Анализ оборотных активов ООО 'ТАП и Компания'
СОДЕРЖАНИЕ
ВВЕДЕНИЕ
ГЛАВА 1. ТЕОРЕТИЧЕСКИЕ ОСНОВЫ УПРАВЛЕНИЯ ОБОРОТНЫМИ АКТИВАМИ
ПРЕДПРИЯТИЯ
.1 Сущность оборотных средств предприятия
.2 Существующие методы и показатели оценки оборотных активов
.3 Модели управления оборотными средствами
ГЛАВА 2. АНАЛИЗ ОБОРОТНЫХ АКТИВОВ ООО «ТАП И КОМПАНИЯ»
.1 Общая характеристика деятельности ООО «ТАП и Компания».
Анализ состояния оборотных средств предприятия
.2 Анализ показателей эффективности использования оборотных
средств предприятия
.3 Анализ ликвидности и финансовой устойчивости предприятия
ГЛАВА 3. Мероприятия
по совершенствованию управления оборотными активами предприятия
3.1 Управление остатком временно свободных денежных средств
ООО «ТАП и Компания»
.2 Совершенствование направлений работы с дебиторами ООО «ТАП
и Компания»
ЗАКЛЮЧЕНИЕ
СПИСОК ЛИТЕРАТУРЫ
ВВЕДЕНИЕ
Каждое предприятие, начиная свою производственно-хозяйственную
деятельность, должно располагать определённой денежной суммой. На эти денежные
ресурсы предприятие закупает на рынке или у других предприятий по договорам
сырье, материалы, топливо, оплачивает счета за электроэнергию, выплачивает
своим работникам заработную плату, несет расходы по освоению новой продукции,
все это представляет собой один из важнейших параметров хозяйствования, который
получил название «оборотные средства предприятия».
В условиях рыночных отношений оборотные средства приобретают особо важное
значение. Ведь они представляют собой часть производительного капитала, которая
переносит свою стоимость на вновь созданный продукт полностью и возвращается к
предпринимателю в денежной форме в конце каждого кругооборота капитала.
Эффективное управление оборотными активами играет большую роль в
обеспечении нормальной работы предприятия, повышении уровня рентабельности
производства и зависит от множества факторов.
Рациональное и эффективное использование оборотных средств способствует
повышению финансовой устойчивости предприятия и его платежеспособности. В этих
условиях предприятие своевременно и полностью выполняет свои расчетно-платежные
обязательства, что позволяет успешно осуществлять коммерческую деятельность.
Управление оборотными активами предприятия направлено на их формирование в
необходимом и достаточном объеме, при наименьших затратах, а также повышение
эффективности их использования.
Все это подтверждает актуальность темы работы, которая посвящена вопросам
управления оборотными активами на примере конкретного предприятия - ООО «ТАП и
Компания» города Тулы.
Целью работы является рассмотрение состояния управления оборотными
активами предприятия, проведение экономического анализа и предложение к
реализации мероприятий по повышению эффективности управления оборотными
средствами предприятия.
Поставленная цель предопределила решение следующих задач:
) изучить теоретические и нормативно-правовые основы управления
оборотными активами предприятия;
) сделать анализ современного состояния организации управления оборотными
активами исследуемого предприятия;
) разработать предложения по совершенствованию управления оборотными
активами предприятия.
Объектом исследования послужило ООО «ТАП и Компания» города Тулы.
Предмет исследования работы - процесс управления оборотными активами.
Теоретической основой исследования явились труды отечественных и
зарубежных авторов в области анализа оборотных активов предприятий, а также
нормативно-правовые и законодательные акты и материалы официальных
периодических изданий.
Методической базой исследования послужили такие общенаучные методы, как:
горизонтальный и вертикальный анализ, факторный анализ, сравнение, коэффициентный
анализ. Расчеты, построение графиков и диаграмм выполнены с применением
прикладного пакета MS Excel.
Информационную основу исследования составила финансовая отчетность ООО
«ТАП и Компания» за 2009-2010 годы (бухгалтерский баланс, отчет о прибылях и
убытках).
ГЛАВА 1. ТЕОРЕТИЧЕСКИЕ ОСНОВЫ УПРАВЛЕНИЯ ОБОРОТНЫМИ АКТИВАМИ
.1 Сущность оборотных средств предприятия
Процесс производства и продажи продукции может осуществляться
бесперебойно при наличии у предприятия не только необходимых основных фондов,
нематериальных активов, но и оборотных средств, преимущественно в форме запасов
сырья, материалов, полуфабрикатов, топлива и т. д. Как и основные, оборотные
средства функционируют в сфере производства, являясь материальной основой
производства и представляют собой производственные фонды. Но в процессе
функционирования средства труда и предметы труда по - разному и в разной
степени переносят свою стоимость на стоимость производимого продукта. Этим и
обусловлено деление производственных фондов на основные и оборотные [26].
Оборотные производственные фонды по вещественному содержанию представляют
собой предметы труда, а также орудия труда, учитываемые в составе малоценных и
быстроизнашивающихся предметов. Оборотные производственные фонды обслуживают сферу
производства и полностью переносят свою стоимость на стоимость готовой
продукции, изменяя первоначальную форму в процессе одного производственного
цикла.
Оборотные производственные фонды представляют собой минимально
необходимые для выполнения производственной программы запасы сырья, основных
материалов, покупных полуфабрикатов и комплектующих изделий, вспомогательных
материалов, топлива, запасных частей для ремонта, малоценных и
быстроизнашивающихся предметов, а также незавершенного производства.
Фонды обращения, хотя и не участвуют непосредственно в процессе
производства, но необходимы для обеспечения единства производства и обращения.
Характер и сфера их функционирования создают предпосылки для выделения их в
самостоятельное понятие «фонды обращения».
Фонды обращения состоят из запасов готовой продукции на складе
предприятия, товаров, отгруженных потребителям, и остатков денежных средств на
счетах в банке и в кассе предприятия [15].
Оборотные производственные фонды и фонды обращения тесно связаны между
собой. Их движение имеет одинаковый характер и составляет единый процесс
кругооборота фондов предприятия.
При этом происходит постоянная и закономерная смена форм авансированной
стоимости: из денежной она превращается в товарную, затем в производственную и
снова в товарную и денежную. Таким образом, возникает объективная необходимость
авансирования средств для обеспечения непрерывного движения оборотных
производственных фондов и фондов обращения в целях создания необходимых
производственных запасов, задела незавершенного производства, готовой продукции
и условий для ее реализации.
Движение оборотных средств предприятия в процессе
производственно-коммерческого цикла проходит четыре основные стадии,
последовательно меняя свою форму.
На первой стадии денежные и другие высоколиквидные активы (векселя,
депозитные вклады и т п.) используются для приобретения сырья, материалов,
топлива и т. д., то есть запасов факторов производства.
На второй стадии запасы отдельных факторов производства в результате
непосредственной производственной деятельности превращаются в запасы готовой
продукции.
На третьей стадии запасы готовой продукции реализуются потребителям и до
наступления оплаты преобразуются в дебиторскую задолженность.
На четвертой стадии (инкассировании) оплаченная дебиторская задолженность
вновь преобразуется в денежные активы (часть которых до наступления срока их
использования может храниться в форме высоколиквидных краткосрочных финансовых
вложений) [27].
Важнейшей характеристикой производственно-коммерческого цикла,
существенно влияющей на объем, структуру и эффективность использования
оборотных средств предприятия, является его общая продолжительность. Она
включает период времени до момента расходования денежных и других
высоколиквидных активов на приобретение производственных запасов до поступления
денег от дебиторов за проданную им готовую продукцию.
Таким образом, движение оборотных производственных фондов и фондов
обращения носит одинаковый характер и составляет единый процесс. Это дает
возможность объединить оборотные производственные фонды и фонды обращения в
единое понятие - оборотные средства [18].
Оборотные средства (оборотный капитал)- это активы предприятия,
возобновляемые с определенной регулярностью для обеспечения текущей
деятельности, вложения в которые как минимум однократно оборачиваются в течение
года или одного производственного цикла [3].
Наличие оборотных средств в минимально необходимых размерах,
обеспечивающих нормальную производственную и коммерческую деятельность
предприятия, является непременным условием успешного выполнения ими своих
функций.
Оборотные средства предприятия, являясь одной из основных финансовых
категорий, оказывающих существенное влияние на сферу производства и сферу
обращения, выполняют такие основные функции, как производственную и
платежно-расчетную.
Производственная функция заключается в денежном обеспечении непрерывности
процесса производства.
Платежно-расчетная функция оборотных средств проявляется в
непосредственном влиянии на состояние расчетов в народном хозяйстве и тем самым
на денежное обращение в стране [6].
По принятой в настоящее время в народном хозяйстве классификации в
составе оборотных средств промышленности выделяются:
Рис.1.1. Классификация оборотных средств
Структура оборотных средств на предприятиях различных отраслей
промышленности неодинакова и зависит от множества факторов:
· специфики предприятия. На предприятиях с длительным
производственным циклом (например, в судостроении) велика доля незавершенного
производства; на предприятиях горного профиля большая доля расходов будущих
периодов. На тех предприятиях, у которых процесс производства продукции
скоротечный, как правило, наблюдается большой удельный вес производственных
запасов;
· качества готовой продукции. Если на предприятии выпускается
продукция низкого качества, которая не пользуется спросом у покупателей, то
резко повышается доля готовой продукции на складах;
· уровня концентрации, специализации, кооперирования и
комбинирования производства;
· ускорения научно-технического прогресса. Этот фактор влияет
на структуру оборотных средств разнопланово и практически на соотношение всех
элементов. Если на предприятии внедряются топливо-сберегающая техника и
технология, безотходное производство, то это сразу влияет на снижение доли
производственных запасов в структуре оборотных средств.
Влияют на структуру оборотных средств и другие факторы. При этом
необходимо иметь в виду, что одни факторы носят долговременный характер, другие
- кратковременный.
Структура оборотных средств на предприятии непостоянна и изменяется в
динамике под влиянием многих причин [25].
В зависимости от способа планового регулирования оборотные средства
разделяются на две части: нормируемые и ненормируемые оборотные средства.
К нормируемым оборотным средствам относятся те виды материальных
ценностей и затрат, которые необходимы для обеспечения бесперебойной работы
предприятия - производственные запасы, незавершенное производство и
полуфабрикаты собственного изготовления, расходы будущих периодов и готовая
продукция на складах (в емкостях) предприятий. По каждой из этих групп
оборотных средств установлен верхний лимит постоянных запасов (затрат), или
норматив оборотных средств, т.е. минимальная сумма оборотных средств,
необходимая предприятию.
К ненормируемым оборотным средствам относятся такие группы, которые
находятся в сфере обращения (кроме готовой продукции на складах предприятий),
но не оказывают влияния на нормальное течение производственного процесса,
денежные средства на расчетном счете, в аккредитивах и в кассе, средства в
расчетах, товары, отгруженные, но не оплаченные покупателем [19].
.2 Существующие методы и показатели оценки оборотных активов
Оценка оборотных активов занимает важное место в анализе финансового
состояния предприятия, поскольку по отношению к ее хозяйственной деятельности
они выполняют обслуживающую функцию, т.е. в процессе кругооборота оборотных
активов формируется прибыль от продаж, во многом являющаяся основным источником
средств, обеспечивающим успешное функционирование коммерческой организации.
В настоящее время существует достаточно большое количество методик и
подходов, направленных на повышение эффективности управления оборотными
активами предприятий.
Так, в работе И.А. Бланка сформирована четкая последовательность этапов
осуществления политики управления оборотными активами, которая в целом
заключается в проведении анализа динамики состава и структуры оборотных
средств, показателей эффективности их использования, формировании необходимого
объема оборотных активов, рационализации и оптимизации структуры источников
финансирования.
Важность данной методики проявляется и в том, что она отражает основные
подходы в управлении общим составом оборотных активов и в разрезе конкретных их
видов - запасов, дебиторской задолженности, денежных средств.
В работе Г.В. Савицкой рассмотрена система показателей, необходимая для
исследования эффективности использования оборотных активов, освещены
направления факторного анализа, акцентировано внимание на детальном изучении
материальной части оборотных активов. Ценность представленной методики
заключается в установлении влияния факторов на показатели функционирования
оборотных средств, расчете резервов роста оборачиваемости и рентабельности
оборотных активов, выручки, прибыли, выявлении возможного резерва сокращения
средств, участвующих в обороте предприятия.
В.В. Ковалев, подчеркивая в своей работе целесообразность применения
краткосрочного кредита в финансировании текущих активов, представляет четыре
модели управления оборотными активами, указывая при этом, что доля
краткосрочных обязательств в составе источников формирования оборотных средств
возрастает последовательно: «консервативная - компромиссная - агрессивная -
идеальная модель», а риск нарушения ликвидности изменяется в противоположном
направлении.
