Перспективы развития банковской системы Республики Беларусь

  • Вид работы:
    Курсовая работа (т)
  • Предмет:
    Банковское дело
  • Язык:
    Русский
    ,
    Формат файла:
    MS Word
    177,4 Кб
  • Опубликовано:
    2013-11-06
Вы можете узнать стоимость помощи в написании студенческой работы.
Помощь в написании работы, которую точно примут!

Перспективы развития банковской системы Республики Беларусь

1.      Сущность и назначение банковской системы страны

Банковская система - совокупность различных видов национальных банков и кредитных учреждений, действующих в рамках общего денежно-кредитного механизма. Банковская система включает центральный банк, сеть коммерческих банков и других кредитно-расчётных центров. Центральный банк проводит государственную эмиссионную и валютную политику, является ядром резервной системы. Коммерческие банки осуществляют все виды банковских операций.

Существующую банковскую систему можно охарактеризовать некоторыми свойствами:

Во-первых, эта система, не является случайным многообразием, случайной совокупностью элементов. В нее нельзя механически включать субъекты, также действующие на рынке, но подчиненные другим целям.

К примеру, на рынке функционируют торговая система, система транспорта и связи, исполнительной и законодательной власти, правоохранительных органов и т.п. Каждая из данных и других систем имеет свое особое назначение. Они соприкасаются друг с другом, но имеют разные задачи. В банковскую систему нельзя включать производственные, сельскохозяйственные единицы, занятые другим родом деятельности.

Во-вторых, видна явная специфика системы, выражаемая свойствами, характерные для нее самой, в отличие от других систем, функционирующих в народном хозяйстве. Специфика банковской системы определяется ее составными элементами и отношениями, складывающимися между ними.

Когда рассматривается банковская система, то, прежде всего, имеется в виду, что она в качестве составного элемента включает банки, которые как денежно-кредитные институты дают «окраску» банковской системе.

Банковская система в качестве составной органической части входит в большую систему - экономическую систему страны. Это значит, что деятельность и развитие банков следует рассматривать в тесной связи с производством, обращением и потреблением материальных и нематериальных благ. В своей практической деятельности банки вплетены в общий механизм регулирования хозяйственной жизни, тесно взаимодействуя с бюджетной и налоговой системами, системой ценообразования, с политикой цен и доходов, с условиями внешнеэкономической деятельности. Это означает, что успех социально-экономических преобразований в стране во многом зависит от функционирования банковской системы, от умелой синхронизации ее усилий с действием других звеньев общественно-хозяйственного механизма.

Банк - финансовое предприятие, которое сосредотачивает временно свободные денежные средства (вклады), предоставляет их во временное пользование в виде кредитов (займов, ссуд), посредничает во взаимных платежах и расчетах между предприятиями, учреждениями или отдельными лицами, регулирует денежное обращение в стране, включая выпуск (эмиссию) новых денег.

Банковская система как целое все время находится в движении, она дополняется новыми компонентами, а также совершенствуется, одновременно, внутри неё постоянно возникают новые связи. Взаимодействие образуется как между центральным банком и коммерческими банками, так и между ними. Банки участвуют на рынке межбанковских кредитов, предлагают для продажи «длинные» и «короткие» деньги, покупают денежные ресурсы друг у друга.

Банковская система является системой «закрытого» типа. В полном смысле ее нельзя назвать закрытой, поскольку она взаимодействует с внешней средой, с другими системами.

Кроме того, система пополняется новыми элементами, соответствующими ее свойствам. Тем не менее, она «закрыта», так как, несмотря на обмен информацией между банками и изданиецентральными банками специальных статистических сборников, информационных справочников, бюллетеней, существует банковская «тайна». По закону банки не имеют права давать информацию об остатках денежных средств на счетах, об их движении.

В период экономических кризисов и политической нестабильности банковская система сокращает долгосрочные инвестиции в производство, уменьшает сроки кредитования, увеличивает доходы преимущественно не за счет основной, а побочной деятельности. А в условиях же экономической и политической стабильности и, следовательно, сокращения риска, банки активизируют свою деятельность, как по обслуживанию основной производственной деятельности предприятий, получают доходы преимущественно за счет своих традиционных процентных поступлений.

Банковская система выступает как управляемая система - Центральный банк, проводя независимую денежно-кредитную политику, в различных формах подотчетен лишь парламенту либо исполнительной власти. Деловые банки, являясь юридическими лицами, функционируют на базе общего и специального банковского законодательства, их деятельность регулируется экономическими нормативами, устанавливаемыми центральным банком, который осуществляет контроль за деятельностью кредитных институтов (в ряде стран функции надзора за деятельностью коммерческих банков возложены на другие специальные государственные органы).

Признаки банковской системы:

•включает элементы, подчиненные определенному единству, отвечающие единым целям;

•имеет специфические свойства;

•способна к взаимозаменяемости элементов;

•является динамической системой;

•выступает как система «закрытого» типа;

•обладает характером саморегулирующейся системы;

• является управляемой системой.

Банковская система не изолирована от окружающей среды, напротив, она тесно взаимодействует с ней, представляет собой подсистему более общего образования, какой служит экономическая система.

На данном этапе можно выделить что, являясь частью более общего, банковская система функционирует в рамках общих и специфических банковских законов, подчинена общим юридическим нормам общества, ее акты, хотя и выражают особенности банковского сектора, однако могут вноситься в общую систему, как и она сама только в том случае, если не противоречит общим устоям и принципам, строит общую систему как единое целое.

2.      Анализ построения и принципов организации деятельности банковской системы Республики Беларусь

В истории развития банковских систем различных стран известно несколько их видов:

двухуровневая банковская система (Центральный банк и система коммерческих банков);

централизованная монобанковская система;

уникальная децентрализованная банковская система - Федеральная резервная система США.

