Решение системы уравнений

  • Вид работы:
    Контрольная работа
  • Предмет:
    Математика
  • Язык:
    Русский
    ,
    Формат файла:
    MS Word
    106,48 Кб
  • Опубликовано:
    2014-02-19
Вы можете узнать стоимость помощи в написании студенческой работы.
Помощь в написании работы, которую точно примут!

Решение системы уравнений

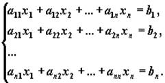
1. Решение системы уравнений методом Гаусса и с помощью встроенной функции


Задание: Решить систему уравнений методом Гаусса и с помощью встроенной функции: описать теоретический материал соответствующего метода решения, алгоритм применения данного метода для решения системы уравнений, сделать проверку правильности решения

Условие системы уравнений


1.1 Решение системы уравнений методом Гаусса


Метод Гаусса - классический метод решения системы линейных алгебраических уравнений (СЛАУ). Это метод последовательного исключения переменных, когда с помощью элементарных преобразований система уравнений приводится к равносильной системе треугольного вида, из которой последовательно находятся все переменные системы.

Матрица А называется основной матрицей системы, В-столбцом свободных членов.

Достоинства метода:

для матриц ограниченного размера менее трудоёмкий по сравнению с другими методами;

позволяет однозначно установить, совместна система или нет, и если совместна, найти её решение;

позволяет найти максимальное число линейно независимых уравнений - ранг матрицы системы.

Метод Гаусса применим для решения системы линейных алгебраических уравнений c невырожденной матрицей системы. Идея метода Гаусса состоит в том, что систему n линейных алгебраических уравнений относительно n неизвестных x1, x2,…, xn


приводят последовательным исключением неизвестных к эквивалентной системе с треугольной матрицей


решение, которой находят по рекуррентным формулам:

xn =dn, xi = di - S nk=i+1cikxk, i=n-1, n-2,…, 1.

Матричная запись метода Гаусса.

Прямой ход метода Гаусса: приведение расширенной матрицы системы

 к ступенчатому виду


с помощью элементарных операций над строками матрицы (под элементарными операциями понимаются следующие операции:

         перестановка строк;

         умножение строки на число, отличное от нуля;

         сложение строки матрицы с другой строкой, умноженной на отличное от нуля число).

Составим матрицу системы и векторов свободных членов с помощью соответствующей пиктограммы на панели «Матрица»:


Производим слияние матриц с помощью функции augment:


Приводим полученную матрицу к ступенчатому виду функцией rref:


Та часть матрицы, полученная в результате вышеуказанных преобразований, в которой ранее находился вектор правых частей, даёт нам вектор неизвестных.

Выделим нужную часть матрицы с помощью оператора SUBMATRIX и получим ответ:


Проведём проверку:


Полученный результат сходится с правой частью, значит система уравнений решена верно.

1.2 Решение систему уравнений с использованием встроенной функции


Для решения систем линейных алгебраических уравнений в программе «MathCad» имеется встроенная функция «lsolve». Рассмотрим решение СЛАУ с её помощью.

Составим матрицу системы:


Выполняем функцию lsolve (Вставка - Функция - lsolve) и получаем ответ:

 


2. Решение системы уравнений матричным методом и с помощью вычислительного блока Given/Find


Задание: Решить систему уравнений матричным методом и с помощью вычислительного блока Given и функции Find. Описать теоретический материал соответствующего метода решения, алгоритм применения данного метода, сделать проверку правильности решения.

Условие системы уравнений:

 

.1 Решение системы уравнений матричным методом


Матричный метод решения (метод решения через обратную матрицу) систем линейных алгебраических уравнений с ненулевым определителем состоит в следующем.

Пусть дана система линейных уравнений с n неизвестными (над произвольным полем):


Тогда её можно переписать в матричной форме AX=B, где А - основная матрица системы, В и Х - столбцы свободных членов и решений системы соответственно:


Умножим это матричное уравнение слева на А-1 - матрицу, обратную к матрице А: А-1(АХ) = А-1В.

Так как А-1А = Е, получаем Х = А-1 В. Правая часть этого уравнения даст столбец решений исходной системы. Условием применимости данного метода (как и вообще существования решения неоднородной системы линейных уравнений с числом уравнений, равным числу неизвестных) является невырожденность матрицы A. Необходимым и достаточным условием этого является неравенство нулю определителя матрицы A, det ≠0.

