Задачи на отыскание наибольшего и наименьшего значения функции
Министерство
образования и науки Российской Федерации
Пензенский
Государственный Педагогический Университет им. В.Г. Белинского
Курсовая
работа по теме:
Задачи
на отыскание наибольшего и наименьшего значения функции
Пенза
Введение
Большую часть своих усилий человек тратит на
поиск наилучшего, или как часто говорят, оптимального, решения поставленной
задачи. Как, располагая определёнными ресурсами, добиться наиболее высокого
жизненного уровня, наивысшей производительности труда, наименьших потерь,
максимальной прибыли, минимальной затраты времени - так ставятся вопросы, над
которыми приходится думать каждому члену общества. Не все такие задачи
поддаются точному математическому описанию, не для всех из них найдены короткие
пути решения. Однако часть таких задач поддаётся исследованию с помощью методов
математического анализа - это задачи, которые можно свести к нахождению
наибольшего и наименьшего значения функции.
Данная тема в школьном курсе алгебры
недостаточно раскрыта. В учебниках школьной программы задачи такого вида
рассматриваются в пункте о применении производной, а другие методы не
рассматриваются. В то же время, актуальность этой темы очень высока, так как
решение многих практических задач сводится к нахождению наибольшего и наименьшего
значений. Крайне важен тот факт, что задачи на нахождение наибольшего
(наименьшего) значения величины регулярно встречаются в части C единого
государственного экзамена, как задания высокого уровня сложности, причем
обладают одним из самых высоких рейтингов. Отсюда вытекает, что учащиеся должны
в совершенстве владеть данным материалом. Соответственно и сам учитель должен
быть компетентен в этом вопросе.
Поэтому целью моей работы является
систематизация методического материала по данной теме из различных пособий в
помощь учителю и учебников.
1. Общие положения
.1 Историческая справка
Задачи на максимум и минимум на протяжении всей
истории математики играли важную роль в развитии этой науки. За все это время
накопилось большое число красивых, важных, ярких и интересных задач в
геометрии, алгебре, физике и т.п. В решении этих конкретных задач принимали
участие крупнейшие ученые прошлых эпох - Евклид, Архимед, Аполлоний, Герон,
Тарталья, Торричелли, Иоганн и Якоб Бернулли, Ньютон и многие другие. Решение
конкретных задач стимулировало развитие теории, и в итоге были выработаны
приемы, позволяющие единым методом решать задачи самой разнообразной природы
Задачи на максимум или минимум называют
экстремальными задачами в математике. С простейшими экстремальными задачами
знакомят в школе, в общем виде теория экстремальных задач изучается в
университетах. В Древней Греции уже давно (во всяком случае до VI века до н.э.)
знали об экстремальных свойствах круга и шара, например:
среди плоских фигур с одинаковым периметром
наибольшую площадь имеет круг (решение изопериметрической экстремальной
задачи);
шар имеет максимальный объем среди
пространственных фигур с одинаковой площадью поверхности (решение изопифанной
экстремальной задачи).
История сохранила легенду о следующей самой
древней экстремальной задаче, известной как задача Дидоны. Финикийская царевна
Дидона (IX век до н.э.) решила организовать поселение на берегу понравившегося
ей залива в Северной Африке. Она уговорила вождя местного племени отдать ей клочок
земли, который можно охватить воловьей шкурой. Воины Дидоны разрезали шкуру на
тонкие полоски, и Дидона охватила ремнем, составленным из этих полосок, участок
земли на берегу залива. Так возник город Карфаген. Задача Дидоны состоит в
указании формы границы участка, имеющей заданную длину, при которой площадь
участка максимальна. Если знать экстремальное свойство круга, то решение
получается немедленно: граница участка представляет часть окружности, имеющей
заданную длину. Так же известна следующая задача Евклида (IV век до н.э.): в
заданный треугольник ABC вписать параллелограмм ADEF наибольшей площади.
После гибели античной цивилизации научная жизнь
в Европе стала возрождаться только в XV веке. Экстремальные задачи оказались
среди тех, которыми интересовались лучшие умы того времени. Если в античные
времена экстремальные задачи исследовались только геометрическими методами, и
каждая задача для своего решения требовала специфического приема, то в XVII
веке появились общие методы изучения экстремальных задач, которые привели к
созданию дифференциального и интегрального исчислений. Первые элементы
математического анализа были созданы И. Кеплером (1615 год), который так
описывает появление своего открытия: "Мне как хорошему хозяину следовало
запастись вином. Я купил его несколько бочонков. Через некоторое время пришел
продавец - измерить вместимость бочонков, чтоб назначить цену на вино. Для
этого он опускал в каждый бочонок железный прут и, не прибегая ни к какому
вычислению, немедленно объявлял, сколько в бочке вина". После размышлений
Кеплер открыл секрет такого простого способа измерения объема бочек. Оказалось,
что бочары за долгую историю научились изготавливать бочки такой формы, при
которой они имели наибольший объем при заданной длине мокрой части прута. А
поскольку в окрестности максимума значения функции изменяются мало (в этом суть
открытия И. Кеплера), то торговец вина почти не ошибался при объявлении объема
бочки по одному измерению.
Открытое И. Кеплером основное свойство
экстремумов было, затем оформлено в виде теоремы сначала П. Ферма (для
многочленов), потом И. Ньютоном и Г.В. Лейбницем для произвольных функций и
носит теперь название теоремы Ферма, согласно которой в точке экстремума x0
непрерывной функции f(x) производная функции равна нулю. С тех пор исследование
функций с помощью анализа бесконечно малых величин стало одним из мощнейших
математических методов и привело к созданию современного математического
анализа.
О месте темы в курсе математики средней школы
Такие свойства функции, как монотонность
(убывание и возрастание), а позднее экстремум функции (максимум и минимум),
наибольшее и наименьшее значение функции, неоднократно рассматриваются
учащимися в курсе математики средней школы, например, при изучении линейной
функции, квадратной и кубической парабол, при исследовании квадратного
трёхчлена, при рассмотрении свойств тригонометрических, показательных и
логарифмических функций. Внимание к изучению именно этих свойств вполне
естественно, так как они характеризуют важнейшие стороны явлений
действительности, описываемых теми или иными функциями. Однако до введения
понятия производной в нашем распоряжении нет инструмента, с помощью которого
можно исследовать разнообразные функции единым методом. Следовательно, для того
чтобы рассматривать приложения производной к исследованию функций, должен быть,
во-первых, накоплен некоторый запас функций, исследованных так называемыми
элементарными методами, причём опыт анализа должен подвести обучаемых к
пониманию необходимости обобщения и, во-вторых, учащиеся должны в основном
овладеть самим инструментом исследования, т.е. достаточно отчётливо
представлять, что такое производная.
По современной программе этим требованиям
соответствует 10-11 классы, в которых и предусмотрена специальная тема:
«Применение производной». Разумеется, что применение производной к исследованию
функции не ограничивается рамками этой темы, а продолжается в процессе изучения
всего курса начала анализа, в особенности при изучении показательной,
логарифмической и тригонометрических функций, изучаемых несколько позднее.
1.2 Анализ учебников
Требования Госстандарта образования к умениям и
навыкам учащихся гласят, что учащиеся должны уметь:
вычислять производные и первообразные
элементарных функций, используя справочные материалы;
исследовать в простейших случаях функции на
монотонность, находить наибольшие и наименьшие значения функций, строить
графики многочленов и простейших рациональных функций с использованием аппарата
математического анализа;
вычислять в простейших случаях площади с
использованием первообразной;
использовать приобретенные знания и умения в
практической деятельности и повседневной жизни для решения прикладных задач, в
том числе социально-экономических и физических, на наибольшие и наименьшие
значения, на нахождение скорости и ускорения;
применять аппарат математического анализа к
решению задач.
Исходя из требований стандарта можно сделать
вывод, что учащиеся должны владеть элементарными навыками математического
моделирования и в частности, уметь применять математический аппарат при решении
задач на отыскание наибольших и наименьших значений различных величин при
заданных условиях. Таким образом, реализуется прикладная направленность
обучения математике, и осуществляются межпредметные связи с другими
дисциплинами. В первую очередь учащиеся должны владеть универсальным методом
решения задач на оптимизацию, методом, включающим в себя построение некоторой
функции и отыскание ее экстремумов с помощью производной.
Рассмотрим, как данную тему вводят такие авторы
учебников как Мордкович А.Г., Колмогоров А.Н., Башмаков М.И.
Сначала рассмотрим серию учебников под редакцией
А.Г. Мордковича.
В 7 классе учащиеся первый раз сталкиваются с
задачами на экстремум при изучении координатной прямой. Здесь им приходится
решать задачи на нахождение наибольшего и наименьшего числа на взятом
промежутке, нахождение наибольших и наименьших значений функций на отрезке. Вот
пример одной из таких задач:
Укажите наибольшее число, принадлежащее
промежутку а) [-15; -11];
б) [5; 7); в) [5; 7].
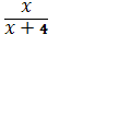
Так же в 7 классе а теме «Линейная функция»
Мордкович А.Г. вводит само понятие наибольшего и наименьшего значения функции
на отрезке. Он рассматривает линейную функцию y = на отрезке [0;6].
Рис. 1
Соответствующий отрезок графика
выделяется на чертеже. Замечается, что самая большая ордината у точек,
принадлежащих выделенной части, равна 7 - это и есть наибольшее значение
заданной линейной функции на отрезке. Записывается это следующим образом 
. Далее отмечается, что самая
маленькая ордината у точек, принадлежащих выделенной на рисунке части прямой,
равна 4 - это и есть наименьшее значение линейной функции на отрезке [0; 6].
Записывают так 
.
В 8 и 9 классах учащиеся продолжают
сталкиваться с задачами на нахождение наибольшего и наименьшего значения при
изучении квадратичной функции, функции y =
, у = (8 класс) и при изучении темы
«Неравенства» (9 класс). Здесь ученикам приходится решать задачи, как на
нахождение наименьшего числа удовлетворяющего системе уравнений, нахождение
наименьшего и наибольшего значения функций вида у= 
на отрезке.
Приведём несколько примеров:
(8 класс). Постройте график функции
у = 
. С помощью графика найдите:
а) значения у при х = 4; 7; 16;
б) значения х, если у = 0; 1; 3;
в) наименьшее и наибольшее значения
функции на отрезке [0; 4];
г) при каких значениях х график
функции расположен выше прямой
у = 1; ниже прямой у = 1.
(8 класс) Найдите наименьшее и
наибольшее значения функции y=
:
а) на отрезке [0; 4];
б) на луче [3; +
);
в) на отрезке [1; 9];
г) на полуинтервале (2; 9].
(8 класс) Постройте график функции у
= 
. С помощью графика найдите:
а) значения у при х = -3; 1; 6;
б) значения х если у = 3; -1; -6;
в) наименьшее и наибольшее значения
функции на отрезке [-3; -1];
(9 класс) Решите двойное неравенство
0<1+4x<17 и укажите наименьшее и наибольшее целые числа, которые являются
его решениями.
(9 класс) Найдите наименьшее целое
число, удовлетворяющее системе неравенств
В 10 же классе Мордкович А.Г.
посвящает теме целый параграф под названием «Применение производной для
отыскания наибольших и наименьших значений величин», который состоит из 2
пунктов:
•Отыскание наибольшего и наименьшего
значений непрерывной функции на промежутке;
•Задачи на отыскание наибольших и
наименьших значений величин.
В первом пункте параграфа
рассматривается нахождение наибольшего и наименьшего значения функции на
отрезке. Автор отмечает, что производная используется в тех случаях, когда
графически или с помощью рассуждений отыскать наибольшее и наименьшее значения
функции невозможно. Потом автор говорит о ряде теорем из курса математического
анализа, которые приводятся без доказательства:
Если функция непрерывна на отрезке,
то она достигает на нём и своего наибольшего, и своего наименьшего значений.
Наибольшего и наименьшего значений
непрерывная функция может достигать как и на концах отрезка, так и внутри него.
Если наибольшее (или наименьшее)
значение достигается внутри отрезка, то только в стационарной или критической
точке.
Далее в данном пункте приведен
алгоритм нахождения наибольшего и наименьшего значения функции на отрезке:
. Найти производную.
. Найти стационарные и критические
точки функции, лежащие внутри отрезка.
. Вычислить значения функции в
точках, отобранных на втором шаге, и на концах отрезка; выбрать среди этих
значений наименьшее (это будет наименьшее значение) и наибольшее (это будет
наибольшее значение).
Так же в этом пункте автор говорит о
нахождении наибольшего и наименьшего значений функции на интервале. Он приводит
следующую теорему:
Пусть функция y = f(x) непрерывна на
промежутке X и имеет внутри него единственную стационарную или критическую
точку x = x0. Тогда:
а) если x = x0 - точка максимума, то
yнаиб.=f(x0);
б) если x = x0 - точка минимума, то
yнаим.=f(x0).
После которой разобран пример.
Во втором пункте параграфа автор
рассматривает уже текстовые задачи, в которых требуется найти наименьшее или
наибольшее значение какой-либо величины. Такие задачи он называет задачами на
оптимизацию (от латинского слова optimum - «наилучший»). В самых простых
задачах на оптимизацию мы имеем дело с двумя величинами, одна из которых
зависит от другой, причем надо найти такое значение второй величины, при
котором первая принимает свое наибольшее или наименьшее (наилучшее в данных
условиях) значение. Для решения задач на оптимизацию Мордкович А. Г. предлагает
схему из трех этапов математического моделирования:
. Составление математической модели;
. Работа с моделью;
. Ответ на вопрос задачи.
Примеры задач:
Найти наибольшее и наименьшее
значения функции на указанном отрезке:
y =
-3 на [0;2].
Нужно огородить участок
прямоугольной формы забором длиной 200м. Каковы должны быть размеры
прямоугольника, чтобы его площадь была наибольшей?
Представьте число 3 в виде суммы
двух положительных слагаемых так, чтобы сумма утроенного первого слагаемого и
куба второго слагаемого была наименьшей.
Боковые стороны и одно из оснований
трапеции равны 15 см. При какой длине второго основания площадь трапеции будет
наибольшей?
Памятник состоит из статуи и
постамента. К памятнику подошел человек. Верхняя точка памятника находится выше
уровня глаз человека на a м, а верхняя точка постамента - на b м. На каком
расстоянии от памятника должен стоять человек, чтобы видеть статую под
наибольшим углом?
В данных примерах при решении
требуется использование производной. Но у Мордковича А.Г. также есть ряд задач,
в которых нужно найти наибольшее и наименьшее значения заданной функции без
использования производной. Например:

