|
№ зразка
|
Температура SPS - спікання,°С
|
Концентрація дірок, 10-18,
1/см3
|
Електропровідність при 298К,
1/Ом·см
|
|
1
|
Кристал
|
28,77
|
1165
|
|
2
|
240
|
14,63
|
193
|
|
3
|
260
|
7,4
|
162
|
|
4
|
300
|
61,9
|
419
|
|
5
|
350
|
10,72
|
434
|
Температурні залежності
термоЕРС приведені на рис. 3. Із рисунка видно, що температурні залежності
термоЕРС для зразків, отриманих SPS - спіканням при 240 - 260°С, мають значно
менший уклон відносно температурної вісі в порівнянні із зразками, отриманими
SPS - спіканням при температурах 300 - 350°С.
Рис. 3. Температурні
залежності. Номера кривих відповідають номерам зразків таблиці
Для зразків отриманих
SPS - спіканням з пониженням температури спостерігається невеликий ріст
теплопровідності решітки, порівняно із монокристалічними зразками [7].
Рис. 4. Залежність
теплопровідності решітки для SPS - спечених зразків від температури
Порівняно з традиційними
способами, метод іскрового плазмового спікання дозволяє отримувати високоякісні
спечені матеріали при низших температурах і за менший час. Таким чином, є
можливість керування одержуваною мікроструктурою, можливість контролю росту
кристалів, збереження вихідних властивостей матеріалів. В залежності від
завдання, спікання може здійснюватися при нормальному тиску, у присутності
інертних газів або навіть у вакуумі. Система функціонує в діапазоні температур
до 2400°С [8].
Як описано в роботі [9],
для SPS - спікання використовується струм від конденсаторів, трансформатора або
генератора, при цьому до порошку прикладається постійний тиск, який до кінця
процесу може або залишитися на тому ж рівні, або змінитися.
.2 Фізичні основи SPS процесу
Типовий приклад
імпульсного спікання - процес з використанням розряду в конденсаторній
установці, схема якої показана на рис. 5. У такому процесі струм, в ході
розряду батареї проходить через порошок, засипаний в ізолюючу прес-форму. При
цьому відбувається нагрівання і спікання частинок. Одночасно струм породжує
інтенсивне магнітне поле. У результаті взаємодії магнітного поля з породжуючим
його струмом виникають сили, які прагнуть обжати порошок в радіальному
напрямку. Тому після такого розряду спечений зразок, як правило, вільно
виймається з прес-форми. Слід однак, пам'ятати що помітна усадка внаслідок
зазначеного обтиснення має місце лише в разі значень енергії в певному
інтервалі. Цей енергетичний інтервал залежить від маси і природи матеріалу
порошку, а також від розмірів зразка.
Рис. 5. Схема установки
для спікання електричним імпульсом: 1- конденсаторна батарея, 2 - розрядник,
3,6 - електроконтакти, 4 - матриця, 5 - порошок
Струм при занадто
високій енергії розряду спочатку призводить до плавлення стовпа порошку в його
центрі по всій висоті. Занадто мала енергія розряду породжує недостатньо сильне
магнітне поле, для того щоб відбулося обтиснення порошкового стовпа. Процес
залежить від ряду параметрів електричного кола і характеристик порошку, які
впливають в кінцевому рахунку конденсатора. На властивості одержуваного зразку.
У загальному випадку при розряді через порошок можна виділити п'ять стадій:
) руйнування поверхневих
домішкових (наприклад, оксидних) шарів між суміжними частинками в осьовому
напрямку при додатку критичної напруги, специфічного для даного порошкового
матеріалу і конкретних геометричних розмірів завантаження; різко зростаючий
струм йде по шляхах найменшого опору, опір завантаження майже миттєво падає;
) міжчасткове спікання з
утворенням паралельних напрямку протікання струму провідників у вигляді
''гірлянд" або ''ниток", між частинками утворюються всі великі шийки,
це повинно супроводжуватися подальшим падінням опору, проте нагрів підвищує
опір частинок в об'ємі; коли міжчасткове спікання перестає впливати на
загальний опір, його зростання внаслідок нагрівання може виявитися
переважаючим;
) виникаюче внаслідок
пінч-ефекту обтиснення ''ниток" і, як наслідок, подальше руйнування
поверхневих домішкових шарів між частинками, контактуючими в радіальному
напрямку, і наступне за ним посилене спікання в цьому напрямку;
) проходження струму по
суцільному утвореному шляху;
) дезінтеграція, втрата
стабільності або електровибух;
Розглянемо процес в
трубчатій прес - формі, яка містить засипаний порошок і закритий з обох кінців
контактуючими з порошком електродами рис. 5 [10].
Як показали досліди
[10], отримані зразки володіють невисокою щільністю (до 60%) проте їх міцність
достатня для проведення наступної обробки, зокрема механічної.
Проаналізуємо
закономірності процесу проходження струму послідовного ланцюга, який містить
конденсаторну батарею ємністю С, індуктивність L і циліндричний порошковий
зразок з опором R. Складність аналізу електроімпульсного спікання полягає в
тому, що опір R змінюється в процесі спікання. Як показано в роботі [11] з
часом спікання ф опір порошку R(ф), Ом, змінюється по закону:
(1)
де
(n = 0,1,2…);
-
постійні параметри. Знайдемо вираз для напруги U(ф), В і струму І(ф), А, при
початкових умовах:
U(0) =
; І(0) = 0. (2)
Напруга в ланцюгу
установки - порошкова загрузка (еквівалентна схема показана на рис. 6)
підпорядковується диференційному рівнянню:
де L - індуктивність, Г;
С - ємність, Ф.
Спочатку розглянемо
процес при умові:
(4)
коли опір порошкового
зразка перевищує реактивний опір ланцюга.
