Исследование задач на максимум и минимум
Оглавление
Введение
Теоретическая часть
Необходимое и достаточное условия
экстремума для классической задачи (КЗ) на условный экстремум. Регулярная и
нерегулярная задача (КЗ)
Практическая часть
Метод Ньютона решения задачи БМ.
Свойства его сходимости
Заключение
Список литературы
Введение
В математике исследование задач на максимум и минимум началось давно,
примерно 25 веков назад. Но только 300 лет назад были созданы первые общие
методы решения и исследования задач на экстремум.
Интенсивное развитие вариационного исчисления привело к созданию стройной
теории для определенного класса задач. Однако потребности практической жизни,
особенно в области экономики и техники, в последнее время выдвинули такие новые
задачи, которые в большинстве случаев не удавалось решать старыми методами.
Необходимость решения новых задач (в частности, космос, авиация и т.д.) привела
к созданию новой теории, получившей название теории оптимального управления.
Основы теории оптимального управления были заложены академиком Л.С. Понтрягиным
и группой его сотрудников в 50-60-е годы. В 1961 году вышла в свет первая
монография, в которой излагались математические основы неклассического
вариационного исчисления. Основным элементом в задаче Понтрягина выступает
ограничение на управляющие воздействия. Кроме того, Л.С. Понтрягин указал новую
форму необходимых условий экстремума.
Аппарат теории управления стал привычным и необходимым для теоретиков и
практиков. Достаточно перечислить некоторые монографии, чтобы оценить
практическое применение теории оптимального управления: "Ядерные реакторы
и принцип максимума Понтрягина", "Оптимальное управление нагревом
металла", "Оптимальное управление электромеханическими
устройствами" и т.д.
Параллельно с принципом максимума Понтрягина происходило дальнейшее
развитие классического вариационного исчисления для нового класса задач с
ограничением на управление и фазовые координаты.
В 1963 году А.А. Милютин, используя идеи и методы функционального
анализа, получил уравнение Эйлера для общей задачи оптимального управления
(совместное ограничение на фазовые координаты и управления) и указал связь
уравнения Эйлера с принципом максимума.
В 1966 году автор впервые решил задачу входа аппарата в атмосферу с
учетом ограничений на величину полной перегрузки. Данное ограничение относится
к классу нерегулярных смешанных ограничений. В 1968 году А.Я. Дубовицкий и А.А.
Милютин опубликовали статью о нерегулярном принципе максимума. Анализ перехода
от уравнения Эйлера к принципу максимума называется расшифровкой. Задача расшифровки
является довольно трудной для нерегулярных смешанных ограничений.
Подобного рода задачи получили название узких мест в управлении реальными
процессами. По степени трудности задачи с нерегулярными смешанными
ограничениями занимают первое место в теории оптимального управления. Обсуждая
свою знаменитую программу, Д. Гильберт высказал надежду, что в XX веке
математики овладеют способами решения оптимизационных задач. Это действительно
проблема, ибо в вычислительном плане задачи управления на порядок более
трудоемкие, чем все те задачи, с которыми до сих пор сталкивались
исследователи.
Сейчас методы оптимизации развиваются в связи с популярностью этой
области математики. В частности, большой популярностью пользуется оптимизация
функций и динамических систем (синтез оптимального программного управления и
управления с полной обратной связью). Особое внимание уделяется эвристическим
методам. Развиваются такие методы как Гармонический поиск, Искусственные
иммунные системы (методы вычислений имитируют принципы иммунологических
теорий), Гравитационный поиск (предложенный Рашеди с соавторами в 2009 году
алгоритм инспирирован поведением тяжелых тел при их гравитационном
взаимодействии), Разбросанный поиск и т.д.
Теоретическая
часть
Необходимое и
достаточное условия экстремума для классической задачи (КЗ) на условный
экстремум. Регулярная и нерегулярная задача (КЗ)
Условный экстремум ФНП, его геометрическая интерпретация (при n = 2),
функция Лагранжа. Необходимое условие условного экстремума (вывод для n = 2). Достаточные
условия (без док-ва). Нахождение наибольшего и наименьшего значений
дифференцируемой ФНП на замкнутом ограниченном множестве.