Обобщая спектр лишь некоторых основных рассмотренных методик,
используемых в настоящее время, считается, что в целях эффективного процесса
управления оборотными активами необходимо синтезировать все имеющиеся
методические подходы, которые должны взаимно дополнять друг друга, обеспечивая
при этом не только комплексный, последовательный, но и гибкий механизм
формирования, оптимизации и восполнения объема оборотных средств [12].
Эффективность использования оборотных средств характеризуется системой
экономических показателей, таких как, абсолютный и относительные показатели
оценки ликвидности предприятия, позволяющие произвести оценку способности
предприятия выполнять краткосрочные обязательства и осуществлять непредвиденные
расходы, поскольку именно оборотные активы рассматриваются в качестве платежных
средств для покрытия краткосрочных обязательств.
Абсолютный показатель оценки ликвидности предприятия - чистые оборотные
активы, показывающие сумму оборотных активов, которые останутся у предприятия
после погашения за их счет всех краткосрочных обязательств, и рассчитывающиеся
по следующей формуле:
ч.об = Rоб - КО,
где Rч.об - чистые оборотные активы; Rоб - оборотные активы; КО -
краткосрочные обязательства.
Рекомендуемое значение показателя больше нуля, поскольку в самом общем
случае у предприятия после погашения всех краткосрочных обязательств должны
остаться оборотные средства для продолжения осуществления текущей деятельности.
Относительные показатели оценки ликвидности - коэффициенты ликвидности,
характеризующие обеспеченность краткосрочных обязательств организации,
оборотными активами в целом и отдельными их элементами.
Анализ показателей, характеризующих ликвидность, как правило, ведется в
динамике, в сопоставлении с рекомендуемыми значениями, со среднеотраслевыми
данными. По итогам анализа делается вывод о достаточности (недостаточности)
сумм оборотных активов в целом и отдельных их элементов для покрытия
краткосрочных обязательств организации [5].
Следующий шаг это расчет и анализ общих и частных показателей
оборачиваемости оборотных активов. Первые из них отражают интенсивность
использования оборотных активов предприятия в целом, а вторые - отдельных их
видов.
В качестве общих показателей оборачиваемости оборотных активов
предприятия выделяются:
. Коэффициент оборачиваемости оборотных активов (оборачиваемость
оборотных активов в разах), который характеризует скорость оборота оборотных
активов и показывает количество оборотов, совершаемое оборотными активами за
период, и рассчитывается по формуле:
где Коб - коэффициент оборачиваемости оборотных активов; ВРн - выручка
(нетто) от продаж; ОБср - средние остатки оборотных активов за период.
. Средняя продолжительность одного оборота оборотных активов
(оборачиваемость оборотных активов в днях), характеризующая длительность
оборота оборотных активов, показывающая среднее время пребывания оборотных
активов в процессе кругооборота в днях и определяемая по формуле:
О
= 
где
О-длительность оборота, дни; С-остатки оборотных средств (средние или на
определенную дату), руб.; ВРн - выручка (нетто) от продаж, руб.; Д- число дней
в рассматриваемом периоде, дни.
Как видно из вышеприведенных формул, коэффициент оборачиваемости и
средняя продолжительность одного оборота оборотных активов обратно
пропорциональны, т.е. чем выше скорость оборота оборотных активов, тем меньше
его длительность. Иными словами, интенсификация использования оборотных активов
предполагает повышение первого показателя и соответственно понижение второго.
К частным показателям оборачиваемости оборотных активов относятся
показатели оборачиваемости денежных средств и краткосрочных финансовых
вложений, запасов и дебиторской задолженности. Они характеризуют интенсивность
использования перечисленных видов оборотных активов и могут рассчитываться как
в разах, так и в днях.
Оборачиваемость денежных средств и краткосрочных финансовых вложений
(краткосрочные финансовые вложения прибавляются к денежным средствам, поскольку
являются своеобразным их резервом) в разах и днях показывает соответственно
скорость и длительность их оборота и определяется по формулам:
Одс.кфв
= 
Тдс.кфв
= 
где Одс.кфв - оборачиваемость в разах (коэффициент оборачиваемости)
денежных средств и краткосрочных финансовых вложений; Тдс.кфв - оборачиваемость
в днях (средняя продолжительность одного оборота) денежных средств и
краткосрочных финансовых вложений; ВРн - выручка от продаж; (ДС + КФВ)ср -
средние остатки денежных средств и краткосрочных финансовых вложений за период;
Д - число дней в периоде.
Оборачиваемость запасов в разах и днях показывает соответственно скорость
и длительность их оборота и определяется по формулам:
где Оз - оборачиваемость в разах (коэффициент оборачиваемости) запасов;
Тз - оборачиваемость в днях (средняя продолжительность одного оборота) запасов;
СПР - себестоимость проданных товаров, продукции, работ, услуг; Зср - средние
остатки запасов за период; Д - число дней в периоде.
Оборачиваемость дебиторской задолженности в разах и днях показывает
соответственно скорость и длительность ее оборота и определяется по формулам:
где Одз - оборачиваемость в разах (коэффициент оборачиваемости)
дебиторской задолженности; Тдз - оборачиваемость в днях (средняя
продолжительность одного оборота) дебиторской задолженности; ВРн - выручка от
продаж; ДЗср - средние остатки дебиторской задолженности за период; Д - число
дней в периоде.
Показатели оборачиваемости запасов и дебиторской задолженности
используются для расчета операционного и финансового циклов:
Тоц = Тз + Тдз
Тфц = Тоц - Ткз,
где Тоц - длительность операционного цикла (в днях); Тз - оборачиваемость
в днях (средняя продолжительность одного оборота) запасов; Тдз -
оборачиваемость в днях (средняя продолжительность одного оборота) дебиторской
задолженности; Тфц - длительность финансового цикла (в днях); Ткз -
оборачиваемость в днях (средняя продолжительность одного оборота) кредиторской
задолженности, рассчитываемая по формуле:
где Ткз - оборачиваемость в днях (средняя продолжительность одного
оборота) кредиторской задолженности; СПР - себестоимость проданных товаров,
продукции, работ, услуг; КЗср - средние остатки кредиторской задолженности за
период; Д - число дней в периоде [6].
При том операционный цикл характеризует общее время, в течение которого
денежные средства вложены в запасы и дебиторскую задолженность, а финансовый
цикл отражает время, в течение которого денежные средства отвлечены из оборота.
С целью ускорения оборачиваемости оборотных активов необходимо сокращать
длительность как операционного, так и финансового циклов. Длительность
операционного цикла может быть уменьшена за счет ускорения оборачиваемости
запасов и дебиторской задолженности, а длительность финансового цикла может
быть сокращена не только за счет ускорения оборачиваемости запасов и дебиторской
задолженности, но и за счет некоторого некритического замедления
оборачиваемости кредиторской задолженности.
Показатели оборачиваемости оборотных активов имеют отраслевую специфику,
и поэтому у них отсутствуют универсальные рекомендуемые значения. Разработка
рекомендуемых значений для показателей оборачиваемости возможна в рамках той
или иной отрасли экономики.
Анализ показателей оборачиваемости оборотных активов ведется в динамике,
в сопоставлении с данными аналогичных предприятий (принадлежащих той же
отрасли) и среднеотраслевыми значениями. По итогам анализа делается вывод об
уровне интенсивности использования оборотных активов коммерческой организации
(высокая, средняя, низкая) и причинах ее изменения [16].
Завершающий этап анализа оборотных активов - изучение эффективности их
использования, характеризуемой коэффициентом рентабельности оборотных активов,
рассчитываемым по формуле:
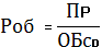
где Роб - коэффициент рентабельности оборотных активов; ПР - прибыль
(убыток от продаж); ОБср - средние остатки оборотных активов за период.
Он показывает, сколько рублей прибыли от продаж зарабатывает предприятие
с каждого рубля, вложенного в его оборотные активы.
Коэффициент рентабельности оборотных активов имеет отраслевую специфику,
поэтому у него отсутствуют универсальные рекомендуемые значения. Разработка
рекомендуемых значений для коэффициента рентабельности оборотных активов
возможна в рамках той или иной отрасли экономики.
Анализ коэффициента рентабельности оборотных активов ведется в динамике,
в сопоставлении с данными аналогичных предприятий (принадлежащих той же
отрасли) и среднеотраслевыми значениями. По итогам анализа делается вывод об
уровне эффективности использования оборотных активов коммерческой организации
(высокая, средняя, низкая) и причинах ее изменения.
По окончании анализа оборотных активов предприятия на основании
систематизации промежуточных результатов анализа делается общий вывод о степени
рациональности их структуры, достаточности для покрытия краткосрочных
обязательств, уровне интенсивности и эффективности использования [20].
.3 Модели управления оборотными средствами
В условиях рыночной экономики все предприятия заинтересованы в ритмичном
и стабильном функционировании. Чтобы достичь высоких результатов, нужна четко
выстроенная, обоснованная и эффективная финансовая политика.
Важной составной частью системы финансового менеджмента предприятий был и
остается механизм управления оборотными активами. Дело в том, что выработка
совершенного механизма управления оборотными активами организаций и действенное
применение его на практике является крайне актуальной проблемой в настоящее
время, так как эффективное формирование и регулирование объема оборотных
активов способствует поддержанию оптимального уровня ликвидности, обеспечивает
оперативность производственного и финансового циклов деятельности, а
следовательно, достаточно высокую платежеспособность и финансовую устойчивость
предприятий [12].
В зависимости от выбора источников финансирования оборотных средств,
различают модели финансового управления оборотными средствами. При этом
необходимо иметь в виду, что оборотные средства - наиболее изменчивая часть
активов, минимальная потребность в оборотных средствах определяется
необходимостью обеспечить непрерывность производственного процесса.
В отдельные периоды размер оборотных средств может быть значительно
больше, чем минимальная потребность, поэтому в составе оборотных средств
выделяют:
постоянный оборотный капитал (системная часть) ОбА 1
переменный оборотный капитал (варьирующая часть) ОбА 2 [21].
Суть политики управления оборотным капиталом состоит в определении
достаточного уровня и рациональной структуры текущих активов и в определении
величины и структуры источников их финансирования.
Можно выделить три основных модели управления оборотными средствами.
. Агрессивная модель управления текущими активами и пассивами
Предприятие не ставит ограничений в наращивании текущих активов, имеет
значительные денежные средства, запасы сырья и готовой продукции, существенную
дебиторскую задолженность - в этом случае удельный вес текущих активов в
составе всех активов высок, а период оборачиваемости оборотных средств
длителен.
Такая политика управления текущими активами не может обеспечить
повышенную экономическую рентабельность активов, но практически исключает
вопрос возрастания риска технической неплатежеспособности.
Агрессивной модели управления текущими активами соответствует агрессивная
модель управления текущими пассивами, при которой в общей сумме пассивов
преобладают краткосрочные кредиты. При этом у предприятия повышается уровень
эффекта финансового рычага. Затраты предприятия на выплату процентов по кредитам
растут, что снижает рентабельность и создает риск потери ликвидности.
. Консервативная модель управления текущими активами и пассивами
Предприятие сдерживает рост текущих активов - и тогда удельный вес
текущих активов в общей сумме активов низок, а период оборачиваемости оборотных
средств краток. Такую политику ведут предприятия либо в условиях достаточной
определенности ситуации, когда объем продаж, сроки поступлений и платежей,
необходимый объем запасов и точное время их потребления и т.д. известны
заранее, либо при необходимости строгой экономии.
Такая политика управления текущими активами обеспечивает высокую
экономическую рентабельность активов, но несет в себе повышенный риск
возникновения технической неплатежеспособности в случае непредвиденных ситуаций
при реализации продукции или при ошибке в расчетах.
Признаком консервативной политики управления текущими пассивами служит
отсутствие или очень низкий удельный вес краткосрочного кредита в общей сумме
всех пассивов предприятия. Все активы при этом финансируются за счет постоянных
пассивов (собственных средств и долгосрочных кредитов и займов).
. Умеренная модель управления текущими активами и пассивами
Предприятие занимает промежуточную, «центристскую» позицию - при этом
текущие активы составляют примерно половину всех активов предприятия, период
оборачиваемости оборотных средств имеет усредненную длительность. В этом случае
и экономическая рентабельность активов, и риск технической неплатежеспособности
находятся на среднем уровне.
Для умеренной политики управления текущими пассивами характерен средний
уровень краткосрочного кредита в общей сумме пассивов предприятия.
Умеренная политика управления оборотными средствами представляет собой
компромисс между агрессивной и консервативной моделью.
Выбор соответствующих источников финансирования оборотных активов в
конечном итоге определяет соотношение между уровнем эффективности использования
капитала и уровнем риска финансовой устойчивости и платежеспособности
предприятия. С учетом этих факторов и строится политика управления
финансированием оборотных средств.
