Трендовые модели
1. Основные
понятия и определения
1.1 Структурные
компоненты детерминированной составляющей
. Тренд, или тенденция f(t), представляет собой
устойчивую закономерность, наблюдаемую в течение длительного периода времени.
Обычно тренд (тенденция) описывается с помощью той или иной неслучайной функции
f(t) (аргументом которой
является время), как правило, монотонной. Эту функцию называют функцией тренда
или просто - трендом.
. Сезонная компонента S(t) связана с наличием
факторов, действующих с заранее известной периодичностью. Это регулярные
колебания, которые носят периодический или близкий к нему характер и
заканчиваются в течение года. Типичные примеры сезонного эффекта: изменение
загруженности автотрассы по временам года, пик продаж товаров для школьников в
конце августа - начале сентября. Спрос на пластические операции сезонный: в
осенне-зимний период обращений больше. Типичным примером являются сильные
колебания объема товарно-материальных запасов в сезонных отраслях. Сезонная
компонента со временем может меняться либо иметь плавающий характер.
. Циклическая компонента U(t) - неслучайная функция,
описывающая длительные периоды (более одного года) относительного подъема и
спада и состоящая их циклов переменной длительности и амплитуды. Примером
циклической (конъюнктурной) компоненты являются волны Кондратьева,
демографические «ямы» и т.п. Подобная компонента весьма характерна для рядов
макроэкономических показателей. Здесь циклические изменения обусловлены
взаимодействием спроса и предложения, а также наложением таких факторов, как
истощение ресурсов, погодные условия, изменения в налоговой политике и т.п.
Циклическую компоненту крайне трудно идентифицировать формальными методами,
исходя только из данных изучаемого ряда.
. Случайная компонента ɛ(t) - это составная часть
временного ряда, оставшаяся после выделения систематических компонент. Она
отражает воздействие многочисленных факторов случайного характера. Случайная
компонента является обязательной составной частью любого временного ряда в
экономике, так как случайные отклонения неизбежно сопутствуют любому
экономическому явлению. Если систематические компоненты временного ряда
определены правильно, то остающаяся после выделения из временного ряда этих
компонент так называемая остаточная последовательность (ряд остатков) будет
случайной компонентой ряда. В анализе случайной компоненты экономических
временных рядов важную роль играет сравнение случайной величины ɛt с хорошо изученной
формой случайных процессов - стационарными случайными процессами.
. Стационарным процессом в узком смысле называется такой
случайный процесс, вероятностные свойства которого с течением времени не
изменяются. Он протекает в приблизительно однородных условиях и имеет вид
непрерывных случайных колебаний вокруг некоторого среднего значения. Причем ни
средняя амплитуда, ни его частота не обнаруживают с течением времени
существенных изменений.
Однако на практике чаще встречаются процессы, вероятностные
характеристики которых подчиняются определенным закономерностям и не являются
постоянными величинами. Поэтому в прикладном эконометрическом анализе
используется понятие слабой стационарности (или стационарности в широком
смысле), которое предполагает неизменность во времени среднего значения,
дисперсии и ковариации временного ряда. Случайный процесс называется
стационарным в широком смысле, если его математическое ожидание постоянно и
автокорреляционная функция r(τ) зависит только от длины
временного интервала τ.
В зависимости от вида связи между перечисленными компонентами
может быть построена либо аддитивная модель временного ряда
Y(t)=f(t)+S(t)+U(t)+ɛ(t)
либо мультипликативная модель
Y(t)=f(t) S(t) U(t)+ɛ(t)
В процессе формирования значений временных рядов не всегда
участвуют все четыре компоненты. Однако во всех случаях предполагается наличие
случайной составляющей.
1.2 Основная
цель статистического анализа временных рядов
Изучить соотношение между закономерностью и случайность в
формировании значений уровней ряда и оценить количественную меру их влияния.
Закономерности, объясняющие динамику показателя в прошлом, используются для
прогнозирования его значений в будущем, а учет случайности позволяет определить
вероятность отклонения от закономерности развития и его возможную величину.
Применяемые при обработке временных рядов методы во многом
опираются на методы математической статистики, которые базируются на достаточно
жестких требованиях к исходным данным:
) сопоставимость данных - достигается в результате
одинакового подхода к наблюдениям на разных этапах формирования динамического
ряда. Уровни во временных рядах должны иметь одинаковые единицы измерения, шаг
наблюдений, интервал времени, методику расчета и элементы, относящиеся к
неизменной совокупности;
) однородность данных - означает отсутствие сильных изломов
тенденций, а также аномальных наблюдений. Аномальные наблюдения проявляются в
виде сильного изменения уровня - скачка или спада - с последующим
приблизительным восстановления предыдущего уровня. Наличие аномалии резко
искажает результаты моделирования, поэтому аномальные наблюдения необходимо
исключить из временного ряда, заменив их расчетными значениями;
) устойчивость тенденции - характеризуется преобладанием
закономерности над случайностью в изменении уровней ряда. На графиках
устойчивых временных рядов закономерность прослеживается визуально, на графиках
неустойчивых рядов изменения последовательных уровней представляются
хаотичными, и поэтому поиск закономерностей в формировании значений уровней
таких рядов лишен смысла;
) полнота данных - требование обусловлено тем, что закономерность
может обнаружиться лишь при наличии минимально допустимого объема наблюдений.
2.
Этапы построения прогноза по временным рядам
2.1 Предварительный
анализ данных
В ходе предварительного анализа определяют, соответствуют ли