В большинстве стран с рыночной экономикой существует двухуровневая структура банковской системы.

Первый уровень банковской системы образует Центральный банк страны. Он выполняет следующие функции:

·    осуществляет эмиссию национальных денежных знаков, организует их обращения и изъятия из обращения, определяет стандарты и порядок ведения расчетов и платежей;

·        проводит общий надзор за деятельностью кредитно-финансовых учреждений страны и исполнение финансового законодательства;

·        предоставление кредитов коммерческим банкам;

·        выпускает и проводит погашение государственных ценных бумаг;

·        управляет счетами правительства, осуществляет зарубежные финансовые операции;

·    осуществляет регулирование банковской ликвидности с помощью традиционных для центрального банка методов воздействия на коммерческие банки: проведение политики учетной ставки, операций на открытом рынке с государственными ценными бумагами и регулирование норматива обязательных резервов коммерческих банков.

С точки зрения собственности на капитал центральные банки подразделяются на:

Ø  государственные, капитал которых принадлежит государству. (например, центральные банки в Великобритании, ФРГ, Франции, Канаде, России);

Ø  акционерные (например, в США);

Ø  смешанные - акционерные общества, часть капитала которых принадлежит государству (в Японии, Бельгии).

Однако тесные связи с государством не означают, что оно может безгранично влиять на политику центрального банка. Независимо от принадлежности капитала центральный банк является юридически самостоятельным. Чаще всего он подотчетен либо законодательному органу, либо специальной банковской комиссии, образованной парламентом. Управляющий банка, которого могут назначать парламент, президент, правительство, монарх, обычно не входит в состав правительства Существенная степень независимости центрального банка является необходимым условием эффективности его деятельности, которая нередко вступает в противоречие с краткосрочными целями правительства, озабоченного, например, приближением очередных выборов. Это особенно важно в плане ограничения возможностей правительства использовать ресурсы центрального банка для покрытия бюджетного дефицита.

В то же время независимость центрального банка от правительства носит относительный характер в том смысле, что экономическая политика не может быть успешной без четкого согласования и тесной увязки ее основных элементов денежно-кредитной и финансовой политики. В долгосрочном плане политика центрального банка прямо определяется приоритетами макроэкономического курса правительства. В конечном счете, любой центральный банк в той или иной степени сочетает черты банка и государственного органа.

В большинстве стран с рыночной экономикой и двухуровневой банковской системой функции центральных банков в основном совпадают, но есть, естественно, и отличия. Так, например, во главе банковской системы Франции, которая характеризуется жестким банковским надзором и кредитным контролем, а также преобладанием государственных кредитных институтов, стоит Министерство финансов Франции. Центральный банк Франции - Банк Франции - наряду с двумя другими институтами (Национальный кредитный Совет и Комиссия по банковскому контролю), которые осуществляют контроль за деятельностью коммерческих банков, находится под руководством Министерства финансов.

Банк Франции обладает монополией на эмиссию банкнот, но его задачи как банка государства ограничены, так как многие банковские операции выполняет само Казначейство Франции.

В противоположность централизованной системе банковская система рыночного типа характеризуется отсутствием монополии государства на банки. Каждый субъект воспроизводства самой разнообразной формы собственности (не только государственной) может образовать банк. В рыночном хозяйстве функционирует множественность банков с децентрализованной системой управления. Эмиссионные и кредитные функции разделены ими между собой. Эмиссия сосредоточена в центральном банке, кредитование предприятий и населения осуществляют различные деловые банки - коммерческие, инвестиционные, инновационные, ипотечные, сберегательные и др. Деловые банки не отвечают по обязательствам государства, так же как государство не отвечает по обязательствам деловых банков; деловые банки подчиняются своему Совету, решению акционеров, а не административному органу государства. Различия между этими двумя типами системы представлены в Таблице 1.

Таблица 1. Сравнение централизованной и рыночной банковской систем

Централизованная банковская система

Рыночная банковская система

По типу собственности

Государство - единый собственник на банки

Многообразие форм собственности

По степени монополизации

Монополия государства на формирование банков

Монополия государства на банки отсутствует, любые юридические и физические лица могут образовать свой банк

По количеству уровней системы

Одноуровневая банковская система

Двухуровневая банковская система

По характеру системы управления

Централизованная(вертикальная) схема управления

Децентрализованная(горизонтальная) схема управления

По характеру банковской политики

Политика единого банка

Политика множества банков

По характеру взаимоотношений банков с государством

Государство отвечает по обязательствам банков

Государство не отвечает по обязательствам банков, так же как банки не отвечают по обязательствам государства

По выполнению эмиссионной и кредитной операции

Эти операции сосредоточены в одном банке

Эмиссионные операции сосредоточены только в Национальном банке, операции по кредитованию юридических и физических лиц выполняют только коммерческие банки

Руководитель банка назначается центральной или местной властью, вышестоящими органами управления

Руководитель Центрального банка утверждается Парламентом; Президент коммерческого банка назначается его Советом



Коммерческий банк - негосударственное кредитное учреждение, осуществляющее универсальные банковские операции для юридических и физических лиц (расчётные, платёжные операции, привлечение вкладов, предоставление ссуд, а также операции на рынке ценных бумаг и посреднические операции).

Первым известным в мире коммерческим банком был банк Св. Георгия в Генуе, открытый в 1407 году. Старейшим в мире банком, действующим до сих пор, является также итальянский банк Монте дей Паски ди Сиена, который существует с 1472 года.

