Аналіз зовнішньоекономічної діяльності ТОВ 'Техноекспорт'

  • Вид работы:
    Курсовая работа (т)
  • Предмет:
    Мировая экономика, МЭО
  • Язык:
    Украинский
    ,
    Формат файла:
    MS Word
    3,44 Мб
  • Опубликовано:
    2014-02-26
Вы можете узнать стоимость помощи в написании студенческой работы.
Помощь в написании работы, которую точно примут!

Аналіз зовнішньоекономічної діяльності ТОВ 'Техноекспорт'

Вступ

 

Тема даної курсової роботи: аналіз зовнішньоекономічної діяльністі ТОВ «Техноекспорт».

Актуальність теми зумовлена тим, що сучасні українські підприємства, які хочуть досягти максимального успіху, повинні орієнтуватися не тільки на внутрішній (вітчизняний) ринок, але і на зовнішній. Тому актуальним є вивчення особливостей зовнішньоекономічної діяльності підприємства, та аналіз цієї інформації для підвищення ефективності діяльності підприємства.

У першому розділі, в даній курсовій роботі, будуть розглянуті такі питання як поняття, зміст і особливості ЗЕД підприємства. Термін «зовнішньекономічна діяльність» має на увазі складний механізм взаємин, що виникають у процесі купівлі-продажу товарів на світовому ринку.

Другий розділ в загальному характеризує фірму, відображає її фінансовий стан, зовнішньоекономічну діяльність, систему управління. Для цього проведено дослідження за один останній рік діяльності фірми та аналіз усієї одержаної інформації, використовуючи традиційний метод оцінки. Здійснено розрахунок основних господарсько-економічних показників діяльності фірми.

Динаміка розвитку фірми розглядається у розрізі показників за період у п’ять років. Вивчаються чинники, що впливають на об’єкт і предмет дослідження, розглядаючи внутрішнє та зовнішнє середовища. Аналізуються основні економічні, технічні, соціальні та інших показники діяльності. Проводиться аналіз ділових зв’язків з іноземними партнерами, зовнішньоекономічних контрактів з ними. Графічно зображаються тенденції зміни показників і закономірності цього. Шляхом проведеного дослідження виявлено недоліки у роботі, подаються можливості їх подолання.

Третій розділ подає конкретні заходи щодо подолання виявлених недоліків, розглядає їх від самого задуму до втілення їх у реальність. Проводиться розрахунок економії чи втрат на витратах діяльності фірми за рахунок впровадження пропонованих заходів, їх економічна ефективність у величині впливу на основні показники діяльності підприємства.

Таким чином,практична значимість вказаних причин і об’єктивна необхідність розвитку зовнішньоекономічних зв’язків в Україні зумовили аєктуальність теми дослідження курсової роботи , мету і завдання, предмет та об’єкт дослідження.

Об’єкт дослідження. Об’єктом дослідження курсової роботи виступає проблема вивчення економічної діяльності суб’єкта ринкових відносин з точки зору здійснення ним зовнішньоекономічної діяльності.

Предмет дослідження. Предметом дослідження курсової роботи є економічна ефективність зовнішньоекономічної діяльності підприємства.

Мета дослідження. Метою роботи є дослідження економічної ефективності зовнішньоекономічної діяльності підприємства та узагальнення висновків, що стосуються даної проблеми.

Мета роботи передбачає виконання таких завдань:

.        Розкрити суть принципів, суб’єктів та видів зовнішньоекономічної діяльності.

.        Проаналізувати економічну ефективність зовнішньоекономічної діяльності підприємства.

Інформаційними джерелами курсового дослідження були матеріали щорічних фінансово-економічних звітів ТОВ « Техноекспорт» за 2002- 2007 роки та інформація офіційного Інтернет сайтів Державної комісії з цінних паперів та фондового ринку України та Державного комітету статистики України.

1. Аналіз зовнішньоекономічної діяльності як функція управління та передумова ефективного ведення господарської діяльності підприємства

.1 Економічний аналіз як функція менеджменту

Економічний аналіз - прикладна наука. Роль економічного аналізу випливає з його місця у менеджменті.

По-перше, на сучасному етапі розвитку менеджменту загальновизнаною є необхідність постійного виконання його основних (загальних) функцій: планування, організації, мотивації та контролю, кожна з яких має ряд підфункцій. Як видно з рисунка 1.1, економічний аналіз є найважливішою підфункцією контролю, оскільки саме аналіз забезпечує циклічне та безперервне виконання загальних функцій менеджменту.

По-друге, аналіз, внаслідок його складності та великої трудомісткості, відокремлюється як конкретна функція менеджменту і стає спеціалізованою управлінською роботою. В ринкових умовах значення конкретної аналітичної функції підсилюється внаслідок: підвищення самостійності та відповідальності суб'єктів господарювання за результати економічної діяльності; необхідності постійного спостереження та оцінки стану конкурентного середовища; пошуків резервів ресурсозбереження, диверсифікації діяльності, підвищення конкурентоспроможності продукції та ефективності використання економічного потенціалу та ін.

По-третє, на основі результатів економічного аналізу науково обґрунтовуються стратегічні, поточні та оперативні управлінські рішення щодо подальшого функціонування й розвитку суб'єкта господарювання, які є результатом діяльності управлінців. Аналітична ж підтримка управлінських рішень міститься у виконанні аналітичної функції на кожному з етапів технології управлінських рішень, зміст якої залежить від сутності, масштабів і значення конкретного рішення. Основні правила аналітичної підтримки управлінських рішень наступні:

врахування вимог споживачів продукції (робіт, послуг);

аналіз та оцінка інформації для управлінських рішень;


визначення та врахування протиріч з наступним їхнім послабленням або усуненням;

безперервність аналітичної підтримки управлінських рішень;

відповідність управлінських рішень стратегічним цілям;

врахування та оцінка ризиків;

інтеграція технології управлінських рішень в автоматизовану систему управління;

оцінка фактичної ефективності управлінського рішення після його впровадження.

Крім того, аналітичній оцінці підлягають якість виконання усіх основних і конкретних функцій та підфункцій менеджменту (наприклад, аналіз планування, аналіз програмного забезпечення, аналіз організаційного рівня виробництва, аналіз стимулювання праці, аналіз ефективності контролю та ін.) з метою їхнього подальшого поліпшення та підвищення ефективності виконання кожної з них та управлінської діяльності взагалі.

1.2 Зміст, завдання та методи економічного аналізу в сфері зовнішньоекономічної діяльності підприємства

Економічний аналіз зовнішньоекономічної діяльності - це комплексне вивчення її організації та перебігу економічних подій з метою встановлення результатів і виявлення можливостей подальшого підвищення ефективності діяльності.

База аналітичної інформації міститься в первинному бухгалтерському і статистичному обліку, бухгалтерській, податковій і статистичній звітності, внутрішніх звітах бухгалтерії.

Однією з найбільш інформаційноємних документів є Декларація про валютні цінності, доходи та майно, що належать резиденту України і знаходяться за її межами. Вона дає можливість оцінити фінансові вкладення, вартість і види майна за кордоном. доходи в інвалюті, вартість експортованих послуг, виручку від експорту товарів, суми векселів за імпортними контрактами, вартість імпортованих товарів.

Серед системи прийомів, що складають метод економічного аналізу, при аналізі зовнішньоекономічної діяльності найдоцільніше використовувати:

обчислення відносних і середніх величин (відсотків, коефіцієнтів, індексів);

динамічні ряди;

графічний метод;

розкладання цілого на частини і узагальнення цих частин;

порівняння;

обчислення різниць;

ланцюгові підстановки;

кореляційно - регресійний метод;

балансовий та інші.

Основні завдання аналізу зовнішньоекономічної діяльності полягають в:

оцінці рівня та якості виконання підприємством зобов’язань щодо угод з іноземними партнерами;

дослідження динаміки діяльності ;

оцінці раціональності використання коштів, пов’язаних із здійсненням кожного з видів зовнішньоекономічної діяльності ;

оцінці фінансових результатів за видами зовнішньоекономічної діяльності;

характеристиці впливу зовнішньоекономічної діяльності на основні якісні показники діяльності підприємства, його загальний фінансовий стан, платоспроможність тощо;

Стосовно зовнішньоекономічної діяльності можливе застосування таких видів аналізу:

загальноекономічний;

техніко-економічний;

фінансово-економічний;

функціонально-вартісний.

Загальноекономічний аналіз застосовують для дослідження видів зовнішньоекономічної діяльності по Україні в розрізі сегментів (регіонів), структури експортно-імпортних операцій серед країн-партнерів України. Результати такого аналізу періодично наводяться в друкованих виданнях економіко-аналітичного спрямування. Це дає можливість суб’єктам ЗЕД здійснювати порівняння сукупних економічних показників України з регіональними та власними.

Техніко-економічний аналіз доцільно проводити при здійсненні експорту продукції власного виробництва. його застосовують для вивчення питання оснащення підприємства необхідними видами техніки, енергетичними ресурсами, ефективності впровадження нових видів техніки і технологій.

Фінансово-економічний аналіз застосовують при вивченні фінансово-економічних показників, що характеризують зовнішньоекономічну діяльність. Він розкриває їх зміст у безпосередньому зв’язку зі здійсненням господарських операцій.

Функціонально-вартісний аналіз посідає особливе місце в системі комплексного економічного аналізу. Він спрямований на виявлення можливостей підвищення ефективності об’єктів шляхом вибору найоптимальніших варіантів виконання управлінцями своїх функцій щодо контролю за формуванням витрат і створенням найраціональніших умов здійснення зовнішньоекономічної діяльності.

Залежно від основної мети аналізу можуть застосовуватися попередній, поточний і підсумковий види аналізу.

Попередній аналіз проводиться на етапі, що передує укладенню угод із зарубіжними партнерами з метою вибору оптимального варіанта; при розрахунках цін на продукцію, призначену на експорт; при розрахунку розміру націнки на імпортні товари тощо.

Поточний аналіз проводиться в процесі реалізації зовнішньоекономічних операцій, а тому він є оперативним і найдієвішим. Він здійснюється як в межах доби, так і до одного кварталу, це залежить від внутрішніх потреб управління.

1.3 Інформаційне забезпечення аналізу зовнішньоекономічної діяльності підприємства

 

Предметом АЗЕД є причинно-наслідкові зв'язки процесів її здійснення.

Об'єктами АЗЕД є її економічні результати, які формуються під впливом об'єктивних і суб'єктивних факторів, що відображаються в системі економічних показників:

макроекономічні показники ЗЕД;

економічні результати ЗЕД підприємства: обсяги продаж, прибуток, рентабельність, підвищення якості продукції, зниження цін, впровадження нових технологій, завоювання нових ринків, розвиток реклами, маркетингу тощо.

Метою АЗЗД є виявлення резервів підвищення ефективності ЗЕД і розробка заходів щодо їх освоєння. Основними завданнями АЗЗД є:

оцінка результатів ЗЕД підприємства по виконанню бізнес-планів;

характеристика досягнутих кількісних і вартісних рівнів експорту, реекспорту й імпорту товарів (послуг), оцінка їх динаміки;

оцінка ступеню і якості виконання зобов'язань за експортними, реекспортними і імпортними операціями;

оцінка раціональності використання коштів для здійснення зовнішньоекономічних зв'язків;

аналіз фінансових результатів, фінансового стану і рентабельності підприємств, що здійснюють ЗЕД.

Економічний аналіз базується на системі економічної інформації, що є основою прийняття оптимальних управлінських рішень.

Нормативно-довідкова інформація містить:

законодавчі й нормативні акти з питань договірних відносин ЗЕД (у т.ч. правила інтерпретації комерційних термінів - ГНКОТЕРМС), ціноутворенню у зовнішньоекономічних відносинах, регулювання експортно-імпортних операцій та іноземного інвестування;

документи, що регулюють дотримання спеціальних режимів при експорті і імпорті продукції, її види, та що встановлюють, відповідальність суб'єктів ЗЕД;

методичні рекомендації із застосування чинного законодавства.

Основні нормативно-правові документи:

. Господарський кодекс України від 16.01.03 р. № 436 (розділ 7 "Зовнішньоекономічна діяльність").

. Закон України "Про зовнішньоекономічну діяльність" від 16.04.91 № 959-ХІІ, зі змінами від 14 вересня 2006 року N 139-У.

. Закон України "Про режим іноземного інвестування" від 19.03.96 № 93/96 - ВР, зі змінами.

. Закон України від 15.09.95 р. № 327 "Про операції з давальницькою сировиною у зовнішньоекономічних відносинах".

. ІНКОТЕРМС, Умови поставки товарів за офіційними правилами тлумачення торговельних термінів Міжнародної торгової палати (редакція 2008 р.).

. Інструкція про порядок заповнення вантажної митної декларації, затверджена наказом ДМСУ від 09.07.97 р. № 307 (у редакції наказу ДМСУ від 18.04.02 № 207).

. Методика проведення співставлення даних основних кра-їн-партнерів у зовнішній торгівлі товарами (аналіз методом дзеркальної статистики). Затверджено наказом Держкомстату України від 29. грудня 2000 року № 419.

. Методологічні положення розрахунку індексів середніх цін, фізичного обсягу та умов торгівлі у зовнішній торгівлі товарами. Затверджено наказом Держкомстату України від 09.12.2005 р. № 419.

. Митний кодекс України від 11.07.02 р. № 92.

. Положення про порядок ліцензування експорту товарів у 2009 році, затверджене наказом Мінекономіки від 06.02.09 р. № 42.

. Положення про порядок ліцензування імпорту товарів у 2009 році, затверджене наказом Мінекономіки від 06.02.09 р. № 42.

