Аналіз ефективності інвестиційного проекту

  • Вид работы:
    Курсовая работа (т)
  • Предмет:
    Эктеория
  • Язык:
    Украинский
    ,
    Формат файла:
    MS Word
    231,46 Кб
  • Опубликовано:
    2014-03-31
Вы можете узнать стоимость помощи в написании студенческой работы.
Помощь в написании работы, которую точно примут!

Аналіз ефективності інвестиційного проекту

МІНІСТЕРСТВО ОСВІТИ І НАУКИ, МОЛОДІ ТА СПОРТУ УКРАЇНИ

НАЦІОНАЛЬНА МЕТАЛУРГІЙНА АКАДЕМІЯ УКРАЇНИ

ФАКУЛЬТЕТ ЕКОНОМІКИ ТА МЕНЕДЖМЕНТУ

Кафедра економіки промисловості








КУРСОВА РОБОТА

з дисципліни "Економічне обґрунтування господарських рішень"

на тему:

"Аналіз ефективності інвестиційного проекту"

Виконав,

студент групи ЕП-09-2 Селютіна Є. І.

Керівник роботи Гвоздєва Т.М.





Дніпропетровськ НметАУ

р.

ЗМІСТ

РЕФЕРАТ

ВСТУП

1.           МЕТОДИЧНА ЧАСТИНА

1.1 Види інвестиційних проектів

.2 Характеристика, структура й джерела фінансування проектів

.3 Поняття й економічна сутність вартості капіталу

.4 Абсолютна й порівняльна ефективність. Наведені витрати

.5 Концепція вартості грошей у часі

.6 Методика й критерії оцінки економічної ефективності інвестиційних проектів з урахуванням вартості грошей у часі

.7 Сутність та розходження традиційної схеми визначення критеріїв ефективності та схеми власного капіталу

2.           РОЗРАХУНКОВА ЧАСТИНА

2.1 Характеристика інвестиційного проекту

.2 Потреба в інвестиціях, їхня структура, джерела фінансування, визначення вартості капіталу. Обґрунтування доходу й собівартості випуску продукції по роках реалізації інвестиційного проекту

.3 Побудова графіків обслуговування боргу

.4 Прогноз прибутку й грошових потоків

.5 Розрахунок показників ефективності проекту

.6 Схема ухвалення рішення про ефективність проекту й шляхи її підвищення

ВИСНОВКИ ТА ПРОПОЗИЦІЇ

ЛІТЕРАТУРА

ДОДАТКИ

РЕФЕРАТ

У курсовій роботі 45 сторінок, 5 використаних джерел, 8 таблиц, 3 малюнка, 25 формул.

Метою цієї курсової роботи є визначення економічної ефективності інвестиційного проекту та закріплення теоретичних положень та практичного досвіду з аналізу інвестиційного проекту.

Виходячи з мети курсової роботи, можна визначити її основні завдання:

1.  Розрахувати чисте сучасне значення інвестиційного проекту (NPV);

2.       Розрахувати внутрішню норма прибутковості (рентабельності) (IRR);

3.       Розрахувати дисконтованний період окупності (DPB).

ВСТУП

Інвестиційний проект - це сукупність поєднаних в одне ціле намірів і практичних дій з метою здійснення інвестиційних вкладень, з метою забезпечення визначених конкретних фінансових, економічних, виробничих і соціальних заходів з метою отримання прибутку.

Інвестиційні проекти поділяються на:

виробничі;

науково-технічні;

комерційні;

фінансові;

економічні;

соціально-економічні;

Форма та зміст інвестиційних проектів можуть бути найрізноманітнішими - від плану будівництва нового підприємства до оцінки доцільності придбання нерухомого майна. У всіх випадках, проте, присутній часовий лаг (затримка) між моментом початку інвестування та моментом, коли проект починає приносити прибуток. Часовий чинник грає ключову роль в оцінці інвестиційного проекту В зв'язку з цим доцільно представити весь цикл розвитку проекту як три основні фази розвитку проекту: передінвестиційну, інвестиційну та експлуатаційну. Сумарна тривалість цих стадій складає термін життя проекту.

Перша фаза, безпосередньо передуюча основному обсягу інвестицій, у багатьох випадках не може бути визначена досить точно. На цьому етапі проект розробляється, готується його техніко-економічне обґрунтування, проводяться маркетингові дослідження, здійснюється вибір постачальників сировини та устаткування, ведуться переговори з потенційними інвесторами і учасниками проекту. Також тут може здійснюватися юридичне оформлення проекту (реєстрація підприємства, оформлення контрактів і тому подібне) і проводитися емісія акцій та інших цінних паперів. Як правило, в кінці передінвестиційної фази має бути в наявності розгорнутий бізнес-план інвестиційного проекту. Всі вище перелічені дії, зрозуміло, вимагають не лише часу, але і витрат. В разі позитивного результату і переходу безпосередньо до здійснення проекту понесені витрати капіталізуються і входять до складу так званих "перед виробничих витрат" з подальшим віднесенням на собівартість продукції через механізм амортизаційних відрахувань.

Наступний відрізок часу відводиться під стадію інвестування або фазу здійснення. Принципова відмінність цієї фази розвитку проекту від попередньої і подальшій фаз полягає, з одного боку, в тому, що починають робитися дії, що вимагають набагато більших витрат і що носять вже безповоротний характер (закупівля устаткування або будівництво), а, з іншого боку, проект ще не в змозі забезпечити свій розвиток за рахунок власних засобів. На даній стадії формуються постійні активи підприємства. Деякі види супутніх витрат (наприклад, витрати на навчання персоналу, на проведення рекламних заходів, на пуско-наладку та інші) частково можуть бути віднесені на собівартість продукції (як витрати майбутніх періодів), а частково - капіталізовані (як перед виробничі витрати).

З моменту введення в дію основного устаткування (в разі промислових інвестицій) або після придбання нерухомості або іншого вигляду активів починається третя стадія розвитку інвестиційного проекту - експлуатаційна [operational] фаза. Цей період характеризується початком виробництва продукції або надання послуг і відповідними вступами і поточними витратами. Значний вплив на загальну характеристику проекту надаватиме тривалість експлуатаційної фази. Вочевидь, що, чим далі буде віднесена в часі її верхній кордон, тим більшою буде сукупна величина доходу[5].

1. 
МЕТОДИЧНА ЧАСТИНА

1.1 Види інвестиційних проектів

В сучасному розумінні проекти - це те що змінює наше оточення: будівництво житлового будинку або промислового об’єкту, програма науково-дослідних робіт, реконструкція підприємства, створення нової організації, розробка нової техніки, зменшення витрат тощо.

Проект - цілеспрямоване, заплановане створення або модернізація фізичних об’єктів, технологічних процесів, технічної та організаційної документації для них, матеріальних, фінансових, трудових та інших ресурсів, а також управлінських рішень та заходів щодо їх виконання.

До основних властивостей проекту, за чиниками вони можуть бути класифіковані на типи, відносять: масштаб, складність, якість та тривалість (рис. 1.4 Класифікація інвестиційних проектів).


За масштабом проекти поділяються на:

Малі проекти - вартістю до 10 млн. доларів.

Середні проекти - вартістю від 10 до 50 млн. доларів.

Великі проекти - від 50 до 100 млн. доларів.

адвеликі проекти - понад 100 млн. доларів.

За складністю проекти поділяються на моно проекти, мультипроекти та мегапроекти.

Монопроект - це окремий проект певного виду і масштабу.

Мультипроект - це комплексний проект, який складається з декількох моно проектів, що вимагає багато проектного управління.

Мегапроект - це комплексний проект розвитку регіонів, секторів економіки, тощо, який складається з декількох моно та мультипроектів, об’єднаних однією метою.

Програми. В деяких галузях об’єкти є настільки складними, що робота щодо цих об’єктів здійснюється шляхом реалізації декількох проектів.

Група проектів, управління якими для отримання прибутків здійснюється в комплексі називається програмою.

Підпроекти. Проекти часто поділяють на підпроекти чи компоненти, що краще піддаються управлінню. Підпроекти часто передають для управління в зовнішні організації або в інший функціональний підрозділ організації, яка виконує проект. Проте, з точки зору організації, яка виконує проект, підпроект слід розглядати як послугу, ніж як продукт. Отже, підпроекти в основному належать до проектів і управляються так само[3].

За якістю проекти поділяються на проекти звичайної якості та бездефектні.

Бездефектні проекти - такі в яких домінуючим фактором є якість (наприклад, будівництво електростанцій).

Обов’язкові проекти - це контрактні проекти, які повинні забезпечити контрактні зобов’язання, наприклад, проекти охорони довкілля.

Необов’язкові проекти - будь-які проекти, виконання яких можна перенести на інший період, наприклад, заміна обладнання.