Операции коммерческого банка

Пассивные операции

Пассивные операции - операции по мобилизации средств, а именно: привлечение кредитов, вкладов (депозитных, сберегательных), получение кредитов от других банков, эмиссия собственных ценных бумаг. Средства, получаемые в результате пассивных операций, являются основой непосредственной банковской деятельности. Активные операции - операции по размещению средств. В результате активных операций банки получают дебетовые проценты, которые должны быть выше кредитовых процентов, выплачиваемых банком по пассивным операциям. Разница между дебетовыми и кредитовыми процентами (маржа) - одна из важнейших традиционных статей дохода банка (банковская прибыль формируется и за счет комиссионных сборов за банковские услуги).

Основные пассивные операции коммерческого банка - депозитные.

Депозитные операции - это срочные и бессрочные вложения клиентов банка. Средства, хранящиеся на счетах до востребования (бессрочные вклады), предназначаются для осуществления текущих платежей - наличными или через банк при помощи чеков, кредитных карточек или аккредитивов. Другой вид депозитных вкладов - срочные вклады (с определенными сроками погашения). По этим вкладам обычно выплачиваются более высокие проценты, зависящие от срока вклада, поскольку банки могут более длительное время распоряжаться средствами вкладчика и имеют возможность реинвестировать их. Чаще всего на срочные счета помещаются средства целевого назначения, например суммы, предназначенные предпринимателем для покупки оборудования через 6 месяцев.

К пассивным операциям относятся и различные сберегательные операции. Сберегательные депозиты служат для накопления средств клиента, о чем клиенту выдается свидетельство (сберегательная книжка).

К пассивным операциям коммерческого банка можно отнести:

·        создание и увеличение собственного капитала за счет отчислений от прибыли;

·        эмиссию ценных бумаг и их размещение на открытом рынке;

·        депозитные операции;

·        межбанковские займы на внутреннем и внешнем рынке (рис. 1).

Среди депозитных операций выделяют следующие группы:

o   депозиты до востребования;

o   срочные и сберегательные депозиты.

Рис. 1. Привлечённые средства коммерческого банка

Активные операции

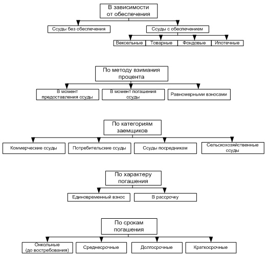
Активные операции коммерческого банка - это прежде всего кредитные операции, инвестиционные операции, операции по формированию имущества банка, расчетно-кассовые операции, комиссионно-посреднические (факторинг, лизинг, форфэтинг и пр.). Все кредитные операции можно сгруппировать следующим образом (рис. 2):

Рис. 2. Классификация кредитных операций

Активные операции банков - это операции по выдаче (размещению) различного рода кредитов. Наиболее часто встречающимся видом кредита, выдаваемого банками, является краткосрочная ссуда экономическим агентам, обычно для финансирования покупки товарно-материальных ценностей. Эта ссуда может выдаваться под реальное обеспечение или без него, но в любом случае для ее получения необходимо наличие отчетных финансовых документов, характеризующих финансовое положение заемщика, с тем чтобы банк мог в любой момент оценить вероятность своевременного погашения ссуды.

Существуют несколько форм банковских объединений:

) Банковские картели - это соглашения, ограничивающие самостоятельность отдельных банков и свободную конкуренцию между ними путем согласования и установления единообразных процентных ставок, проведения одинаковой дивидендной политики и т.п.

) Банковские синдикаты, или консорциумы - соглашения между несколькими банками для совместного проведения крупных финансовых операций.

) Банковские тресты - это объединения, возникающие путем полного слияния нескольких банков, причем происходит объединение капиталов этих банков и осуществляется единое управление ими.

) Банковские концерны - это объединение многих банков, формально сохраняющих самостоятельность, но находящихся под финансовым контролем одного крупного банка, скупившего контрольные пакеты их акций.

Функции коммерческих банков:

) Привлечение и аккумуляция временно свободных денежных средств. Эта функция является одной из старейших банковских функций и в настоящее время получает наиболее широкое развитие. Банки концентрируют значительную часть образующихся в хозяйстве накоплений и сбережений. Внесенные в кредитные учреждения денежные суммы приносят вкладчикам доход в виде процента. По текущим счетам процент не уплачивается, вместо этого банк бесплатно выполняет для клиента разнообразные услуги по переводу и выплате денег. Банк способствует выполнению функции кредита по превращению временно свободных денежных капиталов и накоплений в ссудный капитал.

Здесь не следует забывать о том, что, например, различные инвестиционные фонды, финансово-промышленные компании также собирают деньги для инвестиций. В отличие от аналогичной функции банка, данные субъекты собирают денежные средства для своих собственных целей, поэтому можно отметить, что данная функция в современном хозяйстве как бы лишь частично уступается другим субъектам хозяйства, не являющимся банками.

) Одной из важных функций коммерческого банка является посредничество в кредите. Функцию посредничества в кредите банки осуществляют путем перераспределения денежных средств, временно высвобождающихся в процессе кругооборота фондов предприятий и денежных доходов частных лиц. Особенность посреднической функции коммерческих банков состоит в том, что главным критерием перераспределения ресурсов выступает прибыльность их использования заемщиком. Перераспределение ресурсов осуществляется по горизонтали хозяйственных связей от кредитора к заемщику, при посредстве банков без участия промежуточных звеньев в лице вышестоящих банковских структур, на условиях платности и возвратности. Плата за отдельные и полученные взаймы средства формируется под влиянием спроса и предложения заемных средств. В результате достигается свободное перемещение финансовых ресурсов в хозяйстве, соответствующее рыночному типу отношений.

Значение посреднической функции коммерческих банков для успешного развития рыночной экономики состоит в том, что они своей деятельностью уменьшают степень риска и неопределенности в экономической системе. Денежные средства могут перемещаться от кредиторов к заемщикам и без посредничества банков, однако при этом резко возрастают риски потери денежных средств, отдаваемых в ссуду, и возрастают общие издержки по их перемещению, поскольку кредиторы и заемщики не осведомлены о платежеспособности друг друга, а размер и сроки предложения денежных средств не совпадают с размерами и сроками потребности в них. Коммерческие банки привлекают средства, которые могут быть отданы в ссуду, в соответствии с потребностями заемщиков и на основе широкой диверсификации своих активов снижают совокупные риски владельцев денег, помещенных на банковские счета.