В приложениях часто встречаются задачи поиска экстремумов функций
нескольких переменных при дополнительных ограничениях на возможные изменения
переменных. Такие ограничения могут иметь различный характер. Например,
значения переменных должны удовлетворять одному или нескольким уравнениям или
неравенствам. Как ограничение можно рассматривать условие попадания точки n-мерного
линейного арифметического пространства в заданную область, или, наоборот, точки
некоторого множества в
не принимаются в расчет. Далее мы остановимся на случае,
когда аргументы функции подчиняются ограничениям в виде одного или нескольких
уравнений, часто называемых уравнениями связи.
Общая постановка задачи
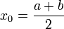
Пример 1. Рассмотрим задачу определения прямоугольника с заданным
периметром наибольшей площади. Обозначив через
и
длины сторон прямоугольника, через
- его периметр, мы придем к задаче
поиска максимума площади прямоугольника
при дополнительном условии
(ограничении)
, что кратко можно записать следующим образом
Нас интересует решение задачи в области
,
.
В данном случае решение задачи легко можно найти, выразив из уравнения
связи
одно из переменных и подставив
найденное выражение в функцию
. В результате мы придем к задаче поиска минимума
действительной функции одного действительного переменного. Например, из
уравнения связи находим
. Тогда площадь прямоугольника при заданном ограничении можно
представить как функцию только переменного
:
Исходя из естественных ограничений x > 0, y > 0,
находим область изменения переменного
:
. Функция
достигает максимума в интервале (0, p) при
, что дает решение рассматриваемой
задачи:
. Итак, среди всех прямоугольников с
заданным периметром наибольшую площадь имеет квадрат.
Отметим, что функция двух переменных
не имеет экстремумов, а у
рассмотренной задачи решение существует. Это связано с тем, что для задачи (1)
не играют роли значения функции
в тех точках, которые не удовлетворяют ограничениям. В
задачах такого типа все зависит от поведения функции лишь на части ее области
определения, а именно на множестве тех точек в области определения, которые
подчиняются установленным ограничениям.
Определение 1. Говорят, что функция
, определенная в окрестности точки
, достигает в этой точке условного
локального максимума (минимума) при условиях
,
, . . . ,
, где φi(x),
, - некоторые функции нескольких
переменных, определенные в окрестности точки a, если существует такая
проколотая окрестность точки a, что для всех точек
, удовлетворяющих условиям
,
, верно неравенство
Понятия условного локального максимума и минимума объединяют под общим
названием условный экстремум функции. Если в определении 1 неравенства строгие,
то говорят о строгом условном экстремуме функции.
Задачу исследования функции
:
на условный экстремум при ограничениях
,
, заданных с помощью функций
:
, часто записывают в виде
и называют задачей на условный экстремум. При этом функцию
называют целевой функцией. Условия
(4) в общем случае представляют собой систему нелинейных уравнений - уравнений
связи.
Метод решения, использованный в примере 1, может применяться лишь в
простейших ситуациях. Распространение этого метода на общий случай наталкивается
на трудности, связанные с исключением части переменных из аргументов целевой
функции при помощи уравнений связи. Такой подход приводит к необходимости
решать систему нелинейных уравнений, а это, как известно, - сложная задача.
Отметим, что исключение неизвестных с помощью уравнений связи приводит затем к
задаче поиска локального экстремума функции нескольких переменных, т.е. к
решению еще одной системы нелинейных уравнений, которые получаются
приравниванием нулю частных производных. Исключение неизвестных нужно лишь
затем, чтобы вычислить эти частные производные, но частные производные можно
также вычислить и с помощью теоремы о неявной функции. В этом случае исключение
неизвестных фактически уже не нужно, и решение задачи упрощается. Развитию
этого подхода на основе теоремы о неявной функции мы и уделим внимание, начав с
более простой задачи для условного экстремума функции двух переменных.
