Регулирование режима работы центробежного насоса
Оглавление
1. Подбор ЦБН и
определение режима работы
1.1 Определение
величины потребного напора для заданной подачи
1.2 Расчет и
графическое построение кривой потребного напора
1.3 Подбор
основных ЦБН
1.4 Описание и
паспортная характеристика ЦБН. Аналитический расчет паспортной характеристики
.5 Пересчет
паспортной характеристики ЦБН с воды на перекачиваемую жидкость (нефть)
1.6 Подбор
подпорного насоса и его пересчет
1.7 Построение
совмещенной характеристики насосов и трубопровода. Определение рабочей точки
(режима работы)
2.
Регулирование режима работы
2.1
Регулирование изменением кривой потребного напора
2.1.1
Дросселирование
2.1.2
Байпасирование
2.2
Регулирование изменением напорной характеристики насоса
2.2.1. Обточка
рабочего колеса по наружному диаметру
2.2.2 Изменение
частоты вращения вала
3.
Регулирование режима работы для увеличения проектной подачи на 25%
4. Выводы
5. Список
литературы
1. Подбор ЦБН и определение режима работы
Рис. 1 - Трубопроводная схема
.1
Определение величины потребного напора для заданной подачи
Зададимся скоростью в нагнетательной линии
В соответствии с ГОСТ примем Dнаг=1220 мм, δ= 10 мм; Dвс=1420 мм, δ= 10 мм.
Зона гладкого трения
Зона гладкого трения
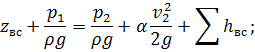
Составим уравнения Бернулли для сечений 1-1 и 2-2:
И для сечений 3-3 и 4-4:
Тогда потребный напор равен:
.2 Расчет и
графическое построение кривой потребного напора
Зададимся несколькими значениями расхода Q и определим величины потребного напора в соответствии с
уравнением:
Результаты расчета приведены в таблице 1.
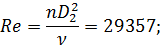
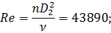
Таблица 1 - результаты расчеты при заданных подачах
|
Q, м3/ч
|
vвс, м/с
|
Re
|
λ
|
|
vнаг, м/с
|
Re
|
λ
|
|
|
|
500
|
0,09
|
394,7
|
0,16213
|
0
|
0,123
|
460,5
|
4,4
|
64,6
|
|
1000
|
0,18
|
789,5
|
0,08107
|
0
|
0,246
|
921,1
|
0,06948
|
8,9
|
69
|
|
1500
|
0,271
|
1184,2
|
0,05404
|
0
|
0,368
|
1381,6
|
0,04632
|
13,3
|
73,5
|
|
2000
|
0,361
|
1579
|
0,04053
|
0
|
0,491
|
1842,1
|
0,03474
|
17,8
|
78
|
|
2500
|
0,451
|
1973,7
|
0,03243
|
0
|
0,614
|
2302,7
|
0,02779
|
22,2
|
82,4
|
|
3000
|
0,541
|
2368,4
|
-
|
-
|
-
|
-
|
-
|
-
|
-
|
|
3500
|
0,632
|
2763,2
|
-
|
-
|
-
|
-
|
-
|
-
|
-
|
|
4000
|
0,722
|
3157,9
|
0,04221
|
0,1
|
0,982
|
3684,3
|
0,04061
|
143,4
|
|
4500
|
0,812
|
3552,7
|
0,04098
|
0,1
|
1,105
|
4144,8
|
0,03943
|
102,3
|
162,5
|
|
5000
|
0,902
|
3947,4
|
0,03992
|
0,1
|
1,228
|
4605,3
|
0,03841
|
123
|
183,2
|
|
5500
|
0,992
|
4342,2
|
0,03898
|
0,1
|
1,351
|
5065,8
|
0,0375
|
145,3
|
205,6
|
|
6000
|
1,083
|
4736,9
|
0,03814
|
0,2
|
1,474
|
5526,4
|
0,0367
|
169,2
|
229,5
|
|
6500
|
1,173
|
5131,6
|
0,03738
|
0,2
|
1,597
|
5986,9
|
0,03597
|
194,6
|
255
|
|
7000
|
1,263
|
5526,4
|
0,0367
|
0,2
|
1,719
|
6447,4
|
0,03531
|
221,6
|
281,9
|
|
7500
|
1,353
|
5921,1
|
0,03607
|
0,3
|
1,842
|
6908
|
0,03471
|
250
|
|
8000
|
1,444
|
6315,9
|
0,03549
|
0,3
|
1,965
|
7368,5
|
0,03415
|
279,9