Если при неизменном объеме краткосрочных финансовых обязательств будет
расти доля оборотных активов, финансируемых за счет собственных источников и
долгосрочного заемного капитала, то в этом случае будет повышаться финансовая
устойчивость предприятия, но снижаться эффект финансового рычага и расти
средневзвешенная стоимость капитала в целом (т.к. процентная ставка по
долгосрочным займам в силу большего их риска выше, чем по краткосрочным
займам).
Соответственно, если при неизменном участии собственного капитала и
долгосрочных займов в формировании оборотных активов будет расти сумма
краткосрочных финансовых обязательств, то в этом случае может быть снижена
общая средневзвешенная стоимость капитала, достигнуто более эффективное
использование собственного капитала (за счет роста эффекта финансового рычага),
но при этом будет снижаться финансовая устойчивость и платежеспособность
предприятия (за счет роста объема текущих обязательств и увеличения частоты
выплат долга) [22].
Величина оборотных средств определяется не только потребностями
производственного процесса, но и случайными факторами. Поэтому принято
подразделять оборотный капитал на постоянный и переменный (рис. 1.2.)
Рис.
1.2. Компоненты динамического ряда активов предприятия
В
теории финансового менеджмента существуют две основные трактовки понятия
"постоянный оборотный капитал". Согласно первой трактовке постоянный
оборотный капитал (или системная часть текущих активов) представляет собой ту
часть денежных средств, дебиторской задолженности и производственных запасов,
потребность в которых относительно постоянна в течение всего операционного
цикла. Это усредненная, например, по временному параметру, величина текущих
активов, находящихся в постоянном ведении предприятия. Согласно второй
трактовке постоянный оборотный капитал может быть определен как минимум текущих
активов, необходимый для осуществления производственной деятельности. Этот
подход означает, что предприятию для осуществления своей деятельности необходим
некоторый минимум оборотных средств, например постоянный остаток денежных
средств на расчетном счете, некоторый аналог резервного капитала. В дальнейшем
мы будем придерживаться второй трактовки.
Категория
переменного оборотного капитала (или варьирующей части текущих активов)
отражает дополнительные текущие активы, необходимые в пиковые периоды или в
качестве страхового запаса. Например, потребность в дополнительных
производственно-материальных запасах может быть связана с поддержкой высокого
уровня продаж во время сезонной реализации. В то же время по мере реализации
возрастает дебиторская задолженность. Добавочные денежные средства необходимы
для оплаты поставок сырья и материалов, а также трудовой деятельности,
предшествующих периоду высокой деловой активности.
Целевой
установкой политики управления оборотным капиталом является определение объема
и структуры текущих активов, источников их покрытия и соотношения между ними,
достаточного для обеспечения долгосрочной производственной и эффективной
финансовой деятельности предприятия. Взаимосвязь данных факторов и результатных
показателей достаточно очевидна. Хроническое неисполнение обязательств перед
кредиторами может привести к разрыву экономических связей со всеми вытекающими
отсюда последствиями.
Сформулированная
целевая установка имеет стратегический характер; не менее важным является
поддержание оборотных средств в размере, оптимизирующем управление текущей
деятельностью. С позиции повседневной деятельности важнейшей
финансово-хозяйственной характеристикой предприятия является его ликвидность,
т. е. способность вовремя гасить краткосрочную кредиторскую задолженность. Для
любого предприятия достаточный уровень ликвидности является одной из важнейших характеристик
стабильности хозяйственной деятельности. Потеря ликвидности чревата не только
дополнительными издержками, но и периодическими остановками производственного
процесса.
Рис.
1.3. Риск и уровень оборотного капитала
На
рис. 1.3. показан риск ликвидности при высоком и низком уровнях чистого
оборотного капитала. Если денежные средства, дебиторская задолженность и
производственно-материальные запасы поддерживаются на относительно низких
уровнях, то вероятность неплатежеспособности или нехватки средств для
осуществления рентабельной деятельности велика. На графике видно, что с ростом
величины чистого оборотного капитала риск ликвидности уменьшается. Безусловно,
взаимосвязь имеет более сложный вид, поскольку не все текущие активы в равной
степени положительно влияют на уровень ликвидности. Тем не менее можно
сформулировать простейший вариант управления оборотными средствами, сводящий к
минимуму риск потери ликвидности: чем больше превышение текущих активов над
текущими обязательствами, тем меньше степень риска; таким образом, нужно
стремиться к наращиванию чистого оборотного капитала.
Совершенно
иной вид имеет зависимость между прибылью и уровнем оборотного капитала (рис.
1.4).
Рис.
1.4. Взаимосвязь прибыли и уровня оборотного капитала
При
низком уровне оборотного капитала производственная деятельность не
поддерживается должным образом, отсюда - возможная потеря ликвидности,
периодические сбои в работе и низкая прибыль. При некотором оптимальном уровне
оборотного капитала прибыль становится максимальной. Дальнейшее повышение
величины оборотных средств приведет к тому, что предприятие будет иметь в
распоряжении временно свободные, бездействующие текущие активы, а также
излишние издержки финансирования, что повлечет снижение прибыли. В связи с этим
сформулированный выше вариант управления оборотными средствами, связанный со
снижением риска ликвидности, не совсем верен.
Таким
образом, политика управления оборотным капиталом должна обеспечить поиск
компромисса между риском потери ликвидности и эффективностью работы. Это
сводится к решению двух важных задач [28].
.
Обеспечение платежеспособности. Такое условие отсутствует, если предприятие не
в состоянии оплачивать счета, выполнять обязательства и, возможно, объявит о
банкротстве. Предприятие, не имеющее достаточного уровня оборотного капитала,
может столкнуться с риском неплатежеспособности.
.
Обеспечение приемлемого объема, структуры и рентабельности активов. Известно,
что различные уровни разных текущих активов по разному воздействуют на прибыль.
Например, высокий уровень производственно-материальных запасов потребует
соответственно значительных текущих расходов, в то время как широкий
ассортимент готовой продукции в дальнейшем может способствовать повышению
объемов реализации и увеличению доходов. Каждое решение, связанное с
определением уровня денежных средств, дебиторской задолженности и
производственных запасов, должно быть рассмотрено как с позиции рентабельности
данного вида активов, так и с позиции оптимальной структуры оборотных средств
[29].
ГЛАВА 2. АНАЛИЗ ОБОРОТНЫХ АКТИВОВ ООО «ТАП И КОМПАНИЯ»
.1 Общая характеристика деятельности ООО «ТАП и Компания». Анализ
состояния оборотных средств предприятия
Название организации: ООО «ТАП и Компания»
Дата регистрации Тульской регистрационной палатой: 17 ноября 2000г.
Правовой статус:
Организация является юридическим лицом:
имеет в собственности обособленное имущество, учитываемое на его
самостоятельном балансе;
отвечает по своим обязательствам этим имуществом;
от своего имени приобретает и осуществляет имущественные и личные
неимущественное права, несет обязанности;
выступает в качестве истца и ответчика в судах общей юрисдикции,
арбитражных и иных судах.
Организационная структура представлена на рисунке 2.1.
Целью деятельности компании является извлечение прибыли путем
осуществления предпринимательской деятельности и удовлетворения общественных
потребностей в предоставляемых товарах и услугах [2].
Предмет деятельности организации:
организация общественного питания, создание, содержание и эксплуатация
основных типов предприятий массового питания (ресторан, столовая, кафе, бар и
т.д.);
деятельность по производству, выпуску, реализации и организации
потребления продукции общественного питания, пищевой продукции и
полуфабрикатов, в т.ч. колбасных изделий и копченостей, обеденной продукции и
т.п.;
организация и эксплуатация хлебопекарен и кондитерских производств,
выпечка и реализация хлебобулочных и иных мучных и кондитерских изделий;
проведение банкетов, обслуживание свадеб, юбилеев, торжеств и ритуалов;
создание собственной производственной инфраструктуры, включая
производственные и перерабатывающие мощности, складские и другие
вспомогательные объекты, транспорт и сбытовую сеть (оптовую/розничную) и
управление ими.
Финансово-хозяйственная деятельность:
· приобретение, аренда помещений, необходимых для осуществления
деятельности;
· осуществление рекламной деятельности;
· заключение с контрагентами различных видов
гражданско-правовых сделок;
· участие своими средствами в благотворительной деятельности;
· организация подготовки и повышения квалификации своих кадров
по всем направлениям деятельности;
· установление порядка и условий ценообразования на оказываемые
услуги;
· открытие филиалов и представительств.
Распределение прибыли и убытков:
Общество обладает полной хозяйственной самостоятельностью в вопросах
распределения чистой прибыли.
Балансовая и чистая прибыль общества определяются в порядке,
предусмотренном действующим законодательством. Из балансовой прибыли
уплачиваются соответствующие налоги, другие обязательные платежи в бюджет и во
внебюджетные фонды, а также производятся расходы, осуществляемые по
действующему законодательству до выплаты налогов.
Балансовая и чистая прибыль (после уплаты налогов) остается в
распоряжении общества и направляется на формирование фондов общества,
распределяется между Участниками либо на другие цели в соответствии с
действующим законодательством [17].
Рис. 2.1. Организационная структура ООО «ТАП и Компания»
Оборотные активы занимают больший удельный вес в общей валюте баланса.
Это наиболее мобильная часть капитала, от состояния и рационального
использования которой во многом зависят результаты хозяйственной деятельности и
финансового состояния предприятия.
Основная цель анализа - своевременное выявление и устранение недостатков
управления оборотным капиталом и нахождение резервов повышения интенсивности и
эффективности его использования.
В процессе анализа, прежде всего, необходимо изучить изменения в наличии
и структуре оборотных активов. При этом следует иметь в виду, что стабильная
структура оборотного капитала свидетельствует о стабильном, хорошо отлаженном
процессе производства и сбыта продукции. Существенные ее изменения говорят о
нестабильной работе предприятия [4].
В таблице 2.1. рассмотрим состав и структуру оборотных активов на
предприятии.
Таблица 2.1
Состав и структура оборотных активов ООО «ТАП и Компания»
|
Показатели
|
Абсолютные величины, тыс. руб.
|
Удельный вес, %
|
Динамика
|
|
2009г.
|
2010г.
|
2009г.
|
2010г.
|
в абсолютных величинах
|
в удельном весе
|
|
1
|
2
|
3
|
4
|
5
|
6
|
7
|
|
1. Оборотные производственные фонды:
|
|
1.1. Запасы
|
11006
|
12969
|
5,20%
|
6,56%
|
1963
|
1,36%
|
|
1.2. Незавершенное производство
|
0
|
0
|
0,00%
|
0,00%
|
0
|
0,00%
|
|
1.3. Расходы будущих периодов
|
2043
|
8928
|
0,97%
|
4,52%
|
6885
|
3,55%
|
|
1.4. НДС по приобретенным ценностям
|
0
|
0
|
0,00%
|
0,00%
|
0
|
0,00%
|
|
Фонды обращения:
|
|
1.2. Готовая продукция
|
8403
|
3996
|
3,97%
|
2,02%
|
-4407
|
-1,95%
|
|
1.3. Товары отгруженные
|
0
|
0
|
0,00%
|
0,00%
|
0
|
0,00%
|
|
2.3. Дебиторская задолженность
|
34381
|
44443
|
16,24%
|
22,48%
|
10062
|
6,24%
|
|
2.4. Краткосрочные финансовые вложения
|
163082
|
140111
|
77,03%
|
70,87%
|
-22971
|
-6,16%
|
|
2.5.Денежные средства
|
3240
|
183
|
1,53%
|
0,09%
|
-3057
|
-1,44%
|
|
2.6.Прочие оборотные активы
|
0
|
0
|
0,00%
|
0,00%
|
0
|
0,00%
|
|
Итого оборотных активов
|
211709
|
197706
|
100%
|
100%
|
-14003
|
-
|
|
|
|
|
|
|
|
|
|
Как видно из таблицы 2.1, на анализируемом предприятии наибольший
удельный вес занимают краткосрочные финансовые вложения. На их долю приходится
70,87% общей суммы оборотных активов. Это означает, что предприятие в состоянии
удовлетворять претензии держателей краткосрочных долговых обязательств и
своевременно погашать свои задолженности. В 2010 году увеличилась доля запасов
на 1,36% и уменьшилась доля готовой продукции, что может говорить о расширении
производства и объемов сбыта продукции предприятия. При этом увеличение
удельного веса дебиторской задолженности на 6,24% является негативным фактором,
так как все большее отвлечение оборотных активов из оборота, хотя и временное,
не способствует повышению эффективности операционной деятельности предприятия.
Рис.2.2. Структура оборотных активов ООО «ТАП и Компания» в 2009 году
Рис.2.3. Структура оборотных активов ООО «ТАП и Компания» в 2010году
Рассчитаем показатели оборачиваемости средств предприятия.
