Определения вероятностей

  • Вид работы:
    Контрольная работа
  • Предмет:
    Математика
  • Язык:
    Русский
    ,
    Формат файла:
    MS Word
    295,04 Кб
  • Опубликовано:
    2013-12-17
Вы можете узнать стоимость помощи в написании студенческой работы.
Помощь в написании работы, которую точно примут!

Определения вероятностей















Определения вероятностей


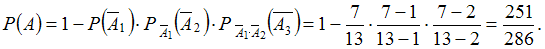
1. Банк выдает 40% всех кредитов юридическим лицам, а 60% - физическим лицам. Вероятность того, что юридическое лицо не погасит в срок кредит, равна 0,1; а для физического лица эта вероятность составляет 0,05. Получено сообщение о невозврате кредита. Тогда вероятность того, что этот кредит не погасило физическое лицо, равна…

,07

,05

Решение

Предварительно вычислим вероятность события A (выданный кредит не будет погашен в срок) по формуле полной вероятности: . Здесь  - вероятность того, что кредит был выдан юридическому лицу;  - вероятность того, что кредит был выдан физическому лицу;  - условная вероятность того, что кредит не будет погашен в срок, если он был выдан юридическому лицу;  - условная вероятность того, что кредит не будет погашен в срок, если он был выдан физическому лицу. Тогда

Теперь вычислим условную вероятность того, что этот кредит не погасило физическое лицо, по формуле Байеса:


2. Банк выдает 35% всех кредитов юридическим лицам, а 65% - физическим лицам. Вероятность того, что юридическое лицо не погасит в срок кредит, равна 0,15; а для физического лица эта вероятность составляет 0,1. Тогда вероятность непогашения в срок очередного кредита равна…

0,1175

,125

,8825

,1275

Решение

Для вычисления вероятности события A (выданный кредит не будет погашен в срок) применим формулу полной вероятности: . Здесь  - вероятность того, что кредит был выдан юридическому лицу;  - вероятность того, что кредит был выдан физическому лицу;  - условная вероятность того, что кредит не будет погашен в срок, если он был выдан юридическому лицу;  - условная вероятность того, что кредит не будет погашен в срок, если он был выдан физическому лицу. Тогда


3. В партии из 12 деталей имеется 5 бракованных. Наудачу отобраны три детали. Тогда вероятность того, что среди отобранных деталей нет годных, равна…

Решение

Для вычисления события  (среди отобранных деталей нет годных) воспользуемся формулой , где n - общее число возможных элементарных исходов испытания, а m - число элементарных исходов, благоприятствующих появлению события . В нашем случае общее число возможных элементарных исходов равно числу способов, которыми можно извлечь три детали из 12 имеющих, то есть . А общее число благоприятствующих исходов равно числу способов, которыми можно извлечь три бракованные детали из пяти, то есть . Следовательно,


4. В первой урне 3 черных шара и 7 белых шаров. Во второй урне 4 белых шара и 6 черных шаров. Из наудачу взятой урны вынули один шар, который оказался черным. Тогда вероятность того, что этот шар вынули из второй урны, равна…

Решение

Предварительно вычислим вероятность события A (вынутый наудачу шар - черный) по формуле полной вероятности: . Здесь  - вероятность того, что шар извлечен из первой урны;  - вероятность того, что шар извлечен из второй урны;  - условная вероятность того, что вынутый шар черный, если он извлечен из первой урны;  - условная вероятность того, что вынутый шар черный, если он извлечен из второй урны.

Тогда

Теперь вычислим условную вероятность того, что этот шар был извлечен из второй урны, по формуле Байеса:



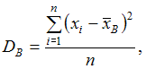
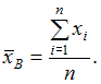
5. В результате измерений некоторой физической величины одним прибором (без систематических ошибок) получены следующие результаты (в мм): 15; 18; 21; 24. Тогда выборочная дисперсия равна…

11,25

,5

,25

Решение

Выборочная дисперсия вычисляется по формуле

где

Вычислив предварительно  получаем


6. В среднем 80% студентов группы сдают зачет с первого раза. Тогда вероятность того, что из 6 человек, сдававших зачет, с первого раза сдадут ровно 4 студента, равна…


Решение

Воспользуемся формулой Бернулли:

