Задачи на экстремум в планиметрии

  • Вид работы:
    Курсовая работа (т)
  • Предмет:
    Математика
  • Язык:
    Русский
    ,
    Формат файла:
    MS Word
    1,31 Mb
  • Опубликовано:
    2011-01-14
Вы можете узнать стоимость помощи в написании студенческой работы.
Помощь в написании работы, которую точно примут!

Задачи на экстремум в планиметрии

Федеральное агентство по образованию

Кафедра общей математики





Курсовая работа по геометрии

на тему:

«Задачи на экстремум в планиметрии»

Студентки 1 курса

специальности 050201

очной формы обучения

Алишановой Дианы Сергеевны

ПРОВЕРИЛ:

Кандидат технических

наук, доцент





2007г.

Задание на курсовую работу

Привести решение нескольких задач на экстремум функций.

Изложить решение задачи на применение теоремы Чевы.

Изложить несколько решений задач о треугольнике наименьшего периметра, вписанного в остроугольный треугольник.

Цель курсовой работы:

Изучить некоторые теоремы, позволяющие решить ряд подобных задач, проиллюстрировать их применение к решению конкретных задач.

План работы:

В ряде задач элементарной геометрии требуется построить некоторую фигуру таким образом, чтобы один из параметров принимал наибольшее или наименьшее значение. Во многих случаях задачи можно решить элементарными средствами без применения методов математического анализа.

Введение

Развитие логического мышления, которое осуществляется на занятиях алгеброй и геометрией, оказывает серьёзное влияние на изучение любых наук. Знания, умения и навыки, приобретаемые при изучении этих предметов, важны для трудовой и профессиональной подготовки. Обучение алгебре и геометрии способствует формированию диалектико–материалистического мировоззрения, содействует умственному развитию, в процессе которого вырабатываются умения обобщать и конкретизировать, систематизировать и классифицировать, проводить анализ и синтез, осуществлять самоконтроль. В процессе обучения формируются и такие личностные качества, как точность и ясность словесного выражения мысли, сосредоточенность и внимание, настойчивость, ответственность и трудолюбие. На мой взгляд, геометрия в этом деле хорошая помощница.

Итак, геометрия – это раздел математики, изучающий пространственные отношения и формы, а планиметрия – это часть геометрии, изучающая фигуры на плоскости. Моя курсовая работа на задачи на экстремум в планиметрии. Обратимся к определению экстремума - наибольшее или наименьшее значение функции. Ещё задолго до того, как сформировались общие понятия переменной величины и функции, они фактически использовались в математике. Значительную роль в развитии этих понятий сыграл метод координат, созданный французским математиком П. Ферма (1601-1665) и Р. Декартом (1596-1650). Метод координат стал широко использоваться для графического исследования функции и графического решения уравнений. С этого времени начался новый этап, который ознаменовался мощным развитием не только математики, но и всего естествознания.

Термин «функция» (от лат. Functio-исполнение, совершение) ввёл немецкий математик Г. Лейбниц (1646-1716). У него функция связывалась с графиком.

У Л. Эйлера появился и более общий подход к понятию функции как зависимости одной переменной величины от другой. Эта точка зрения получила дальнейшее развитие в трудах Н.И. Лобачевского, П. Дирихле и других учёных. Что же такое экстремум в планиметрии? В своей курсовой работе я постараюсь найти ответ на этот вопрос.

§ 1. Максимум и минимум

 

Определение. Говорят, что функция f(x) имеет максимум в точке х = а, если в достаточной близости от этой точки всем значениям х (как большим, так и меньшим а) соответствуют значения меньшие, чем f(a).

Функция f(x) имеет минимум в точке х = а,если в достаточной близости от этой точки всем значениям х соответствуют значения f(x), большие, чем f(а).

Короче: функция f(x) имеет максимум (минимум) в точке х = а, если значение f (а) больше (меньше) всех соседних значений. Максимум и минимум объединяются

Рис. 1 наименованием экстремум 2).

