|
№
вар
|
Схема
устройства
|
Тип
двигателя
|
 
|
|
|
|
1
|
3
- ф нулевая
|
П
- 41
|
3.2
|
1500
|
440
|
Рекомендуемая литература
И.И. Алиев. Справочник по электротехнике и
электрооборудованию. - Ростов н/Д: Феникс, 2004. - 480 с.
И.П. Копылов. Справочник по электрическим
машинам. В двух томах. - Москва: Энергоатомиздат, 1989.
В.Г. Герасимов. Электротехнический справочник. В
четырёх томах. - Москва: МЭИ, 2003.
Б.Ф. Лаврентьев. Аналоговая и цифровая
электроника. - Йошкар - Ола, 2000.
ВВЕДЕНИЕ
В данном курсовом проекте осуществляется
проектирование регулируемого электропривода постоянного тока.
Электродвигатели постоянного тока применяют в
тех электроприводах, где требуется большой диапазон регулирования скорости,
большая точность поддержания скорости вращения привода, регулирования скорости
вверх от номинальной. Электропривод на основе двигателей постоянного тока
используется в различных отраслях промышленности - металлургии, машиностроении,
химической, угольной, деревообрабатывающей и т.д.
Частоту вращения электродвигателя постоянного
тока можно регулировать тремя путями: изменением потока возбуждения
электродвигателя, изменением подводимого к электродвигателю напряжения и
изменением сопротивления в цепи якоря. Наиболее широкое применение получили
первые два способа регулирования, третий способ применяют редко: он
неэкономичен, скорость двигателя при этом значительно зависит от колебаний
нагрузки.
Применение с целью регулирования частоты
вращения двигателя тиристорных преобразователей является одним из самых
современных путей создания регулируемого электропривода постоянного тока.
Тиристорные преобразователи предназначены для
преобразования напряжения переменного тока в напряжение постоянного тока,
регулируемое по величине за счет соответствующего изменения угла включения
вентилей в проводящей части периода переменного напряжения.
Трехфазная нулевая схема проста и содержит мало
вентилей. Однако, из-за больших значений действующих анодных токов и обратных
напряжений, наличия токов вынужденного намагничивания трехфазные нулевые схемы
целесообразны при соединении обмоток звезда-звезда и треугольник-звезда для
тиристорных приводов мощностью до 30 кВт.
1. ИСХОДНЫЕ ДАННЫЕ ДЛЯ
ПРОЕКТИРОВАНИЯ
Старый двигатель: тип: П-41.
номинальная мощность: 3,2 кВт,
номинальная частота вращения: 1500 об/мин,
номинальное напряжение: 440 В.
Выбираем по каталогу двигатель серии 2П.
Новый двигатель: тип: 2ПБ132LУХЛ4
Номинальная мощность:
Номинальная частота вращения:
Номинальное напряжение:
КПД двигателя:
Сопротивление якоря:
Сопротивление
добавочных полюсов:
Сопротивление
обмотки возбуждения:
Индуктивность
обмотки якоря:
Число пар полюсов:
Момент инерции двигателя:
2. РАСЧЁТ НОМИНАЛЬНЫХ ДАННЫХ
ДВИГАТЕЛЯ
Угловая скорость в номинальном режиме
Номинальный момент
Мощность, потребляемая из сети
Ток якоря
Определяем
для
номинального режима двигателя
Угловая скорость на холостом ходу
Угловая скорость при пониженном напряжении
3. ПОСТРОЕНИЕ ЕСТЕСТВЕННОЙ И
ИСКУССТВЕННОЙ ХАРАКТЕРИСТИКИ ДВИГАТЕЛЯ
Рис. 1 - Естественная и искусственная
характеристики двигателя
4. РАСЧЁТ КОНТУРА ТОКА
Принимаем из параметров тиристорного
преобразователя
Коэффициент регулирования
Для среднего участка его нелинейной
характеристики
Допустимые кратковременные перегрузки по току
при номинальном потоке возбуждения для двигателей 2П составляют
в
течение 60 сек. Поэтому принимаем
Коэффициент датчика тока
Задаёмся точностью
Принимаем
5. РАСЧЕТ КОНТУРА СКОРОСТИ
Выбираем тахогенератор ТГП-60
Мощность
Угловая скорость
Выбираем
Описываем двумя уравнениями цепь тахогенератора
по закону Кирхгофа. Составляем систему.