на [
]
Так же имеются задачи на нахождение
наибольшего и наименьшего значения функции на промежутке:
=
на (0;4]= 
на (-∞;0]
2) «Алгебра и начала анализа 10-11
класс», под ред. Колмогорова А.Н.
Данная тема в учебнике под ред.
Колмогорова А.Н. называется «Наименьшее или наибольшее значение функции». Колмогоров
А.Н., в отличие от Мордковича А.Г., не разбивает рассматриваемую тему на
подпункты. Он так же как и Мордкович А.Г. отмечает, что в курсе математического
анализа доказывается следующая теорема, называемая теоремой Вейерштрассе:
непрерывная на отрезке функция принимает на этом отрезке наибольшее и
наименьшее значения. Т.е. существуют точки отрезка, в которых функция принимает
наибольшее и наименьшее значения.
Далее автор учебника проводит
рассуждения о том как найти наибольшее или наименьшее значения функции. Но
чёткого алгоритма нахождения наибольшего или наименьшего значений функции, как
у Мордковича А.Г. у него нет. Излагая метод поиска наибольших и наименьших
значений функции на отрезке в начале пункта, он отмечает, что данный метод
применим и к решению разнообразных прикладных задач. После этого он, как и
Мордкович А. Г., предлагает схему решения таких задач, называемую методом
математического моделирования:
задача «переводится» на язык
функции. Для этого выбирают удобный параметр x, через который интересующую нас
величину выражают как функцию f(x);
средствами анализа ищется наибольшее
или наименьшее значение этой функции на некотором промежутке;
выясняется, какой практический смысл
(в терминах первоначальной задачи) имеет полученный (на языке функций)
результат.
Приведём примеры задач из данного
учебника:
Найдите наибольшее и наименьшее
значения функции y =
на промежутках [-3;-2] и [1;5]
Сравните наибольшее значения функции
на промежутке P1 и наименьшее её значение на промежутке P2: y=
, P1=[-4;0], P2=[3;4]
Материальная точка движется по
прямой согласно закону (t)=
, где s(t) - путь в метрах и t -
время в секундах. В какой момент времени из промежутка [4;10] скорость движения
точки будет наибольшей и какова величина этой скорости?
Число 24 представьте в виде суммы
двух неотрицательных слагаемых так, чтобы сумма квадратов этих чисел была
наименьшей.
Из круглого бревна вырезают балку с
прямоугольным сечением наибольшей площади. Найдите размеры сечения балки, если
радиус сечения бревна равен 20 см.
Лодка находится на озере на
расстоянии 3 км от ближайшей точки А берега. Пассажир лодки желает достигнуть
села В, находящегося на берегу на расстоянии 5 км от А (участок АВ берега
считаем прямолинейным). Лодка движется со скоростью 4 км/ч, а пассажир, выйдя
из лодки, может в час пройти 5 км. К какому пункту берега должна пристать
лодка, чтобы пассажир достиг села в кратчайшее время?
Докажите, что из всех прямоугольных
треугольников с заданной гипотенузой наибольшую площадь имеет равнобедренный
треугольник.
Можно заметить, что учебник
Колмогорова более насыщен разнообразными задачами на нахождение наибольшего и
наименьшего значения функций чем учебник Мордковича А.Г.
) «Алгебра и начала анализа 10-11
класс», Башмаков М.И.
В учебнике Башмакова М.И. данная
тема рассматривается в отдельном параграфе «Приложения производной» в пункте
называемом «Задачи на максимум и минимум». Хочется заметить, что в учебнике
Башмакова М.И. теории нет как таковой. В начале пункта автор показывает, что
данная тема имеет практическое приложение в обыденной жизни. Что большую часть
своих усилий человек тратит на поиск наилучшего решения задачи, которая перед
ним возникает. Далее Башмаков М.И. выделяет алгоритм нахождения наибольшего и
наименьшего значений, когда функция задана на отрезке и имеет производную во
всех точках этого отрезка:
Найти критические точки;
Вычислить значения функции во всех
критических точках и на концах отрезка;
Из найденных значений найти
наибольшее и наименьшее.
Потом рассматривается ряд графиков,
изучив которые, учащимся предлагается самостоятельно подумать над тем, что
происходит с наибольшим и наименьшим значениями этих функций. Далее автор
рассматривает ряд задач на нахождение наибольшего и наименьшего значений. В
отличие от Мордковича А.Г. и Колмогорова А.Н., Башмаков М.И. не дает конкретной
схемы решения прикладных задач. И это усложняет процесс усвоения данной темы.
Следует отметить, что предлагаемые Башмаковом М.И. задачи на данную тему весьма
сложные, и решить их сможет не каждый ученик. Проверить правильность решения
так же не удастся, так как и ответы к данному пункту не приведены.
Примеры задач:
Найдите наибольшее и наименьшее
значения функции на указанном отрезке y = 
на [
]
Найдите наименьший член
последовательности an=
Какую наименьшую площадь полной
поверхности может иметь цилиндр. Если его объём равен V?
Найдите число, которое, если сложить
со своим квадратом, даст наименьшую сумму.
Стоимость эксплуатации катера,
плывущего со скоростью v км/ч, составляет (90+
) рублей в час. С какой скоростью
должен плыть катер, чтобы стоимость 1 км путь была наименьшей?
На странице книги печатный текст
должен занимать 150 см2. Верхнее и нижнее поля страницы по 3 см, правое и левое
- по 2 см. если принимать во внимание только экономию бумаги, то каковы должны
быть наиболее выгодные размеры страницы?
2. Методика изучения темы
«Нахождение наименьшего и наибольшего значения функции на отрезке»
математика задача
функция урок
При составлении данной методики я
опиралась на учебник Мордковича А.Г.
К моменту введения данной темы
учащиеся уже накопили некоторый опыт отыскания наибольшего и наименьшего
значения функции. Чаще всего они использовали для этого график функции. Поэтому
в начале изучения темы учащимся предлагается построить несколько графиков
функции и по ним определить наибольшее и наименьшее значения функции. Например,
функции могут быть такими
Рис. 2
Рис. 3
Рис. 4
Довольно легко можно определить, что
наибольшее значение на рис.1 будет равняться
, а наименьшее значение 
. На рис.2 наибольшее значение
равняется 4, а наименьшее значение 0. На рис.3 наибольшее значение равняется 6,
а наименьшее значение
.
Далее можно несколько усложнить
задачу и попросить найти наибольшее и наименьшее значения функции, не прибегая
к построению графика. Для этого можно рассмотреть следующий график функции y =
. В этом случае рассуждают так:
ясно, что, значит (это значение достигается функцией в точке x=0). С другой
стороны, ясно, что 
, значит yнаим=0 (это значение
достигается функцией при x=3 или x=-3).
Так как обучение строится
конкретно-индуктивным методом, мы должны подвести учащихся к следующему
правилу:
Если известно, что на отрезке [a,b]
функция f(x) монотонна, то наибольшее и наименьшее значение этой функции
принимается в концах отрезка, а именно, если f(x) - возрастающая функция, то
f(a) - наименьшее значение и f(b) - наибольшее значение функции f(x); если же
если f(x) - убывающая функция, то f(a) - наибольшее значение и f(b) -
наименьшее значение функции f(x).
Для этого вначале целесообразно
рассмотреть конкретные примеры, с помощью которых учащиеся выйдут на это
правило и смогут самостоятельно сформулировать его. Например, можно рассмотреть
такую функцию как y=x2 для xÎ[0,1].
Выясняем, как ведет себя функция на отрезке: она непрерывная и возрастающая.
Далее делаются выводы о том, что 
- наименьшее значения функции, 
- наибольшее значение функции.
Целесообразно рассмотреть ещё ряд аналогичных примеров для лучшего понимания.
Далее задание опять несколько
усложняется. Учащимся предлагается рассмотреть функцию y=f(x) заданную на
отрезке [a,b] (см. рис. 5)
Рис. 5
Видно, что данная функция является
непрерывной на отрезке, но не является монотонной. По рисунку определяется, что
наибольшее значение функция имеет в точке x=x5, а наименьшее в точке x=a.
Приведя, таким образом, ряд
примеров, мы подвели учащихся к тому, что наибольшее и наименьшее значение
функция непрерывная на указанном отрезке может достичь в стационарных,
критических точках, входящих в отрезок, а так же на концах отрезка. Далее
вместе с учащимися составляется алгоритм нахождения наибольшего и наименьшего
значений функции на отрезке, и этот алгоритм закрепляется на примерах подобных
следующим.
Пример 1. Найти наибольшее и наименьшее
значение функции (x)=
на отрезках: а) [-8;-1] б) [-1;1]
Решение. Функция f(x) определена на
всей числовой прямой. Найдём fˊ(x):fˊ(x)=конечная
производная fˊ(x)
существует на всей числовой прямой, кроме x=0. Заметим, что fˊ(x)=0 при
Таким
образом, точки x1=0 и x2=
являются
критическими точками данной функции.
а) Пусть xÎ[-8;-1],
тогда ни одна из критических точек не попадёт в этот отрезок. Так как для xÎ(-∞;0)
производная данной функции fˊ(x)>0, то, следовательно, и для xÎ[-8;-1] fˊ(x)>0,
т.е. функция f(x) возрастает на отрезке [-8;-1]. Из последнего следует, что её
наименьшее значение на отрезке [-8;-1] будет при x= -8, т.е. 
, а наибольшее при x=-1, т.е. 
б) Пусть теперь xÎ[-1;1],
тогда обе критические точки принадлежат этому отрезку. Поэтому для нахождения
на отрезке [-1;1] наибольшего и наименьшего значения функции следует
рассмотреть значение функции f(x) в точках: x1=-1, x2=0, x3=
x4=1:(1)=-3, f(0)=0, f(
) ≈-1,03
и f(1)=-1. Таким образом,