. Постанова КМУ від 18.05.05 р. № 362 "Про встановлення розміру збору за видачу експортних (імпортних) ліцензій".

. Закон України "Про захист національного товаровиробника від субсидованого імпорту" із змінами і доповненнями від 22 травня 2003 року n 860-гу.

. Закон України "Про захист національного товаровиробника від демпінгового імпорту" із змінами і доповненнями від 1 листопада 2005 року n 3027-гу.

. Закон України "Про застосування спеціальних заходів щодо імпорту в Україну" із змінами і доповненнями від 1 листопада 2005 року n 3028-гу.

. Порядок заповнення облікової картки суб'єкта зовнішньоекономічної діяльності, яка подається відповідно до постанови КМУ від 1 лютого 2006 р. n 80 "Про перелік документів, необхідних для здійснення митного контролю та митного оформлення товарів і транспортних засобів, що переміщуються через митний кордон України".

. Постанова КМУ від 7 червня 2006 р. n 801 "Про затвердження Порядку здійснення захисту інтересів вітчизняних товаровиробників під час проведення іноземними державами, їх економічними або митними об'єднаннями антидемпінгових, спеціальних захисних або компенсаційних розслідувань щодо імпорту товарів українського походження".

. Про затвердження форм державної статистичної звітності по статистиці інвестицій зовнішньоекономічної діяльності і Інструкцій по їх заповненню: Наказ Держкомстату України від 07.12.01 № 487.

Фактографічна інформація:

- на макрорівні: офіційна інформація Державного комітету статистики України "Зовнішньоекономічна діяльність"; статистика Платіжного балансу України Національного банку України

- на мікрорівні:

- облікова: облікові регістри (картки оперативного обліку контрактів; журнали реєстрації рахунків, виписаних іноземним покупцям; журнали-ордера тощо);

- первинна: контракти, договори, імпортні доручення, сертифікати якості, дублікати квитанцій грузосполучення, коносамент, транспортні накладні, приймальні акти, гарантійні листи банків, векселя, тратти тощо.

- позаоблікова: документи, що фіксують ухвалене рішення (накази, розпорядження, постанови, інструкції, протоколи); результати наукових, маркетингових досліджень, передового досвіду.

Звітна інформація:

- статистична:

. Звіт про фінансові результати і дебіторську та кредиторську заборгованість (ф. № 1-Б).

. "Звіт про експорт (імпорт) товарів, що не проходять митного декларування" (ф. №5-ЗЕЗ).

. "Звіт про експорт (імпорт) послуг" (ф. №9-ЗЕЗ).

. "Звіт про іноземні інвестиції в Україну" (ф. №10-ЗЕЗ).

. "Звіт про інвестиції з України в економіку країн світу" (ф. №13-ЗЕЗ).

. "Звіт про придбання (продаж) товарів для забезпечення життєдіяльності транспортних засобів, потреб пасажирів та членів екіпажу" (ф.№14-ЗЕЗ).

- податкова: "Декларація про валютні цінності, доходи й майно, що належить резидентові України і знаходиться за її межами". Декларування валютних цінностей здійснюється суб'єктами зовнішньоекономічної діяльності в регіональних відділеннях НБУ й у державних податкових адміністраціях. Строк надання декларації щокварталу в строки здачі квартальної й річної бухгалтерської звітності. За результатами декларування суб'єктам видається довідка встановленої форми.

1.4 Вплив зовнішньоекономічної діяльності на ефективність функціонування організації

Завдяки оцінці впливу ЗЕД на основні результати діяльності підприємства можливо визначити внесок служби ЗЕД у ці результати та врахувати його при матеріальному стимулюванні або встановленні матеріальної відповідальності робітників указаної служби.

У першу чергу, дослідженню підлягають обсяг експортних постачань, зовнішньоторговельний обіг і тенденції їхньої зміни.

На наступному етапі аналізу визначаються показники питомої ваги експорту в доході від реалізації продукції; питомої ваги прибутку від експорту продукції у загальному прибутку по підприємству; кількості рекламацій від іноземних споживачів та питомої ваги цих рекламацій, які визнані виробником; втрат від рекламацій за недотримання умов контрактів; питомої ваги імпортних постачань у їхньому загальному обсязі.

Слід враховувати, що зростання імпортних постачань викликає залежність виробництва від іноземних постачальників. Тому аналізуються причини застосування і зростання обсягів імпортних матеріалів, сировини, обладнання. Проводиться порівняльний аналіз можливості одержання аналогічних активів від вітчизняних виробників.

Оцінка впливу ЗЕД на ефективність діяльності підприємства здійснюється за допомогою показників рентабельності продукції, продажів, виробництва, активів, в яких загальні прибуток і дохід поділяються на частини, що відображають реалізацію продукції на вітчизняних і зовнішніх ринках. Внесок зовнішньоекономічної діяльності в загальні показники рентабельності підприємства визначається за допомогою прийому різниць.

Підприємства задовольняють свої потреби в іноземній валюті, головним чином, за рахунок поточних надходжень від експортних постачань. На внутрішньому вітчизняному валютному ринку порядок та обсяг обов'язкового й вільного продажу іноземної валюти не залежить від підприємства, а визначається державними органами влади. Тому аналіз має обмежений характер. Він містить такі аналітичні завдання:

- оцінку виконання завдань з обов'язкового продажу іноземної валюти;

оцінку динаміки обсягу цих продажів;

факторний аналіз впливу операцій з обов'язкового продажу частки валютної виручки або операцій з продажу вільних валютних коштів на фінансові результати діяльності спільного підприємства з іноземними інвестиціями;

аналіз руху інвалютних коштів.

Перші два завдання вирішуються аналогічно дослідженню будь-якого господарського процесу за допомогою традиційних прийомів економічного аналізу: порівнянь, абсолютних і відносних величин та відхилень, а також індексного методу.

Оцінка впливу інвалютних операцій на фінансові результати діяльності підприємства здійснюється за допомогою прийому ланцюгових підстановок, індексного методу.

Аналіз руху інвалютних коштів містить оцінку структури їхнього надходження та витрат, розрахунок перевищення надходжень над витратами (або навпаки) й оцінку покриття поточних інвалютних зобов'язань підприємства. Остання здійснюється за допомогою коефіцієнта покриття поточних інвалютних зобов'язань, який розраховується як частка від ділення залишків валютних коштів на кінець періоду, що аналізується, на поточні зобов'язання у інвалюті:

 

ЗВ,

Ктв =-, (13.13)

 пзв V >

де Кпз - коефіцієнт покриття поточних інвалютних зобов'язань, част. од.;

ЗВ - залишки валютних коштів на кінець періоду, який аналізується, одиниці іноземної валюти;

ПЗВ - поточні зобов'язання у валюті, одиниці іноземної валюти.

Значення коефіцієнта за поточний період порівнюється з нормативним значенням і фактичним рівнем у попередні періоди. Рух інвалютних коштів досліджується для кожної іноземної валюти окремо, а також у єдиній базовій валюті, якщо на валютний рахунок підприємства надходять платежі в значній кількості різних іноземних валют.

2. Аналіз зовнішньоекономічної діяльності ТОВ «Техноекспорт»

.1 Коротка характеристика організації як об’єкту дослідження

Приватне підприємство ТОВ «Техноекспорт» є одним з найкращих підприємств на Україні, яке з 1998 року займається ремонтом гірничого і шахтного обладнання, також поставкою запасних частин для екскаваторів: ЕКГ-5, Е-2503, ЕКГ-8, ЕК 10/70 і бурових станків різних модифікацій.

Ремонт та обладнання, машин, механізмів, пристроїв, верстатів є одним з основних видів діяльності підприємства.

ТОВ “Техноекспорт” має можливість здійснювати ремонт обладнання на своїй базі, на якій знаходиться вантажопідйомні крани, токарні верстати, зварювальні апарати, вантажний автотранспорт.

Також на протязі багатьох років фірма закуповує запасні частини для екскаваторів ЕКГ-5 та Е-2503 на «Південно-Уральському Ремонтно-Механічному заводі» (м.Коркіно РФ), «Бакальському заводі гірничого обладнання» (м.Бакал РФ), ТОВ Завод «Ремкомунелектротранс» (м. Донецьк, Україна) та ТОВ «Уральський Транзит» (м. Челябінськ, РФ).

А також здійснювали поставки запасних частин на карєри ДП „Управління промислових підприємств Державної адміністрації залізничного транспорту України” а саме: Хлистунівське кар’єроуправління, Ладижинське кар'єроуправління , Атабаське кар’єроуправління, Клесівське кар’єроуправ-ління , Томашгородське кар’єроуправління, Кам’яницьке кар’єроуправління , Бесівське кар’єроуправління.

ТОВ «Техноекспорт» є офіційним представником виробників запасних частин до екскаваторів: ТОВ "Бакальський завод гірського обладнання" (м. Бакал, РФ), ТОВ «Уральський Транзит» (м. Челябінськ, РФ) та ТОВ Завод «Ремкомунелектротранс» (м. Донецьк, Україна), з якими заключені договори на 2013 р.

Гірничошахтне устаткування, екскаватори ЕКГ-5 і бурові станки, відремонтоване і укомплектоване фахівцями фірми „Техноекспорт”, має підвищений попит і успішно працює на кар'єрах і гірських підприємствах не тільки України, але і Казахстану, Росії, Монголії, Гвінеї та інших країн. У секторі гірської промисловості з постачання важких екскаваторів ЕКГ-5А і бурових станків СБШ-250 (5СБШ-200) ТОВ „Техноекспорт” всі 10 років займає одне з провідних місць не тільки в Україні, але і в СНД. Також фірма виконує будівельні роботи.

„Техноекспорт” в 2004 р. отримала Диплом лауреата загальнонаціонального конкурсу „Вища проба”.

Клієнтами і партнерами є такі підприємства: ВАТ «Волинь-Цемент», ТОВ «Донецький завод гірничого машинобудування», ВАТ «Оріхівський кар’єр формоматеріалів», ВАТ «Мукачівський кар’єр», ТОВ «Гранітний кар’єр», ВАТ «Овручський щебзавод», ВАТ «Білоцерківський кар’єр», ТОВ «Білогірський кар’єр», ВАТ «Рокитнянський кар’єр», ВАТ «Ушицький КБМ», ВАТ «Кострижівський комбінат будматеріалів», підприємства ТОВ «Метінвест Холдінг» (ПАТ «Комсомольське рудоуправління»), та групи Приват (ПАТ «Марганецький ГЗК», ЧАО «Толкачівький ГЗК»), в тому числі в країнах СНД.

2.2 Оцінка основних показників діяльності об’єкту дослідження

Підвищення ефективності є життєво важливим. Менеджмент підприємства, а особливо його власники, мають здійснювати постійний моніторинг ефективності діяльності. Менеджери отримують винагороду саме за ефективне економічне управління, а власники прагнуть до максимальної віддачі від вкладеного капіталу та досягнення успішного функціонування бізнесу. На певних етапах розвитку підприємства такий моніторинг має різні цілі. Якщо після завершення першого року функціонування новоствореного підприємства інвестору цікаво, чи не помилився він у своєму інвестиційному рішенні, то оцінка ефективності в подальшому має на меті визначення рівня привабливості такого підприємства (можливо, для сторонніх інвесторів, у разі потреби в залученні додаткового капіталу). На основі оцінки здійснюється пошук резервів зростання ефективності, з'ясовується доцільність перспектив розвитку існуючого бізнесу або необхідність переорієнтації підприємницьких зусиль. Здійснити моніторинг ефективності можна за допомогою показників ефективності діяльності підприємства.

Проблема визначення економічної ефективності діяльності підприємства пов'язана з визначенням відповідного критерію ефективності і формуванням системи показників. Визначення загальної ефективності діяльності підприємства вимагає врахування багатьох чинників. Можна розробити показники ефективності використання для кожного виду ресурсів або спільно для всіх ресурсів. Розраховані показники порівнюються з показниками за попередній період, який називають базовим, або із її новим значенням дохідності капіталу на ринку.

Оцінка ефективності проводиться з певною метою (оцінювання розвитку бізнесу, оцінювання доцільності інвестування капіталу) для конкретних споживачів такої інформації (власники підприємства, менеджери, інший персонал), на певному рівні в межах підприємства (можна оцінювати ефективність діяльності підприємства в цілому, а можна - ефективність використання окремих груп його активів), на підприємствах різних розмірів та організаційно-правових форм, публічних (цінні папери яких обертаються на ринку) і непублічних.

На практиці не завжди потрібно визначати результати всіх ресурсів. Деякі підприємства визначають ефективність тих чинників, які вважаються придатними показниками діяльності й успіху підприємства. Отже, у практичній строкології визначення загальної ефективності може бути сформульоване як зосередження на обмеженій кількості ресурсів, які в результаті вказують на успіх підприємства.

Проте індивідуальні показники при ізольованому використанні можуть не створювати об'єктивної картини. Зниження ефективності використання одного ресурсу може бути необхідним для підвищення ефективності використання іншого. Такий компроміс бажаний тоді, коли знижуються загальні витрати, але результат буде втрачено, якщо використовувати будь-який частковий показник окремо. Тільки спостерігаючи наслідки зростання загальної ефективності використання всіх ресурсів, менеджери можуть зробити точні висновки про загальний результат ефективності. Через можливість існування компромісного вибору загальний показник ефективності повинен оцінювати сукупні фінансові наслідки і, отже, має бути фінансовим показником.

Приклад :

Користуючись даними табл. 1.2, оцінимо ефективність діяльності підприємства ТОВ «Техноекспорт», порівнюючи величини показників 2005 і 2006 рр.