За характером та сферою діяльності виділяють: промислові проекти, проекти дослідження та розвитку (інноваційні), організаційні, економічні та соціальні проекти.

Промислові проекти - типові проекти, що спрямовані на випуск та продаж нових продуктів, удосконалення технологій, розширення виробництва тощо.

Інноваційні проекти - зосереджені на науково-дослідній діяльності, розробці програмних засобів опрацювання інформації, створенні нових матеріалів, технологій, конструкцій тощо.

Організаційні проекти - націлені на реформування системи управління, створення нової організації, реструктуризацію тощо.

Економічні проекти - мають на меті приватизацію державних підприємств, розвиток ринку капіталів, реформування системи оподаткування та інші макроекономічні перетворення.

Соціальні проекти - пов’язані з реформуванням системи управління, створенням системи соціального захисту, охороною здоров’я подоланням наслідків природних, екологічних та соціальних потрясінь та іншими чинниками соціального характеру [2].

1.2 Характеристика, структура й джерела фінансування проектів

Інвестиційний проект - це викладення цілей та особливостей конкретного інвестування й обгрунтування його доцільності. Без нього неможливо здійснювати інвестиції. Опрацювання інвестиційного проекту залежить від інвестора та чинних законів держави. Далі під інвестиційним проектом розуміється письмовий документ, де викладено мету, методи реалізації, опис об'єкта інвестування, фінансову доцільність інвестиції. Такий проект потрібний як для власних цілей інвестора, так і для ознайомлення з намірами інвестора всіх можливих заінтересованих сторін: партнерів, банків, майбутніх споживачів. Інвестиційний проект має типовий зміст, що поділяється на розділи. Наведемо можливий склад розділів та орієнтовні форми табличних матеріалів.

На цьому етапі проводиться ряд досліджень і ведеться підготовка для початку здійснення проекту. Подробиці досліджень, в світовій практиці званих "передінвестиційними" [pre-investment studies], можуть варіюватися залежно від вимог інвестора, можливості їх фінансування і часу, відведеного на їх проведення. Прийнято виділяти три рівні предынвестиционных досліджень:

дослідження можливостей [opportunity studies];

підготовчі або перед проектні [pre-feasibility] дослідження;

оцінка здійсненності або техніко-економічні дослідження [feasibility studies].

Відмінність між рівнями передінвестиційних досліджень досить умовна. Як правило, поетапна підготовка остаточного рішення необхідна лише у випадках досить крупних проектів, типа проектів будівництва нового підприємства або організації нового виробництва. Поважно відзначити факт безумовної необхідності опрацювання всіх опитів, пов'язаних із здійсненням інвестиційного проекту, оскільки це в значній мірі визначає успіх або невдачу проекту в цілому (природно, за умови, що не буде допущено серйозних помилок на наступних стадіях). Недостатньо або неправильно обґрунтований проект буде приречений на серйозні труднощі при його реалізації, незалежно від того, наскільки успішно робитимуться все подальші дії. Вартість проведення передінвестиційних досліджень в загальній сумі капітальних витрат досить велика. За даними ЮНІДО, вона складає від 0.8 відсотка для великих проектів до 5 відсотків при невеликих обсягах інвестицій.

Структура інформації, що опрацьовується в ході досліджень, згідно з рекомендаціями ЮНІДО [1], виглядає таким чином:

цілі проекту, його орієнтація і економічне оточення, юридичне забезпечення (податки, державна підтримка і тому подібне);

маркетингова інформація (можливості збуту, конкурентне Середовище, перспективна програма продажів і номенклатура продукції, цінова політика);

матеріальні витрати (потреби, ціни і умови постачання сировини, допоміжних матеріалів і енергоносіїв);

місце розміщення, з врахуванням технологічних, кліматичних, соціальних і інших чинників;

проектно-конструкторська частина (вибір технології, специфікація устаткування і умови його постачання, обсяги будівництва, конструкторська документація і тому подібне);

організація підприємства і накладні витрати (управління, збут і розподіл продукції, умови оренди, графіки амортизації устаткування і тому подібне);

кадри (потреба, забезпеченість, графік роботи, умови оплати, необхідність навчання);

графік здійснення проекту (терміни будівництва, монтажу і пусконалагоджувальних робіт, період функціонування);

комерційна (фінансова і економічна) оцінка проекту.

Наведена вище структура в цілому відповідає структурі бізнес-плану інвестиційного проекту.

Джерела фінансування проектів

Всі джерела фінансування можна класифікувати за такими ознаками:

ѕ відносини власності;

ѕ види власності;

ѕ рівні власників.

За відносинами власності джерела фінансування розділяються на власні, залучені і позикові.

За видами власності розрізняють:

державні джерела фінансування -- це бюджетні засоби і засоби позабюджетних фондів, державні запозичення й інші ресурси, включаючи майно державної власності;

фінансові ресурси господарюючих суб'єктів комерційного і некомерційного типу, суспільних організацій і фізичних осіб -- це прибуток, амортизаційні відрахування, суми, виплачувані страховими організаціями у виді відшкодування втрат від стихійних лих і аварій, а також залучення засобів, приміром, від продажу акцій;

засоби іноземних інвесторів (іноземних держав, міжнародних фінансових і інвестиційних інститутів, окремих підприємств, банків і кредитних установ.

Державне фінансування проектів може здійснюватися на незворотній і зворотній основі, а також основі змішаного інвестування, включаючи такі форми, як фінансова підтримка високоефективних інвестиційних проектів, централізоване фінансування (часткове або повне) державних інвестиційних програм.

На зворотній основі засоби виділяються Міністерством фінансів у межах кредитів, що видаються Національним Банком України у встановленому законодавством порядку. Загальний термін користування виділеними засобами встановлюється в договорах з урахуванням тривалості будівництва об'єктів і термінів виходу введених у дію виробництв на проектну потужність.

На незворотній основі державне фінансування здійснюється за рахунок засобів державного бюджету і відповідно до затвердженого переліку будівництв і об'єктів для державних потреб, при відсутності інших джерел, або в порядку державної підтримки будівництва пріоритетних об'єктів виробничого призначення при максимальному залученні власних, позикових і інших засобів.

На основі змішаного інвестування можуть здійснюватися фінансування і кредитування будівництва за рахунок засобів державного бюджету, власних засобів організацій, підприємств і інших юридичних осіб із дотриманням пропорцій витрати бюджетних асигнувань і власних засобів протягом усього періоду будівництва об'єктів.

Треба особо підкреслити, що принципово новою інвестиційною політикою держави є перехід від розподілу дуже обмежених бюджетних засобів на капітальне будівництво між галузями і регіонами до виборчого часткового фінансування конкретних інвестиційних проектів на конкурсній основі. Це положення стосується і приватних інвесторів, яким держава може здійснити підтримку, якщо за результатами конкурсу їхній інвестиційний проект визнаний кращим.

Поряд із власними засобами господарюючих суб'єктів, бюджетним фінансуванням або державною підтримкою існують такі засоби інвестування проектів, як акціонерне фінансування, лізинг, кредитування й іпотека.

Акціонерне інвестування являє собою вкладення коштів в акції і, отже, одержання додаткових інвестиційних ресурсів під конкретний проект. Це забезпечує інвестору участь у статутному капіталі підприємства. Акціонерне фінансування є альтернативним кредитному фінансуванню[4].

Кредитування, або боргове фінансування за рахунок кредитів банків і боргових зобов'язань юридичних і фізичних осіб повинно забезпечуватися заставою нерухомого і рухомого майна, у тому числі державних або корпоративних цінних паперів, що визначається кредитним договором і умовами кредитування.

Лізинг -- засіб фінансування інвестиційних проектів, за яким орендодавець (лізингодавець) за договором фінансової оренди (лізингу) зобов'язується придбати у власність обумовлене договором майно у визначеного продавця і надати це майно орендарю (лізингоодержувачу) за плату у взаємне користування.

Об'єктом лізингу може бути будь-яке рухоме і нерухоме майно, що належить до основних засобів, крім майна, забороненого до вільного обертання на ринку.

Суб'єктами лізингу є: лізингодавець - юридична особа, що здійснює передачу в лізинг за договором спеціально придбаного для цього майна, лізингоодержувач - особа, що одержала майно в користування за договором лізингу.

Лізингові операції здійснюються за договорами лізингу. Лізинг може бути як внутрішнім, коли всі суб'єкти лізингу є резидентами України, так і міжнародним, коли один або декілька суб'єктів лізингу є нерезидентами.

Таким чином, лізинг можна кваліфікувати як передачу майна в тимчасове користування на умовах терміновості, повернення і платності, тобто як товарний кредит в основні фонди підприємств.

Іпотека -- це вид застави нерухомого майна (землі, підприємств, будинків і споруджень і інших об'єктів, безпосередньо пов'язаних із землею) із метою одержання позички.