и 
Пример 2. Найти наибольшее и
наименьшее значение функции (x)=
на отрезке [0;3].
Решение. Найдём производную данной
функции: fˊ(x)=
=
=
.
Найдём критические точки: x1=1,
x2=2.
Рассмотрим теперь значения данной
функции в точках x1=0, x2=1, x3=2 и x4=3: f(0)=-3, f(1)=2, f(2)=1, f(3)=6.
Далее из конечного множества чисел {-3,1,2,6} следует выбрать наименьшее и
наибольшее, они и будут являться наименьшим и наибольшим значениями функции
соответственно. Т.е. 
, a 
.
2.1 Конспект урока по теме
«Нахождение наименьшего и наибольшего значения функции на отрезке»
Конспект урока написан с опорой на
учебник Мордковича А.Г. “Алгебра и начала анализа 10-11”. На тему “Наибольшее и
наименьшее значение функции” отводится 5 часов. Данный урок является первым в
изучаемой теме.
Цели урока
Образовательные: вывести алгоритм
нахождения наибольшего (наименьшего) значения функции на отрезке; первичное
закрепление полученных знаний в процессе решения несложных задач.
Развивающие: создать условия для
развития практического и творческого мышления; развитие познавательного
интереса учащихся; развитие алгоритмической культуры.
Воспитательные: создать условия для
осознания учащимися ценности математических знаний, как средства познаний
окружающего мира; воспитание устойчивого интереса к изучению математики.
Структура урока:
Организационный этап; сообщение темы
урока(2 мин)
Актуализация опорных знаний (7 мин)
Ознакомление с новым материалом (15
мин)
Обобщение и первичное закрепление
нового материала (17 мин)
Подведение итогов урока (2 мин)
Домашнее задание (2 мин)
Предварительная подготовка к уроку.
записать словосочетания: критические
точки, концы отрезка
на доске записывается эпиграф к
уроку
вывешиваются плакаты
“Математика представляет искуснейшие
изобретения, способные удовлетворить любознательность, облегчить ремесла и
уменьшить труд людей”. Декарт Р.
Ход урока. Организационный момент.
Обращается внимание на готовность
класса: учебники, задачники, линейки, черновики.
Здравствуйте, ребята, садитесь.
Откройте свои тетради, запишите тему урока: «Отыскание наибольшего и
наименьшего значений непрерывной функции на отрезке».. Актуализация опорных
знаний.
Учитель: Прежде чем перейти к
изучению новой темы, давайте вспомним, какие точки называются точками
максимума?
Ученики: Точку х = х0 называют
точкой максимума функции у = f(x), если у этой точки существует окрестность,
для всех точек которой выполняется неравенство f(x) ≤ f(x0).
Учитель: Совершенно верно, а точкой
минимума?
Ученики: Точку х = х0 называют
точкой минимума функции у = f(x), если у этой точки существует окрестность, для
всех точек которой выполняется неравенство f(x) ≥ f(x0).
Учитель: Каким термином мы с вами
условились называть точки максимума и минимума?
Ученики: Точками экстремума
Учитель: Хорошо. А что же мы
понимаем с вами под наибольшим и наименьшим значением функции? С данным
понятием вы уже знакомы с 7 класса!
Ученики: Данные понятия мы
рассматривали в глобальном смысле, т.е. мы говорили о наибольшем (наименьшем)
значении функции во всей рассматриваемой области определения.
Учитель: Хорошо, мы разграничили с
вами данные понятия. Давайте приступим к следующему заданию. У вас на партах
лежат листочки с вопросами (приложение 1), на которые вы будете отвечать. В
течении минуты можно обсуждать ответ с соседом по парте. (данные задания
выполняются устно)
Какие точки называют критическими?
(внутренние точки области определения функции, в которых функция непрерывна, в
которых производная не существует)
Какие точки называются
стационарными? (точки, в которых производная функции равна нулю называются
стационарными)
Назовите на рис. 1 критические
точки. ( f(0) = 4 и f(2) = 0 - крит. точки)
Рис. 6
Каков алгоритм нахождения
критических точек? (находим производную функции; приравниваем её к нулю и
решаем полученное уравнение; корни полученного уравнения и будут критическими
точками исходной функции)
Внимательно посмотрите на рисунки 2,
3, 4,5, 6 вывешенные на доске (и подумайте, верно ли утверждение, что на
заданных отрезках наибольшее значение функция принимает в точке максимума).
Рис. 7 Рис.
8
Рис. 9
Ответ на 5 вопрос: ученики должны
самостоятельно сделать вывод о том, что функция может принимать наибольшее
значение не только в точке максимума, но и в концах отрезка.. Ознакомление с
новым материалом
. Подготовка к выводу алгоритма
Учитель: Давайте посмотрим на каждый
из рисунков и определим, в каких точках функция достигает наибольшего или
наименьшего значения. Точки, о которых будем вести речь условно разделим на два
вида: критические точки, концы отрезка (обращаемся к записи этих терминов на
доске).
Показываем образец ответа на 2
рисунке: функция достигает наименьшего значения - на конце отрезка, наибольшего
- в критической точке. Ниже рисунка делается запись:

, x=0 - стац. точка
,= -1 - конец отрезка
Ученики делают аналогичные
заключения по каждому рисунку, учитель записывает результаты под каждым
чертежом.

=2 - стац. точка, х=0 - стац. точка
Под рис.4: 
; 
1
х=b - конец отрезка, х=3 - стац.
точка
Под рис.5: 
;
х=4 - конец отрезка, х=1 - стац.
точка

;
х=4 - конец отрезка, х=1 - конец
отрезка

;
х=-1 - крит. точка, х=3,5 - стац.
точка,
х=6 - конец отрезка
Рис. 10
Учитель: Давайте обобщим, в каких
точках на отрезке функция может принимать наибольшее или наименьшее значение?
Ученики: В критических точках,
стационарных или на концах отрезка.
Учитель: А теперь перейдем от наглядного
графического способа нахождения наибольшего (наименьшего) значения функции на
отрезке к более абстрактному - аналитическому. Задана функция y = 3x2 - 6x + 5,
требуется найти наибольшее и наименьшее значение этой функции на отрезке
[-3;5]. Ваши действия? Чтобы решение проблемы было действенным, составим
алгоритм нахождения наибольшего и наименьшего значения функции на отрезке.
. Вывод алгоритма.
Учитель: Итак, мы сделали вывод, что
функция может достигать наибольшего значения либо на концах отрезка, либо в
критических или стационарных точках, принадлежащих этому отрезку. Как вы
думаете, каким должен быть первый шаг алгоритма?
Ученики: 1. Найти критические точки
заданной функции. (Записывают в черновиках).
Учитель: Найденные критические точки
могут, как принадлежать заданному отрезку, так и не принадлежать. Все ли
найденные критические точки будут нас интересовать? Как это скажется на
следующем шаге алгоритма?
Ученики: Нет, нас будут интересовать
только те критические точки, которые принадлежать заданному отрезку.
Второй шаг алгоритма: 2. Выбрать те
критические точки, которые принадлежат заданному промежутку.
Ученики: 3. Найти значение функции в
выбранных критических точках и на концах отрезка.
Ученики: 4. Выбрать из найденных
значений функции наибольшее и наименьшее.
Учитель: А теперь сравним
составленный вами алгоритм с алгоритмом, вывешенным на доске (вывешивает
алгоритм) и обсудим существенность их разницы.
Алгоритм отыскания наименьшего и
наибольшего значений непрерывной функции у=f(x) на отрезке [a;b]
Найти область определения функции.
Найти производную f`(x).
Найти стационарные и критические
точки функции, лежащие внутри отрезка [a;b]
Вычислить значения функции у=f(x) в
точках, отобранных на предыдущем шаге, и на концах отрезка, выбрать среди этих
значений наименьшее и наибольшее.
. Первичное закрепление
Учитель: Итак, вернемся к функции y
= 3x2 - 6x + 5, и попробуем найти её наибольшее и наименьшее значение на
отрезке [-3;5], опираясь на составленный алгоритм. Учитель сам показывает
образец решения, ученики записывают решение в тетради.
Запись решения:
(y): xÎRˊ= 6x - 6;
а) Точек в которых производная не
существует - нет. б) Найдем точки в которых производная равна нулю:
х-6=0;
х=1;
Î[-3;5](-3)=27+18+5=50;(5)=75-30+5=50;
(1)=3-6+5=8.
Ответ: 

4. Работа по учебнику.
Учащиеся вместе с учителем решают
пример №934(б): найти наибольшее и наименьшее значения функции на указанном
отрезке.=
на []
Решение: (y): x ≠0ˊ=
=0 отсюда следует, что производная в
точке x=0 не существует.(
)= -32;
y(8)= -1
Ответ: 

№ 935 (б) - самостоятельно с
проверкой по отвороту. В ходе решения опираются на алгоритм, могут обращаться
за помощью к соседу и учителю. После нахождения критических точек показать
результат учителю или соседу по парте, если его уже проверил учитель.
Найти наибольшее и наименьшее
значения функции на указанном отрезке: y=
-3 на [0;2]
Решение:(y): xÎRˊ= 2x+4;
x+4=0; x=-2; -2 ∉[0;2](0)=
-3; f(2)= 9
Ответ: 

№936(б)- по желанию у доски
Найти наибольшее и наименьшее
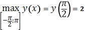
значения функции на указанном отрезке: y= -2cosx на [-2 π;
]
Решение:(y): xÎRˊ= 2sinx;
2sinx=0; x=πn, n ÎZ;
y(-2π)= -2; y(-π)=2; y(0)=-2
;y(π)=2; y(
)=0
Ответ: 

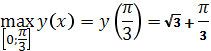
Задание для всего класса, учащийся
вызывается по журналу.
Сравните наибольшее значения функции
на промежутке P1 и наименьшее её значение на промежутке P2: y=
, P1=[-4;0], P2=[3;4]
Решение:(y): xÎRˊ= 
;

=0; x1=3, x2= -1 [-4,0]∉[-4,0], x2Î[-4,0](-4)=
16; y(-1)=11; y(0)=0;
б) [3;4]Î[3;4], x2∉[3;4]
. y(3)=27, y(4)=80; 
Ответ: 
,

. Подведение итогов.
Учитель: Чему вы научились сегодня
на уроке? Верно, ли что на отрезке наименьшее значение функция принимает в
точке минимума? Как найти наименьшее и наибольшее значение функции непрерывной
на отрезке функции, если она имеет несколько критических точек? Не имеет
критических точек?
Ученики: Сегодня мы научились
находить наибольшее и наименьшее значение функции с помощью производной. Своего
наименьшего значения функция может принимать не только в точке минимума, но так
же в критических, стационарных точках и на концах заданного отрезка. Если функция
имеет несколько критических точек, необходимо найти значение функции во всех
критических точках и на концах отрезка и из полученных значений выбрать
наибольшее и наименьшее. Если же функция не имеет критических точек, то
необходимо проверить значения функции на концах отрезка и из полученных
результатов выбрать наибольшее и наименьшее.
Учитель: Эти знания пригодятся вам
на уроках геометрии при нахождении наибольшего объема, площади поверхности
рассматриваемых фигур. Те, кто всерьез займется математикой, познакомятся с
целой областью этой науки (вариационным исчислением), которая оперирует
понятиями наибольшего и наименьшего значения функции. Ну а с практической
значимостью, рассматриваемой темы, вы уже начали знакомиться, и мы продолжим на
следующих уроках. А пока домашнее задание.
Домашнее задание.
Прочитать §32 п.1, выучить алгоритм
нахождения наибольшего и наименьшего значений функции на отрезке.
Найти наибольшее и наименьшее
значения функции на указанном отрезке.
№934(г)
г) y=
на [0,3;2]
Решение:(y): x ≠0ˊ=
;

=0 отсюда следует, что производная в
точке x=0 не существует.(0,3)= 10; y(2)= 1,5
Ответ: 

№935(в)=
+6 на [-1;4]
Решение:(y): xÎRˊ=4x-8 ;
x-8=0 ; x=2(-1) = 16; y(2) = -2,
y(4) = 6
Ответ: 