Як свідчать дані табл. 1.2, на підприємстві спостерігається зростання результативних показників діяльності. Так, обсяг виробництва в діючих цінах зріс у 2006 р. порівняно з 2005 р. на 38,1 %, що зумовлено в основному зростанням цін на готову продукцію. Проте спостерігається зростання обсягу виробництва, обчисленого і за продукцією в порівняних цінах, темп зростання 7,03 %. Динаміка реалізованої продукції теж позитивна, тільки на 2,8 відсоткових пункти зростання обсягу реалізації відстає від темпу зростання виробленої продукції.

Незважаючи на стрімке підвищення собівартості реалізованої продукції (на 41,8 %), прибуток від операційної діяльності збільшився на 14,5 %, що пояснюється зростанням у 2006 р. доходів від іншої операційної діяльності. Величина прибутку від звичайної діяльності має від'ємний приріст (-5,5 %), зумовлений збитками від фінансової діяльності.

У зв'язку зі зменшенням бази оподаткування (податкового прибутку) в 2006 р. порівняно з 2005 р. кінцевий фінансовий результат - чистий прибуток - збільшився на 9,8 %.

Таким чином, оцінюючи діяльність підприємства ТОВ «Техноекспорт» за результативними абсолютними показниками, можна зробити висновок про його поліпшення в 2006 р. порівняно з 2005 р. (табл. 1.3).

Таблиця 1.2. Динаміка основних економічних показників діяльності підприємства ТОВ «Техноекспорт» за 2005-2006 рр.


Табл. 1.3. Рентабельність операційної діяльності.


Незважаючи на позитивну тенденцію абсолютних результативних показників діяльності підприємства (табл. 11.2), ефективність роботи підприємства в 2006 р. порівняно з 2005 р. знизилась. Спостерігається зменшення загальної рентабельності підприємства: на 4,4 відсоткового пункта рентабельність, обчислена на основі прибутку до оподаткування, і на 1,2 пункта - за прибутком після оподаткування. Майже на третину зменшилась

Аналізуючи показники, в табл. 1.3, можна зробити висновок, що падіння ефективності роботи підприємства зумовлене насамперед зниженням ефективності використання основних засобів - спостерігається зниження фондовіддачі й суттєве зменшення фондорентабельності. Зазначені зміни відбулися, незважаючи на позитивну тенденцію показників ефективності використання персоналу, - зростання рівня продуктивності праці, зменшення витрат на персонал (за показником зарплатомісткості продукції), а також прискорення обертання обігових коштів.

Традиційний підхід до оцінювання роботи підприємства не завжди відображає об'єктивну картину його діяльності. Деякі західні компанії використовують як узагальнюючий показник ефективності альтернативний критерій, відомий як додана економічна вартість (EVA - economic value added), який є складовою фінансового блоку "Системи збалансованих показників". Він є основним показником ефективності в системі "Performance Management" (управління результативністю).

Економічна додана вартість (EVA):


де ROA - рентабельність активів;- середньозважена вартість капіталу; ТА - сукупні активи;

ЕАІТ - прибуток підприємства після сплати процентів і податку на прибуток;

СЕ - сукупний капітал.= Операційний прибуток - (Середньозважена вартість капіталу o Загальний задіяний (інвестований) капітал).

2.3 Аналіз організації зовнішньоекономічної діяльності ТОВ «Техноекспорт»

Вихід на зовнішній ринок самостійних суб'єктів господарської діяльності повинен сприяти пристосуванню економіки до системи світогосподарських відносин, формуванню економіки відкритого типу. Прагнення отримати прибуток більший, ніж усередині країни, спонукає підприємства виходити на міжнародний ринок. Згідно з чинним законодавством, підприємство має право самостійно визначати форми, методи та обсяги праці на зовнішньому ринку.

Для ефективного керівництва ЗЕД на рівні підприємства необхідна адекватна умовам його роботи структура управління. Розрізняють:

організаційно-виробничу структуру;

структуру управління;

організаційну структуру підприємства.

На будь-якому підприємстві є система, яка управляє, і система, якою управляють. До першої належать органи, служби, апарат управління. До другої-виробничі підрозділи (цехи, участки, відділи).

Організаційно-виробнича структура відображає побудову системи, якою управляють, структура управління - системи, яка управляє, а організаційна структура підприємства - побудову і взаємозв'язок обох систем.

Організаційна структура управління ЗЕД визначається тією метою і завданням, які вона покликана вирішувати. Мета - максимізація прибутку на довгостроковий період за рахунок ефективної участі в міжнародному підприємництві. Організаційна структура управління ЗЕД, як і внутрішньо-фірмового управління, має постійно розвиватися і вдосконалюватися, пристосовуватися до змін у зовнішньому середовищі та сфері управління. Гі форми і методи не можуть залишатися незмінними.

На практиці організаційна структура управління ЗЕД підприємства може бути побудована так: наприклад, Дирекція із зовнішньоекономічної діяльності та маркетингу ТОВ «Техноекспорт» має такий вигляд (рис. 1.5).

Рис. 1.5. Схема організаційної структури Дирекції із ЗЕД та маркетингу ТОВ «Техноекспорт».

На підприємстві „Техноекспорту ” штатний розпис, який займається ЗЕД складається із (6 працівників) які наведені в таблиці.1.1

На рисунку1.6 наведено штатна структура персоналу яка займається ЗЕД.

Рис. 1.6. Штатний розпис Товариства з обмеженою відповідальністю „Техноекспорт”.

№ п/п

Назва структурного підрозділу

Назва посади (професії)

 Прізвище, ім′я,по батькові

Кількість штатних одиниць

Посадовий оклад, грн.

Надбавки (доплати), грн.

Місячний фонд заробітної плати, грн.

1

2

3

4

5

6

7

8

1

Адміністрація

Директор

Тучковський Станіслав Янович

1

5000,00

1000,00

6000,00

2

Бухгалтерія

Бухгалтер

Бобруйко Тетяна Володимирівна

1

1600,00

300,00

1900,00

4

Відділ збуту

Начальник

Туренко Сергій Володимирович

1

2750,00

500,00

3250,00



Менеджер з поставок

Савчук Іван

1

2000,00

500

2500,00



Менеджер із збуту

Карапиш Григорій

1

2000,00

500

500,00

5

Юридичний відділ

Юрист

Сухоярський Богдан

1

3000,00

-----

3000,00


Разом



6

16350,00

2800,00

19150,00


На підприємствах за останні 15 років набуто значного досвіду здійснення зовнішньоекономічної діяльності. Як приклад проаналізуємо організацію зовнішньоекономічної діяльності підприємства ТОВ „Техноекспорт”.

Приклад:

ТОВ „Техноекспорт” є одним із найкращих підприємств Київської області й випускає такі основні види продукції: газоперекачувальні агрегати, компресорні станції, нафтопромислове обладнання, хімічне обладнання, арматуру, насоси відцентрові, насоси вакуумні, компресори та ін., займається ремонтом гірничого і шахтного обладнання, також поставкою запасних частин для екскаваторів: ЕКГ-5, Е-2503, ЕКГ-8, ЕК 10/70 і бурових станків різних модифікацій.

Діюча у ТОВ «Техноекспорт» система якості цілком відповідає міжнародному стандарту ISO 9001, що підтверджено сертифікатом схвалення, виданим міжнародним сертифікаційним органом Bureau Veritas Quality International. Підприємство має сертифікат, що дає право використання офіційної монограми Американського нафтового інституту (АРІ) при виробництві обважувальних бурильних і ведучих труб відповідно до вимог стандартів API Specification 7. Продукція, що експортується до країн СНД, має сертифікати якості в системі ГОСТ-Р Російської Федерації.

Продукція підприємства експортується приблизно в 7 країн світу. Найбільш стабільними є зовнішньоекономічні відносини з Білорусією, Росією, Туркменістаном, Узбекистаном, Казахстаном, Монголією, Гвінеєю.

Зовнішньоекономічна діяльність підприємства є одним із найважливіших напрямів розвитку, адже воно експортує за кордон близько 85 % власної продукції. Крім того, для виробництва дев'яти основних груп продукції підприємство використовує понад 3 тис. видів сировини і напівфабрикатів, більшість яких імпортує. Основу продукції імпорту становлять енергоносії, сировина та складне обладнання, що не виготовляється в Україні. Також на протязі багатьох років фірма закуповує запасні частини для екскаваторів ЕКГ-5 та Е-2503 на «Південно-Уральському Ремонтно-Механічному заводі» (м.Коркіно РФ), «Бакальському заводі гірничого обладнання» (м.Бакал РФ)

Тому на підприємстві створена дирекція із зовнішньоекономічної діяльності та маркетингу.

Основними завданнями та функціями Дирекції із зовнішньоекономічної діяльності та маркетингу (далі - Дирекції) є:

організація зовнішньоекономічної діяльності підприємства за номенклатурою, встановленою і погодженою із правлінням підприємства;

вивчення ринку, участь у розробці товарної, науково-технічної, цінової, збутової, рекламної та іншої стратегій підприємства. Виробництво та поширення рекламних і демонстраційних матеріалів, розрахованих безпосередньо на споживачів продукції підприємства, а також організація і проведення виставок, експозицій, аукціонів та інших заходів, пов'язаних з підвищенням реалізації і просуванням продукції підприємства на ринку збуту;

розробка і видача цехам і структурним підрозділам підприємства виробничих планів, а також здійснення контролю за ходом виготовлення включеного в план устаткування;

організація експорту та імпорту продукції за номенклатурою, встановленою директором з маркетингу і погодженою з правлінням підприємства, а також зовнішньоекономічних та інших операцій, побудованих на формах зустрічної торгівлі між підприємством та іноземними суб'єктами господарської діяльності;

визначення методів досягнення поставлених цілей, розробка тактики зовнішньоекономічної діяльності підприємства;

вибір засобів для досягнення поставлених цілей на окремих етапах, напрямах зовнішньоекономічної діяльності підприємства;

розширення номенклатури, підвищення конкурентоспроможності продукції підприємства, визначення оптимальних умов експорту продукції, робіт і послуг підприємства, вивчення і використання кон'юнктури ринку для одержання максимального прибутку в іноземній валюті;

систематичні вивчення й аналіз досягнень закордонної науки і техніки, напрямів науково-технічного прогресу, патентних і ліцензійних матеріалів, досвіду експлуатації поставленої за межі України вітчизняної продукції й аналогічної продукції іноземного виробництва;

забезпечення надання іноземним суб'єктам господарської діяльності виробничих, транспортно-експедиційних, страхових, консультаційних, маркетингових, експортних, посередницьких, брокерських, агентських, консигнаційних, рекламних послуг підприємства;

участь у рекламній діяльності, проведення виставок, аукціонів, торгів, конференцій, симпозіумів, семінарів та інших заходів, пов'язаних з підвищенням реалізації і просування продукції підприємства на ринку збуту;

сприяння розвитку взаємовигідного співробітництва і забезпечення спільної підприємницької діяльності між підприємством та іноземними суб'єктами господарської діяльності.

Взаємодії з іншими підрозділами здійснюються на основі положень про кожен структурний підрозділ, посадових обов'язків та стандартів підприємства.

Кадровий склад Дирекції із зовнішньоекономічної діяльності та маркетингу становить близько 60 спеціалістів різних кваліфікацій. До структури Дирекції входять:

департамент із зовнішньої діяльності;

сектор енергоносіїв;

департамент реалізації обладнання;

департамент дослідження ринку та реклами;

відділ планування.

Дирекція є самостійним структурним підрозділом і підпорядковується помічнику генерального директора із зовнішньоекономічної діяльності. Роботою Дирекції керує директор із зовнішньоекономічної діяльності та маркетингу, який призначається на посаду і звільняється з неї генеральним директором. До основних обов'язків директора входять такі:

здійснювати безпосереднє керівництво, адміністративно-господарське, організаційно-розпорядницьке керування Дирекцією з маркетингу і відповідати за виконання Дирекцією з маркетингу покладених на неї завдань і функцій;

організовувати вивчення ринку, планування асортименту продукції, розробки нової продукції, розподіл готової продукції, стимулювання ринку збуту продукції, точне виконання торгових і рекламних планів і програм, а також вимагати від працівників Дирекції з маркетингу досягнення поставлених у галузі маркетингу і зовнішньоекономічної діяльності цілей і завдань;

знати і правильно застосовувати нормативно-правові акти і методичні матеріали щодо організації маркетингу і зовнішньоекономічної діяльності;

сприяти розвитку взаємовигідного співробітництва і забезпеченню спільної підприємницької діяльності між підприємством й іноземними суб'єктами господарської діяльності;

здійснювати діяльність від імені підприємством у межах повноважень, наданих правлінням підприємства;

брати участь у вивченні й аналізі досягнень закордонної науки і техніки, напрямів науково-технічного прогресу, патентних і ліцензійних матеріалів, досвіду експлуатації поставленої за межі України вітчизняної продукції й аналогічної продукції іноземного виробництва;

брати участь у демонстрації продукції підприємства у дії;

брати участь у міжнародних і міжгалузевих симпозіумах, семінарах, конференціях з питань розвитку машинобудування;

здійснювати контроль за виконанням укладених Дирекцією з маркетингу договорів (контрактів);

здійснювати контроль за залишками незавершеного виробництва і разом з цехами та бухгалтерією здійснювати заходи щодо їх зменшення;

здійснювати контроль за публікаціями в комерційній і технічній пресі інформації про продукцію, що виготовляється підприємством, а також діяльності підприємства.