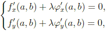
Необходимое условие условного экстремума
Остановимся на простейшем случае функции двух переменных.
Теорема 1 (необходимое условие условного экстремума). Пусть функции двух
переменных
и
определены и непрерывно дифференцируемы в окрестности точки
. Если функция
имеет в точке
условный экстремум при условии
, причем
, то существует такое число
, которое вместе с координатами
и
точки
удовлетворяет системе уравнений
Поскольку
, то одна из частных производных первого порядка функции
в точке
отлична от нуля. Пусть, например,
. По теореме о неявной функции в
некотором прямоугольнике
с центром в точке
уравнение
разрешимо относительно переменного
, т.е. задает неявную функцию
, непрерывно дифференцируемую в
окрестности точки a, причем
В прямоугольнике
точки, удовлетворяющие условию
, имеют вид
, где
. Значит, если функция
имеет в точке P условный экстремум
при условии
, то функция
одного переменного имеет в точке
локальный экстремум. Эта функция,
как композиция дифференцируемых функций, является дифференцируемой в точке
. Следовательно, в силу необходимого
условия локального экстремума верно соотношение
. Согласно правилу дифференцирования
сложной функции и равенству (6), находим
Введем обозначение
. Тогда
где первое из этих уравнений вытекает из условия
, а второе эквивалентно равенству,
определяющему число
. Добавив к этим уравнениям равенство
, которое должно выполняться в точке
условного локального экстремума, получим систему уравнений (5).
Доказательство теоремы в случае, когда
, проводится аналогично.
Систему уравнений (5) можно записать в виде
и придать ей следующую геометрическую интерпретацию: если в точке
условного экстремума выполняются условия теоремы 1, то линия уровня целевой
функции касается кривой, заданной уравнением связи. На рис. 1, а показано,
почему в этом случае необходимое условие не может нарушаться в точке
условного экстремума. Представлены
линии уровня
,
и
. В изображенной ситуации
(это определяется направлением
градиента функции
, являющимся направлением ее роста) и функция
на кривой
не может иметь экстремума. На рис.
1, б показано поведение функции в окрестности условного максимума
. В соответствии с указанным
направлением градиента функции
имеем
, что и обеспечивает локальный максимум
в точке
на кривой
. На рис. 1, в изображена ситуация,
при которой необходимое условие условного экстремума выполнено, но экстремума
тем не менее нет (в соответствии с направлением
в точке
имеем
).
Рис. 1. Поведение функции в различных ситуациях
Введем функцию
которую называют функцией Лагранжа, где
- множитель Лагранжа. Тогда система
(5) будет иметь вид
Таким образом, задача на условный экстремум
при выполнении условий теоремы 1 сводится к поиску стационарных точек
функции Лагранжа (7) и их анализу.
Пример 2. Найдем точки, подозрительные на условный экстремум, в задаче
сформулированной в примере 1.
Функции
и
удовлетворяют условиям теоремы 1, поэтому решать задачу
можно при помощи функции Лагранжа.
Составим функцию Лагранжа (7):
Необходимые условия (8) условного экстремума приводят к системе уравнений
,
,
.
Выражая
и
из первых двух уравнений и подставляя эти выражения в третье
уравнение, находим
, откуда
и
. Следовательно, условный экстремум в рассматриваемой задаче
может быть только в точке
(рис. 2).
Рис. 2. Демонстрация условного экстремума
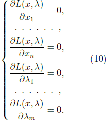
Необходимое условие для задачи общего вида (3), (4) может быть получено
по той же схеме, что и в частном случае двух переменных. В задаче (3), (4)
функция Лагранжа по определению имеет вид
При этом числа
,
, называют множителями Лагранжа в этой задаче.
Теорема 2. Пусть функции
:
и
:
,
, определены и непрерывно дифференцируемы в окрестности точки
, причем ранг матрицы
частных производных функции
в точке
равен
. Если в точке
функция
имеет условный локальный экстремум
при условиях
,
, то существуют такие числа
,
, . . . ,
, которые вместе с координатами точки a удовлетворяют системе
уравнений

Достаточные условия условного экстремума в задаче (3), (4) можно
сформулировать с помощью функции Лагранжа. Пусть в задаче на условный экстремум
функции
:
при условиях
,
, заданных функциями
:
, в точке
выполнено необходимое условие
условного экстремума. В этом случае в точке
определен вектор
множителей Лагранжа.