Рис. 6. Еквівалентна
електрична схема конденсаторної установки для спікання імпульсним струмом
При цьому треба взяти до
уваги, що в залежності від відстані міжчасткових контактів прикладеною різницею
потенціалів може призводити до різних результатів [12]. Через заготовки, чий
питомий опір в напрямку проходження струму не менше 0,1 Ом·см, буде проходити
струм недостатній для спікання. У випадку виконання умови (4), електричний
розряд має аперіодичний характер. Напруга при врахуванні початкових умов (2)
описується виразом:
(5)
де R(ф) задається
формулою (1), опір порошку в початковий момент отримується із (1) при ф=0:
(6)
Формула для струму
отримується із співвідношення
з
використанням виразу (5):
(7)
Оскільки в рівнянні (4)
коефіцієнт при
залежить
від часу, у виразах (5) і (6) під знаком гіперболічних тригонометричних функцій
стоять не вирази які містять час ф, а інтеграли які виходять при розв’язанні
радіального хвильового рівняння.
Вирази які входять у (5)
і (7) можна обчислити використовуючи (1):
(8)
де н - частота, яка
визначається:
.
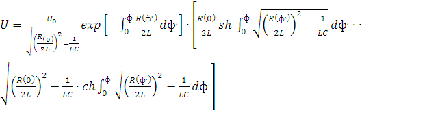
Перейдемо до процесу,
протікаючому при виконанні нерівності, зворотного нерівності (5):
(9)
В цього випадку розряд
має характер коливного процесу. Для напруги і струму отримаються наступні
вирази:
(10)
(11)
де
Формула для струму
приймає вигляд:
,
де в - декремент
затухання
; щ - кругова
частота
Формули (7) і (11)
справедливі для випадку коли R змінюється плавно в ході процесу, і не
справедливі для випадкових змін R які можуть відбуватися наприклад внаслідок
вибухоподібного руйнування оксидних плівок в результаті нагріву до високої
температури.
Своєрідна ситуація
виникає коли в ході розряду відбувається свого роду інверсія.
(12)
Такий процес повинен
спочатку (0<ф<фi) розвиватися як аперіодичний, згідно
розв’язку (7), а починаючи з моменту ф= фi як затухаючий
періодичний, згідно розв’язку (11), в яке однак замість U0 має бути
підставлено U(фi) по формулі (7) і відлік часу має вестися від
моменту фi (рис. 7, а). Це різко відрізняється від того, що зазвичай
відбувається в коливному контурі (рис. 7, б).
Рис. 7. Часові
залежності струму при розряді конденсатора через порошок з переходом від
аперіодичного (ф<фi) розряду до затухаючого періодичного (ф>фi)
розряду (а) і від затухаючого періодичного розряду (ф<фn) до
аперіодичного (ф>фn) розряду (б). Штрихова лінія - функція струму
якою описувався би процес при зберіганні аперіодичного характеру розряду
Такого роду ефект можна
очікувати не тільки при спіканні порошку, але і при використанні в контурі
будь-якого зменшуваного з часом активного опору. Крім того, що порошкові
частинки завдяки струму припікаються одна до іншої, порошок при пропущенні
струму, як уже вказувалося, піддається обтисненню електромагнітними силами.
Якщо струм рівномірно (з однаковою щільністю) розподілений по перетину
циліндричного порошкового стовпа радіуса r0, то тиск р(r), Па, в
ньому може бути визначено за формулою:
(13)
де
(магнітна постійна); r - радіальна координата, м; І - сила
струму, А.
Розподіл тиску (13)
аналогічний розподілу тиску в провідному рідкому стовпі з струмом (схематичне
зображення рис. 8.а)
Рис. 8. Пінч - ефект в
порошку який спікається і епюри тиску p:
а - однорідний розподіл
струму І в провідному стовпі порошку; б - провідник з поверхнісним струмом
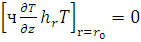
Для визначення тиску в
ході розряду у формулу (13) необхідно підставити у випадку аперіодичного
розряду вираз (7), у випадку періодичного вираз (11). Із формули (13) слідує що
тиск на різних відстанях від осі пресування різний.
Опір порошку може бути
визначено шляхом вимірювання різниці потенціалів на кінцях порошкового стовпа
, виходячи із виразу:
рівносильне рівнянню
(4), отримаємо:
де,
- індуктивність порошкового стовпа, Г;
- різниця потенціалів на кінцях пресованого матеріалу, В; I -
струм який проходить через матеріал який пресується, А.
Для дослідження цілого
ряду явищ які протікають при пресуванні матеріалу зв’язаних з особливостями
нестаціонарного теплового режиму, необхідно знати просторове і тимчасове
розподілення температури в матеріалі який пресується [13]. Розподіл температури
в зразку визначається розподілом щільності струму в зразку з умовами
тепловідводу. Розподіл щільності струму в зразку в свою чергу залежить від
розподілу температури в ній. В зв’язку з цим необхідно спільно вирішувати
теплову і електродинамічну задачу для зразка.
Розподіл щільності
струму в зразку визначається рівнянням квазістаціонарного струмопереносу із
врахуванням питомого опору від температури
(14)
(15)
і умовами теплообміну
зразка циліндричної форми (висотою
і радіусом
) з не
електропровідною матрицею на боковій поверхні
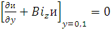
(16)
і умовами теплообміну на
торцях прес - форми з електродами - пуансонами
(17)
де, Т - перевищення
температури зразка над температурою матриці і пуансонів; г - щільність;
- теплоємність; ч - коефіцієнт теплопровідності пресуємого
матеріалу;
-
коефіцієнти тепловіддачі з бокової і торцевої поверхонь прес - форми
відповідно.
Вирішення сформованої
задачі (14) - (17) в загальному випадку можливо з допомогою числових методів.
Однак аналіз системи (14) - (17) дозволяє виявити основні критерії і параметри,
які визначають характер теплового режиму пресування без точного вирішення
задачі, а також сформулювати спрощену схему теплових режимів пресування. Така
наближена схема відображає основні закономірності загальної задачі, і крім того
допускає аналітичне вирішення задачі, що дає явну залежність розподілу
температури від параметрів імпульсу струму і зразка.