имеющиеся данные требованиям, предъявляемым к ним математическими методами
(как-то: сопоставимость данных, их полнота, однородность и устойчивость);
строят график динамики и рассчитывают основные динамические характеристики
(приросты, темпы роста, темпы прироста, коэффициенты автокорреляции).
Для получения общего представления о динамике исследуемого
показателя во времени целесообразно построить его график: по оси абсцисс
откладывается значения переменной t, а по оси ординат - соответствующие значения
показателя Y(t).
К процедурам предварительного анализа относятся:
· Выявление аномальных наблюдений;
· Проверка наличия тренда;
· Сглаживание временных рядов;
· Расчет показателей динамики экономических
процессов.
2.1.1 Выявление
аномальных наблюдений
Выявление аномальных наблюдений является обязательной
процедурой этапа предварительного анализа данных. Так как наличие аномальных
наблюдений приводит к искажению результатов моделирования, то необходимо
убедиться в отсутствии аномалий данных. Для диагностики аномальных наблюдений разработаны
различные критерии, например метод Ирвина. Для всех или только для
подозреваемых в аномальности наблюдений вычисляется величина λt.
где 
, 
.
Если рассчитанная величина λt превышает табличное значение, то уровень yt считается аномальным. Аномальные
наблюдения необходимо исключить из временного ряда и заменить их расчетными
значениями (самый простой способ замены - в качестве нового значения принять
среднее из двух соседних значений).
2.1.2 Проверка
наличия тренда
Тенденция (тренд) в развитии исследуемого показателя
прослеживается не только в увеличении или уменьшении среднего текущего значения
временного ряда. Она присуща и другим его характеристикам: дисперсии,
автокорреляции, корреляции с другими показателями и т.д. Тенденцию среднего
визуально можно определить из графика исходных данных. Поверка наличия или
отсутствия неслучайной (и зависящей от времени t) составляющей сводиться
к проверке гипотезы о неизменности среднего значения временного ряда. Процедура
проверки может быть осуществлена с помощью различных критериев.
Рассмотрим метод проверки разностей средних уровней.
Реализация этого метода состоит из четырех этапов.
На первом этапе исходный временной ряд y1, y2, y3, …, yn разбивается на две
примерно равные по числу уровней части: в первой части n1 первых уровней исходного
ряда, во второй - n2 остальных уровней (n1 + n2 = n).
На втором этапе для каждой из этих частей вычисляются средние
значения и дисперсии:
;
;
;
.
Третий этап заключается в проверке равенства (однородности)
дисперсий обеих частей ряда с помощью F-критерия Фишера, которая основана на
сравнении расчетного значения этого критерия:
с табличным (критическим) значением критерия Фишера Fa с заданным уровнем
значимости (уровнем ошибки) a. В качестве a, чаще всего берут значения
0,1 (10%-ная ошибка), 0,05 (5%-ная ошибка), 0,01 (1%-ная ошибка). Величина (1-a) называется доверительной
вероятностью.
Если расчетное значение Fрасч меньше критического Fa, то гипотеза о равенстве
дисперсий принимается и переходят к четвертому этапу. Если Fрасч
больше или равно Fa, гипотеза о равенстве дисперсий отклоняется и
делается вывод, что данный метод для определения наличия тренда ответа не дает.
На четвертом этапе проверяется гипотеза об отсутствии тренда
с использованием t-критерия Стъюдента. Для этого определяется
расчетное значение критерия Стъюдента по формуле:
.
где s - среднеквадратическое отклонение разности
средних:
.
Если расчетное значение t меньше критического
значения статистики Стьюдента ta с заданным уровнем
значимости a, гипотеза принимается, т.е. тренда нет, в противном случае тренд
есть. Заметим, что данный метод применим только для рядов с монотонной
тенденцией.
2.1.3 Сглаживание
временного ряда
Сглаживание временного ряда, т.е. замена фактических уровней
расчетными значениями, имеющими меньшую колеблемость, чем исходные данные,
является простым методом выявления тенденции развития. Соответствующее
преобразование называется фильтрованием.
Сглаживание временных рядов проводиться в следующих случаях:
· При графическом изображении временного
ряда тренд прослеживается недостаточно отчетливо. Поэтому ряд сглаживают, на
график наносят сглаженные значения, и, как правило, тенденция проявляется более
четко;
· Применяются методы анализа и
прогнозирования, требующие в качестве предварительного условия сглаживания
временного ряда;
· При устранении аномальных наблюдений;
· При непосредственном прогнозировании
экономических показателей и прогнозировании изменение тренда - «точек
поворота».
Существующие методы сглаживания делят на две группы:
) Аналитические методы. Для сглаживания используется
кривая, проведенная относительно фактических значений ряда так, чтобы она
отображала тенденцию, присущую ряда, и одновременно освобождала его от мелких
незначительных колебаний. Такие кривые называют еще кривыми роста, применяются
они главным образом для прогнозирования экономических показателей;
) Методы механического сглаживания. Сглаживается
каждый отдельный уровень ряда с использованием фактических значений соседних с
ним уровней. Для сглаживания временных рядов часто используются методы простой
и взвешенной скользящей средней, экспоненциального сглаживания.
Метод простой скользящей средней включает в себя
следующие этапы:
. Определяется количество наблюдений, входящих в интервал
сглаживания. При этом используют правило: если необходимо сгладить мелкие,
беспорядочные колебания, то интервал сглаживания берут по возможности большим
и, наоборот, интервал сглаживания уменьшают, когда нужно сохранить более мелкие
волны и освободиться от периодически повторяющихся колебаний, возникающих,
например, из-за автокорреляций уровней.
. Вычисляется среднее значение наблюдений, образующих
интервал сглаживания, которое одновременно является сглаживающим значением
уровня, находящегося в центре интервала сглаживания, при условии, что m - нечетное число, по
формуле