Пример. Функция f(x) = ⅓ х3 - х2 + ⅓       (рис. 1) имеет максимум в точке х = 0 [точка А (0; ⅓) выше всех соседних] и минимум в точке х = 2 [точка В (2; -1) ниже всех соседних].

1) Предполагается, что функция дифференцируема в промежутке (а, b).

2) Латинское слово «экстремум» означает «крайнее».

Замечание. В обыденной речи выражения «максимум» и «наибольшая величина» равнозначны. В анализе термин «максимум» имеет более узкий смысл. Именно максимум функции может и не быть ее наибольшим значением. Так, функция f(x) = ⅓ х3 - х2 + ⅓

(см. рис. 1), рассматриваемая, скажем, в промежутке (— 1; 4), имеет в точке х = 0 максимум, ибо вблизи от этой точки [а именно в промежутке (— 1; 3)] всем значениям х соответствуют значения f(x), меньшие, чем f (0), т. е. чем ⅓ (в указанном промежутке график расположен ниже точки А). Тем не менее максимум f (0) не является наибольшим значением функции в промежутке (— 1; 4), ибо при х > 3 имеем:

 

f(x) > ⅓

(справа от С график расположен выше точки А). Однако разыскание наибольшего значения функции в данном промежутке тесно связано с разысканием ее максимумов (см.§ 6). Аналогичное замечание для минимума.

 

§ 2. Необходимое условие максимума и минимума

Теорема. Если функция f (х) имеет экстремум (т. е. максимум или минимум) в точке х = а, то в этой точке производная либо равна нулю, либо бесконечна, либо не существует.

Г е о м е т р и ч е с к и: если график имеет в точке А максимальную ординату, то в этой точке касательная либо горизонтальна (рис. 1), либо вертикальна (рис. 2), либо не существует (рис. 3). То же для минимальной ординаты (точка В на рис. 1, точка А на рис. 4, точки В и С на рис. 3).

Замечание. Условие экстремума, высказанное в теореме, необходимо, но не достаточно, т. е. производная в точке х = а может обращаться в нуль (рис. 5), в бесконечность (рис. 6) или не существовать (рис. 7) без того, чтобы функция имела экстремум в этой точке.

§ 3. Первое достаточное условие максимума и минимума

Теорема. Если в достаточной близости от точки х = а производная f '(х) положительна слева от а и отрицательна справа от а (рис. 8), то в самой точке х = а функция f(x) имеет максимум при условии, что функция f(x) здесь непрерывна 1).

Если, наоборот, слева от а производная f(х) отрицательна, а справа положительна (рис. 9), то f (х) имеет в точке а минимум при условии, что она здесь непрерывна 2).

Теорема выражает тот факт, что f(x) при переходе от возрастания к убыванию имеет максимум, а при переходе от убывания к возрастанию — минимум.

1) Однако, f(x) может и не быть дифференцируемой при х = а (см. рис. 2).

2) Однако, f(x) может и не быть дифференцируемой при х = а

З а м е ч а н и е. Согласно теореме признаком экстремума функции f(x) является перемена знака производной f '(х) при прохождении аргумента через рассматриваемое значение х = а.

Если же при прохождении через х = а производная сохраняет знак, то f(x) возрастает в точке х = а, когда производная положительна как справа, так и слева от х = а(рис. 5, 6, 7), и убывает, когда производная отрицательна (рис. 10).[Снова предполагается, что f(x) непрерывна при х = а.]

 

§ 4. Правило разыскания максимумов и минимумов

Пусть функция f(x) дифференцируема в промежутке (а, b). Чтобы найти все ее максимумы и минимумы в этом промежутке, надо:

1) Решить уравнение f '(х) = 0 (корни этого уравнения называются критическими значениями аргумента; среди них надо будет искать значения х, дающие экстремум функции f(x); см. § 2).

2) Для каждого критического значения х = а исследовать, меняет ли знак производная f(x) при переходе аргумента через это значение. Если f '(х) переходит от положительных значений к отрицательным (при переходе от х < а к х > а), то имеем максимум (§ 3), если от отрицательных значений к положительным, то минимум.