Коэффициент оборачиваемости оборотных активов:

(1)
г.:
Коб = 212704 / ((38758+211709)/2) = 1,70 раз
г.:
Коб = 304948 / ((211709+197706)/2) = 1,49 раз
Средняя
продолжительность одного оборота оборотных активов:
О
= 
(2)
г.:
О = (125233*365)/212704 = 215 дней
г.:
О = (204707,5*365)/304948 = 245 дней
Результаты
расчетов, произведенных выше, представим в виде таблицы 2.2
Таблица
2.2
Динамика
показателей оборачиваемости активов
|
Показатель
|
2009г.
|
2010г.
|
Изменение
|
|
Выручка (нетто) от продаж (тыс. руб.)
|
212704
|
304948
|
+92244
|
|
Средняя величина активов (тыс. руб.)
|
125233
|
204707,5
|
+79474,5
|
|
Оборачиваемость активов (раз)
|
1,70
|
1,49
|
-0,21
|
|
Продолжительность оборота активов (дней)
|
215
|
245
|
+30
|
Оборачиваемость активов показывает, что на 1 рубль, вложенный в активы в
2009 году, было получено 1,70 рубля выручки, в 2010 году - 1,49 рубля, это на
0,21 рубля меньше, что отрицательно, так как замедление оборачиваемости
капитала препятствует росту отдачи от его использования . Продолжительность
оборота в 2010 году по сравнению с предыдущим годом увеличилась на 30 дней
(средства, вложенные в оборотные активы, проходят полный цикл и снова принимают
денежную форму на 30 дней медленнее).
Для определения потребностей компании в оборотном капитале, а также в
средствах, необходимых для финансирования рабочего капитала, рассчитываются
такие важные показатели, как продолжительность финансового и операционного
циклов.
Операционный цикл - это время полного оборота всей суммы оборотных
активов или количество дней, которое проходит с момента поступления сырья и
материалов на склад компании до реализации готовой продукции. Другой, не менее
важный показатель, помогающий контролировать финансовую устойчивость
предприятия, продолжительность финансового цикла (время с момента оплаты сырья
и материалов до поступления средств за отгруженную продукцию) [8].
Рассчитать продолжительность операционного цикла можно, если
воспользоваться следующей формулой:
Тоц = Тз + Тдз (3)
2009г.: Тоц = 32 + 40 = 72 дня
г.: Тоц = 40 + 47 = 87 дней
Формула для вычисления продолжительности финансового цикла будет
выглядеть так:
Тфц = Тоц - Ткз (4)
Продолжительность оборота кредиторской задолженности рассчитаем по
формуле:

(5)
где,
КЗср - средняя кредиторская задолженность за период,
Д
- количество дней в рассматриваемом периоде,
СПР
- себестоимость проданной продукции (нетто)
г.:
Тфц = 72 - 49 = 23 день
Ткз
= ((-273+19869)/2)*365/(72934) = 49 дней
г.:
Тфц = 87 - 103 = - 16 дней
Ткз
= ((19869+42104)/2)*365/(110107) = 103 дня
Рис.
2.4. Динамика операционного и финансового циклов
.2
Анализ показателей эффективности использования оборотных средств
К
частным показателям оборачиваемости оборотных активов относятся также
показатели оборачиваемости денежных средств, краткосрочных финансовых вложений,
запасов и дебиторской задолженности. Они характеризуют интенсивность
использования перечисленных видов оборотных активов и могут рассчитываться как
в разах, так и в днях.
Оборачиваемость
денежных средств и краткосрочных финансовых вложений:
Одс.кфв
= 
(6)
г.: Одс.кфв = 212704/((4045+185515)/2) = 2,24 раз
г.: Одс.кфв = 304948/((3423+303193)/2) = 1,99 раз
Тдс.кфв
= 
(7)
г.:
Тдс.кфв = ((4045+185515)/2)*365/212704 = 163 дня
г.:
Тдс.кфв = ((3423+303193)/2)*365/304948 = 184 дня
Снижение
оборачиваемости в 2010 на 0,25 раза и рост среднего срока оборота денежных
средств и краткосрочных финансовых вложений на 21 день свидетельствует о
нерациональной организации работы предприятия, допускающего замедление
использования высоколиквидных активов, основное предназначение которых -
обслуживание производственно-хозяйственного оборота предприятия. Исключением
является случай, когда оборачиваемость замедляют депозиты, входящие в состав
краткосрочных финансовых вложений, но это сопряжено с высокими процентами по
депозитам (т. е. снижение оборачиваемости данного вида активов компенсируется
ростом их рентабельности).
Оборачиваемость
запасов:

(8)
г.:
Оз = 79934/((2954+11006)/2) = 11,45 раз
г.:
Оз = 110107/((11006+12969)/2) = 9,19 раз

(9)
г.:
Тз = ((2954+11006)/2)*365/79934 = 32 дня
г.:
Тз = ((11006+12969)/2)*365/110107 = 40 дней
Снижение
оборачиваемости запасов на 2,26 раза свидетельствует о росте запасов,
опережающем рост себестоимости проданных товаров, продукции, работ, услуг, и о
более медленном снижении запасов по сравнению со снижением себестоимости.
Диспропорция запасов и себестоимости проданных товаров, продукции, работ, услуг
может выражаться в виде избыточных остатков сырья, материалов и незавершенного
производства или в виде избыточных остатков готовой продукции и товаров.
Относительный рост запасов сырья, материалов и незавершенного производства
может означать увеличение объёмов производства, которому пока не соответствуют
объёмы продаваемых товаров, продукции, работ, услуг, или замедление
производственных процессов и процессов обращения, обусловленное
технологическими причинами. Относительный рост запасов готовой продукции и
товаров может отражать снижение спроса на готовую продукцию и товары
предприятия.
Снижение
оборачиваемости запасов служит основанием для проведения тщательного анализа
организации производственно-хозяйственных процессов, маркетинговой политики, в
ходе которой могут быть определены необходимые мероприятия по ускорению оборота
(они могут касаться загрузки производственных мощностей, сменности работы
оборудования, оптимальности номенклатуры выпускаемой продукции и т. д.).
Оборачиваемость
дебиторской задолженности:

(10)
г.:
Одз = 212704/((12439+34381)/2) = 9,09 раз
г.:
Одз = 304948/((34381+44443)/2) = 7,74 раз

(11)
г.:
Тдз = ((12439+34381)/2)*365/212704 = 40 дней
г.:
Тдз = ((34381+44443)/2)*365/304948 = 47 дней
Снижение
оборачиваемости дебиторской задолженности в 2010 году свидетельствует о
снижении платёжной дисциплины покупателей и об увеличении продаж с отсрочкой
платежа. При этом с ростом продолжительности периода погашения дебиторской
задолженности растет риск ее невозвращения.
Результаты
расчетов, произведенных выше, представим в виде диаграмм:
Рис.2.5.
График оборачиваемости оборотных активов ООО «ТАП и Компания»
Рис.2.6.
График средней продолжительности одного оборота оборотных активов ООО «ТАП и
Компания»
Для
анализа возможности предприятия в обеспечении достаточного объема прибыли по
отношению к используемым оборотным средствам компании рассчитаем коэффициент
рентабельности оборотных активов.
Чем
выше значение данного коэффициента, тем более эффективно используются оборотные
средства.
Коэффициент
рентабельности оборотных активов:

(12)
г.:
Роб = 30441 / ((38757 + 211709)/2) = 0,243
г.:
Роб = 22837 / ((211709+197706)/2) = 0,112
Рис.
2.7. Изменение коэффициента рентабельности оборотных активов
Как
мы видим по результатам произведенных расчетов, а также представленной
диаграмме (рис. 2.7.), в 2010 году рентабельность активов сократилась на 0,131
значения коэффициента, что говорит о нерациональном использовании оборотных
средств.
Учитывая особенности бухгалтерского учета хозяйственной деятельности,
следует отметить, что в большинстве случаев затруднительно разграничить
оборотные активы, используемые в основной и прочей деятельности. Поэтому
наиболее целесообразно рассчитывать рентабельность общей величины оборотных
активов, используемых как в основной, так и прочей деятельности, применяя
величину прибыли (убытка) до налогообложения. В таком случае общая рентабельность
оборотных активов будет рассчитываться следующим образом:
) в общем виде:
Роб = (Ппродаж + Ппрочая)/ОБср*100% (13);
) в «развернутом» виде:
с учетом деления затрат на производственную себестоимость, коммерческие и
управленческие расходы:
Роб = (ВРн - (СПР + КР + УР) + Дпрочие - Рпрочие)/ОБср*100% (14),
где КР - величина коммерческих расходов;
УР - величина управленческих расходов.
Рассчитаем и проанализируем рентабельность оборотных активов с учетом
разделения финансового результата организации на прибыль от основной и прочей
деятельности.
Таблица 2.3
Исходные данные для факторного анализа рентабельности оборотных активов
|
Показатель
|
2009г.
|
2010г.
|
Отклонение
|
Темп роста, %
|
|
1. Величина выручки от продаж, тыс. руб.
|
212704
|
304948
|
92244
|
143,37
|
|
2. Величина себестоимости проданной продукции, тыс. руб.
|
72934
|
110107
|
37173
|
150,97
|
|
3. Управленческие расходы
|
109329
|
172004
|
62675
|
157,33
|
|
4. Величина прибыли (убытка) от продаж, тыс. руб.
|
30441
|
22837
|
-7604
|
75,02
|
|
5. Величина прочих доходов, тыс.руб.
|
171
|
9956
|
9785
|
5822,22
|
|
6. Величина прочих расходов, тыс. руб.
|
2939
|
41240
|
38301
|
1403,20
|
|
7. Величина прибыли (убытка) от прочей деятельности, тыс.
руб.
|
-2768
|
-31284
|
-28516
|
1130,20
|
|
8. Величина прибыли (убытка) до налогообложения, тыс. руб.
|
27673
|
-8447
|
-36120
|
30,52
|
|
9. Средняя величина оборотных активов, тыс. руб.
|
125233
|
204707,5
|
79474,5
|
163,46
|
|
10. Рентабельность (общая) оборотных активов, %
|
22,1
|
-4,13
|
-26,23
|
18,69
|
Проведем факторный анализ рентабельности оборотных активов с
использованием способа цепных подстановок. Результат представлен в табличной
форме.
Таблица 2.4
Факторный анализ рентабельности оборотных активов
|
Подстановки
|
Изменение факторов
|
Результат
|
Влияние факторов
|
|
ΔПпродаж
|
ΔПпрочая
|
ΔОБср
|
|
|
|
1. Базовые показатели
|
30441
|
-2768
|
125233
|
22,10
|
-
|
|
2. Δ Ппродаж
|
22837
|
-2768
|
125233
|
16,03
|
-6,07
|
|
3. Δ Ппрочая
|
22837
|
-31284
|
125233
|
-6,75
|
-22,77
|
|
4. Δ ОБср
|
22837
|
-31284
|
204707,5
|
-4,13
|
+2,62
|
|
Совокупное влияние факторов
|
-26,22
|
. Базовые показатели = (ΔПпродаж0 + ΔПпрочая0) / ΔОБср*100% = (30441 -
2768)/125233*100% = 22,10
. ΔПпродаж = (ΔПпродаж1 + ΔПпрочая0) / ΔОБср0*100% = (22837 -
2768)/125233*100% = 16,03
. ΔПпрочая = (ΔПпродаж1 + ΔПпрочая1) / ΔОБср0*100% = (22837 -
31284)/125233*100% = -6,75
. ΔОБср = (ΔПпродаж1 + ΔПпрочая1) / ΔОБср1*100% = (22837 -
31284)/204707,5*100% = -4,13
Из данных таблицы следует, что рентабельность оборотных активов
сократилась на 26,23%, что произошло по следующим причинам:
) в связи с уменьшением прибыли от продаж на 7604 тыс. руб.
рентабельность оборотных активов уменьшилась на 6,07%;
) уменьшение прибыли от прочей деятельности на 28516 тыс. руб. привело к
уменьшению рентабельности оборотных активов на 22,77%;
) увеличение суммы оборотных активов на 79474,5 тыс. руб. повлекло за
собой относительное уменьшение убытков, приходящихся на единицу оборотных
средств.
Таким образом, негативное воздействие на изменение общей рентабельности
оборотных активов оказало снижение прибыли от прочей деятельности и уменьшение
прибыли от продажи. Это вызывает необходимость:
) детального исследования финансовых результатов от прочей деятельности;
) выявления резервов роста соответствующей прибыли.
Для проведения детального исследования рассматриваемого показателя
воспользуемся формулой с учетом деления затрат на производственную
себестоимость, коммерческие и управленческие расходы.