, (1)
где m - количество наблюдений, входящих в
интервал сглаживания; p - количество
наблюдений, стоящих по разные стороны от сглаживаемого.
При нечетном m значение
параметра p вычисляют следующим образом:

.
Первым сглаженным будет наблюдение 
t,
где t = p+1.
. Интервал сглаживания сдвигается на один член вправо, и по
формуле (1) находится сглаженное значение для (t+1) - го наблюдения. Затем снова производят сдвиг и т.д.
Процедура продолжается до тех пор, пока в интервал сглаживания не
войдет последнее наблюдение временного ряда.
Недостаток метода: первые и последние p наблюдений ряда остаются несглаженными.
Метод простой скользящей средней можно использовать, если
графическое изображение ряда напоминает прямую линию.
В этом случае не искажается динамика развития исследуемого
процесса. Однако когда тренд выравниваемого ряда имеет изгибы и к тому же
желательно сохранить мелкие волны, использовать для сглаживания ряда метод
простой скользящей средней нецелесообразно, поскольку при этом:
· выравниваются и выпуклые, и вогнутые
линии;
· происходит сдвиг волны вдоль ряда;
· изменяется знак волны, т.е. на кривой,
соединяющей сглаженные точки, вместо выпуклого участка образуется вогнутый и
наоборот. Последнее имеет место в случае, когда интервал сглаживания в полтора
раза превышает длину волны.
Таким образом, если развитие процесса носит нелинейный
характер, то применение метода простой скользящей средней может привести к
значительным искажениям исследуемого процесса.
Метод взвешенной скользящей средней отличается от
предыдущего тем, что сглаживание внутри интервала производиться не по прямой, а
по кривой более высокого порядка. Это обусловлено тем, что суммирование членов
ряда, входящих в интервал сглаживания, производиться с определенными весами,
рассчитанными по методу наименьших квадратов.
Если сглаживание производиться с помощью полинома
(многочлена) второго и третьего порядка, то веса берутся следующие