Розглянемо пізніші
стадії нагріву матеріалу який пресується з врахуванням їх охолодження за
рахунок тепловідводу. В цьому випадку можна знехтувати залежністю питомого
опору від температури с≈const. Тоді електродинамічна задача рішається
окремо від теплової і у випадку циліндричної симетрії
визначається із рівняння (17) при умові, що
(18)
-
повний струм, який протікає через зразок;
- характерна щільність струму;
- безрозмірна функція часу.
Нерівномірний розподіл
щільності струму
в
зразку призводить до нерівномірного розігріву, нерівномірного припресування
зразка і виникнення в зразку залишкових термонапруг. Вказані небажані явища
визначаються відношенням між тривалістю теплових процесів в зразку і часом
ущільнення матеріалу
під
дією зовнішнього механічного тиску. Для всіх способів пресування (14) - (17) -
час ущільнення,
- час
нагріву зразка імпульсом.
Розподіл температури в
зразку визначається рівняннями (14) - (16), які при спрощеннях зводяться до
наступного вигляду для безрозмірної температури
де
-
температуропровідність матеріалу зразка.
(19)
(20)
(21)
Розв’язок рівнянь (19) -
(21) з врахуванням умови (18) тривіальним способом знаходиться методом поділу
змінних. Із загального вигляду слідує закон охолодження зразка в залежності від
умов тепловідводу.
(22)
(23)
(24)
Тут,
- функції Бесселя нульового і першого порядку. Характерний час
релаксації температури
шляхом
тепловідводу в матрицю і пуансони визначається із (22)
(25)
Значення
і
,
отримані в результаті рівнянь (23), (24), в залежності від
і
наводяться
на (рис. 9.) у вигляді графіків. Крива 1 відповідає розв’язку рівняння (23),
крива 2 розв’язку рівняння (24).
Рис. 9. Залежність
коренів рівняння (23), (24) від параметра Bi.
У випадку слабкого
тепловідводу
При
цьому зразок остигає значно повільніше, чим відбувається вирівнювання
температури всередині зразка, і термонапруг в зразку не виникає.
Необхідно відмітити, що
для найбільш ефективного режиму процесу пресування необхідно:
Для
відбувається непродуктивний нагрів пуансонів і матриці, а також
більш швидке зношування пуансонів і матриці внаслідок високих температур,
термонапруг, термоциклічних навантажень.
В залежності від
відношення геометричних розмірів зразка можливі різні граничні умови
охолодження зразка.
1.
- довгий стрижень;
, - тепловідвід в матрицю, при цьому значних термонапруг в стрижні
не виникає, так як всередині стрижня температура вирівнюється швидше навіть
граничного випадку
і
2.
- диск,
-
тепловідвід в пуансони, можливе виникнення значних термонапруг при
так як
.
Слід також відмітити
істотне обмеження при електроімпульсному пресуванні і формуванні [14,15]
зразків з відношенням
, яке
виходить із аналізу теплових процесів. В методах [14,15] використовується
потужний високочастотний імпульс струму, і для рівномірного нагріву диска необхідно
щоб скін - ефект не впливав на розподіл температури в зразку:
З другої сторони не
повинно бути великого тепловідводу з поверхні диска:
Обидва рівняння дають
обмеження на
:
(26)
Наприклад для порошку
заліза із (26) маємо
На процес ущільнення порошку
впливає поряд з особливостями розподіл температури по об’єму всього зразка і
неоднорідний разовий розігрів частинок порошкового середовища. При проходженні
імпульсу струму через електропровідний порошковий матеріал найбільше
енерговиділення відбувається на контактах між частинками порошку [15]. Поблизу
контактів температура значно вища, ніж в об’ємі зерен порошку, і матеріал в
області контактів значно деформується і може навіть плавитися [16].
Розглянемо умови
виникнення рідкої фази на контактах між частинками порошку. Для імпульсів
струму тривалістю
тепловіддачею
у внутрішнє середовище можна знехтувати, так як характерний час тепловіддачі
[16]. При цьому введена в порошок енергія повністю іде на його
розігрів. В залежності від параметрів імпульсу струму і характеристик
порошкоподібного матеріалу можливі різні випадки прогріву частинок:
1. однорідний
прогрів зерен порошку
(температуропровідність
речовини порошку);
2. неоднорідний
прогрів зерен порошку
.
Для однорідного прогріву
частинок порошку момент виникнення рідкої фази в області контакту визначається
із співвідношення:
(27)
Тут
- потужність яка вводиться в порошок при проходженні імпульсу
струму, Дж∙кг-1∙см-1;
- теплоємність речовини порошку, Дж∙кг-1∙град-1;
- температура плавлення речовини порошку. Вираз (27) дозволяє
легко оцінити момент виникнення рідкої фази в молібденовім порошку
для імпульсів W0=2,6∙109
Дж∙кг-1∙см-1. (Така величина W0 відповідає прямокутним імпульсам струму з макроскопічною
щільністю струму в порошковім матеріалі
)
(28)
При цьому
- нагрів зерен порошку достатньо однорідний. Приведені вище
оцінки показують, що для імпульсів струму з вказаною амплітудою і тривалістю
плавлення в контактах частинок порошку не відбувається.
При неоднорідному
прогріві зерен порошку
геометрія
контактних зон позначається на характері пресування. Розглянемо два можливих
граничних випадки:
-
точковий характер контактів частинок порошку при малих тисках припресування (а
- характерний розмір контактної зони) і
- великий тиск припресування.