Таблица 2.5
Факторный анализ общей рентабельности оборотных активов
|
Подстановки
|
Изменение факторов
|
Результат
|
Влияние факторов
|
|
ΔВРн
|
ΔСПР
|
ΔУР
|
ΔДпрочие
|
ΔРпрочие
|
ΔОБср
|
|
|
|
1. Базовые показатели
|
212704
|
72934
|
109329
|
171
|
2939
|
125233
|
22,09
|
-
|
|
2. Δ ВРн
|
304948
|
72934
|
109329
|
171
|
2939
|
125233
|
95,76
|
+73,67
|
|
3. Δ СПР
|
304948
|
110107
|
109329
|
171
|
2939
|
125233
|
66,07
|
-29,69
|
|
4. Δ УР
|
304948
|
110107
|
172004
|
171
|
2939
|
125233
|
16,03
|
-50,04
|
|
5. Δ Дпрочие
|
304948
|
110107
|
172004
|
9956
|
2939
|
125233
|
23,84
|
+7,81
|
|
6. Δ Рпрочие
|
304948
|
110107
|
172004
|
9956
|
41240
|
125233
|
-6,75
|
-30,59
|
|
7. Δ ОБср
|
304948
|
110107
|
172004
|
9956
|
41240
|
204707,5
|
-4,13
|
+2,62
|
|
Совокупное влияние факторов
|
-26,22
|
1. Базовые показатели =(ΔВРн0 - (ΔСПР0 +ΔУР0) + ΔДпрочие0 - ΔРпрочие0) / Δ ОБср0*100% = (212704 -
(72934+109329)+171-2939)/125233*100% = 22,09%
. Δ ВРн =(ΔВРн1 - (ΔСПР0 +ΔУР0 )+ ΔДпрочие0 - ΔРпрочие0) / Δ ОБср0*100% = (304948 -
(72934 + 109329) + 171 - 2939)/125233*100% = 95,76%
. Δ СПР =(ΔВРн1 - (ΔСПР1 +ΔУР0 )+ ΔДпрочие0 - ΔРпрочие0) / Δ ОБср0*100% = (304948-
(110107 + 109329) + 171 - 2939)/125233*100% =66,07%
. Δ УР =(ΔВРн1 - (ΔСПР1 +ΔУР1 )+ ΔДпрочие0 - ΔРпрочие0) / Δ ОБср0*100% = (304948 -
(110107 + 172004) + 171- 2939)/125233*100% =16,03%
. Δ Дпрочие =(ΔВРн1 - (ΔСПР1 +ΔУР1 )+ ΔДпрочие1 - ΔРпрочие0) / Δ ОБср0*100% = (304948-
(110107+ 172004)+ 9956 - 2939)/125233*100% =23,84%
. Δ Рпрочие =(ΔВРн1 - (ΔСПР1 +ΔУР1 )+ ΔДпрочие1 - ΔРпрочие1) / Δ ОБср0*100% = (304948-
(110107+172004)+ 9956 -41240)/125233*100% =-6,75%
. Δ ОБср =(ΔВРн1 - (ΔСПР1 +ΔУР1 )+ ΔДпрочие1 - ΔРпрочие1) / Δ ОБср1*100% =(304948-
(110107+172004)+9956-41240)/204707,5*100% =-4,13%
Данный анализ позволяет выявить ряд дополнительных факторов, влияющих на
изменение рентабельности оборотных активов:
) с увеличением выручки от продаж на 92244 тыс. руб. общая рентабельность
оборотных активов выросла на 73,67%;
) с ростом производственной себестоимости на 37173 тыс. руб. общая
рентабельность оборотных активов снизилась на 29,69%;
) с увеличением управленческих расходов на 62675 тыс. руб. общая
рентабельность оборотных активов сократилась на 50,04%;
) с увеличением прочих доходов на 9785 тыс. руб. результат увеличился на
7,81%;
) с ростом прочих расходов на 38301 тыс. руб. общая рентабельность
оборотных активов снизилась на 30,59%;
) с увеличением оборотных активов на 79474,5 тыс. руб. исследуемый
показатель увеличился на 2,62%.
Таким образом, лишь три из рассматриваемых в модели факторов оказали
положительное влияние на изменение показателя рентабельности. Это вызывает
необходимость дополнительного изучения факторов, вызвавших рост
производственной себестоимости, управленческих и прочих расходов.
.3 Анализ ликвидности и финансовой устойчивости предприятия
Финансовое состояние, ликвидность и платежеспособность организации в
большей степени зависит от уровня деловой активности, от использования
оборотного капитала, оценки его величины и структуры. В связи с тем, что
оборотные средства формируют основную долю ликвидных активов организации их
величина должна быть достаточной для обеспечения ритмичной и равномерной работы
организации и как следствие получение прибыли. В связи с этим целесообразно
оценить ликвидность и финансовую устойчивость организации, чтобы узнать
насколько эффективно используются оборотные активы организации.
Финансовая устойчивость - результат наличия определенного запаса
прочности, защищающего организацию от случайностей и резких изменений внешних
факторов [9].
Внешним проявлением финансовой устойчивости выступает платежеспособность.
Платежеспособность - это способность предприятия своевременно и полностью
выполнить свои платежные обязательства, вытекающих из торговых, кредитных и
иных операций платежного характера.
Способность предприятия вовремя и без задержки платить по своим краткосрочным
обязательствам называется ликвидностью.
Ликвидность любого предприятия, фирмы, хозяйствующего субъекта - это
«способность быстро погашать свою задолженность».
Ликвидность определяется соотношением величины задолженности и ликвидных
средств, находящихся в распоряжении предприятия. Ликвидными называются такие
средства, которые могут быть использованы для погашения долгов (наличные деньги
в кассе, депозитные вклады, размещенные на счетах банках, ценные бумаги,
реализуемые элементы оборотных средств, такие как: топливо, сырье и т.п.) [23].
В зависимости от степени ликвидности, то есть от скорости превращения в
деньги, активы любого предприятия разделяются на следующие группы:
А1.Наиболее ликвидные активы. К ним относятся все денежные средства
(наличные и на счетах) и краткосрочные финансовые вложения
г.: А1 = 3240 + 163082 = 166322 тыс. руб.;
г.: А1 = 183 + 140111 = 140294 тыс. руб.
А2. Быстро реализуемые активы. Они включают дебиторскую задолженность и
прочие активы
г.: А2 = 34381 тыс. руб.;
г.: А2 = 44443 тыс. руб.
А3. Медленно реализуемые активы. В этот показатель входят статьи раздела
2 актива "Запасы и затраты", за исключением строчки "Расходы
будущих периодов", а также статьи "Долгосрочные финансовые
вложения", "Расчеты с учредителями" из раздела 1 актива
г.: А3 = 11006 - 2043 = 8963 тыс. руб.;
г.: А3 = 12969 - 8928 = 4041 тыс. руб.
А4.Трудно реализуемые активы. Под ними подразумеваются: "Основные
средства", "Нематериальные активы", "Незавершенные
капитальные вложения", "Оборудование к установке"
г.: А4 = 18715 + 26549 = 45263 тыс. руб.;
г.: А4 = 40918 + 8220 = 49138 тыс. руб..
Пассивы баланса группируются по степени срочности их оплаты.
П1.Наиболее срочные пассивы. К ним относится кредиторская задолженность и
прочие пассивы
г.: П1 = 19869 + 319 = 20188 тыс. руб.;
г.: П1 = 42104 тыс. руб.
П2.Краткосрочные пассивы. Они охватывают краткосрочные кредиты и заемные
средства
г.: П2 = 204090 тыс. руб.;
г.: П2 = 15149 тыс. руб.
П3.Долгосрочные пассивы. Они включают долгосрочные кредиты и заемные
средства
г.: П3 = 0 тыс. руб.;
г.: П3 = 167061 тыс. руб.
П4.Постоянные пассивы. К ним относятся статьи раздела 1 пассива
"Источники собственных средств". Для сохранения баланса актива и
пассива итог данной группы уменьшается на сумму статьи "Расходы будущих
периодов"
г.: П4 = 32694 - 2043 = 30651 тыс. руб.;
г.: П4 = 22531 - 8928 = 13603 тыс. руб.
Анализ ликвидности баланса представим в виде таблицы.
Таблица 2.6
Анализ ликвидности баланса ООО «ТАП и Компания»
|
Актив
|
2009г.
|
2010г.
|
Пассив
|
2009г.
|
2010г.
|
Платежные излишки или недостача
|
|
|
|
|
|
|
2009г.
|
2010г.
|
|
А1) Наиболее ликвидные активы
|
166322
|
140294
|
П1) Наиболее срочные обязательства
|
20188
|
42104
|
146134
|
98190
|
|
А2) Быстро реализуемые активы
|
34381
|
44443
|
П2) Краткосрочные пассивы
|
204090
|
15149
|
-169709
|
29294
|
|
А3) Медленно реализуемые активы
|
8963
|
4041
|
П3) Долгосрочные пассивы
|
0
|
167061
|
8963
|
-163020
|
|
|
|
|
|
|
|
|
|
А4) Трудно реализуемые активы
|
45263
|
49138
|
П4) Постоянные пассивы
|
30651
|
13603
|
14612
|
35535
|
Получили следующие результаты:
г.: А1 > П1 2010г.: А1 > П1
А2 < П2 А2 > П2
А3 > П3 А3 < П3
А4 > П4 А4 > П4
Сопоставление результатов, приведенных в таблице 2.6., позволяет
выяснить, что в 2010 году наиболее ликвидных средств и быстро реализуемых
активов достаточно для погашения наиболее срочных обязательств и краткосрочных
пассивов, что свидетельствует о платежеспособности предприятия на ближайшее
время. При этом у предприятия также остаются средства для продолжения своей
деятельности.
Сравнение медленно реализуемых активов с долгосрочными и среднесрочными
пассивами показывает, что запасы предприятия не покрывают кредиторскую
задолженность, что свидетельствует о недостаточной величине запасов ООО «ТАП и
Компания».
По остальным соотношениям выполняются необходимые ограничения.
Следовательно, организация способна расплатиться по платежам ближайшей и
отдаленной перспективы с некоторым финансовым запасом при условии своевременных
расчетов с дебиторами, увеличением запасов предприятия с учетом возможности
использования ликвидных активов для этих целей.
Не выполнение последнего неравенства свидетельствует о недостаточности
собственного капитала организации для покрытия труднореализуемых активов.
Для оценки платежеспособности предприятия используется также три
относительных показателя, различающиеся набором ликвидных активов,
рассматриваемых в качестве покрытия краткосрочных обязательств.
Коэффициент абсолютной (мгновенной) ликвидности отражает способность
предприятия выполнять краткосрочные обязательства за счет свободных денежных
средств и краткосрочных финансовых вложений, быстро реализуемых в случае
надобности. Краткосрочные обязательства корректируются на статьи "Доходы
будущих периодов", "Резервы предстоящих расходов и платежей", а
также "Фонды потребления".
К = (ДС + КФВ) / ТП (19),
где ДС - денежные средства,
КФВ - краткосрочные финансовые вложения,
ТП - скорректированные текущие пассивы.
г.: К = (3240 + 163082) / 224278 = 0,7
г.: К = (183 + 140111) / 57253 = 2,5
Этот коэффициент показывает, какая часть краткосрочных заемных
обязательств может быть при необходимости погашена немедленно. Значение данного
коэффициента не должно опускаться ниже 0,2. Из произведенных расчетов мы видим
что, в 2009 году данный показатель составил 0,7, а в 2010 году - 2,5. Это
означает, что предприятие способно погасить свои краткосрочные обязательства за
счет абсолютно ликвидных активов.
Коэффициент быстрой ликвидности, или коэффициент «критической оценки»,
показывает, насколько ликвидные средства предприятия покрывают его
краткосрочную задолженность.
Показатель исчисляется по более узкому кругу текущих активов, когда из
расчета исключены производственные запасы. Данный показатель определяет, какая
доля кредиторской задолженности может быть погашена за счет наиболее ликвидных
активов, т. е. показывает, какая часть краткосрочных обязательств предприятия может
быть немедленно погашена за счет средств на различных счетах, в краткосрочных
ценных бумагах, а также поступлений по расчетам. Рекомендуемое значение данного
показателя от 0,7-0,8 до 1,5.
К = (ДС + КФВ + ДЗ) / ТП (20),
где ДЗ - дебиторская задолженность.
г.: К = (3240 + 163082 + 34381) / 224278 = 0,9
г.: К = (183 + 140111 + 44443) / 57253 = 3,2
По результатам расчетов, произведенных выше, мы видим, что в 2010 году
полученное значение показателя выше рекомендуемого, а значит предприятие
способно погашать свои текущие обязательства в случае возникновения сложностей
с реализацией продукции..
Коэффициент текущей ликвидности показывает, достаточно ли у предприятия
средств, которые могут быть использованы им для погашения своих краткосрочных
обязательств в течение года. Это основной показатель платежеспособности
предприятия [11].