) Посредничество в платежах между отдельными самостоятельными субъектами. Под ней зачастую понимается деятельность банка как посредника в платежах. Через банки проходят платежи предприятий, организаций, населения, и в этом смысле банки, находясь между клиентами, совершая платежи по их поручению, как бы наделены посреднической миссией.

Платежный механизм - структура экономики, которая опосредует «обмен веществ» в хозяйственной системе. Методы платежа делятся на наличные и безналичные. В крупном обороте доминируют безналичные платежи и расчеты, а в сфере розничного товарообмена основная масса сделок опосредуется наличными деньгами, несмотря на то, что в последние десятилетия активно внедряются формы безналичного расчета.

) Важнейшей функцией банков является также стимулирование накоплений в хозяйстве.

Коммерческие банки, выступая на финансовом рынке со спросом на кредитные ресурсы, должны не только максимально мобилизовать имеющиеся в хозяйстве сбережения, но и формировать достаточно эффективные стимулы к накоплению средств. Стимулы к накоплению и сбережению денежных средств формируются на основе гибкой депозитной политики коммерческих банков. Помимо высоких процентов, выплачиваемых по вкладам, кредиторам банка необходимы высокие гарантии надежности помещения накопленных ресурсов в банк. Созданию гарантий служит формирование фонда страхования активов банковских учреждений, депозитов в коммерческих банках

Наряду со страхованием депозитов важное значение для вкладчиков имеет доступность информации о деятельности коммерческих банков и о тех гарантиях, которые они могут дать. Решая вопрос об использовании имеющихся у кредитора средств, он должен иметь достаточную информацию о финансовом состоянии банка, чтобы самому оценить риск будущих вложений.

В силу неразвитости в нашей стране рынка ценных бумаг вклады в банки в течение всего переходного периода будут преимущественной формой мобилизации финансовых ресурсов для осуществления экономических преобразований. Задача банков - создать такие формы привлечения средств, которые реально заинтересовывали бы клиентов в накоплении ресурсов и формировали у них привычку к сбережению, определяющую инвестиционные возможности экономики, развивающейся по законам рынка.

) Посредничество в операциях с ценными бумагами. Банки имеют право выступать в качестве инвестиционных институтов, которые могут осуществлять деятельность на рынке ценных бумаг в качестве посредника; инвестиционного консультанта; инвестиционной компании и инвестиционного фонда. Выступая в качестве финансового брокера, банки выполняют посреднические функции при купле-продаже ценных бумаг за счет и по поручению клиента на основании договора комиссии или поручения.

Инвестиционный портфель банка строго структурируется законом. Это означает, что государство устанавливает норму процента, согласно которой определенная часть (до 90%) должна состоять из ценных бумаг государства, остальная - частных предприятий. Первичное размещение всех видов ценных бумаг правительства происходит в порядке аукционной продажи, где в первую очередь удовлетворяются заявки, предлагающие наивысшую цену (ставку). Вторичное обращение происходит на внебиржевом рынке. Рынок создает группа дилерских фирм, ведущих активные операции по покупке и продаже государственных обязательств. В условиях экономического спада правительство через центральный банк старается стимулировать хозяйственную активность и покупает у дилеров государственные обязательства, увеличивая их резервные счета. В условиях инфляционного бума государство продает дилерам свои обязательства и тем сокращает их ликвидность. Корпоративные облигации в гораздо большей степени, чем государственные подвержены риску неплатежа. Банки покупают только высококлассные бумаги в соответствии с оценкой кредитными агентствами связанного с ними риска. Различают два вида инвестиционной политики банка: пассивная и агрессивная.

Пассивная стратегия характеризуется равномерным распределением инвестиций между выпусками разной срочности. Эта политика банк распределяет вложения в краткосрочные и долгосрочные обязательства равномерно, чтобы обеспечить хорошую доходность и ликвидность. Агрессивная стратегия. Этой политики придерживаются крупные банки, имеющие большой портфель инвестиционных бумаг и стремящиеся к получению максимального дохода от этого портфеля. Этот метод требует значительных средств, так как он связан с большой активностью на рынке ценных бумаг, при которой необходимо использовать экспертные оценки и прогнозы состояния рынка ценных бумаг и экономики в целом. Так, если кривая доходности находится на относительно низком уровне и будет по прогнозам повышаться, то это обещает снижение курсов твердо процентных бумаг. Поэтому банк будет покупать краткосрочные облигации, которые по мере роста процентных ставок будут предъявляться к выкупу и реинвестироваться в более доходные активы (например, ссуды).

) Функция регулирования денежного оборота. Банки выступают центрами, через которые проходит платежный оборот различных хозяйственных субъектов. Благодаря системе расчетов банки создают для своих клиентов возможность совершения обмена, оборота денежных средств и капитала. Регулирование денежного оборота достигается также посредством эмитирования платежных средств, кредитования потребностей различных субъектов производства и обращения, массового обслуживания хозяйства и населения. Поэтому можно сделать вывод, что данная функция реализуется посредством комплекса операций, признанных банковскими и закрепленных за банком как денежно-кредитным институтом.

) Консультации и предоставление экономической и финансовой информации. Банки концентрируют у себя сведения общеэкономического и финансового характера, представляющие интерес для предприятий. Банки предоставляют разнообразную биржевую и финансовую информацию, часто конфиденциального характера, в первую очередь предприятиям, связанным с ними общностью интересов, финансовыми узами.