Начальник департаменту із зовнішньоекономічної діяльності призначається на посаду і звільняється з неї генеральним директором з подання заступника генерального директора і має право:

здійснювати керівництво персоналом очолюваного ним департаменту;

розподіляти обсяг роботи між персоналом очолюваного ним департаменту, контролювати виконання поставлених завдань;

віддавати розпорядження в межах своєї компетенції;

приймати самостійні рішення при здійсненні зовнішньоекономічної діяльності підприємства у межах своїх обов'язків і наданих керівництвом повноважень;

підписувати (візувати) усі документи, оброблювані в департаменті;

здійснювати вхідний контроль документів, розписувати їх між підлеглим персоналом, контролювати терміни і якість виконання документів;

одержувати необхідну для виконання покладених обов'язків інформацію;

з дозволу керівництва представляти підприємство в інших інстанціях за закріпленою тематикою;

давати вказівки підлеглому персоналу і вимагати від нього виконання своїх обов'язків, дотримання трудової і виробничої дисципліни.

Основні обов'язки начальника департаменту із зовнішньоекономічної діяльності такі:

у межах наданих Директором з маркетингу повноважень керувати організацією і проведенням зовнішньоекономічної діяльності підприємством у суворій відповідності до вимог законодавства України, міжнародно-правових норм та інших нормативних документів у сфері ЗЕД;

виконувати всі вказівки Директора з маркетингу в частині своїх функціональних обов'язків, підтримання в департаменті трудової і виробничої дисципліни;

знати порядок і правила оформлення зовнішньоекономічних контрактів (договорів);

керувати роботою підлеглих з підготовки, вироблення висновків і реалізації експортно-імпортних контрактів;

знати експортні можливості підприємства за закріпленою номенклатурою, а також імпортні потреби підприємства і готувати пропозиції для включення їх до проектів поточних і перспективних планів підприємства;

організовувати підготовку зовнішньоекономічних договорів (контрактів);

здійснювати контроль і брати участь у виконанні зовнішньоекономічних контрактів відповідно до нормативних документів;

організовувати вивчення ринків і кон'юнктури товарів за закріпленою номенклатурою, динаміки цін на ці товари, умов постачань і розрахунків, вимог ринків країн-імпортерів;

вивчати іноземні фірми конкурентів і контрагентів за закріпленою номенклатурою;

у межах компетенції організовувати переговори з іноземними фірмами за закріпленою номенклатурою за вказівкою керівництва;

організовувати підготовку листів, проектів угод, контрактів та інших документів щодо забезпечення зовнішньоекономічної діяльності ВАТ;

організовувати проведення розрахунків і обґрунтування цін на експортно-імпортні товари, складання конкурентних аркушів з імпорту, підготовку довідок за цінами;

знати порядок і правила оформлення документів, необхідних для проведення експортно-імпортних операцій. Контролювати повноту і правильність їх заповнення відповідно до вимог митного і валютного законодавства України;

забезпечувати контроль виконання зовнішньоекономічних контрактів, закріплених за департаментом;

проводити аналіз функціонування системи якості в рамках безпосередньо підлеглого персоналу. Організовувати коригувальні та попереджувальні заходи щодо результатів перевірки системи якості;

виїжджати в установленому порядку у відрядження, у т. ч. за кордон, для вирішення питань, пов'язаних із завданнями департаменту. Планувати відрядження підлеглого персоналу і контролювати виконання ними поставлених завдань;

організовувати ведення в департаменті діловодства внутрішньої документації, установленої нормативними документами підприємства і структурного підрозділу;

організовувати розробку методичної документації з тематики департаменту;

знати структуру підприємства, номенклатуру продукції, що випускається, і сферу її застосування;

забезпечувати схоронність і працездатність закріплених за департаментом технічних засобів і майна;

визначати потреби в персоналі необхідної кваліфікації і необхідності його навчання, складати відповідні плани і заявки;

здійснювати розподіл вхідних документів, контролювати терміни їх виконання.

2.4 Аналіз поточних результатів зовнішньоекономічної діяльності об’єкту дослідження

2.4.1 Аналіз виконання зобов’язань з експортних (імпортних ) операцій

Реалізація продукції тісно пов’язана з аналізом виконання договірних зобов’язань щодо поставок продукції. Невиконання договірних зобов’язань спричиняє зменшення виручки, прибутку, штрафні санкції. Крім того, за умов конкуренції підприємство може втратити ринки збуту продукції, що призведе до спаду виробництва.

Особливо важливе значення для підприємства має виконання міжнародних угод та державних контрактів. Це гарантує підприємству збут продукції, своєчасну її оплату, податкові та кредитні пільги.

Під час аналізу визначають виконання плану поставок за місяць та наростаючим підсумком у цілому по підприємству щодо окремих споживачів та видів продукції, з’ясовують причини невиконання плану та оцінюють стан виконання договірних зобов’язань (табл. 11.4).

Відсоток виконання договірних зобов’язань розраховують діленням різниці між плановим обсягом відвантаження за договірними зобов’язаннями та його недовиконанням на плановий обсяг:




Таблиця 11.4

Аналіз виконання договірних зобов’язань з відвантаження продукції ТОВ «Техноекспорт» за січень, шт.

Виріб

Споживач

План поставки за договором

Фактично відвантажено

Недопоставка продукції

Заліковий обсяг у межах плану

бурові станки

ВАТ «Білоцерківський кар’єр

25

25

-

25


ВАТ «Мукачівський кар’єр»

42

42

-

42


ТОВ «Гранітний кар’єр»

50

40

- 10

40

запасні частини для екскаваторів ЕКГ-5, Е-2503

8920

8800

- 120

8800


ВАТ «Овручський щебзавод

1916

2000

-

1916

Усього


18 000

12 600

- 5400

12 600


З табл. 11.4 видно, що за звітний місяць недопоставлено продукції за договорами в кількості 5400 шт., або на 30 %, а в цілому за рік - на 45 % (табл. 11.5).

Таблиця 11.5

Аналіз виконання договірних зобов’язань за рік, шт.

Місяць

План поставки продукції

Недопоставка продукції

Виконання, %


за місяць

з початку року

за місяць

з початку року

за місяць

з початку року

Січень … Грудень

18 000 … 19 000

18 000 … 222 000

- 5400 … -

- 5400 … - 99 000

70,0 … 100,0

70,0 … 55,0


Як показав аналіз, відхилення від договірних зобов’язань пов’язане з величиною партії виробів, недостатньою кількістю транспортних засобів, різними технологічними особливостями вантажопереробки, але головні причини полягають у відмові контрагентів від продукції, через неконкурентоспроможність виробів, скорочення обсягів виробництва підприємствами-споживачами тощо.

2.4.2 Аналіз динаміки експорту (імпорту) товарів і послуг

Для повнішої характеристики експортної роботи підприємства складають таблиці із експорту товарів та послуг за звітний рік, Мета дослідження - встановити, які зміни відбулися в товарній структурі експорту, розвитку нових його видів і географічного напряму, як змінився обсяг експорту в поточних і постійних (базових) цінах, як змінилися в середньому експортні ціни розрахунок темпів приросту за кожний рік і середньорічний темп приросту експорту за весь період, який вивчають.

Дані про експорт за аналізовані роки групують за країнами і товарами в аналітичних таблицях. За кожним рядком таблиці (країна, товар або підсумок) розраховують індекси вартості, фізичного обсягу і цін. Ці індекси відобразять, на яку суму і де змінилися вартість та фізичний обсяг експорту, а також середні експортні ціни.

Для одержання відповіді на запитання про зміни вартісної структури експорту за країнами і товарами складають таблиці, де за кожною позицією (країна або товар) показують для кожного порівнюваного року суму експорту в грошових одиницях та її частку у відсотках до загального підсумку.

За товарними групами, що містять кількісно та якісно порівнянні товари (наприклад,: бурові станки, електродвигуни ), можна розрахувати індекс кількісної структури. виявиться більшим за 1, то це свідчитиме, що у межах товарної групи зросла частка кількості дорожчих товарів за рахунок зниження частки дешевших товарів. За протилежної зміни структури індекс буде меншим за 1. Наведемо для прикладу в табл. 16.2 дані про експорт підприємством товарів за звітний і попередній періоди

Таблиця 1.7. Експорт товарів підприємства ТОВ «Техноекспорт»

Товари

2006 р.

2007 р.


Кількість, тис. шт.

Ціна за одиницю, тис. грн.

Сума, млн грн.

Кількість, тис. шт.

Ціна за одиницю, тис. грн.

Сума, мли грн.

1

2

200

400

3,0

195

585

2

2

100

200

1,5

102

153

Разом

4

-

600

4,5

-

738


За даними табл. 1.7 визначаємо тенденцію розвитку експорту цієї групи товарів (для підсумку) за вартістю і структурою.

З'ясуємо, як змінився обсяг експорту в постійних цінах (фізичний обсяг) і як змінились у середньому ціни на товари цієї групи. Визначимо величину впливу чинників, кількості, ціни і структури на зростання вартості експорту товарів аналізованої групи на 138 млн грн. (738 - 600).

Розрахуємо подані нижче індекси. Індекс вартості:

.

Індекс цін:

.

Сума 738 млн грн. є вартістю експортних товарів за 2007 р. (кількість і ціни 2007 p.), а сума 750 млн грн. - результат перерахунку експорту кількості за 2007 р. за цінами 2006 р. Порівняння цих сум дасть змогу визначити, як вплинула зміна цін на величину вартості експорту товарів. Експортні ціни знизились у середньому на 1,6% (індекс цін у відсотках дорівнює 98,4). Відповідно, зменшення вартості за рахунок зниження цін на 1,6% становило 12 млн грн. (738 - 750).

Індекс кількості () відповідно дорівнює

.

Індекс фізичного обсягу ():

.

Звідси приріст експорту за рахунок зміни вартості обсягу в незмінних цінах становив 150 млн грн. (750 - 600). Останній індекс - добуток індексу кількості та індексу структури, тобто зміну фізичного обсягу зумовлює загальна зміна кількості й кількісної структури. Вплив кожного з цих чинників можна визначити окремо.

Перш ніж підрахувати індекс кількості, необхідно визначити середню ціну 1 т товарів за 2006 р. за даними табл. 16.2:

 тис. грн.

Таким чином, приріст вартості товарів за рахунок зміни їх кількості становив 75 млн грн. (675 - 600).

Індекс структури () дорівнює:

.

Звідси приріст вартості за рахунок зміни структури дорівнює 75 млн грн. (750 - 675). Сума кількості і структури дасть величину фізичного обсягу: 75 + 75 = 150 млн грн.

Висновок. Вартість експорту (експортна виручка) групи товарів, які аналізують за рік, зросла на 136 млн грн., що відбулося під впливом:

• зміни кількісної структури експорту, що відобразилося у підвищенні частки дорожчого товару, внаслідок чого отримано 75 млн грн. приросту обсягу експорту;

• зростання загальної кількості експортних товарів, що збільшило вартість експорту товарів на 75 млн грн.;

• зниження експортних цін, що знизили вартість експорту на 12 млн грн.

2.4.3 Аналіз якості та конкурентоспроможності експорту (імпорту) товарів

Прагнучи випускати високоякісну продукцію, яка була б конкурентноздатною не тільки на українському, а й на зарубіжних ринках компанія повинна бути на рівні світових стандартів . За всю цю діяльність фірма „Техноекспорт” в 2004 р. отримала Диплом лауреата загальнонаціонального конкурсу „Вища проба”.

Колективні дії цих сил визначають характер конкурентної боротьби на даному ринку. Чим сильніші сили конкуренції, тим нижча колективна рентабельність фірм, що беруть участь у змаганні, створюють жорсткі умови на ринку, забезпечуючи на перспективу субпаритентну прибутковість або однакову збитковість для більшості фірм, конкуренти та товари становлять пряму конкурентну загрозу, а споживачі та постачальники - непряму, яка залежить від їхньої спроможності диктувати свої умови. Розглянемо поетапно галузевих конкурентів та вплив на них прямої та непрямої конкурентної загрози. Отже, до галузевих або прямих конкурентів в галузі продажу металів віднесемо компанії: ТОВ "Інтехрезерв" <#"697626.files/image016.gif">

Стабільність або нестабільність економіки має велике значення для підприємства, оскільки впливає на його діяльність через фактори прямої дії: споживачів (зменшення або збільшення їх купівельної спроможності), постачальників (зменшення або збільшення цін) ,підприємств, які включають витрати на паливо,оплату праці робітників. Інфляційні процеси в економіці впливають на вартість виготовленої продукції, відповідно і на кількість споживачів і постачальників. Економічні програми, які здійснюються через законодавчі акти впливають на обсяги виробництва. Для поповнення бюджету збільшують податкові ставки, які регулюють державні органи, що впливає на вартість продукції відповідно і на попит та рівень збуту продукції досліджуваного підприємства.

В даний момент складається негативна макроекономічна ситуація в економіці України. До основних дестабілізуючих факторів варто віднести суперечливість і нестабільність податкового законодавства, нерозвиненість фондового й інвестиційного ринку, досить високий ступінь державного втручання в систему ринкового ціноутворення і відсутність розвинутої законодавчої бази у сфері земельних відносин (не дивлячись на прийняття Верховною Радою Закону України «Про землю»). Нестабільним став курс гривні і вона швидко девальвується, впали котировки провідних компаній країни.

