Хатха-йога і здоров'я

  • Вид работы:
    Дипломная (ВКР)
  • Предмет:
    Безопасность жизнедеятельности
  • Язык:
    Украинский
    ,
    Формат файла:
    MS Word
    1,36 Мб
  • Опубликовано:
    2014-03-27
Вы можете узнать стоимость помощи в написании студенческой работы.
Помощь в написании работы, которую точно примут!

Хатха-йога і здоров'я

ПЕРЕЛІК УМОВНИХ СКОРОЧЕНЬ, ПОЗНАЧЕНЬ ТА СИМВОЛІВ

хатха йога фізична культура

т.д. - так далі

т.п. - тому подібне

ін - інше

МДж - Мегаджоулі

Ккал - кілокалорії

ккал/хв. - кілокалорії у хвилину

% - відсотки

МПК - максимальна потреба у кислороді

ЦНС - центральна нервова система

ІХС - ішемічна хвороба серця

мл/хв. - мілілітр у хвилину

г - грам

ЗПСО - зниження загального периферичного судинного опору

РФС - рівень фізичного стану

Вт/кг - ват на кілограм

мг% - міліграм відсотки

ЧСС - частота серцевих скорочень

уд/хв. - удари на хвилину

год. - години

ЛИП

ЛВП

ЧП - частота пульсу

ЖЕЛ - життєва ємність легенів

С - секунди

ІР - індекс Руф'є

г/с - грам у секунду

АТ - артеріальний тиск

ум.од. - умовні одиниці - рівень фізичної працездатності

ГОСТ - Державний стандарт

ДБН - Державні будівельні норми

ДМДМ-гідантоїн - діметілолдіметілгідантоїн

ДСaнПiН - Державні санітарні правила і норми

ДСТУ - Державний стандарт України

МНС - Міністерство надзвичайних ситуацій

НAПБ - нормативний акт з пожежної безпеки

НПAОП - нормативно-правовий акт з охорони праці

ПАР - поверхнево-активні речовини

ПВП - полівінілпіролідон

ПДМС - полідиметилсилоксан

ПУЕ - Прaвилa улaштувaння електроустaновок

СНиП - будівельні норми та правила

ВСТУП

Протягом життя людина постійно стикається з стресами й неприємностями, а йога робить тіло сильним, здатним протистояти їм і в результаті перетворює душу людини. Борючись з почуттям дискомфорту, фізичним болем, внутрішніми блоками ми набуваємо сили, які сприяють вирішенню раніше непереборних страхів, проблем.

Техніки йоги дають нам доступ до конкретної і достовірної інформації про те, що для нас життєво важливо, що ми заперечуємо в собі і які з властивостей нашого характеру варто змінити. Ми визначаємо найоптимальніші та гармонійні способи подолання будь-яких труднощів і йдемо прямим шляхом до досягнення своєї життєвої мети [1].

Крім напруги м'язів асани включають і глибоке м'язове розслаблення, яке надає безпосередній фізичний вплив, починаючи від простого м'язового розслаблення і до активації всієї імунної системи організму. Вона допомагає досягти емоційної і душевної рівноваги, народжує оптимізм і автоматично покращує загальне самопочуття людини.

Фізична користь - при регулярній практиці асан всі залози внутрішньої секреції нашої ендокринної системи виділяють оптимальну кількість гормонів. Це нормалізує як фізична, так і психічний стан людини. Збій в роботі хоча б однієї з залоз відчутно позначається на здоров'ї, тому надзвичайно важливо, щоб ендокринна система функціонувала найкращим чином. Регулярна практика асан очищає й омолоджує хворі органи, відновлюючи їх нормальну діяльність. М'язи і кістки, нервова і ендокринна, дихальна та видільна системи, а також система кровообігу скоординовані таким чином, щоб підтримувати і полегшувати функціонування один одного. Асани роблять тіло гнучким і здатним легко пристосовуватися до змін навколишнього середовища; стимулюють внутрішні органи, внаслідок чого виробляється потрібну кількість травних соків (слина, ферменти і т.д.). Симпатична і парасимпатична системи врівноважуються, і керовані ними внутрішні органи ніколи не впадають у стан гіпо-або гіперактивності [1].

Об’єкт - морфо-функціональні показники здоров’я

Суб’єкт - жінки 20-25 років

Мета роботи: Оцінити вплив занять Хатха-йогою на морфо-функціональні показники здоров’я жінок 20-25 років.

Завдання:

. Проаналізувати літературні джерела щодо теми роботи

. Сформувати комплекс асан хатха-йоги для покращення морфо-функціональних показників здоров’я жінок 20-25 років

. Дослідити та провести оцінку впливу занять хатха-йогою на морфо-функціональні показники здоров’я жінок 20-25 років.

Методи дослідження:

1.       Аналіз літературних джерел;

2.      Педагогічний експеримент

3.      Оцінка морфофункціональних показників рівня фізичного здоров'я.

4.       Метод математичної статистики.

Гіпотеза дослідження: регулярні заняття хатха йогою ефективно покращують морфо-функціональні показники здоров’я жінок 20-25 років.

РОЗДІЛ 1. ЛІТЕРАТУРНИЙ ОГЛЯД

1.1 Роль фізичної культури у сучасному суспільстві

Соціальні та медичні заходи не дають очікуваного ефекту в справі збереження здоров'я людей. В оздоровленні суспільства медицина пішла головним чином шляхом «від хвороби до здоров'я», перетворюючись у все більш чисто лікувальну, госпітальну. Соціальні заходи спрямовані переважно на поліпшення середовища перебування й на предмети споживання, але не на виховання людини.

Найбільш виправданий шлях збільшення адаптаційних можливостей організму, збереження здоров'я, підготовки особистості до плідної трудової, суспільно важливої діяльності - заняття фізичною культурою і спортом. Сьогодні ми навряд чи знайдемо освіченої людини, який заперечував би велику роль фізичної культури і спорту в сучасному суспільстві. У спортивних клубах, незалежно від віку, займаються фізичною культурою мільйони людей. Спортивні досягнення для переважної більшості з них перестали бути самоціллю. Фізичні тренування «стають каталізатором життєвої активності, інструментом прориву в область інтелектуального потенціалу та довголіття». Технічний процес, звільняючи працівників від виснажливих затрат ручної праці, не звільнив їх від необхідності фізичної підготовки та професійної діяльності, але змінив завдання цієї підготовки [1].

В наші дні все більше видів трудової діяльності замість грубих фізичних зусиль вимагають точно розрахованих і точно скоординованих м'язових зусиль. Деякі професії висувають підвищені вимоги до психологічних можливостей людини, сенсорним можливостям і деяким іншим фізичним якостям. Особливо високі вимоги пред'являються представникам технічних професій, діяльність яких вимагає підвищеного рівня загальної фізичної підготовленості. Одним з головних умов є високий рівень загальної працездатності, гармонійний розвиток професійних, фізичних якостей. Використовувані в теорії, методики фізичної культури поняття про фізичні якості дуже зручні для класифікації різноманіття тренувальних засобів і, по суті, є критерієм якісної оцінки моторної функції людини. Виділяються чотири основних рухових якості: сила, швидкість, витривалість, гнучкість. Кожному з цих якостей людини притаманні свої структури та особливості, які в цілому характеризують його фізичні особливості[1].

.2 Рухова активність та здоров’я людини

Деякі дослідники стверджують, що в наш час фізичне навантаження зменшилося в 100 разів - в порівнянні з попередніми сторіччями. Якщо як слід розібратися, то можна прийти до висновку, що в цьому твердженні немає або майже немає ніякого перебільшення. Уявіть собі селянина минулих сторіч. Він, як правило, мав невеликий наділ землі. Інвентарю і добрив майже ніяких. Однак, часто, йому доводилося годувати "виводок" з десятка дітей. Багато хто до того ж відпрацьовував панщину. Все це величезне навантаження люди несли на собі день за днем і все життя. Предки людини випробовували не менші навантаження. Постійна гонитва за здобиччю, втеча від ворога і т.п. Звичайно ж фізичне перенапруження не може додати здоров'я, але і недолік фізичної активності шкідливий для організму. Істина як завжди лежить десь посередині. Важко навіть перерахувати всі позитивні явища, що виникають в організмі під час розумно організованих фізичних вправ. Воістину - рух цей життя. Звернемо увагу лише на основні моменти [2].

В першу чергу слід сказати про серце. У звичної людини серце працює з частотою 60 - 70 ударів на хвилину. При цьому воно споживає певну кількість живильних речовин і з певною швидкістю зношується (як і організм в цілому). У людини абсолютно не тренованого серце робить в хвилину більшу кількість скорочень, також більше споживає живильних речовин і звичайно ж швидше старіє. Все інакше у добре тренованих людей. Кількість ударів в хвилину може дорівнювати 50, 40 і менш. Економічність серцевого м'яза істотно вище, ніж звичайно. Отже, зношується таке серце набагато повільніше. Фізичні вправи приводять до виникнення дуже цікавого і корисного ефекту в організмі. Під час навантаження обмін речовин значно прискорюється, але після неї - починає сповільнюватися і, нарешті, знижується до рівня нижче звичайного. У цілому ж у тренується, обмін речовин повільніший звичного, організм працює економніше, а тривалість життя збільшується. Повсякденні навантаження на тренований організм надають помітно меншу руйнівну дію, що також продовжує життя. Удосконалюється система ферментів, нормалізується обмін речовин, людина краще спить і відновлюється після сну, що дуже важливо. У тренованому організмі збільшується кількість багатих енергією з'єднань, як те АТФ, і завдяки цьому підвищуються практично всі можливості і здібності. Зокрема розумові, фізичні, сексуальні [3].

При виникненні гіподинамії (недолік руху), а також з віком з'являються негативні зміни в органах дихання. Знижується амплітуда дихальних рухів. Особливо знижується здібність до глибокого видиху. У зв'язку з цим зростає об'єм залишкового повітря, що несприятливо позначається на газообміні в легенях. Життєва місткість легенів також знижується. Все це призводить до кисневого голодування. У тренованому організмі, навпаки, кількість кисню вища (при тому, що потреба понижена), а це дуже важливо, оскільки дефіцит кисню породжує величезне число порушень обміну речовин. Значно зміцнюється імунітет. У спеціальних дослідженнях проведених на людині показано, що фізичні вправи підвищують імунобіологічні властивості крові і шкіри, а також стійкість до деяких інфекційних захворювань. Крім перерахованого, відбувається поліпшення цілого ряду показників: швидкість рухів може зростати в 1,5 - 2 рази, витривалість - у декілька разів, сила в 1,5 - 3 рази, хвилинний об'єм крові під час роботи в 2 - 3 рази, поглинання кисню в 1 хвилину під час роботи - в 1,5 - 2 рази і т.д [2].