Для малих тисків
припресування момент початку плавлення в контактах між частинками визначається
відношенням:
(29)
де,
- емпірична константа
, характеризує середнє число контактів частинки порошку. При
сталості введеної потужності
із
співвідношення (29) слідує результат: плавлення в контактах виникає з початку
проходження імпульсу струму і триває до моменту часу
обумовленого із (29):
(30)
Для великих тисків
припресування утворення рідкої фази і контактної зони починається з часу
яке визначається виразом:
(31)
Відношення (31) дозволяє
також оцінити величину введеної потужності
вище якої починає позначатися неоднорідність прогріву частинок
порошку:
(32)
(В оцінці (32) прийнято
що
)
Для порошку молібдену
вираз (32) дає:
W0=6,8∙1010 Дж∙кг-1∙см-1
Наведено оцінки, що
дозволяють виявити вплив параметрів пресування і імпульсів струму на теплові
процеси при електроімпульсному пресуванні.
1.3 Властивості
термоелектричних матеріалів на основі Bi2Te3 отриманих
методом SPS
Перші повідомлення про
створення об'ємного наноструктурного матеріалу на основі (Bi,Sb)2Te3
з високою ефективністю з'явилися в 2008 р. [17]. У Росії роботи по наноструктурному
матеріалі на основі (Bi,Sb)2Te3 почалися приблизно в той
же час, причому використовували аналогічні технологічні прийоми [19]. Отримані
авторами в подальших дослідженнях результати значною мірою узагальнені в
роботах [19,20].
Наноструктурні зразки
отримували з нанопорошків синтезованого матеріалу заданого складу. синтез
проводили прямим сплавленням компонентів. Отримані злитки піддавали
механоактиваційній обробці в захисній атмосфері в високоенергетичному кульовому
млині.
В [21] була досліджена
залежність термоелектричних властивостей зразків, отриманих методом SPS, від
вмісту Bi і Sb в твердому розчині. На рис. 10. представлені результати виміру
при кімнатній температурі для зразків, спечених при температурі 450єС і тиску
50 МПа. Вміст Bi в BixSb2-xTe3 варіювали в
інтервалі х від 0,3 до 0,5. Максимальну термоелектричну ефективність має
термоелектричний матеріал складу Bi0,4Sb1,6Te3.
Рис. 10. Залежність
термоелектричної ефективності від складу твердого розчину BixSb2-xTe3
Для зразків складу Bi0,4Sb1,6Te3
було досліджено залежність термоелектричних властивостей від температури
спікання в діапазоні від 250 до 550єС (рис. 11). Максимальне значення
термоелектричної ефективності при кімнатній температурі спостерігається при
температурі спікання 450-500єС.
Рис. 11. Залежність
термоелектричної ефективності Z зразків Bi0,4Sb1,6Te3
від температури SPS спікання
Дослідження
температурної залежності термоелектричних властивостей показало, що в матеріалі
складу Bi0,4Sb1,6Te3, спечених при ТSPS
= 450 ч 500єС, спостерігається максимальна термоелектрична ефективність ZT, яка
в температурному інтервалі 80-100єС становить 1,20-1,25.
Оскільки властивості
матеріалу у великій мірі залежать від його структури на мікро- і нано рівні,
дослідження структури компактних зразків виконували на різних стадіях їх
отримання: від порошку до спеченого об'ємного матеріалу. Дослідження проводили
за допомогою методів рентгенівської дифрактометрії, растрової (РЕМ) та
просвітчастої електронної мікроскопії (ПЕМ).
Частинки порошку
твердого розчину (Bi,Sb)2Te3 були однофазні та зберігали
склад вихідного матеріалу. Середній розмір часток порошку, визначений за даними
просвічуючої електронної мікроскопії, склав 10-12 нм, що збігається з розміром
областей когерентного розсіювання (ОКР), оціненим по розширенню піків на
рентгенівських дифрактограмах.
Збереження
наноструктурного стану в компактних зразках являє собою серйозну проблему,
пов'язану з негативним впливом процесів збиральної рекристалізації, що
призводять до укрупнення зерен. При температурах спікання 350-500єС зерна
ростуть до розмірів декількох мікрометрів і огранюються, що свідчить про
активний процес рекристалізації.
В якості основної
характеристики структури на нанорівні використовували розмір ОКР. Розмір ОКР
збігається з розміром нанозерен при розмірі до декількох десятків нанометрів. У
більш великих зернах ОКР є частиною внутрішньої структури зерна.
На рис. 12а представлені
отримані рентгенодифракційним методом характерні криві розподілу ОКР за розмірами
для зразків Bi0,4Sb1,6Te3, спечених при різних
температурах, по суті величини, відкладені уздовж осі ординат, характеризують
об'ємні частки ОКР різного розміру.

а) б)
Рис. 12. Залежності
обсягу (а) і кількості (б) ОКР від їх розміру в зразках Bi0,4Sb1,6Te3,
отриманих спіканням при різних температурах ТSPS,єС:
- 250; 2 - 300; 3 - 450;
4 - 500єС.
У дослідженому діапазоні
температур спікання максимальну об'ємну частку мають ОКР розміром від 50 до 120
нм. Для того, щоб перейти до розподілу ОКР за їх кількістю, необхідно об'ємну
частку даного розміру розділити на обсяг цих областей, який пропорційний d3.
Отриманий таким чином розрахунковий розподіл наведено на рис. 12б. Максимальна
кількість ОКР відповідає інтервалу розмірів від 20 до 75 нм, тобто максимум на
кривих розподілу зміщений у бік суттєво менших розмірів.
Були побудовані
залежності розміру ОКР від температури спікання зразків. Крім розрахованих на
підставі рис. 12б середніх розмірів(рис. 13б), використовували також значення
розмірів ОКР, відповідні максимуму на кривих розподілу за обсягом (рис. 13а).
ТSPS до 400єС
в результаті збиральної рекристалізації і їх зменшення при ТSPS вище
400 С до розмірів навіть менших, ніж при ТSPS = 250єС. При 400єС
розмір ОКР зростає настільки, що вони не вносять вклад у розширення
дифракційних максимумів.
Рис. 13. Залежність
розмірів ОКР від температури спікання: а-розмір ОКР, відповідний максимальної
об'ємної частці, б-середнє значення ОКР.
