена на рисунку 2.1.

Наша охоронна фірма ТОВ «Корпорація «Ровекс» - невелике підприємство, яке має лінійно-штабну структуру, що видно з рис. 1.1. У фірми є постійні клієнти та надійні партнери. В майбутньому штат працівників буде збільшено, залежно від потреб.

На роботу охоронної фірми впливають фактори прямої та непрямої дії. До факторів прямої дії відносять ті, які безпосередньо впливають на роботу фірми. До непрямих факторів відносять ті, які впливають за певних умов (погодних, соціальних та інших), і всі вони відображені у таблиці 2.1.


 












Рис. 2.1. Організаційна структура ТОВ «Корпорація «Ровекс»

Бали - від +5 до -5. Оцінка впливу (бали) може змінюватися від +5 (дуже сильний позитивний вплив) до -5 (дуже сильний негативний вплив). Вага фактору визначається виходячи з умов, що сума всіх значень факторів дорівнює кількості факторів, що оцінюються. (наприклад: є 7 факторів - це 100 %, а наш фактор складає 25 %).

Отже, як бачимо, за аналізом внутрішнього середовища (табл. 2.1), самий позитивний вплив на діяльність охоронної служби справляє наявність підприємців в зоні, яку обслуговує охоронна фірма. Це не є секрет, що робота охорони залежить від бажання підприємців на забезпечення охорони. Також, з погляду інтересів охоронної фірми, їй на руку організація масових заходів та проведення святкових та вихідних днів.

Таблиця 2.1

Оцінка факторів зовнішнього середовища на діяльність ТОВ «Корпорація «Ровекс» на ринку охоронних послуг

№ п/п

Назва фактора

Оцінка впливу фактора, бали (Х)

Вага чи значимість фактора (Q)

Фактори прямої дії

1.

Підприємці

+5

41,7

2.

Конкуренти

-3

-25

3.

Держава

0

-

4.

Законодавство

+1

8,3

5.

Ділові партнери

+3

25

6.

Профспілки

-1

-8,3

7.

Інвестори

+2

16,6

Фактори непрямої дії

1.

Погіршення криміногенного стану

-3

-25

2.

Стан економіки в регіоні

-2

-16,6

3.

Погодні умови

-1

-8,3

4.

Пора року

+3

25

5.

Святкові дні та вихідні

+4

33,3

6.

Проведення масових заходів

+4

33,3

х

Разом

12

100


З одного боку, ці заходи навпаки мають насторожувати працівників, і в тому є більше небезпеки, але з іншого - підприємці та фірми, які здають свої об’єкти під охорону теж це знають і стараються запобігти небезпеці за допомогою охорони. Найбільше ж негативного впливу, звичайно, завдають конкуренти та погіршення криміногенного стану. Тут додати нічого. Я вважаю, що вирішення цих проблем полягає у набутті фірмою більшої репутації, ніж конкуренти, ведення справедливого і чесного бізнесу, а проти погіршення криміногенного стну можна посилити охорону об’єктів.

Аналіз фінансово-економічного стану підприємства і керування його фінансами проводиться на основі його фінансових звітів [7]:

-  Форма №1 «Баланс» - звіт про фінансовий стан, що відображає активи, зобов’язання і капітал підприємства на встановлену дату [8].

-       Форма №2 «Звіт про фінансові результати», що містить дані про доходи, витрати і фінансові результати діяльності підприємства за звітний і попередній періоди [9].

Однією з важливих характеристик фінансового стану підприємств є його фінансова незалежність від зовнішніх джерел. Основні фінансово-економічні показники ТОВ «Корпорація «Ровекс», м. Умань за останні три роки наведені в таблиці 2.2.

Таблиця 2.2

Основні показники фінансово-господарської діяльності ТОВ «Корпорація «Ровекс» за 2010-2012 роки, тис. грн.

Показники

Роки

Абсолютне відхилення (+,-)

Темп приросту, %


2010

2011

2012

2011р. від 2010 р.

2012р. від 2011 р.

2011р. від 2010 р.

2012р. від 2011 р.

Основні засоби

8

20

525

12

505

150

1525

Оборотні активи

221

283

287

62

4

28

1

Статутний капітал

2

2

2

-

-

-

-

Власний капітал

17

15

527

-2

512

-11,8

3413

Поточні зобов’язання

222

288

285

66

-3

30

-1,0

Дохід (виручка) від реалізації товарів

2429

1442

987

2224

40,6

154,2

Непрямі податки та інші вирахування з доходу

405

240

610

-165

370

40,7

154,2

Чистий дохід від реалізації продукції

2024

1202

3056

-822

1854

-40,6

154,3

Собівартість реалізованих товарів

2026

1074

2956

-952

1882

-46,9

175,2

Матеріальні витрати

88

44

207

-44,0

163

-50,0

370,5

Витрати на оплату праці

1063

652

1491

-411

839

-38,7

128,9

Податок на прибуток

-

4,9

32

-

36,9

-

753,1

Чистий прибуток (+),  збиток (-)

-2

7,5

118

9,5

110,5

-475

1473

Рівень рентабельності, %

-

0,01

0,04

0,01

0,03

-

300


Економічна діяльність досліджуваного підприємства за 2010-2012 роки є досить успішною, про що свідчить зростання доходів в 2012 році, порівняно з 2011 роком на 154,2 %. За аналізований період спостерігається також зростання собівартості, в 2012 році, порівняно з 2010 роком воно склало 46 %. При цьому суттєвою тенденцією є те, що зростає рівень матеріальних витрат в складі собівартості за останні три роки діяльності досліджуваного підприємства (більш ніж в два рази).

За звітний період спостерігається випереджаюче зростання собівартості, порівняно із темпами зростання доходів (на 0,1 % за 2011-2012 роки), що негативно позначається на ефективності діяльності ТОВ «Корпорація «Ровекс». Як наслідок, рівень рентабельності діяльності підприємства невисокий (0,01-0,04 %), що недостатньо для розширеного відтворення підприємства, рівень рентабельності за три звітних роки збільшився всього на 0,03 пункти.

Такі тенденції підвищують ступінь ризикованості діяльності ТОВ «Корпорація «Ровекс» Без вжиття відповідних заходів такі тенденції в перспективі можуть привести до банкрутства підприємства.

Розглянемо динаміку розміру та структури витрат ТОВ «Корпорація «Ровекс» (таблиця 2.3).

Таблиця 2.3

Аналіз структури операційних витрат ТОВ «Корпорація «Ровекс» за 2010-2012 роки, тис. грн.

Показник

Роки

Абс. відх. 2012р. від 2010р.

Темп росту, %


2010

2011

2012




тис. грн.

%

тис. грн.

%

тис. грн.

%



Матеріальні витрати

88

4

44

5

207

7

119

135,2

Витрати на оплату праці

1063

53

652

54

1491

50

428

40,3

Відрахування на соціальні заходи

382

19

240

17

474

16

92

24,1

Амортизація

8

-

2

0,02

52

2

44

550,0

Інші операційні витрати

485

24

274

22

741

25

256

528,0

Разом

2026

100

1230

100

2965

100

939

46,4


Виходячи з показників таблиці 2.3 бачимо, що загальний розмір витрат ТОВ «Корпорація «Ровекс» за останні три роки значно збільшився (на 939 тис. грн. або на 46,4 %). Таке збільшення виправдане, якщо додаткові витрати були продуктивними, понесені на інноваційні заходи. Продуктивний характер додаткових витрат певною мірою відображається через зміни в структурі витрат за аналізуємий період.

Бачимо, що за період 2010 - 2012 роки значно зросла така стаття витрат як оплата праці (на 40,3 %), відповідно збільшились відрахування на соціальні заходи (на 21,4%). Зріс розмір інших операційних витрат (на 528 %).