Велике значення фізичних вправ полягає в тому, що вони підвищують стійкість організму по відношенню до дії цілого ряду різних несприятливих факторів. Наприклад, таких як знижений атмосферний тиск, перегрів, деякі отрути, радіація і ін У спеціальних дослідах на тваринах було показано, що пацюки, яких щодня по 1 - 2 години тренували плаванням, бігом або висения на тонкому жердині, після опромінення рентгенівськими променями виживали в більшому відсотку випадків. При повторному опроміненні малими дозами 15% нетренованих щурів гинуло вже після сумарної дози 600 рентген, а той же відсоток тренованих - після дози 2400 рентген. Фізичні вправи підвищують стійкість організму мишей після пересадки їм ракових пухлин [4].

Стреси роблять на організм найсильніша руйнівну дію. Позитивні емоції навпаки сприяють нормалізації багатьох функцій. Фізичні вправи сприяють збереженню бадьорості і життєрадісності. Фізичне навантаження має сильний антистресовим дією. Від неправильного способу життя або просто з часом в організмі можуть накопичуватися шкідливі речовини, так звані шлаки. Кисле середовище, яка утворюється в організмі під час істотного фізичного навантаження окисляє шлаки до нешкідливих з'єднань, а потім вони з легкістю виводяться.

Як бачите, благотворний вплив фізичного навантаження на людський організм справді безмежний! Це і зрозуміло. Адже людина спочатку була розрахована природою на підвищену рухову активність. Знижена активність веде до багатьох порушень і передчасного в'янення організму! Здавалося б грамотно організовані фізупражненія повинні принести нам особливо вражаючі результати. Однак, чомусь ми не помічаємо, щоб спортсмени жили набагато довше звичайних людей. Шведські вчені відзначають, що лижники їхньої країни живуть на 4 роки (в середньому) довше простих людей. Також часто можна почути поради типу: частіше відпочивайте, трохи менше напружуйтеся, побільше спите й т.п. [5]

1.3 Фізіологічні основи оздоровчої фізичної культури

хатха йога фізична культура

Оздоровчий і профілактичний ефект масової фізичної культури нерозривно пов'язаний з підвищеною фізичною активністю, посиленням функцій опорно-рухового апарату, активізацією обміну речовин. Вчення Р. Могендовіча про моторно-вісцеральних рефлексах показало взаємозв'язок діяльності рухового апарату, скелетних м'язів і вегетативних органів. В результаті недостатньої рухової активності в організмі людини порушуються нервово-рефлекторні зв'язки, закладені природою і закріплені в процесі важкої фізичної праці, що призводить до розладу регуляції діяльності серцево-судинної та інших систем, порушення обміну речовин і розвитку дегенеративних захворювань (атеросклероз та ін) [4]. Для нормального функціонування людського організму і збереження здоров'я необхідна певна "доза" рухової активності. У зв'язку з цим виникає питання про так звану звичної рухової активності, тобто діяльності, що виконується в процесі повсякденної професійної праці і в побуті. Найбільш адекватним виразом кількості проведеної м'язової роботи є величина енерговитрат. Мінімальна величина добових енерговитрат, необхідних для нормальної життєдіяльності організму, складає 12-16 МДж (в залежності від віку, статі та маси тіла), що відповідає 2880-3840 ккал. З них на м'язову діяльність повинно витрачатися не менше 5,0-9,0 МДж (1200 - 1900 ккал), решта енерговитрати забезпечують підтримку життєдіяльності організму в стані спокою, нормальну діяльність систем дихання і кровообігу, обмінні процеси і т.д. ( енергія основного обміну). В економічно розвинених країнах за останні 100 років питома вага м'язової роботи як генератора енергії, використовуваної людиною, скоротився майже в 200 разів, що привело до зниження енерговитрат на м'язову діяльність (робочий обмін) в середньому до 3,5 МДж. Дефіцит енерговитрат, необхідних для нормальної життєдіяльності організму, склав, таким чином, близько 2,0-3,0 МДж (500-750 ккал) на добу. Інтенсивність праці в умовах сучасного виробництва не перевищує 2-3 ккал/хв, що в 3 рази нижче порогової величини (7,5 ккал/хв) забезпечує оздоровчий і профілактичний ефект. У зв'язку з цим для компенсації недоліку енерговитрат в процесі трудової діяльності сучасній людині необхідно виконувати фізичні вправи з витратою енергії не менше 350-500 ккал на добу (або 2000-3000 ккал на тиждень). За даними Беккера, в даний час тільки 20% населення економічно розвинених країн займаються достатньо інтенсивним фізичним тренуванням, що забезпечує необхідний мінімум енерговитрат, у інших 80% добова витрата енергії значно нижче рівня, необхідного для підтримки стабільного здоров'я [6].

Різке обмеження рухової активності в останні десятиліття привело до зниження функціональних можливостей людей середнього віку. Так, наприклад, величина МПК у здорових чоловіків знизилася приблизно з 45,0 до 36,0 мл/кг. Таким чином, у більшої частини сучасного населення економічно розвинених країн виникла реальна небезпека розвитку гіпокінезії. Синдром, або гіпокінетичній хвороба, є комплекс функціональних і органічних змін і хворобливих симптомів, які розвиваються в результаті неузгодженості діяльності окремих систем і організму в цілому із зовнішнім середовищем. В основі патогенезу цього стану лежать порушення енергетичного і пластичного обміну (перш за все в м'язовій системі). Механізм захисної дії інтенсивних фізичних вправ закладений в генетичному коді людського організму. Скелетні м'язи, в середньому становлять 40% маси тіла (у чоловіків), генетично запрограмовані природою на важку фізичну роботу [7]. «Рухова активність належить до числа основних факторів, що визначають рівень обмінних процесів організму і стан його кісткової, м'язової і серцево-судинної систем», - писав академік В.В. Парін (1969) [5]. М'язи людини є могутнім генератором енергії. Вони посилають сильний потік нервових імпульсів для полдержанія оптимального тонусу ЦНС, полегшують рух венозної крові по судинах до серця («м'язовий насос»), створюють необхідну напругу для нормального функціонування рухового апарату. Згідно з «енергетичному правилу скелетних м'язів» І.А. Аршавського [2], енергетичний потенціал організму і функціональний стан всіх органів і систем залежить від характеру діяльності скелетних м'язів. Чим інтенсивніше рухова діяльність у межах оптимальної зони, тим повніше реалізується генетична програма і збільшуються енергетичний потенціал, функціональні ресурси організму і тривалість життя. Розрізняють загальний і спеціальний ефект фізичних вправ, а також їх опосередкований вплив на чинники ризику. Найбільш загальний ефект тренування полягає у витраті енергії, прямо пропорційній тривалості і інтенсивності м'язової діяльності, що дозволяє компенсувати дефіцит енерговитрат. Важливе значення має також підвищення стійкості організму до дії несприятливих факторів зовнішнього середовища: стресових ситуацій, високих і низьких температур, радіації, травм, гіпоксії. В результаті підвищення неспецифічного імунітету підвищується і стійкість до простудних захворювань. Проте використання граничних тренувальних навантажень, необхідних у великому спорті для досягнення «піку» спортивної форми, нерідко призводить до протилежного ефекту - пригнічення імунітету і підвищенню сприйнятливості до інфекційних захворювань [8].

Негативний аналогічний ефект може бути отриманий і при заняттях масовою фізичною культурою з надмірним збільшенням навантаження. Спеціальний ефект оздоровчого тренування пов'язаний з підвищенням функціональних можливостей серцево-судинної системи. Він полягає в економізації роботи серця в стані спокою і підвищенні резервних можливостей апарату кровообігу при м'язовій діяльності. Один з найважливіших ефектів фізичного тренування - вправа частоти серцевих скорочень у спокої (брадикардія) як прояв економізації серцевої діяльності і нижчої потреби міокарда в кисні. Збільшення тривалості фази діастоли (розслаблення) забезпечує більший кровотік і краще постачання серцевого м'яза киснем. У осіб з брадикардією випадки захворювання ІХС виявлені значно рідше, ніж у людей з частим пульсом. Вважається, що збільшення частоти серцевих скорочень в спокої на 15 уд/мин підвищує ризик раптової смерті від інфаркту на 70% - така ж закономірність спостерігається і при м'язовій діяльності. При виконанні стандартної навантаження на велоергометрі у тренованих чоловіків об'єм коронарного кровотоку майже в 2 рази менше, ніж у нетренованих (140 проти 260 мл/хв на 100 г тканини міокарда), відповідно в 2 рази менше і потребу міокарда в кисні (20 проти 40 мл/хв на 100 г тканини) [9].

Таким чином, із зростанням рівня тренованості потреба міокарда в кисні знижується як в стані спокою, так і при субмаксимальних навантаженнях, що свідчить про економізацію серцевої діяльності.

Ця обставина є фізіологічним обгрунтуванням необхідності адекватного фізичного тренування для хворих ІКС, оскільки у міру зростання тренованості і зниження потреби міокарда в кисні підвищується рівень порогового навантаження, яку випробуваний може виконати без загрози ішемії міокарда і нападу стенокардії. Найбільш виражено підвищення резервних можливостей апарату кровообігу при напруженій м'язовій діяльності: збільшення максимальної частоти серцевих скорочень, систолічного і хвилинного об'єму крові, артеріовенозноїрізниці по кисню, зниження загального периферичного судинного опору (ЗПСО), що полегшує механічну роботу серця і збільшує його продуктивність. Оцінка функціональних резервів системи кровообігу при граничних фізичних навантаженнях у осіб з різним рівнем фізичного стану показує: люди з середнім РФС (і нижче середнього) володіють мінімальними функціональними можливостями, що межують з патологією, їх фізична працездатність нижче 75% ММПК. Навпаки, добре треновані фізкультурники з високим РФС по всіх параметрах відповідають критеріям фізіологічного здоров'я, їх фізична працездатність досягає оптимальних величин або ж перевищує їх (100% ММПК і більше, або 3 Вт/кг і більше) [10]. Адаптація периферичної ланки кровообігу зводиться до збільшення м'язового кровотоку при граничних навантаженнях (максимально в 100 разів), артеріовенозної різниці по кисню, щільності капілярного русла в працюючих м'язах, зростанню концентрації міоглобіну і підвищенню активності окислювальних ферментів.