(-3; 12; 17; 12; - 3) для m=5;

(-2; 3; 6; 7; 3; - 2) для m=7.
Особенности весов:
1) симметричны относительно центрального члена;
) сумма весов с учетом общего множителя равна единице.
Недостаток метода: первые и последние p наблюдений ряда остаются
несглаженными.
2.1.4 Расчет
показателей динамики экономических процессов
Расчет показателей динамики экономических процессов -
заключительный этап предварительного анализа данных.
Для характеристики динамики изменения экономических
показателей часто используется понятие автокорреляции, которая характеризует не
только взаимозависимость уровней одного и того же ряда, относящихся к разным
моментам наблюдений, но и степень устойчивости развития процесса во времени,
величину оптимального периода прогнозирования и т.п.
Степень тесноты статистической связи между уровнями
временного ряда, сдвинутыми на τ единиц времени,
определяется величиной коэффициента корреляции r(τ). Так как r(τ) измеряет тесноту связи
между уровнями одного и того же временного ряда, его принято называть
коэффициентом автокорреляции. При этом τ - длину временного смещения
- называют обычно лагом.
Коэффициент автокорреляции вычисляют по формуле

При большой протяженности исследуемого ряда расчет коэффициентов
автокорреляции можно упростить. Для этого находят отклонения не от средних
коррелируемых рядов, а от общей средней всего ряда. В этом случае

Порядок коэффициентов автокорреляции определяется временным лагом:
первого порядка (при τ = 1), второго
порядка (при τ = 2) и
т.д.
Последовательность коэффициентов автокорреляции уровней первого,
второго и последующих порядков называют автокорреляционной функцией. Значения
которой, могут колебаться от -1 до +1, но из стационарности следует, что r(τ) = - r(τ). График
автокорреляционной функции называется коррелограммой.
Анализ автокорреляционной функции и коррелограммы позволяет
определить лаг, при котором автокорреляция наиболее высокая, т.е. при помощи
анализа автокорреляционной функции и коррелограммы можно выявить структуру
ряда.
Если наиболее высоким оказался коэффициент автокорреляции 1 ого
порядка, исследуемый ряд содержит только тенденцию. Если наиболее высоким
оказался коэффициент автокорреляции порядка τ, то ряд содержит циклические колебания с
периодичностью в τ моментов
времени. Если ни один из коэффициентов автокорреляции не является значимым, то
можно сделать одно из двух предположений относительно структуры этого ряда:
либо ряд не содержит тенденции и сезонных колебаний, либо ряд содержит сильную
нелинейную тенденцию, для выявления которой нужно провести дополнительный
анализ. Поэтому коэффициент автокорреляции уровней и автокорреляционную функцию
целесообразно использовать для выявления во временном ряде наличия или
отсутствия трендовой компоненты f(t) и сезонной компоненты S(t).
2.2
Построение моделей временных рядов
Рассмотрим аналитические методы выделения неслучайной
составляющей временного ряда.
Формирование уровней ряда определяется закономерностями трех
основных типов:
· Инерцией тенденции;
· Инерцией взаимосвязи между
последовательными уровнями ряда;
· Инерцией взаимосвязи между исследуемым
показателем и показателями-факторами, оказывающими на него причинное
воздействие.
Соответственно различают задачи анализа и моделирования
тенденций, взаимосвязи между последовательными уровнями ряда и причинных
взаимодействий между исследуемым показателем и показателями-факторами. Первая
из них решается с помощью моделей кривых роста, вторая с помощью адаптивных
методов и моделей, а третья - с помощью регрессионных моделей.
2.2.1 Модели
кривых роста
Плавную кривую (гладкую функцию), аппроксимирующую временной
ряд, принято называть кривой роста. Аналитические методы выделения (оценки)
неслучайной составляющей временного ряда с помощью кривых роста реализуются в
рамках моделей регрессии, в которых в роли зависимой переменной выступает
переменная yt, а в роли единственной объясняющей переменной - время t.
Наиболее часто на практике используются кривые роста, которые
позволяют описывать процессы трех основных типов:
· без предела роста;
· с пределом роста без точки перегиба;
· с пределом роста и точкой перегиба.
Для описания процессов без предела роста служат
следующие функции: прямая (полином первой степени) yt = a0 + a1t; парабола (полином
второй степени) yt = a0 + a1t + a2t2; экспонента yt = exp(a0 + a1t) и др. Процессы такого
типа характерны в основном для абсолютных объемных показателей.
Для описания процессов с пределом роста без точки перегиба
служат функции: кривая Джонсона, модифицированная экспонента и др. Процессы с
пределом роста характерны для многих относительных показателей.
Для описания процессов с пределом роста и точкой перегиба
используются логистическая кривая (кривая Перла-Рида) и кривая Гомперца. Такой
тип развития характерен для спроса на некоторые новые товары.
Математические методы позволяют представить прогнозирующую
модель в виде полинома любого порядка. Однако без необходимости использования
полиномов высокого порядка представляется излишним.
Параметры моделей могут быть содержательно интерпретированы.
Так, параметр a0 во всех моделях без предела роста задает начальные условия
развития, а в моделях с пределом роста - асимптоту функций, параметр a1 определяет скорость (или
интенсивность) развития, параметр a2 - изменение скорости (или интенсивности)
развития.
Параметры большинства кривых роста, как правило, оцениваются
по методу наименьших квадратов, т.е. подбираются таким образом, чтобы график
функции кривой роста располагался на минимальном удалении от точек исходных
данных. Согласно МНК при оценки параметров модели всем наблюдениям
присваиваются равные веса, т.е. их информационная ценность признается равной, а
тенденция развития на всем участке наблюдений - неизменной.
Предпочтение, как правило, отдается простым моделям,
допускающим содержательную интерпретацию. К числу таких моделей относится
линейная модель роста
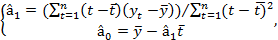
yt = a0 + a1t,
где a0 и a1 - параметры модели, а t = 
.
Математически критерий оценки параметров модели записывается в
виде
.
Для нахождения минимума функции двух переменных Q(a0; a1) следует
взять частные производные по a0 и a1, а затем
приравнять их к нулю. В результате получим так называемую систему нормальных
уравнений
Решая систему двух линейных уравнений с двумя неизвестными,
получим