Если же f ' (х) сохраняет знак, то нет ни максимума, ни минимума: при f '(х) > 0 функция f(х) в точке а возрастает, при f '(х) < 0 убывает (§ 3, замечание).

Замечание 1. Если функция f(x) непрерывна в промежутке (а, b), но в отдельных его точках не дифференцируема, то эти точки надо причислить к критическим и произвести аналогичное исследование.

Замечание 2. Максимумы и минимумы непрерывной функции следуют друг за другом, чередуясь.

Пример 1. Найти все максимумы и минимумы функции

Р е ш е н и е. Данная функция всюду дифференцируема (т. е. всюду имеет конечную производную) f '(х) = 1— х.

1) Решаем уравнение 1— х = 0. Оно имеет единственный корень х = 1.

2) Производная f '(х) = 1 — х меняет знак при переходе аргумента через значение х = 1. Именно, при х < 1 производная положительна, при х > 1 —отрицательна. Значит, критическое значение х = 1 дает максимум. Других экстремумов у функции нет.

Пример 2. Найти все максимумы и минимумы функции

 

 f(x) = (x - 1)2 (x + 1). (1)

Р е ш е н и е. Данная функция всюду дифференцируема. Имеем:


1) Решаем уравнение f'(х) = 0. Его корни (расположенные в порядке возрастания) будут:

 

х1 = — 1, х2 = 1/5; х3 = 1. (2)

2) Представив производную в виде

f(х) = 5 (х + 1)2 (х1/5) (х - 1), (3)

исследуем каждое из критических значений.

а) При х < —1 все три двучлена формулы (3) отрицательны, так что слева от х = — 1 имеем:

 

f '(х) = 5 (-)2(-)(-) = +. (4)

Пусть аргумент перешел через значение х1= — 1, но не дошел до следующего критического значения х2 = 1/5. Тогда двучлен х + 1 стал положителен, а два других двучлена формулы (3) остаются отрицательными, и мы имеем: f '(х) = 5 (+)2 (-)(-) = +. (5)

Сравнив (4) и (5), видим, что при переходе

Рис. 11 через критическое значение х1= -1 производная не меняет знака, оставаясь положительной. Значит, в точке х =-1 экстремума нет; здесь функция f(x) возрастает (рис. 11).

б) Исследуем ближайшее большее критическое значение х2 = 1/5. В достаточной близости слева (т. е. между х1 = — 1 и х2 = 1/5) производная в силу (5) положительна. В достаточной близости справа (между х1 = 1/5 и х2 = +1) второй сомножитель положителен, и мы имеем:

 

f ' (х) = 5 (+)2(+) (-) = - . (6)

Сравнив (5) и (6), видим, что знак производной при переходе через х2 = 1/5 меняется с плюса на минус [функция f(х) от возрастания переходит к убыванию]. Значит, в точке x = 1/5 функция имеет максимальное значение; оно равно f (1/5) = (1/5 – 1)2 (1/5 + 1) ~ 1,1.

в) Исследуем последнее критическое значение х3 = 1. В достаточной близости слева производная в силу (6) отрицательна. Справа от х3 = 1 имеем:

f '(х) = 1/5 (+)2 (+) (+) = + . (7)

При переходе через х = 1 производная меняет знак с минуса на плюс [функция f(х) переходит от убывания к возрастанию]. Значит, при х = 1 функция имеет минимальное значение; оно равно

 

f (х) = (1 - 1)2(1 + 1)3 = 0.

П р и м е р 3. Найти все экстремумы функции

Р е ш е н и е. Данная функция дифференцируема при всех положительных и отрицательных значениях х, и мы имеем:

 


В точке же х = 0 функция f(x) не дифференцируема (ее производная бесконечна). Поэтому (см. замечание 1) имеем два критических значения: x1 = 0 и х2 = 2/5.