Для однородной системы линейных уравнений, то есть когда вектор В=0, действительно обратное правило: система АХ=0 имеет нетривиальное (то есть ненулевое) решение только если det А=0. Такая связь между решениями однородных и неоднородных систем линейных уравнений носит название альтернативы Фредгольма.

Составим матрицу системы:


Перед нахождением обратной матрицы находим определитель, если он равен нулю, то обратной матрицы не существует:


Получаем решение матрицы:


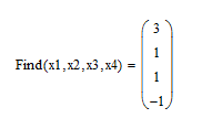
2.2 Решение системы с помощью блока Given/Find


Решающий блок Given - Find можно применять для решения систем нелинейных уравнений, как в численном, так и в символьном виде. Для численного решения с помощью решающего блока нужно задать начальные значения для неизвестных величин и заключить уравнения в ключевые слова, начинающиеся со слова Given и заканчивающиеся словом Find (var1, var2,…) со знаком =. Для символьного решения системы не надо вводить начальные значения, а вместо знака равно, поставить знак символьного равенства.

Задаём начальные приближённые значения для всех неизвестных, входящих в систему:


Открываем блок Given и записываем уравнения:


С помощью функции Find получает результат:



3. Нахождение производных функций


Задание: Найти производные данных функций.

) Дана функция у, равная:


Введём её в рабочую область программы и отметим курсором переменную х, по которой производится дифференцирование. Затем выполним команды меню: Символьные операции - Переменная - Дифференцировать. В результате получим производную:


) Дана функция у, равная:


Вычислим производную с помощью оператора дифференцирования. Для этого необходимо нажать знак «производная» на панели «математический анализ», затем символьный знак равенства и щёлкнуть левой кнопкой мыши в любом свободном месте документа. На экране появится результат вычисления. Производная исходной функции равна:


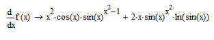
3) Дана функция у, равная:


С помощью данного выражения зададим переменную f(x):


Далее вычислим производную с помощью пиктограммы на панели «математический анализ»:


Преимущество данного способа вычисления производной заключается в автоматическом обновлении результата при изменении исходного выражения.

4. Полное исследование функции и построение её графика


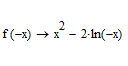
Задание: Провести полное исследование функции f(x)= x2 - 2*ln(x) и построить её график.

Исследование функции начинают с поиска области определения. Под областью определения понимается множество всех значений аргумента, при которых функция определена, то есть может быть вычислена. Особое внимание следует обратить на логарифмы, входящие в выражение. Если функция содержит логарифм, то на область определения накладываются ограничения исходя из неравенств:


Далее исследуем общие свойства функции: чётность; нечётность; периодичность. Функция f(x) называется чётной, если f(-x)=f(x). График чётной функции симметричен относительно оси ординат. Функция называется нечётной, если f(-x)=-f(x). График функции симметричен относительно начала координат (центральная симметрия). Если функция ни чётная, ни нечётная, то говорят, что функция имеет график общего положения.

Находим точки пересечения графика функции с осями координат.

Абсцисса пересечения с осью OX ищется исходя из уравнения y=f(x)=0. Ордината пересечение с осью OY ищется подстановкой значения в выражение функции y=f(x). Если пересечение с осью OX найти не удаётся, то обходятся без него. Обычно поиск пересечения с осью OY не представляет труда.

Исследуется непрерывность функции, находятся точки разрыва. Функция f(x) называется непрерывной в точке x0, если она определена в этой точке и существует предел, который равен значению функции.

Функция называется непрерывной на промежутке (отрезке), если она непрерывна в каждой точке этого промежутка (отрезка). Точка x0 является точкой разрыва функции, если функция определена и непрерывна в окрестности точки x0, а в самой точке не является непрерывной (хотя может быть определённой). В этом случае говорят, что функция терпит разрыв в точке x0.

Aсимптоты графика функции.

Прямая называется асимптотой графика функции, если расстояние от точек графика до этой прямой стремится к нулю при бесконечном удалении от начала координат вдоль графика функции. Асимптоты бывают вертикаль-ные, наклонные и горизонтальные. Вертикальные асимптоты ищутся по точкам разрыва второго рода. Если в точке x0 функция терпит бесконечный разрыв, то вертикальная прямая x= x0 является вертикальной асимптотой. График функции имеет наклонную асимптоту при x→+∞ (соответственно при x→-∞), если существуют конечные пределы . При этом уравнение наклонной асимптоты y=kx+b. Если хотя бы один из двух пределов не существует (или бесконечен), то соответствующей наклонной асимптоты нет.

Критические точки и интервалы монотонности.