|
340,3
|
|
8500
|
1,534
|
6710,6
|
0,03496
|
0,3
|
2,088
|
7829
|
0,03364
|
311,2
|
371,7
|
|
9000
|
1,624
|
7105,3
|
0,03446
|
0,4
|
2,211
|
8289,6
|
0,03316
|
344
|
404,5
|
|
9500
|
1,714
|
7500,1
|
0,034
|
0,4
|
2,333
|
8750,1
|
0,03271
|
378,1
|
438,7
|
|
10000
|
1,805
|
7894,8
|
0,03357
|
0,5
|
2,456
|
9210,6
|
0,0323
|
413,6
|
474,2
|
|
10500
|
1,895
|
8289,6
|
0,03316
|
0,5
|
2,579
|
9671,2
|
0,03191
|
450,5
|
511,1
|
|
11000
|
1,985
|
8684,3
|
0,03278
|
0,6
|
2,702
|
10131,7
|
0,03154
|
488,7
|
549,4
|
2,075
|
9079
|
0,03241
|
0,6
|
2,825
|
10592,2
|
0,03119
|
528,2
|
589
|
|
12000
|
2,165
|
9473,8
|
0,03207
|
0,7
|
2,947
|
11052,8
|
0,03086
|
569,1
|
629,9
|
По полученным результатам строим кривую потребного напора
.3 Подбор
основных ЦБН
Возьмем НМ 10000-210 с диаметром колеса 530 мм.
.4 Описание и
паспортная характеристика ЦБН. Аналитический расчет паспортной характеристики
Дополнительный кавитационный запас 65 м.
Таблица 2 - Результаты расчеты характеристик насоса НМ 10000-210 при
заданных подачахводы
|
Q, м3/ч
|
H, м
|
η,
%
|
|
8000,0
|
309,8
|
85,96
|
|
8297,9
|
304,6
|
86,65
|
|
8816,6
|
295,2
|
87,53
|
|
9231,4
|
287,3
|
87,94
|
|
9853,8
|
274,7
|
88,06
|
|
10372,4
|
263,6
|
87,71
|
.5 Пересчет
паспортной характеристики ЦБН с воды на перекачиваемую жидкость (нефть)

;
|
Q, м3/чH,
мη, %
|
|
|
|
7712,767
|
302,3
|
73,93
|
|
8000
|
297,3
|
74,52
|
|
8500
|
288,1
|
75,27
|
|
8900
|
280,3
|
75,62
|
|
9500
|
268,1
|
75,73
|
257,2
|
75,43
|
Таблица 3 - Результаты расчеты характеристик насоса НМ 10000-210 при
заданных подачахнефти
.6 Подбор
подпорного насоса и его пересчет
Возьмем 2 насоса НПВ 5000 - 120 с диаметром колеса 613 мм.
Дополнительный кавитационный запас 5 м.
Таблица 4 - Результаты расчеты характеристик насоса НПВ 5000-120 при
заданных подачах воды
|
Q, м3/ч
|
H, м
|
η,
%
|
|
4000,0
|
131,1
|
84,35
|
|
4341,4
|
130,8
|
85,59
|
|
4612,7
|
130,6
|
85,93
|
|
4829,8
|
130,4
|
85,81
|
|
5155,4
|
130,1
|
84,95
|
|
5426,7
|
129,8
|
83,61
|
Пересчет характеристики насоса.

;
Таблица
5 - Результаты расчеты характеристик насоса НПВ 5000-120 при заданных подачах
нефти
|
Q, м3/ч
|
H, м
|
η,
%
|
|
3685,5
|
124,1
|
68,32
|
|
4000,0
|
123,9
|
69,32
|
|
4250,0
|
123,7
|
69,61
|
|
4450,0
|
123,5
|
69,51
|
|
4750,0
|
123,2
|
68,81
|
|
5000,0
|
122,9
|
67,73
|
1.7
Построение совмещенной характеристики насосов и трубопровода. Определение
рабочей точки (режима работы)
Так как подпорные насосы соединены параллельно, то складываем графики
напорных характеристик подпорных насосов по расходу.
К полученной характеристике добавив по напору напорную характеристику
магистрального насоса, получаем напорную характеристику всех насосов.
Находим точку пересечения кривой потребного напора и напорной
характеристики насосов. Это рабочая точка.
Рабочая точка:
2. Регулирование режима работы
Так как полученная рабочая точка неудовлетворяет проектной подаче,
попробуем изменить её. Существует два пути: 1) изменение кривой потребного
напора; 2)изменение напорной характеристики насосов.