Захисну роль у профілактиці серцево-судинних захворювань грає також підвищення фібринолітичної активності крові при оздоровчому тренуванні (максимум в 6 разів) і зниження тонусу симпатичної нервової системи. В результаті знижується реакція на нейрогормони в умовах емоційної напруги, тобто підвищується стійкість організму до стресорні впливів. Крім вираженого збільшення резервних можливостей організму під впливом оздоровчого тренування надзвичайно важливий також її профілактичний ефект, пов'язаний з опосередкованим впливом на чинники ризику серцево-судинних захворювань [11].

Із зростанням тренованості (у міру підвищення рівня фізичної працездатності) спостерігається виразне зниження всіх основних чинників ризику - вмісту холестерину в крові, артеріального тиску і маси тіла. Б.А. Пирогова (1985) в своїх спостереженнях показала: у міру зростання РФС вміст холестерину в крові знизився з 280 до 210 мг, а тригліцеридів з 168 до 150 мг%. У будь-якому віці за допомогою тренування можна підвищити аеробні можливості і рівень витривалості - показники біологічного віку організму і його життєздатності. Наприклад, у добре тренованих бігунів середнього віку максимально можлива ЧСС приблизно на 10 уд/хв більше, ніж у непідготовлених. Такі фізичні вправи, як ходьба, біг (по 3 год. у тиждень), вже через 10-12 тижнів приводять до збільшення МПК на 10-15%. Таким чином, оздоровчий ефект занять масовою фізичною культурою пов'язаний перш за все з підвищенням аеробних можливостей організму, рівня загальної витривалості і фізичної працездатності. Підвищення фізичної працездатності супроводжується профілактичним ефектом відносно чинників ризику серцево-судинних захворювань: зниженням ваги тіла і жирової маси, вміст холестерину і тригліцеридів у крові, зменшенням ЛИП і збільшенням ЛВП, зниженням артеріального тиску і частоти серцевих скорочень. Крім того, регулярне фізичне тренування дозволяє в значній мірі загальмувати розвиток вікових інволюційних змін фізіологічних функцій, а також дегенеративних змін різних органів і систем (включаючи затримку і зворотний розвиток атеросклерозу) [12]. У цьому сенсі не є виключенням і кістково-м'язова система. Виконання фізичних вправ позитивно впливає на всі ланки рухового апарату, перешкоджаючи розвитку дегенеративних змін, пов'язаних з віком і гіподинамією. Підвищується мінералізація кісткової тканини і зміст кальцію в організмі, що перешкоджає розвитку остеопорозу. Збільшується притока лімфи до суглобових хрящів і міжхребцевих дисків, що є кращим засобом профілактики артрозу і остеохондрозу. Всі ці дані свідчать про неоціненний позитивний вплив занять оздоровчою фізичною культурою на організм людини [13].

Охорона власного здоров'я - це безпосередній обов'язок кожного, він не має права перекладати її на навколишніх. Адже нерідко буває й так, що людина неправильним способом життя, шкідливими звичками, гіподинамії, переїданням вже до 20-30 років доводить себе до катастрофічного стану й лише тоді згадує про медицину [5].

Якою б досконалою не була медицина, вона не може позбавити кожного від усіх хвороб. Людина - сам творець свого здоров'я, за яке треба боротися. З раннього віку необхідно вести активний спосіб життя, гартуватися, займатися фізкультурою і спортом, дотримуватися правил особистої гігієни, - словом, домагатися розумними шляхами справжньої гармонії здоров'я. Цілісність людської особистості виявляється, насамперед, у взаємозв'язку і взаємодії психічних і фізичних сил організму. Гармонія психофізичних сил організму підвищує резерви здоров'я, створює умови для творчого самовираження в різних сферах нашого життя. Активний і здорова людина надовго зберігає молодість, продовжуючи творчу діяльність. Здоровий спосіб життя включає в себе наступні основні елементи: плідна праця, раціональний режим праці і відпочинку, викорінювання шкідливих звичок, оптимальний руховий режим, особисту гігієну, загартовування, раціональне харчування тощо [14].

Здоров'я - це перша і найважливіша потреба людини, яка визначає здатність його до праці та забезпечує гармонійний розвиток особистості. Тому значення рухової активності в життєдіяльності людей відіграє значиму роль [15].

1.4 Загальна характеристка Хатха-йоги

Прямий переклад санскритського слова "хатха" - сила, міць; зусилля, напруга, натуги; насильство, примус, необхідність.

"Йога" - упряжка; збруя, узда; застосування; засіб, прийом, прийом; магія, чари; зв'язок, взаємозумовленість з чим-небудь; придбання, виграш; робота, старанність, старанність; зосередження, роздум, споглядання; етимологія, структурний походження; правило; узгодження, управління, контроль [16].

Я навмисно не наводжу ніяких варіантів перекладу поєднання "хатха-йога". Пропоную читачеві самостійно підібрати варіант, найбільш відповідний його власного розуміння.

Хатха-йога не є Шлях, бо жодним чином не веде до розвитку сердечності. Хатха-йога не має Серця. Всякий же Шлях без Серця не є істинний Шлях.

Хатха-йога є технологія інтегрального удосконалення комплексу інструментів, за допомогою використання яких усвідомлює істота рухається по Шляху усвідомлення. Те, куди воно рухається і навіщо, визначається його індивідуальним вибором і ніяк від практики хатха-йоги не залежить. Технологічна тренувальна практика не може бути чинником, що визначає релігійну, культурну і соціально-ієрархічну приналежність індивіда. Навпаки, релігійна, культурна і соціально-ієрархічна належність індивіда в більшості випадків є тими факторами, які визначають характер застосування ним технологічної тренувальної практики як інструментального засобу. Серед видатних йогинов минулого і нинішнього століття були і є як індуїсти і християни, так і буддисти, даоси, і навіть наукові атеїсти, а також ті, хто не взагалі ні в що, крім фактів безпосереднього сприйняття [17].

З багатьох технологій інтегрального вдосконалення хатха-йога може бути віднесена до розряду відрізняються найбільшою ефективністю в освоєнні мистецтва володіння органічним тілом, мистецтва накопичення та перерозподілу енергії в усіх компонентах індивідуальної енергетичної структури, мистецтва набуття контролю над Силою і управління наміром допомогою волі. Можливо, саме хатха-йога в стародавні часи використовувалася як одна з вищих щаблів в техніці загальнофізичної та общеенергетіческой підготовки добірних воїнів - воїнів-магів, чия участь у бойових діях часто ставало вирішальним чинником, бо вони не тільки досконало вміли модулювати психологічний настрій як своїх , так і ворожих солдатів, але також володіли особливим військовим мистецтвом - за допомогою вольових маніпуляцій наміром вони могли формувати ситуації, що приводили до несподіваного збігу абсолютно випадкових і непередбачуваних, але тим не менш фатальних для супротивника, об'єктивних обставин [18].

Послідовна коректна практика хатха-йоги призводить до накопичення і концентрації величезної кількості енергії на всіх рівнях енергетичної структури людської істоти. "Застійна консервація" цієї енергії руйнівна. Енергія накопичується і концентрується для того, щоб бути використаною. Потік життя - потік безперервно відбуваються з нами змін. Чим більше в нашому розпорядженні енергії, тим значніше зміни. Те, змінюємося ми в напрямку розвитку, свободи і усвідомлення або ж у напрямку деградації, закріпачення і автоматизму, залежить не від кількості енергії, наявної в наявності в системі нашої енергетичної структури, і навіть не від того, якою мірою процеси її перерозподілу підконтрольні нашої волі, а перш за все від того, куди і як ми цю енергію вкладаємо або не вкладаємо в процесі проживання своєї особистої долі.

Формули контролю - правила і обмеження, сформульовані в зводі принципів ями і ніями - покликані в міру можливості охоронити практикуючого хатха-йогу від смертельного дихання вийшов з-під влади волі вихору Сили, гіперконцентрірованной за рахунок практики. Але далеко не у всіх випадках формул контролю виявляється достатньо. Енергія накопичується і концентрується для того, щоб бути вкладеною в рух - рух по Шляху. Шлях - це життя. Що людина робить зі своїм життям, залежить тільки від нього самого. Більш того, за великим рахунком, формули контролю в дійсності такими не є. Принципи ями і ніями - не звід абстрактних правил, а опис того, яким стає спосіб життя людини внаслідок практики йогичеськіх тренувальних технік. Якщо практикуючий в якийсь момент не приведе свій спосіб життя у сувору відповідність до сформульованими в правилах ями і ніями принципами, він просто не виживе. Хатха-йога, вірніше, накопичена в результаті її практики енергія, вб'є його [19].

Обумовлена практикою концентрація енергії в структурі людської істоти призводить до посилення всіх її властивостей. Всі прояви людини набувають гіпертрофований характер. Хатха-йогин всередині себе стикається з самим собою - таким, яким він є, з усіма своїми достоїнствами, недоліками і проблемами - але "посиленим" у багато разів порівняно зі станом звичайного середнього людини, хатха-йогу не практикує. І те, що він з таким собою буде робити - чи зуміє впоратися з твариною автоматизмом в собі і розвинути якості усвідомлюючого істоти - залежить від його здатності тверезо і відчужено поглянути на самого себе, відокремити в собі людське від звіриного і свідомо перерозподілити енергію так, щоб вкладення її в процес життя - в процес просування по Шляху - призвело не до деградації, а до розвитку - еволюційного руху свідомості від тваринного стану до власне людському. Це - битва, бо такий ультимативний виклик, який вирішується кинути самому собі той, хто вступає на стежку хатха-йоги. Небезпека деградації велика - в нас ще надто сильними могутні тварини ментальні програми, що виражаються в безлічі хвилюють нас суперечливих бажань. Гранична відчуженість і повнота контролю необхідні для того, щоб з ними впоратися. Хатха-йога дає і контроль, і відчуженість. Але це - жорстокий контроль бездоганно налагодженого механізму і холодна байдужа відчуженість вийшов на полювання хижака. Щоб використовувати їх "навпаки" - для позбавлення себе від диктату сидить у кожному з нас звіра, потрібно щось ще. Це "щось ще" - найголовніше, те, що перетворює наше життя у Шлях. Я назву це найголовніше "щось ще" Серцем або Любов'ю, бо інші слова для позначення цього мені не відомі. Точно так само, як не відомо мені, звідки це береться і на що схоже ... Просто виникає і виявляється існуючим і не піддається ні висловом, ні опису якими б то не було засобами [20].