где ТА - текущие активы,
ТП - скорректированные текущие пассивы.
г.: К = 209666 / 224278 = 0,9
г.: К = 188778 / 57253 = 3,3
В мировой практике значение этого коэффициента должно находиться в
диапазоне 1-2. Естественно, существуют обстоятельства, при которых значение
этого показателя может быть и больше, однако, если коэффициент текущей
ликвидности более 2-3, это, как правило, говорит о нерациональном использовании
средств предприятия. Значение коэффициента текущей ликвидности ниже единицы
говорит о неплатежеспособности предприятия. Таким образом можно сделать вывод,
что на данном предприятии средства используются нерационально, что естественно
сказывается и на финансовом состоянии организации.
Для комплексной оценки ликвидности баланса в целом рекомендуется
использовать общий показатель ликвидности баланса предприятия, который
показывает отношение суммы всех ликвидных средств предприятия к сумме всех
платежных обязательств (краткосрочных, долгосрочных, среднесрочных) при
условии, что различные группы ликвидных средств и платежных обязательств входят
в указанные суммы с определенными весовыми коэффициентами, учитывающими их
значимость с точки зрения сроков поступления средств и погашения обязательств.
Значение данного коэффициента должно быть больше или равно 1 [10].
К = (А1 + 0,5А2 + 0,3А3) / (П1 + 0,5П2 + 0,3П3) (22)
г.: К = (166322 + 0,5*34381 + 0,3*8963) / (20188 + 0,5*204090 + 0,3*0) =
186201,4 / 122233 = 1,5 > 1
г.: К = (140294 + 0,5*44443 + 0,3*4041) / (42104 + 0,5*15149 +
0,3*167061) = 163727,8 / 99796,8 = 1,6 >1
По результатам расчетов, представленных выше, можно сделать вывод, что в
целом предприятие ликвидное и способно своевременно отвечать по своим
обязательствам перед кредиторами.
Для более удобного сравнения полученных результатов коэффициентов
ликвидности, представим их в виде таблицы. Также, для оценки динамики
коэффициентов, добавим значения показателей на начало 2009 и 2010 годов.
Таблица 2.7
Показатели ликвидности за период с 01.01.09г. по 31.12.10г.
|
Показатели
|
01.01.09
|
31.12.09
|
01.01.10
|
31.12.10
|
|
Коэффициент абсолютной ликвидности
|
0,4
|
0,7
|
0,7
|
2,5
|
|
Коэффициент быстрой ликвидности
|
0,6
|
0,9
|
0,9
|
3,2
|
|
Коэффициент текущей ликвидности
|
0,6
|
0,9
|
0,9
|
3,3
|
Рис. 2.8. Динамика коэффициента абсолютной ликвидности
Как видно по данному графику, коэффициент имеет положительную динамику и
с начала 2009 года до конца 2010 года увеличился более чем в 6 раз. Чем выше
показтель, тем лучше платежеспособность предприятия, однако высокий показатель
может свидетельствовать и о нерациональной структуре капитала, о слишком
высокой доле неработающих активов в виде денежных средств и средств на счетах.
Рис.2.9. Динамика коэффициента быстрой ликвидности
Коэффициент быстрой ликвидности также имеет положительную динамику и с
начала 2009 года до конца 2010 года вырос более чем в 5 раз. Однако, значение
коэффициента более 3, как в данном случае, может свидельствовать о
нерациональной структуре капитала. Это может быть с вязано с медленной
оборачиваемостью средств, вложенных в запасы (в 2010 году она уменьшилась на
2,26 раза) или ростом дебиторской задолженности (по сравнению с 2009 годом в
2010 году дебиторская задолженность увеличилась на 10062 тыс. руб. или 29,27%).
Рис.2.10. Динамика коэффициента текущей ликвидности
Значение коэффициента текущей ликвидности в 2010 году возросло в 5,5 раз
пос равнению с 2009 годом. Но как уже говорилось ранее, высокий показатель
текущей ликвидности, может говорить не только о высокой платежеспособности
предприятия, но и о нерациональном использовании средств предприятия.
В целом организация ООО «ТАП и Компания» характеризуется высокой ликвидностью.
С экономической точки зрения это означает, что в случае предъявления
кредиторами своих требований по погашению задолженности, предприятие способно
отвечать по своим обязательствам, при этом остаются средства для продолжения
деятельности. Можно также отметить положительную динамику изменения показателей
ликвидности, которая свидетельствует о повышении потенциальной
платежеспособности предприятия, но при этом увеличение ликвидности может
свидетельствовать и о нерациональном использовании средств предприятия.
Одной из характеристик стабильного положения предприятия служит его
финансовая устойчивость. Финансовое положение предприятия считается устойчивым,
если оно покрывает собственными средствами не менее 50% финансовых ресурсов,
необходимых для осуществления нормальной хозяйственной деятельности, эффективно
использует финансовые ресурсы, соблюдает финансовую, кредитную и расчетную
дисциплину, иными словами, является платежеспособным. Финансовое положение
определяется на основе анализа ликвидности и платежеспособности, а также оценки
финансовой устойчивости [13].
Финансовая устойчивость обусловлена как стабильностью экономической
среды, в рамках которой осуществляется деятельность предприятия, так и от
результатов его функционирования, его активного и эффективного реагирования на
изменения внутренних и внешних факторов.
Финансовая устойчивость - характеристика, свидетельствующая о стабильном
превышении доходов над расходами, свободном маневрировании денежными средствами
предприятия и эффективном их использовании, бесперебойном процессе производства
и реализации продукции. Финансовая устойчивость формируется в процессе всей
производственно-хозяйственной деятельности и является главным компонентом общей
устойчивости предприятия [24].
Показатели финансовой устойчивости предприятия делятся на 2 группы:
абсолютные и относительные.
К группе абсолютных показателей относятся те, которые характеризуют
степень обеспеченности запасов и затрат источниками их формирования, а именно:
) Наличие собственных оборотных средств (СОС).
СОС = Капитал и резервы - Внеоборотные активы (15)
г.: СОС = 32694 - 45263 = -12569 тыс. руб.
г.: СОС = 22531 - 49138 = -23607 тыс. руб.
) Наличие функционирующего капитала (то есть собственных и привлеченных
источников формирования запасов, ФК).
ФК = (Капитал и резервы + Долгосрочные пассивы) - Внеоборотные активы
(16)
г.: ФК = (32694 + 0) - 45263 = -12569 тыс. руб.
г.: ФК = (22531 + 167061) - 49138 = 140454 тыс. руб.
) Общая величина основных источников формирования запасов и затрат (ОИ).
ОИ = Собственные и долгосрочные заемные источники + Краткосрочные кредиты
и займы - Внеоборотные активы (17)
г.: ОИ = 32694 + 204090 - 45263 = 191521 тыс. руб.
г.: ОИ. = 189592 + 15149 - 49138 = 155603 тыс. руб.
По результатам расчетом мы видим следующую ситуацию: в 2009 году
предприятие было финансово неустойчивое, что грозило нарушением
платежеспособности (ФСОС < 0, ФФК < 0, ФОИ > 0), но в 2010 году
ситуация исправилась и у предприятия была нормальная независимость финансового
состояния, что гарантирует платежеспособность (ФСОС < 0, ФФК > 0, ФОИ
> 0).
Анализ относительных показателей заключается в сравнении:
фактических коэффициентов текущего года с периодом предыдущего года;
фактических коэффициентов с нормативами;
фактических коэффициентов предприятия с показателями конкурентов;
фактических коэффициентов с отраслевыми показателями.
Комплексным показателем, включающим в себя целую группу показателей
характеризующих разные стороны деятельности предприятия: структуру активов и
пассивов, рентабельность и оборачиваемость, является Z - показатель Альтмана.
По данному показателю можно определить вероятность банкротства предприятия
[19]. Рассчитывается он по следующей формуле:
Z =
1,2*(ТА/ВБ) + 1,4(ДК/ВБ) + 3,3*(ЧП/ВБ) + 0,6*(УК/ВБ) + ВР/ВБ (18), где
ТА - текущие активы,
ДК - добавочный капитал,
ЧП - чистая прибыль,
УК - уставный капитал,
ВР - выручка от реализации,
ВБ - валюта баланса.
г.: Z = 1,2*(209666/256971) +
3,3*(26034/256971) + 0,6*(10/256971) +212704/256971 = 0,98 + 0,33 + 0,83 = 2,14
г.: Z = 1,2*(188778/246845) +
3,3*(-11376/246845) + 0,6*(10/246845) + 304948/246845 = 0,92 - 0,15 + 1,24 =
2,01
Сравним полученные значения с данными таблицы 2.8.
Таблица 2.8
Вероятность банкротства
|
менее 1,8
|
от 1,81 до 2,7
|
от 2,71 до 2,99
|
от 3 и более
|
|
очень высокая
|
высокая
|
средняя
|
низкая
|
Таким образом можно сделать вывод, что вероятность банкротства данного
предприятия высокая, при этом мы видим, что по сравнению с прошлым годов в 2010
году, значение показателя Альтмана все больше приближается к значению 1,8.
оборотный ликвидность финансовый дебитор
Глава 3. Мероприятия по совершенствованию
управления оборотными активами предприятия
.1 Управление остатком временно свободных денежных средств ООО «ТАП и
Компания»
Проведенный анализ состояния оборотных средств ООО «ТАП и Компания»
позволил выявить, что предприятие обладает высокой ликвидностью и имеет
свободные денежные средства. Их использование в инвестиционных целях позволит
на базе хлебобулочного производства внедрить дополнительное производство пиццы
и обеспечить, таким образом, дополнительную доходность.
Офис ООО «ТАП и Компания» находится в г. Тула по адресу: ул. Ф.Энгельса,
д.66, в нем будет производиться прием заказов и ведение бухгалтерского учета.
Производственным помещением для полуфабрикатов пиццы будет использоваться
смежное помещение рядом с цехом мясных полуфабрикатов по адресу пр-т Ленина,
д.104. В данном цехе имеется достаточно свободного места для размещения
оборудования и складирования исходных материалов. Аренда данного помещения
составит 15000 рублей.
При этом на базе производства мясных полуфабрикатов имеется необходимая
установка для быстрого замораживания «Mimak».
В Туле только два предприятия являются собственниками машин подобного
класса. Это ООО «Матяж» и ООО «Пакт». Оба предприятия занимаются производством
полуфабрикатов пиццы недавно. Составить им конкуренцию предприятие ООО «ТАП и
Компания» сможет благодаря ценовой политике.
Стоимость установки оборудования составит 5000 рублей. Начало выплаты
арендных платежей - 1 августа 2012г.
Для продвижения новой продукции ООО «ТАП и Компания» необходима реклама,
стоимость рекламных услуг, а именно размещение наружной рекламы, составляет
20000 рублей в месяц. Упаковочный материал будет поставляться типографией ООО
«Шар». Стоимость одной коробки составит 1,26 руб.
Все подготовительные работы планируется произвести за 1 месяц и с 1
августа 2012г. начать производство.
Для организации производства полуфабрикатов пиццы необходимо следующее
оборудование:
Таблица 3.1
Перечень необходимого оборудования
|
Оборудование и оснастка
|
Шт.
|
Цена за ед., руб.
|
Всего, руб.
|
|
Кухонный комбайн "Bosch"
|
2
|
5 000
|
10 000
|
|
Цилиндр магнитный вырубной
|
1
|
30 000
|
30 000
|
|
Рубашка вырубная
|
2
|
4 000
|
8 000
|
|
Емкости для сырья
|
20
|
60
|
1 200
|
|
Стеллаж металлический (5 полок)
|
2
|
1 300
|
2 600
|
|
Монтажные и пуско-наладочные работы
|
|
5 000
|
5 000
|
|
Итого: 56800
|
|
|
|
|
|
|
В структуре предприятия уже есть службы, которые будут вести
учет, проводить маркетинговые исследования, осуществлять замеры качества
продукции, проводить ревизии и т.д. Однако для оперативного контроля будет
привлечён руководитель по развитию нового производства.
Для обеспечения нормальной деятельности необходимы следующие категории
работающих (таблица 3.2):
Таблица 3.2
Категории рабочих
|
Должность
|
Кол-во
|
Оклад, руб. \ мес.
|
Итого
|
|
1
|
Руководитель
|
1
|
13 000
|
13 000
|
|
2
|
Тестомес
|
1
|
8 500
|
8 500
|
|
3
|
Формовщик
|
1
|
9 000
|
9 000
|
|
Уборщица
|
1
|
6 000
|
6 000
|
|
Посудомойщица
|
1
|
6 000
|
6 000
|
|
Итого затраты на оплату труда
|
42 500
|
К текущим издержкам отнесем следующие расходы:
Таблица 3.3
Текущие издержки
|
Статьи затрат
|
Сумма, руб.
|
|
1
|
Амортизация
|
10 760
|
|
2
|
Аренда
|
15 000
|
|
3
|
Электричество, коммунальные платежи
|
7 000
|
|
4
|
Рекламные услуги
|
20 000
|
|
Итого 52 760
|
Прокомментируем представленную информацию.