Спостерігається збільшення питомої ваги матеріальних витрат в їх загальній структурі, - на 3 %, Якщо наведені структурні зміни супроводжуються вдосконаленням організації виробництва і праці, тоді вони приводять до збільшення прибутковості діяльності підприємства. В підприємстві спостерігається така позитивна тенденція.

Динаміку операційних витрат підприємства ТОВ «Корпорація «Ровекс» за окремими статтями графічно зображено на рисунку 2.2.

Рис. 2.2. Графічне відображення динаміки операційних витрат ТОВ «Корпорація «Ровекс» (за 2010-2012 рр.)

Як бачимо (рис. 2.2) в 2011 році, порівняно з 2010 та 2012 роками розмір усіх елементів операційних витрат підприємства значно скоротився. Це пояснюється різким скороченням кількості замовлень на охорону об’єктів, що пояснюється позаекономічними причинами, неправомірними діями конкурентів, що мали характер рейдерства. Однак нашій фірмі вдалось вистояти в ці скрутні часи і в 2012 році наростити обсяг діяльності до рівня, що перевищує рівень попередніх років.

Фінансові результати діяльності підприємства значною мірою визначаються його фінансовою стійкістю. Фінансова стійкість є основою вдосконалення управління діяльністю підприємства. Розглянемо показники фінансової стійкості досліджуваного підприємства на основі даних таблиці 2.4.

Таблиця 2.4

Показники фінансової стійкості ТОВ «Корпорація «Ровекс» за 2010 - 2012 рр.

Назва показника

Розрахунок за даними  балансу

Роки

Відхилення




2011/2010

2012/2011



2010

2011

2012

абс.

відн.

абс.

відн.

Коефіцієнт фінансової стійкості

380/ (480+620)

0,991

0,758

0,801

-0,233

76

0,043

106

Коефіцієнт автономії

380/640

0,498

0,431

0,445

-0,067

87

0,014

103

Коефіцієнт співвідношення залученого і  власного капіталу (фінансування)

(480+620) /380

1,011

1,322

1,252

0,311

131

-0,070

95

Коефіцієнт заборгованості

620/380

1,011

1,322

1,352

0,311

131

-0,070

95


З розрахованих коефіцієнтів видно, що в підприємстві поступово знижується рівень фінансової стійкості. Так, якщо основний коефіцієнт фінансової стійкості у 2010 році складав 0,991, то в 2011 році відбулося його зменшення на 24% (-0,233), а в 2012 році, порівняно з 2011 роком, цей коефіцієнт збільшився на 6% (+0,043) і на кінець звітного періоду коефіцієнт фінансової стійкості ТОВ «Корпорація «Ровекс» становить 0,801. Тобто бачимо, що за останні три роки в нашому підприємстві рівень фінансової стійкості знизився на 0,190.

Коефіцієнт автономії ТОВ «Корпорація «Ровекс» має тенденцію до зниження в 2011 році, порівняно з 2010 роком. Зменшується незалежність підприємства від зовнішнього капіталу, на 13% (-0,067) у 2011 році і на 11% (0,053) в цілому за період 2010-2012 роки.

Коефіцієнт співвідношення власних та залучених джерел коштів відображає забезпеченість заборгованості ТОВ «Корпорація «Ровекс» власними коштами. Перевищення власних коштів над залученими свідчить про високий рівень фінансової стійкості підприємства. В даному випадку Кв.к./з.к. > 1. Бачимо, що ТОВ «Корпорація «Ровекс» є фінансово стійким підприємством (за усі три звітних роки цей коефіцієнт співвідношення залученого і власного капіталу (фінансування) був вищим 1. Крім того, по роках значення даного коефіцієнта має тенденцію до зростання.. Це відбувається тому, що підприємство надає перевагу короткостроковим кредитам і даний показник зріс на 31% (на 0,311) в 2011 році, порівняно з 2010 роком і дещо зменшився в 2012 році, порівняно з 2011 роком, на 5% (-0,070).

Важливим в аналізі економічних показників ТОВ «Корпорація «Ровекс» є аналіз ліквідності та платоспроможності. Ліквідність (платоспроможність) характеризує спроможність майна підприємства швидко перетворитись на грошові кошти з метою негайного погашення його поточної заборгованості. Відповідні показники наведено в таблиці 2.5.

Аналізуючи показники даної таблиці ми бачимо, що в цілому рівень ліквідності ТОВ «Корпорація «Ровекс» має тенденцію до підвищення. За окремими показниками спостерігаються наступні тенденції.

В ТОВ «Корпорація «Ровекс» за три останні три роки коефіцієнт абсолютної ліквідності має тенденцію до підвищення, з 0,202 в 2010 році. до 0,271 в 2012 році. При цьому таке підвищення не є стійкою тенденцією. Так, в 2012 році, порівняно з 2011 роком значення даного коефіцієнту зменшилося на 2% (на 0,005). Це свідчить про те, що в ТОВ «Корпорація «Ровекс» ще недостатньо уваги приділяється управлінню зобов’язаннями. В цілому, в ТОВ «Корпорація «Ровекс» вистачало грошових коштів на покриття невідкладних зобов'язань в 2010 - 2012 роках, адже значення коефіцієнту було більшим 0,2.

Таблиця 2.5

Аналіз коефіцієнтів ліквідності та платоспроможності ТОВ «Корпорація «Ровекс» за 2010 - 2012 рр.

Коефіцієнт

Нормативне значення

Роки

Відхилення




2011/2010

2012/2011



2010

2011

2012

абс.

відн.

абс.

відн

Коефіцієнт абсолютної ліквідності

0,2÷0,35

0,202

0,276

0,271

0,074

37

-0,005

-2

Коефіцієнт маневреності

-

0,637

0,606

0,607

-0,031

-5

0,001

0,2

Коефіцієнт покриття

>1

0,524

0,594

0,588

0,071

14

-0,006

-1


В ТОВ «Корпорація «Ровекс» за три останні роки коефіцієнт маневреності мав тенденцію до зниження, з 0,637 в 2010 році до 0,607 в 2012 році. В 2012 році, порівняно з 2011 роком, значення даного коефіцієнту збільшилось, але несуттєво, всього на 0,001. В цілому рівень маневреності матеріальних оборотних активів ТОВ «Корпорація «Ровекс» невисокий.

Коефіцієнт покриття в ТОВ «Корпорація «Ровекс» за 2010 - 2012 роки має тенденцію до збільшення. Так в 2011 році він збільшився, порівняно з 2010 роком на 13% або на 0,070. Але уже в 2012 році, порівняно з 2011 роком, він зменшився на 1% (-0,006). В загальному, значення даного коефіцієнту в ТОВ «Корпорація «Ровекс» за останні три роки значно менше граничної межі 1,0, тому наше підприємство можна вважати низько ліквідним.

Проаналізуємо вплив зміни чисельності працівників підприємства та продуктивності їх праці на обсяг дододів. Для цього побудуємо таблицю 2.6.

Для детальнішого аналізу використаємо метод ланцюгових підстановок і проаналізуємо вплив факторів за 2011-2012 роки.

Таблиця 2.6

Аналіз зміни чисельності працівників ТОВ «Корпорація «Ровекс» та їх продуктивності праці

Показники

2010 р.

2011 р.

2012 р.

Абсолютне відхилення

Відносне відхилення, %





2011-2010 рр.

2012-2011 рр.

2011-2010 рр.

2012-2011 рр.

Дохід, тис. грн.

2429

1442

3666

-987

2224

-40,6

154,2

Чисельність працівників, чол.

60

78

80

18

2

30,0

2,6

Продуктивність праці, тис. грн. /чол.