Отже, хатха-йога не є Шлях, але лише технологія забезпечення нашого просування по Шляху відчужено і бездоганно контрольованої енергією. Те, на що ми витратимо цю енергію, не залежить від тренувальних алгоритмів хатха-йоги. Це залежить тільки від того вибору самих себе, який ми робимо в кожну мить свого життя. Використовуючи енергію і рівень володіння інформацією про сутність пристрої Миру, що даються практикою хатха-йоги, кожен їх нас може з однаковим успіхом як на десятиліття зберегти силу і молодість, так і прикінчити себе протягом декількох місяців, як перетворитися на повністю усвідомлює себе вільного бога, так і стати скутим "вбудованими" ментальними програмами до стану зомбі-автоматизму жорстоким самовдоволеним хтивим тваринам, що володіє дивовижними силами і здатним зруйнувати будь-які перешкоди на шляху до реалізації бажань і пристрастей, "надиктованих" йому "постачальниками" програм. Це - крайнощі, для їх досягнення успішність практики хатха-йоги повинна бути максимальною. Між ними - вельми багатий спектр станів. Де на цій шкалі опинимося ми, повністю залежить від того, в якій мірі у своєму щомиті виборі самих себе ми звіряємося з Серцем нашого життєвого Шляху, і взагалі, є наше життя Шляхом або це просто байдуже животіння в очікуванні смерті, тобто чи є в ній Серце як таке [21].

У літературі з йоги є декілька заслуговуючих довіри текстів з хатха-йоги. Серед них одним з найбільш відомих є «Хатха-йога прадіпіка». Інший текст, написаний йогом Горакхнатхом, відомий як «Горакша Самхита». Ще один текст, «Гхеранда Самхита», написаний великим мудрецем Гхеранда. Крім вищезазначених мається і четвертий основний текст, відомий під назвою «Хатхаратнавалі», який був написаний багато пізніше Шрінівасабхаттой Махайогіндрой. Вважається, що всі ці тексти були написані між шостим і п'ятнадцятим століттями нашої ери [15].

Деякі згадки про хатха-йогу є також в древніх Упанішадах і пуранах. Упанішади датуються часом, попереднім буддистскому періоду, який почався приблизно в шостому столітті до нашої ери. Наведені в них згадки про хатха-йогу свідчать, що хатха-йога була відома набагато раніше цього періоду. Є ще один дуже важливий текст, відомий як «Шрімад Бхагават» - історія Крішни. У цьому об'ємній праці в декількох главах зустрічаються згадки про хатха-йогу.

Ознаки знань про хатха-йогу були виявлені також в до-Колумбовой культурі обох Америк. Навіть зараз в Сан-Огустін, що знаходиться на півдні Колумбії, є великі кам'яні статуї і фрагменти різьблення, в яких можна побачити елементи практик хатха-йоги. І все ж систематична дисципліна хатха-йоги почала формуватися в Індії приблизно в шостому столітті нашої ери [22].

Це лише деякі уявлення про історичні аспекти хатха-йоги. Протягом століть ці книги були практичними керівництвами духовних шукачів. На основі хатха-йоги в Індії, Непалі і Тибеті виникло також безліч філософських і практичних напрямків.

У чому ж основна тема цих книг? У тому чи, щоб зберігати тіло молодим, або в тому, щоб придбати духовні чи психічні здібності (сіддхі), або в тому, щоб розвинути в собі здатність до пробудження потенційної енергії (кундаліні) і досягти вищого стану свідомості (самадхи)? Коли ми більш ретельно проаналізуємо ці тексти, їх мета стане більш ясною [23].

У стародавні часи хатха-йога практикувалася протягом багатьох років в якості підготовки до досягнення більш високих станів свідомості. Сьогодні, однак, справжня мета цієї великої науки повністю забута. Практики хатха-йоги, які були розроблені провидцями і мудрецями давнини для еволюції людства, розуміються і використовуються в даний час в дуже обмеженому сенсі. Ми часто чуємо від людей: «О, я не практикую медитацію, я практикую тільки фізичну йогу, хатха-йогу». Прийшов час відкоригувати подібні погляди. Хатха-йога - дуже важлива наука для сучасної людини [24].

До шостого століття нашої ери в Індії вже протягом багатьох століть існувало безліч напрямків і підходів до духовної еволюції. У шостому столітті до нашої ери в Індії народилися два великих людини. Один з них відомий по всьому світу як Будда, а інший - Махавіра, засновник філософії джайнів, однією з традицій індійської культури. Обидва вони дотримувалися суворого аскетизму і обидва проповідували «ненасильство», ахімси.

У кінцевому рахунку Будда сформулював своє вчення, яке відоме як «Чотири благородні істини». В даний час в світі широко поширені дві системи буддизму. Одна з них відома як випассана, а інша як анапанасаті, «споглядання, медитація». Для цих напрямків Будда виклав основні положення, звані «восьмеричного шляхом». Вони являють собою систему етичних норм, більш-менш подібних ямі і ніями раджа-йоги [25].

Внаслідок популярності буддизму медитація стала основною формою духовної практики цілого субконтиненту. Підготовчі практики, однак, були проігноровані. Етиці та моралі було приділено гіпертрофовано велика увага в збиток іншим елементам вчення Будди. Саме в наш час мислителі Індії починають заново оцінювати систему Будди. Індійці вважають, що медитація дійсно є вищим шляхом, але вони не згодні з буддистами в одному моменті - що людина може негайно почати з медитацій. Вони вважають, що потрібно спочатку підготувати себе.

Через п'ять сторіч після Будди і за сто років до Христа в Наланда, штат Біхар, Індія, був заснований великий університет, присвячений системі хинаяна буддійської традиції. Хінаяна означає «вузький шлях або мала колісниця», тобто являє собою ортодоксальну систему буддизму. Сюди приходили вивчати релігійні дисципліни учні зі всього відомого тоді світу [26].

Серед буддистів, однак, була й інша група послідовників Будди, яка не погоджувалася з ортодоксальної інтерпретацією його вчення. Вони вважали, що сам Будда не проповідував цього. Тому вони заснували інший університет, званий «Вік-рам Шила», у восьми милях на схід від Мунгера, штат Біхар, і цей університет став навчальним центром традиції махаяна. Махаючи-на означає «великий шлях або велика колісниця». Тут було більше лібералізму і більша відкритість розуму. Це був не ортодоксальний буддизм, а ліберальний. В традицію махаяни включили також і тантру, яку Будда безпосередньо не проповідував, тому ортодоксальні буддисти не вірили в неї. З напряму університету Вікрам Шила виникли напрямки са-хаджаяна, «спонтанний шлях», і ваджраяна, які включають в себе сексуальні відносини між чоловіком і жінкою. У силу цього практики цих тантричних напрямків дуже неправильно сприйняті і спотворювалися послідовниками ортодоксального напрямку [25].

Потім, через п'ять сотень років або близько того, популярність і вплив буддизму зменшилися; те ж саме відбувалося з цими тантрическими напрямками та їх практиками. Після тривалого періоду занепаду буддизму, в четвертому, п'ятому та шостому століттях нашої ери деякі великі йоги сприйняли і взяли на озброєння цю науку і взялися очистити тантричного систему. Матс-ендранатх, Горакхнатх і деякі інші традиційні йоги виявили, що ця важлива наука ігнорувалася серйозно налаштованими людьми, а інші неправильно сприймали її при навчанні. Тому вони відокремили практики «хатха-йога» і «раджа-йога» від решти тантричних практик, залишаючись при цьому поза ритуалів цілісної тантри і навіть не згадуючи про них [20].

Коли вони займалися збиранням практик, вони вибрали з тантричної системи корисні, практичні і високі практики йоги. До цього часу вони зіткнулися з необхідністю класифікації деяких некласифікованих інструкцій тантри.

Хоч сам Будда і був великою особистістю, його вчення згодом стало нагадувати щось ніби психологічних експериментів. Тому стало необхідним відтворити правильну систему медитації. Саме так була заснована система хатха-йоги. Саме в цей час Матсіендранатх заснував культ Натх, згідно з яким вважалося, що, перш ніж взятися за практики медитації, практикуючий повинен очистити тіло і його елементи. Якраз це і є предметом хатха-йоги [21].

Серед багатьох авторитетів з хатха-йоги однією з видатних особистостей є Сватмарама, який склав праця «Хатха-йога прадіпіка». Ця назва може бути перекладено як «Прояснення хатха-йоги». Термін прадіпіка, однак, означає насправді «самоосвещающій» або «те, що освітлює». Це текст, який висвітлює для шукаючих безліч фізичних, ментальних і духовних проблем. Головний послідовник Матсіенд-ранатха, Горакхнатх, вже мав до цього книги по системі йоги, написані у віршах і в прозі на місцевому діалекті, але Сватмарама зібрав всю мудрість щодо хатха-йоги на санскриті. На основі цих та інших текстів він виклав такі техніки, як асана, пранаяма і шаткарми [18].

Цінність книги «Хатха-йога прадіпіка» полягає в тому, що вона вирішує дуже важливу проблему для кожного шукаючого. Сватмарама повністю усунув яму (моральні установки) і ні-яму (самообмеження), які є стартовими моментами систем буддизму і джайнізму, а також раджа-йогу Патанджа-ли.

Патанджалі був сучасником Будди, і його система йоги справила вплив на буддійську філософію ями і ніями. У своєму трактаті «Йога-сутра» він розділив раджа-йогу на вісім кроків. Яма та ніяма є першими двома кроками, за ними слідують асана і пранаяма. Іншими чотирма кроками є Прат-яхара, дхарана, дхьяна і самадхи. Патанджалі стверджує, що спочатку ви повинні удосконалювати яму і ніями, інакше асана і пранаяма можуть не дати бажаних результатів [20].

Що таке яма і ніяма? Самоконтроль, правила поведінки і ритуали; правдивість, ненасильство, безшлюбність, відмова від крадіжок, користолюбства і честолюбства, зовнішня і внутрішня чистота, задоволеність наявними - ось деякі з правил. Автори текстів з хатха-йоги, проте, і в їх числі Сватмарама, дуже добре розуміли практичні труднощі, з якими зустрінеться кожна людина у відношенні ями і ніями. Більш того, яма і ніяма мають більше відношення до релігії, ніж до духовного життя людини.

Досвід вчить нас, що для того, щоб практикувати яму і ніями, дисципліну і самоконтроль, потрібно володіти деяким якістю розуму. Багато разів ми спостерігаємо, що, коли ми намагаємося практикувати самоконтроль і дисципліну, ми породжуємо в нашому розумі і особистості ще більше проблем. Якщо ви візьмете статистику по пацієнтам лікарень для душевнохворих, то виявите, що більшість з них були людьми релігійними, тому що самодисципліна і самоконтроль розщеплюють особистість. Тому, перш ніж намагатися практикувати самодисципліну і самоконтроль, ви повинні підготувати себе для цього [16].