Кожна з розглянутих форм фінансування має свої особливості. Тому правильно оцінити наслідки різноманітних засобів інвестування можна тільки лише при порівнянні їхніх альтернативних варіантів[5].

1.3 Поняття й економічна сутність капіталу

фінансування проект капітал інвестиційний

Капітал є однією з фундаментальних економічних категорій, сутність якої наукова думка досліджує протягом багатьох століть. Серед основних харектеристик, які формують економічну сутність капіталу, слід виділити такі:

об’єкт економічного управління;

об’єкт власності та розпорядження;

об’єкт купівлі-продажу;

джерело доходу;

фактор виробництва;

накопичена цінність;

носій фактора ліквідності та ризику;

інвестиційний ресурс.

Виступаючи носієм економічних характеристик, капітал в першу чергу є об’єктом економічного управління як на мікро-, так і на макрорівні.

Як об’єкт власності та розпорядження капітал може виступати носієм усіх форм власності - індивідуальної, колективної та загальнодержавної. При цьому визначаються певні пропорції його використання, що відбивається у співвідношенні власного і позичкового капіталу.

Капітал як об’єкт купівлі-продажу формує особливий вид ринку -ринок капіталу, що характеризується попитом, пропозицією та ціною. Попит на капітал породжує прагнення до накопичення капіталу як інвестиційного ресурсу та фактора виробництва.

Потенційна здатність приносити доход є однією з основних характеристик капіталу. Прибуток на капітал виступає у формі відсоткового доходу, що отримують власники. Економічним підгрунтям відсоткового доходу є ефект використання капіталу як інвестиційного ресурсу або фактора виробництва. Розмір доходу на капітал, що отримує його власник, складає основу формування витрат на його залучення і використання в економічному процесі, і позначається терміном “вартість капіталу”.

Як фактор виробництва капітал характеризується певною продуктивністю. Вона визначається як визначення результату виробничої діяльності до суми виробничого капіталу.

Капітал, як накопичена цінність розглядається у формі запасів, сформованих в усіх секторах економіки. На підприємствах капітал як накопичена цінність характеризується запасом основних засобів, нематеріальних активів, ринкових цінних паперів, товарно-матеріальних оборотних активів тощо.

Рівень ліквідності капіталу визначається періодом часу, протягом якого інвестований капітал у певних його формах і видах може бути конвертованим у грошову форму без втрати його реальної ринкової вартості. Чим нижчим є мотивний період конверсії раніше інвестованого капіталу в грошову форму, тим більш високим рівнем ліквідності характеризується та чи інша форма його використання в економічному процесі. Поняття ризику тісно пов’язано з поняттям доходності капіталу в процесі його використання. Об’єктивний зв’язок між рівнем доходності і ризику використання капіталу носить прямопропорційний характер.

Наведені характеристики капіталу свідчать про багатоаспектність капіталу як економічної категорії.

Капітал підприємства формуєтьсяв в процесі як створення підприємства так і його функціонування, тобто (в процесі здійснення фінансово-господарській діяльності).

Для різних форм підприємств існують і різні визначення складових капіталу, наприклад:

Статутного, який слід розглядати як початковий капітал. На підприємствах різних організаційних форм це кошти, які надані їх власникам для забезпечення статутної діяльності.

Для акціонерних товариств статутний капітал - це номінальна вартість емітованих акцій.

Для товариств з обмеженою відповідальністю - це сума часток всіх власників.

Для державних підприємств - це вартість всього майна, яке закріплено за економічними суб ’єктами на правах повного господарського розрахунку.

Для кооперативів - це вартість майна, яке надано учасникам для здійснення господарської діяльності.

Поняття “капітал” асоціюється з поняттям “власність”. Як зазначалося, при створенні підприємства його стартовим капіталом виступає вартість майна підприємства. На цьому етапі, коли підприємство ще не має зовнішньої заборгованості, капітал підприємства визначається за такою формулою:

Власний капітал (ВК) (початковий капітал) = вартість активів за балансом[1.1],

тобто:

ВК=Активи[1.2]

Здійснюючи господарську діяльність, підприємство завжди використовує залучені кошти, тобто створює борги. Тоді власний капітал визначається як різниця між вартістю його майна і борговими забов’ язаннями. Формула, за якою обчислюється власний капітал набуває такого вигляду:

ВК=Активи-Боргові забов’ язання [1.3]

Тобто власний капітал - це частина активів підприємства, що залишається після вирахування його забов’язань. Головна мета функціонування капіталу - це його рух. Протягом поточної діяльності підприємства форма його капіталу постійно змінюється. Ці зміни стосуються збільшення (зменшення) як абсолютного розміру капіталу, так і окремих його складових. Постійно здійснюється перетворення одних ресурсів на капітал, інших - на товар або інші види цінностей.

Капітал - це специфічна категорія, яка несе різне навантаження залежно від:

етапів життєвого циклу підприємства (статутний і додатковий капітал);

джерела формування (власний і залучений);

характеру обороту та ліквідності (основний і оборотний);

методів визначення (гранична вартість капіталу).

Основу капіталу підприємства складає власний капітал.

Його сума показує лише облікову, а не ринкову вартість прав власників підприємства, оскільки залежить від застосованих методів оцінки активів та зобов'язань підприємства.

Власний капітал є:

основним початковим та безстроковим джерелом фінансування господарської діяльності підприємства,

джерелом погашення збитків підприємства,

показником, що використовуються для оцінки фінансового стану підприємства, оскільки він демострує, з одного боку, ступінь фінансової самостійності підприємства (його незалежності від зовнішніх джерел фінансування), а з іншого - ступінь кредитоспроможності підприємства (забезпеченості вимог кредиторів фактично наявним у підприємства капіталом засновників).

Збереження власного капіталу є одним з основних показників якості фінансового управління підприємством.

Згідно з фінансовою концепцією збереження капіталу, прибуток вважається заробленим підприємством (а відповідно зберігається та нарощується його капітал) тільки за умови, що сума його чистих активів (тобто активів підприємства за вирахуванням його зобов'язань) на кінець розрахунковогоперіоду перевищує суму чистих активів на початок цього періоду без урахування будь-яких виплат власникам або внесків власників протягом цього періоду.

Формула, застосована при визначенні вартості власного капіталу, не дає інформації про структуру самого власного капіталу, оскільки визначає непрямий метод його обчислення на підставі показників активів і зобов'язань підприємства, які не є складовими власного капіталу.

Залежно від джерела формування власний капітал можна поділити на вкладений і накопичений капітал.

. Вкладений капітал - це капітал, внесений власниками підприємства (статутний капітал, пайовий капітал, додатково оплачений капітал). Сума вкладеного капіталу може збільшуватися також унаслідок конвертування боргових зобов'язань підприємства в акції або частки (паї).

. Накопичений капітал - це капітал, отриманий у процесі діяльності підприємства. Він включає:

Капітал від переоцінки - додатковий капітал, сформований у нас до оцінки активів, яка здійснюється у випадках, передбачених чинним законодавством, та відповідно до положень бухгалтерського обліку [1].

Дарчий капітал - додатковий капітал, отриманий підприємством від інших осіб у вигляді безоплатно одержаних активів (додатково отриманий капітал).

Нерозподілений прибуток - частина чистого прибутку, що не була розподілена між власниками.

За ступенем фіксації власний капітал можна поділити на:

. Зареєстрований капітал - умовно постійний капітал, сума якого визначається в установчих документах (статутний капітал, пайовий капітал).

. Незареєстрований капітал - умовно змінний капітал, який включає додатковий капітал та нерозподілений прибуток.

За окремими видами підприємств існують законодавчо закріплені мінімальні розміри зареєстрованого капіталу.

За критерієм персоніфікації зареєстрований капітал є персоніфікованим капіталом (тобто капіталом з визначеними частками та їх власниками), а незареєстрований капітал є неперсоніфікованим (тобто визначеним лише в загальній вартості окремих його елементів та належним усім співвласникам підприємства).

Власний капітал відповідно до П(С)БО 2 "Баланс" включає такі елементи:

· Статутний капітал.

· Пайовий капітал.

· Додатковий вкладений капітал.

· Інший додатковий капітал.

· Резервний капітал.

· Нерозподілений прибуток (непокритий збиток).

Крім основних складових елементів ВК П(С)БО 2 визначає також коригуючи показники, які відображають рух ВК у процесі його формування та управління.

До коригуючих показників власного капіталу відносяться:

· Неоплачений капітал

· Вилучений капітал

Пайовий капітал - це сукупність коштів фізичних та юридичних осіб, добровільно вкладених у здійснення спільної фінансово-господарської діяльності.

Додатковий вкладений капітал відображає суму, на яку вартість реалізації випущених акцій перевищує їх номінальну вартість.

Для АТ різниця між вартістю реалізації випущених ними акцій та їх номінальною вартістю має назву "Емісійний дохід".