При х < 0 имеем:

При 0 < х < 2/5 имеем:

При х > 2/5 имеем:

Значит, в точке х = 0 функция  имеет максимальное значение f (0) = 0, а в точке x = 2/5 - минимальное значение

§ 5. Второе достаточное условие максимума и минимума

Когда знак производной вблизи критических точек (§ 4) распознается с трудом, можно пользоваться следующим достаточным условием экстремума.

Т е о р е м а 1. Пусть в точке х = а первая производная f ' (х) обращается в нуль; если при этом вторая производная f " (а) отрицательна, то функция

f (х) имеет в точке х = а максимум, если положительна, то — минимум. В случае f "(а) = 0 см. теорему 2.

Второе условие следующим образом связано с первым. Будем рассматривать f "(х) как производную от f '(х). Соотношение f "(а) < 0 означает, что f '(х) убывает в точке х = а. Атак как f '(а) = 0, то f(х) положительна при х < а и отрицательна при х > а. Значит (§ 3), f(х) имеет максимум при х = а. Аналогично для случая f " (а) > 0.

П р и м е р 1. Найти максимумы и минимумы

Рис. 12 функции f (х) = ½ х4х2 + 1

Р е ш е н и е. Решив уравнение f '(х) = 2х3 — 2х = 0,

получаем критические значения хl = —1, х2 = 0, х3 = 1.

Подставив их в выражение второй производной f "(х) = 6х2 — 2 = 2 (Зх2 — 1), находим, что f "(-1)>0, f "(0)<0, f "(1)>0. Значит при х = -1 и х = 1 имеем минимум, при х = 0 - максимум (рис. 12).

Может случиться, что вместе с первой производной обращается в нуль и вторая; может обратиться в нуль и ряд последующих производных. Тогда можно воспользоваться следующим обобщением теоремы 1.

Т е о р е м а 2. Если в точке х = а, где первая производная равна нулю, ближайшая не равная нулю производная имеет четный порядок 2k, то функция f (х) имеет при х = а максимум, когда f (2k)(а) < 0, и минимум, когда f(2k) (а) > 0. Если же ближайшая не равная нулю производная имеет нечетный порядок 2k + 1, то функция f(х) в точке а не имеет экстремума; она возрастает, когда f (2k + 1) (а) > 0, и убывает, когда f (2k + 1) (а) < 0.

З а м е ч а н и е. Теоретически не исключено, что у функции f (х) (не являющейся постоянной величиной) все производные в точке х = а будут равняться нулю. Однако практического значения этот случай не имеет.

П р и м е р 2. Найти максимумы и минимумы функции f (х) = sin Зх - 3 sin х.

Р е ш е н и е. Имеем: f '(х) = 3 cos Зх — 3 cos х. Решая уравнение 3 cos Зх — 3 cos х = 0, найдем: х = k π/2, где k— любое целое число.

Так как данная функция имеет период 2π, то достаточно исследовать четыре корня: х1 = 0, х2 = π/2, х3 = π, х4 = /2

Берем вторую производную f "(х) = — 9 sin Зх + 3 sin х. Подставляя критические значения х1, х2, х3, х4, находим:

 

f "(0) = 0. f "( π/2) = 12,

f "(π) = 0. f "(/2) = - 12.

В точке х2 = π/2 ближайшая не равная нулю производная имеет второй (четный) порядок, причем f " (π/2) > 0. Значит, при х = π/2 имеем минимум. Аналогично заключаем, что при х = /2 имеем максимум ибо f "(/2) < 0

Экстремальные значения будут:

 

f (π/2) = — 1 — 3= - 4 (минимум),

f (/2) = sin /2 - 3 sin /2 = 1 - (- 3) = 4 (максимум).

Чтобы исследовать критические значения х1 = 0 и х3 = π, найдем третью производную f '" (х) = — 27 cos Зх + 3 cos х;.

Имеем: f '" (0) = - 24, f '" (π) = + 24.