Якщо в особистості не досягнута гармонія, то самоконтроль і самодисципліна створять ще більший конфлікт, а не спокій розуму. Тому всіх людей підряд не слід навчати принципам подвійності, протиставлення протилежностей. Як філософські та релігійні принципи вони завжди викладаються, але з духовної точки зору вони безжально зазнають поразки в спробах допомогти людині, коли він зустрічається з дилемами у своєму власному розвитку.

У книзі «Хатха-йога прадіпіка» ми насамперед бачимо, що Сватмарама зовсім не турбується про самоконтроль і самодисципліну у формі ями і ніями. Пріоритет тут зовсім інший. Він починає з того, що перш за все ви повинні очистити все тіло - шлунок, кишечник, нервову та інші системи. Отже, спочатку йде шаткарми, а саме, нети, дхоуті, басті, капалабха-ти, Тратак і Наулі. Хатха-йога починається з цього [18].

Одна шаткарми, однак, не становить всю хатха-йогу. Після неї ви повинні практикувати асану і пранаяму. Самоконтроль і самодисципліна повинні починатися з тіла. Це багато легше. Асана - це дисципліна; пранаяма - це дисципліна; кумбхака (затримка дихання) - це самоконтроль. Посидьте в Падмасане (поза лотоса) протягом п'ятнадцяти хвилин. Це самодисципліна. Чому ви спочатку воюєте з розумом? У вас немає сил боротися з розумом, і все ж ви воюєте з ним, тим самим створюючи уявний шаблон ворожості по відношенню до самого себе [17].

Немає ніяких двох розумів, один з яких хоче подолати дисципліну, а іншого - зберегти її. Це не два розуму, це один розум, який намагається розщепити себе на дві частини. Подібне розщеплення ви можете виявити у всьому. Коли це розщеплення стає більше, ми називаємо його шизофренією.

Цю небезпеку ясно уявляли собі авторитети і вчителі хатха-йоги. Тому вони стверджували, що перш за все слід дисциплінувати тіло. Вони пояснювали, що вони мали на увазі, говорячи про тіло. Повинні бути очищені тонкі елементи (таттва) і енергетичні канали (наді) тіла. Стан і функціонування життєвої сили (прани), всієї нервової системи і різних органів внутрішньої секреції повинні підтримуватися і гармонізуватися [18].

Після цього ви можете переходити до практикування мудрий зразок ваджролі, сахаджолі, Кхечарі, шамбхаві, віпаріт карані та інших. Таким чином можна буде виробити в собі здатність до глибокої медитації. Ці практики сприяють Пратьяхара і ведуть до дхаране, дхьяна і самадхи.

Щоб очистити розум, тіло необхідно піддати процесу абсолютного очищення. Хатха-йога відома також як наука очищення. І не просто очищення, а шести різних типів очищення. Тіло повинне бути очищене шістьма різними способами від шести забруднень. Коли тіло очищається від цих забруднень, наді починають функціонувати і енергетичні блоки зникають. Тоді енергії починають рухатися як хвильові частоти по каналах усередині фізичної структури і доходять прямо до мозку [21].

Тому хатха-йога вважається початковою практикою тантри, раджа-йоги, кундаліні-йоги і крійя-йоги. Коли ріші відкрили науку хатха-йоги, вони не думали про йога-терапії. Хоча йога довела свою ефективність в ізлечіванію безлічі важких і невиліковних захворювань, лікувальні властивості йоги - всього лише випадковий побічний продукт.

Головне призначення хатха-йоги - створення абсолютного балансу взаємодії і процесів фізичного тіла, розуму і енергії. Коли такий баланс існує, народжуються імпульси, які пробуджують центральну силу {сушумна наді), яка відповідає за розвиток людської свідомості. Якщо хатха-йога практикується для інших цілей, її головне призначення втрачається.

Щоб внести ясність у це предмет, його позначили терміном «хатха», тобто ха і тха йога, комбінація двох біджа мантр. У хатха-йоги пояснюється, що тха - це прана, сила життя, аха - розум, ментальна енергія. Таким чином, хатха-йога означає союз пранічному і ментальної сил. Коли пранічному і ментальна сили об'єднуються, в людині відбувається велика подія. Це пробудження вищої свідомості [19].

Прана шакті, життєва сила, і манас шакті, ментальна сила, - це два фундаментальних творця. Будь-який об'єкт у всесвіті, від найдрібнішого атома до зірок-гігантів, складається з цих двох шакті, або енергій. Коли вони взаємодіють один з одним, коли відбувається гра цих двох шакті, тоді виникає творіння.

Коли ці шакті відокремлені один від одного або розчиняються в джерелі, тоді творіння зникає. Це велика пралайя, тобто абсолютне руйнування матерії. Сучасна фізика підтверджує цю теорію [18].

Вся матерія у всесвіті жива. Це перше правило. Вона також володіє свідомістю. Це друге правило. Отже, все має потенційним свідомістю і все живе. У йозі життя і свідомість відомі як пракріті і пуруша, в тантре - як шакті і Шива. У хатха-йоги вони називаються іда і пінгала, в даосизмі - інь і ян, а у фізиці - матерія та енергія. У різні часи і в різних традиціях їм давали різні імена. Наше фізичне тіло, як ми його бачимо, є грубим сприйняттям. Якщо поглянути на нього духовним зором або скористатися спеціальним електронним обладнанням, можливо, ви побачите, що воно має тонкого двійника.

Що відбувається всередині, коли ви починаєте думати? Якщо ви ніколи раніше про це не замислювалися, будь ласка, спробуйте прямо зараз. Що є думка? Що відбувається всередині нас, коли думка формується, коли вона зникає, коли одна думка змінює іншу, або коли вони заважають один одному? Це називається грою шакті [20].

У хатха-йоги існує поняття гармонізації двох різновидів шакті, або енергії, в людині, тому що зазвичай вони залишаються в незбалансованою і негармонізованої формі. Іноді домінує пранічному шакті, пригнічуючи ментальну шакті, в інших випадках домінуючою є ментальна шакті. Внаслідок цього дисбалансу або мають місце фізичні хвороби, або в більшій мірі проявляються ментальні захворювання. Коли прана підпорядкована ментальної шакті, людей тягне до припадків божевілля. Вони більшою мірою стають клієнтами клінік і притулків для душевнохворих. Це відбувається тому, що у них занадто багато ментальної шакті і занадто мало врівноважує її пранічному шакті. Коли домінуючою є пранічному шакті, а ментальна шакті є підлеглою, люди стають сердитими, сварливі, прагнуть до воєн, скоюють вбивства та інші злочини - загалом, схильні до будь-яких видів насильства. Це вплив незбалансованої пранічному шакті [21].

Тому основна ідея хатха-йоги - створити гармонію між цими двома великими силами, відомими як іда і пінгала. У хатха-йоги перш за все має місце очищення всього механізму тіла, всього фізичного комплексу. Ви завжди повинні мати на увазі, що тіло, розум і дух - це не три різні сутності, а щось єдине. На одному рівні існування ви бачите тіло. На іншому рівні ви сприймаєте це як розум. Ніколи не слід розглядати дух окремо від тіла і тіло окремо від духу. Це єдине ціле.

Основа цього тіла божественна, тому під час практики йоги має місце процес трансмутації фізичних елементів тіла в нефізичні елементи. Матерія перетворюється в енергію і навпаки. Це основоположне поняття. Аналогічним чином це тіло перетворюється в дух, а дух перетворимо в матерію. Це вічна гра майї (сили ілюзії) і творення. Все це має місце з початку часів. Нерозумно тому, коли людина вважає тіло нечистим і не бажає медитувати. Це вельми ненауковий спосіб мислення [18].

З історії відомі випадки - їм можна вірити чи не вірити, - коли великі святі, яким підійшов час залишити це земне існування, перетворювали своє тіло в легкі частинки, а потім повністю зникали. Не залишалося нічого від їх грубого фізичного тіла. Це тіло є не просто плоттю і кров'ю, не просто кістковим мозком і безліччю виділень залоз внутрішньої секреції, а тілесним, явним проявом дуже тонкої шакті, поляризованої у вигляді двох субстанцій: прани і манаса.

Хатха-йога тому в першу чергу піклується про чистоту тіла, і робить вона це шістьма методами. Найважливішим моментом у цій справі є те, що для цілей медитації повинні бути прочищені наді. Наше тіло функціонує «уздовж» дуже тонких ліній. Так само, як і будь-яка машина, наше тіло безперервно виробляє відходи. Це відходи трьох типів: слиз, газ і кислота. Якщо ми час від часу внутрішнім чином очищаємо тіло, то надлишки цих продуктів обміну речовин видаляються, а їх освіту регулюється і балансується. Таким чином можна підтримувати вчинене здоров'я [20].

Саме в цьому сенсі мають величезне значення шаткарми. Звільнення тіла від трьох видів неврівноваженості його систем є важливим аспектом хатха-йоги і терапії. У процесі занять хатха-йогою елементи тренування повинні бути доведені до кожної частини тіла. До носа, до серця, до систем дихання і кровообігу і так далі. Тіло, наприклад, повинна бути звільнена від нестійкого, безладного поведінки серця. Поведінка серця має бути змінено. В якості попередньої практики перед медитаціями необхідно змінити мимовільні реакції серця. В іншому випадку, якщо ви активно медитуєте і під час медитації сконцентрували свою увагу на якій-небудь одній точці, то зміна в роботі серця в цей момент виразно змусить ваше тіло страждати [22].

Крім цього повинна бути натренований і нервова система, тому що вона є носієм імпульсів через канали органів чуття і рухові канали. Для безперервного і безперешкодного протікання енергії через все тіло життєво важливо, щоб були видалені всі блокування, оскільки, якщо цього не зроблено, при виконанні медитацій можуть проявитися всі можливі проблеми, пов'язані з ненормальним функціонуванням організму.

Багато людей, які стикаються з подібними хворобливими відчуттями, кажуть: «У чому справа? Медитація повинна бути наповнена красою і безтурботністю; передбачається, що медитація повинна бути приємною і дуже привабливою; зовсім не передбачається, що вона буде лякаючою, або дратівливою, або беспокоящей. Якщо вона така прекрасна, як квіти, і так безтурботна, як повний місяць, то чому я не сприймаю її такою? »Ось що вони кажуть: Медитація - це блаженство. Це абсолютне блаженство всередині і зовні, за умови правильно проведеного очищення організму [21].