40,5

18,5

45,8

5,3

27,3

13,1

147,6


Для цього використаємо формулу:

 (2.1)

де, - обсяг доходу підприємства;  - чисельність працівників; - продуктивність праці.

ТО2011 = Ч2011 * ПП2011 = 1442 тис. грн. ТО2012 = Ч2012 * ПП2012 = 3666 тис. грн. ТО¢ = Ч2012 * ПП2011 = 80 * 18,5 = 1480 тис. грн.

D Ч = ТО¢ - ТО2011 = 38 тис. грн. D ПП = ТО2012 - ТО¢ = 2186 тис. грн.

Таким чином, ми бачимо, що на зміну доходів досліджуваного підприємства вплинули такі чинники:

-  через збільшення чисельності працівників на 2 людини доход підприємства у 2012 році, порівняно з 2011 роком зріс на 38 тис. грн.;

-       а зростання продуктивності праці працівників у 2012 році на 27,3 тис. грн./чол. відносно рівня 2011 року призвело до зростання товарообороту на 2186 тис. грн. В цілому обсяг реалізації продукції ТОВ «Корпорація «Ровекс» у 2012 році зріс на 2224 тис. грн.

2.2 Аналіз ефективності використання трудових ресурсів підприємства

Ріст продуктивності праці в промисловості досягається не тільки впровадженням новітніх досягнень в області техніки, технології, організації і управління виробництвом, але й раціональною системою стимулювання праці. Існує пряма залежність між продуктивністю праці та її оплатою. Достойний рівень оплати праці забезпечує зростання її продуктивності. В свою чергу від зростання продуктивності праці, збільшується обсяг виробництва і реалізації продукції і з’являються резерви підвищення рівня оплати праці.

Продуктивність праці - це ефективність затрат конкретної праці, яка визначається кількістю продукції, виробленої за одиницю робочого часу, або кількістю часу, витраченого на одиницю продукції. Зростання продуктивності праці означає збільшення кількості продукції, виробленої за одиницю часу, або економію робочого часу, витраченого на одиницю продукції.

Для аналізу продуктивності праці на ТОВ «Корпорація «Ровекс» складемо таблицю 2.7.

Дані табл. 2.7. свідчать, що в 2012 р. у порівнянні з 2010 і 2011 рр. спостерігається як абсолютне, так і відносне зростання показників продуктивності праці.

Доходи від надання послуг з охорони на одного працівника в 2012 році перевищував рівень 2010 р. на 5,3 тис. грн. або на 13,1 %).

За три звітних роки усі інші показники, що свідчать про динаміку продуктивності праці за 2010 - 2012 роки покращились, що стало наслідком зростання доходів на 1237 тис. грн. (або на 50,9 %), при незначному збільшенні чисельності персоналу ТОВ «Корпорація «Ровекс» (збільшення склало 20 чол., або 33,3 %. Збільшилась кількість днів, відпрацьованих 1 працівником в середньому (на 6 днів), зросла середня тривалість робочого дня (на 0,1 год.). Тобто зросла інтенсивність праці. Як наслідок, зростання спостерігається так за середньоденним виробітком 1 робітника (на 10 %) та середньогодинним виробітком 1 робітника (на 7 %).

Таблиця 2.7

Продуктивність праці у ТОВ «Корпорація «Ровекс»

Показник

2010 р.

2011 р.

2012 р.

Відхилення 2012 р. від 2010 р.





(+,-)

%

Обсяг надання послуг, тис. грн.

2429

1442

3666

1237

50,9

Середньоспискова чисельність працюючих, чол.

60

78

80

20

33,3

Загальна кількість відпрацьованих усіма робітниками днів

14220

18564

19440

5220

36,7

Відпрацьовано днів одним робітником за рік (Д)

237

238

243

6

2,53

Середня тривалість робочого дня (П), год.

8,3

8,5

8,4

0,1

1,2

Загальна кількість відпрацьованого часу: - усіма робітниками за рік (Т), тис. люд. - год.

118,7

157,8

166

47,3

39,9

- одним робітником, люд.-год.

1979

2075

96,27

4,86

Середньорічний виробіток одного працюючого, тис. грн.

40,5

18,5

45,8

5,3

13,1

Середньоденний виробіток робітника, грн.

171

78

189

18

10,5

Середньогодинний виробіток робітника, тис. грн. (СВ)

21

9

22,5

1,5

7,2


Для оцінки ефективності використання коштів на оплату праці в ТОВ «Корпорація «Ровекс» розрахуємо відповідні показники (табл. 2.8).

З табл. 2.8 видно, що на підприємстві за 2010 - 2012 роки відбулось підвищення ефективності використання коштів фонду оплати праці. На 1 грн. заробітної плати в 2012 році отримано більше валового доходу (на 0,17 грн. або на 7,4%), отримано більше прибутку (на 0,07 грн.). При цьому показники ефективності використання фонду заробітної плати нижчі, ніж у підприємства-конкурента.

Для розширеного відтворення потрібно створити такі умови, щоб темпи росту продуктивності праці випереджали темпи росту його оплати. Якщо такий принцип не дотримується, то відбувається перевитрата фонду заробітної плати, підвищення собівартості продукції і відповідно зменшення суми прибутку.

Таблиця 2.8

Аналіз ефективності використання фонду оплати праці ТОВ «Корпорація «Ровекс»

Показник

2010 р.

2011р.

2012р.

Відхилення 2012 р. від 2010 р.(+,-)

Темп росту, %

Середньорічна заробітна плата 1 працівника, тис. грн.

17,7

8,4

18,6

0,9

5,1

Виручка на 1 грн. заробітної плати, грн.

2,29

2,22

2,46

0,17

7,4

Сума чистого прибутку на 1 грн. зарплати

-0,01

0,02

0,08

0,07

-


Встановимо відповідність між темпами росту середньої заробітної плати і продуктивністю праці.

Розрахуємо індекс середньої заробітної плати:

Ісз = СЗ2012/ СЗ2010 = 18,6 / 17,7 = 1,05.

Індекс продуктивності праці: Іпр = ПР2012/ ПР2010 = 45,8/40,5 = 1,13.

Наведені дані показують, що на підприємстві темпи росту оплати праці випереджають темпи росту продуктивності праці. Коефіцієнт випередження складає :

К вип. = Ісз / Іпр = 1,05 / 1,13 = 1,33.

Для визначення суми перевитрати фонду оплати праці в зв’язку зі зміною співвідношень між темпами росту продуктивності праці і її оплати використаємо наступну формулу:

П = ФЗП2012 × (Ісз - Іпр) / Ісз = 1491*(1,05-1,13)/1,05 = -119,3 тис. грн.

Отже, більш високі темпи росту продуктивності праці порівняно з темпами росту заробітної плати викликали економію фонду заробітної плати ТОВ «Корпорація «Ровекс» на суму 119,3 тис. грн.

Таким чином, за результатами проведеного дослідження, можна зробити висновок, що на підприємстві рівень ефективності використання коштів фонду оплати праці є задовільним. На ТОВ «Корпорація «Ровекс» відмічено абсолютну і відносну економію коштів фонду оплати праці, темп зростання продуктивності праці працівників випереджає темп зростання їх заробітної плати.

З’ясовано, що основним резервом підвищення продуктивності праці на ТОВ «Корпорація «Ровекс» є підвищення рівня інтенсивності праці. Розглянемо внутрішній зміст процесу праці на досліджуваному підприємстві через проведення фотографії робочого дня яка є повним відображення характеру використання часу протягом повного робочого дня, це виконання всіх робіт і дій (табл. 2.9).