Особым блоком банковской системы служит банковское законодательство. Законодательные и нормативные акты, регулирующие деятельность банковской системы, в силу определяющего характера деятельности финансовых институтов для экономики, являются на сегодня наиболее разработанным пластом правового поля государства.

Банковское законодательство Республики Беларусь - система нормативных правовых актов, регулирующих возникающие при осуществлении банковской деятельности отношения и устанавливающих права, обязанности и ответственность субъектов и участников банковских правоотношений.

К актам банковского законодательства относятся:

·        законодательные акты (Конституция Республики Беларусь, Гражданский кодекс Республики Беларусь, Банковский Кодекс, законы Республики Беларусь, декреты и указы Президента Республики Беларусь);

·        распоряжения Президента Республики Беларусь, которые носят нормативный характер;

·        постановления Правительства Республики Беларусь;

·        нормативные правовые акты Национального банка Республики Беларусь (далее - Национальный банк);

·        нормативные правовые акты, принимаемые (издаваемые) Национальным банком совместно с Правительством Республики Беларусь или по его поручению - совместно с республиканскими органами государственного управления.

Из перечисленной выше информации можно сделать вывод, что основная функция банковской системы - посредничество в перемещении денежных средств от кредиторов к заёмщикам и от продавцов к покупателям.

Правовые основы деятельности банковской системы Республики Беларусь определены Банковским кодексом Республики Беларусь, другими законодательными и нормативными актами, действующими на территории Республики Беларусь. Действия законов распространяется на кредитные учреждения, расположенные на территории Республики Беларусь. Банковская система Республики Беларусь является двухуровневой и состоит из Национального банка Республики Беларусь и коммерческих банков.

Банковская система Республики Беларусь - одна из самых управляемых и контролируемых на территории СНГ. На данный момент в Республике Беларусь действует 31 банк. Среди коммерческих банков действует 25 банков с участием иностранного капитала (например, ЗАО «Минский транзитный банк», ОАО «Белгазпромбанк» и т.д.), 8 из них с 100-процентным иностранным капиталом (например, ЗАО «БелСвиссБанк», ОАО «Банк Москва-Минск»). В уставных фондах белорусских банков участвует капитал России, США, Швейцарии, Австрии, Чехии, Кипра, Ливии, Украины, Великобритании, Нидерландов и других стран. Есть также банки со 100-процентным белорусским капиталом (например, ОАО «АСБ Беларусбанк»).

Все белорусские банки имеют универсальный характер, однако некоторые из них ориентированы на конкретные цели. К примеру, такие банки как ЗАО «Дельта Банк», ОАО «Хоум Кредит Банк» концентрируются на розничных банковских услугах, на потребительских кредитах. ЗАО «Белорусский Банк Малого Бизнеса» преимущественно обслуживает малые предприятия и индивидуальных предпринимателей. Больше всего коммерческие банки Республики Беларусь зарабатывают на процентных доходах (около 64% доходов банков). На втором месте комиссионные доходы (около 25%).

Совокупный капитал белорусских банков на 1 июля 2013 года составил 50 291,7 млрд. руб. На 1 апреля 2013 г. этот показатель составлял 48 790,7 млрд. руб., а это значит, что прирост составил 3,08%.

По итогам II квартала 2013 года 29 банков нарастили собственный капитал. Крупнейший банк страны, ОАО «АСБ Беларусбанк», нарастил собственный капитал лишь на 2,38%, в то время как показатели ЗАО «МТБанка» (14,4%), Дельта Банка (10,49%), ЗАО «Идея Банка» (36,4%), ОАО «ХКБанка» (16,19) и ЗАО «Евробанка» (22,45%) значительно выше. Темп прироста ЗАО «Альфа-Банка» и вовсе перевалил за 100%, однако это, прежде всего, связано с покупкой ЗАО «АКБ Белросбанка» и последующим их слиянием.

У двух банков, ЗАО «ТК Банка» и ЗАО «ИнтерПэйБанка», величина собственного капитала снизилась: у ЗАО «ИнтерПэйБанка» на 0,05%, ЗАО «ТК Банка» на 7,64%.

Тройка лидеров немного изменилась: как и прежде, первое место занимает ОАО «АСБ Беларусбанк», второе - ОАО «Белагропромбанк», а вот третье место теперь принадлежит ОАО «БПС-Сбербанку».

На долю ОАО «АСБ Беларусбанка» приходится 43,08% от общего объема капитала, показатель по сравнению с данными за 1-ый квартал снизился на 0,29%. Незначительно снизился и показатель ОАО «Белагропромбанка», сейчас он составляет 19,82%.

На долю ОАО «БПС-Сбербанка» приходится 5,27% совокупного капитала, у Банк ОАО «БелВЭБ» - 5,21%.

Также в список наиболее влиятельных банков по участию в общем объеме капитала вошли ОАО «Приорбанк» (4,67%), ОАО «Белинвестбанк» (4,4%) и ОАО «Белгазпромбанк» (4,08%).

Диаграмма 1. Доля банков в совокупной прибыли банковской системы страны, %

В 2008 году была создана новая система гарантирования сохранности и выплаты вкладов и средств, размещённых на счетах. Было создано Агентство по гарантированному возмещению банковских вкладов физических лиц. Если сам банк не сможет вернуть деньги, то это сделает Агентство. Оно должно вернуть не только сам депозит, но и доход по нему. Деньги возвращаются именно в той валюте, в который был оформлен вклад. Капитал Агентства был сформирован из средств гарантийного фонда и взносов Правительства и Нацбанка. Каждый банк в Республике Беларусь, который принимает вклады от населения, обязан стать на учёт в Агентство, уплатить учётный взнос, а в последующем банк каждый квартал должен платить календарные взносы. Создание Агентства повысило уровень доверия населения Республики Беларусь к банкам.