В точке х = 0 ближайшая не равная нулю производная имеет третий (нечетный) порядок, причем f '"(0) < 0. Значит, при х = 0 экстремума нет. Здесь функция f(х) убывает. Аналогично заключаем, что и при х = π экстремума нет; но здесь функция f (х) возрастает [ибо f '"(π) > 0].

§ 6. Разыскание наибольших и наименьших значений функции

1. Пусть по условию вопроса аргумент непрерывной функции f(x) изменяется в бесконечном промежутке, например в промежутке (a, +∞). Тогда может случиться, что среди значений функции f (х) нет наибольшего; см. рис. 13,а), где f(x) неограниченно возрастает при х→+. Если же функция f (х) обладает наибольшим значением, то последнее непременно является одним из экстремумов функции; см, рис. 13, б), где наибольшее значение функции есть f (с).

Пусть теперь по условию вопроса аргумент х изменяется в замкнутом промежутке (а, b). Тогда f (х) непременно принимает наибольшее значение.

Однако последнее может не принадлежать к экстремумам, а достигаться на одном из концов промежутка (в точке х = b 1) на рис. 13, в)).

Аналогично для наименьшего значения.

1) Если исключить из рассмотрения конец х = b, то на оставшемся незамкнутом промежутке функция f (х) наибольшего значения не будет иметь.

2. Пусть требуется разыскать наибольшее (или наименьшее) значение геометрической или физической величины, подчиненной определенным условиям (см. ниже примеры). Тогда надо представить эту величину, как функцию какого-либо аргумента. Из условия задачи определяем промежуток изменения аргумента. Затем находим все критические значения аргумента, лежащие в этом промежутке, и вычисляем соответствующие значения функции, а также значения функции на концах промежутка. Из найденных значений выбираем наибольшее (наименьшее).

З а м е ч а н и е 1. Часто аргумент можно выбирать по-разному; удачный выбор может упростить решение. Учет особенностей задачи тоже может упростить решение.

Так, если внутри данного промежутка имеется лишь одно критическое значение аргумента и оно, на основании того или иного признака (см. §§ 3, 5) должно давать максимум (минимум), то и без сравнения с граничными значениями функции мы вправе заключить, что этот максимум (минимум) является искомым наибольшим (наименьшим) значением,

П р и м е р 1. Отрезок АВ = а делится на две

Рис. 14 части точкой С; на отрезках АС и СВ (рис. 14), как сторонах, строится прямоугольник ACBD. Определить наибольшее значение его площади S.


СВ = а — х и S = x (а — х).

Аргумент х непрерывной функции S изменяется в промежутке (0, а).

Из уравнения

dS/dx= а — 2х = 0

находим (единственное) критическое значение х = а/2. Оно принадлежит данному промежутку (0, а). Вычисляем значение S(а/2) = а/4 и граничные значения f(0) = 0, f(a) = 0. Сопоставляя эти три значения, заключаем, что искомым наибольшим значением является а/4.

В этом сопоставлении не будет необходимости, если заметить, что в единственной критической точке х = а/2 вторая производная функции S (х) отрицательна; т. е. (§ 5) функция S(х) имеет здесь максимум.

Переменный прямоугольник ACBD всегда имеет один и тот же периметр (2а). Значит, из всех прямоугольников данного периметра квадрат имеет наибольшую площадь.

П р и м е р 2. Найти наименьшую и наибольшую величины полупериметра прямоугольника с данной площадью S.

Р е ш е н и е . Обозначим стороны прямоугольника через х, у. По условию

xy = S (1)

(х и у — положительные величины). Требуется найти наименьшее и наибольшее значения величины

 

р = х + у. (2)

Примем за аргумент х; тогда

 

р = х + S/х (3)

Аргумент х изменяется в бесконечном промежутке (0, + ∞) (в него не входит конец х = 0). В этом промежутке функция р(х) непрерывна и имеет производную  (4)

Из уравнения  (5)

находим единственное (в данном промежутке) критическое значение


Из (4) видно, что при  производная положительна. Значит (§ 3), имеем минимум. Будучи единственным, он является (см.