Таблиця 2.9

Індивідуальна фотографія робочого дня охоронника ТОВ «Корпорація «Ровекс»

Спостереження

Поточний час

Тривалість

Початок робочого дня

08.00

х

прихід на роботу

07.57

х

Поточний інструктаж

8.05

25

Збір у начальника охорони

8.30

10

Підготовка до прийому зміни

8.40

10

Передача зміни (документації, об’єктів, засобів охорони)

8.50

40

Доклад начальнику зміни про передачу зміни

9.30

10

Обхід об’єктів

9.40

2.20

Відпочинок

12.00

2.00

Обхід об’єктів

14.00

2.00

Відпочинок, обід.

16.00

2.00

Прийом об’єктів під охорону

18.00

1.00

Обхід об’єктів

19.00

1.00

Відпочинок

20.00

2.00

Видача засобів безпеки, обхід об’єктів

22.00

2.00

Відпочинок

24.00

4.00

Нічне чергування на території

04.00

4.00

Передача об’єктів, які охороняються, підприємцям

8.00

1.00

Здача зміни

9.00

30

Припинення роботи

9.30

х

Разом

25.30

25.25

Слід відзначити, що відрядні розцінки, оклади і ставки тривалий час не переглядаються, що знижує їхню стимулюючу роль. Середній розмір заробітної плати працівників перевищує мінімальну заробітну плату лише на 35-40%, що не може задовольняти первинних матеріальних потреб людини. А оскільки існує пряма залежність зарплати та прибутку підприємства від рівня продуктивності праці, то головною задачею на підприємстві є підвищення рівня оплати праці і стимулювання працівників до прийняття на себе більшого обсягу робіт.

Для успішної діяльності охоронника ТОВ «Корпорація «Ровекс», тобто, простіше кажучи, щоб об’єкт, який охороняється, був недоторканим та щоб не було нарікань з боку роботодавців, необхідно надати такі умови для охорони, які тільки полегшували б його охорону, сприяли зацікавленості у роботі. Немаловажне й фінансове стимулювання охоронників, щоб вони за свою працю отримували дійсно зароблені гроші. Також потрібно створити умови для належного відпочинку на зміні. Ще після такого напруженого (більше доби) робочого дня, на охоронній фірмі є три зміни, тому, на повне відновлення сил охоронців, наступні два дні у них вихідні (є в їх розпорядженні).

2.3 Оцінка мотивації трудових ресурсів підприємства до підвищення продуктивності праці

Згідно з чинним законодавством України форми, системи і розміри оплати праці встановлюються підприємствами самостійно у колективному договорі. Ця законодавча норма надає підприємствам значної свободи дії, проте й покладає на них велику відповідальність, адже ефективність праці цілком визначається тим, наскільки правильно спеціалісти організують стимулювання діяльності персоналу.

Простота, логічність і доступність форм і систем оплати праці, що забезпечують широку інформованість працівників про суть систем оплати праці. Зв’язок між результатами праці і заробітною платою має бути простим і ясним, зрозумілим кожному працівникові. Це сприяє підвищенню матеріальної заінтересованості робітників, службовців у поліпшенні виробничих показників. З цією метою на підприємстві необхідно застосовувати прості системи заробітної плати, для того щоб виконавці чітко уявляли, в яких саме випадках розмір заробітної плати, тобто рівень їхнього добробуту, буде підвищуватися.

Проаналізуємо систему оплати праці персоналу у ТОВ «Корпорація «Ровекс». Загалом на підприємстві працює 80 чоловік.

Формування коштів на оплату праці є одним з найважливіших питань в управлінні діяльністю підприємства. Головна мета системи оплати праці - забезпечення прямої і жорсткої залежності оплати праці від кінцевих результатів господарської діяльності трудового колективу.

У досліджуваному підприємстві використовуються диференційовані системи оплати праці. Більшість працівників підприємства (окрім електриків) здійснюється оплата за посадовими окладами (таблиця 2.10), електрики отримують заробітну плату за фактично відпрацьований час, залежно від кількості обслуговуваних електричних об’єктів.

Оплата праці бухгалтера здійснюється у відношенні 0,85 від нарахованої зарплати керівника.

Таким чином, бачимо, що на даному підприємстві є значна диференціація заробітної плати і для оперативного персоналу (охоронників) вона значною мірою визначається обсягом робіт на об’єкті. Тому проаналізуємо прибутковість використання трудових ресурсів, дані розмістимо у вигляді таблиці 2.11.

Отже з представленої таблиці ми бачимо, що показники прибутковості персоналу досить високі і продовжують зростати, що свідчить про ефективність діяльності трудового колективу. Так прибуток на одного працівника у 2011 році, порівняно із 2010р. зріс на 12,9 тис. грн. на одного працівника, а у 2012 році, порівняно із 2011р. - на 137,9 тис. грн. на одного робітника. При цьому продуктивність праці працівників зростала впродовж всього аналізованого періоду. У 2011 році вона зросла на 5,3 тис. грн. на чоловіка напроти 2010 року, а у 2012 р. - на 27,3 тис. грн. на чоловіка відносно 2011 року.

Таблиця 2.10

Штатний розпис ТОВ «Корпорація «Ровекс» за 2010-2012 рр., грн.

Посада

Кількість штатних одиниць

Посадовий оклад

Абсолютне відхилення

Відносне відхилення, %



2010 р.

2011 р.

2012 р.

2011-2010р.

2012-2011р.

2011-2010р.

2012-2011р.

Директор

1

3100

3500

5000

400

1500

112,90

142,86

Головний бухгалтер

1

3000

3200

4500

200

1300

106,67

140,63

Бухгалтер

1

2000

2700

3000

700

300

135,00

111,11

Начальник відділу кадрів

1

-

2000

2350

1000

1350

-

235,00

Секретар - діловод

1

900

1500

2000

600

500

66,7

33,3

Замісник директора

1

2000

2500

3600

500

1100

125,00

144,00

Головний спеціаліст з фізичної охорони

1

900

1300

2000

400

700

44,4

53,9

Водій

2

650

800

1200

150

400

23,1

50,0

Сторож

20

600

900

1150

300

250

50,0

27,8

Охоронники

49

650

950

1170

300

220

46,2

23,2

Разом

78

х

х

х

х

х

х

х

Як видно з даного рисунку зростання заробітної плати відбувається набагато повільнішими темпами аніж зростання доходу підприємства.

Більш глибокого аналізу потребує середня заробітна плата. Цей показник визначається в динаміці як у середньому по підприємству, так і за окремими категоріями працівників. Для проведення аналізу складемо таблицю 2.12.

Отже з даної аналітичної таблиці видно, що фонд оплати праці зростає меншими темпами аніж виручка від реалізації продукції на протязі 2010-2012 років. Впродовж останніх трьох років фонд оплати праці зростає. Середньорічна заробітна плата на 1 працівника охоронної сфери зменшилась у 2011 році, порівняно з 2010 р., на 52,6 %, а у 2012 р., порівняно із 2011р. - зросла на 121,4 %. На перший погляд, це позитивні зміни, але, порівняно із середньо галузевими заробітними платами, ці показники досить низькі.

Таблиця 2.11

Аналіз прибутковості трудових ресурсів ТОВ «Корпорація «Ровекс» за 2010-2012рр.

Показник

2010р.

2011р.

2012р.

Абсолютне відхилення

Темп зростання, %





2011-2010р.

2012-2011рр.

2011-2010р.

2012-2011рр.

Дохід, тис. грн.

2429

1442

3666

-987

2224

-40,6

154,2

Прибуток від реалізації, тис. грн.

-2,0

7,5

118

9,5

110,5

-475

в 15 р.

Фонд оплати праці, тис. грн.