В Республике Беларусь доходы населения от начисленных процентов по банковским вкладам не подлежат налогообложению. На данный момент на депозиты в белорусских рублях предлагаются проценты от 29% до 33% годовых, а в иностранной валюте (доллары США, евро, российские рубли) - 5%-10%.

Большинство банков являются универсальными кредитными учреждениями, осуществляющими широкий круг банковских операций в интересах отечественных и зарубежных клиентов. Законом о ценных бумагах и фондовых биржах определены порядки регистрации, выпуска и обращения ценных бумаг, порядок и принципы деятельности фондовой биржи, а также дополнительные меры по защите иностранных инвесторов. Государственное регулирование рынка ценных бумаг осуществляется путем принятия законодательных и нормативных актов, лицензирования и контроля за деятельностью рынка ценных бумаг. С целью обеспечения единой государственной политики в этой сфере образован центральный государственный орган - Комитет по ценным бумагам при Министерстве финансов Республики Беларусь.

Проводимая политика по поддержанию положительного уровня реальных процентных ставок повысила доверие к белорусскому рублю. Субъекты хозяйствования и особенно население стали отдавать предпочтение сбережениям в национальной валюте. Срочные рублевые депозиты в банках увеличились в среднем в 2,7 процента.

Одним из наиболее существенных достижений банковской системы явилась нормализация валютного рынка. Она выразилась в формировании единого курса белорусского рубля на всех его сегментах, переводе основного объема операций по покупке-продаже иностранной валюты на организованный валютный рынок. Значительную роль здесь сыграла и отмена ограничений на использование белорусских рублей по экспортно-импортным операциям.

Несмотря на непродолжительность истории банковской системы Республики Беларусь, на ее протяжении уже можно выделить ряд этапов.

Первый этап (до 1993-1994 гг.) - этап бурного экстенсивного роста. В это время ежегодно создавалось 5-10, а то и более новых банков, а их общее число к концу 1994 года достигло 48. Банки активно заполняли свободные ниши рынка банковских услуг, потребности в которых были весьма велики, в особенности со стороны нового негосударственного сектора экономики. Вместе с тем многие из них обладали незначительным финансовым и организационно-технологическим потенциалом, имели крайне узкую базу клиентуры, ориентируясь в некоторых случаях на обслуживание одного-двух клиентов из числа акционеров. Высокая номинальная прибыльность банковских операций обеспечивалась в основном за счет высокой инфляции и соответствующего уровня номинальных процентных ставок.

Такая политика не обеспечивала в должной мере безопасность функционирования банков, ориентацию на повышение фундаментальных факторов эффективности работы банков. Кроме того, этот начальный период развития банковской системы Республики Беларусь характеризовался слабостью и неразвитостью нормативно-правовой базы регулирования банковских операций, систем контроля и надзора. Естественно, что наступил второй этап (1995-1996 гг.), на протяжении которого многие малые и даже средние банки обанкротились, другие объединялись между собой или были присоединены к более крупным.

Примерно в 1997-1998 годах наступил этап интенсивного роста банковской системы. Продолжается процесс ликвидации маломощных банков. Банки начали понимать, что залогом успешного развития является не ориентация на получение сиюминутной прибыли, а освоение новых банковских технологий и видов услуг, в максимальной степени удовлетворяющих потребности клиентов.

На современном этапе осуществляется качественно совершенствование технологического потенциала банковской системы, освоение передовых видов банковских услуг и на этой основе наращивания масштабов операций банков.

3.      Перспективы развития банковской системы Республики Беларусь

Стратегия и основные задачи социально-экономического развития страны на ближайшие 5 лет были одобрены на IV Всебелорусском народном собрании. В соответствии с ними разработана Программа социально-экономического развития Республики Беларусь на 2011-2015 годы, которая предусматривает три взаимоувязанных направления развития:

• рост благосостояния и улучшение условий жизни населения;

• создание благоприятных условий ведения бизнеса;

• инновационное развитие и повышение конкурентоспособности экономики.

Решение поставленных задач будет осуществляться на основе новой экономической политики, предусматривающей изменение системы государственного управления экономикой. Предполагается переход к преимущественно экономическим методам регулирования, формирование конкурентной среды и укрепление института частной собственности, совершенствование мотивационных механизмов, расширение самостоятельности и усиление ответственности на местах, совершенствование системы налогообложения и переход на международные стандарты финансовой отчетности.

Существенную роль в экономическом развитии страны предстоит сыграть банковскому сектору. Решение этой задачи требует системного видения целей, задач и перспектив развития банков. В этой связи был подготовлен проект Стратегии развития банковского сектора экономики Республики Беларусь на 2011-2015 гг. Данный документ определяет направления совершенствования регулирования деятельности банков Национальным банком и развития банковского сектора на 5 лет.

Совершенствование регулирования деятельности банков Национальным банком будет направлено на повышение устойчивости банковского сектора и обеспечение потребностей экономических агентов современными банковскими продуктами.

Применение инструментов денежно-кредитной политики в первую очередь будет направлено на обеспечение устойчивости белорусского рубля. Основным принципом процентной политики останется поддержание процентных ставок в реальном выражении на положительном уровне, обеспечивающем сохранность и привлекательность ресурсов в национальной валюте и доступность финансовых ресурсов для экономики. Национальный банк будет стремиться обеспечивать ставку однодневного рублевого межбанковского кредита (операционный ориентир) на уровне, приближенном, как правило, к ставке рефинансирования.