где 
и 
- средние значения моментов наблюдения и уровней ряда
соответственно.
2.3
Оценка качества моделей
2.3.1 Проверка
адекватности модели
Проверка адекватности модели реальному явлению - важный этап
прогнозирования экономических процессов. Для этого исследуют ряд остатков et = yt - ŷt, т.е. расхождения
уровней, рассчитанных по модели, и фактических наблюдений. Наиболее важными
свойствами остаточной компоненты являются равенства математического ожидания
нулю, независимость последовательных уровней ряда остатков, их случайность и
соответствие нормальному закону распределения.
1. Проверка равенства математического ожидания уровней ряда
остатков нулю осуществляется в ходе проверки соответствующей нулевой
гипотезы H0: |
| = 0. С этой целью строится t-статистика:

,
где 
- среднее арифметическое значение уровней ряда остатков et;

- среднеквадратическое отклонение для этой последовательности,
рассчитанное по формуле с малой выборкой.
На уровне значимости α гипотеза отклоняется, если tрасч
tтабл(α,y), где tтабл(α,y) - критерий распределения Стъюдента с доверительной вероятностью
(1 - α) и
степенями свободы v = n-1.
. Проверка условия случайности возникновения отдельных
отклонений от тренда.
Для проверки случайности уровней ряда могут быть использованы
следующие критерии:
) Критерий «восходящих» и «нисходящих» серий;
) Критерий «пиков», или критерий поворотных точек. Значение
случайной переменной считается поворотной точкой, если оно одновременно больше
(меньше) соседних с ним элементов. Если остатки случайны, то поворотная точка
приходится примерно на каждые 1,5 наблюдения. Если их больше, то возмущения
быстро колеблются и это не может быть только объяснено только случайностью.
Если же их меньше, то последовательные значения случайной компоненты
положительно коррелированы.
Критерий случайности отклонений от тренда при уровне вероятности
0,95 можно представить как

где p - фактическое количество поворотных точек
в случайном ряду; 1,96 - квантиль нормального распределения для 5%-ого уровня
значимости. Квадратные скобки здесь означают, что от результата вычисления следует
взять целую часть.
Если неравенство не соблюдается, то ряд остатков нельзя считать
случайным (т.е. он содержит регулярную компоненту) и, стало быть модель не
является адекватной.
. Проверка условия независимости, или наличия (отсутствия)
автокорреляции в отклонениях от модели роста, осуществляется с помощью критерия
Дарбина-Уотсона