Зустрічаються й інші люди, які кажуть: «О, я особистість духовна. Мене зовсім не цікавить моє фізичне тіло. Хатха-йога всього лише робить ваше тіло одухотвореним ». Що це за нісенітниця? Коли ви «одухотворені» і сідаєте для медитації, то в ті моменти, коли має місце медитація, ви починаєте дуже сильно усвідомлювати своє тіло. Вам, можливо, навіть доведеться сходити до лікаря, оскільки ви не в силах впоратися зі своїм тілом. Трансценденція тіла, вихід за його межі не означає, що ви просто забуваєте про нього. Ви повинні очищати його. Тому для всіх шукаючих в духовній області вельми необхідні ці шість практик, кожна крійя з шести - нети, дхоуті, басті, Наулі, капалабхаті, Тратак.

Таким чином, вищеперелічені практики є основними Крийя хатха-йоги, що призначені для очищення енергетичних систем тіла і для встановлення рівноважного стану між ними. Коли ці системи знаходяться під контролем, ви можете змусити свій розум сфокусуватися в одній точці. Що, в іншому випадку, може статися, якщо ви, наприклад, спробуєте сконцентруватися на колі? Ви почнете витягати з пам'яті слабкий образ кола, але потім він почне змінювати свою форму. Він стає довгастим; він перетворюється на овал; він починає розділятися на частини і перетворюватися в щось зовсім інше. Ви не в змозі сформувати абсолютно стійкий образ кола, тому що природою прани є флуктуація, а властивістю розуму - рух [18].

Прана ніколи не може бути нерухомою. Прана завжди в русі; розум також завжди знаходиться в процесі зміни. Ці дві найвищою мірою мобільні енергії повинні бути приведені у стабільний стан. Ви навряд чи уявляєте собі, як це важко. Концентрація - дуже важка справа. Ви, можливо, скажете, що можете повністю відволіктися від свого тіла, забути про себе, - але це не концентрація. Ви, можливо, зможете з легкістю керувати собою серед видінь, але це не концентрація. Концентрація - це Ненарушаемая осознавание однієї точки протягом тривалого часу - подібно одній прямій лінії, що тягнеться на далеку відстань, вона не переривається, не повертає, не повертається назад, ні з чим не перетинається. Вона безупинна і стабільна. Одна ідея, одна і та ж ідея, ніяких інших ідей, ніяких інших думок. Це концентрація, і вона повинна трапитися сама собою [20].

Дві сили - розум і прана - підтримують ритм життя і свідомості. Це одна стадія еволюції, але людство має вже розвиватися далі. Якщо цивілізація не буде будуватися вздовж ліній еволюції, то людина повинна буде стикнутися з лихом, смертю і абсолютним вимиранням. Не можна відмовитися від еволюції.

У всесвіті все еволюціонує, навіть каміння. Якщо метаморфоза має місце в кожній частині світобудови, чому свідомість людини не повинно піддаватися цій метаморфозі? Трансформація є науковим фактом. Це не філософія, не віра, не кредо. Це шлях еволюції, і він надає життю сенс. Наше фізичне тіло постійно піддається різним процесам трансформації, які впливають на кожну молекулу його матеріальної субстанції [17].

Зараз люди починають розуміти, що матерія в її граничній формі являє собою енергію. Тому ми повинні будемо зрозуміти і осмислити, що з себе представляє наше тіло і як далеко може йти його трансформація. Чи може тіло бути перетворене в світлові частинки? Подумайте про це в термінах науки, а не в термінах віри чи переконань, які ви мали (або не мали) до цих пір.

Якщо це тіло може бути піддано метаморфозу, то яким чином? Відповідь - за допомогою йоги. Допомогою процесів йоги тіло може бути приведене в стан такої тонкості і чистоти, що воно трансформується в йогічні тіло, не піддане старінню і хворобам.

Практика хатха-йоги призначена для того, щоб ініціювати в цьому фізичному тілі процес, за допомогою якого могли б бути трансформовані пранічному потоки і ментальні сили, які взаємодіють один з одним в системі життя та існування. Поки фізичні молекули не будуть трансформовані, немає сенсу обговорювати поняття співчуття або цілісності [21].

Перед нами стоїть велике завдання, виклик. Якщо матерія в своїй граничній формі є енергія, то це фізичне тіло може бути трансформовано в щільну енергію за допомогою систематичної практики шести очищаючих технік хатха-йоги. Після цього повинні практикуватися асана і пранаяма.

Одним з важливих моментів, які опускаються коментаторами, є те, що хатха-йога - це не просто єднання прани і розуму. Це фактично означає єднання прани і розуму з вищою «Я». Давайте прояснимо цей момент. У хребетному стовпі знаходяться три основних енергетичних каналу, три наді, відомі як іда, пінгала і сушумна. Слово «Наді» тут не означає нервові волокна. Це не фізичні канали. Наді означає потік, течія - зразок потоку електрики в електричному кабелі. Один дріт несе негативну силу електрики, інший - позитивну. Аналогічним чином в хатха-йозі іда наді являє собою негативну силу, свідомість, пінгала наді являє собою позитивну силу, потік життєвої енергії, і сушумна наді являє собою нейтральну силу, потік духовної енергії [22].

З'єднання цих трьох потоків має місце в аджна чакрі (у міжбрівна центрі). Давайте тому уточнимо буквальне значення поняття «хатха-йога». Коментатори стверджують, що з'єднання іди, Пінгали і сушумни є хатха-йога. Коли це об'єднання має місце, відбувається миттєве пробудження в муладхара чакре, розташованої біля основи хребетного стовпа. Це місцеперебування первинної енергії, або кундаліні шакті. Пробудження кундаліні є основним питанням хатха-йоги. Завдяки практикам, яких навчає хатха-йога, відбувається об'єднання всіх трьох потоків. В результаті цього об'єднання має місце пробудження кундаліні. Коли відбувається подібне пробудження, кундаліні піднімається до більш високих царствам свідомості та обгрунтовується в кінцевому рахунку в сахасрара чакре, розташованої в області верхівки голови.

Коли кундаліні обгрунтовується в сахасрарі, то це називається йогою, а не хатха-йогою. Йога та хатха-йога - не одне і те ж, між ними є різниця. Йога означає об'єднання Шиви (свідомості) і Шакті (енергії). Шакті - це енергія кундаліні; Шива - це вища свідомість, місцеперебуванням якого є сахасрара чакра. Коли в муладхарі біля основи хребта відбувається пробудження, кундаліні починає підніматися [20].

Вона піднімається по сушумні, а не по иде або по Пінгалой. Сушумна - основна магістраль для кундаліні. Кундаліні проходить через різні чакри, іноді стрімко, а іноді дуже повільно. Коли вона об'єднується з Ідой і Пінгалой в аджна чакре, це називається хатха-йогою. Потім, після цього першого об'єднання, вона рухається далі до сахасрара чакре. Тут вона з'єднується з вищою свідомістю, Щівой. Це називається йогою, що означає вищу, граничне, остаточне єднання. Таким чином, граничною метою хатха-йоги є переживання йоги [19].

Пробудження кундаліні - це факт, але багато більш важливим є пробудження сушумни. Ще більш реальним і важливим є пробудження чакр. Люди зовсім не розуміють труднощів цього. Пробудження чакр повинне відбутися в першу чергу тому, що чакри є вузлами, точками з'єднання на шляху проходження енергії. Через чакри енергія, або шакті, розподіляється по 72000 різних каналах.

Якщо чакри функціонують неправильно, якщо в деяких місцях є блокування, то енергія не може проникати в усі необхідні місця. Якщо якесь з електричних з'єднань в проводці вашого будинку несправне, то ви не отримаєте електрики. У всьому будинку може бути дуже багато ланцюгів, не тільки одна або дві. Майже всі з них можуть бути непошкодженими, але якісь основні сполуки, що знаходяться близько основного вимикача, можуть бути несправні. Що тоді буде відбуватися в ланцюзі? Навіть ті сполуки, які є неушкодженими, не будуть в змозі живити відповідні ділянки електрикою. Таким чином, очищення і пробудження чакр має дуже велике значення. Це може бути досягнуто за допомогою практики пранаями [20].

Припустимо, що ви вже очистили наді за допомогою асани і пранаями, а також пробудили чакри за допомогою пранаями і деяких асан, - тоді залишається завдання пробудження сушумни (центрального каналу). Сушумна тече від муладхара чакри (в нижній частині мережі каналів) до аджна чакре (в її верхній частині) - це дуже важлива наді (канал). Пробуджена енергія кундаліні повинна проходити через сушумну, але якщо ця магістраль закрита, кундаліні не може проникнути за межі муладхари. Таким чином, до пробудження кундаліні повинна бути пробуджена сушумна.

Є ще одна відмінність системи раджа-йоги Патанджалі від традиційної системи хатха-йоги. Автори текстів з хатха-йоги дуже добре розуміли труднощі, пов'язані з управлінням флуктуаціями і коливаннями розуму. В окремі моменти вам може вдатися впоратися з цим, але ви все ще не в змозі досягати успіху в цьому весь час [21].

Тому вони прийняли інший метод. У текстах з хатха-йоги дуже ясно стверджується, що при управлінні праной автоматично здійснюється управління розумом. Вважається, що прана і розум роблять вплив один на одного. Коли прана є неспокійною, то це впливає на розум, і, навпаки, занепокоєння розуму надає дію на прану. Деякі люди знаходять більш легким управляти розумом, ніж праной. Деякі, ймовірно, можуть досягти успіху в цьому, але більшість людей не можуть управляти розумом за допомогою розуму. Чим більше вони намагаються робити це, тим більшою мірою розщеплюється їх свідомість [17].

Слід зазначити ще один важливий момент. Іноді ви перебуваєте під впливом деякого натхнення, деякого впливу ззовні. Ви відчуваєте себе дуже добре, ви дуже сконцентровані, але це трапляється далеко не кожен день. З цього приводу автори текстів з хатха-йоги роблять акцент на інший думки: «Не турбуйтеся про розум. Ігноруйте його. Практикуйте пранаяму ».

При правильному практикуванні пранаями розум завойовується автоматично. З результатами впливу пранаями, однак, не так просто впоратися. Вона породжує надлишкове тепло в тілі, вона пробуджує деякі дрімаючі центри в мозку, вона може впливати на характер виробництва в організмі сперми і тестостерону. Вона знижує темп дихання і змінює структуру хвиль мозку. Коли відбуваються ці зміни, ви можете виявитися не в змозі впоратися з ними. Тому-то хатха-йога і стверджує, що спочатку повинні практикуватися шаткарми [19].