- Bi0,4Sb1,6Te3;
2 - Bi0,5Sb1,5Te3
Для отримання більш
повного уявлення про структуру зразків, спечених методом SPS при різних
температурах, було проведено їх дослідження методом ПЕМ. Вже при 250єС розмір
зерен на порядок більше вихідних частинок порошку, і зерна продовжують рости в
міру підвищення температури спікання до 400єС, що узгоджується із зростанням
ОКР, які залишаються менше розмірів зерен.
При температурі спікання
450єС в структурі з'являється велика кількість нанорозмірних зерен (рис. 14),
склад яких не відрізняється від складу твердого розчину. Це є початковою
стадією повторної рекристалізації, в результаті чого відбувається фрагментація
зерен і в відповідність з цим зменшення розмірів ОКР.
При температурі спікання
500єС кількість нових зерен істотно зростає, а самі вони збільшуються в
розмірах і мають хороше ограновування (рис. 15), що призводить до подальшого
зменшення розмірів ОКР в обсязі «старого» зерна.
а) б)
Рис. 14. Зображення
структури термоелектричного матеріалу складу Bi0,4Sb1,6Te3,
отриманого методом SPS при температурі 450єС: а - наночастинки в зернах зразка;
б - зображення високого розширення наночастинки в обсязі зерна
Рис. 15. Зображення
структури матеріалу складу Bi0,4Sb1,6Te3,
спеченого при температурі 500єС
У структурі спечених при
500єС зразків спостерігаються пори, розмір і кількість яких значно більше, ніж
при температурі 450єС.
Залежність
термоелектричних властивостей від температури спікання вище 400°С корелює зі
зміною тонкої структури матеріалу, яка визначається перерозподілом донорних
точкових дефектів вакансійного типу в процесі повторної рекристалізації.
Найбільшу величину
безрозмірної термоелектричної ефективності ZT = 1,8 [22] для p-типу і ZT = 1,2
[23] для n-типу вдалося отримати шляхом створення нанокомпозитів, що
складаються із суміші порошків грубого помелу (мікрокомпонентів) і нанопомолу
(нанокомпонентів), одержуваних або помелом у високоенергетичному кульовому
млині, або спінінгуванням розплаву [20].
Основна ідея методу [24]
полягає в тому, щоб розділити шлях у теплового та електричного струму. При
цьому вважається, що електричний струм тече в основному по зернам грубого
помелу, а тепловий потік по нанокомпоненту, що має меншу теплопровідність за
рахунок розсіювання фононів на нанозернах.
При цьому абсолютно
незрозуміло, як тепловий шунт у вигляді нанокомпонентів може збільшити
ефективність композиту. Якщо вважати, що мікрокомпоненти і нанокомпоненти
володіють різною ефективністю, то завжди в композитному матеріалі, утвореному з
їх суміші, один з компонентів буде шунтувати інший, погіршуючи його
властивості, і найкращі результати будуть досягатися для одного з крайніх для
композиту складу, тобто для складу, що складається з найбільш ефективного
компонента, якщо його рівень легування оптимальний.
В роботі [25] отриманий
порошок просівали через сита, залишаючи фракцію, що проходить через сито
дисперсністю 80 мкм і видаляючи з неї фракцію, що проходить через сито
дисперсністю 40 мкм. Змішування компонент здійснювали в бісерному млині. З
отриманого порошку методом холодного пресування виготовляли шайби, які потім
спікали на установці іскрового плазмового спікання. Температура спікання
становила 450єС, тиск 50 МПа. Зразки бажаного розміру вирізали на верстаті
електроерозійного різання.
Морфологію поверхні
зламу спечених зразків у вторинних електронах спостерігали в растровому
електронному мікроскопі. На рис. 16 представлена характерна
структура поверхні сколу зразка, отриманого спіканням тільки мікро- і
нанокомпонентів. З малюнка видно, що максимум розподілу зерен для
нанокомпонентів лежить при ~ 1 мкм.
а) б)
в) г)
Рис. 16. Зображення
відколу зразка із 100% мікропорошків - а, гістограма розподілу зерен за
розмірами для зразка з мікропорошків - б, зображення відколу зразка із 100%
нанопорошків - в, гістограма розподілу зерен за розмірами для зразка з
нанопорошків - г
Таке укрупнення зерен в
спечених зразках в порівнянні з розміром частинок вихідного порошку пов'язано з
процесами рекристалізації, що протікають в процесі SPS-спікання зразка.
Кількість нанорозмірних зерен (структурні елементи, менші 1 мкм) досить
помітно, хоча в перерахунку на їх обсяг виходить, що вони займають всього
декількох відсотків обсягу. Максимум для зерен малого розміру має більшу
інтенсивність, ніж для зерен великого розміру, проте об'ємна частка малих зерен
не перевищує декількох відсотків. Поява максимуму для малих зерен в
мікрокомпонентів пов'язано, швидше за все, з тим, що дрібні зерна вихідного
порошку агломеровані і тому не проходять крізь сито з малими розмірами
дисперсності. Пір і мікротріщин в зразках не виявлено.
При спіканні суміші
мікро- і нанокомпонентів сумарний розподіл зерен за розмірами являє собою
суперпозицію розподілів для мікро- і нанокомпонентів, взяту з відповідними
ваговими множниками.
Зерна, які
спостерігаються в растровому мікроскопі, складаються з окремих кристалітів
(субзерен). Про розміри цих кристалітів можна судити по кривим розподілу
областей когерентного розсіювання (ОКР), отриманих з аналізу дифракційних
максимумів. Для зразка, що складається на 100% з нанокомпонентів, розподіл ОКР
за обсягом наведено на рис. 17.
Рис. 17. Розподіл
об'ємних часток ОКР в залежності від їх розміру в зразках, отриманих із 100%
нанопорошків
Розподіл об'ємних часток
ОКР для сумішей нано і мікрокомпонентів мало відрізняється від наведеного на
рис. 16. Для всіх досліджених випадків максимум розподілу лежить в області 120
-150 нм і зміщується в бік збільшення розмірів ОКР при збільшенні вмісту
мікрокомпоненти. Термоелектричні параметри матеріалу (б - термоЕРС, у -
електропровідність, к - теплопровідність і ZT) вимірювали методом Хармана з
похибкою ZT близько 1,5%.