Зафиксируем в функции Лагранжа
значения множителей Лагранжа,
представив ее как функцию только переменных
:
. Чтобы выяснить, является ли точка
точкой условного экстремума
рассматриваемой функции, нужно проанализировать дифференциал второго порядка
функции
в точке
, являющийся квадратичной формой от
приращений переменных. Рассмотрим этот дифференциал как квадратичную форму
на линейном подпространстве
в
, заданном системой линейных
уравнений
,
.
Теорема 3. Пусть функции
:
,
:
,
, дважды непрерывно дифференцируемы в окрестности точки
,
,
и координаты точки
вместе с координатами некоторого
вектора
удовлетворяют системе уравнений
(10).
Тогда:
) если квадратичная форма
положительно определенная, то
функция
имеет в точке
строгий условный локальный минимум
при условии
;
) если квадратичная форма
отрицательно определенная, то
функция
имеет в точке
строгий условный локальный максимум
при условии
;
) если квадратичная форма
знакопеременная, то функция
в точке
не имеет условного экстремума.
Теорема 3 утверждает, что для проверки точек, подозрительных на условный
экстремум, необходимо проанализировать квадратичную форму
, т.е. дифференциал второго порядка
функции Лагранжа, при значениях дифференциалов
,
, которые удовлетворяют системе
линейных уравнений
Матрица этой системы линейных алгебраических уравнений совпадает с
матрицей
частных производных функций
в точке
, ранг которой по условию теоремы 2
равен
. Следовательно, система (11)
позволяет выразить
дифференциалов через оставшиеся
дифференциалов. Зафиксируем
известные значения множителей Лагранжа (координат вектора
). Рассматривая функцию Лагранжа
как функцию только переменных
, . . . ,
, вычислим ее дифференциал второго
порядка
в точке
. Исключим из квадратичной формы
указанные
дифференциалов. Получим квадратичную
форму относительно
дифференциалов. Если эта квадратичная форма является
положительно определенной (отрицательно определенной, знакопеременной), то в
точке
функция
имеет условный локальный минимум
(условный локальный максимум, не имеет условного локального экстремума). Если
указанная квадратичная форма от
переменных вырождена, но сохраняет знак (неположительно или
неотрицательно определена), то в точке
функция
может иметь условный локальный экстремум, а может и не
иметь. В этом случае по виду второго дифференциала в точке выявить поведение
функции
нельзя и нужны другие методы
исследования.
Пример 3. В примере 2 уравнение
дает
, откуда можно, например, выразить
через
:
. Дифференциал второго порядка
функции Лагранжа
при фиксированном значении
в точке
имеет вид
. Исключая из второго дифференциала
, получаем квадратичную форму
, которая отрицательно определена.
Следовательно, в точке
мы имеем условный локальный максимум.
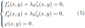
Пример 4. Исследуем на условный экстремум функцию
при условии
, где
.
Функция
, как и функция
, является по крайней мере дважды
непрерывно дифференцируемой на всей плоскости. Составим функцию Лагранжа
Запишем систему (10) необходимых условий условного экстремума
Из первого уравнения находим, что либо
, либо
. В первом случае (
) из третьего уравнения вытекает, что
, а из второго - что
. Во втором случае (
) из второго уравнения сразу
получаем, что
. Окончательно, используя третье уравнение, заключаем, что
есть четыре точки, подозрительные на условный экстремум
Исследуем эти четыре точки, применяя достаточное условие условного
экстремума. Рассмотрим два случая.
В первом случае, когда
, дифференциал второго порядка функции Лагранжа имеет вид
Подпространство
в точке
описывается уравнением
или с учетом равенств
В точке
подпространство
описывается тем же уравнением. Легко
увидеть, что квадратичная форма
являющаяся сужением
(или
) на подпространство
, положительно определена, так как
. Значит, точки
и
являются точками условного минимума.