замечание 1) наименьшим значением полупериметра;

 (6)

т. е. из всех прямоугольников с данной площадью S наименьший полупериметр имеет квадрат  Наибольшего значения величина р не имеет [данный промежуток (0, +∞) — незамкнутый].

П р и м е р 3. Найти наименьшее количество жести, из которого можно изготовить цилиндрическую консервную банку вместимостью V=2π (запас на швы не учитывать).

Р е ш е н и е. Пусть поверхность банки S, радиус основания r, высота h. Требуется найти наименьшее значение величины

S = 2 πrh + 2r2 (7)

при условии, что

πr2h=V. (8)

За аргумент удобно принять r. Из (7) и (8) находим:

 (9)

где аргумент изменяется в промежутке (0, ∞). По смыслу задачи ясно, что величина S достигает наименьшего значения где-то внутри этого промежутка. Поэтому достаточно рассмотреть значения функции в критических точках. Решаем уравнение  (10)

Единственный его корень  соответствует наименьшему значению S. Из (8) и (11) находим:  , т. е. высота банки должна равняться диаметру основания. Наименьшее количество жести, потребное для изготовления банки, равно

Sнаим = 2 π(rh + г2) = 6 πr2 = 3 πrV ~ 879 см2.

П р и м е р 4. (парадокс Декарта). В 1638 г.

Рис. 15 Декарт получил (через М. Мерсенна) письмо Ферма, где последний сообщил без доказательства открытое им правило разыскания экстремума. В переводе на современный язык правило Ферма сводится к разысканию значения х, обращающего в нуль производную f '(х) исследуемой функции f(х).

В ответном письме Декарт привел нижеследующий пример, доказывающий, как он полагал, ложность правила Ферма. Пусть дана окружность

 

х2+у2 = r2 (12)

(рис. 15) и точка А (— а; 0), отличная от центра (т. е. а ≠ 0). Требуется найти на окружности (12) точку, ближайшую к А. Квадрат расстояния произвольной точки М (х; у) от точки А выражается так:

АМ2 = (х + а)2 + у2. (13)

Если же М лежит на окружности (12), то у2 = r2х2,

так что AM2 = (х + а)2 + r2x2.

Чтобы найти значение х, дающее минимум величине AM2, Декарт следует правилу Ферма и получает нелепое равенство 2а = 0.

Между тем геометрически ясно, что искомая точка существует и совпадает с точкой Р(—r; 0). Из этого Декарт заключает, что признак минимума неверен. На самом деле точка Р (х = - r) не обнаруживается по другой причине: соответствующее ей наименьшее значение AM2 не является минимумом. Действительно, х изменяется только в промежутке (— r, + r). Рассматриваемая функция принимает наименьшее значение на конце промежутка.

§ 7. Правило разыскания экстремума

Пусть функция f(x, у) дифференцируема в некоторой области ее задания. Чтобы найти все ее экстремумы в этой области, надо:

1) Решить систему уравнений f 'x(x,y) = 0, f 'y(x,y) = 0. (1)

Решение даст критические точки.

2) Для каждой критической точки Р0 (a; b) исследовать, остается ли неизменным знак разности

 

f (x, y) – f (a, b) (2)

для всех точек (х; у), достаточно близких к Р0. Если разность (2) сохраняет положительный знак, то в точке Р0 имеем минимум, если отрицательный, — то максимум. Если разность (2) не сохраняет знака, то в точке Р0 нет экстремума.

Аналогично находим экстремумы функции при большем числе аргументов.

З а м е ч а н и е. При двух аргументах исследование иногда облегчается применением достаточного условия § 8. При большем числе аргументов это условие усложняется. Поэтому на практике стараются использовать частные свойства данной функции.

П р и м е р. Найти экстремумы функции

 

f(x, у) = х3 + у3ху + 1.