Залежність
електропровідності і термоЕРС композитних зразків від складу наведена на рис.
17. Видно, що електропровідність SPS-спечених зразків, отриманих із суміші мікро
і нанопорошків, падає в міру зростання вмісту нанокомпоненти, а термоЕРС
зростає. З цього ясно, що електропровідності мікро- і нанокомпонентів сильно
відрізняються. Електропровідність мікрокомпонента майже в два рази перевищує
електропровідність нанокомпонента. Відповідно термоЕРС нанокомпонентів вище
термоЕРС мікрокомпонентів. Це природно пов'язати з різним рівнем концентрації
дірок мікро- і нанокомпонентів в результаті того, що в процесі дроблення
матеріалу з'являються власні дефекти, що мають донорну природу. Чим менше
розмір зерна, тим сильніше виявляється донорна дію дефектів (тим вище термоЕРС
і менша електропровідність). Тому зростання електропровідності і падіння
термоЕРС в SPS-спечених зразках при переході від нанопорошків до мікропорошків
пов'язаний, насамперед, зі зростанням концентрації дірок в останніх.
При збиральній
рекристалізації об'єднання малого зерна з великим не може мати істотного впливу
на концентрацію носіїв заряду у великому зерні, тому природно розглядати,
SPS-спечену з нано і мікрокомпонентів систему як суміш із зерен, що володіють
різною електропровідністю. На рис. 18. для порівняння наведені криві,
розраховані як для ізольованих включень [25], так і з урахуванням процесів
протікання [26].
Для аналізу поведінки
термоЕРС в композитних матеріалах було розглянуто два граничних випадки. У
першому з них обидві компоненти з'єднані паралельно, а в другому послідовно.
Фракційний склад компонентів регулюється співвідношенням або перетинів, або
довжин відповідних компонентів.
Рис. 18. Залежність
електропровідності і термоЕРС від змісту нанокомпонентів в суміші в
SPS-спеченому зразку
Безрозмірна
термоелектрична ефективність наведена на рис. 19. З малюнка видно, що
спостерігається зростання ZT зі збільшенням частки нанокомпонентів і
максимальні значення ZT досягаються в зразках, отриманих із 100% нанопорошків.
У максимумі величина термоЕРС 220-230мкВ/К близька до оптимальної для
стандартних термоелектричних матеріалів. Це означає, що додаткові механізми розсіювання
в SPS-спечених зразках дають невеликий внесок у сумарну термоЕРС, що і
спостерігається на експерименті.
З рисунка 19 видно, що
величина ZT в максимумі у зразків значно нижче, ніж в [22]. Це може бути
пов'язано як з тим, що в [22] ефективність розраховували з роздільного
вимірювання термоелектричних параметрів, що дає похибку знаходження ZT в не
менше 20%, так і з анізотропією теплопровідності і електропровідності в
напрямку уздовж осі пресування і перпендикулярно їй. Вимірювання електропровідності
перпендикулярно осі пресування, а теплопровідності уздовж її значно завищує
величину ZT [27].
Рис. 19. Залежність
безрозмірної термоелектричної ефективності від змісту нанокомпонентів для
SPS-спечених зразків Bi0,4Sb1,6Te3
2. Опис методики і
апаратури
.1 Опис технології
синтезу Bi2Te3
Синтез термоелектричних
матеріалів здійснюють в високотемпературній печі опору (рис. 20) при
температурі 820-840єС у графітизованих кварцових ампулах, довжиною 350 - 400 мм
і внутрішнім діаметром 24 - 25 мм, в інертній атмосфері. Однорідність
сплавлення матеріалу забезпечується коливальними рухами печі під кутом 15є зі
швидкістю 2 - 3 коливання/хв., точність підтримування температури - ± 1°С.
Рис. 20. Схема і
зовнішній вигляд установки для синтезу ТЕМ:
- теплова ізоляція, 2 -
нагрівач, 3 - керамічна труба, 4 - корпус,
- підшипник, 6 -
кривошипний механізм, 7 - терморегулятор.
При досягненні заданої
температури, в середину пічки установки для синтезу поміщається ампула з
компонентами термоелектричного матеріалу. Процес синтезу триває 1 - 1.5 год.
Після цього ампула виймається з печі і охолоджується до кімнатної температури.
2.2 Подрібнення
термоелектричного матеріалу
Механічним способом одержання
найбільш тонкодисперсних порошків матеріалів забезпечується подрібнення із
застосуванням кульового млина (рис. 21).
Рис. 21.Схема кульового
млина:
- порожній циліндр, 2 -
шари з яшми, 3,4 - гумові ролики
Матеріал, що
подрібнюється, засипається всередину порожнього циліндра 1, де він піддається
дії шарів 2 зі сталі або яшми. Циліндр розміщується на двох гумових роликах 3 і
4, причому ролик 3 є провідний, а ролик 4 встановлений на своїй осі вільно.
Крім шарів і матеріалу,
що подрібнюється, усередині циліндра знаходиться також рідина (вода зі
спеціальними присадками).
На інтенсивність і
механізм помолу впливають швидкість обертання барабана млина, число і розмір
розмельних тіл, маса подрібнюваного матеріалу, тривалість і середовище помолу.
Із збільшенням швидкості обертання барабана млина розмельні тіла падають з
більшої висоти, подрібнюючи матеріал. При подальшому збільшенні швидкості
обертання барабана розмельні тіла обертатимуться з барабаном і матеріал майже не
подрібнюватиметься. Ця швидкість є критичною швидкістю обертання.
Рис. 22. Схема для
розрахунку критичної швидкості обертання барабана кульового млина
На процес подрібнення
суттєвий вплив має маса куль і її відношення до маси подрібнюваного матеріалу.