Во втором случае, когда λ = −
, в точках
и
второй дифференциал
функции Лагранжа имеет вид
а подпространство
описывается уравнением
Так как
, квадратичная форма
на подпространстве
(т.е. при
) отрицательно определена, и поэтому
точки
и
являются точками условного
локального максимума.
Этот пример является иллюстративным, и приведенное решение в данном
случае не самое лучшее. Действительно, ограничение
можно записать параметрически в виде
,
,
. Это позволяет заменить исследование
функции
двух переменных на условный
экстремум исследованием на экстремум функции
одного переменного. Кроме того,
поставленная задача имеет простую геометрическую интерпретацию. Кривая
в данном случае представляет собой
эллипс с полуосями
и
. А линии уровня функции
- это концентрические окружности,
причем значение функции на каждой такой окружности равно квадрату радиуса (рис.
3).
Рис. 3. Геометрическая интерпретация задачи
Максимальный радиус окружности, пересекающей эллипс, равен большой
полуоси эллипса. При этом окружность пересекает эллипс в его вершинах,
расположенных на большой оси. Минимальный радиус окружности, пересекающей эллипс,
равен малой полуоси эллипса, а точками пересечения будут оставшиеся две вершины
эллипса.
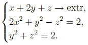
Пример 5. Рассмотрим следующую задачу на экстремум

Целевая функция задачи и обе функции, задающие уравнения связи, являются
по крайней мере дважды дифференцируемыми. Поэтому решение задачи можно искать с
помощью функции Лагранжа. В данном случае функция Лагранжа имеет вид
Необходимые условия экстремума приводят к системе уравнений
Из первых трех уравнений заключаем, что
Кроме того, находим
Вычитая из четвертого уравнения системы (12) пятое и сокращая на 2,
получаем
, что приводит к двум случаям
и
. Однако последний случай невозможен,
так как иначе из равенств (14) будет следовать, что
и
, а это противоречит неравенствам
(13).
Итак,
. Учитывая это, из равенств (14) находим, что
и
, т.е.
. Используя четвертое или пятое
уравнение, получаем два решения рассматриваемой системы:
Необходимые условия экстремума привели к двум точкам, подозрительным на
экстремум. Исследуем эти точки, используя достаточные условия экстремума.
Вычисляем дифференциал второго порядка функции Лагранжа:
В точке
с учетом
и
дифференциал принимает вид
а в точке
будет отличаться знаком:
Видно, что в первом случае второй дифференциал является отрицательно
определенной квадратичной формой, а во втором - положительно определенной
квадратичной формой. Это свойство сохранится и на подпространстве H, которое в
данном случае определяется уравнениями
. Учитывая это, заключаем, что точка
является точкой условного максимума,
а точка
- точкой условного минимума.
Практическая
часть
экстремум задача функция
сходимость
Метод Ньютона
решения задачи БМ. Свойства его сходимости
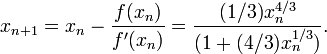
Метод Ньютона, алгоритм Ньютона (также известный как метод касательных) -
это итерационный численный метод нахождения корня (нуля) заданной функции.
Чтобы численно решить уравнение f(x)=0 методом простой итерации, его
необходимо привести к следующей форме:
, где
- сжимающее отображение.
Для наилучшей сходимости метода в точке очередного приближения
должно выполняться условие
. Решение данного уравнения ищут в
виде
, тогда:
В предположении, что точка приближения «достаточно близка» к корню
, и что заданная функция непрерывна
, окончательная формула для
такова:
С учётом этого функция
определяется выражением:
Эта функция в окрестности корня осуществляет сжимающее отображение, и
алгоритм нахождения численного решения уравнения
сводится к итерационной процедуре
вычисления:
По теореме Банаха последовательность приближений стремится к корню
уравнения
.
Рис. 4. - Иллюстрация метода Ньютона (синим изображена функция f(x), нуль которой необходимо найти, красным - касательная в
точке очередного приближения xn).