Вплив економічних факторів зведено в таблиці 1.9

Таблиця 1.9 Вплив економічного середовища на діяльність компанії

Фактори середовища

Важливість для галузі

Вплив на компанію

Напрямок впливу

Ступінь важливості для компанії

Загальний рівень економічного розвитку

3

3

-1

-3

Система оподатковування і якість економічного законодавства

3

3

-1

-3

Рівень розвитку конкурентних відносин

2

3

-1

-2

Масштаби урядової підтримки галузі

2

2

+1

4

Загальна кон’юнктура національного ринку

2

2

-1

-4

Розміри і темпи зміни розмірів ринку

3

3

+1

9

Розміри і темпи росту сегментів ринку відповідно до інтересів компанії

2

3

+1

6

Ставка банківського відсотка

3

1

-1

-3

Система ціноутворення і рівень централізованого регулювання цін

1

1

+1

1

Вартість землі

2

2

-1

-4


Як видно з приведеної таблиці, фактори економічного середовища роблять негативний і позитивний вплив на діяльність організації. При цьому найбільший позитивний вплив мають наступні фактори:

·        розміри і темпи зміни розмірів ринку;

·        розміри і темпи росту сегментів ринку відповідно до інтересів компанії;

А найбільший негативний вплив становлять фактори:

·        загальний рівень економічного розвитку;

·        система оподатковування і якість економічного законодавства;

·        рівень розвитку конкурентних відносин.

2.6 Аналіз ефективності зовнішньоекономічної діяльності об’єкту дослідження

Аналіз ефективності зовнішньоекономічної діяльності має важливе значення для оцінки поточного економічного стану підприємства, перспектив його розвитку і попередження фінансових втрат. Він є невід'ємною та визначальною часиною загального аналізу зовнішньоекономічної діяльності підприємства. Комплексний аналіз суб'єкта господарювання, який здійснює зовнішньоекономічну діяльність, передбачає таке:

а) дослідження стану зовнішньоекономічної діяльності підприємства у цілому та його підрозділів;

б) з'ясування рівня міжнародної конкурентоспроможності товарів, що експортуються;

в) виявлення можливих резервів підвищення результативності зовнішньоекономічної діяльності;

г) постановку проблеми щодо стратегії і тактики поведінки на зовнішньому ринку та розробку заходів з реалізації поставлених завдань.

Оцінку ефективності «Техноекспорту» здійснюється на основі бухгалтерської звітності за 2003-2004 рр. Основні показні експортно-імпортних операцій наведено в таблиці №2

Таблиця 2. Показники експортно-імпортної діяльності ТОВ «Техноекспорту» протягом 2003 - 2004 рр.

№ п/п

Показники експортно-імпортної діяльності підприємства

Звітний період



2003р.

2004р.

1

Контрактна вартість імпортної сировини, тис. грн.

18960, 69

16445, 53

2

Акцизні збори, тис. грн.

40, 62989

41, 11386

3

Мито і митні збори, тис. грн.

88, 0325

95, 93286

4

Транспортні витрати, тис. грн.

1286, 617

1507, 508

5

Вантажно-розвантажувальні витрати. тис. грн.

677, 1675

685, 2305

6

Складські витрати, тис. грн.

338, 5829

137, 0467

7

Експедиторські витрати, тис. грн.

325, 0407

219, 2744

8

Страхові витрати, тис. грн.

81, 25977

54, 819

9

Інші витрати на ЗЕД. тис. грн.

67, 71594

137, 0467

10

Виробнича собівартість продукції, тис. грн.

44765, 6

39159

11

Поза виробничі витрати, тис. грн.

6771, 675

6852, 306

12

Ціна імпорту, тис. грн.

13, 54384

14, 38946

13

Кількість імпорту, тис. грн.

2979, 537

2740, 922

14

Коефіцієнт кредитного впливу, тис. грн.

1, 384963

1, 40152

15

Експортна виручка за умов надання комерцій- ного кредиту, тис. грн.

85397, 22

88502, 88


Оцінку ефективності «Техноекспорту» здійснюємо в такій послідовності:

1.      визначимо накладні витрати в аналізованому і базовому році

Сн = Ст + Сзр + Сскл + Секспед + Ситр + Сін (1)

Де Ст - транспорті витрати за базисом постачання, тис. грн.

Сскл.-складські витрати тис.грн.

Секспед. - експедиторські витрати тис. грн.

Ситр. - страхові витрати тис.грн.

Сін - інші витрати на ЗЕД тис.грн.

Сн 2004 = 1507, 508+685, 2305+137, 0467+219, 2744+54, 819+137, 0467=2740, 9253

Сн=1286, 617+677, 1675+338+5829+325, 0407+81, 25977+67, 71594=2776, 3837

2.      Витрати на імпорт в аналізованому та базовому році.

Сзтімп=Ск+Сн+Са+См (2),

Де Ск - контрактна вартість імпортної сировини і матер. Тис. грн.

Сн-накладні витрати тис.грн.

Са - акцизні збори тис.грн.

См - мито і митні збори, тис.грн.

Сзтімп 2003 = 16445, 53+2740, 9253+41, 11386+95, 93286=19323, 5

Сзтімп 2004 = 18960, 69+2776, 3837+40, 62989+88, 0325=21865, 734

3.      Визначити виручку вді експорту за готівку в аналізованому та базовому році. Врексг = (3), де ВРексК - виручка від експорту з аумов надання комерційного кредиту тис.грн.

Ккв - коефіцієнт кредитного впливу. част.од.

4.      Визначити виручку імпорту в аналізованому та базисному році.

Врімп = Уінм *Nымп (4),

Де Уімп - середня ціна імпорту тис.грн. імп - кількість імпорту т.

Врімп 2003 =14, 38946*2740, 922=39440, 3875

Врімп 2004 =13, 54384*2979, 537=40354, 3724

5.      Визначити витрати на експорт в аналізованому т абазовому році.

Сзтекс = Свир + Спв (5),

де Свир - виробнича собіварітсь тис.грн.

Спв - поз виробничі витрати тис.грн.

Сзтекс 2003 = 39159+6852, 306=46011, 306

Сзтекс 2004 =44765, 6+6771, 675 = 51537, 275

6.      Визначити прибуток від імпорту в аналізованому та базовому році.

Пімп = Врімп - Сзтімп (6),

де Врімп - виручка від імпорту тис.грн.

Сзтімп - витрати на імпорт тис.грн.

Пімп 2003 = 39440, 3875-19323, 5=20116, 8875

Пімп 2003 = 40354, 3724-21865, 734=18488, 6384

7. Визначити прибуток вді експорт у ваналізованому та базовому році.

Пекс = Врескг - Сзтекс (7),

де Врекспг - виручка від експорт уз аготівку тис.грн.

Сзтекс - витрати на експорт тис.грн.

Пекс 2004 = 63147, 7824-46011, 306=17136, 4764

Пекс 2003 = 61660, 2898-51537, 275=10123, 0148

8.      Визначити експортно-імпортні витрати аналізованому та базовому році.

Векс-імп = Сзтекс + Сзтімп (8),

де Сзтекс - витрати на експорт, тис.грн.

Сзтімп - витрати на імпорт, тис.грн.

Векс-імп 2004 =46011, 306+19323, 5=65334, 806 тис.грн.

Векс-імп 2003 = 51537, 275+21865, 734=73403, 009 тис.грн.

9.      Визначити прибуток від експортно-імпортних операцій в аналізованому та базовому році.

Пекс-імп = Пекс+ Пімп (9),

Пімп- прибуток від експорту, тис. грн.

Пекс-імп 2004 = 17136, 4764+20116, 8875=37253, 3639

Пекс-імп 2003 = 10123, 0148+18488, 6384=28611, 6532

.Визначити ефективність ЗНД в аналізовому та базовому році Е зед = (10), Де Пекс-імп - прибуток від експотно-імпортних операцій - тис.грн.

В екс-імп. - експорно-імпортні витрати тис.грн.

Отримані результати зводимо в табл. 3

Таблиця 3. Показники для аналізу ефективності ЗЕД «Техноекспорту».

Показники

Індекс

Одиниця виміру

Величина

Відхилення

Середня ціна імпорту

ЦІМП

тис. грн.

14, 38946

13, 54384

0, 84562

106

Кількість імпорту

NІМП

т.

2740, 922

2979, 537

238, 615

92

Контрактна вартість сировини

СК

тис. грн.

16445, 53

1860, 69

2515, 16

87

Накладні витрати

СН

тис. грн.

2740, 9253

2786, 3837

-35, 4584

98

Акцизні збори

СА

тис. грн.

41, 11386

40, 62689

0, 48397

101

Мито і митні збори

СМ

тис. грн.

95, 93286

88, 0325

7, 90036

109

Транспортні витрати за базисом постачання

СТ

тис. грн.

1507, 508

220, 891

117

Вантажно-розвантажувальні витрати

СЗР

тис. грн.

685, 2305

677, 1675

8, 063

101

Складські витрати

ССКЛ

тис. грн.

137, 0467

338, 5829

-201, 5362

40

Експедиторські витрати

СЕКСПЕД

тис. грн.

219, 2744

325, 0407

-105, 7663

67

Страхові витрати

ССТР

тис. грн.

54, 819

81, 25977

-26, 44077

67

Інші виграти

СІН

тис. грн.

137, 0467

67, 711594

69, 33076

202


Отримані результати показали зростання ефективності ЗЕД досліджуваного об'єкту.

Згідно проведених розрахунків з Табличкою 3 можна побачити, що ефективність підприємства в аналізованому періоді склала 21%, що на 14% більше ніж в базовому році. Це зумовлено тим, що збільшився прибуток від експортно-імпортних операцій на 8223, 545 грн. і зниження витрат на експортно-імпортні операції на 7230, 483 грн., що становить 11%.

В аналізованому році прибуток від експорту зріс на 7122, 281 грн., що становить 131%. На ріст прибутку вплинуло зниження витрат на експорт в порівнянні з базовим періодом, а саме на 5125, 72 грн., що складає 10%. В аналізованому періоді зросла виручка від експорту за умов надання комерційного кредиту на 2234, 27 грн., тобто на 4%. Виручка від експорту зросла за рахунок зниження виробничої собівартості продукції на 5135, 41 грн., що становить 11 %. Незначне збільшення поза виробничих витрат, а саме на 9, 69 грн. не вплинуло на величину отриманого прибутку від експорту.

Прибуток від імпорту зріс на 1101, 264 грн., що становить 15%. Незначне зростання прибутку від імпорту в порівнянні з експортом, пов'язане з зменшенням виручки від імпорту на 1003, 499 грн. і підвищення середньої ціни на 0, 541 грн. Кількість імпорту також зменшилась в аналізованому періоді на 204, 641 грн. при невеликому збільшенні середньої ціни.

Витрати на імпорт зменшились на 2104, 763 грн., що становить у порівнянні з базовим роком 13 %.

Витрати зменшились за рахунок зниження:

·              накладання витрат - 3%,

·              контрактної вартості сировини - 15%.

Накладні витрати зменшились на 3% за рахунок складських, експедиторських, страхових витрат.

В аналізованому періоді транспортні витрати, навантажувально-розвантажувальні роботи зросли по відношенню до базового періоду, що також вплинули на зниження величини прибутку від імпорту.

2.7 Аналіз впливу зовнішньоекономічної діяльності об’єкту дослідження на ефективність функціонування організації

Ефективність діяльності підприємства оцінюється наступними основними показниками:

рівень рентабельності власного капіталу та позитивна динаміка його росту;

рівень рентабельності активів підприємства та позитивна динаміка його росту;

стійкий фінансовий стан, високий рівень ліквідності та платоспроможності підприємства;

позитивна динаміка зростання валового доходу від реалізації продукції, валюти балансу, прибутку та власного капіталу.

Аналіз динаміки і структури майна (активів) підприємства дозволяє встановити розмір абсолютного і відносного приросту або зменшення всього майна підприємства або його видів. Стабільність фінансового стану підприємства залежить від правильності та доцільності вкладення фінансових ресурсів у активи, тому для його оцінки необхідно вивчити передусім склад, структуру майна та джерел його утворення, а також причини зміни складу майна та джерел його утворення.

В табл. Б.1 Додатку Б наведені результати горизонтального та вертикального аналізу складу і структури майна підприємства ТОВ «Техноекспорт» у 2002 -2007 роках (обробка даних Додатка А[98]).

Як показує аналіз даних табл.Б.1 склад та структура майна ТОВ «Техноекспорт» у 2002 - 2007 роках характеризується наступними показниками:

абсолютна валюта балансу підприємства зросла з рівня 6 721 тис.грн. у 2002 році до рівня 16 419 тис.грн. 2007 році, динаміка її росту характеризується:

а) негативним ланцюговим убутком -2,41% у 2003 році;

б) незначним позитивним ланцюговим прирістом +0,52% у 2004 році;

в) значним позитивним ланцюговим прирістом +26,76% у 2005 році;

г) значним позитивним ланцюговим прирістом +23,53% у 2006 році;

д) значним позитивним ланцюговим прирістом +59,06% у 2007 році, що вдвічі перевищує темп приросту валюти балансу у 2005 -2006 роках.

Важливим етапом аналізу фінансового стану підприємства є зіставлення темпів приросту активів з темпами приросту фінансових результатів - виторгу або прибутку від реалізації продукції (див.табл.Б.2 Додатку Б).

Так система стійкого розвитку підприємства (у світовій практиці “золоте правило економіки підприємства”) оцінюється співвідношенням темпів росту абсолютних рівнів балансового прибутку (ТРБ), обсягу реалізації продукції (ТN) та суми активів балансу (ТВ) [69]:

ТРБ>TN>TB>100% (3.1)

На аналізованому підприємстві ТОВ «Техноекспорт» у 2002 - 2007 роках співвідношення “золотого правила” становлять (табл.Б.2 Додатку Б):

а) 2003 рік

,21% > 78,4% > 97,51% > 100% - не виконуються 3 умови

б) 2004 рік

,12% > 195,78% > 100,52% > 100% - не виконується 1 умова

в) 2005 рік

,86% > 136,28% > 126,76% > 100% - не виконується 1 умови

г) 2006 рік

,0% > 52,53% > 123,52% > 100% - не виконуються 2 умови

д) 2007 рік

,0% > 109,1% > 159,06% > 100% - не виконуються 2 умови

Тобто, умови “золотого правила економіки підприємства” в ТОВ «Техноекспорт» у 2002 -2007 роках не виконуються, враховуючи також, що у 2002-2003 та 2006 -2007роках діяльність підприємства - збиткова.