Р е ш е н и е. 1) Приравнивая к нулю частные производные f 'х = 3х2 — 3у, f =3у2 — Зх, получаем систему уравнений

 

х2 - у = 0, у2х = 0. (3)

Она имеет два решения:

х1 = у1 = 0, х2 = y2 = 1. (4)

Исследуем знак разности (2) для каждой из двух критических точек Р1 (0; 0), Р2 (1; 1).

2а) Для точки Р1 (0; 0) имеем:

 

f(x, у)f(0, 0) = х3 + у3ху + 1. (5)

Разность (5) не сохраняет знака, т. е. в любой близости от Р1 есть точки двух типов: для одних разность (5) положительна, для других — отрицательна. Так, если точку Р (х; у) взять на прямой у = х, то разность (5) равна

2х3— Зх2 = х2 (2х — 3). Вблизи от Р1 (при х < 3/2) эта разность отрицательна. Если же точку Р (х; у) взять на прямой у = —х, то разность (5) равна Зх2, а эта величина всегда положительна.

Поскольку разность (5) не сохраняет знака, в точке P1 (0; 0) экстремума нет. Поверхность

z = х3 + у3 — Зху + 1

в точке (0; 0; 1) имеет вид седла (наподобие гиперболического параболоида).

2б) Для точки Р2 (1; 1) имеем:

 

f (x,y) – f (1; 1) = x3+ y3 - 3xy + l. (6)

Докажем, что эта разность в достаточной близости от точки (1; 1) сохраняет положительный знак. Положим:

 

х = 1 + α, у = 1+ β. (7)

Разность (6) преобразуется к виду

3(α 2 - α β + β2) + (α 3 + β3) (8)

Первый член при всех ненулевых значениях α, β положителей и притом больше чем 3/2 2 + β2). Второй член может быть и отрицательным, но при достаточной малости | α | и | β |он по абсолютному значению меньше чем α 2 + β2. Значит, разность (8) положительна.

Стало быть, в точке (1; 1) данная функция имеет минимум.

 

§ 8. Теорема Чевы

 

Теорема Чевы — это классическая теорема геометрии треугольника. Эта теорема аффинная, т. е. она может быть сформулирована используя только характеристики сохраняющиеся при аффинных преобразованиях. Теорема названа в честь итальянского математика Джованни Чевы, который доказал её в 1678 году.


Начнём с определения: Отрезок, соединяющий вершину треугольника с некоторой точкой на противоположной стороне, называется чевианой.

Три чевианы AA',BB',CC' треугольника \triangle ABC конкурентны тогда и только тогда, когда

|BA'|\cdot |CB'|\cdot |AC'|=|CA'|\cdot |AB'|\cdot |BC'|

Если стороны BC, CA, AB треугольника ABC разделены в отношениях BP/PC = λ ≠ 0, CQ/QA = µ ≠ 0, AR/ RB = υ ≠ 0, то прямые AP, BQ, CR принадлежат одному и тому же пучку (собственному или несобственному) тогда и только тогда, когда λ, µ, υ = 1.

Эту теорему можно обобщить на случай когда точки A',B',C' лежат на продолжениях сторон BC,CA,AB. Для этого надо воспользоваться «отношением направленных отрезков», оно определено для двух направленных отрезков XY и ZT на одной прямой (или на параллельных прямых) и обозначается XY / ZT.

Пусть A',B',C' лежат на прямых BC,CA,AB треугольника \triangle ABC. Прямые AA',BB',CC' конкурентны тогда и только тогда, когда

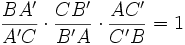
\frac{BA'}{A'C}\cdot \frac{CB'}{B'A}\cdot \frac{AC'}{C'B}=1

§9. Задачи о треугольнике наименьшего периметра, вписанного в остроугольный треугольник

 

Условие

Впишите в данный остроугольный треугольник ABC треугольник наименьшего периметра.

Решение

Пусть A1 — вершина искомого треугольника, принадлежащая стороне BC треугольника ABC. Рассмотрите образы точки A1 при симметриях относительно прямых AB и AC.