Інший додатковий капітал відображає суму до оцінки необоротних активів, вартість активів, безкоштовно отриманих підприємством від інших юридичних або фізичних осіб, та інші види додаткового капіталу.

Резервний капітал відображає суму резервів, створених за рахунок чистого прибутку підприємства відповідно до чинного законодавства або установчих документів.

Неоплачений капітал відображає суму заборгованості власників (учасників) за внесками до статутного капіталу підприємства.

Вилучений капітал відображає фактичну собівартість акцій власної емісії або часток, викуплених товариством у його учасників., має від'ємне значення та вираховується при визначенні величини власного капіталу підприємства.

Загальне визначення елементів власного капіталу набувають специфічних особливостей залежно від організаційної форми відповідного підприємства. Ці особливості зумовлені насамперед нормами законодавства, якими встановлено організаційні форми підприємств, та вимогами щодо порядку формування та руху власного капіталу цих підприємств.

Відповідно до статті 1 Закону України від 19.09.91 р. № 1576-ХІІ "Про господарські товариства" (зі змінами і доповненнями) господарські товариства можуть існувати в таких організаційно-правових формах: акціонерне товариство, товариство з обмеженою відповідальністю, товариство з додатковою відповідальністю, повне товариство, командитне товариство.

Функції власного капіталу:

. Заснування та введення в дію

. Відповідальність та гарантії

. Забезпечення життєдіяльності підприємства

. Забезпечення крелитоспроможності

. Фінансування та забезпечення ліквідності

. Забезпечення незалежності

. База для нарахування дивідендів

. Управління та контроль, реклама

За видами установчих документів, на підставі яких створюються господарські товариства, вони поділяються на:

· господарські товариства, які створюються і діють на підставі установчого договору і статуту. До цієї групи відносяться акціонерне товариство, товариство з обмеженою відповідальністю і товариство з додатковою відповідальністю;

· господарські товариства, які створюються і діють на підставі лише установчого договору. До цієї групи відносяться повне і командитне товариство [2].

1.4 Абсолютна й порівняльна ефективність. Наведені витрати

Розрізняють абсолютну (загальну) і порівняльну (відносну) ефективність.

Абсолютна ефективність застосовується для оцінки та аналізу використаних окремих видів витрат (ресурсів) і ефективності роботи підприємства в цілому. Показники абсолютної ефективності поділяються на узагальнюючі і приватні (диференційовані).

В основі формування узагальнюючих показників знаходяться дві умови: облік кінцевого результату і відображення сукупної величини витрат або ресурсів. З застосовуваних до цих показників відносяться показники рентабельності: капіталу і продажу. Перший характеризує відношення балансового прибутку (чистого прибутку) до авансованого капіталу. Другий - відношення прибутку від реалізації до вартості реалізованої продукції. Ряд економістів пропонують робити оцінку ефективності за допомогою інтегрального показника,

Диференційовані показники характеризують використання якогось одного виду ресурсу (витрат). До них відносяться: фондовіддача і фондомісткість, матеріаловіддача і матеріаломісткість продукції, продуктивність праці і трудомісткість. Ці показники визначаються як відношення випуску продукції до окремих видів ресурсів або навпаки ресурсів до випуску продукції. У ринковій економіці ці показники доцільно визначати на основі прибутку.

Диференційовані показники ефективності були раніше розглянуті у відповідних розділах.

наведені витрати

Наведені витрати [~ reduced cost] - 1. Розрахункова категорія, що відображає величину поточних і одноразових (капітальних) витрат на виробництво продукції. В системі централізованого планування застосовувалася наступна формула П. з.:

Зп = С + Ен × К[1.4]

де С - собівартість продукції (поточні витрати, включаючи амортизацію); К - капітальні вкладення; Ен-спеціальний коефіцієнт. (Про його долю при переході до ринкової економіки см. в ст. "Нормативний коефіцієнт ефективності капітальних витрат").

П. з. застосовувалися при порівнянні варіантів капітальних вкладень, призначених для виконання однієї і тієї ж господарської задачі. Чим менше розмір П. з. при рівному результаті, тим вигідніше вважався варіант.

Витрати в базовий момент часу, рівноцінні за своїм народногосподарським значенням оцінюваним витрат, виробленим (або можливим) в інші моменти часу (напр., наведені капіталовкладення). Таке приведення за часом проводиться за допомогою коефіцієнта дисконтування[3].

1.5 Концепція вартості грошей у часі

Інвестиційний менеджмент вимагає здійснення різноманітних фінансово-економічних розрахунків, пов’язаних з потоками грошових коштів у різні періоди часу.

Ключову роль у цих розрахунках відіграє вартість грошей у часі. Концепція такої вартості ґрунтується на тому, що вартість грошей з плином часу змінюється з урахуванням норми прибутку на грошовому ринку, в ролі якої звичайно виступає норма позичкового процента (або процента). В даному разі під процентом розуміємо суму доходів від використання грошей на грошовому ринку. Враховуючи, що процес інвестування тривалий у часі, в інвестиційній практиці часто необхідно порівнювати вартість грошей на початку їхнього інвестування з вартістю грошей при їхньому поверненні у вигляді майбутнього прибутку, амортизаційних відрахувань тощо. Порівнюючи вартість грошових коштів при їхньому інвестуванні і поверненні прийнято використовувати два основні поняття - майбутня вартість грошей і теперішня вартість грошей.

Майбутня вартість грошей - це сума інвестованих у теперішній час коштів, у яку вони перетворяться через певний період часу з урахуванням певної ставки процента.

Визначення майбутньої вартості грошей пов’язане з процесом нарощування цієї вартості, що являє собою поетапне збільшення суми вкладу шляхом приєднання до первісного його розміру суми процента (процентних платежів). Ця сума розраховується за так званою процентною ставкою.

В інвестиційних розрахунках процентна ставка застосовується не лише як інструмент нарощування вартості грошових коштів, а й у ширшому сенсі - як вимірник ступеня дохідності інвестиційних операцій.

Теперішня вартість грошей - це сума майбутніх грошових надходжень, зведених з урахуванням певної процентної ставки (так званої «дисконтної ставки») до теперішнього періоду.

Визначення теперішньої вартості грошей пов’язане з процесом дисконтування цієї вартості, що є операцією, зворотною до нарощування при обумовленому кінцевому розмірі грошових коштів. У цьому разі сума процента відраховується з кінцевої суми (майбутньої вартості) грошових коштів. Така ситуація виникає в тих випадках, коли необхідно визначити, скільки коштів потрібно інвестувати сьогодні для того, щоб через певний проміжок часу отримати заздалегідь обумовлену їхню суму.

При проведенні фінансово-економічних розрахунків, пов’язаних з інвестуванням коштів, процеси нарощування та дисконтування вартості можуть здійснюватися як за простими, так і за складними процентами.

ПРОСТІ І СКЛАДНІ ПРОЦЕНТИ

Простим процентом називається нарахування з теперішньої вартості вкладу в кінці одного періоду платежу, зумовленого умовами інвестування (місяць, квартал тощо).

Простий процент обчислюється за такою формулою [1.5]:

= Pіt, [1.5]

де I - величина прибутку власника інвестицій;- процентна ставка;- період часу інвестування;- первісна сума інвестиції (вкладу).

Сутність методу нарахування за простими процентами зводиться до того, що проценти нараховуються впродовж усього терміну інвестицій (кредиту) на ту саму величину капіталу, що інвестується. Наприкінці періоду t сума, одержувана інвестором, дорівнює P + I. Тоді:

= P + I = P + Pit = P(1 + it). [1.6]

Величина (1 + it) зветься множником нарощування простих процентів.

При використанні простих процентів, коли термін угоди не дорівнює цілому числу років, період нарахування процентів виражається дробовим числом, тобто як відношення числа днів функціонування угоди до числа днів у році [1.6]:

 [1.7]

де n - число днів функціонування угоди;

К - часова база (кількість днів у році).

В цьому разі формула [1.6] набуде такого вигляду:

 [1.8]

В ряді країн для зручності обчислень рік триває 360 днів. Це так звана «німецька практика». Проценти, що розраховані за часовою базою K = 360 днів, називаються звичайними чи комерційними.

Існує також «французька практика», коли тривалість року К = 360 днів, а тривалість місяців за днями відповідає календарному обчисленню. І, нарешті, в цілій низці країн використовується «англійська практика», що враховує тривалість року К = 365 днів, а тривалість місяців року - згідно з календарним обчисленням.

При математичному дисконтуванні розв’язується задача, зворотна визначенню нарощуваної суми. Сформулюємо її таким чином: яку суму необхідно інвестувати на t років, щоб при нарахуванні на неї процентів за ставкою і отримати суму, що дорівнює S.

Використовуючи формулу [1.61. озрахунку нарощуваної суми за простою процентною ставкою, отримаємо:

 [1.9]

де знаменник 1 ¤ (1 + it) - дисконтний множник, що показує, в скільки разів первісна сума є меншою від нарощеної.