Матеріально-технічна основа процесу виробництва на підприємстві - це основні виробничі фонди. Основними характеристиками стану основних засобів на підприємстві є:

коефіцієнт зносу основних засобів;

коефіцієнт придатності основних засобів;

коефіцієнт оновлення основних засобів;

коефіцієнт вибуття основних засобів.

У першу чергу фінансовий стан підприємства оцінюється його фінансовою стійкістю та платоспроможністю. Платоспроможність відображає здатність підприємства платити за своїми боргами та зобов’язаннями за конкретний період часу. Умови достатності дотримуються тоді, коли підприємство платоспроможне у часі, тобто має стійку здатність відповідати за своїми боргами у будь-який момент часу [68].

Під фінансовою стійкістю слід розуміти його платоспроможність у час із дотриманням умови фінансової рівноваги між власними та позиковими коштами. Фінансова рівновага являє собою таке співвідношення власних і позикових коштів, коли за рахунок власних коштів повністю погашаються колишні і нові борги. Фінансова рівновага у часі забезпечується ліквідністю балансу, яка визначається як ступінь покриття зобов’язань підприємства його активами, строк перетворення яких на гроші відповідає строкові погашення зобов’язань.

Узагальнюючим показником фінансової стійкості є надлишок (нестача) джерел засобів для формування запасів. Як джерела для формування запасів розглядаються: власний капітал і резерви; довгострокові зобов'язання; короткострокові кредити.

Показники ліквідності характеризують здатність фірми виконувати свої поточні (короткострокові) зобов’язання за рахунок поточних активів.

В Додатку А наведені алгоритми розрахунку відносних показників фінансової стійкості та ліквідності підприємства, які розраховуються на базі інформації з звітних форм “Баланс підприємства” [54] та “Звіт про фінансові результати” [55].

У табл. Б.3 Додатку Б наведений аналіз стану основних засобів ТОВ «Техноекспорт» у 2002 -2007 роках.

Рис.3.2. - Динаміка абсолютних змін основних статей активів та пасивів балансу ТОВ «Техноекспорт» у 2002 -2007 роках

Як показує аналіз результатів, наведних в табл.Б.3 Додатку Б, на підприємстві ТОВ «Техноекспорт» на протязі 2002 -2007 років підтримується високий коефіцієнт придатності основних засобів на рівні 82,5 - 64,0 % за рахунок своєчасного оновлення основних засобів замість вибувших з експлуатації, особливе оновлення на 69,4% відбулося у 2006 році.

У першу чергу фінансовий стан підприємства оцінюється його фінансовою стійкістю та платоспроможністю. Платоспроможність відображає здатність підприємства платити за своїми боргами та зобов’язаннями за конкретний період часу. Умови достатності дотримуються тоді, коли підприємство платоспроможне у часі, тобто має стійку здатність відповідати за своїми боргами у будь-який момент часу [68].

Під фінансовою стійкістю слід розуміти його платоспроможність у час із дотриманням умови фінансової рівноваги між власними та позиковими коштами. Фінансова рівновага являє собою таке співвідношення власних і позикових коштів, коли за рахунок власних коштів повністю погашаються колишні і нові борги. Фінансова рівновага у часі забезпечується ліквідністю балансу, яка визначається як ступінь покриття зобов’язань підприємства його активами, строк перетворення яких на гроші відповідає строкові погашення зобов’язань.

Рис.3.3.-Динаміка показників ліквідності в ТОВ «Техноекспорт» у2002-2007

Рис.3.4. - Динаміка показника співвідношення дебіторської до кредиторської заборгованості в ТОВ «Техноекспорт» у 2002 - 2007 роках

Рис.3.5. - Динаміка показників незалежності та фінансової стійкості в ТОВ «Техноекспорт» у 2002 - 2007 роках

Рис.3.6. - Динаміка показників фінансової стійкості по покриттю запасів в ТОВ «Техноекспорт» у 2002 - 2007 роках.

Узагальнюючим показником фінансової стійкості є надлишок (нестача) джерел засобів для формування запасів. Як джерела для формування запасів розглядаються: власний капітал і резерви; довгострокові зобов'язання; короткострокові кредити.

Показники ліквідності характеризують здатність фірми виконувати свої поточні (короткострокові) зобов’язання за рахунок поточних активів.

Результативність та економічна доцільність функціонування підприємства оцінюється як абсолютними, так і відносними показниками до яких відносяться показники ділової активності та рентабельності.

В Додатку А наведені алгоритми розрахунків показників рентабельності діяльності підприємства [74] з використанням форм фінансової звітності - Форма 1 “Баланс” [54] та Форма 2 “Звіт про результати фінансової діяльності” [55] , алгоритми розрахунків показників ділової активності діяльності підприємства з використанням форм фінансової звітності - Форма 1 “Баланс” [54] та Форма 2 “Звіт про результати фінансової діяльності” [98].

Рис.3.7. - Динаміка показників ефективності використання ресурсів в ТОВ «Техноекспорт» у 2002 - 2007 роках.

Рис.3.8. - Динаміка показників доходу, собівартості та прибутку в ТОВ «Техноекспорт» у 2002 - 2007 роках

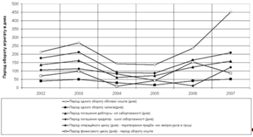
Рис.3.9. - Динаміка показників ділової активності (оборотність основних агрегатів балансу) в ТОВ «Техноекспорт» у 2002 - 2006 роках.

Рис.3.10. - Динаміка показників рентабельності по чистому доходу від реалізації в ТОВ «Техноекспорт» у 2002 - 2007 роках.

Рис.3.11. - Динаміка показників рентабельності власного капіталу по реалізаційному та чистому прибутку в ТОВ «Техноекспорт» у 2002 - 2007 роках

Як показує аналіз графіків рис.3.7 в ТОВ «Техноекспорт» у 2002 -2007 роках характерні наступні параметри процесів ділової активності:

фондовідачча основних фондів постійно зростаючи з рівня 3,5 у 2003 році до рівня 9,1 у 2005 році, різко знизилась до рівня 2,0 у 2006 році, при цьому зниження рівня 2006 року досягає 4,5 рази відносно рівня 2005 року, у 2007 році фондовіддача дещо зросла до рівня 2,38;

ресурсовіддача активів у чисту виручку від реалізації у 2006 році знизилась в 2,0 - 2,5 рази відносно рівня 2005 року, тобто частка активів стала використовуватися неефективно, у 2007 році тенденція падіння ресурсовіддачі продовжилась падінням з рівня 0,87 у 2006 році до рівня 0,6 у 2007 році.

Аналіз оборотності агрегатів оборотних активів (рис.3.9) також показує, що на протязі 2006 -2007 років, після пожвавлення рівня ділової активності у 2004 -2005 роках, період обороту агрегатів оборотних активів різко зріс, що свідчить про падіння темпу ділової активності підприємства. Таким чином, підтверджується, що частка активів стала використовуватися неефективно.

Аналіз рентабельності роботи ТОВ «Техноекспорт» у 2002 - 2007 роках (рис. 3.11) показує, що рентабельність роботи всіх характерних агрегатів балансу підприємства є негативною у 2002 - 2003 роках, характеризується позитивними значеннями у 2004 - 2005 роках, які поступово знижувалась відносно рівня 2004 року до негативного рівня зростаючого збитку у 2006 -2007 роках.

Рентабельність власного капіталу по чистому прибутку знизилась з рівня 84,8% у 2004 році до рівня 25,5% у 2005 році та до негативних рівнів у 2006 -2007 роках, тобто підприємство для його засновників становиться інвестиційно непривабливим, оскільки ставка доходності акцій становиться нижче альтернативної доходності на ринку банківських депозитів (14 -15%).

В той же час показник схильності до банкрутства по Альтману(див.табл.3.2) ідентифікує значний рівень ймовірності банкрутства ТОВ «Техноекспорт» у 2002 -2003 та зростаючі ймовірність банкрутства у 2006 -2007 роках, в основному за рахунок збиткової роботи.

Таким чином, економічна діагностика ефективності та результативності діяльності підприємства ТОВ «Техноекспорт» у 2002 - 2007 роках показала:

підприємство у 2003 - 2005 роках значно підвищило рівень загальної та строкової ліквідності до рівня, в 2 рази перевищуючого нормативні значення, у 2006 році показники загальної та строкової ліквідності ще додатково зросли, створюючи великий запас загальної платоспроможні та стійкості по забезпеченню запасів та оборотного капіталу власними коштами, але у 2007 році показник строкової ліквідності знизився нижче нормативного рівня;

в той же час у 2002 -2007 роках підприємство хронічно має проблеми з негайною платоспроможністю, оскільки рівень абсолютної ліквідності за рахунок готівкових коштів в 5 - 20 разів нижче нормативних показників, що створює проблеми з терміновими розрахунками підприємства з кредиторами;

ця проблема виникає за рахунок значного рівня дебіторської заборгованості, особливо у 2006 - 2007 роках, коли рівень дебіторської заборгованості різко зріс, а обсяг виручки від реалізації суттєво знизився;

підприємство має ризиковано низький рівень автономії за рахунок надто високого рівня використання позикових коштів банківських та оцінка ризику банкрутства ТОВ «Техноекспорт» по Альтману у 2002 -2007 роках.

комерційних кредитів, при цьому досягнутого рівня 0,317 у 2006 році за рахунок проведення 2-ї емісії акцій та зростання власного капіталу явно не достає для виконання нормативу автономії не менше 0,5. Безприбутковість діяльності підприємства у 2007 році додатково значно погіршує стан з рівнем автономії та підвищує ризик банкрутства підприємства зовнішніми кредиторами (табл.3.2);

ресурсовіддача активів та основних засобів підприємства поступово знижується, що свідчить про необхідність суттєвого оновлення основних засобів на нових технологічних принципах та суттєвого підняття частки активних основних фондів нового покоління;

Таким чином, підприємство знаходиться в сегменті стагнації життєвого циклу розвитку товарно-реалізаційної політики підприємства.

Таблиця 3.2

3. Шляхи підвищення ефективності зовнішньоекономічної діяльності об’єкту дослідження

.1 Узагальнення недоліків, виявлених під час аналізу зовнішньоекономічної діяльності об’єкту дослідження

Як показали результати економічної діагностики фінансового стану та результатів діяльності ТОВ «Техноекспорт» на початок 2008 року, у підприємства накопичився ряд проблем з ліквідністю, автономією та підвищенням рівня загроз банкрутства, що потребує проведення спеціальних видів аналізів, серед яких в курсовій роботі проведені SWOT та PEST аналізи, результати яких покладені в основу пропозицій по формуванню стратегії розвитку підприємства ТОВ «Техноекспорт».

Класичний SWOT-анализ припускає визначення сильних і слабких сторін у діяльності фірми, потенційних зовнішніх погроз і сприятливих можливостей і їхню оцінку в балах відносно средніх показників або стосовно даних стратегічно важливих конкурентів. Класичним представленням інформації такого аналізу було складання таблиць сильних сторін у діяльності фірми (S), її слабких сторін (W), потенційних сприятливих можливостей (О) і зовнішніх погроз (Т) .

У ряді робіт, викладається методика SWOT-аналізу, основний упор у якій зроблений не на методи визначення й оцінку S, W, O і T, а на формулювання конкретних стратегій і заходів на основі S, W і з обліком O і T. Так, у [91] пропонується після визначення S, W, O, T перейти до складання матриці стратегій:- заходи, які необхідно провести, щоб використовувати сильні сторони для збільшення можливостей компанії;- заходи, які необхідно провести, переборюючи слабкі сторони і використовуючи представлені можливості;- заходи, що використовують сильні сторони організації для запобігання погроз;- заходи, що мінімізують слабкі сторони для запобігання погроз.

Таблиця 3.3

Матриця SWOT - аналізу діяльності ТОВ «Техноекспорт».

Можливості (О) 1.Зниження вартості грошових ресурсів за рахунок єврокредитів банків Європи. 2. Зниження вартості матеріальних ресурсів за рахунок можливості здійснювати ремонт обладнання на своїй базі на якій знаходиться вантажопідйомні крани, токарні верстати, зварювальні апарати, вантажний автотранспорт.  3. Атестація виробництва для отримання сертифікатів на право експортної поставки продукції на ринки Євросоюзу після вступу в СОТ 4. Розширення обсягів закуповлі запасих частини для екскаваторів ЕКГ-5 та Е-2503 на «Південно-Уральсь-кому Ремонтно-Механічному заводі»для внутрішньо-го ринкуУкрани. 5.Підвищення рівня власного капіталу за рахунок додаткової емісії акцій ТОВ Техноекспорту та їх рефінан-сування в ЕБРР

Сильні сторони (S) 1. Наявність іноземних ліній по технологічному ремонту гірничого і шахтного обладнання. 2. Наявність досвіду ремонту обладнання та позитивний імідж фірми на іноземних ринках збуту в СНД. 3. Монопольний стан на ринку експортних поставок гірничого і шахтного обладнання, також поставкою запасних частин для екскаваторів: ЕКГ-5, Е-2503, ЕКГ-8, ЕК 10/70 і бурових станків різних модифікацій в Україні. 4. Відлаженість каналів поставки експортної продукції в СНД. 5. Переорієнтація підприємства на переробку імпортної закупівлі запасих частини для екскаваторів ЕКГ-5 та Е-2503 на «Південно-Уральсь-кому Ремонтно-Механічному заводі» для внутрішнього ринку України 6.Участь підприємства у європейських комітетах по стандартизації експортної поставки продукції на ринки Євросоюзу в Україні при вступі до СОТ 7. Високий рівень атестації в 2004 р. фірма отримала Диплом лауреата загальнонаціонального конкурсу „Вища проба”. 8.Наявність досвідченого персоналу з досвідом ЗЕД роботи 15 рр.