1063

652

1491

-411

839

-38,7

128,9

Чисельність персоналу, чол.

60

78

80

18

2

30,0

2,6

Прибуток на 1-го працівника, тис. грн.

-3,3

9,6

147,5

12,9

137,9

-390,9

в 14 р.

Прибуток на 1 грн. ФОП працівників, %

-0,2

1,2

7,9

1,4

6,7

Х

Х

Продуктивність праці працівників, тис. грн. /чол.

40,5

18,5

45,8

5,3

27,3

13,1

147,6

Наочніше динаміку доходів підприємства та фонду оплати праці зображено на рис. 2.3.

Стосовно системи оплати праці на ТОВ «Корпорація «Ровекс» слід сказати, що для електриків використовується досить жорстка залежність між заробітною платою та обсягом виконаних робіт. Дана система досить дієва, якщо вона враховує зміни у фінансовій та економічній сфері. В даному ж випадку, показники зарплати не переглядалися понад 3 роки, тому вони прямо не враховують інфляції, враховують опосередковано через підвищення цін на товари. Для працівників підприємства використовується оплата праці за посадовими окладами, що не виконує такої прямої мотиваційної функції щодо покрашення результатів діяльності підприємства.

Рис. 2.3. Динаміка доходу та фонду оплати праці ТОВ «Корпорація «Ровекс» у 2010-2012 рр.

Таблиця 2.12

Аналіз використання заробітної плати ТОВ «Корпорація «Ровекс» у 2010-2012 рр.

Показник

Оди-ниця вимі-ру

2010р.

2011р.

2012р.

Абсолютне відхилення

Темп зростання, %






2011-2010р

2012-2011р

2011-2010р

2012-2011р

Виручка від реалізації продукції

тис. грн.

2429

1442

3666

-987

2224

-40,6

154,2

чол.

60

78

80

18

2

30,0

2,6

Річний фонд оплати праці

тис. грн.

1063

652

1491

-411

839

-38,7

128,9

Місячний фонд оплати праці працівників

грн.

88,6

72,4

124,2

-16,2

51,8

-18,3

71,6

Середньорічна зарплата 1 працівника гол. підприємства

тис. грн.

17,7

8,4

18,6

-9,3

10,2

-52,6

121,4


Отже, розглянувши даний розділ, можна зробити слідуючі висновки. Система оплати праці у ТОВ «Корпорація «Ровекс» досить продумана щодо встановлення прямої залежності між оплатою праці та кінцевими результатами діяльності підприємства, але це стосується лише основних працівників (охоронників), крім того, дана система потребує врахування змін показників розвитку економіки країни. Щодо працівників керівного складу, - вони отримують чітко встановлені посадові оклади залежно від кількості відпрацьованих ними людино-годин і не на стільки зацікавленні в покращенні результатів діяльності підприємства, що також потребує змін.

РОЗДІЛ 3. ШЛЯХИ РАЦІОНАЛЬНОГО ФОРМУВАННЯ ТРУДОВИХ РЕСУРСІВ ПІДПРИЄМСТВА НА ПЕРСПЕКТИВУ

.1 Вдосконалення методів формування трудових ресурсів підприємства

Формування потреби в персоналі - один з найважливіших напрямків кадрового формування, що дозволяє встановити на заданий період часу якісний і кількісний склад трудових ресурсів. Щоб визначити місце формування трудових ресурсів в системі управління персоналом ТОВ «Корпорація «Ровекс», розкриємо основні напрямки цього процесу (рис.1).

Рис. 3.1. Функції управління персоналом підприємства

Процес управління персоналом, зображений на рис. 3.1, є (з деякою часткою умовності) відображенням усього управління як сукупності п'яти основних функцій менеджменту: формування, організації, мотивації, контролю й координації (рис. 3.2).

Формування трудових ресурсів є першим етапом процесу управління персоналом ТОВ «Корпорація «Ровекс». За допомогою процесу формування людських ресурсів реалізується концепція довгострокової, орієнтованої на майбутнє, кадрової політики. Формування є особливим процесом керування персоналом, яке об'єднано зі стратегією керування персоналом таким чином, що разом вони становлять функцію формування. У той же час формування містить у собі оцінку наявних ресурсів, прогнозування майбутніх потреб підприємства ТОВ «Корпорація «Ровекс» у персоналі й розробку програми задоволення цих потреб.

Рис. 3.2. Функції процесу управління

Рис. 3.3. Пропоновані етапи кадрового формування в ТОВ «Корпорація «Ровекс»

Процес формування передбачає п’ять основних етапів (рис.3): оцінка наявності трудових ресурсів, оцінка майбутніх потреб трудових ресурсів, розробка програми задоволення майбутніх потреб, визначення необхідних витрат, оцінка задоволення потреб.

У процесі формування потреб у персоналі до уваги береться дія багатьох чинників, під впливом яких перебуває підприємство. Відповідно до місця підприємства на ринку праці, усю сукупність чинників, що визначають потребу в персоналі, можна поділити на дві групи за ознакою напряму дії: на зовнішні (темпи економічного зростання, рівень інфляції та безробіття, структурні зрушення, політика, конкуренція) та внутрішні (стратегічні, середньострокові й поточні).

Отже, формування трудових ресурсів є важливою складовою процесу його постійного формування та приведення у відповідність з нагальними потребами розвитку підприємства.

Процес формування трудових ресурсів, як і формування взагалі, базується на ряді принципів, тобто правил, які необхідно враховувати в процесі його здійснення. Вони орієнтують підприємство ТОВ «Корпорація «Ровекс» на досягнення найкращих економічних показників. Застосовувати всі принципи формування під силу тільки великим підприємствам, що мають кваліфіковані кадри, сучасні інформаційні технології, необхідні ресурси. Тому число застосовуваних принципів формування визначається складністю управлінської системи та розміром, положенням і стійкістю підприємства.

Автоматизація системи формування - один із засобів формування, що вимагають застосування сучасних інформаційних технологій і комп'ютерної техніки, що забезпечують кодування інформації на основі її класифікації, єдність і системність інформації зі стадій життєвого циклу об'єкта формування, оперативну обробку, надійне зберігання й передачу інформації.

Питання формування чисельності робочих і інших категорій трудових ресурсів досить добре розроблені в методичному плані. В умовах планової системи господарювання чисельність промислово-виробничого трудових ресурсів була одним з показників, контрольованих вищим органом (галузевим міністерством). Однак цей досвід розрахунків більшою мірою ставився до підприємства, функціонування якого було відносно стабільним протягом тривалого періоду. В умовах ринкової економіки формування розвитку трудових ресурсів, визначення обсягів професійного навчання працівників здійснюється підприємством самостійно. У сьогоденні до формування чисельності трудових ресурсів і його оптимізації висувається ряд нових вимог:

-  фактична й нормативна чисельність працівників повинні відбивати цілий комплекс зовнішніх стосовно підприємства факторів (зокрема, зміну попиту та пропозиції продукції, послуг; рівень конкуренції на ринку конкретного товару; фінансовий стан й ін.);

-       чисельність трудових ресурсів (у тому числі нормативна) стає обов'язковим елементом прогнозу розвитку підприємства;

-       підсилюється роль і значення нормування чисельності трудових ресурсів як фактора оптимізації витрат і виявлення неефективних робочих місць;

-       управління чисельністю трудових ресурсів й нормування зобов'язані відбивати диференціацію робочих місць підприємства залежно від їхньої значимості для процесу виробництва;

-       необхідність обліку технологічних обмежень при зниженні чисельності працівників;

-       нормування чисельності повинне сприяти постійному поліпшенню якості трудового життя трудових ресурсів.