Функция y=f(x) имеет максимум в точке x0, если её значение в этой точке больше, чем её значения во всех точках некоторой окрестности, содержащей точку x0. Функция y=f(x) имеет минимум в точке x0, если её значение в этой точке меньше, чем её значения во всех точках некоторой окрестности, содержащей точку x0. Для определения критических точек находим производную по соответствующим правилам и используя таблицу производных. В критических точках производная равна нулю или не существует. Определяем знак производной в интервалах между критическими точками. Если на некотором интервале производная положительна, то функция возрастает. Если производная отрицательна, то на данном интервале функция убывает.

Tочки перегиба и интервалы выпуклости.

Для определения точек перегиба находят вторую производную. В точке перегиба вторая производная равна нулю или не существует. По знаку второй производной в интервалах между точками перегиба определяют направление выпуклости графика функции. Если вторая производная положительна, то график функции выпуклый вниз. Если вторая производная отрицательная, то график функции выпуклый вверх.

На основании проведённого исследования строим график.

Проверим функцию на чётность / нечётность:

уравнение производный гаусс система

Из этого делаем вывод, что данная функция ни чётная, ни нечётная или общего вида.

Область определения задана на промежутке

График функции имеет вид:


- Точек разрыва нет.

Точки пересечения с осями X и Y:


Значит, график функции не пересекает оси координат.

         Интервалы монотонности и точки экстремума функции:



Значение х=-1 не входит в область определения. Точка с координатами (1; 1) будет являться точкой минимального значения функции, так как выполняется условие f(x) ≥ f(x0). Функция убывает на промежутке (0; 1), возрастает на промежутке (1;+∞).

Выпуклость и вогнутость функции:



Решений нет, оси не пересекает. Функция вогнута.

Асимптоты:

Т.к. функция логарифмическая, то она имеет вертикальную асимптоту, совпадающую с осью ОУ.

Уравнение наклонных асимптот ищут в виде у=kх+b. Находим коэффициент k:


Поскольку k=∞, то наклонных асимптот не существует.

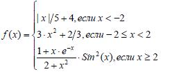
5. Построение графика функции


Задание: Построить график функции на промежутке [-10; 10] с шагом 0,5. Функция задана выражением:


Зададим область определения функции на оси х:


С помощью встроенной функции «if» (Вставка - Функция) зададим выражение:


Затем, в меню программы выбираем последовательно команды: Вставка - График - График Х-У, получаем график функции на заданном интервале:

 

6. Построение графика функции на заданном промежутке и нахождение корней уравнения


Задание: Построить график функции f(x) на заданном промежутке с шагом 0,1 и найти корни уравнения.

Зададим функцию и промежуток, на котором будем искать её значения:


Зададим точность функцией TOL:


Построим график данной функции: Вставка - График - График Х-У:


Так как данное выражение является многочленом n-ой степени, то для его решения применим функцию «polyroots». Запишем коэффициенты поли-нома в вектор, начиная с коэффициента, стоящего у неизвестного низшей степени:


Выполнив последовательно команды меню Вставка - Функция, выбираем функцию «polyroots»:


Значения, полученные в скобках, являются корнями уравнения.

 


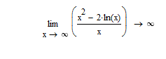
7. Нахождение пределов


Задание: Найти пределы данных выражений

Для нахождения пределов воспользуемся кнопкой «Двухсторонний предел» на панели «Математический анализ». Затем зададим предел для переменной и выражение, предел которого вычисляем. После этого выделим всё выражение и нажмём значок символьного вычисления. Получим искомое значение предела:



8. Нахождение неопределенных и определённых интегралов


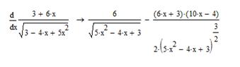
Задание: Найти неопределённый и определённый интегралы

Для нахождения неопределённого и определённого интегралов воспользуемся соответствующими операторами интегрирования, выбрав их на панели «Математический анализ». После ввода оператора интегрирования введём подынтегральную функцию и переменную интегрирования, затем выделим всё выражение и нажмём знак равенства (для неопределённого интеграла - символьного равенства). Получим ответ.

 


Литература


1 Шушкевич Г.Ч., Шушкевич С.В.: «Введение в MathCad», учебное пособие, издательство ГрГУ им Я. Купалы, Гр. - 2001 г.

Бугров Я.С. Никольский С.М.: «Высшая математика: Учебник для вузов», Дрофа-2004 г.

w

Похожие работы на - Решение системы уравнений

 

Не нашли материал для своей работы?
Поможем написать уникальную работу
Без плагиата!
Без нейросетей!