Слабкі сторони (W) 1. Зниження експортної частки в продукції з 58,8% у 2004 році до 19% у 2006 році 2. Проблеми з імпортом поставки запасих частин для екскаваторів ЕКГ-5 та Е-2503 за рахунок зниження виробництва «Південно-Уральського Ремонтно-Механіч-ного заводу». 3. Зниження рентабельності роботи підприємства з рівня 84,4% у 2004 році до 0% у 2006 році. 4. Значний рівень ризику банкрутства підприємства; 5. Низький рівень коефіцієнта автономії (0,317 замість норми не менше 0,5), що приводить до ризику покриття позикових коштів; 6.Практична відсутність моментальної платоспроможності за рахунок відсутності грошових коштів; 7.Негативні тенденції зростання рівня дебіторської заборгованості при зниженні рівня валових доходів; 8. Ризикові форми ЗЕД - розрахунків

Погрози (Т) 1.Низька платоспроможність замовників та зниження активності на ринку в Україні по гірничому і шахтному обладнанні. 2. Поява конкурентів в галузі ремонту гірничого і шахтного обладнання, також поставкою запасних частин для екскаваторів (після вступу в СОТ). 3.Можливість рейдерського захвату підприємства за рахунок низького рівня автономії та загрози з боку кредиторів


У таблиці 3.3 представлені результати SWOT- аналізу для досліджуваного підприємства ТОВ «Техноекспорт».

У таблиці 3.4, на основі SWOT-матриці (табл..3.3) представлені результати розробки матриці стратегій (SO-WO-ST-WT) для досліджуємого підприємства ТОВ «Техноекспорт».

Таблиця 3.4

Матриця планування стратегій діяльності ТОВ «Техноекспорт»

SO-стратегія 1.Розширення участі на ринку по ремонт та обладнанні машин, механізмів, пристроїв, верстатів в Євросоюзі. 2. Розширення участі на ринку імпорту запасних частин для екскаваторів ЕКГ-5 та Е-2503 з Росії.

WO-стратегія 1. Створення спільного підприємства з російською фірмою для отримання доступу до запасих частини для екскаваторів ЕКГ-5 та Е-2503.  2. Випуск додаткового обсягу акцій спільного підприємства для різкого підняття рівня власного капіталу та зменшення загрози банкрутства.

ST-стратегія 1. Розширення участі на ринку переробки дешевих імпортних запасих частин для екскаваторів ЕКГ-5 та Е-2503 на внутрішньому ринку України.

WT-стратегія 1. Випуск додаткового обсягу акцій спільного підприємства для різкого підняття рівня власного капіталу та зменшення загрози банкрутства 2. Участь у створенні вертикально-інтегрованих ФПГ по ремонту гірничого та шахтного устаткування в Україні.


Для реалізації стратегій, наведених в табл.3.4, необхідні:

а) для стратегій SO та WO - вступ України в СОТ та кардинальна перебудова технологічних умов виробництва по ремонту гірничого та шахтного устаткування в Україні для виконання вимог Європейського Союзу;

б) для стратегій ST та WT - детальний прогноз на основі PEST-аналізу поточної та планової купівельної спроможності населення України та ємності українського ринку використання гірничого та шахтного устаткування на 2- 5 років.

3.2 Узагальнення теоретичного та практичного досвіду удосконалення зовнішньоекономічної діяльності підприємств

Організація ЗЕД - дуже складна і клопітка робота. Вона вимагає уважного опрацювання таких питань як кон’юктура ринку, потенціальні покупці і продавці, встановлення ділових контактів з ними, проведених переговорів, підписання угод і т.д. Тому, для ефективного керівництва ЗЕД на рівні підприємства, необхідна адекватна до умов його роботи структура управління. Структура управління ЗЕД відображає побудову системи управління в даній сфері, тобто органи, служби, апарат, що здійснює управління ЗЕД .

Організаційна структура управління ЗЕД визначається тією метою і завданнями, які вона покликана вирішувати. Її мета - максималізація прибутку на довготривалий період за рахунок ефективної участі в міжнародному підприємництві. Організаційна структура управління ЗЕД, як і внутрішньо-фірмового управління, повинна постійно розвиватися і вдосконалюватися, пристосовуватися до змін у зовнішньому середовищі і сфері управління. Її форми і методи не можуть залишатися незмінними.

Організаційні форми управління ЗЕД на виробничих підприємствах в Україні багато в чому індивідуалізовані. Разом з тим можна виділити деякі загальні риси.

На виробничих підприємствах, що приймають активну участь у зовнішньоекономічній діяльності, зовнішньоекономічний апарат в даний час існує в основному в двох формах: відділ зовнішньоекономічних зв'язків (ВЗЕЗ) в рамках діючого апарату управління; зовнішньоторговельна фірма (ЗТФ).

Відділ зовнішньоекономічних зв'язків (ВЗЕЗ) не є самостійним структурним підрозділом підприємства. Він являє собою частину апарату управління. Його головне завдання полягає в управлінні ЗЕД як елементом єдиної цілісної системи внутрішньофірмового управління

Відділ складається із ланок (груп, секторів, бюро і спеціалістів). Кожен із секторів (груп) має свої конкретні завдання і виконує відповідні функції. Наприклад, комерційний сектор повинен забезпечувати виконання зобов'язань по міжнародних контрактах і угодах, участь у підготовці і проведенні комерційних переговорів, організацію поставок згідно контракту і контроль за їх виконанням; перегляд-рекламацій по експорту та імпорту та ін.

Економічний сектор покликаний забезпечувати прогнозування і планування ЗЕД підприємства, аналіз ефективності експортно-імпортних операцій, контроль за виконанням плану, валютний контроль і т.д.

Сектор маркетингу як ведуча служба підприємства вивчає коньюктуру світових товарних ринків, приймає участь у визначенні цін на експортну продукцію, в розробці і здійсненні рекламних мікроприємств, аналізі конкурентів, можливостей руху товару і т. ін.

Завдання науково-технічного сектору: вивчати діючі на світовому ринку технічні вимоги до товару; аналізувати технічний рівень і якість продукції, її конкурентноздатність; брати участь в розробці пропозицій по оновленню виробництва, випуску нової продукції; забезпечувати технічне обслуговування експортної продукції та ін.

Основними завданнями зовнішньоторговельної фірми (ЗТФ), як правило, являються: планування, організація і регулювання зовнішньоторгових угод, збільшення об'єму експорту і вдосконалення його структури, підвищення ефективності імпортних закупок у відповідності до стратегії підприємства, підвищення конкурентноздатності продукції за кордоном, сприяння покращенню її якості, вивчення коньюктури товарних світових ринків і виявлення критеріїв та вимог, які ставляться до конкурентноздатності товарів, вивчення діяльності конкурентів, їх сильних і слабких сторін, організація після продажного обслуговування за кордоном, вироблення рекламних заходів з метою розширення експорту, забезпечення правового захисту зовнішньоекономічних інтересів підприємства, участь разом з іншими підрозділами в організації транспортування і збереження продукції, участь в купівлі-продажу патентів і ліцензій, "ноу-хау", участь в здійсненні протокольних заходів.

Вирішення цих та інших завдань, що стоять перед ЗТФ, визначає її функції і організаційну структуру управління. Директор ЗТФ, як правило, підпорядкований директору підприємства чи його заступнику із зовнішньоекономічних зв'язків. Основними функціональними підрозділами ЗТФ є маркетингова і оперативно-комерційна служба. Також створюються служби, що забезпечують обслуговування ЗЕД фірми: планово-економічних розрахунків, валютно-фінансових операцій, обліку і звітності, юридичних та інженерно-технічних питань.

Кожна із даних служб виконує відповідні функції. В компетенцію маркетингової служби входять: участь фірми в розробці стратегії і планів ЗЕД підприємства; вивчення ринків збуту і можливостей виходу на них; забезпечення реклами і руху товару; підготовка конкурентних матеріалів і конкурентного листа, необхідних для формування базисних умов контракту; прогнозування коньюктури товарних ринків і динаміки цін; аналіз ефективності експортно-імпортних операцій і окремих угод; збирання, накопичення і обробка необхідної інформації; методичне забезпечення роботи по вивченню зовнішніх ринків і вимог до якості продукції; забезпечення участі фірми у виставках, ярмарках, аукціонах, торгах та ін.

Необхідність створення ЗТФ в складі підприємства-суб'єкта ЗЕД повинна в першу чергу бути зумовлена співставленням затрат підприємства при відсутності власної такої фірми і витратами на її утримання. При цьому треба мати на увазі, що ефект діяльності ЗТФ буде видно тільки після декількох років її роботи. Підприємства, що виходять на світовий ринок, зустрічають сьогодні жорстоку конкурентну боротьбу. Щоб вижити в цій боротьбі і досягти успіху, обов’язково необхідно використовувати можливості маркетингу. Саме на основі маркетингової діяльності проводиться більшість комерційних операцій на світовому ринку. Спеціальними дослідженнями встановлено, що більше 75% комерційних невдач відбувається через помилки в маркетинговій діяльності.

То ж перш ніж вирішити вийти на світовий ринок, підприємству необхідно багато чого дізнатись, досконало розібратися в особливостях внутрішнього й зовнішнього середовища.

Важливе місце в системі міжнародного маркетингу займає дослідження іноземних ринків, під яким, як правило, розуміють процес пошуку, збору, обробки й аналізу даних.

Для успішної реалізації поставлених завдань підприємство повинно розробити різні маркетингові стратегії: охоплення ринків і ринкових сегментів, конкурентні, виходу на нові ринки, виходу на ринки з новим товаром, цільові, ринкового попиту, товарної політики і т.д. Їх зміст багато в чому залежить від загальної стратегії підприємства, в т.ч. в галузі ЗЕД. Основою планування виходу підприємства на зовнішні ринки являється вибір оптимального способу проникнення його на ці ринки.

Організувавши вихід на іноземні ринки, підприємство може значно підвищити ефективність ЗЕД. Однак при цьому необхідно добре знати умови діяльності в даній країні, її закони. На основі дослідження, оцінки й вибору іноземних ринків, повинна розроблятися товарна, цінова, збуту та інші види політики, тобто заходи маркетингового комплексу, що входять в стратегічну маркетингову програму.

Дуже важливо визначити країну, в яку найбільш вигідно експортувати чи з якої найбільш вигідно імпортувати товар (послуги). При порівнянні варіантів з виходу на ринок різних країн керівництво підприємства повинно брати до уваги такі фактори: політична й економічна стабільність; витрати виробництва; транспортна інфраструктура; державні пільги й стимули; наявність як кваліфікованої, так і відносно дешевої робочої сили; ємність ринку даної країни; наявність торгових обмежень; наявність необхідних постачальників сировини, матеріалів. Крім економічних критеріїв, важливо враховувати й характер торгово-політичних відносин з даною країною. Перевага повинна надаватись тій, з якою налагоджені нормальні ділові відносини, підтверджені договірно-правовою основою.

В міжнародній практиці з урахуванням загальноприйнятих методик оцінки потенційних партнерів виділяють наступні принципи, які важливо враховувати при організації даної роботи:

) Оцінка ступеня солідності потенційного партнера.

) Оцінка ділової репутації.

) Врахування досвіду минулих угод.

) Врахування становища фірми на зовнішньому ринку.

Якщо фірма являється посередником, то в такому випадку треба серйозно підійти до вибору посередника. Насамперед необхідно звернути увагу на її фінансове становище. І, крім того, отримати інформацію про її кредитну здатність, виявити характер товару, що продається, і об'єм реалізації, наявність власної ланки збуту.

Процес підготовки і успішного здійснення зовнішньоторгової операції повинен вимагати детального вивчення не лише потенційних контрагентів, а й фірм-партнерів. Вивчення діяльності майбутніх фірм-партнерів являється складовою частиною зовнішньоторгової операції. Тому даному питанню всі учасники міжнародної торгівлі повинні приділяти велику увагу.

Слід сказати, що при виборі міжнародного контрагента багато вітчизняних підприємств зіштовхуються з такою проблемою, як відсутність інформації про свого можливого партнера по бізнесу.

Керівники підприємств та відповідних підрозділів, що відповідають за успішність ведення ЗЕД, повинні знати, що найбільш цінною інформацією для досьє в нинішніх умовах вважаються відомості, одержані при особистому знайомстві з фірмою.

Збір інформації про партнерів по бізнесу, зокрема по такому його специфічному виду, як ведення зовнішньоекономічної діяльності є дуже розумним кроком, якщо фірма ставить перед собою удосконалення організації ЗЕД на підприємстві.

Удосконалення механізму експортної діяльності підприємств має проводитись на належному рівні за допомогою відповідних законодавчих актів. Одним з перспективних шляхів удосконалення експортної діяльності на підприємстві на майбутнє є розробка стратегій розвитку виробництва на середньо та довгострокову перспективу. Ефективна розробка даних стратегій можлива за умови застосування різних методів аналізу, наприклад, SWOT-аналізу.

Отже, на сучасному етапі багато українських підприємств активно беруть участь у зовнішньоекономічній діяльності. Проте ефективність зовнішньоекономічної діяльності вітчизняних підприємств ще доволі низька. Це свідчить про відсутність чіткої зовнішньоторгової політики, слабкі канали збуту, недостатній досвід роботи на зовнішньому ринку, прагнення до швидкої віддачі шляхом продажу продукції, яка не потребує особливих зусиль з її просування.