Для прогнозування потреби в персоналі сьогодні використовується ряд методів представлених у табл. 3.1, які використовуються самостійно та в сукупності, як частина методики, що збільшує їх ефективність та точність.

Наведені методи використовуються для формування чисельності трудових ресурсів робочих професій. Однак найбільш важким є визначення потреби в управлінському персоналі, для якого важко розрахувати трудомісткість операції та про нормувати його дії, тому що діяльність керівників має досить стихійний та непередбачуваний характер.

Таблиця 3.1

Методи визначення потреби в трудових ресурсах

Найменування методу

Сутність

Екстраполяція

Найбільш простий і часто вживаний метод, полягає в перенесенні сьогоднішньої ситуації (пропорцій) у майбутнє.

Експертні оцінки

Ґрунтується на використанні лінійних фахівців для визначення потреб у людських ресурсах.

Метод Делфі

Являє собою письмовий діалог між відділом людських ресурсів і групою експертів.

Комп'ютерні моделі

Являють собою набори математичних формул, що дозволяють одночасно використовувати методи екстраполяції, експертних оцінок, а також інформацію про динаміку факторів, що впливають на потреби підприємства в робочій силі.

Балансові методи

Ґрунтуються на взаємному ув'язуванні ресурсів і потреб у них у рамках планового періоду.

Нормативний метод

Полягає в тому, що в основу планових завдань на певний період (а відповідно, й в основу балансів) кладуться норми витрат різних ресурсів (у нашому випадку - людських) на одиницю продукції (у даному випадку - робочого часу, витрати фонду заробітної плати тощо).

Звітно-статистичний

Фактичні результати зіставляються з витратами часу, на основі чого визначаються його питомі витрати.

Дослідно-виробничий

Ґрунтується на хронометражі операцій, виконуваних найбільш досвідченими і підготовленими працівниками, оцінці й узагальненні отриманих даних.

Аналітико-розрахунковий

Виходить з фізіологічних потенціалів людського організму, виявлених на основі спеціальних медико-біологічних досліджень.

Математико-статистичні

Зводяться до оптимізації розрахунків на основі різного роду моделей.

Стохастичні моделі

Базуються на аналізі взаємозалежності між потребою у персоналі та іншими змінними величинами.

Лінійне програмування

Дозволяють шляхом розв'язання системи рівнянь і нерівностей, що пов'язують ряд змінних показників, визначати їх оптимальні величини у взаємному сполученні.

Номенклатурний метод

У номенклатурі посад відбивається рівень кваліфікації і профіль фахівця, який повинен займати відповідну посаду за штатним розкладом.

На основі насиченості

Базується на коефіцієнтах, що показують нормативне співвідношення із загальною чисельністю трудових ресурсів, вартістю основного капіталу, обсягом виробництва і т.д., що встановлюється експертами.


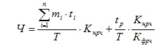
Для визначення потреби в цій категорії трудових ресурсів використовується Метод Розенкранца за формулою.

, (3.1)

де Ч - чисельність управлінського персоналу певної професії, спеціальності, підрозділу;- кількість видів управлінських робіт, які потребують завантаження даної категорії спеціалістів;i - середня кількість певних дій (розрахунків, обробки замовлень, переговорів і т.п.) у рамках i-того управлінського виду робіт за встановлений проміжок часу (за рік);i - час, необхідний для виконання одиниці m у рамках i-того управлінського виду робіт;

Т - робочий час спеціаліста відповідно до трудового договору (контракту) за відповідний проміжок календарного часу, прийнятий у розрахунках;

Кнрч - коефіцієнт необхідного розподілу часу;

Кфрч - коефіцієнт фактичного розподілу часу;р - час на виконання різних робіт, які неможливо врахувати у попередніх планових розрахунках.

Як бачимо, формула Розенкранца являє собою сукупність коефіцієнтів, які на практиці досить важко розрахувати, а інколи й неможливо. Тому визначення потреби в управлінському персоналі проводиться на основі норм керованості - кількості осіб які знаходяться у підпорядкуванні в одного керівника.

У всіх наведених методах є свої переваги та недоліки, що ускладнює процес формування чисельності трудових ресурсів. Завданням сучасного етапу розвитку суспільства є визначення оптимального методу прогнозування потреби підприємства в трудових ресурсах.

3.2 Пропоновані етапи формування і розвитку трудового колективу

Процес створення трудового колективу являє собою послідовну зміну дій керівників ТОВ «Корпорація «Ровекс» вищої і середньої ланки, спрямованих на формування персоналу підприємства.

Рекомендований в даній дипломній роботі процес формування нового трудового колективу ТОВ «Корпорація «Ровекс» складається з таких етапів:

. Встановлення конкретних цілей.

. Складання графіку робіт.

. Узгодження різних видів робіт (проведення експерименту).

. Організаційна робота з розподілу повноважень.

. Обговорення проблем, проведення дискусій.

. Аналіз ходу і результатів роботи.

. Забезпечення зворотного зв'язку.

Для успішного створення трудового колективу підприємства ТОВ «Корпорація «Ровекс» необхідно забезпечити такі умови:

-    усі члени колективу повинні чітко уявляти собі цілі спільної роботи;

-       вміння кожної людини відомі керівнику та іншим робітникам (відповідно до цього розподілені функції);

-       організаційна побудова колективу повинна відповідати завданням, що стоять перед ним;

-       у колективі аналізують методи роботи і намагаються їх удосконалювати;

-       розвинута самодисципліна, що дозволяє добре використовувати час і ресурси;

-       колектив підтримує своїх членів і створює тісні взаємовідносини;

-       відносини у колективі є відкритими.

Для створення ефективного трудового колективу ТОВ «Корпорація «Ровекс» його керівник повинен відповідати таким вимогам:

-    наявність навичок керівництва;

-       послідовність;

-       вміння щодо правильного підбору робітників;

-       турбота про членів колективу;

-       здатності до створення сприятливого морально-психологічного клімату;

-       підтримка особистого розвитку робітників, заохочення їхнього творчого потенціалу;

-       вміння раціонально використовувати робочий час;

-       високі вимоги до працівників;

-       прагнення до зворотного зв'язку.

Навички керівника по формуванню трудового колективу особливо важливі у випадках, коли потрібно об'єднати разом велику кількість людей і навчити їх ефективно працювати на загальну мету в атмосфері співробітництва.

В процесі свого розвитку трудові колективи проходять через ряд послідовних етапів (стадій) (рис. 3.4).

Рис. 3.4. Етапи розвитку трудового колективу ТОВ «Корпорація «Ровекс»

3.3 Шляхи оптимізації структури та підвищення ефективності роботи трудового колективу підприємства

Як було відзначено вище, за характером внутрішніх зв'язків групи трудових ресурсів ТОВ «Корпорація «Ровекс» поділяються на:

-    формальні (створюються підприємством і мають певні цілі);

-       неформальні (створюються на основі загальних інтересів індивідів).

Механізм створення формальних і неформальних груп наведений на рис. 3.5.

Рис. 3.5. Пропонований механізм створення формальних і неформальних груп в ТОВ «Корпорація «Ровекс»

Формальна група створюється з волі керівника та передбачена в структурі підприємства для виконання конкретних завдань. Серед формальних груп виділяють:

-  команди - супідрядні групи керівника-лідера і його співробітників;

-       робочі (цільові) групи - створюються з метою і на час виконання певних задач;

-       комітети - спеціальні і постійні групи, яким делеговані окремі повноваження щодо управління, координації діяльності і т.п.

Ознаки команди:

-  команда має загальні риси з групою (історія, норми, майбутнє і т.п.), однак у команді більш постійний персонал, більш чіткий розподіл обов'язків, більш ясна і формальна мета;

-       члени команди сприймають участь у команді як винагороду;

-       команда прагне досягнення загальної мети;

-       члени команди діють однаково відносно оточення;

-       у команді задовольняються потреби особистості у повазі, успіху, причетності.