С этой целью Национальный банк намерен использовать преимущественно стандартные инструменты регулирования текущей ликвидности: операции на открытом рынке (как основной инструмент регулирования текущей ликвидности банков), постоянно доступные и двусторонние операции, механизм усреднения резервных требований. Для повышения их эффективности планируется:

расширить формы приемлемого обеспечения;

распространить механизм усреднения на весь объем резервных требований;

сузить границы коридора, задаваемого ставками по постоянно доступным операциям, и придать ему симметричность относительно ставки рефинансирования;

совершенствовать процесс раскрытия информации об используемых инструментах регулирования ликвидности и влияющих на нее факторах. [1, с. 8]

Дальнейшее совершенствование системы регулирования банковских операций будет направлено на формирование условий для внедрения и развития передовых технологий и современных банковских продуктов на основе:

• расширения прав банков в установлении процедур проведения банковских операций, закрепляемых в локальных нормативных правовых актах;

• развития институтов обеспечения прав банков как кредиторов;

• повышения информированности клиентов банков о стоимости и содержании предоставляемых им услуг.

Особое внимание по-прежнему будет уделяться операциям банков по кредитованию физических лиц. В целях развития жилищного кредитования предусматривается:

совершенствование института ипотеки и ипотечных ценных бумаг;

создание централизованной базы данных о залогодержателях и залогодателях;

создание подменного фонда жилья и жилья для сдачи в аренду;

разработка норм и рекомендаций о выпуске и обращении ипотечных ценных бумаг.

В рамках развития рыночных принципов в экономике ожидается совершенствование участия банков в кредитовании государственных программ. Участие банков, в том числе негосударственных, предполагается на конкурсной основе. По мере развития инфраструктуры финансового рынка, создания специализированных финансовых организаций роль банков в кредитовании государственных программ будет снижаться.

В рамках развития банковского надзора планируется совершенствовать пруденциальные требования и надзорные процедуры, повышать уровень всех составляющих надзорного процесса с учетом международных стандартов и лучшей мировой практики. Основными направлениями развития станут:

• повышение независимости принятия решений в рамках банковского надзора от иных функций государственного регулирования и контроля;

• дальнейшее внедрение риск-ориентированного надзора;

• повышение требований к допуску на рынок банковских услуг и обеспечение их соблюдения банками в процессе функционирования;

• совершенствование консолидированного надзора за деятельностью банковских групп и банковских холдингов, трансграничного надзора.

Развитие платежной системы будет нацелено на обеспечение ее эффективного, надежного и безопасного функционирования, совершенствование работы с электронными платежными документами, увеличение безналичных расчетов в розничном товарообороте, расширение спектра и повышение качества платежных услуг, предоставляемых населению, развитие дистанционного банковского обслуживания (интернет-банкинг, телебанк, sms-банкинг, мобильный банкинг). Коэффициент доступности автоматизированной системы межбанковских расчетов будет обеспечиваться на уровне не ниже 99,5% дневного фонда рабочего времени.

Основными целями развития информационных технологий в банковской системе будут повышение качества и увеличение количества банковских услуг, обеспечение их доступности независимо от территориальной принадлежности клиентов, а также повышение эффективности, надежности и безопасности функционирования информационных систем.

Приоритетным направлением развития системы бухгалтерского учета и финансовой отчетности в банках останется дальнейшее ее сближение с международными принципами, правилами и стандартами. Деятельность Национального банка будет направлена на подготовку общих методических подходов и принципов с предоставлением банкам права самостоятельно принимать решения по методике оценки, процедуре, оформлению и отражению операций.

Эффективному функционированию банковского сектора будет содействовать совершенствование профессионального образования кадров. Появление новых сложных финансовых инструментов, усиление конкуренции на рынке банковских услуг потребуют внедрения в практику международного опыта в сфере банковских технологий. Профессиональная подготовка специалистов банковской сферы должна быть тесно увязана с требованиями, предъявляемыми к современным финансовым институтам европейского уровня.

Решение задач по развитию банковской системы будет обеспечиваться с учетом широкого международного сотрудничества. Развитие отношений с группой организаций Всемирного банка и ЕБРР будет способствовать привлечению финансовых ресурсов для нужд микробизнеса, малого и среднего бизнеса, что является одним из приоритетов кредитования на предстоящие 5 лет. В рамках Единого экономического пространства следует ожидать снятия ограничений по трансграничному перемещению капитала, повышения доступа иностранных поставщиков банковских услуг на рынок страны и, как следствие, повышения конкуренции среди банков.

С учетом указанных условий ожидаются следующие направления развития банковского сектора в 2011-2015 гг. В условиях роста конкуренции банкам необходимо предпринимать меры по снижению управленческих и организационных издержек, что будет способствовать снижению процентной маржи банков и повышению доступности финансовых ресурсов для экономики. Ожидается, что банки будут переходить на одноуровневую систему управления региональной структурой, осуществлять централизацию бухгалтерского учета, кадровой и правовой работы, снабжения в центральных подразделениях, преобразование филиалов и отделений в расчетно-кассовые центры и центры по оказанию банковских услуг. Также ожидается снижение концентрации посредством укрупнения и консолидации средних и небольших банков. Основной тенденцией останется функционирование универсальных банков.

Ожидается дальнейшее привлечение иностранного капитала в уставные фонды банков. Имеются условия для увеличения его доли в банковском секторе как минимум до 50%, в том числе через создание новых банков. Соответственно, снизится участие государства в акционерном капитале банков. Значительное привлечение иностранных ресурсов в банковский сектор обеспечит трансферт современных банковских технологий на отечественный рынок, расширит инвестиционные возможности банков.

Важным направлением развития банковского сектора должно стать расширение финансового посредничества банков за счет операций с акциями, облигациями, закладными и другими финансовыми инструментами, а также развитие института доверительного управления имуществом. Активность данных процессов будет зависеть от ряда условий, в том числе от интенсивности процесса приватизации и создания широкомасштабного частного сектора, обеспечения высокой привлекательности страны для долгосрочных инвестиций, развития и либерализации финансового рынка, диверсификации перечня объектов инвестирования при доверительном управлении имуществом.