Випишемо низку похідних формул з формули [1.10]:

 [1.10]

Метод нарахування по складних процентах полягає в тому, що в першому періоді нарахування здійснюється на первісну суму інвестицій (кредиту), після цього вона складається з начисленим процентом і в кожному наступному періоді проценти нараховуються на вже нарощену суму. Тож база для нарахування процентів постійно змінюється.

= P(1 + i) при t = 1;

S2 = P(1 + i) + P(1 + i)i = P(1 + i)2 при t = 2;= P(1 + i)3 при t = 3;

…………………………………= P(1 + i)n при t = n, [1.11]

де (1 + i) - складний декурсивний коефіцієнт;

(1 + i)n - множник нарощування складних процентів.

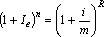
Позначимо ефективну ставку Iе.

Рівність нарощуваних сум буде забезпечена в тому разі, якщо рівні первісні суми P, періоди нарощування n і множники нарощування, тобто:

[1.12]

Оскільки R = mn, то:

 [1.13]

Відтак:

 [1.14]

Перемножуючи обидві сторони рівняння (1.14) на (1+i) й віднімаючи з нього рівняння (1.15), отримаємо:

 [1.15]

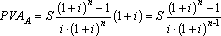
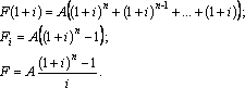
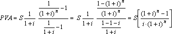
Величина ((1 + i) n - 1)/i називається процентним фактором майбутньої вартості ануїтета, що може бути визначений шляхом прямого обчислення на комп’ютері, або його значення може бути знайдене зі спеціальних таблиць. Позначимо його як PFFVAn, i.

Якщо ми припустимо, що S1 = S2 = ... = Sn = S, то сума PVA є не чим іншим, як добутком величини S на суму n членів геометричної прогресії зі знаменником і першим членом V = 1/(1 + i) і n-им членом Vn = 1/(1 + i) n. Тоді PVA дорівнюватиме:

Здійснивши відповідні математичні перетворення, отримаємо формулу [1.16]:

 [1.16]

Вираз ((1 + i)n - 1)/i(1 + i) n називається процентним фактором теперішньої вартості ануїтета. Позначимо його як PFPVAn, i.ле звідси виводяться дві важливі формули взаємозв’язку процентних факторів теперішньої і майбутньої вартості ануїтетів:

 [1.17]

 [1.18]

Теперішня вартість авансового ануїтета визначається як:

 [1.19] [4]

1.6 Методика й критерії оцінки економічної ефективності інвестиційних проектів з урахуванням вартості грошей у часі

Економічний аналіз оцінює проект з погляду відповідності результатів даного проекту стратегії розвитку та економічним цілям країни. Наприклад, проекти, пов'язані з масштабними інвестиціями в автоматизацію виробничих процесів, можуть суперечити таким національним економічним цілям, як скорочення витрат по імпорту (оскільки автоматизація здійснюється за рахунок поставок технологічних ліній з-за кордону) та створення нових робочих місць. Здійсненню національної політики підвищення рівня життя населення, зайнятого в сільському господарстві, сприятимуть проекти створення соціальної інфраструктури районів, будівництва нових транспортних магістралей, у тому числі автомобільних шляхів.

Визначення економічних цілей країни є прерогативою її керівництва, уряду. Водночас при кредитуванні деяких програм фінансові інститути (наприклад, Світовий банк) можуть брати участь у розробці цілей соціального розвитку країн і регіонів.

Досвід проведення економічного аналізу показав, що при відборі проектів найпоширенішими економічними цілями національного розвитку є:

створення у країні доданої вартості;

надходження або економія іноземної валюти;

розвиток інфраструктури;

створення нових робочих місць;

підготовка кваліфікованих кадрів;

залучення і використання місцевих ресурсів.

Потенційна ефективність проекту визначається з огляду на можливість досягнення поставлених цілей в результаті здійснення проекту.

Таким чином, відсів проектів відбувається за критерієм невідповідності проекту тим завданням, які вирішуються нацією на заданому етапі її розвитку. Тому оцінка економічної привабливості проекту є для аналітика не менш важливою, ніж оцінка економічної ефективності проекту.

На практиці аналітики досить часто користуються методом позиціювання проектів за критеріями економічної привабливості й ефективності, для чого відносять проект до одного з квадратів матриці (рис. 2), яка відображає позицію уряду щодо підтримки тих чи інших проектів.

Найпривабливішим у цій матриці є верхній правий квадрат, в якому і привабливість, і ефективність проектів є вищими. Це - проекти з розвитку нових ринків, поліпшення конкурентних позицій країни, випуску нових продуктів. Як правило, вони реалізуються в приватному секторі, оскільки економічно ефективні проекти практично завжди привабливі і з фінансового погляду.

Економічно привабливі проекти (лівий верхній квадрат), які не є економічно ефективними, потребують підтримки уряду для підвищення своєї ефективності. Тому активна роль держави при ідентифікації проектів, просуванні кращих з них, їх частковому фінансуванні надає можливості для реалізації даних проектів. Це - проекти, які забезпечують розвиток інфраструктури регіонів і країни в цілому (транспортні комунікації, зв'язок, морські порти та аеропорти тощо), а також проекти, спрямовані на соціальний розвиток. Характерною особливістю таких проектів є необхідність їх державної фінансової підтримки. Для підвищення ефективності проекту держава може підтримати ініціативу приватних інвесторів і донорів.

Рис. 2. Матриця економічної ефективності та привабливості

Непривабливі з погляду вигід для суспільства проекти (нижній правий квадрат) мають здійснюватися виключно за рахунок приватних інвестицій. Участь суспільних коштів у таких проектах може бути виправдана лише в разі можливості одержання солідних фінансових вигід.

Оцінку економічної привабливості проекту представимо у вигляді послідовних етапів.

На першому етапі встановлюються цілі розвитку і визначається їх пріоритетність. Вони, безперечно, є індивідуальними для кожної країни і визначаються керівництвом конкретної держави та національними агентствами з розвитку. Як критерії порівняння проектів аналітики можуть використати такі:

необхідна величина інвестицій для створення робочих місць;

значення доданої вартості, створюваної в результаті проекту;

зменшення (заощадження) використовуваних валютних ресурсів;

платежі за використання місцевих ресурсів тощо.

Після виділення пріоритетних критеріїв слід їх проранжирувати, визначивши величину питомої ваги кожного критерію у величині загальної економічної привабливості.

Другим етапом оцінки є розрахунок кількісного значення встановлених раніше критеріїв, що дає змогу вимірювати ступінь сприяння проекту досягненню поставлених економічних цілей розвитку. Необхідні для визначення цих показників дані беруться з фінансових звітів, поданих після проведення фінансового аналізу проекту. Рейтингові ряди значень критеріїв за комплексним проектом показують відповідність результатів проекту поставленим цілям. Відтак за кожним критерієм визначається найпривабливіший проект і розраховується індекс критерію для кожного проекту шляхом ділення величини критерію по конкретному проекту на значення кращого рейтингу в даній категорії. Індексація по критеріях дає змогу зіставляти різні, часто важко порівняні між собою проекти, визначаючи найпривабливіші з погляду загального добробуту.

На заключному, третьому етапі оцінка загальної привабливості кожного проекту розраховується як середньозважена величина індексів проекту. Найвище середньозважене значення свідчить про економічну привабливість проекту.

У нашому прикладі найпривабливішим є проект С, середньозважений індекс якого значно вищий, ніж у проектів А і В. Таким чином, за результатами розрахунків можна відібрати проект С як такий, що найбільше відповідає цілям економічного розвитку країни.

Дослідивши економічну привабливість проекту (з погляду можливості досягнення певних економічних цілей розвитку суспільства), аналітики визначають його економічну ефективність.

Метою виміру економічної ефективності є оцінка ефективності використання дефіцитних ресурсів суспільства у рамках проекту.

Для визначення економічної ефективності проекту використовують поняття альтернативної вартості, тіньових цін, невідчутних вигід і витрат, трансфертних платежів, споживчого надлишку та екстерналій. Оцінка економічної ефективності проекту ґрунтується на методології прирісної природи вигід і витрат, яка визначає економічні вигоди як усі позитивні результати, що одержує суспільство від реалізації проекту, а економічні витрати - як усі негативні впливи, що супроводжують проект.

Економічна ефективністьпроекту   =       Приріст економічних вигід  -        Приріст економічних витрат[1.20]

Аналітик, визначаючи цінність проекту, оцінює, наскільки позитивні результати (вигоди) перевищують його негативні наслідки (витрати) та якою буде величина виграшу суспільства при здійсненні проекту.