Зазвичай в млин завантажують 1,0-1,2 кг яшмових куль на 1 дм3.
об'єму. При цьому коефіцієнт заповнення 𝜑 барабана млина є оптимальним, і складає 0,4 - 0,5. При великих
значеннях ц кулі стикаються одна з одною, втрачаючи енергію, і не здійснюють
достатньо ефективної подрібнюючої дії, а при меншому завантаженні куль
продуктивність подрібнюючого пристрою різко знижується. Кількість
завантажуваного для помолу матеріалу має бути такою, щоб після початку
подрібнення його об'єм не перевищував об'єму порожнеч (зазорів) між розмельними
тілами. Якщо матеріалу буде більше, то частина його, що не вміщається в зазори,
подрібнюється менш інтенсивно. Звичайне співвідношення між масою розмельних тіл
і масою подрібнюваного матеріалу складає 2,5 - 3. При інтенсивному подрібненні
це співвідношення збільшується до 6 - 12 і навіть більше.
Для інтенсифікації
процесу помолу його здійснюють в рідкому середовищі, що перешкоджає
розпилюванню матеріалу. Крім того, проникаючи в мікротріщини частинок, рідина
створює великий капілярний тиск, сприяючи подрібненню. Рідина також зменшує
тертя як між розмельними тілами, так і між частинками оброблюваного матеріалу.
Рідким середовищем, зазвичай, служать спирт, ацетон, вода, деякі вуглеводні і
ін.
Тривалість помолу
складає близько 6 годин.
2.3 Сепарація Bi2Te3
Термоелектричний
матеріал, який піддавався подрібненню, розділяють на фракції. Сепарацію порошку
з урахуванням виділення потрібної фракції порошку для подальшого виготовлення
пресованих зразків з оптимальними характеристиками.
Для пресування порошку
зернистістю менше 40 мкм використовано сепарацію на ситах (рис. 23). Сепарацію
здійснюють для виділення необхідних фракцій порошку. Використано сита
спеціальної конструкції, що дозволяє збирати їх у пакет, тобто створювати набір
сит.
Рис. 23. Сепарація
порошку на ситах:
- платформа вібростенда,
2 - неврівноважений двигун, 3 - набір сит
Ситовий аналіз полягає в
тому, що на платформу 1 вібростенда, що містить джерело вібрації -
неврівноважений двигун (дебаланс) 2, встановлюють набір сит 3 зі зменшенням
розміру комірок зверху вниз.
Порошок засипають на
верхнє сито й піддають вібрації. У підсумку на кожному з сит залишається тільки
та частина порошку, що відповідає діапазону зернистості певної фракції.
.4 Метод SPS
Метод SPS був
розроблений на основі поширеної технології гарячого пресування, але в SPS
безпосередньо нагріваються і прес-форма і зразок. Це відбувається шляхом подачі
струму зовні через прес-форму або шляхом прямого протікання струму
безпосередньо через зразок який пресується. Подача електроенергії подається від
спеціального генератора імпульсів постійного струму. Схема такого методу
наведено на рис. 24. В нашому випадку струм пропускався через графітові
пуансони.
Рис. 24. Схематичне
зображення установки SPS
Рис. 25. Зовнішній
вигляд графітового пуансона
Рис. 26. Зовнішній
вигляд графітової прес - форми
Використання великих
струмів (до 5000А), і коротких імпульсів (тривалість імпульсу 3,3 мс) дозволяє
здійснювати розігрів графітових прес-форм з високими швидкостями і досягати
заданих температур за короткий час.
Контроль температури при
використанні описаної схеми нагріву здійснюється за допомогою термопари
розміщеної у стінці прес-форми.
Рис. 27. Механізм для
спікання матеріалу методом SPS
У процесі
електроімпульсного плазмового спікання в режимі реального часу можна
відслідковувати: напругу між електродами - плунжерами преса, силу струму,
величину навантаження преса, температуру, рівень вакууму, усадку порошку
(переміщення плунжерів преса) і швидкість усадки порошку.
Спікання порошкових
матеріалів методом SPS здійснюється в графітових прес-формах круглого перетину. Діаметр
використовуваних прес-форм обмежується розмірами вакуумної камери.
Зважування порошку для
спікання здійснюється за допомогою електронних ваг, після чого необхідну
кількість порошку пересипається в зібрану прес-форму.
Для поліпшення
електричного контакту рухомих частин прес-форми (пуансонів і матриці), а також
для полегшення вилучення спеченого зразка з матриці використовується графітовий
папір.
Збірка прес-форми
включає в себе наступні етапи:
Вимірювання висоти
прес-форми (h),
Розрахунок довжини кола
пуансонів (l),
Вирізання з графітового
паперу листа розміром,
Огортання половини
одного плунжера виготовленим листом
графітової папери,
Засипка порошку,
Закриття матриці другим
плунжером.
Отримана збірка
поміщається між плунжерами пресу.
В якості атмосфери в
процесі спікання можуть бути використані вакуум або інертні гази (Ar, N2).
Рис. 28. Зовнішній
вигляд установки SPS із вакуумним
універсальним постом
Для створення
розрідженої атмосфери (вакууму) необхідно закрити вакуумний клапан, включити
форвакуумний насос.
Інертне середовище, як
правило, рекомендується при високих температурах спікання виходячи з
характеристик матеріалу який спікається і для запобігання окислення прес-форм.
Для створення інертної атмосфери необхідно спочатку відкачати повітря з камери
(повторити дії для відкачування вакууму), після чого відкрити газовий клапан.
Для вилучення спеченого
зразка (прес-форми) з камери необхідно:
Відкрити вакуумну
камеру,
Встановити в нульове
положення регулятор тиску.
Для безпечного
проведення операцій слід пам'ятати, що:
Заборонено торкатися
електродів, термопари та інших струмонесучих частин при включеній напрузі.
Прес-форми, пуансони і
прокладки та інші елементи після процесу спікання можуть мати високу
температуру, тому для вилучення спеченого зразка (прес-форми) з камери
необхідно використовувати щипці і термостійкі рукавички.