Неформальні групи формуються спонтанно для задоволення тих індивідуальних потреб працівників, які по тим чи іншим причинам не задовольняються у межах формальної групи (потреби в причетності; у розумінні причин прийнятих рішень; у захисті; в участі; у спілкуванні; в інформації).

Відмінності між неформальними і формальними групами наведені в табл. 3.2.

Таблиця 3.2

Відмінності неформальних і формальних груп

Показник для порівняння

Неформальна група

Формальна група

Загальні взаємини

Неофіційні

Офіційні

Основні концепції

Влада і політика

Права та обов'язки

Основна увага до

Людини

Посади

Джерело влади, лідер

Виходить із групи

Делегується керівництвом

Регулятор поведінки

Норми

Правила

Джерело управління

Санкції

Винагороди і штрафи


Насамперед і найбільшою мірою на працівника впливають ті люди, думка яких для нього є важливою, котрих він поважає або яким симпатизує. Сукупність цих людей складає мікрореферентну групу індивідуума. Знання керівника про конкретні неформальні групи надзвичайно важливі для розуміння процесів, що відбуваються у колективі, для управління ними, для встановлення і підтримки особистого авторитету керівника, для регулювання поведінки окремих працівників.

Розрізняють наступні соціологічні та організаційні причини створення неформальних груп;

-    соціальна відмінність (наприклад, між робочими та службовцями);

-       чітко обкреслені централізація і формалізованість організаційної структури (анонімність великих колективів посилює прагнення до створення невеликих груп, здатних дати відчуття впевненості і безпеки);

-       недоліки у формальній організації, що обумовлює утворення тимчасових організаційних структур з неформальними лідерами, яким працівники довіряють;

-       недолік інформації, через який працівники використовують несанкціоновані інформаційні канали (це може викликати слухи і привести до зміни інформації);

-       негативні контакти між працівниками і керівництвом, особливо в умовах авторитарного і дистанційного управління, якщо виникає небезпека вибору групою неформального керівника, що займає сильну позицію завдяки власним здібностям або особистим якостям.

Особливості неформальних груп:

) їх величина, як правило, не перевищує 7-8 осіб;

) індивіди спілкуються один з одним безпосередньо;

) відносини людей побудовані на єдності інтересів і відносній стабільності зв'язків у межах групи і поза нею;

) у випадку виникнення стійких відмінностей в оцінці явищ, ворожості, навіть просто байдужості, а також нових сильних зв'язків із зовнішнім середовищем (наприклад, іншими друзями) група може самоліквідуватися.

У деяких випадках вони ведуть боротьбу за владу. З огляду на те що, з одного боку, неможливо, а з іншого боку - небажано боротися з неформальними об'єднаннями і перешкоджати їхньому утворенню, завдання керівництва полягає в аналізі структури "неформалів", застосуванні заходів щодо розвитку груп, що позитивно впливають на діяльність підприємства, і блокування тих, чий вплив має негативні наслідки для діяльності підприємства взагалі.

Керівництво ТОВ «Корпорація «Ровекс» повинно сприяти інтеграції неформальних і формальних груп з метою виконання виробничих задач.

Норми і правила підсилюють внутрігруповий груповий тиск і створюють основу контролю з боку колективу за поведінкою своїх членів. З ростом згуртованості групи її тиск і контроль до визначеної межі підсилюються (проте, одночасно зменшується сама категоричність вимог і норм), а потім поступово можуть переноситися на навколишні колективи і навіть офіційне керівництво.

Таким чином, найефективнішою групою є та, чий розмір відповідає її задачам, яка є різнорідною за складом, чиї норми сприяють досягненню цілей підприємства і створенню духу колективізму, де існує здоровий рівень конфліктності, гарне виконання як цільових, так і підтримуючих ролей і де члени групи, які мають високий статус, не домінують.

ВИСНОВКИ ТА ПРОПОЗИЦІЇ

Формування трудових ресурсів підприємства - це система підбору кваліфікованих кадрів, при використанні двох видів джерел - внутрішніх і зовнішніх, що мають своєю метою забезпечити потреби організації в необхідній кількості фахівців у конкретні тимчасові рамки, кадрове планування використовує кожна організація, деякі з них - не усвідомлюють цього.

Формування трудових ресурсів підприємства включає застосування базисного процесу планування до рішення потреб людського ресурсу в організації.

Успіх кадрового планування залежить від того, наскільки тісно цей процес зв'язаний з базисним плануванням.

Процес формування трудових ресурсів ТОВ «Корпорація «Ровекс» складається з чотирьох кроків:

1) визначення впливу організаційних цілей на конкретні підрозділи організації;

) визначення числа, необхідних кваліфікацій майбутнього персоналу;

) визначення додаткової потреби в персоналі з урахуванням наявних кадрів;

) розробка конкретного плану дій.

При формування трудових ресурсів підприємства може використовуватися велика мережа інструментальних засобів. Це - кваліфіковані аркуші, послідовне планування, діаграма заміни і т.д.

За аналогією з базисним процесом планування можна виділити наступні тимчасові рамки формування трудових ресурсів підприємства:

- короткострокове (0-2 року);

середньострокове (2-5 років);

довгострокове (більш 5 років).

У процесі формування трудових ресурсів ТОВ «Корпорація «Ровекс» можуть виникати різні труднощі, що потребують особливої уваги керівництва.

трудовий ресурс мотивація персонал

СПИСОК ВИКОРИСТАНИХ ДЖЕРЕЛ

1.      Закон України „Про господарські товариства” N 1576-XІІ від 19 вересня 1991 року в редакції закону N 762-ІV від 15.05.2003, ВВР, 2003, N 30, ст.247

2.       Кодекс законів про працю України N 322-VIII від 10.12.71. В редакції Закону N 1096-IV від 10.07.2003, ВВР, 2004, N 6, ст.38

.        Закон України „Про колективні договори і угоди” від 1 липня 1993 року N 3356-XII.(В редакції Закону N 20/97-ВР від 23.01.97, ВВР, 1997, N 11, ст. 89) //www.rada.gov.ua

.        Закон України „Про оплату праці” від 24 березня 1995 року N 108/95-ВР.//В редакції Закону N 1096-IV від 10.07.2003, ВВР, 2004, N 6, ст.38

.        Анисимов В. М. Кадровая служба и управление персоналом организации. - М.: Экономика, 2003. - 703с.

.        Арзуманова Т.И. Экономика и планирование на предприятиях: Учеб. пособие/ Т.И.Арзуманова, М.Ш.Мачабели. - М: Дашков и Ко, 2007. - 272с. - ISBN 5-91131-268-9: 42.20

7.      Бачевський Б. Є. Відшкодування зносу основних виробничих фондів : Навч. посібник / Б. Є. Бачевський, О. О. Решетняк, І. В. Заблодська. - К : Центр учбової літератури, 2007. - 176с.

8.      Богиня Д.П. Основи економіки праці: Навчальний посібник/ Д.П.Богиня, О.А.Грішнова. - К: Знання-Прес, 2002. - 313с. - 21.00

9.      Бревнов А. А. Основы экономической теории : Учебн. пособие / А. А. Бревнов. - Х : Одиссей, 2004. - 512с.

.        Буряк П.Ю. Економіка праці й соціально-трудові відносини: Навч. посібник/ П.Ю.Буряк, Б.А.Карпінський, М.І.Григор'єва. - К: Центр навчальної літератури, 2004. - 440с. - ISBN 966-8568-14-1: 26.00

.        Внутрішній економічний механізм підприємства : навч. посібник / П. В. Круш, С. О. Тульчинська, Р. В. Тульчинська та ін. - К. : Центр учбової літератури, 2008. - 206 с.