Фінансова оцінка проектів побудована на використанні цін, які фірма сплачує за товари і послуги, необхідність проекту, і тих цін, які заплатять споживачі за продукцію, одержану в результаті реалізації проекту. Втім, з погляду суспільства, такі ціни не завжди можуть бути прийнятною мірою вартості витрат і вигід. Для економічного аналізу необхідно оцінити всі компоненти проекту з погляду альтернативної вартості. Аналітик визначає альтернативну вартість речей з точки зору їх найкращого використання, а вироблюваної продукції- шляхом оцінки витрат нації на придбання аналогічної продукції через відсутність вітчизняного проекту.

При проведенні економічного аналізу аналітики змушені коригувати фінансові показники, які значною мірою викривлюють реальну вартість товарів. Ці перекручення зумовлені відсутністю вільного конкурентного ринку, основною рисою якого є нескінченна множина товаровиробників, що продають стандартизований товар. Оскільки на ринку відсутні вхідні бар'єри і всі учасники мають рівний доступ до ресурсів, у тому числі й інформаційних, на ринку формується ціна, яка в довгостроковому періоді дорівнює мінімальним середнім витратам виробництва.

Отже, зважаючи на те, що кількість справді конкурентних ринків незначна, аналітики реально стикаються з ситуаціями, коли ціноутворення не відображає дійсної вартості товару. На сучасному ринку ціни викривлені внаслідок неконкурентних обмежень, відсутності контролю над цінами, податками, субсидіями, квотами. Тому інвестиційні обмеження, що приймаються на основі викривлених цін, не завжди відповідають оптимальному вибору проекту, який має найвищу економічну ефективність.

Існування в економіці значних відмінностей між цінами ринкових угод і витратами на виробництво продукції свідчить про відсутність вільної конкуренції на ринку, а також про значне державне регулювання економічного розвитку країни. Цінові перекоси можуть виникати внаслідок проведення державної політики, спрямованої на підтримання розвитку певного сектора економіки, безпеки окремих виробництв, доступності деяких товарів для певних категорій споживачів, мінімізацію несприятливих соціальних наслідків деяких проектів, зміну структури і географії розвитку галузей, збільшення надходжень до державного бюджету, захист вітчизняних виробників та інші цілі, які справляють вплив на цінову політику фірм.

Викривлення ринкових цін може відбуватися внаслідок трансфертних платежів.

Трансфертними називають платежі, які не супроводжуються створенням чи рухом багатства у суспільстві.

До трансфертів належать субсидії, дотації, податки, акцизні збори. У фінансовому аналізі всі трансферти включаються до ринкових цін, оскільки їх одержує або виплачує приватний інвестор. Податки, сплачувані фірмою, збільшують витрати, а субсидії сприяють зростанню доходів.

При економічному аналізі трансфертні платежі не враховуються як з погляду витрат, так і вигід, одержуваних споживачами в результаті оподаткування або субсидіювання. Аналітики розраховують повні витрати виробництва без викривлення їх компенсації дотаціями чи податками. Скажімо, податковий тягар збільшує ціну (з Р до Р1), яку підприємець визначив би самостійно. Запровадження такого податку неминуче спричинить зниження обсягів попиту (з Q до Q2) (рис. 3).

Рис. 3. Зміна ціни на продукцію

В економічному аналізі для визначення економічної вартості товарів необхідно використовувати повні витрати виробництва. Для їх розрахунку ринкові компенсації віднімаються, а дотації додаються, оскільки суспільство реально має оплачувати ці повні витрати, щоб виробити те чи інше благо.

Для оцінки суспільної цінності ресурсу необхідно визначити тіньові ціни, які відображають суспільну вартість продукту у грошових одиницях. Існує кілька підходів до визначення тіньових цін:

на основі визначення витрат, необхідних для вилучення цього ресурсу з інших галузей або збільшення виробництва;

з огляду на імпортні аналоги, на основі світової ціни, вираженої в національній валюті;

за величиною альтернативної вартості ресурсів, витрачених на виробництво даного продукту.

Перший підхід передбачає оцінку граничних (маржинальних) витрат виробництва необхідного ресурсу, які відображають необхідні видатки виробника при виробництві додаткової одиниці продукції. При недозавантажених потужностях граничні витрати менші, ніж собівартість одиниці продукції, що робить випуск додаткових обсягів вигідним як для підприємств, так і для суспільства в цілому. Якщо ж економічна система збалансована, то залучення до виробництва нових ресурсів вимагає великих витрат і граничні витрати починають перевищувати собівартість продукції. Наприклад, проект будівництва нової гілки метрополітену вимагає нових поставок залізобетонних блоків, вартість яких необхідно виміряти, виходячи з витрат на виробництво додаткової кількості однієї одиниці залізобетонного блока (граничної вартості). Якщо завод, який випускає блоки, працює в оптимальному режимі (виробнича потужність відповідає обсягам виробництва, що мінімізує витрати на одиницю продукції), то збільшення виробництва спричиняє зростанню собівартості одиниці продукції для всього обсягу продукції, вироблюваної на підприємстві.

Досить часто в практиці економічного аналізу використовують тіньові ціни світового ринку. Це пояснюється двома причинами. По-перше, більшість світових ринків вважаються вільними і конкурентними, тож ціна, яка на них встановлюється, є реальним відображенням вартості. По-друге, найкращим альтернативним використанням конкурентоспроможних товарів, матеріалів і продукції часто є поставки на зовнішній ринок, тобто експорт або обіг аналогічних товарів за вартістю імпорту. На перший погляд, визначення тіньової ціни на основі еквівалента світової, розрахованого в одиницях місцевої валюти, не створює проблем. Однак аналітик проекту повинен визначити:

чи відображає існуючий валютний курс справжню цінність місцевої валюти;

як встановити еквівалент світової ціни для експортних та імпортних товарів;

чи можна оцінити всі компоненти проекту за світовими цінами, а якщо ні, то якою має бути методика обґрунтування їх економічної вартості.

Практика економічного аналізу свідчить, що значна кількість як промислово розвинених, так і країн, що розвиваються, мають завищену або занижену цінність національної валюти. Причинами таких викривлень можуть бути свідомі дії урядів цих країн: встановлення обмежень при продажу і купівлі валюти в країні, фіксованого обмінного курсу, валютних коридорів. У результаті реальна економічна вартість імпорту в місцевій валюті або експорту в доларовому еквіваленті не відображають фактичних суспільних витрат.

Товари, не залучені до зовнішньоторговельного обігу, - це ті товари, імпорт та експорт яких економічно недоцільний (через великі транспортні витрати або властивості, що мають схильність до швидкого псування) або для яких існують обмеження ввезення і вивозу з боку держави, а також вартість яких менша за ціну CIF і більша за ціну FOB. Наприклад, держава захищає вітчизняних виробників шляхом заборони імпорту насосів. Проте вітчизняні насоси можуть бути не тільки менш продуктивними й надійними, а й мати вищу собівартість виробництва. Зрозуміло, що вітчизняні насоси повинні бути віднесені до незалучених до зовнішньоторговельного обігу товарів, оскільки не є конкурентоспроможними на світовому ринку, а їхня економічна вартість повинна оцінюватися за внутрішньою ринковою ціною, хоча вона й перевищує ціни імпортних аналогів.

Таким чином, якщо всі компоненти проекту належать до залучених до зовнішньоторговельного обігу товарів і державних обмежень чи квотування, коли рівень чистого імпорту товару не справляє негативного впливу на стан економіки, тоді всі витрати й вигоди від проекту слід виражати в цінах, які відображають їх світову ціну. Це можна зробити за допомогою перевідних коефіцієнтів. У таких випадках не потрібна жодна поправка на ринковий валютний курс: світові ціни, виражені в одиницях іноземної валюти, по вхідних і вихідних позиціях проекту зіставляються і перетворюються на внутрішні ціни з використанням одного й того ж валютного курсу.

Якщо до аналізу вводяться товари, не залучені до зовнішньоторговельного обігу, потрібне застосування тіньового валютного курсу для перетворення фінансової цінності товарів, залучених до зовнішньо-торговельного обігу у цінах світового ринку, на економічні величини через рівень незалучених до зовнішньоторговельного обігу товарів.

Усі вищезгадані методичні підходи для встановлення тіньових цін мали в основі при визначенні економічної вартості даних товарів і ресурсів світові ціни на них або їх аналоги. Однак існують ресурси, для яких немає світової ціни, - земля, робоча сила, різноманітні послуги. До них застосовують третій спосіб визначення тіньової ціни - визнання їх альтернативної вартості.

При проведенні економічного аналізу оцінку землі можна здійснити за такими методами:

виходячи з витрат на придбання землі або прав на її використання. Головна проблема оцінки цих витрат полягає у відсутності ринку землі та її вільного продажу. У таких випадках аналітики використовують як орієнтир економічної вартості величину орендної плати на аналогічні земельні ділянки;

з огляду на вартість сільськогосподарської продукції, яку можна було б виробити на цій земельній ділянці.