№936(а)=2sin x на [
]
Решение:(y): xÎRˊ= 2cosx;
2cosx=0; x=πn, n ÎZ; (
)= -2; y(
)=2; ; y(π)=0;
Ответ: 

№946(в)
y=tg x+x на [
]
Решение:
D(y): xÎRˊ=
=0; 
; x =1; x=
2πn, n ÎZ; x=0x =
-1; x=
2πn, n ÎZ(
) = 
; y(0)=0;
Ответ: 

3. Методика изучения темы нахождения
наименьшего и наибольшего значения функции на интервале
На данном этапе обучения учащиеся
уже накопили достаточный «багаж» знаний. Они умеют определять наибольшее и
наименьшее значения функции на отрезке с помощью графика функции, с использованием
производной, а так же без помощи производной.
Но нам необходимо поставить перед
ними задачу: как быть, если речь идёт о нахождении наибольшего или наименьшего
значения функции непрерывной на незамкнутом промежутке, например, на интервале.
Для этого можно поступить следующим
образом. Учащимся предлагается рассмотреть несколько функций. Например, тех,
что представлены на рисунках 11, 12, 13:
Рис. 11
Рис. 12
Рис. 13
Выясняется, что все функции на
заданных интервала непрерывны. По каждому графику определяется наибольшее или
наименьшее значение функции. Причём каждая из этих функций имеет, внутри
промежутка единственную критическую или стационарную точку. Так же отмечается,
что 1) на рис.1 т.с является точкой максимума, а 
) на рис.2 т.с является точкой
минимума, а
) на рис.3 т.с является точкой
минимума, 
Таким образом мы подводим их к
теореме (*):
Пусть функция у = f(x) непрерывна на
промежутке X и имеет внутри него единственную стационарную или критическую
точку х = х0. Тогда:
а) если х = х0 - точка максимума, то
унаиб = f(x0) на промежутке Х;
б) если х = х0 - точка минимума, то
унаим = f(x0) на промежутке Х.
Учащимися уже выведен алгоритм
нахождения наибольшего и наименьшего значения функции на отрезке, поэтому для
них не составит особого труда самостоятельно вывести алгоритм нахождения и
наименьшего значения функции на интервале. Можно предложить вывести данный
алгоритм самостоятельно, а потом сравнить полученный алгоритм с тем, который
даст учитель. Так же следует указать, что при составлении алгоритма, учащиеся
обратили внимание на теорему, введённую перед этим.
Алгоритм должен быть следующий:
Найти область определения функции.
Найти производную функции.
Найти стационарные и критические
точки, лежащие внутри заданного интервала.
Исследовать функцию на монотонность
и экстремумы.
Вычислить значение функции в
полученных точках и выбрать среди них наибольшее и наименьшее.
После вывода алгоритма следует
обратить внимание учащихся на то, в чём различия и сходства между двумя
алгоритмами: на нахождение наибольшего и наименьшего значения функции на
отрезке и интервале.
После этого следует закрепить
выведенный алгоритм примерами, подобными следующим:
Найти наибольшее значение функции y
= 
на луче [0;+
.
Решение:(y): xÎR
Тогда по теореме (*) 
Ответ: 
Найти наибольшее и наименьшее
значения функции y = 
на (- ∞;+∞).
Решение:(y): xÎRˊ=
= 
;