где ei = yi - ŷi.
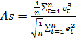
. Соответствие ряда остатков нормальному закону распределения
важно с точки зрения правомерности построения доверительных интервалов
прогноза. Ввиду малого числа наблюдений в большинстве случаев это свойство
может быть проверено лишь приближенными методами. Таким, в частности, является
метод, основанный на вычислении коэффициентов асимметрии As и эксцесса Ex для ряда остатков:

, 
.
Значения As и Ex для нормально распределенной совокупности
равны нулю.
Если одновременно выполняются неравенства
то гипотеза о нормальном характере распределения случайной
компоненты не отвергается.
Гипотеза о нормальном характере распределения отвергается.
В этих формулах
σAs=
,
σEx=
,
где σAs -
среднеквадратичная ошибка (СКО) выборочной характеристики асимметрии; σEx - среднеквадратичная ошибка выборочной
характеристики эксцесса.
В случае попадания коэффициентов асимметрии и эксцесса в зону
неопределенности (между полутора и двумя СКО) используются другие критерии, в
частности RS-критерий:
RS = 
,
где emax и emin - соответственно минимальный и
максимальный уровень ряда остатков; 
- среднеквадратичное отклонение ряда остатков.
Если расчетное значение RS
попадает между табулированными границами с заданным уровнем вероятности, то
гипотеза о нормальном распределении ряда остатков принимается. В этом случае
допустимо строить доверительный интервал прогноза.
Если все пункты проверки дают положительный результат, то
выбранная трендовая модель адекватна реальному ряду экономической динамики и ее
можно использовать для построения прогнозных оценок. В противном случае -
модель надо улучшать.
2.3.2 Оценка
точности модели
В статистическом анализе известно большое число характеристик
точности. Наиболее часто, кроме среднеквадратичного отклонения, используются:
· Максимальная по абсолютной величине ошибка
Emax= max |et|;
· Относительная максимальная ошибка
Eотн max=
100%;
· Средняя по модулю ошибка
Eср| = 
;
· Средняя по модулю относительная ошибка
Eотн= 
;
Эти показатели дают представление об абсолютной величине ошибки
модели и о доле ошибки в процентном отношении к среднему значению
результативного признака.
При использовании ретропрогноза - подхода, когда несколько
последних уровней ряда оставляются в качестве проверочной последовательности, -
точность прогнозных оценок определяется на основе этих же показателей.
Лучшей по точности считается модель, у которой все перечисленные
характеристики имеют меньшую величину. Однако эти показатели по-разному
отражают степень точности модели и потому нередко дают противоречивые выводы.
Для однозначного выбора лучшей модели следует воспользоваться либо одним
основным показателем, либо обобщенным критерием.
2.4 Построение
точечных и интервальных прогнозов
Идея экономического прогнозирования базируется на
предположении, что закономерность развития, действовавшая в прошлом (внутри
ряда экономической динамики), сохранится и в прогнозируемом будущем. В этом
смысле прогноз основан на экстраполяции. Экстраполяция, проводимая в будущее,
называется перспективной, а в прошлое - ретроспективной.
Прогнозирование методом экстраполяции базируется на следующих
предположениях:
а) развитие исследуемого явления в целом описывается плавной
кривой;
б) общая тенденция развития явления в прошлом и настоящем не
указывает на серьезные изменения в будущем;
в) учет случайности позволяет оценить вероятность отклонения
от закономерного развития.
Надежность и точность прогноза зависят от того, насколько
близкими в действительности окажутся эти предположения и насколько точно
удалось охарактеризовать выявленную в прошлом закономерность.
На основе построенной модели рассчитываются точечные и
интервальные прогнозы.
2.4.1 Точечный
прогноз
Точечный прогноз для временных моделей получается
подстановкой в модель (уравнение тренда) соответствующего значения фактора
времени, т.е. t
= n+1, n+2,…, n+k, где k - период упреждения.
Точное совпадение фактических данных и прогностических точечных
оценок, полученных путем экстраполяции, имеет малую вероятность.
Возникновение соответствующих отклонений объясняется
следующими причинами:
а) выбранная для прогнозирования не является единственно
возможной для описания тенденции. Можно подобрать такую кривую, которая дает
более точные результаты;
б) прогноз осуществляется на основании ограниченного числа
исходных данных. Кроме того, каждый исходный уровень обладает еще и случайной
компонентой, поэтому и кривая, по которой осуществляется экстраполяция, также
будет содержать случайную компоненту;
в) тенденция характеризует движение среднего уровня ряда
динамики, поэтому отдельные наблюдения могут от него отклоняться. Если такие
отклонения наблюдались в прошлом, то они будут наблюдаться и в будущем.
2.4.2 Интервальный
прогноз
Интервальные прогнозы строятся на основе точечных прогнозов.
Доверительным интервалом называется такой, относительно
которого можно с заранее выбранной вероятностью утверждать, что он содержит
значение прогнозируемого показателя. Ширина интервала зависит от качества
модели, числа наблюдений, горизонта прогнозирования, выбранного пользователем
уровня вероятности и других факторов.
При построении доверительного интервала прогноза
рассчитывается величина U(k), которая для линейной модели имеет вид