.1
Регулирование изменением кривой потребного напора
Изменение кривой потребного напора возможно путем дросселирования или
байпасирования.
.1.1
Дросселирование
Дросселирование заключается в ведении дополнительного сопротивления в
нагнетательный трубопровод. Обычно это выполняется путем прикрытия задвижки на
нагнетательной линии.
A -
рабочая точка до дросселирования;
HF -
это напор, развиваемый насосами при дросселировании;
HB -
это напор, который идет на перемещение жидкости;
hдр= HF- HB-это потери напора на дросселе.
Из графика 1 видно, что нужно дросселировать 6 м, тогда
Так как потери от дросселирования не превышают 2%, то этот метод
допускается для регулирования режима.
2.1.2
Байпасирование
Байпасирование заключается в перепуске части жидкости с нагнетательной на
всасывающую линию насоса.
QA -
подача насоса без байпаса
ΔQ=QC-QB - количество
жидкости, которое циркулирует в байпасе
Из графика 1 видно, что в байпасе должен циркулировать поток с расходом
279 м3/ч.
Байпасирование является экономически невыгодным методом и не применяется
при магистральном транспорте нефти.
.2
Регулирование изменением напорной характеристики насоса
Действительный напор превышает проектный на 6 м. Имеется в наличии только
один магистральный насос. Так как изменяться может только режим работы
магистрального насоса, то его напор должен уменьшится на 6 м при той же подаче
8900 м3/ч. Используем уравнение параболы подобия.
МН 10000-210 при подаче 8900 м3/ч выдает 280 м напора.
Значит нужная нам точка (8900;274). Проведем через неё параболу:
Посчитаем несколько значений, чтобы построить параболу
Табл. 6 - точки, принадлежащее параболе при a=5,02·10-6 ч2/м5
|
Q
|
H
|
|
8900
|
274
|
|
9000
|
280,191895
|
|
9100
|
286,4529731
|
|
9200
|
292,7832344
|
Из графика 2:
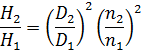
Построив ещё несколько парабол подобия и используя отношение H2/H1, построим напорную характеристику насоса при подобном
режиме работы.
Далее посчитаем нужные значения используя формулу подобия:
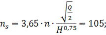
2.2.1 Обточка
рабочего колеса по наружному диаметру
Из формулы подобия
Обточка не превышает 10% (ns=156), такой метод изменения режима допускается.
.2.2
Изменение частоты вращения вала
Из формулы подобия:
Уменьшение частоты вращение мало. Данный способ регулирования можно
применять.
3.
Регулирование режима работы для увеличения проектной подачи на 25%
Так как увеличение подачи большое, изменять режимы насосов в данном виде
будет нецелесообразно. Добавим ещё один магистральный насос последовательно.
Тогда Hп(Q=11125)=559,2 м - потребный напор трубопровода, а Hн(Q=11125)=583,8 м - напор насосов при данной подаче (график 3).
Напор насосов превышает потребный на 583,8-559,2=24,6 м. В таком случае
уменьшим напор каждого магистрального насоса на 24,6/2=12,3 м изменением
частоты вращения вала.
H(Q=11125)=230,8 м - напор одного насоса
Значит после уменьшения этот напор будет равен 230,8-12,3=218,5 м.
Проведем через эту точку (точка 2) параболу подобия
Из рисунка 13 видно:
Так как уменьшение частоты невелико, такой метод допускается.
При этом дополнительный кавитационный запас увеличится, из-за того что подача
больше номинальной:
Подпорные насосы развивают 122,2 м, что достаточно для обеспечения
кавитационного запаса.
4. Выводы
В работе были подобраны ЦБН для заданной трубопроводной схемы, выполнены
пересчеты паспортных характеристик и определены режимы работы. Также были
рассмотрены все возможные варианты регулирования режимов для осуществления
требуемой проектной производительности.
центробежный насос напор
5. Список литературы
1. П.И.
Тугунов, Типовые расчеты при проектировании и эксплуатации нефтебаз и
нефтепроводов /В.Ф. Новосёлов, А.А. Коршак, А.М. Шаммазов,Уфа «Дизайн Полиграф
Сервис», 2002. - 655 с. ил.
. Т.М.
Башта, машиностроительная гидравлика, справочное пособие/ Под ред. С.М. Егер,
М. «МАШИНОСТРОЕНИЕ», 1971 - 672 с. ил.