размер амортизации определен из расчета, что начисления будут производиться
равномерно в течение 5 лет;
платежи за электричество и коммунальные платежи, в принципе, являются
переменной величиной, зависящей от объема выпускаемой продукции. Но расчет
стоимости электроэнергии, приходящейся на единицу продукции, представляется
весьма сложным. Удельный вес этих платежей в общем объеме расходов невелик,
поэтому в целях данного анализа возможно рассмотрение их как текущих.
Приведенные расчеты показали, что предприятие сможет выпускать 6 000 ед.
в месяц, постепенно увеличивая объемы производства.
Изготовленные полуфабрикаты пиццы можно реализовывать как в крупные
торговые сети, так и в сеть мелких розничных магазинов.
Помимо общих затрат существует ряд расходов, которые связаны
непосредственно с количеством выпускаемой продукции. Рассматриваемые нами
полуфабрикаты характеризуются следующими переменными расходами (Таблица 3.4):
Рассчитаем величину средств, затраченную в 1 месяц на переменные расходы,
с учетом, что выпуск продукции будет производится по графику (Таблица 3.5).
Таблица 3.4
Переменные расходы
|
Статьи затрат
|
Пицца с ветчиной и сыром
|
|
1
|
Тесто для пиццы
|
3,80
|
|
2
|
Сухари
|
0,25
|
|
3
|
Растительное масло
|
0,77
|
|
4
|
Соус красный
|
1,80
|
|
5
|
Сыр
|
6,20
|
|
6
|
Ветчина
|
9,00
|
|
7
|
Помидоры
|
1,80
|
|
8
|
Упаковочная пленка
|
0,76
|
|
9
|
Упаковочная коробка
|
1,24
|
|
Итого
|
25,63
|
Таблица 3.5
Переменные расходы в месяц
|
Статьи затрат
|
Количество, кг/л/шт
|
Сумма, руб.
|
|
1
|
2
|
3
|
|
1
|
Тесто для пиццы
|
600
|
22800
|
|
2
|
Сухари
|
72
|
1512
|
|
3
|
Растительное масло
|
108
|
4644
|
|
4
|
Соус красный
|
180
|
10800
|
|
5
|
Сыр
|
300
|
37200
|
|
6
|
Ветчина
|
360
|
54000
|
|
7
|
Помидоры
|
360
|
10800
|
|
8
|
Упаковочная пленка
|
6000
|
4440
|
|
9
|
Упаковочная коробка
|
6000
|
7560
|
|
Итого
|
153756
|
Планируемая цена реализации продукции составит 42,70 рублей.
Для обеспечения деятельности в 1-ый месяц, а именно закупку и установку
необходимого оборудования нам потребуется 56800 рублей, которые мы возьмем из
наличных денежных средств ООО «ТАП и Компания».
Отметим несколько требований, которые предъявляются к проекту:
Предполагается функционирование проекта в течение 3-х лет, дальнейшие
события приниматься во внимание не будут.
Основная деятельность ООО «ТАП и Компания» в процессе реализации проекта
не должна быть приостановлена. Другими словами, проектируемый цех должен
выступить как дополнение к существующему производству.
Оценку нового инвестиционного проекта осуществим с помощью программы Project Experts.
Введя все необходимые данные, мы получим следующие результаты:
Рис. 3.1. Прибыли и убытки деятельности
Как видно из рисунка 3.1. предприятие поначалу несет убытки, но начиная с
2014 года производство начнет приносить прибыль.
Более наглядно окупаемость нового проекта мы может посмотреть на графике
окупаемости (NPV) на рисунке 3.2.
Рис. 3.2 График окупаемости
Оценить эффективность инвестиций мы можем на основании рисунка 3.3.
Рис. 3.3. Эффективность инвестиций
По данным, представленным на рисунке видно, что срок окупаемости данного
проекта составит 26 месяцев. Чистая текущая стоимость (NPV), на которую может
прирасти ценность фирмы в результате реализации инвестиционного проекта, равна
194 049 руб. Расчет критерия PI
свидетельствует о том, что каждый рубль, инвестированный в проект, может
генерироваться в течение 3-х лет до 2,52 руб.. Такой уровень рентабельности
является достаточно высоким, что ещё раз подтверждает приемлемость данного
инвестиционного проекта.
Чистую прибыль, получаемую от реализации данного проекта можно направить
на различные цели, например, на погашение обязательств фирмы перед своими
кредиторами (поставщики и подрядчики, бюджет, персонал организации, учредители
и прочие кредиторы) или на расширение нового производства.
3.2 Совершенствование направлений работы с дебиторами ООО «ТАП и
Компания»
Дебиторская задолженность - это всегда проблема для фирмы. В реалиях
сегодняшнего дня нередки случаи, когда оплачивать счета не могут (или не хотят)
даже старые и надежные партнеры.
Для того чтобы минимизировать риски, связанные с дебиторской
задолженностью, фирме необходимо постоянно держать ее под контролем. Секрет
эффективности здесь кроется в комплексном подходе. Так, своевременный контроль
и анализ позволяют вовремя выявить просроченную задолженность и оперативно
принять меры по ее взысканию. Воздействие на дебитора может быть жестким или
мягким: можно сразу подать в суд, а можно и поддержать контрагента, предложив
ему более доступные методы погашения обязательств, например бартер или отсрочку
платежа [14].
Для
того чтобы определить в каком направлении работать с дебитором, необходимо
провести анализ его задолженности. Для этого можно использовать сценарный
анализ дебиторской задолженности. Сценарный анализ преимущественно нацелен на
оценку стратегических перспектив кредитной организации
<http://www.cbr.ru/analytics/stress.htm>. Он позволяет оценить
потенциальное одновременное воздействие ряда факторов риска на деятельность
кредитной организации в случае наступления экстремального, но вместе с тем
вероятного события. Применительно к анализу дебиторской задолженности, по
мнению В.А. Волнина, в основе применяется метод ранжирования должников по
категориям [30]. Определение категории клиента, его выгодности для предприятия
целесообразно осуществлять по таким параметрам, как:
длительность
работы с клиентом;
объем
поступлений денежных средств от клиента;
процент
поступлений денежных средств по клиенту в общем объеме продаж (Таблица 3.1).
Анализ
дебиторской задолженности в ООО «ТАП и Компания» мы проведем на основании
данных за 2010 год. Для анализа мы возьмем лишь часть дебиторов (25%), которых
выберем случайно из общего списка.
Таблица
3.1
Параметры
определения категории клиента
|
Длительность работы с клиентом, дни
|
Объем поступления денежных средств за год, тыс. руб.
|
Процент поступивших денежных средств от общего объема
продаж
|
Баллы для каждого критерия
|
Итоговая сумма баллов по критерию
|
|
0 - 30
|
до 10
|
0 -0,005
|
1
|
1
|
|
31 - 60
|
11 - 50
|
0,006 - 0,010
|
2
|
8
|
|
61 - 90
|
51 - 100
|
0,011 -0,020
|
3
|
27
|
|
91 - 180
|
101 - 500
|
0,021 - 0,050
|
4
|
64
|
|
181 - 365
|
501 - 1000
|
0,051 - 0,075
|
5
|
125
|
|
365 - 3 года
|
1001 - 5000
|
0,076 - 1
|
6
|
216
|
|
более 3 лет
|
более 5000
|
> 1
|
7
|
343
|
Таблица 3.2
Определение категории клиентов ООО «ТАП и Компания»
|
Наименование дебитора
|
Длительность работы с клиентом, дни
|
Объем поступления денежных средств за год, тыс. руб.
|
Процент поступивших денежных средств от общего объема
продаж
|
Итоговая сумма баллов по критерию
|
|
1
|
2
|
3
|
4
|
5
|
|
ООО «Айс Плюс»
|
188
|
641,37
|
0,284
|
150
|
|
ООО «Аст»
|
2405,12
|
1,064
|
168
|
|
ЗАО «Алитет - М»
|
96
|
46,09
|
0,020
|
24
|
|
ООО «Александр»
|
320
|
60,89
|
0,027
|
60
|
|
ИП Баташов А.Н.
|
130
|
5684,04
|
2,516
|
196
|
|
ООО «Ваал»
|
58
|
548,54
|
0,243
|
60
|
|
ООО «Дом Кальяна»
|
13
|
136,47
|
0,060
|
20
|
|
ООО «Драга»
|
66
|
1682,17
|
0,744
|
108
|
|
ООО «Краф и К»
|
89
|
12,75
|
0,006
|
12
|
|
ИП Лугина
|
56
|
1515,44
|
0,671
|
72
|
|
ООО «МДС»
|
147
|
193,38
|
0,086
|
96
|
|
ООО «Ника»
|
132
|
90,00
|
0,039
|
48
|
|
ООО «Перфи Плюс»
|
174
|
109,03
|
0,048
|
64
|
|
ООО «Радуга 3000»
|
181
|
28,00
|
0,012
|
30
|
|
ООО «Сан»
|
360
|
373,64
|
0,165
|
120
|
|
ООО «СКВ»
|
115
|
73,59
|
0,033
|
48
|
|
ООО «ТД Сергеев и К»
|
224
|
372,69
|
0,165
|
120
|
|
ООО «Техком»
|
183
|
35,29
|
0,016
|
30
|
|
ООО «Три слона»
|
45
|
59,14
|
0,026
|
24
|
|
ИП Усова Е.Г.
|
92
|
88,54
|
0,039
|
48
|
|
ООО «Филин»
|
12
|
2,86
|
0,001
|
1
|
|
ООО «Центр»
|
77
|
133,07
|
0,059
|
60
|
|
ООО «Циклон»
|
117
|
195,64
|
0,087
|
96
|
|
ООО «ШАР»
|
162
|
12,99
|
0,006
|
16
|
|
ООО «Элма»
|
147
|
253,98
|
0,112
|
96
|
|
ООО «Экстерио»
|
183
|
96,29
|
0,043
|
60
|
После того как была определена итоговая сумма баллов, клиенту
присваивается соответствующая категория (Таблица 3.3).
Таблица 3.3
Критерии отнесения клиентов к соответствующей категории
|
Сумма баллов
|
Наименование категории клиентов
|
Категория клиентов
|
|
1 -50
|
Новые малоэффективные клиенты
|
1
|
|
51 - 100
|
Новые эффективные клиенты
|
2
|
|
101 - 150
|
Постоянные клиенты
|
3
|
|
151 - 250
|
VIP - клиенты
|
4
|
|
251 - 343
|
Стратегические партнеры
|
5
|
На основании полученных данных, представленных в таблице 3.2, распределим
клиентов организации по соответствующим категориям и представим их в виде
таблицы 3.4.
Таблица 3.4
Категории клиентов ООО «ТАП и Компания»
|
Наименование категории клиентов
|
Количество клиентов
|
|
Новые малоэффективные клиенты
|
11
|
|
Новые эффективные клиенты
|
9
|
|
Постоянные клиенты
|
3
|
|
VIP - клиенты
|
3
|
|
Стратегические партнеры
|
-
|
По результатам, представленным в таблице 3.4, мы видим, что большее
количество дебиторов относится к новым малоэффективным клиентам. Постоянные
клиенты и VIP - клиенты составляют лишь 30% от
изучаемой совокупности.
Ранжирование дебиторов по указанному алгоритму проводится на основании
выписки из реестра дебиторов, а также оценивается платежная дисциплина по
каждой категории клиентов (Таблица 3.5). На основании данной таблицы мы можем
отследить каков был срок просроченной задолженности клиента в последний раз и
уже принимать решения о том, стоит ли продолжать сотрудничество с такой
организацией, сколько может составить максимальная сумма, предоставляемая
клиенту в кредит, а также непосредственно в договоре заранее оговорить все
возможные штрафные санкции за несоблюдение условий договора.
Результаты заполнения реестра инкассации дебиторской задолженности служат
основой для формирования оценочной таблицы, характеризующей текущее состояние
дебиторской задолженности предприятия по группам дебиторов (Таблица 3.6).