х=0
х=0 - точка минимума
Тогда по теореме (*)
Ответ: 
, наибольшего значения функции не
существует.
.1 Методика обучения решению задач
на оптимизацию
В практике большое значение имеют
так называемые задачи на экстремум: раскрой материала с минимум отходов,
обеспечение максимума дальности полёта ракеты при минимуме расхода топлива,
максимум прибыли при минимуме затрат и т.д. При решении таких задач требуется
найти наибольшее и наименьшее значение некоторых функции. Эти задачи - задачи
на оптимизацию, вызывают наибольшую трудность у учащихся. В учебнике Мордковича
А.Г. предлагается схема, по которой будут решаться такие задачи. Данная схема
состоит из трёх этапов математического моделирования:
Составление математической модели
Работа с моделью
Ответ на вопрос задачи
Конечно, целесообразно подвести
учащихся к данной схеме. Для этого можно рассмотреть ряд задач, аналогичных
следующим.
Задача №1. Дана функция f(x) = x2,
точка А(0;1,5). Найдите расстояние от точки А до М, если известно, что точка М
принадлежит графику данной функции и имеет абсциссу равную 2.
Решение: М(2;4), т.к. принадлежит
графику функции f(x) = x2.
АМ = 
Ответ:
Во второй задаче условие немного
меняется и задача усложняется.
Задача №2. Дана функция f(x) = x2,
точка А(0;1,5). Найдите координаты точки М, если известно, что она принадлежит
графику данной функции и расстояние от точки М до А равно 1,5.
Решение: Пусть абсцисса точки М
равна х, тогда ее ордината равна х2, т.к. М принадлежит графику функции f(x) =
x2. Расстояние между точками вычисляется по формуле АМ = 
Подставим в формулу координаты
точек А и М. АМ 2 = (x - 0)2 + (x2 - 1,5)2;
Т.к. по условию, расстояние равно
1,5, составляем и решаем уравнение. + (x2 - 1,5)2 = 2,25.+ x4 - 3 x2 + 2,25 -
2,25 = 0- 2x2 = 0= 0; x2 = 
; x3 = 
Ответ: (0;0), (
; 2); (
; 2);
Ну а третья задача подводит учащихся
непосредственно к алгоритму..
Задача №3. Дана функция f(x) = x2,
точка А(0;1,5). Найдите на графике данной функции координаты М, ближайшей точки
к точке А.
Решение:
Пусть абсцисса точки М равна х,
тогда ордината - х2, т.к. М принадлежит графику функции f(x) = x2. Расстояние
АМ вычисляется по формуле АМ = 
Подставляем координаты точек в
формулу.
АМ 2 = (x - 0)2 + (x2 - 1,5)2, но, в
отличие от предыдущей задачи, мы не знаем числового значения АМ, а значит, не
можем составить уравнения.
Но зато мы знаем, что АМ должно быть
наименьшим. А это очень важно. Отмечается, что в жизни часто приходится решать
задачи на нахождение оптимальной величины, т.е. задачи, в которых при
наименьших затратах необходимо получить наилучший результат. Например, какие
размеры должны быть у садового участка прямоугольной формы заданной площади,
чтобы материальные затраты на забор были наименьшими? Какие размеры должен
иметь цилиндрический бак, чтобы при заданных затратах материала его объем был
наибольшим? Указывается, что именно такая задача сейчас стоит перед нами. И
предлагается её решить.
Таким образом перед учащимися ставится
проблема решении задачи.
Сравнивая условия обеих задач,
учащиеся видят, что они очень похожи. Дана функция, координаты точки А. Надо
найти координаты точки М, если что-то известно про расстояние АМ. В частности в
первой задаче дано числовое значение АМ и мы можем, составив уравнение,
ответить на вопрос задачи. А во второй задаче известно, что расстояние АМ
должно быть наименьшим. Как учесть это условие и ответить на поставленный
вопрос? (вопрос к классу, ребята высказывают свои версии, предположения, пока
не дойдут до истины)
Следует отметить, что необходимо
ввести функцию
y(x) = АМ 2 = (x - 0)2 + +(x2 -
1,5)2 и исследовать ее на наибольшее и наименьшее значения с помощью
производной.
Т.о. рассматривается функция (x) =
x2 + (x2 - 1,5)2 = x2 + x4 - 3x2 + 2,25= x4 - - 2x2 + 2,25 (x
)
Функция непрерывна и дифференцируема
на всей числовой прямой.'(x) = 4x3 - 4x. Находим стационарные точки
(критических точек нет).' (x) = 0; 4x3 - 4x = 0; x1 = 0; x2 = 1; x3 = -1.
Отмечаем их на числовой прямой, расставляем знаки производной в полученных
промежутках и делаем вывод о монотонности функции и о ее точках экстремума.
Получили, что xmin = 1; xmin = -1; xmax = 0;
Т.к. при x = 1 и x = -1 функция y(х)
принимает наименьшее значение, то именно эти значения являются искомыми, т.е.
расстояние АМ будет наименьшим, если абсцисса точки М либо равна 1, либо -1,
т.е. М имеет координаты либо (1;1), либо (-1;1).
Ответ: (1;1), (-1;1).
После решения данной задачи учитель
просит проговорить этапы решения задачи, в результате чего составляется
алгоритм.
При решении подобных задач полезно
подчеркнуть, что она принадлежит к обширному классу более общих задач,
называемых изопериметрическими. В свою очередь, обобщение этого класса задач
привело к созданию целой области математики, называемой вариационным
исчислением. Основы этого раздела математики были заложены Л.Эйлером.
Но ученики не должны думать, что
задачи на оптимизацию решаются только с использованием производной. Для
нарушения стереотипа мышления неплохо было бы показать им один-два примера, где
наибольшее или наименьшее значения функции можно найти и без помощи
производной, с помощью элементарных алгебраических или геометрических
рассуждений. Вот одна из таких задач.
Задача: Из всех треугольников с
данным основанием a и данным углом α при вершине найти треугольник
с наибольшей биссектрисой, проведённой к основанию.
Решение. Первый
способ(аналитический)
Оптимизируемая величина - длина
биссектрисы AD (рис.1); обозначим её буквой y
Объявим независимой переменной угол
C, обозначим его буквой x; реальные границы изменения x таковы: 0 < x < 
α
По теореме синусов (для треугольника
ABC) имеем:
Значит, AB=
Теперь применим теорему синусов к
треугольнику:
Отсюда находим, что
Для функции надо найти на интервале
(0; π-
). Это сопряжено с определенными
техническими трудностями (например, связанными с дифференцированием функции, с
решением соответствующего тригонометрического уравнения).
Второй способ (геометрический)
Пусть ABC - один из треугольников с
заданным основанием и заданным углом при вершине (рис.2). Опишем около него
окружность, тогда вершины всех треугольников с основанием a и углом 
при вершине лежат на дуге BAC; один
из таких треугольников - равнобедренный, обозначим его BA1C. Проведём
биссектрису AD треугольника ABC и биссектрису A1D1 треугольника BA1C. Докажем,
что A1D1 > AD.
Продолжим обе биссектрисы до
пересечения с описанной окружностью - точкой пересечения будет точка M середина
дуги DC (равные вписанные углы BAM и MAC опираются на равные дуги BM и MC). A1M
- диаметр окружности, поэтому A1M > AM. В то же время MD > MD1, тогда A1M
- MD1 > AM - MD, т.е. A1D1 > AD.
Итак, наибольшую биссектрису имеет
равнобедренный треугольник.
Рис. 14
4. Конспект урока по теме «Задачи на
отыскание наибольших и наименьших величин»
Данный урок является первым из трех
предусмотренных программой уроков по данной теме. Учащиеся к этому времени уже
знакомы с математическим моделированием решения известных им типов задач.
Прежде чем приступить к изучению данной темы, учитель должен быть уверен, что
учащиеся владеют знаниями и навыками применения алгоритма на нахождение наибольшего
и наименьшего значений функции на заданном отрезке или интервале. Поэтому на
уроке основной упор делается на составление модели задачи и не столь подробно
рассматривается вспомогательный материал. В ходе урока предполагается, что
каждый учащийся достигнет определенного уровня понимания материала, поэтому
этап усвоения знаний разработан дифференцированно. Ожидаемый результат по
окончании изучения материала:
-й уровень: каждый ученик должен
знать схему математического моделирования и уметь применять ее для решения
типовых задач;
-й уровень: каждый ученик должен
знать схему математического моделирования и уметь применять ее для решения
типовых задач в нестандартной ситуации;
-й уровень: каждый ученик должен
знать схему математического моделирования и уметь применять ее для решения
нестандартных задач.
На первом уроке в основном
рассматриваются более привычные для учащихся задачи с математическим
содержанием. В дальнейшем предполагается решение задач с практическим
содержанием (одна из них разбирается уже на первом уроке). Для этого могут
использоваться как задачи из пособия, так и дополнительные источники.
Цели урока:
Применение математического
моделирования как способа активизации аналитического мышления.
Формирование у учащихся навыков
использования схемы для решения задач оптимизации.
Развитие навыков самостоятельной
работы.
Развитие логического мышления,
монологической речи.
Воспитание ответственного отношения
к учебному труду.
Воспитание внимания, аккуратности.
Структура урока:
Организационный этап; сообщение темы
урока(1 мин)
Актуализация опорных знаний (3 мин)
Объяснение нового материала (12 мин)
Усвоение новых знаний, решение задач
(22 мин)
Подведение итогов урока (2 мин)
Домашнее задание (2 мин)
Оборудование: учебник “Алгебра и
начала анализа 10-11” (автор: Мордкович А.Г.), задачник “Алгебра и начала
анализа 10-11” (авторы: Мордкович А.Г., Денищева Л.О. и др.), памятки с
методическими рекомендациями по решению задач, компьютер, мультимедийный
проектор.
Ход урокаэтап. Организационный
момент (1 мин.).
Здравствуйте, садитесь. Сегодня на
уроке мы продолжим изучение темы: «Нахождение наибольшего и наименьшего
значения функции». этап. Актуализация опорных знаний и умений (3 мин.).
Учитель: Для того, чтобы успешно
перейти к усвоению нового материала, нам необходимо повторить пройденный
материал. Давайте вспомним алгоритм нахождения наибольшего и наименьшего
значения функции на отрезке и на интервале.
Ученики: Для нахождения наибольшего
и наименьшего значения функции на отрезке нам нужно найти область определения
функции. Потом мы находим производную. Далее находим стационарные и критические
точки функции, лежащие внутри данного отрезка. И вычисляем значения функции в
точках, отобранных на предыдущем шаге, и в концах отрезка, потом выбираем среди
этих значений наименьшее и наибольшее.
Ученики: Для нахождения наибольшего
и наименьшего значения функции на интервале нам нужно найти область определения
функции. Потом мы находим производную. Далее находим стационарные и критические
точки функции, лежащие внутри данного интервала, исследуем функцию на
монотонность и экстремумы. И потом вычисляем значения функции в отобранных
точках, далее выбираем среди этих значений наименьшее и наибольшее.этап.
Объяснение нового материала (13 мин).
Учитель: Изучение нового материала
мы начнем сегодня с рассказа Л.Н. Толстого “Много ли человеку земли надо”. В
нем говорится о крестьянине Пахоме, мечтавшем о собственной земле. Когда он,
наконец, собрал желаемую сумму и предстал перед барином, тот ответил ему:
“Сколько за день земли обойдешь, вся твоя будет за тысячу рублей. Но если к
заходу солнца не вернешься на место, с которого вышел, пропали твои деньги.
Выбежал утром Пахом, прибежал на место и упал без чувств, обежав
четырехугольник”. Так как в задаче не сказано, какой именно четырёхугольник
обежал Пахом, то мы с вами можем предположить, что это мог быть параллелограмм,
ромб, какая-то трапеция, прямоугольник, а может вообще произвольный
четырёхугольник. Я же перед вами ставлю задачу: выяснить, какой четырёхугольник
должен был обежать Пахом, чтобы площадь была наибольшей? Давайте предположим,
что искомый четырёхугольник - трапеция (высвечивается первый слайд):
Рис. 15
Учитель: Кто-нибудь помнит формулу
для вычисления периметра и площади трапеции?
Ученики: Площадь трапеции равна
произведению половины суммы ее оснований на высоту. А периметр есть сумма длин
всех сторон трапеции.
Учитель просит вычислить периметр и
площадь данной трапеции (Р=40км, S=
км2≈64 км2).
Учитель: Для ответа на наш вопрос
мало одной фигуры, давайте рассмотрим ещё четырёхугольник - параллелограмм
(высвечивается второй слайд):
Рис. 16
Учитель: Чему равен периметр?
Площадь?
Ученики: P=40км, а S=
км2≈72 км2
Учитель: Судя по этим примерам,
можем ли мы предположить, что параллелограмм искомая фигура?
Ученики: Нет.
Учитель: Предлагаю рассмотреть ещё
один пример - прямоугольную трапецию (третий слайд):
Рис. 17
Учитель: Найдите периметр и площадь.
Ученики: P=40 км, а S=78 км2
Учитель: Теперь мы можем сделать
вывод, какую же фигуру должен был обежать Пахом?
Ученики: Нет, не можем. Ведь может
получиться, что это допустим ромб!
Учитель: Ребята, а сможем ли мы с
вами перебрать сейчас все четырёхугольники с периметром 40 км и найти тот,
площадь которого наибольшего?
Ученики: Нет, это же может
продолжать бесконечно!
Учитель: Совершенно верно. Поэтому я
предлагаю рассмотреть следующую задачу:
Периметр прямоугольника равняется 40
км. Какую длину должны имеет стороны прямоугольника, чтобы площадь была
наибольшей?
Рис. 18
Учащиеся вместе с учителем решают
данную задачу. Учитель записывает на доске, ученики в тетради.
Учитель: Как найти периметр и
площадь прямоугольника?
Ученики: P=2(a+b), S=a*b
Учитель: Так как Р=40 км, то мы
можем записать так 2(a+b)=40, a+b=20. Из этого равенства выразите длину через
ширину.
Ученики: b=20-a
Учитель: Давайте обозначим через x -
длину, а через (х-20) - ширину. Как вы думаете, какие значения может принимать
х?
Ученики: от 0 до 20
Учитель: Да, запишем неравенство
0<x<20. Теперь наша задача звучит так, при каких х площадь прямоугольника
будет наибольше? Для этого нам нужно составить функцию: S(x)=x(20-x)= 20x - x2.
В начале урока мы не зря повторяли алгоритм нахождения наибольшего и
наименьшего значения функции. Что нам делать дальше?
Ученики: Нужно найти производную,
приравнять к нулю, найти критические и стационарные точки, исследовать на
экстремум: ' (x) = 20-2x;
-2х=0; х=10.
Учитель: Значит, длина и ширина
равны 10 см. Какая получается фигура? (Квадрат). Теперь давайте исследовать на
экстремум.
Ученики:
Т.о. х=10 - точка максимума, а отсюда следует,
что