12.    Гавкалова Н. Л. Менеджмент персоналу. - Х.: ВД "ІНЖЕК", 2004. - 276с.

13.    Гінзбург М. Єдине нормативне поле технічного регулювання та стандартизації / М. Гінзбург // Стандартизація, сертифікація, якість. - 2012. - №1. - С.23-32.

14.    Гребнев А.И Экономика коммерческого предприятия: Учебник/ Под ред.Гребнева А.И. - М: Экономика, 2003. - 238

15.    Грещак М. Г. Внутрішній економічний механізм підприємства : Навч. посібник / М. Г. Грещак, О. С. Коцюба ; За ред. Грещака М.Г. - К : КНЕУ, 2001. - 228с.

16.     Грузинов В. П. Экономика предприятия и предпринимательство : Учебное пособие / В. П. Грузинов. - М : СОФИТ, 1994. - 496c.

.        Гуляк Р. Е. Економічна сутність та структурні особливості економічного потенціалу соціально-економічних систем / Р. Е. Гуляк // Регіональна економіка. - 2011. - №2. - С.164-171.

.        Економіка виробничого підприємництва : Навч. посібник / За ред. Петровича Й.М. - 2-ге вид., перероб. і допов. - К : Знання, 2001. - 405с. - (Вища освіта 20 століття).

19. Економіка праці та соціально-трудові відносини: навч. посіб. Відповідно вимогам КМСОНП / М-во освіти і науки України, Каф. приклад. економіки; Полонський О.М., Расулова У.С. - Донецьк, [ДонНУЕТ], 2010 - 360 с.

20.     Економіка праці: навч. посіб.-К.: Центр учбової літератури; Червінська Л.П. - Київ, 2010.-288 с.;

21.    Завіновська Г.Т. Економіка праці: Навч. посіб. - К: КНЕУ, 2003. - 200с.

22.     Іванілов О.С. Застосування в комерційних організаціях узагальненої системи стимулювання праці // Актуальні проблеми економіки. - 2006. - №3. - С.41-51

23.    Карачина Н. П. Простір взаємозв'язку економічної поведінки із визначеними концепціями розвитку підприємства / Н. П. Карачина // Економічний часопис - ХХI. - 2011. - №1-2. - С.54-58.

24.    Колот А.М. Оплата праці на підприємстві: організація та удосконалення. - К: Праця, . - 192с.

25.     Крамаренко В. І., Холод Б. І. Управління персоналом фірми. - К.: ЦУЛ, 2003. - 271с.

.        Крушельницька О. В., Мельничук Д. П. Управління персоналом. - К.: Кондор, 2003. - 296с.

.        Макеева Е. Бонусная система оплаты труда// Справочник экономиста. - 2007. - №9. - С.67-69

28.    Марцин В. С. Складові фінансового мислення і особливості пріоритетів при плануванні й управлінні економікою / В. С. Марцин // Актуальні проблеми економіки. - 2012. - №2. - С.21-29.

.        Мерзляк А.В., Є.П.Михайлов, М.Х.Корецький, Г.О.Михайлова; Економіка праці і соціально-трудові відносини: Навч. посібник/ За ред. Є.П. Михайлова. - К: Центр навчальної літератури, 2005. - 240с.

30.     Павловська Н. Удосконалення тарифної системи оплати праці на підприємстві. // Справочник экономиста. - 2004. - №1. - С.64-70

.        Петюх В.М. Управління персоналом: Навч.-метод. посібник для самост. вивч. дисц. - К: КНЕУ, 2000. - 124с. - 7.00

.        Посилкіна О. В. Економіка праці. - Х.: Видавництво НФаУ, 2003. - 208с.

33. Регулирование и организация оплаты труда: Учеб.пос. - М.: МИК, Жуков А.Л. - 2003. -336 с

34.    Роббинс С. П. Правда об управлении персоналом. - М.: Издательский дом "Вильямс", 2003. - 299с.

35.     Савельєва В.С. Управління персоналом: Навч. посібник/ В.С.Савельєва, О.Л.Єськов. - К: Професіонал, 2005. - 336с. - ISBN 966-8556-71-2: 27.00, 31.00

36.    Самуельсон П. Економіка : підручник / Поль Самуельсон. - Львів : Світ, 1993. - 495 с.

37.     Селезнев В. В. Основы рыночной экономики Украины : Учебное пособие / В. В. Селезнев. - 2-е изд., доп. и перераб. - К : А.С.К., 2002. - 656с. : ил. - (Экономика. Финансы. Право).

.        Семенов Г. А. Дипломне проектування з економіки підприємства : Навч. посібник / Г. А. Семенов, М. Г. Пивоваров, А. Г. Семенов. - К : Центр учбової літератури, 2007. - 124с.

39.    Слиньков В. Н. Управление персоналом. - К.: Алерта, 2004. - 240с.

40.     Соболевская А.А. Новые тенденции в оплате труда в США // Труд за рубежом. - 2004. - №3. - С.24-44

.        Сорокина М.В. Оплата труда - элемент стратегии предприятия // Экономика и управление. - 2004. - №2. - С.131-137

42.    Сунцова О. О. Шляхи удосконалення інструментів макроекономічного регулювання національного господарства / О. О. Сунцова // Актуальні проблеми економіки. - 2012. - №6. - С.82-89.

43.     Сучасні проблеми і перспективи розвитку підприємництва в регіоні : Збірник наукових праць по матеріалах міжвузівської науково-практичної конференції студентів та молодих вчених 12 квітня 2006 року. - Вінниця, 2006. - 549с.

44.    Турчин А.Система оплаты труда и возможности ее оптимизации// Менеджмент и менеджер. - 2006. - №12. - С.48-54

45.     Харченко М. Оплата праці: реформування на основі нової Єдиної тарифної сітки // Україна: аспекти праці. - 2005. - №7. - С.3-9

46.    Череп А. В. Діяльність підприємств промислово-фінансових груп харчової промисловості в ринкових умовах господарювання : монографія / А. В. Череп, Г. Д. Потопа, К. С. Брутян. - К. : Кондор, 2009. - 304 с.

47.    Чудаєва І. Б., Миленький В. Д. Управління персоналом (Кадровий менеджмент). - Черкаси: ЧДТУ, 2004. - 119с.

48.     Шегда А.В. Економіка підприємства - навч. посіб. Київ, «Знання-Прес», 2003.

49. Экономика и социология труда: Учебник для вузов. - 4-е изд., перераб. И доп. - М.: Издательский дом «НОРМА»; Генкин Б.М. - Москва, 2002. -416 с.

50.    Экономика предприятия : Учебник для вузов / Под ред.Беа Ф.К. - Пер.с нем. - М : ИНФРА-М, 1999. - 928.

51.     Экономика предприятия. Задачи. Ситуации. Решения : Учебное пособие / Под ред. Покропивного С.Ф. - К : Знание-Прес, 2001. - 343.

52. Экономика предприятия: Учебник / Под ред. С.Ф. Покропивного - Изд.2-е, перераб. и доп. - К.:КНЭУ, 2001. - 528 с

53.     Экономіка підприємство: Підручник.; видавництво «Маяк».; В.И. Осипов. - Одеса, 2005.-717 с.;

54.     www.rada.gov.ua <http://www.rada.gov.ua>

.        www.smida.gov.ua

56.     www.ukr.stat.ua

Похожие работы на - Особливості формування трудових ресурсів підприємства

 

Не нашли материал для своей работы?
Поможем написать уникальную работу
Без плагиата!
Без нейросетей!