Пусть вершины A1, B1 и C1 треугольника A1B1C1 принадлежат сторонам соответственно BC, AC и AB треугольника ABC. Рассмотрим точки M и N, симметричные точке A1 относительно прямых AB и AC соответственно. Тогда, если PA1B1C1 — периметр треугольника A1B1C1, то

 

PA1B1C1 = A1C1 + C1B1 + B1A1 = MC1 + C1B1 + B1N MN,

причём равенство достигается только в случае, если прямая MN проходит через точки B1 и C1. Поскольку AM = AA1 = AN, то треугольник MAN — равнобедренный и

MAN = 2BAA1 + 2A1AC = 2BAC.

Следовательно,

 

MN = 2AM sinBAC = 2AA1sinBAC 2h sinBAC,

где h — высота треугольника ABC, проведённая из вершины A. Равенство достигается только в случае, когда точка A1 — основание высоты.

Отсюда следует, что искомый треугольник — это треугольник с вершинами в основаниях высот данного, т.е. ортотреугольник данного треугольника. Действительно, пусть AA", BB" и CC" — высоты треугольника ABC, а точки A1, B1 и C1 расположены на сторонах соответственно BC, AC и AB. Если треугольник A1B1C1 не совпадает с треугольником A"B"C", то по ранее доказанному

 

PA1B1C1 PA"B1C1 PA"PQ,

где P и Q — точки пересечения прямой MN со сторонами соответственно AB и AC треугольника ABC. При этом хотя бы один из знаков неравенства — строгий. Значит, искомый треугольник минимального периметра — это треугольник A"PQ. Если бы точка P не совпадала с точкой C", то, повторив предыдущие рассуждения, построили бы треугольник, площадь которого меньше площади треугольника A"PQ, что невозможно. Аналогично для точки Q. Таким образом, точка P совпадает с C", а точка Q — с точкой B".

1. Изложенное решение основано на доказательстве Фейера (L.Fejer). Это, а также другие изящные доказательства данного утверждения (Г.А.Шварц, Л.Шрутка, Бюкнер) см. в книге Г.Радемахера и О.Теплица "Числа и фигуры" (М.,1962, с.36-46).

2. Другой способ доказательства того, что точки P и Q пересечения прямой MN со сторонами соответственно AB и AC также будут основаниями высот треугольника ABC.

Поскольку AM = AA" = AN, то точки M, A" и N лежат на окружности с центром A и радиусом AA". Тогда

A"NP = A"AP

(вписанный угол равен половине соответствующего центрального). Поэтому из точек A и N отрезок A"P виден под одним и тем же углом. Значит, точки A, P, A", N лежат на одной окружности.

С другой стороны, треугольники AA"C и ANC симметричны относительно прямой AC, поэтому они равны. Значит, из точек A" и N отрезок AC виден под прямым углом, поэтому эти точки лежат на окружности с диаметром AC. Поскольку через три точки, не лежащие на одной прямой, проходит ровно одна окружность, то все пять точек A, P, A", C и N лежат на окружности с диаметром AC. Тогда из точки P диаметр AC виден под прямым углом, т.е. CP — высота треугольника ABC. Аналогично докажем, что BQ — также высота треугольника ABC.

Заключение

В этой курсовой работе я изучила некоторые теоремы, позволяющие решать задачи на экстремумы, проиллюстрировала их применение.

В заключение этой работы, на мой взгляд, следует провести однозначную черту под бесспорным фактом целесообразности и полезности применения ряда задач элементарной геометрии на построение некоторых фигур таким образом, чтобы один из параметров получил наибольшее или наименьшее значение. Во многих случаях решение можно получить без применения методов математического анализа.

Список литературы

1. С.И. Зетель, «Задачи на максимум и минимум», Москва

2. С.А. Теляковский, «Алгебра», Москва, 2001г.

3. Ю.Н. Макарычев, «Математика», Москва, 1988г.

4. Г.С.М. Коксетер, С.П. Грейтцер, «Новые встречи с геометрией», 1978г.


Не нашли материал для своей работы?
Поможем написать уникальную работу
Без плагиата!
Без нейросетей!