Ответ: a=10 км, b=10км
Учитель: А теперь вернёмся к задаче
о земле, с которой мы начали урок. Какую же фигуру Пахом должен был обежать,
чтобы площадь фигуры была наибольшей? (Квадрат).
П.Л. Чебышев говорил, что “особенную
важность имеют те методы науки, которые позволяют решать задачу, общую для всей
практической деятельности человека: как располагать своими средствами для
достижения наибольшей выгоды”. С такими задачами в наше время приходится иметь
дело представителям самых разных специальностей. Технологи - стараются так
организовать производство, чтобы выпускалось как можно больше продукции.
Конструкторы пытаются разработать прибор для космического корабля так, чтобы
масса прибора была наименьшей. Экономисты стараются спланировать связи завода с
источниками сырья так, чтобы транспортные расходы оказались минимальными, и
т.д. Задачи подобного рода носят общее название - задачи на оптимизацию (от
латинского слова optimum - “наилучший”). В самых простых задачах на оптимизацию
мы имеем дело с двумя величинами, одна из которых зависит от другой, причём
надо найти такое значение второй величины, при котором первая принимает своё
наименьшее или наибольшее (наилучшее в данных условиях) значение. Решением
таких задач занимается особая ветвь математики. Ее название мы попытаемся
выяснить в процессе решения задач.
Задачи на оптимизацию решают по
обычной схеме (схема высвечивается на экране):
составление математической модели;
работа с моделью;
ответ на вопрос задачи.
Как раз эту схему мы с вами
использовали при решении предыдущей задачи.
Цель нашего урока состоит в том,
чтобы научиться решать задачи на оптимизацию, используя математические модели.
Рекомендации по решению задач у вас
лежат на столах (см. Материалы к уроку для организации самостоятельной работы
учащихся).этап. Усвоение новых знаний (22 мин.).
Так как составление математической
модели задачи вызывает трудность у большинства учащихся, то следующую задачу
предлагается решить вместе. Учащийся по желанию выходит к доске для оформления
решения задачи (дается задача более высокого уровня, чем предыдущая).
Задача 2. Найти сторону ромба
наибольшей площади, если известно, что d1+d2=10.
Учитель: Что нам дано?
Ученик: Дан ромб, сумма диагоналей
которого равна 10
Учитель: Что нужно найти?
Ученик: сторону ромба
Учитель: Давайте сделаем рисунок.
Давайте в качестве
оптимизируемой величины возьмём одну
из диагоналей.
Ученик:
Пусть х=d1. Тогда можно вторую диагональ выделить через другую: =10-x
Учитель:
В каких приделах будет находится x?
Ученик:
0<x<10
Учитель:
Хорошо. Чему равна площадь ромба?
Ученик:
Половине произведения диагоналей.
Учитель:
Верно. Давайте составим функцию.
Ученик:
f(x)= 
Учитель:
Функция составлена, интервал, на котором задана функция есть. Что будем делать
дальше?
Ученик:
Дальше будем следовать алгоритму нахождения наибольшего и наименьшего значения
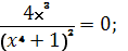
функции на интервале.(f): xÎR
(x)=5-x
-x=0;
x=5; 5Î(0;10)
=5
- точка максимума(5)=5(10-5)*
= 12,5 (ед.кв.)
Учитель:
Так, наибольшую площадь мы нашли, теперь нам нужно найти сторону ромба. Как
будем её искать?
Ученик:
Рассмотрим треугольник ABD - прямоугольный. Тогда по теореме Пифагора получаем:
AB=
=
=
После
того как данная задача решена, класс приступает к решению задач в группах.
Учащиеся рассаживаются по группам в зависимости от восприятия материала: 1) те,
кому будет нужна помощь в составлении модели задачи; 2) те, кто попытается
справиться самостоятельно с не очень сложными задачами; 3) те, у кого решение
задач не вызывает затруднений. В соответствии с этим учащиеся получают
дифференцированные задания.
группа.
Задачи № 949(а). Сумма двух целых чисел равна 24. Найдите эти числа, если
известно, что их произведение принимает наименьшее значение. (Ответ:12,12).
№
951(а). Известно, что одно из двух чисел на 36 больше другого. Найдите эти
числа, если известно, что их произведение принимает наименьшее значение.
(Ответ: -18; 18).
№
953(а). Периметр прямоугольника составляет 56 см. Каковы его стороны, если этот
прямоугольник имеет наибольшую площадь? (Ответ: 14; 14).
группа.
Задачи № 950 (а). Разность двух чисел равна 10. Найдите эти числа, если
известно, что их произведение принимает наименьшее значение. (Ответ: -5; 5).
№
952 (а). Представьте число 3 в виде суммы двух положительных слагаемых так,
чтобы сумма утроенного первого слагаемого и куба второго слагаемого была
наименьшей. (Ответ: 2; 1).
№
954(а). Нужно огородить участок прямоугольной формы забором длиной 200м. Каковы
должны быть размеры прямоугольника, чтобы его площадь была наибольшей? (Ответ:
50; 50).
группа.
Задачи № 954(а). Нужно огородить участок прямоугольной формы забором длиной
200м. Каковы должны быть размеры прямоугольника, чтобы его площадь была
наибольшей? (Ответ: 50; 50).
№
955(а). Площадь прямоугольника составляет 16 см2. Каковы должны быть его
размеры, чтобы периметр прямоугольника был наименьшим? (Ответ: 4; 4).
№
972. Боковые стороны и одно из оснований трапеции равны 15 см. При какой длине
второго основания площадь трапеции будет наибольшей? (Ответ: 30).
(Решение
задач представлено в приложении 1)
Необходимо
проверить решение задач, поэтому от каждой группы выступает учащийся,
демонстрируя решение одной из задач на доске.
На
слайде появляется схема (рис. 19) содержащая название раздела математики,
занимающегося решением задач оптимизации. В кружочках уже стоят нужные буквы, а
остальные фигуры должны заполнить учащиеся по окончании решения и проверки
задач. У них на столах лежат цветные фигуры, на одной стороне которых записаны
буквенные сочетания, а на другой - варианты ответов к задачам. На схеме над
фигурами стоит название цвета фигуры, которая должна заполнить данную клеточку:
к - красный; с - синий; ж - желтый. Каждая группа, правильно решив задачи,
должна получить фигуры одного цвета: 1группа - красные; 2 группа - синие; 3
группа - желтые.
Рис. 19
Учитель: Ребята, давайте узнаем, как же
называется раздел математики, который изучает задачи на оптимизацию?
В результате заполнения схемы на доске
появляется название раздела математики - линейное программирование.
V этап. Итог урока (2 мин.).
Подводя итог урока, учитель и дети выясняют: на
каком этапе учащиеся испытывают наибольшие затруднения и на что они должны
обратить внимание при решении домашнего задания. этап. Домашнее задание
(1мин.).
Учитель: Однажды в разговоре П. Л. Чебышев
заметил: “В старину математические задачи задавали боги, например, удвоение
куба, по поводу изменения Делосского жертвенника. Далее наступил второй период,
когда задачи задавали полубоги: Ньютон, Эйлер, Лагранж. Теперь третий период,
когда задачи задает практика”. Поэтому домашнее задание следующее: §36 (п.2),
вторую задачу (б) своего варианта (при желании можно сделать задачу более
сложного варианта). Творческое задание: составить вместе с родителями и
оформить решение в тетради задачи оптимизации, с которой вам или вашим
родителям пришлось столкнуться на практике.
(Задачи домашнего задания в приложении 3)
4.1 Материалы к уроку для
организации самостоятельной работы учащихся
. Памятка по решению задач на оптимизациюэтап.
Составление математической модели.
Проанализировав условия задачи, выделите оптимизируемую
величину (сокращенно: О.В.), т.е. величину, о наибольшем или наименьшем
значении которой идет речь. Обозначьте ее буквой у (или S, R, V - в зависимости
от фабулы).
Одну из участвующих в задаче неизвестных
величин, через которую сравнительно нетрудно выразить О. В., примите за
независимую переменную (сокращенно: Н.П.) и обозначьте ее буквой х (или
какой-либо другой буквой). Установите реальные границы изменения Н.П. (в
соответствии с условиями задачи).
Исходя из условия задачи, выразите у через х. Математическая
модель задачи представляет собой функцию у=f(х) с областью определения Х,
которую нашли на втором шаге.этап. Работа с составленной моделью.
На этом этапе для функции у=f(х), х
Х
найдите унаим или унаиб в зависимости от того, что требуется в условии задачи.
При этом используются теоретические установки, которые мы рассмотрели при
определении наибольшего и наименьшего значений функции.этап. Ответ на вопрос
задачи.
Здесь следует получить конкретный ответ на вопрос
задачи, опираясь на результаты, полученные на этапе работы с моделью.
Литература
1. Мордкович
А.Г. Алгебра и начала математического анализа 10-11кл. - Москва, 2009.
2. Мордкович
А.Г. и др. Задачник по алгебре и началам математического анализа 10-11кл. -
Москва,2009.
. Колмогоров
А.Н., Абрамов А.М. и др. Алгебра и начала математического анализа 10-11кл. -
Просвещение, 2008.
. Башмаков
М.И. Алгебра и начала анализа 10-11 кл. - Москва, 1992.
. Мордкович
А.Г., Семенов П.В. Алгебра и начала математического анализа 10-11кл. - Москва,
2010.
. Колягин
Ю.М., Луканкин Г.Л. и др. Методика преподавания математики в средней школе -
Москва, 1977.
. Цыпкин
А.Г., Пинский А.И. Справочник по методам решения задач по математике для
средней школы - Наука, 1989.
. Виленкин
Н.Я. Производная и задачи на экстремум // Квант,1978 №6 с. 60-64.
. Маслова
Т.Н., Суходонский А.М. Справочник школьника по математике 5-11 кл. - ОНИКС,
2008.
. Шабунин
М.И., Прокофьев А.А., Олейник Т.А. Учебно-методический комплекс «Алгебра и
начала анализа» для 11 кл. // Математика в школе, 2008, № 7.
. Мордкович
А.Г. Алгебра 7 кл. - Москва, 2009.
. Мордкович
А.Г. Алгебра 8кл. - Москва, 2010.
. Мордкович
А.Г. и др. Задачник по алгебре 7кл. - Москва, 2009.
. Мордкович
А.Г. и др. Задачник по алгебре 8кл. - Москва, 2010.
Приложение 1
Задачи I группы
№949(а) первое числовторое число+b=24*b=y
(наименьшее значение)Î(0;24)ˊ=24-2b
-2b=0=12; a=12
в точке b=12 функция меняет знак с “-” на ”+”,
т. о. b-точка минимума