Геометрическая интерпретация.
Основная идея метода заключается в следующем: задаётся начальное
приближение вблизи предположительного корня, после чего строится касательная к
исследуемой функции в точке приближения, для которой находится пересечение с
осью абсцисс. Эта точка и берётся в качестве следующего приближения. И так
далее, пока не будет достигнута необходимая точность.
Пусть
- определённая на отрезке
и дифференцируемая на нём
вещественнозначная функция.
Тогда формула итеративного исчисления приближений может быть выведена
следующим образом
где
- угол наклона касательной в точке xn.
Следовательно искомое выражение для xn+1 имеет вид:
Итерационный процесс начинается с некоего начального приближения (чем
ближе к нулю, тем лучше, но если предположения о нахождении решения
отсутствуют, методом проб и ошибок можно сузить область возможных значений,
применив теорему о промежуточных значениях).
Алгоритм
Задается начальное приближение x0.
Пока не выполнено условие остановки, в качестве которого можно взять
или
(то есть погрешность в нужных
пределах), вычисляют новое приближение:
.
Рассмотрим
задачу о нахождении положительных
, для
которых
. Эта задача может быть представлена как задача
нахождения нуля функции
. Имеем выражение для производной
<#"701190.files/image214.gif">. Так как для всех и для
, очевидно
<#"701190.files/image216.gif">
Подчёркиванием
отмечены верные значащие цифры
<#"701190.files/image217.gif">
где ƒ’(x), ƒ’(y) - производные функции ƒ(x, y) по xи по y, а
hi, j - элементы матрицы Гессе (матрицы вторых производных)
,1 = ƒxx h1,2 = h2,1 = ƒxy h2,2 = ƒyy
В покомпонентном виде приведенная выше формула имеет вид:
xk+1 = xk - (h2,2 * ƒ’(xk)- h1,2 * ƒ’(yk)) / det(h)+1 = yk - (- h2,1 * ƒ’(xk) + h1,1 * ƒ’(yk)) / det(h)
где det(h) - определитель матрицы h.
Счёт ведется итерациями до тех пор, пока два последовательных приближения
не будут отличаться по третьей норме больше, чем на ε.
Условия применения
Рассмотрим ряд примеров, указывающих на недостатки
метода.
· Если начальное приближение
недостаточно близко к решению, то метод может не сойтись.
Данное утверждение не является верным, более того,
условия применения метода описаны не полностью. Если предположить, что корень
локализован на отрезке, где функция монотонна, и в качестве начального
приближения выбрать тот из концов данного отрезка, где функция и ее вторая
производная имеют один знак, то метод будет сходиться всегда.
Пусть
Тогда
Возьмём
нуль в качестве начального приближения. Первая итерация даст в качестве
приближения единицу. В свою очередь, вторая снова даст нуль. Метод зациклится и
решение не будет найдено. В общем случае построение последовательности
приближений может быть очень запутанным
<#"701190.files/image220.gif">
Тогда и
всюду, кроме 0.
В окрестности корня производная меняет знак при
приближении к нулю справа или слева. В то время, как для
.
Таким
образом не ограничено вблизи корня, и метод будет расходиться, хотя функция
всюду дифференцируема, её производная не равна нулю в корне, бесконечно
дифференцируема <#"701190.files/image223.gif">
Тогда и за исключением
, где она не определена.
На очередном шаге имеем
:
Скорость
сходимости <#"701190.files/image227.gif">
Тогда и следовательно
.
Таким образом сходимость метода не квадратичная, а
линейная, хотя функция всюду бесконечно дифференцируема.
Ограничения
Пусть
задано уравнение
, где и надо найти его решение. Ниже приведена
формулировка основной теоремы, которая позволяет дать чёткие условия
применимости. Она носит имя советского математика
<#"701190.files/image230.gif">, что:
на
, то есть существует и не равна нулю;
на
, то есть ограничена;
на
, и
;
Причём
длина рассматриваемого отрезка
Тогда
справедливы следующие утверждения:
на
существует корень уравнения
;
если
, то итерационная последовательность
<#"701190.files/image239.gif">;
погрешность
может быть оценена по формуле
.