Упор на шаткарми робиться для того, щоб підготувати базу для більш високих практик пранаями. Шаткарми очищає всю систему і усуває блокування на шляху іди і Пінгали. Коли немає ніяких ментальних і життєвих блокувань, впорядковується проходження повітря через обидві ніздрі при диханні. Коли потік повітря йде через ліву ніздрю, то це означає, що активною є іда, а домінуючим є розум. Коли повітря йде через праву ніздрю, активною є пінгала, а домінуючою - прана. Почергове проходження повітря через обидві ніздрі вказує на стан рівноваги між симпатичної і парасимпатичної нервовими системами [18].

Якщо протягом по иде встановлено і ви практикуєте медитацію, то, коли ви будете спати, ваш мозок буде виробляти дельта-хвилі. Якщо протягом повітря відбувається через праву ніздрю і ви намагаєтеся медитувати, ваш мозок буде виробляти бета-хвилі і в вашій голові буде знаходитися одночасно занадто багато думок. Коли обидві ніздрі працюють в рівній мірі, то це означає, що потік в сушумні встановився. Якщо потік в сушумні встановлений, то ви можете медитувати без будь-яких труднощів. Пробудження сушумни і встановлення в цьому каналі регулярного потоку енергії є в йозі дуже важливими процесами, попередніми пробудженню кундаліні [18].

Шаткарми - це приготування до пранаяме. Більшість людей вважають, що пранаяма - це дихальні вправи, але це насправді щось багато більше. Айям буквально означає «вимірювання», а не «управління». Так що пранаяма практикується для того, щоб розширити вимірювання прани всередині нас.

Усередині нас знаходяться рівні існування, області свідомості, які приховані від нас під покровом темряви. Ці рівні багато більш прекрасні і творчі, ніж ті, в яких ми зараз живемо. Як, проте, збираємося ми проникнути в них і висвітлити їх? Марно говорити зараз про різних станах свідомості. Ви повинні бути в змозі випробувати, пережити їх - так само, як ви переживаєте стан мрій або сновидінь. Коли допомогою практики пранаями збуджується і пробуджується пра-нічних енергія, вона циркулює в цих темних областях свідомості. Потім внутрішній місто освітлюється, і людина народжується заново в новому вимірі існування, в новій області переживань [20].

Якщо ви бажаєте випробувати це трансцендентальне переживання, то ви повинні удосконалюватися в практиках хатха-йоги і пранаями. Слід дотримуватися також певні правила і рекомендації. Це не означає відмову від всіх задоволень життя, але, як ви добре знаєте, ви ніколи не зможете з'їсти тістечко і одночасно зберегти його. Тому, раз ви зважилися вступити в інший вимір свідомості, ви повинні бути готові пожертвувати деякими з тих речей, які виразно шкідливі для практики пранаями і хатха-йоги. Дуже важливо не нехтувати цими речами. Пам'ятайте: практики хатха-йоги, асани і пранаями призначені, в кінцевому рахунку, для розвитку якості людської свідомості, а не просто якостей тіла і розуму.

Філософія інтелектуальна, і ви можете ніколи не досягти суті еволюції допомогою одного інтелекту. Інтелект стає бар'єром до духовного пробудження, і ми повинні знайти потужні засоби для трансценденції інтелекту, для виходу за його межі. Хатха-йога для цього найбільш ефективна, оскільки ми працюємо з праной, обходячи при цьому розум [19].

Хатха-йога - це велика наука, яку кожен може практикувати у відповідності зі своїми здібностями і можливостями. Можливо, не всі, але принаймні деякі з технік можуть практикуватися кожен день. Техніки хатха-йоги разом з асан і частково з пранаямой достатні для більшості людей. Спочатку потрібно практикувати ці підготовчі вправи. Потім ви можете йти далі. Якщо приготування виконані досконало, немає необхідності вчитися медитації від кого-небудь іншого. В один прекрасний ранок під час практикування пра-Наяма ваш розум ширятиме в нове царство свідомості.

Хатха-йога являє собою метод підготовки системи для духовного пробудження, але вона також є вельми важливою наукою про здоров'я. З найдавніших часів вона використовувалася йогами і мудрецями (ріші) для послаблення і усунення всіх видів хвороб, дефектів та неправильного функціонування організму. Правда, практики хатха-йоги вимагають більшого часу і зусиль від пацієнта, ніж традиційна медицина, але, з точки зору постійності і стійкості позитивних результатів, а також з точки зору економії на величезних витратах на ліки, вони безумовно заслуговують уваги [22].

Таким потужним і ефективним цей метод робить той факт, що він працює на принципах гармонії і уніфікації, а не на протиставленні й різнорідності. Ось три важливих принципи, на яких заснована ментальна і фізична терапія:

. Абсолютна оздоровлення однієї частини або системи людського тіла, що спричинить за собою оздоровлення інших частин тіла.

. Урівноваження позитивного і негативного полюсів енергії (іда / пінгала, прана / Апана).

. Очищення тіла від трьох видів відходів (на санскриті доша - недолік, дефект).

Якщо ви повісите на одну стіну п'ятнадцять старовинних годинників з маятниками однакової довжини і ваги, ви помітите, що через деякий час все маятники синхронізують свій рух. Це відбувається абсолютно природно відповідно до закону взаємних ритмів і вібрацій [18].

У нашому фізичному тілі різні органи і системи призначені для виконання своїх власних функцій, але між ними повинна бути складна координація. Якщо який-небудь з органів або яка-небудь система тіла не в змозі координувати свою роботу з кожним з інших органів або систем, то це означає, що незбалансованим є не один орган, а всі системи і органи. Таким чином, при будь-якій хворобі - будь то хвороба фізична або хвороба ментальна - всі системи працюють неузгоджено.

У відповідність із законом взаємних ритмів все, що вам потрібно робити, для того щоб відновити здоров'я всієї системи, - це привести в стан здоров'я один орган або систему. Тоді за цим органом або системою природним чином послідують інші частини тіла.

Погане здоров'я однієї системи породжує погане здоров'я в інших частинах тіла. Ви не можете сказати, що у вас болить живіт, а все інше в порядку. Тому людина, у якого є декілька нездорових органів, повинен, в загальному випадку, піддати лікуванню тільки один з них. Якщо ви в змозі відновити здоров'я в одній системі свого тіла, то поступово все тіло почне поліпшуватися. Саме в такому дусі наказується лікування хатха-йогою [20].

У наші дні багато вчителів йоги, проте, не слідують цій системі. В залежності від свого знання медичного діагнозу, вони наказують довгий список практик; одну від запору, одну від кровотечі з носа, одну від будь-чого іншого. Вони вважають, що, навчивши хворої людини різним технікам хатха-йоги від різних хвороб, вони зроблять йому краще. Їх система заснована на тій популярної концепції, що різні хвороби належать до різних груп, що не враховує взаємозв'язків і взаємозалежностей між різними органами і системами.

Іншим важливим аспектом здоров'я, часто ігнорованих цілителями, є збереження енергії в цьому фізичному тілі. Ми приписуємо дуже велику важливість харчуванню, але ми забуваємо про реальний джерелі енергії, притаманному нашому організму. Ця енергія в якійсь мірі подібна позитивним і негативним зарядам, пульсуючим навколо нас. Правильне рівновагу між цими протилежними формами енергії породжує гарне здоров'я. Кожного разу, коли ці позитивні і негативні потоки придушуються, блокуються, розсіюються або погано розподіляються, неминуче виникають хвороби [18].

Різні органи і системи тіла існують не тільки за рахунок їжі і вітамінів. Основним джерелом енергії в житті є саме ці позитивні і негативні заряди. Тому наука про фізичну і ментальну гармонії відома як хатха-йога.

Фізичне і ментальне лікування - одне з найбільш важливих досягнень хатха-йоги. До цих пір хатха-йога досягала успіху в лікуванні таких хвороб, як астма, діабет або високий кров'яний тиск, де сучасна медицина не має великих успіхів. Крім того, хатха-йога виявилася досить ефективною у випадках епілепсії, істерії, ревматизму і багатьох інших захворювань хронічної і органічної природи. Ми фактично встановили, що більшість захворювань хронічної і органічної природи можуть бути вилікувані за допомогою хатха-йоги [17].

Фізичні та ментальні захворювання, від яких страждає людина, є не що інше, як стан дисгармонії в енергетичній системі тіла. Для того щоб полегшити їх, ми повинні прийняти новий погляд на наше тіло і розширити горизонти сучасної медичної науки. Ми повинні переглянути свої уявлення про тіло, переглянути класифікацію хвороб і систему діагнозів.

В даний час встановлено, що асана і пранаяма є найбільш сильними і ефективними способами управління всім тілом. Вони є першими кроками, що дозволяють нам не тільки змінити механізми функціонування одного елемента тіла, але і дати важелі управління над всіма структурами мозку і розуму, дати нам систему управління, яка дозволяє нам керувати усіма аспектами нашого життя, в тому числі і енергетичними [18].

За останні сорок років хатха-йога була визнана у всьому світі як терапевтична наука, в цій області було проведено багато наукових досліджень. Сьогодні ми вчимо людей хатха-йоги, тому що це необхідно. Людина став слабким і хворим, а медична наука не в змозі прийняти цей виклик. Хатха-йога, однак, досі допомагала всім. Ми не хочемо вас сильно бентежити; але в той же час ми не повинні забувати, що реально дає нам хатха-йога.

За кожним хворою людиною стоїть людина духовна. Позаду діабетика варто йог. Позаду людини, що страждає від депресії, стоїть людина шукає. Коли хворий приходить за допомогою, навчіть його йогу та зробіть йому краще. Лікуєте його хвороба, але не зупиняйтеся на цьому. Візьміть його з собою далі - в духовні сфери життя [19].

В більшості своїй вчителя йоги на заході займаються не тим, чим потрібно. Вони просто беруть хворих з артритами, ревматизмом або безсонням, вчать їх деяким вправам - і це все. Хатха-йога не використовується для цілісний всієї особистості. Ось чому ці вчителі не в змозі підняти рівень своїх учнів. Тільки покращувати фізичне здоров'я недостатньо. Повинне поліпшуватися також ментальне здоров'я. Природа повинна бути змінена. Особистість повинна бути змінена. Повинні бути також змінені психологічна і психічна структури людини. Ви повинні не просто відчувати свободу від хвороб, але також свободу від пут і капризів розуму. Настав час, коли вчителі у всіх частинах цього світу повинні розуміти і передавати істинний дух хатха-йоги [22].