Якщо йдеться про невикористовувані землі, що виділяються, скажімо, під проект переселення, то «без проекту» земля взагалі не даватиме жодної економічної віддачі, чиста вартість «втраченої» продукції дорівнюватиме нулю, а в економічних характеристиках взагалі не зазначатиметься ціна землі.

В інших випадках необхідно безпосередньо розрахувати чисту вартість «втраченої» продукції при передачі землі в користування проекту. Найпростіший підхід - визначення можливого доходу, розрахованого з огляду на очікуваний урожай і з урахуванням ринкових цін на нього за мінусом необхідних витрат на його виробництво. Одержана величина - віддача землі при виробництві - може бути альтернативною вартістю у фінансовому виразі. Цей набір розрахунків потім можливо переводити в економічні величини, використовуючи економічні значення для кожного витраченого компонента на вході проекту та кожного результату на його виході [3].

За відсутності вільного продажу земельних ділянок в Україні та ринкового визначення рентного процента треба знайти той найкращий з можливих способів використання землі, що приносила б найвищий дохід. Можливими варіантами використання земельних угідь є:

сільськогосподарська діяльність;

забудова промисловими спорудами та жилими будинками;

готельне господарство.

Ці альтернативи порівнюються з погляду величини граничного продукту, який можуть одержати власники землі, вирощуючи на цій ділянці цукровий буряк, або величини орендної плати при здачі квартир, якщо цю ділянку передано під будівництво житла.

Проблеми оцінки альтернативної вартості праці фокусуються на необхідності розрахунку граничної дохідності (вартість додаткової одиниці продукції, створеної працівником). За умов досконалої конкуренції вартість граничного продукту дорівнює заробітку працівника. Проте сучасні ринки праці не є досконалими. В Україні це значною мірою пов'язано з обмеженою ротацією населення - як географічною, так і професійно-кваліфікаційною.

Головною помилкою в оцінці економічної цінності робочої сили є орієнтація на існуючий рівень оплати праці. Наприклад, за існування дефіциту кваліфікованої робочої сили для здійснення проекту доведеться підвищити рівень оплати праці нових робітників, що збільшить витрати проекту порівняно з фактичним рівнем.

Розглянемо можливий підхід до визначення альтернативної вартості робочої сили при реалізації проекту, метою якого є будівництво іригаційної системи в районі культивації рису. Після здійснення проекту виникне можливість збору другого врожаю. До витрат проекту, крім витрат на будівництво іригаційної системи, слід віднести втрачений заробіток сільськогосподарських працівників, який вони одержували як будівельники в період посухи в ситуації «будівельного проекту». Досвід проведення економічного аналізу проекту показав, що альтернативну вартість робочої сили визначають за продуктивністю праці сільськогосподарських працівників. Цей підхід не викликає сумнівів при оцінці сільськогоспо-дарських продуктів. Проте при відборі проектів, що реалізуються в інших секторах, цей метод виходить зі створення додаткової вартості в результаті наймання додаткового працівника з сільськогосподарського району.

Таким чином, для оцінки в проекті економічної вартості таких ресурсів, як земля і робоча сила, виходять з можливого доходу, що очікується при використанні цього ресурсу найкращим з можливих способів.

.7 Сутність та розходження традиційної схеми визначення критеріїв ефективності та схеми власного капіталу

Розрахунок ефективності інвестиційного проекту виробляємо за допомогою двох розрахункових схем.Традиційна схема розрахунку показників ефективності:

Визначення інвестиційних потреб проекту в основних і оборотних коштах.

·        Складання таблиці джерел фінансування.

·        Прогноз чистого прибутку і грошових потоків.

·        Оцінка ефективності інвестиційного проекту шляхом зіставлення прогнозованих грошових потоків з обсягом інвестицій

При цьому дана схема має такі особливості

В якості показника дисконту при оцінці NPV проекту використовується середньозважена вартість капіталу (WACC) проекту;

У процесі прийняття рішення на основі IRR-методу значення внутрішньої норми прибутковості проекту порівнюється з WACC;

При прогнозі грошових потоків не враховуються процентні платежі та погашення основної частини боргу [2].

У якості інвестицій приймається вся сума інвестицій по проекту.

2. РОЗРАХУНКОВА ЧАСТИНА

2.1 Характеристика інвестиційного проекту

Таблиця 2.1 Інвестиційні потреби і їх структура

Інвестиційні потреби

%

Сума (млн. грн.)

Вкладення в основні кошти

50,00%

32,5

у тому числі:



Будівництво й реконструкція

24,00%

7,8

Устаткування й механізми

53,00%

17,225

Установка й налагодження устаткування

13,00%

4,225

Ліцензії й технології

6,00%

1,95

Проектні роботи

3,00%

0,975

Навчання персоналу

1,00%

0,325

Вкладення і оборотні кошти

50,00%

32,5

Загальний обсяг інвестицій

100,00%

65


Таблиця 1.1 відображає структуру інвестиційних потреб. Вона була заповнена за допомогою вихідних даних: загальний обсяг інвестицій дорівнює 65 млн. грн., а кладення в основні кошти дорівнює 50% від інвестицій. На основі цих даних були підраховані інші показники, такі як, вкладення в оборотні кошти 100%-50%=50% або 32.5 млн. грн.

2.2 Потреба в інвестиціях, їхня структура, джерела фінансування, визначення вартості капіталу

Таблиця 2.2 Джерела функціонування та їхня частка

Спосіб фінансування

Частка

Сума

Вартість капіталу, %


Власний капітал

50%

32,5

33%


Позиковий капітал

50%

32,5

27%


Всього

100%

65

WACC=

27,165%


За даними цієї таблиці ми розрахуємо середньозважену вартість авансового капіталу - WACC = Ks * Ws + Kd * ( 1 - T), де:

Ks - вартість власного капіталу (%);

Ws - частка власного капіталу (%);

Kd - вартість позикового капіталу (%);

T - ставка податку на прибуток (%). Зараз вона складає 21%.

WACC = 0,33*0,5+0,27*0,5*(1-0,21)= 27,165%

Показник WACC використовується при оцінці необхідності інвестування в різні цінні папери, проекти і дисконтуванні очікуваних доходів від інвестицій і вимірі вартості капіталу компанії.

2.3 Побудова графіків обслуговування боргу

Таблиця 2.3 Графік обслуговування боргу

Рік

1

2

3

4

5

6

Початковий баланс

32,500

29,754

26,267

21,839

16,214

9,071

Річна виплата

11,521

11,521

11,521

11,521

11,521

11,521

Відсотки

8,775

8,034

7,092

5,896

4,378

2,449

Основна частина

2,746

3,487

4,429

5,624

7,143

9,071

Кінцевий баланс

29,754

26,267

21,839

16,214

9,071

0,000


Щоб розрахувати графік обслуговування боргу необхідно спочатку розрахувати показник РМТ - величину річної виплати. У даній курсовій роботі ми приймаємо, що кредит обслуговується за амортизаційною схемою при річній виплаті. Це свідчить про те, що підприємство щороку зобов'язане виплачувати ту саму суму грошей, що складається зі сплати відсотків і погашення основної частини боргу.

Підрахувати річну виплату можна за допомогою функції Excel ПЛТ () або за формулою

РМТ = (2.1), РМТ = 11,521

де ПЗ - позиковий капітал (32,500 млн. грн.);

rпз - вартість кредиту (27%);

n - термін кредиту (6 років).

Річна виплата буде однаковою у всіх роках, і буде дорівнювати 6,964 млн. грн.

Початковий баланс у першому році буде дорівнювати позиковому капіталу, а в подальшому - кінцевому балансу попереднього року.

Відсотки нараховуються за такою формулою:

 = rпз * Бпоч , (2.2)

де V - відсотки;

rпз - вартість кредиту;

Бпоч - початковий баланс.

Основна частина розраховується як різниця між річною виплатою і відсотками.

А кінцевий баланс - різниця між початковим і основною частиною.

2.4 Прогноз прибутку й грошових потоків

Таблиця 2.4 Прогноз прибутку

Рік

1

2

3

4

5

6

Виторг

235,04

244,4416

254,2193

264,38803

274,9636

285,9621

Змінні витрати

173,9296

180,8868

188,1223

195,64715

203,473

211,612

Постійні витрати без амортизації

45,453

45,453

45,453

45,453

45,453

45,453

EBDIT

56,2354

58,67982

61,22201

63,865889

66,61552

69,47515

Амортизація

4,875

4,875

4,875

4,875

4,875

4,875

EBIT

18,33312

30,39682

32,93901

35,582889

38,33252

41,19215

Процентні платежі

8,775

8,034

7,092

5,896

4,378

2,449

EBT

9,558

22,363

25,847

29,686

33,955

38,743

Податок на прибуток

2,007205

4,696264

5,427842

6,2341575

7,130479

8,136

Чистий прибуток

7,551

17,667

20,419

23,452

26,824

30,607

Виплата дивідендів

0,528564

1,236683

1,429332

1,6416615

1,877693

2,14248

Прибутковість продажів

7,8

12, 4352

12, 9569

13, 45859

13, 9409

14, 4048


В Таблиці 2. 4. розраховуються наступні показники:

) Виторг - за перший рік цей показник є в вихідних даних. А у наступні роки він розрахується як виторг помножений на річний темп доходу.