,

,
где Se - стандартная ошибка (среднеквадратичное
отклонение от линии тренда); n-p - число степеней свободы (для линейной модели y = a0+a1t количество параметров p = 2).
Коэффициент ta
является табличным значением t-статистики
Стъюдента при заданном уровне значимости и числе наблюдений.
Для других моделей U(k) рассчитывается аналогичным образом, он имеет более
громоздкий вид. Как видно из формулы, величина U(k) зависит прямо пропорционально от
точности модели Se, коэффициента доверительной вероятности ta, степени углубления в будущее на k шагов вперед, т.е. на момент t = n+k, и
обратно пропорциональна объему наблюдений.
Доверительный интервал прогноза будет иметь следующие границы:
yпрогн(n+k)+U(k)
(верхняя граница)
yпрогн(n+k)-U(k)
(нижняя граница)
Если построенная модель адекватна, то с выбранной пользователем
вероятностью можно утверждать, что при сохранении сложившихся закономерностей
развития прогнозируемая величина попадает в интервал, образованный верхней и
нижней границей.
После получения прогнозных оценок необходимо убедиться в их
разумности и непротиворечивости оценкам, полученным иным способом.
Заключение
Вывод.
Модель имеет вид Y(t) = 38,23 + 1,81t. Размеры платежей составят 61,77; 63,58; 65,40
тыс. руб. Следовательно денежных средств в объеме 120 тыс. руб. на
финансирование этого инвестиционного проекта на три последующих месяца будет не
достаточно, поэтому нужно либо изыскать дополнительные средства, либо
отказаться от этого проекта.
Прогнозирование - это система количественных и качественных
предплановых изысканий, направленных на выяснение возможного состояния и
результатов деятельности предприятия в будущем. На основе прогнозов
определяется возможность (вероятность) достижения поставленных целей. Обычно в
прогнозах указывается вероятная степень возможного отклонения от тех или иных
целей в зависимости от способа будущих действий и влияния различных внешних
научно-технических, природно-климатических, социально-экономических и
политических факторов.
Прогнозирование служит важной основой для выявления тенденций
развития фирмы в условиях непрерывного изменения и воздействия факторов внешней
и внутренней среды, а также поиска рациональных мероприятий по поддержке
необходимой устойчивости ее экономического положения.
Главная функция прогнозирования состоит в проведении научного
анализа социально-экономических процессов и тенденций, а также в предвидении
новых экономических ситуаций и выявлении узловых экономических проблем. Основные
функции прогнозирования состоят также в исследовании объективных связей
социально-экономических явлений и процессов в конкретных условиях, на
определенном этапе развития экономики и общества, в оценке объекта
прогнозирования, в выявлении возможных альтернатив развития экономики в
перспективе, в принятии оптимальных решений.
детерминированный экстраполяционный прогнозирование трендовый
Литература
1) Орлова
И.В., Половников В.А. «Экономико-математические методы и модели: компьютерное
моделирование: Учеб. Пособие. - М.: Вузовский учебник, 2007. - 365 с.
) Н.И.
Шанченко «Лекции по эконометрике»: Учеб. Пособие / Ульяновск, 2008. - 139 с.
) И.И.
Елисеева, С.В. Курышева, Т.В. Костеева и др. «Эконометрика»: Учебник. Под ред.
И.И. Елисеевой. - 2-е изд. - М.: Финансы и статистика, 2006. - 576 с.
) Орлов
А.И. «Эконометрика»: Учеб. Пособие для вузов / А.И. Орлов - М.: Издательство
«Экзамен», 2002. - 576 с.