Таблица 3.6
Текущее состояние дебиторской задолженности ООО «ТАП и Компания» по
группам дебиторов
|
Категория дебитора
|
Дебиторская задолженность
|
|
всего
|
в том числе
|
|
тыс. руб.
|
0-30 дней
|
3-45 дней
|
46-90 дней
|
91-180 дней
|
181-365 дней
|
Свыше 1 года
|
|
|
тыс. руб.
|
тыс. руб.
|
тыс. руб.
|
тыс. руб.
|
тыс. руб.
|
тыс. руб.
|
|
Новые малоэффективные клиенты
|
682,01
|
287,5
|
88,54
|
73,59
|
136,09
|
|
|
|
Новые эффективные клиенты
|
3651,34
|
1818,43
|
|
995,9
|
195,64
|
96,29
|
|
|
Постоянные клиенты
|
2428,50
|
2054,86
|
373,64
|
|
|
|
|
|
VIP - клиенты
|
8730,53
|
3046,49
|
5684,04
|
|
|
|
|
|
Стратегические партнеры
|
-
|
-
|
-
|
-
|
-
|
-
|
-
|
По результатам расчетов, представленных выше, мы видим, что не только у
новых клиентов, но и у постоянных контрагентов возникает дебиторская
задолженность, причем большая часть приходится на так называемых VIP - клиентов. Но если у постоянных и VIP - клиентов срок задолженности не
превышает 45 дней, то у новых клиентов дебиторская задолженность может быть
погашена лишь по истечении 365 дней.
Это говорит о том, что предприятию необходимо более тщательно проверять
своих потенциальных клиентов на их платежеспособность и надежность. Информацию
по клиенту руководство организации может получить из различных источников:
бухгалтерская отчетность, рейтинговая информация от консультативных фирм,
ресурсы сети Интернет. Также предприятию необходимо быть осторожным с
клиентами, которые работают в бизнесе менее одного года (около 50 процентов
коммерческих предприятий терпят крах в течение первых двух лет).
Мотивировать клиента к более быстрой оплате дебиторской задолженности
можно за счет предоставления ему скидок за оплату товара или услуги в более
ранние сроки, чем оговорены в договоре. При этом клиент заинтересован в более
быстром погашении своей задолженности с целью получения выгоды, а продавец
избегает неоплаченных счетов. Данные скидки будут предоставляться постоянным
клиентам ООО «ТАП и Компания».
Сумма скидки = 2428500 * 10% / 100% = 242850 руб.
Сумма погашенной = 2428500 - 242850 = 2185650 руб.
дебиторской задолженности
Совершая операции на крупные суммы предприятию необходимо дополнительно
перестраховать себя от несвоевременной оплаты товара. С этой целью можно
использовать услугу факторинга, то есть продавец, отгрузив товар покупателю,
уступает возникшую дебиторскую задолженность банку и незамедлительно получает
денежные средства, а также целый ряд дополнительных услуг. Стоимость такой
операции составляет от 7%, но это позволяет продавцу вовремя получить денежные
средства, улучшить показатели оборачиваемости, своевременно погашать свои
обязательства перед поставщиками и подрядчиками. При этом услуги факторинга
целесообразно использовать при наличии у предприятия дебиторской задолженности
с более длительными сроками погашения.
Стоимость услуги факторинга = сумма операции * 7% / 100%
Стоимость услуги факторинга = 96290 * 7% / 100% = 6740,30 руб.
Сумма дебиторской задолженности = 96290 - 6740,3 = 89549,70 руб.
полученная с помощью услуги факторинга
Случается, что даже у постоянных и проверенных клиентов возникает
дебиторская задолженность (это видно из таблицы 3.6). В данном случае работу с
клиентом по взысканию с него задолженности необходимо вести в зависимости от
срока непогашения этой задолженности. Если задолженность возникла на ранних
сроках (от 0-30 дней), то в данном случае можно направить клиенту письмо с
напоминаем о наличии у него долга на конкретную сумму, выяснении причин
неоплат, пути решения данной проблемы. Это может быть возможность
реструктуризации долга, составления графика платежей, бартер, взаимозачет
долга.
Исполнение обязательств может обеспечиваться неустойкой, залогом,
удержанием имущества должника, поручительством, банковской гарантией, задатком
и другими способами, предусмотренные законом или договором [1].
При наличии задолженности от 30-60 дней возможно начисление различных
штрафных санкций, которые заранее оговариваются в договоре, более частом
напоминании клиенту о наличии просроченной задолженности и уточнении сроков
оплаты. По требованию об уплате неустойки кредитор не обязан доказывать
причинение ему убытков.
В случае если клиент отказывается идти на контакт, эффективно действует
уголовное преследование должника за счет информационной и консультационной
поддержки. При этом можно пригрозить клиенту внести его в черный список
неплатежеспособных фирм и если клиент дорожит своей репутацией он постарается в
установленные сроки погасить свою задолженность.
Но если все прилагаемые меры оказались неэффективны, то можно попытаться
вернуть неоплаченный долг в судебном порядке или перепродать данную дебиторскую
задолженность коллекторским службам, кредитным организациям, конкурентам или дебиторам
самого клиента. Это позволит вернуть организации хотя бы 50% безнадежного долга
и расплатиться по собственным обязательствам.
Таким образом, если применить хотя бы часть мер, мы можем получить
2275199,70 руб., что составляет 5,12 % от общей суммы дебиторской
задолженности.
Благодаря погашению дебиторской задолженности улучшаются показатели
оборачиваемости дебиторской задолженности:
г.: Одз = 304948/((34381+ 42167,80)/2) = 7,97 раз
Тдз = ((34381+42167,80)/2)*365/304948 = 46 дней
Оборачиваемость дебиторской задолженности, по сравнению с предыдущими
показателями за тот же год (до применения мер) увеличилась на 0,23 раза, а
средняя продолжительность погашения дебиторской задолженности сократилась на 1
день.
За счет сокращения продолжительности погашения дебиторской задолженности
сократилась продолжительность операционного цикла на 1 день, то есть времени с
момента поступления сырья и материалов на склад компании до реализации готовой
продукции.
г.: Тоц = 40 + 46 = 86 дней
Поскольку на предприятии ускоряется погашение дебиторской задолженности и
поступают дополнительные денежные средства от дебиторов, то это дает
возможность погашения обязательств самим предприятием в более короткие сроки.
Ткз = ((19869 + 39828,8)/2)*365 / 110107 = 99 дней
По сравнению с предыдущими показателями того же года продолжительность
погашения кредиторской задолженности сократилась на 4 дня.
При этом увеличивается продолжительность финансового цикла на 4 дня.
г.: Тфц = 86 - 99 = - 13 дней
Показатель того же периода составлял -17 дней. Как мы видим, благодаря
предложенным мероприятиям показатель продолжительности финансового цикла начал
уходить от отрицательного значения, что означает сбалансирование исполнения
обязательств с поступлениями от дебиторов.
Из приведенных расчетов видно, что принимаемые меры положительно
сказываются на деятельности организации.
ЗАКЛЮЧЕНИЕ
В результате написания данной выпускной квалификационной работы были
достигнуты и изучены поставленные цели и задачи проведенного анализа.
В первой главе данной работы были изучены теоретические основы управления
оборотными активами предприятия. Были даны основные понятия, подходы к анализу
оборотных активов, а также рассмотрены модели управления оборотными активами на
предприятии. Из материалов первой главы можно сделать вывод, что оборотные
активы, а также эффективное управление ими на предприятии, является фактором
способствующим улучшению финансовой устойчивости и платежеспособности
организации.
Используя материалы первой главы, во второй части выпускной квалификационной
работы был проведен анализ состояния оборотных активов ООО «ТАП и Компания». В
результате данного анализа было выявлено, что все показатели эффективности
использования оборотных активов значительно ухудшились по сравнению с
предыдущим периодом. Так например, было выявлено, что общий показатель
оборачиваемости оборотных активов в 2010 году по сравнению с 2009 годом
сократился на 0,2раз, а средняя продолжительность одного оборота увеличилась на
30 дней. Данные результаты говорят о нерациональной работе организации и
неэффективном использовании оборотных активов. Ухудшение общих показателей
оборотных активов произошло за счет ухудшения следующих показателей:
снижение оборачиваемости денежных средств и краткосрочных финансовых
вложений на 0,25 раза и увеличение срока продолжительности одного оборота на 21
день;
снижение показателя оборачиваемости запасов и дебиторской задолженности
на 2,26 и 1,35, а также увеличение средней продолжительности одного оборота на
8 и 7 дней соответственно.
При этом ухудшился показатель рентабельности использования оборотных
активов: по сравнению с 2009 годом в 2010 году данный показатель уменьшился на
0,131 коэффициента.
Анализ показателей ликвидности и финансовой устойчивости организации
показал, что в целом организация ликвидна и платежеспособна. Но показатели
ликвидности превышают нормальные значения, что может свидетельствовать не
только о высокой платежеспособности организации, а также и о неэффективном
использовании средств. Данный факт доказывает изучение финансовой устойчивости
ООО «ТАП и Компания», в результате которого было выявлено, что организация
имеет высокую вероятность банкротства.
Все это еще раз подтверждает неэффективное и нерациональное использование
оборотных активов на предприятии, что естественно не способствует повышению
эффективности операционной деятельности организации.
Полученные в результате исследования данные послужили основой для
разработки путей совершенствования управления оборотными активами. Так в целях
получения дополнительной прибыли, которую можно направить на улучшение
финансового состояния организации, было предложено внедрение нового
производства пиццы на базе существующего хлебобулочного производства. А также
предложены мероприятия по улучшению работы с дебиторской задолженностью. В
результате произведенного анализа влияния внедрения данных мер на предприятии
было были выявлены улучшения в работе организации, а значит они вполне могут
быть внедрены в ООО «ТАП и Компания» с целью улучшения состоянии организации.
Таким образом, можно сделать вывод, что эффективное управление оборотными
активами организации, является важным показателем финансовой устойчивости
предприятия в целом.
СПИСОК ЛИТЕРАТУРЫ
1. Гражданский кодекс РФ (ГК РФ) от 30.11.1994 №51 - ФЗ
- Часть 1 (статья 307, 329, 330)
2. Постановление Правительства РФ от 25.06.2003 N 367
"Об утверждении Правил проведения арбитражным управляющим финансового
анализа"
<http://base.consultant.ru/cons/cgi/online.cgi?req=doc;base=LAW;n=42901>
. Лисовская И.А.
Основы финансового менеджмента / И.А. Лисовская. - М.: ТЕИС, 2009. -120с.
. Экономический анализ
/ под ред. Савицкой Г.В. - М.: Новое знание, 2008. - 640с.
. Бочаров В.В.
Финансовый анализ. Краткий курс: учебное пособие / В.В. Бочаров. - 2-издание. -
СПб.: Питер, 2009. - 240с.
. Ронова Г.Н.
Финансовый менеджмент: учебно-методическое пособие / Г.Н. Ронова, Л.А. Ронова.-
М.: ЕАОН, 2008. - 170с.
. Бригхэм Ю.
Финансовый менеджмент: учебное пособие / Ю. Бригхэм, М. Эрхардт. - 10-е
издание. - СПб.: Питер, 2009. - 960с.
. Лапуста М.Г. Финансы
организаций (предприятий): учебник / М.Г. Лапуста, Т.Ю. Мазурина, Л.Г. Скамай.
- М.: Инфра - М, 2008. - 575с.
. Банк В.Р. Финансовый
анализ / В.Р. Банк, С.В. Банк, Л.В. Тараскина. - М.: ТК Велби, изд-во Проспект,
2008. - 344 с.
. Лиференко Г.Н.
Финансовый анализ предприятия / Г.Н. Лиференко. - М.: Издательство «Экзамен»,
2008. - 160 с.
. Вахрушина Н. Как
управлять оборотными активами / Вахрушина Н. // Финансовый директор. - 2005. -
№1
. Иванченкова Т.И.
Управление оборотными активами в организациях АПК / Т.И. Иванченкова //
Финансовый менеджмент. - 2004. - №5
. Абрютина М.С. Оценка
финансовой устойчивости и платежеспособности Российских компаний / Абрютина
М.С. // Финансовый директор. - 2006. - №6
. Хитров П. Управление
дебиторской задолженностью / Хитров П. // Финансовый директор. - 2005. -№12
. Буряковский В.В.
Финансы предприятий [Электронный ресурс]: Учебный курс.
. Фролова Т.А.
Экономика предприятия [Электронный ресурс]: Конспект лекций.
17. Устав Общества с ограниченной ответственностью «ТАП и
Компания» от 19 октября 2009 года, вторая редакция
. Электронный учебник по Финансовому менеджменту,
управлению предприятием.
. Электронный учебник по Экономике предприятия.
. Электронный учебник по Анализу финансового состояния
предприятия.
. Электронный сборник по экономической тематике.
. Электронный учебник по Финансам и кредиту.
Управление финансами.
. Электронный учебник по Экономическому анализу.
. Электронный учебник по Анализу и оценке финансовой
устойчивости коммерческого предприятия.
. Электронный учебник по Экономике предприятия.
26. Электронный учебник
по Экономике предприятия. stimira.com <http://institute.novostimira.com>
. Электронный журнал
по Управлению предприятием.
. Электронный учебник
по Финансовому менеджменту.
. Электронный учебник по
Экономике организаций (предприятий).
. Электронный учебник
по Финансовому управлению.