) Змінні витрати беруться як частина виторгу, що задана в умові.
3) Постійні витрати без амортизації розраховуються ,як різниця між постійними витратами та амортизацією. У даній роботі ми постійні витрати приймаємо як незмінні.

) EBDIT- прибуток до податків, амортизації та відсотків. Він розраховується, як виручка мінус змінні мінус постійні без амортизації . У наступних роках аналогічно.

) Амортизація - розраховується лінійним способом. Тобто вона буде однакова в усіх роках діючого проекту. Щоб розрахувати амортизацію треба інвестиції в основні кошти(вихідні дані )помножити на різницю одиниці та відсотка залишкової вартості(вихідні дані),та все це розділити на кількість років проекту.

) EBIT- це прибуток до податків та відсотків. В перший рік розраховується як виторг помножений на прибутковість продажів в перший рік. У наступні роки він розраховуються, як різниця між виторгом, постійними та змінними витратами.

А = (Осн. кошти * (Одиниц. залишкової - Проценти залиш. вартості))/кількість років [2.3]

7)Процентні платежі беремо з таблиці 2. 3. з рядку «Відсотки».

) EBT- прибуток до податків. Визначається як різниця між EBIT та процентним платежами.

) Податок на прибуток - береться 21% від EBT

)Чистий прибуток визначається різниця між ЕВТ та податком на прибуток.

) Виплата дивідендів розраховується наступним чином :беремо чистий прибуток та помножаємо на коефіцієнт виплати дивідендів(вихідні данні).

) Прибутковість продажів на перший рік є в вихідних даних а на наступні роки розраховуємо як ЕВІТ ділене на виторг.

Таблиця 2.5 Прогноз грошових потоків.

Показники

1

2

3

4

5

6

Чистий прибуток

7,551

17,667

20,419

23,452

26,824

30,607

Добавки:амортизація

4,875

4,875

4,875

4,875

4,875

4,875

Вивільнення робочого капіталу






32,5

Залишкова вартість устаткування






3,25

Мінус виплата основної частини

2,746

3,487

4,429

5,624

7,143

9,071

Чисті грошові потоки

9,680

19,055

20,865

22,703

24,556

62,160


Для розрахунку таблиці 2.5. Ми беремо чистий прибуток з таблиці 2.4.Таким же чином заповнюємо рядок амортизація .Його Ми розрахували раніше , тож переписуємо його з таблиці 2.4.

Вивільнення робочого капіталу розраховується, у останній 6-й рік,і воно дорівнює інвестиціям в оборотні кошти.

А залишкова вартість устаткування дорівнює інвестиціям у основні кошти помножене на залишкову вартість основних засобів( вихідні данні).

Виплата основної частини переносимо з таблиці 2.3.Графік обслуговування боргу.

Розрахувавши вище перераховані показники можна розрахувати чисті грошові потоки (СF).

=ЧП+Д-ВОЧ (2.4)

де CF- чисті грошові потоки;

Д - добавки;

ВОЧ- виплата основної частини.

Для ухвалення рішення про доцільність реалізації проекту необхідно визначити показники його ефективності з рахуванням вартості грошей у часі. У даній курсовій роботі для оцінки ефективності проекту розраховуються:

·        чисте сучасне значення інвестиційного проекту( NPV);

·        внутрішня норма прибутковості (рентабельності) (IRR);

·        дисконтований період окупності (DPB).

.        Розрахунок показника NPV проводиться за формулою:

=-IE+CF1/(1+r)^1+ CF2/(1+r)^2+ …+CFn/(1+r)^n, (2.5)

Де IE - обсяг власних інвестицій;

CF1,2,n - грошові потоки, які входят до складу останнього рядка таблиці 2.5.є дисконтною цінністю проекту (поточною вартістю доходів або вигод від зроблених інвестицій), показником абсолютної ефективності інвестицій і дорівнює різниці між майбутньою вартістю потоку очікуваних вигод та поточною вартістю нинішніх і наступних витрат проекту протягом усього його циклу.

NPV= (7,278+10,766+8,888+7,242+5,893+11,250) -32,500 =18,817млн.грн.

IRR =27%

IRR -це процентна ставка, при якій чистий дисконтований дохід (NPV) дорівнює 0. NPV розраховується на підставі потоку платежів , дисконтованого до сьогоднішнього дня.

Таблиця 2.6 Розрахунок дисконтованого періоду окупності інвестицій.

Рік

0

1

2

3

4

5

6

Інвестиції

-32.5

-

-

-

-

-

-

Чистий грошовий потік

-

9,680

19,055

20,865

22,703

24,556

62,160

Множник дисконтування

1

0,7519

0,565

0,426

0,319

0,240

0,181

Дисконтований грошовий потік

-

7,278

10,766

8,888

7,242

5,893

11,250

Акумульований дисконтований грошовий потік

-

-25,222

-14,456

-5,568

-1,674

4,219

15,469

DPB= 4+(1,674/5,893) = 4,284

Це свідчить про те що період окупності 4,3 роки.

Щоб розрахувати показник DPB треба взяти кількість від'емних років додати останній від'емний акумульований дисконтований грошовий потік розділений на перший позитивний дисконтований грошовий потік. Таким чином я розрахував цей показник.

ВИСНОВКИ ТА ПРОПОЗИЦІЇ

Економічний аналіз проекту проводиться з метою встановлення його національної привабливості, оцінки економічної ефективності на підставі альтернативної вартості ресурсів, які використовуються у проекті, і продукції проекту та визначення можливості сприяння проекту національному добробуту країни.

Визначення економічної привабливості проекту пов'язане з оцінкою його з точки зору можливості досягнення певних економічних цілей розвитку країни. Оцінка економічної ефективності проекту проводиться з метою встановлення результативності використання ресурсів суспільства в межах проекту.

Для визначення економічної цінності проекту використовують поняття альтернативної вартості, тіньових цін, невідчутних вигід і витрат, трансфертних платежів, споживчого надлишку та екстерналій. З'ясування економічної цінності проекту надає можливості оцінити, наскільки позитивні результати (вигоди) перевищують його негативні наслідки (втрати) для суспільства, якою буде величина виграшу нації в разі реалізації проекту.

Під час проведення економічного аналізу належить коригувати фінансові показники, які значною мірою викривляють реальну вартість товарів. Для цього необхідно уникнути впливу трансфертних платежів на формування вартості ресурсів проекту.

У роботі було розглянуто інвестиційний проект та здійснено його оцінка з використанням розрахункової традиційної схеми розрахунків.

Отримані в результаті проведених обчислень результати наступні. NPV = 35,77159> 0, DPP = 3,0828> 5 (термін інвестиційного проекту), IRR = 27%> 18% (зважена вартість капіталу). Очевидно, що отримані дані свідчать про доцільність даного проекту, тобто говорять про те, що даний проект варто прийняти в розробку, він є прибутковим і принесе інвесторам примноження вкладеного капіталу.

ЛІТЕРАТУРА

1. Бланк И.А. Инвестиционный менеджмент. - Киев, МП «ИТЕМ» ЛТД, 1995-448 с.

2. Верба В.А., Загородніх О.А. Проектний аналіз: Підручник. - К.: КНЕУ, 2000. - 322 с.

3. Волков И.М., Грачева М.В. Проектный анализ: Учебник для вузов. - Банки и биржи, ЮНИТИ, 1998. - 423 с.

4. Пересада А.А. Інвестиційний процес в україні К., “Лібра” ТОВ,1998, 392с.

5. Мелкумов Я.С. Экономическая оценка эффективности инвестиций и финансирования инвестиционных проектов.- М.: ИКРЦ «Диск», 1997.-160с.

ДОДАТОК 1

Варіант завдання

Тривалість проекту (роки)

Обсяг інвестицій (млн. грн.)

Інвестиції в основні фонди

Частка власного капіталу

Вартість власного капіталу

Вартість позикового капіталу

Доход в перший рік (млн. грн.)

Річний темп росту доходу

Прибутковість продажу в перший рік

Частка змінних витрат в ціна

Залишкова вартість основних засобів

Коефіцієнт витрати дивідендів

20

6

65

50%

50%

33%

27

235.04

4%

7,80%

74%

10%

7


Похожие работы на - Аналіз ефективності інвестиційного проекту

 

Не нашли материал для своей работы?
Поможем написать уникальную работу
Без плагиата!
Без нейросетей!