Висновки
1. Проведений
огляд літератури показав методи підвищення добротності матеріалів із
застосуванням технології іскрового плазмового спікання, параметри
термоелектричних матеріалів на основі Bi2Te3 отриманих методом SPS, перевагу над іншими
методами та технологію отримання матеріалу даним методом із врахуванням всіх
умов отримання та вимірювання зразків.
. Метод SPS є одним із
найперспективніших та найновіших методів що дає можливість отримання матеріалу
із високими термоелектричними параметрами
Список використаних
джерел
1. Yanagi K.,
Miyata Y., Kataura H. // Phys.Express. - 2008. - №1.
2. Булат
Л.П., Драбкин И.А., Каратаев В.В., Освенский В.Б., Пшенай-Северин Д.А. //
Физика твердого тела. - 2010. - №9. - С. 1712-1716.
. Бублик
В.Т., Дашевский З.М., Драбкин И.А., Каратаев В.В., Пивоваров Г.И., Освенский
В.Б., Табачкова Н.Ю. Сопоставление структуры термоэлектрического материала Bi0,5Sb1.5Te3,
полученого методами горячего прессования и искрового плазменного спекания. //
Национальный исследовательский технологический университет. - Москва, 2010.
. Булат
Л.П., Бублик В.Т., Дашевский З.М., Драбкин И.А., Каратаев В.В., Освенский В.Б.,
Пивоваров Г.И., Пшенай-Северин Д.А., Табачкова Н.Ю. // Физика твердого тела. -
2010.
. Бублик
В.Т., Дашевский З.М., Драбкин И.А., Каратаев В.В., Пивоваров Г.И., Касьян В.А.,
Лаврентьев М.Г., Освенский В.Б., Табачкова Н.Ю., Бомштейн Н. - М., Московский
інститут стали и сплавов, 2010.
. Л.Н.
Лукьянова, В.А. Кутасов, П.П. Константинов, В.В. Попов. // Физика твердого
тела. - 2010. - №8.
. R. Nicula,
V.D. Cojocaru, M. Stir, J. Hennicke, E. Burkel High-Energy Ball- Milling
Synthesis and Densification of Fe-Co Alloy Nanopowders by Field-Activated
Sintering // Int. Symp.Metastable Nano Mat.(ISMANAM). - Paris, 2005.
. Бублик
В.Т., Богомолов Д.И., Дашевский З.М и др. // Известия ВУЗов. Материалы
электронной техники. - 2010. - №2. - С. 61 - 65.
. Райченко
А.И. Основы процесса спекания порошков пропусканием электрического тока М:.
Металлургия, 1987. 128 с.
. Райченко
А.И. - Порошковая металлургия, 1985, №1, с. 29 - 33.
. Shakery
M., Davies T.J. - Powder Met., Int., 1997, v. 11, №3, p. 120 - 124.
. Райченко
А.И., Кольчинский М.З., Левина Д.А. - Порошковая металлургия, 1976, №10, с. 19
- 26.
. Баланкин
С.А., Башлыков С.С., Горбачев Л.П, - Порошковая металлургия, 1986 р. №7, с. 124
- 129.
. Сериков
М.И., Слетков А.А., Умрихин В.М. Электроимпульсное формирование пармаллоевых
порошков. - Порошковая металлургия, 1978, №12, с. 13 - 17.
. Williams
D.J., Clyens S. Compaction of metal powders using high voltage electrical
discharges. - Metallurgia and Metal Forming, 1977, v. 44, №3, p. 125 - 127.
. Баланкин
С.А., Горбачев Л.П., Григорьев Е.Г., Скоров Д.М. Расчет термических напряжений,
возникаючих в электропроводящих материалах при прохождении мощного импульса
тока. - Журн. приклад. механ. и техн. физ., 1977, №4, с. 61 - 64.
. Shen J.J.,
Hu L.P., Zhu T.J. and Zhao X.B.. // Appl. Phys. Lett. - 2011. -
№124102. - P.
356-359.
. Kim D.H.,
Kim C., Heo S.H., Kim H. // ScienceDirect. - 2011. - №5. - P. 405 - 411.
19. Poudel B.,
Hao Q., Ma Y., Lan X.Y., Minnich A., et al. // Science. - 2008. - №5876. - P.
634 - 638.
. Bulat L.
P, Bublik V.T., Drabkin I.A., Karataev V.V., Osvenskii V. B, et al. //
Electronic Mater. - 2010. - №9. - P. 1650-1653.
. Bulat
L.P., Pshenai-Severin D.A., Karatayev V.V., Osvenskii V. B,
Parkhomenko Yu. N.,
et al. // The delivery of nanoparticles. Rijeka. : INTECH. - 2012. - P. 453 -
486.
. Булат Л.П.,
Драбкин И.И., Каратаев В.В., Освенский В.Б., Пшенай-Северин Д.А. // ФТТ. -
2010. - Т. 52, №9. - C. 1712-1716.
23. Poudel B.,
Hao Q., Ma Y., Lan X.Y., Minnich A. // Science. 320. - 2008. - №5876. - P. 6 -
34.
. Fan S.,
Zhao J., Guo J., Yan Q., Ma J., Hng H.H. // Appl. Phys. Let. - 2010. -96. -
P.104 - 182.
. Fan S.,
Zhao J., Yan Q., Ma J., Hng H.H. // Electronic materials. - 2011,
№5. - P. 1018-1023.
. Li-Dong
Zhao, Bo-Ping Zhang, Wei-Shu Liu, Jing-Feng Li. // Appl. Phys. - 2009. - 105. -
P. 23 - 70.
27. Spark
plasma sintering technique for reaction sintering of Al2O3/
Ni nanocomposite and its mechanical properties / Toshihiro Isobe, Keiji Daimon,
Toshihiro Sato end al. // Ceramics International. - 2008. - Vol. 34. - P.
213-217.