Из
последнего из утверждений теоремы в частности следует квадратичная сходимость
<#"701190.files/image241.gif">
Тогда
ограничения на исходную функцию будут выглядеть так:
1. функция должна быть ограничена;
2. функция
должна быть гладкой
<#"701190.files/image242.gif">
Начальная точка (4, -1, 2).
Рис. 5. - График функции
Табл. 1. - Значения x, yи z, а также числителей и детерминанта для вычисления этих
значений
|
x
|
y
|
z
|
h33 * dx
|
h22 * dy
|
h11 * dz
|
det(h)
|
|
4
|
-1
|
48
|
-16
|
112
|
32
|
|
2,5
|
-0,5
|
-1,5
|
24
|
-14
|
56
|
|
|
1,75
|
-0,0625
|
-3,25
|
12
|
-12,25
|
28
|
|
|
1,375
|
0,320313
|
-4,125
|
6
|
-10,7188
|
14
|
|
|
1,1875
|
0,655273
|
-4,5625
|
3
|
-9,37891
|
7
|
|
|
1,09375
|
0,948364
|
-4,78125
|
1,5
|
-8,20654
|
3,5
|
|
|
1,046875
|
1,204819
|
-4,89063
|
0,75
|
-7,18073
|
1,75
|
|
|
1,023438
|
1,429216
|
-4,94531
|
0,375
|
-6,28313
|
0,875
|
|
|
1,011719
|
1,625564
|
-4,97266
|
0,1875
|
-5,49774
|
0,4375
|
|
|
1,005859
|
1,797369
|
-4,98633
|
0,09375
|
-4,81052
|
0,21875
|
|
|
1,00293
|
1,947698
|
-4,99316
|
0,046875
|
-4,20921
|
0,109375
|
|
|
1,001465
|
2,079235
|
-4,99658
|
0,023438
|
-3,68306
|
0,054688
|
2,194331
|
-4,99829
|
0,011719
|
-3,22268
|
0,027344
|
|
|
1,000366
|
2,29504
|
-4,99915
|
0,005859
|
-2,81984
|
0,013672
|
|
|
1,000183
|
2,38316
|
-4,99957
|
0,00293
|
-2,46736
|
0,006836
|
|
|
1,000092
|
2,460265
|
-4,99979
|
0,001465
|
-2,15894
|
0,003418
|
|
|
1,000046
|
2,527732
|
-4,99989
|
0,000732
|
-1,88907
|
0,001709
|
|
|
1,000023
|
2,586765
|
-4,99995
|
0,000366
|
-1,65294
|
0,000854
|
|
|
1,000011
|
2,63842
|
-4,99997
|
0,000183
|
-1,44632
|
0,000427
|
|
|
1,000006
|
2,683617
|
-4,99999
|
9,16E-05
|
-1,26553
|
0,000214
|
|
|
1,000003
|
2,723165
|
-4,99999
|
4,58E-05
|
-1,10734
|
0,000107
|
|
|
1,000001
|
2,757769
|
-5
|
2,29E-05
|
-0,96892
|
5,34E-05
|
|
|
1,000001
|
2,788048
|
-5
|
1,14E-05
|
-0,84781
|
2,67E-05
|
|
Рис. 6. - График сходимости при начальной точке (4, -1, 2)
Рис. 7. - График сходимости при начальной точке (0, 2, -4)

Рис. 9. - График сходимости при точности 0.01
Функция для исследования:

Рис. 10. - График функции
Табл. 2. - Значения x, yи z, а также производных и детерминанта для вычисления этих значений
|
x
|
Y
|
h11
|
h12
|
h22
|
f(x,y)dx
|
f(x,y)dy
|
det(h)
|
|
5
|
-1
|
30,45623
|
-12,1825
|
24,36499
|
48,72998
|
-24,365
|
593,6526
|
|
3,5
|
-0,75
|
11,59912
|
-4,31595
|
11,50921
|
17,44364
|
-8,6319
|
114,8692
|
|
2,076577
|
-0,53378
|
4,491822
|
-1,50761
|
5,648757
|
6,159265
|
-3,01521
|
23,10033
|
|
0,767226
|
-0,34946
|
1,793873
|
-0,51285
|
2,935155
|
2,120168
|
-1,0257
|
5,002276
|
|
-0,37165
|
-0,19899
|
0,761482
|
-0,16525
|
1,660835
|
0,692546
|
-0,3305
|
1,237389
|
|
-1,25706
|
-0,08809
|
0,366789
|
-0,04699
|
1,066751
|
0,200203
|
-0,09398
|
0,389065
|
|
-1,79463
|