=y(12)=144 - наименьшее значение
Ответ: (12;12)
№951(а)первое числовторое
числоb=36*b=y (наименьшее значение)
Î(0;36)ˊ=36+2b
+2b=0= -18; a=18
в точке b= -18 функция меняет знак с
“-” на ”+”,
т. о. b-точка минимума

= =y(-18)= -324 - наименьшее
значение
Ответ: (-18;18)
№953 (а)длинаширина
(a+b)=56+b=28*b=y (наибольшее
значение)Î(0;28)ˊ=28-2b
-2b=0= 14; a=14
в точке b= 14 функция меняет знак с
”+” на “-”,
т. о. b-точка максимума

=y(14)= 196 - наибольшее значение
Ответ: (14;14)
Задачи II группы
№950(а)- первое числовторое
числоb=10*b=y (наименьшее значение)

; Î(-10;0)ˊ=10+2b
+2b=0= -5; a=5
в точке b= -5 функция
меняет знак с “-” на ”+”,
т. о. b-точка минимума

= =y(-5)= -25 - наименьшее
значение
Ответ: (-5;5)
№952(а)первое числовторое число,
b-полож-ые+b=3

=y (наименьшее значение)
;

; Î(0;3)ˊ=
-3

-3=0=1 ; a=2= -1-не подходит по
условию задачи
в точке b1= 1 функция
меняет знак с “-” на ”+”, т. о.
b-точка минимума

=y(1)= 7 - наименьшее значение
Ответ: (1;2)
№954(а)длинаширина
(a+b)=200+b=100*b=y (наибольшее
значение)
; ;Î(0;100)ˊ=100-2b
-2b=0= 50; a=50
в точке b= 50 функция меняет знак с
”+” на “-”,
т. о. b-точка максимума

=y(50)= 2500 - наибольшее значение
Ответ: (50;50)
Задачи III группы
№954(а)длинаширина
(a+b)=200+b=100*b=y (наибольшее
значение)
;
;Î(0;100)ˊ=100-2b
-2b=0= 50; a=50
в точке b= 50 функция меняет
знак с ”+” на “-”,
т. о. b-точка максимума

=y(50)=
=2500 - наибольшее значение
Ответ: (50;50)
№955 (а)длинаширина=16
(a+b)=y (наименьшее значение)

;

;Î(0;+
)ˊ=
=0=4; a=4= -4 - не подходит по
условию задачи
в точке b= 4 функция меняет
знак с ”-” на “+”,
т.о. b-точка минимума

=y(4)= 16 - наименьшее значение
Ответ: (4;4)
№972=BC=CD=15
При каком значении ADтрапеции -
наибольшая= BC+2LD=
=
=15+2
=
15+
ˊ=15+
-
+
-
=0

+225-

+225-2

(225-
)=4
-225


(4
)=0=0 - не подходит

=
=15+2
=15+2
=15+15=30
Ответ: при AD=30 Sнаиб=
см.кв.
Приложение 2
группа. Задачи № 949(б).
Произведение двух отрицательных чисел равно 484. Найдите эти числа, если
известно, что их сумма принимает наименьшее значение.
№ 951(б). Известно, что одно из двух
чисел на 28 меньше другого. Найдите эти числа, если известно, что их
произведение принимает наибольшее значение.
№ 953(б). Периметр прямоугольника
составляет 72 см. Каковы его стороны, если этот прямоугольник имеет наибольшую
площадь?
группа. Задачи № 950 (б). Разность
двух чисел равна 98. Найдите эти числа, если известно, что их произведение
принимает наименьшее значение.
№ 952 (б). Представьте число 5 в
виде суммы двух положительных слагаемых так, чтобы произведение первого
слагаемого и куба второго слагаемого была наибольшей.
№ 954(б). Нужно огородить участок прямоугольной
формы забором длиной 240м. Каковы должны быть размеры прямоугольника, чтобы его
площадь была наибольшей?
группа. Задачи № 954(б). Нужно
огородить участок прямоугольной формы забором длиной 240м. Каковы должны быть
размеры прямоугольника, чтобы его площадь была наибольшей? (Ответ: 50; 50).
№ 955(б). Площадь прямоугольника
составляет 64 см2. Каковы должны быть его размеры, чтобы периметр
прямоугольника был наименьшим?
(б). Из прямоугольной трапеции с
основаниями a и b и высотой h вырезали прямоугольник наибольшей площади. Чему
равна эта площадь, если a=24, b=8, h=12?
Задачи I группы
№949(а) первое числовторое
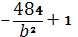
число*b=484+b=y (наименьшее значение)
; ;Î(-
,0)=

=0

=484; b1=-22, а=-22= 22(-
,0)
в точке b1=-22 производная меняет
знак с “-” на ”+”,
т.о. b-точка минимума

=
=y(-22)=-44 - наименьшее значение
№951(а)первое числовторое
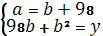
числоb=28*b=y (наибольшее значение)
; ;Î (-28;0)=28+2b
+2b=0= -14; a=14
в точке b= -14 производная меняет
знак с “+” на ”-”,
т.о. b-точка максимума

=y(-14)= -196 - наибольшее значение
Ответ: (14;-14)
№953 (а)длинаширина
(a+b)=72+b=36*b=y (наибольшее
значение)
; ;Î (0;36)=36-2b
-2b=0= 18; a=18
в точке b= 18 производная меняет
знак с ”+” на “-”,
т. о. b-точка максимума

=y(18)= 324 - наибольшее значение
Ответ: (18;18)
Ответ: (-22,-22)
Задачи II группы
№ 950(а)первое числовторое
числоb=98*b=y (наименьшее значение)
;

; Î(-98;0)ˊ=98+2b
+2b=0= -49; a=49
в точке b= -49 производная
меняет знак с “-” на ”+”,
т.о. b-точка минимума

=y(-49)= -2401 - наименьшее
значение
Ответ: (49;-49)
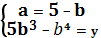
№ 952(а)первое числовторое число,
b-полож-ые+b=5

=y (наибольшее значение)
;

; Î(0;5)=

=0=0 (0;5)=
; в точке b2= 
производная
меняет знак с “+” на ”-”,
т о. b-точка максимума

=y(
)= 
- наибольшее значение
№ 954(б)длинаширина
(a+b)=240+b=120*b=y (наибольшее
значение)
; ;Î(0;120)=120-2b
-2b=0= 60; a=60
в точке b= 60 производная меняет
знак с ”+” на “-”,
т. о. b-точка максимума

=y(60)= 3600 - наибольшее значение
Ответ: (60;60)
Задачи III группы
№ 954(б)длинаширина
(a+b)=240+b=120*b=y (наибольшее
значение)
;
;Î(0;120)=120-2b
-2b=0= 60; a=60
в точке b= 60 производная
меняет знак с ”+” на “-”,
т. о. b-точка максимума

y(60)= 3600 -
наибольшее значение
Ответ: (60;60)
№ 955 (а)длинаширина=32
(a+b)=y (наименьшее значение)

;

;Î(0;+
)=0=8; a=8= -8 - не подходит по
условию задачи
в точке b= 8 производная меняет
знак с ”-” на “+”,
т.о. b-точка минимума

=y(8)= 32 - наименьшее значение
Ответ: (8;8)
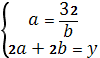
№ 973(б)прямоугольная
трапеция=CE=12=AE=8=24
Найти наибольшую Sпрям.
Решение:=AD-BC=24-8=16
tgα = 
= 
= 
Пусть х - длина прямоугольника
(причём х совпадает с высотой), а y -ширина прямоугольника, тогда получим

;
(24-y) = 4x;
-y = 
;= 24
Составим функцию: S(x)= x*y=x*24=
24x;= 9; y = 12
в точке x= 9 производная меняет знак
с ”+” на “-”, т. о. x-точка максимума, следовательно Sнаиб=9*12=108 (ед.кв)
Ответ: Sнаиб=108 (ед.кв)