Дослідження ефективного розвитку зовнішньоекономічної діяльності вказує на обов’язкові умови такої діяльності:

активна участь на зовнішніх ринках з постійним нарощуванням експортного потенціалу;

зростання об’ємів господарської діяльності;

постійний контроль за конкурентоспроможністю;

контроль та удосконалення економічних зв’язків з партнерами.

Для цього особлива увага повинна приділятися вивченню питань:

зменшення собівартості товарів і послуг, тобто зменшення суми витратних статей;

досконале вивчення попиту на ринках;

підвищення продуктивності праці;

своєчасне здійснення планування господарської діяльності, враховуючи прийняту стратегію на ринках.

Окреслене коло проблем вимагає від керівників вітчизняних підприємств відповідних дій по удосконаленню організації зовнішньоекономічної діяльності.

Серед основних можливих заходів по удосконаленню організації ЗЕД на підприємствах можна виділити наступні: створення окремого структурного підрозділу, що відповідав би за успішність ведення ЗЕД на підприємстві, маркетингові дослідження нових ринків за умови виходу на них, вибір партнерів для ведення зовнішньоекономічної діяльності шляхом збору необхідної інформації про них, проведення SWOT-аналізу для розробки стратегії розвитку підприємства та удосконалення механізму зовнішньоекономічної діяльності підприємства на основі відповідних законодавчих актів.

Втілення в життя вище запропонованих заходів, без сумніву значно покращить якість роботи підприємства у сфері зовнішньоекономічної діяльності.

 

3.3 Пропозиції щодо підвищення ефективності зовнішньоекономічної діяльності об’єкту дослідження

На підставі аналізу діяльності ТОВ «Техноекспорт», представленому в розділі 2 курсової роботи, виявлено, що основними проблемами розвитку ЗЕД підприємства є зниження ефективності його діяльності за рахунок накопичення негативних ефектів неоптимальності схеми ЗЕД-розрахунків при ризиковій експортній маркетинговій стратегії завойовування закордонних ринків збуту своєї продукції.

При цьому підприємство становиться заручником системи 3-х боргів:

- борг перед підприємством за розрахунками дебіторів, яким надається тимчасовий комерційний кредит при продажу продукції;

борг підприємства за розрахунками з кредиторами, які надали тимчасовий комерційний кредит при покупці сировини та матеріалів;

борг підприємства перед комерційним банком, який надав короткостроковий кредит для своєчасної закупки запасів виробництва та часткових розрахунків з кредиторами;

Ефективність та прибутковість роботи підприємства в умовах 3-х боргів залежить від внутрішньої системи регулювання боргів в часі та зниження витрат на сплату відсотків за банківські кредити, які покривають тимчасові «касові розриви» в фінансуванні діяльності підприємства.

Основними заходами підвищення ефективності ЗЕД, які обґрунтовуються у дипломному проекті, є пропозиції впровадження вексельного механізму прискорення перетворення дебіторсько-кредиторської заборгованості в грошові кошти при імпортних та експортних операціях ТОВ «Техноекспорт».

Пропозиції впровадження вексельного механізму прискорення перетворення дебіторсько-кредиторської заборгованості в грошові кошти при імпортних операціях ТОВ «Техноекспорт» мають мету:

впровадження вексельного обороту в систему грошових розрахунків підприємства;

впровадження короткострокового вексельного кредитування (обліку векселів) банками дебіторської заборгованості підприємства, оформленої у вигляді авальованих векселів покупців продукції;

впровадження вексельного розрахунку з кредиторами переказними век-селями з можливістю обороту на себе при погашенні дебіторської заборгованості за відпущену продукцію дебіторами;

різкого скорочення строку перетворення дебіторської заборгованості в грошові кошти за допомогою форфейтинг-факторингової схеми обліку векселя в комерційних банках.

Для оптимізації показників схем розрахунків по зовнішньоекономічним торгово-посередницьким операціям ТОВ «Техноекспорт» в курсовій роботі пропонується алгоритм управлінського рішення по впровадженню векселів на обох етапах торгово-виробничої операції, графічно відображений схемою на рис.4.1:

оплата ТОВ «Техноекспорт» по контракту авальованим векселем (погашення через 80 днів) негайно по факту угоди на поставку імпортної продукції із відповідним зниженням ціни на імпортну продукцію з боку експортера-нерезидента;

отримання від оптових покупців - дебіторів на вітчизняному ринку авальованих векселів за відпущену продукцію з строком погашення 30 - 60 днів після відвантаження товару;

зарахування отриманих векселів в комерційному банку (вексельний кредит) до строку погашення векселів та отримання оборотних коштів для продовження оборотних циклів підприємства (нові імпортні поставки).

Висновки

Проведене дослідження та аналіз механізму зовнішньоекономічної діяльності фірми вказує на налагодженість зв’язків із іноземними контрагентами, на створений імідж надійного партнера в бізнесі. Позитивний образ фірми створюється також на вітчизняному ринку, ТОВ „Техноекспорт” в 2004 р. отримала Диплом лауреата загальнонаціонального конкурсу „Вища проба”.

Фірма визначила свою стратегію як диверсифікацію діяльності, надаючи в майбутньому весь комплекс товарів і послуг для ремонту гірничого і шахтного обладнання, також поставку запасних частин для екскаваторів: ЕКГ-5, Е-2503, ЕКГ-8, ЕК 10/70 і бурових станків різних модифікацій, враховуючи техніку. Попередні роки свідчать про постійне розширення ТОВ „Техноекспорт” в сенсі збільшення кількості партнерів, росту обсягів продажу продукції, збільшенні чисельності працівників. Це, а також потреба чітко розмежувати функції та відповідальність працівників, змушує реструктуризувати фірму.

Простежуються тенденції збільшення валового доходу (також повної собівартості, проте асортимент продукції величезний і повну собівартість розраховано відповідно до обсягів реалізації продукції) та власного капіталу з 2002 р., збільшення активів із 2003 р., росту кредиторської та дебіторської заборгованості з 2003 р. починаючи. Частка умовно-постійних витрат у структурі повної собівартості зростає впродовж останніх п’яти досліджуваних роки, що пов’язано з розширенням фірми, збільшенням обсягів продажу та ростом чисельності працівників.

Враховуючи сучасний стан функціонування ТОВ „Техноекспорт”, можна сформулювати такі стратегічні цілі підприємства на найближчі п`ять років:

1)    Програма прибутковості:

·        Мінімально - підтримання рівня прибутків на рівні 2000 року;

·        Максимально - щорічний приріст прибутку на 5-10%.

·        Розробка дієвих спеціалізованих програм по прибутку - на основні фонди, інвестований капітал, від продаж.

2)    Збереження обсягів продажу гірничого і шахтного обладнання, бурових станків різних модифікацій на зовнішньому ринку, досягнутих в 2004 році;

3)      Збільшення обсягів продажу продукції на внутрішньому ринку за рахунок проведення ефективної маркетингової стратегії (проникнення на нові неосвоєні ринки збуту, збільшення каналів розподілу, застосування дієвої реклами, введення системи знижок та ряд інших маркетингових інструментів);

)        Підвищення якості продукції за рахунок впровадження нових технологій та автоматизації виробництва, реалізації пропозицій щодо сучасного дизайну продукції;

)        Проведення змін в організаційній структурі в напрямку побудови організаційної системи “стратегічного типу” (більш гнучкої та динамічної). Одним із найважливіших в цьому напрямку завдань стане створення відділу стратегічного розвитку;

6)      З метою покращення інформаційно-аналітичного забезпечення стратегічного управління на ТОВ «Техноекспорт» слід вивчити та більш повно використовувати можливості всесвітньої комп`ютерної системи Інтернет. Основною лінією ТОВ «Техноекспорт» має стати: забезпечення споживачів якісними виробами за доступними цінами.

Список використаної літератури


1. Енциклопедія бізнесмена, економіста, менеджера / За ред. Р.Дяківа. - К.: Міжнародна економічна фундація, 2004. - 704 с.

2. Економічна енциклопедія / Редкол. С.В.Мочерний та ін. - Київ, Тернопіль, 2004.

3. Райзберг Б.А., Стародубцева Е.Б. Современный экономический словарь. - М.: ИНФРА, 2003. - 479 с.

4. Пономаренко В.С., Ястремская Е.Н., В.М.Луцковский др. Механизм управления предприятием: стратегический аспект. - Харьков: ХДЭУ, 2002. - 251 с.

5. Брюховецька Н.Ю. Економічний механізм підприємства в ринковій економіці: методологія і практика. - Донецьк, 2003. - 275 с.

6. Сиденко В.Р. : проблемы системной трансформации при переходе к рынку. - К., 2002. - 305 с.

7. А.И.Кредисов, С.Н.Березовенко, В.В.Волошин, Д.П.Расшивалов и др. Управление внешнеэкономической деятельностью. - К.: Феникс, 1996.

8. Стровский Л.Е. Внешнеэкономическая деятельность предприятия. - М.: ЮНИТИ, 2003. - 823 с.

9. Дроздова Г.М. Менеджмент внешнеэкономической деятельности предприятия. - Донецк, 2005. - 154 с.

10.Попов С.Г. Внешнеэкономическая деятельность фирмы. Особенности менеджмента и маркетинга. - М.: Ось-89, 2004. 287 с.

11.Литвін А.Ю. Розвиток механізму управління торгівлею // Економіка: проблеми теорії та практики, вип.69.

12.Т.Б. Кушнір. Сучасні особливості формування показників прибутку в підприємствах торгівлі // Прогресивні ресурсозберігаючі технології та їх економічне обгрунтування у підприємствах харчування. Економічні проблеми торгівлі: ЗНП. - харків, 2002. - ч.2. - 536 с.

13.О.О. Орлов. Планування діяльності промислового підприємства. - К.: Видавн. дім “Скарби”, 2002. - 336 с.

14.Внешнеэкономическая деятельность: ЗНП, 2002.

15.Статут ТзОВ фірми “Габен”.

16.ЗУ “Про зовнішньоекономічну діяльність”. ВВР від 1991 р., №29 зі змінами, внесеними згідно із Законами від 17.01.2002 та 07.02.2002.

17.ЗУ “Про підприємництво”. ВВР від 1991 р., №14 зі змінами, внесеними згідно із Законом від 16.01.2003.

18.ЗУ “Про господарські товариства”. ВВР, 1991, N 49

19.Постанова КМУ “Про переліки товарів, експорт та імпорт яких підлягає квотуванню і ліцензуванню у 2003 році” №1939 від 25 грудня 2005 р. зі змінами, внесеними згідно із Постановами від 24.02.2003 і 01.03.2003.

20.Наказ Міністерства економіки та з питань європейської інтеграції “Про порядок ліцензування експорту, імпорту товарів у 2003 році” №36 від 18.02.2003.

21.ЗУ “Про державне регулювання імпорту сільськогосподарської продукції”. ВВР від 1997 р., №44.

22.ЗУ “Про Єдиний митний тариф України”. ВВР від 1993 р., №12 зі змінами, внесеними згідно із Законами від 26.12.2002.

23.ЗУ ”Про Митний тариф України”. ВВР від 2005 р., №24 зі змінами, внесеними згідно із Законом від 26.12.2002.

24.Наказ Державної митної служби України “Про затвердження Положення про відкриття та експлуатацію митних ліцензійних складів” №592 від 31.12.1996 зі змінами, внесеними згідно із Наказами від 09.01.2005 та 26.06.2005.

25.ЗУ “Про оплату праці”. ВВР, 1995, N 17

26.Постанова КМУ від 7 березня 2005 р. N 225 “Про максимальну величину фактичних витрат на оплату праці найманих працівників, оподатковуваного доходу (прибутку), сукупного оподатковуваного доходу (граничну суму заробітної плати (доходу), з яких справляються страхові внески (збори) до соціальних фондів”

27.Декрет КМУ “Про прибутковий податок з громадян”. ВВР, 1993, N 10

28.ЗУ “Про оподаткування прибутку підприємств”. ВВР, 1995, N 4

29.Дениелз Д.Д., Радеба Ли Х. Международный бизнес: внешняя среда и деловые операции. - М.: Дело, 2002. - 784 с.

30.Галицькі контракти. № 13, квітень, 2002.

31.Галицькі контракти. № 9, березень-квітень, 2003.

32.Цал-Цалко Ю.С. Витрати підприємства: Навч. посібник. - К.: ЦУЛ, 2002. - 656 с.

33.Економіка підприємства: Навч. посібник/за заг.ред. В.Г.Герасимчука. А.Е.Розенплентера. - К.: ІВЦ “Вид-во “Політехніка”, 2003. - 264 с.

34.Економіка виробничого підприємництва: Навч. посібник/за заг.ред. Петровича Й.М. - К.: Т-во “Знання”, КОО, 2002. - 405 с.

Додаток А

Баланси та звіти про фінансові результати ТОВ «Техноекспорту» за 2002 -2007 роки

Таблиця А.1




Таблиця А.2



Додаток Б

Таблиця Б.1

Аналіз складу і структури майна підприємства АТЗТ компанія "Бастіон" у 2002 - 2007 роках


Таблиця Б.2

Порівняльний аналіз дінамики активів і фінансових результатів АТЗТ компанія "Бастіон" у 2002 - 2007 роках


Таблиця Б.3

Характеристика стану основних засобів АТЗТ компанія "Бастіон" у 2002 -2007 роках

Похожие работы на - Аналіз зовнішньоекономічної діяльності ТОВ 'Техноекспорт'

 

Не нашли материал для своей работы?
Поможем написать уникальную работу
Без плагиата!
Без нейросетей!