-0,02368
|
0,224818
|
-0,00965
|
0,815325
|
0,041975
|
-0,01931
|
0,183207
|
-0,0022
|
0,187569
|
-0,00082
|
0,742999
|
0,003639
|
-0,00163
|
0,139363
|
|
-1,99981
|
-2,1E-05
|
0,183976
|
-7,8E-06
|
0,735831
|
3,58E-05
|
-1,6E-05
|
0,135375
|
|
-2
|
-2,1E-09
|
0,18394
|
-7,6E-10
|
0,735759
|
3,57E-09
|
-1,5E-09
|
0,135335
|
|
-2
|
-2E-17
|
0,18394
|
-7,4E-18
|
0,735759
|
0
|
-1,5E-17
|
0,135335
|
|
-2
|
0
|
0,18394
|
0
|
0,735759
|
0
|
0
|
0,135335
|
Заключение
Развитие современного общества характеризуется повышением технического
уровня, усложнением организационной структуры производства, углублением
общественного разделения труда, предъявлением высоких требований к методам
планирования. В этих условиях только научный подход к руководству хозяйственной
жизнью общества позволит обеспечить высокие темпы развития народного хозяйства.
Научного подхода требует и решение тактических и стратегических задач.
В настоящее время новейшие достижения математики и современной
вычислительной техники находят все более широкое применение как в экономических
исследованиях и планировании. Этому способствует развитие таких разделов
математики как математическое программирование, теория игр, теория массового
обслуживания, а также бурное развитие быстродействующей
электронно-вычислительной техники. Уже накоплен большой опыт постановки и
решения экономических и тактических задач с помощью математических методов.
Особенно успешно развиваются методы оптимального управления.
В связи с этим курс «Методы оптимизации» включён в образовательные
программы многих ВУЗов.
В данной курсовой работе были рассмотрены экстремум функции, классическая
задача на условный экстремум, необходимое и достаточное условия экстремума,
регулярная и нерегулярная задача. Кроме того, был рассмотрен метод Ньютона, его
геометрическая интерпретация, условия применения. Метод был реализован и
проверен на контрольном примере.
Список
литературы
1) Бельков
В.Н., Ланшаков В.Л. Автоматизированное проектирование технических систем:
Учебное пособие - Москва: Академия Естествознания, 2009.
2) Акулич
И. Л. Математическое программирование в примерах и задачах: Учеб. пособие для
студентов эконом. спец. вузов. - М.: Высш. шк., 1986.
) Амосов
А. А., Дубинский Ю. А., Копченова Н. П. Вычислительные методы для инженеров. -
М.: Мир, 1998.
) Бахвалов
Н. С., Жидков Н. П., Кобельков Г. Г. Численные методы. - 8-е изд.. - М.:
Лаборатория Базовых Знаний, 2000.
5) Волков Е. А. Численные методы. - М.: Физматлит, 2003.
6) Гилл Ф., Мюррей У., Райт М. Практическая оптимизация. Пер. с
англ. -М.: Мир, 1985.
) Корн Г., Корн Т. Справочник по математике для научных работников
и инженеров. - М.: Наука, 1970. - С. 575-576.
) Канатников А.Н., Крищенко А.П. Функции нескольких переменных.
Конспект лекции. - МГТУ им. Н.Э. Баумана - С. 62-69