Развитие новых сфер банковского бизнеса определяется также сроками создания в стране регионального (международного) финансового центра, который обеспечит более активное и целенаправленное привлечение иностранных инвестиций в виде финансовых ресурсов и технологий.

В пятилетке ожидается качественно новое развитие экономики на основе создания благоприятных условий ведения бизнеса и повышения ее инвестиционной привлекательности, что предусмотрено Директивой №4 и Программой на 2011-2015 гг. Со своей стороны банки должны максимально содействовать привлечению иностранных инвестиций в экономику. Дальнейшая активизация роли банков в наращивании экономического потенциала страны путем расширения финансового посредничества предполагает в течение 5 лет привлечь до 30 млрд. долл. США от нерезидентов.

Заключение

банковский финансовый кредитный учреждение

Банковская система остается ведущим звеном институционального сектора национальной финансовой системы. Устойчиво работающие финансовые рынки и институты, надежно функционирующая платежная система и система надзора позволят обеспечить финансовую стабильность в стране как важнейшее условие поддержания положительной динамики экономического развития Республики Беларусь.

В сегодняшней ситуации нужно эффективно использовать денежные ресурсы, умело, селективно проводить кредитную политику.

Национальный банк Республики Беларусь ставит своей целью обеспечить международный уровень качества работы и надежности белорусских банков. Поэтому и национальные стандарты нашей страны, процедуры банковского надзора должны соответствовать требованиям, принятым во всем мире.

Несмотря на бурное развитие коммерческих банков за последние годы, их численность еще далеко не достаточна. По плотности банков Беларусь значительно уступает развитым зарубежным странам.

Современные банки уже сложились в мощную экономическую силу. Для повышения их роли в экономике и способности перераспределять финансовые ресурсы в интересах всего народного хозяйства необходимо укреплять финансовую базу банковского сектора и существенно улучшить законодательные условия в банковской деятельности.

Национальный банк и банковский сектор в соответствии с утвержденными главой государства основными направлениями денежно-кредитной политики Республики Беларусь на 2013 год продолжат работу по развитию и укреплению банковской системы:

банки нарастят нормативный капитал до уровня, необходимого для покрытия принятых ими рисков, в том числе за счет внесения средств инвесторами в уставные фонды банков;

ресурсная база банков увеличится за счет привлечения средств резидентов и нерезидентов Республики Беларусь;

требования банков к экономике возрастут на 17 - 20 процентов.

в 2013 году Национальный банк совместно с Правительством Республики Беларусь предпримет меры, направленные на повышение устойчивости и конкурентоспособности финансового рынка.

в 2013 году будет обеспечено эффективное, надежное и безопасное функционирование национальной платежной системы.

Реализация денежно-кредитной политики, направленной на сбалансированное развитие экономики, должна создать условия для обеспечения устойчивого экономического роста в долгосрочной перспективе, повышения благосостояния и качества жизни населения.

Список литературы

1.     Банковский кодекс Республики Беларусь от 25.10.2000 г. №441-3 (ред. от 13.07.2012 г.) // консультант плюс

2.       Гражданский кодекс Республики Беларусь от 7.12.1998 г. №218-З (ред. от 05.01.2013 г.) // консультант плюс

.        Указ Президента Республики Беларусь от 25 сентября 2012 г. №419 «Об утверждении основных направлений денежно-кредитной политики Республики Беларусь на 2013 год» // консультант плюс

.        Агапова Г.А., Серегина С.Д. Макроэкономика. - М.: МГУ, 2007.

.        Банковское право. Часть первая. / Салей Е.А. - Мн: Тесей, 2006.

.        Банки и банковская деятельность. / Под ред. Балабанова И.Т. - СПб: Питер, 2008.

.        Банковское дело. / Под ред. Коробовой Г.Г. - М: Юристъ, 2007.

.        Головнин М. Банковские системы в переходных экономиках. // Международная экономика и международные отношения. - 2008.

.        Денежное обращение и банки. / Под ред. Белоглазовой Г.Н., Толоконцевой Г.В. - М: Финансы и статистика, 2006.

.        Ефимова Л.Г. Банковское право: Учебник. - М.: Издательство БЕК, 2007.

.        Насонова И. Банковская система Беларуси: результаты и тенденции. // Финансы, учет, аудит. - 2007.

.        Осипов В.М. Банковская система РБ: актуальные проблемы взаимодействия с реальным сектором экономики. // Деньги и кредит. - 2008.

.        Основы банковского дела. / Под ред. Ясинского Ю.М. - Мн: Тесей, 1999.

.        Пучков Д.Г. Повышение роли банковской системы в устойчивом развитии региона. // Белорусская экономика: анализ, прогноз, регулирование. - 2007.

.        Ханкевич Л.А. Банковское право Республики Беларусь. - Мн.: Молодёжное научное общество, 2007.

.        Финансы, денежное обращение и кредит. / Под ред. Самсонова. - М: ИНФРА-М, 2001.

.        Деньги, кредит, банки / Под ред. Г.Н. Белоглазовой М.: Высшее образование, Юрайт-Издат, 2009.

.        Банки и банковские операции: Учебник/ Под ред. И.Ф. Жукова. - М: Банки и биржи, ЮНИТИ, 2007.

.        Кравцова Т.И. Деньги. Кредит. Банки: учеб./Г.И. Кравцова, Г.С. Кузьменко, Е.И. Кравцов и др. - Мн.: БГЭУ, 2003.

.        http://www.nbrb.by - официальный сайт Национального банка Республики Беларусь

.        http://www.infobank.by - информационный сайт о банках и финансах Республики Беларусь

Похожие работы на - Перспективы развития банковской системы Республики Беларусь

 

Не нашли материал для своей работы?
Поможем написать уникальную работу
Без плагиата!
Без нейросетей!