Определяем мощность на резисторах:
Определяем коэффициенты регулятора скорости:
6. ПОСТРОЕНИЕ ЛАЧХ ДВИГАТЕЛЯ
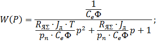
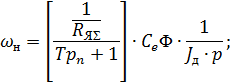
Определяем постоянную времени якорной цепи:
Определяем передаточную функцию двигателя
Прямая связь:
Обратная связь:
Передаточная функция двигателя:
Для построения графиков L(ω)
и
Δφ(ω)
воспользуемся
Simulink программы MATLAB
Рис. 2 - ЛАЧХ и ЛФЧХ двигателя
7. РАСЧЁТ И ВЫБОР ОСНОВНЫХ ЭЛЕМЕНТОВ
ТИРИСТОРНОГО ПРЕОБРАЗОВАТЕЛЯ
Среднее значение выпрямленного напряжения:
Падение напряжения на активном сопротивлении
сглаживающего дросселя:
Падение напряжения на активном сопротивлении
силового трансформатора:
Коммутационное падение напряжения:
С учётом кратковременных перегрузок по току
для
трёхфазной нулевой схемы выпрямления, средний выпрямленный ток диода:
Падение напряжения на диоде
Напряжение спрямления:
Динамическое сопротивление:

Напряжение на выходе преобразователя при
условном холостом ходе и без учёта возможных колебаний в питающей сети:
С учётом колебаний величина должна быть
увеличена:
Коэффициент схемы выпрямления:
Необходимое напряжение на вторичной обмотке
силового трансформатора:
Линейное напряжение на вторичной обмотке
силового трансформатора схемы соединения «звезда»:
8. РАСЧЁТ ЭЛЕКТРИЧЕСКИХ ПАРАМЕТРОВ
СИЛОВОГО ТРАНСФОРМАТОРА
Среднее значение выпрямленного тока равно
номинальному току электродвигателя
Действующее значение тока на вторичной обмотке
трансформатора
Коэффициент трансформации:
Действующее значение первичного тока:
Определим расчётную типовую мощность
трансформатора:
Принимаем
9. ВЫБОР ТРАНСФОРМАТОРА
ток контур преобразователь
трансформатор
Выбираем трансформатор ТМГ-16.
Номинальные данные:
Мощность
Напряжение первичной обмотки
Напряжение вторичной обмотки
Напряжение короткого замыкания
Ток холостого хода
Потери холостого хода
Потери короткого замыкания
Значение тока на первичной и вторичной обмотках:
Такой трансформатор сможет обеспечить такой ток
Активное сопротивление фазы трансформатора:
Индуктивность рассеяния фазы трансформатора
приведённого ко второй обмотке:
10. ВЫБОР ТИРИСТОРОВ
Тип тиристора может быть определён по
максимальному обратному напряжению на вентиле:
Среднее значение тока через тиристор
Выбираем тиристор Т112-10
Так как
то
при перегрузках по току тиристор должен пропускать ток, в 2 раза больше
номинального
11. РАСЧЁТ СГЛАЖИВАЮЩЕГО ДРОССЕЛЯ
Коэффициент пульсации
Активное сопротивление дросселя
Индуктивность дросселя
12. РАСЧЁТ ПАРАМЕТРОВ ТИРИСТОРНОГО
ПРЕОБРАЗОВАТЕЛЯ
ЗАКЛЮЧЕНИЕ
Предметом курсового проекта являлся
электропривод, для которого был выбран новый двигатель, исходя из данных
старого, были рассчитаны параметры его номинального режима работы и режима
работы при пониженном напряжении, по которым были построены естественная и
искусственная характеристики двигателя. Проектирование осуществлялось на основе
заданной принципиальной схемы. Были рассчитаны контуры тока и скорости. Были
построены частотные характеристики двигателя. Были рассчитаны параметры и
подобраны элементы тиристорного преобразователя. Был выбран и рассчитан силовой
трансформатор. При выполнении курсового проекта использовалась программа Matlab
и её приложение Simulink.
1. Алиев
И.И. Справочник по электротехнике и электрооборудованию. - Ростов н/Д: Феникс,
2004. - 480 с.
. Герасимов
В.Г. Электротехнический справочник. В четырёх томах. - Москва: МЭИ, 2003.
. Копылов
И.П. Справочник по электрическим машинам. В двух томах. - Москва: Энергоатомиздат,
1989.
. Лаврентьев
Б.Ф. Аналоговая и цифровая электроника. - Йошкар - Ола, 2000.
ПРИЛОЖЕНИЕ
Рис. 3 - Принципиальная схема
регулируемого электропривода