 где    

Тогда

. В урну, в которой лежат 6 белых и 5 черных шаров добавляют два черных шара. После этого наудачу по одному извлекают три шара без возвращения. Тогда вероятность того, что хотя бы один шар будет белым, равна…

Решение

Введем обозначения событий:  - -ый вынутый шар будет белым, A - хотя бы один шар будет белым. Тогда  где  - -ый вынутый шар не будет белым. Так как по условию задачи события ,  и  зависимы, то


8. В урну, в которой лежат 6 белых и 5 черных шаров добавляют два белых шара. После этого наудачу по одному извлекают три шара без возвращения. Тогда вероятность того, что все три шара будут белыми, равна…

Решение




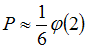
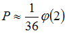
9. Вероятность выигрыша по одному лотерейному билету равна . Всего было куплено  билетов. Тогда вероятность того, что количество выигравших билетов будет заключено в пределах от  до , можно оценить с использованием неравенства Чебышева как…

Решение

Воспользуемся неравенством Чебышева вида:


где случайная величина  - количество выигравших билетов. Тогда ,  и

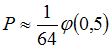
10. Вероятность выигрыша по одному лотерейному билету равна . Всего было куплено  билетов. Тогда вероятность того, что количество выигравших билетов будет заключено в пределах от 15 до 25, можно оценить с использованием неравенства Чебышева как…

вероятность дисперсия выборочный байес

Решение

Воспользуемся неравенством Чебышева вида:


где случайная величина  - количество выигравших билетов. Тогда ,  и


11. Вероятность изготовления бракованного изделия равна . Всего было изготовлено  изделий. Тогда вероятность того, что бракованных изделий окажется от  до , можно оценить с использованием неравенства Бернулли как…

Решение

Воспользуемся неравенством Бернулли вида:


где , , . Тогда


12. Вероятность изготовления бракованного изделия равна . Всего было изготовлено  изделий. Тогда вероятность того, что бракованных изделий окажется от  до , можно оценить с использованием неравенства Бернулли как…


Решение

Воспользуемся неравенством Бернулли вида:


где , , . Тогда

13. Вероятность поражения цели первым стрелком равна 0,95, а вторым - 0,80. Оба стрелка стреляют одновременно. Тогда вероятность того, что цель будет поражена только одним стрелком, равна…

0,23

,95

,875

,17

Решение

Введем обозначения событий:  (цель поражена первым стрелком),  (цель поражена вторым стрелком). Так как эти события независимы, то искомую вероятность  можно вычислить как:



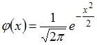
14. Вероятность появления некоторого события в каждом из  независимых испытаний постоянна и равна . Тогда вероятность того, что событие появится ровно  раз, следует вычислить по…

локальной формуле Лапласа

формуле полной вероятности

формуле Пуассона

интегральной формуле Лапласа

Решение

Для биномиального распределения вероятностей существует предельное (при ) распределение, и это распределение является асимптотически нормальным. Это означает, что при больших значениях числа испытаний  расчет по формуле Бернулли


становится практически невозможным.

Поэтому для вычисления таких вероятностей на практике используется локальная формула Лапласа

 где

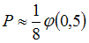
15. Вероятность появления некоторого события в каждом из  независимых испытаний постоянна и равна . Тогда вероятность того, что событие появится ровно  раза, следует вычислять как…

, где

, где

, где - функция Лапласа

, где  - функция Лапласа

Решение

Для биномиального распределения вероятностей существует предельное (при ) распределение, и это распределение является асимптотически нормальным. Это означает, что при больших значениях числа испытаний  расчет по формуле Бернулли


становится практически невозможным.

Поэтому для вычисления таких вероятностей на практике используется локальная формула Лапласа

 где  , , .


16. Вероятность появления некоторого события в каждом из  независимых испытаний постоянна и равна . Тогда вероятность того, что событие появится ровно  раза, следует вычислять как…

, где

, где

, где  - функция Лапласа

, где  - функция Лапласа

Решение

Для биномиального распределения вероятностей существует предельное (при ) распределение, и это распределение является асимптотически нормальным. Это означает, что при больших значениях числа испытаний  расчет по формуле Бернулли


становится практически невозможным.

Поэтому для вычисления таких вероятностей на практике используется локальная формула Лапласа

 где  , , .

Следовательно,

Похожие работы на - Определения вероятностей

 

Не нашли материал для своей работы?
Поможем написать уникальную работу
Без плагиата!
Без нейросетей!