РОЗДІЛ 2. ЗАВДАННЯ, МЕТОДИ ТА ОРГАНІЗАЦІЯ ДОСЛІДЖЕННЯ

.1 Завдання дослідження

. Проаналізувати літературні джерела щодо теми роботи

. Сформувати комплекс асан хатха йоги для покращення морфо-функціональних показників здоров’я жінок 20-25 років

. Дослідити та провести оцінку впливу занять хатха йогою на морфо-функціональні показники здоров’я жінок 20-25 років.

.2 Методи дослідження

1.       Аналіз наукової та спеціальної літератури на предмет дослідження показників здоров’я та впливу фізичної культури та йоги на здоров’я людини;

2.      Оцінка морфофункціональних показників рівня фізичного здоров'я.

3.       Методи організації дослідження

4.      Методи математичної статистики.

Експрес-оцінка рівня фізичного здоров'я за морфофункціональними показниками.

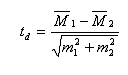
при обстеженні дорослих використовували п'ять простих морфофункціональних показників (індексів) за професором В.В. Клапчуком [28]. Для розрахунку показників та індексів спочатку за загальноприйнятими методиками вимірявся зріст стоячи, маса тіла, частота пульсу (ЧП) за одну хвилину та систолічний артеріальний тиск в стані спокою (для розрахунку подвійного добутку). Потім за допомогою кистьового динамометра вимірялась силу м'язів кисті (при розрахунках використовують показник більш сильної кисті) та за допомогою спірометра - життєва ємність легень (ЖЕЛ) для розрахунку за рівнянням регресії значення PWC-170 (загальної фізичної роботоспроможності). Проводячи динамометрію і спірометрію по 2-3 рази, враховуавли кращий результат. Під кінець проводився модифікований тест Руф’є: в положенні обстежуваного сидячи підраховували частоту пульсу на променевій артерії за 15 с (Р1) і він виконував 30 присідань за 45 с, викидаючи руки вперед. Відразу після присідань та через хвилину у нього в положенні стоячи знову підраховували пульс за 15 с. (Р2 та Р3). На основі отриманих даних розраховували індекс Руф'є (ІР) за формулою 2.1 :

ІР = [4(Р1+Р2 + Р3)-200] : 10 (2.1)

Норми ІР наведені у таблиці 2.1.

Таблиця 2.1 Норми індексу Руф’є

Чоловіки та жінки

Бали

15,1-20

- 2

10,1-15

- 1

5,1-10

3

0,1-5

5

<0

7

Примітка: якщо той, хто обстежується, не може виконати пробу Руф’є, з суми віднімають 3 бали.

Ми також наводимо перелік показників (індексів), формули для їх розрахунку та градації для бальної оцінки, які розроблені основі кореляційного, регресивного та факторного аналізу (таблиці 2.2 - 2.5, формули 2.2 - 2.5) [28].

Масо-зростовий індекс = маса тіла (г) : зріст стоячи (см), г/с (2.2)

Таблиця 2.2 Норми масо-зростового індексу

Чоловіки

Бали

Жінки

>500

-3

>450

451-500

-2

401-450

400-450

-1

375-400

<400

0

<375


Силовий індекс = сила кисті (кг) х 100 : маса тіла (кг), % (2.3)

Таблиця 2.3 Норми силового індексу

ЧоловікиБалиЖінки



<60

1

<40

60-69

2

40-49

70-75

3

50-55

76-80

4

56-60

>80

5

>60


Подвійний добуток = ЧП (хв) х АТ сист.: 100, ум.од. (2.4)

Таблиця 2.4 Норми подвійного прибутку

Чоловіки та жінки

Бали

>100

0

95-100

1

85-94

3

70-84

4

<70

6


PWC170 = [37 ЖЕЛ (л) + 36] : маса тіла (кг), Вт/кг (2.5)

Таблиця 2.4 Норми PWC170

Чоловіки

Бали

Жінки

<2,0

1

<1,5

2,0-2,3

2

1,5-1,6

2,4-2,5

3

1,71,8

2,6-2,8

4

1,9-2,0

>2,8

5

>2,0


Загальна оцінка: при сумі балів в 5 чи менше рівень фізичного здоров'я оцінюють як низький, 6-9 - нижче середнього, 10-14 - середній, 15-18 - вище середнього, 19 балів та вище - як високий.[27]

Метод фізичної реабілітації: протягом дослідження жінкам 20-25 років було запропоновано комплекс хатха йоги з наступних асан:

.        сурья намаскар - 3 раза

.        Повне йоговське дихання - 7 раз.

.        Бхастрика - 2 раза.

.        Падахастасана - 2 раза.

.        Ардха Матсиендрасана - 2 раза.

.        Бхуджангасана - 3 раза.

.        Падахастасана - 3 раза.

.        Сету Бандасана - 3 раза.

.        Пашимоттанасана - 3 раза.

.        Халасана - 2 раза.

.        Матсиасана - 2 раза.

.        Шавасана - 10 мин.

Сурья намаскар - Привітання сонцю

Сурья намаскар являє собою серію з 12 положень тіла. У цих асанах почергові нахили вперед і назад згинають і витягають хребет і інші частини тіла в їх максимальних межах. Серія дає таке глибоке розтягнення всього тіла, що лише деякі інші форми вправ можуть бути порівнянні з нею.

Багато починаючі виявлять негнучкість своїх тіл через напружені мускулів, жорсткості сухожиль і відкладення токсинів в суглобах. Негнучкість, брак координації і тенденція до напруги - все це може бути усунуто через дуже повільне виконання вправ з увагою на усвідомлено прийняте положення тіла і релаксацію в кожній позиції. Те, до чого застосовано невелике зусилля (фізична), потім виходить без зусиль. Регулярна практика Сурья намаскар є одним з найбільш швидких методів підвищення гнучкості тіла [18].

Оволодіння практикою повинно починатися з відповідно близького ознайомлення з кожною позицією окремо і тільки потім цілком. Синхронізація дихання з рухом є наступним кроком. Коли це виконано, то виявиться, що подих природно доповнює позицію, і подих в якій-небудь іншій манері здається незручним і важким. Основним принципом дихання є наступний: вдих під час прогину назад випливає з розширення при цьому грудної клітки, а видих при нахилі вперед відбувається внаслідок стиснення її та черевної порожнини.

Перш ніж приступати до практики, встаньте, зімкнувши стопи, або злегка розставивши їх, руки вільно опущені вздовж тулуба. Закрийте очі і відчуєте все своє фізичне тіло. Розвивайте усвідомлення свого тіла як при практиці йога нідра. Почніть з верхівки голови і пройдіть увагою вниз по тілу, по шляху розслабляючи все, що знайдете напруженим. Усвідомлення це подібно до світла факела, що пронизує темноту тіла. Потім знову відчуєте все своє тіло. Запитайте себе: "Як я відчуваю себе в своєму тілі? Чи приємно мені розслаблятися?" Потім відрегулюйте свою позу так, щоб вам було більш комфортабельно. Відчуйте, що вас як би тягнуть вгору за допомогою мотузки, прикріпленої до верхівки вашої голови. Тепер переведіть свою увагу з тулуба до ваших ніг і відчуйте контакт підошов з підлогою. Відчуйте, що все ваше тіло тягне вниз гравітація, і що все ваше напруга від верхівки вашої голови витягають вниз через ваші стопи в землю. У той же час, дозволяючи собі підтримувати розслаблену вертикальну позу, не випускайте з уваги життєві сили, які рухаються вгору через ваше тіло. Враховуючи ці кілька моментів, переходьте потім до практики Сурья намаскар. Глибоко вдихніть .

Дванадцять положень:

Поза № 1 Пранамасана або "поза молиться"

Встаньте прямо, стопи разом або злегка розставлені. Поверхня обох долонь з'єднайте перед грудьми (намаскар мудра) і повністю видихніть, утримуючи своє усвідомлення на мудре, на силі долонь і на ефекті від цієї мудрі в області грудей (рисунок 2.1) [20].

Рисунок 2.1 Пранамасана

Поза № 2 Хаста уттанасана або "поза з піднятими руками"

Підніміть обидві витягнуті руки над головою долонями вгору. Прогніть спину і витягніть все тіло. Вдих протягом входу в позу. Витягніть голову якнайдалі назад, зберігаючи комфортність пози і переводячи увагу на кривизну верхньої частини спини (рисунок 2.2) [20].

Рисунок 2.2 Хаста уттанасана

Поза № 3 Падахастасана або "поза голова до ніг"

Плавним рухом нахиліться вперед від стегон. Покладіть руки на підлогу по обидві сторони від стоп, а голову по можливості притулите до колін. Ноги повинні залишатися прямими. Видих протягом усього руху. Намагайтеся тримати спину прямою, фокусуючи осознавание на тазі, поворотної точки для натягу м'язів спини і ніг (рисунок 2.3)[20].

Поза № 4 Ашва санчаланасана або "поза вершника"

Зберігаючи обидві руки на місці по обидві сторони від стоп, зігніть ліве коліно, в той час як праву ногу витягніть назад якомога далі. Пальці правої ноги і коліно спираються об підлогу. Перенесіть таз вперед, прогніть спину і дивіться вгору. Кінчиками пальців рук спирайтеся об підлогу для збереження рівноваги тіла. Вдих протягом перенесення грудної клітки вперед і вгору. Фокус осознавания на міжбрів'ї. Ви повинні відчувати витягування від стегна вгору уздовж передньої частини тіла на всьому шляху до міжбровних центру (рисунок 2.4) [20].

Рисунок 2.3 Падахастасана

Рисунок 2.4 Ашва санчаланасана

Поза № 5 Парватасана або "поза гори"

Перенесіть ліву ногу назад і поставте близько правої. Одночасно підніміть сідниці і опустіть голову між руками так, щоб тіло утворило трикутник з підлогою. Цей рух виконується на видиху. Метою є дістати п'ятами підлогу. Нагній голову по можливості так далеко вперед, щоб очі дивилися на коліна. Фокус свого усвідомлення направити на область шиї (рисунок 2.5) [20].

Рисунок 2.5 Парватасана

Поза № 6 Аштанга намаскар

або "вітання вісьмома членами тіла" Зігніть коліна і опустіть їх на підлогу, а потім торкніться грудьми і підборіддям підлоги, зберігаючи сідниці піднятими. Руки, підборіддя, грудна клітка, коліна і пальці ніг торкаються підлоги. Спина прогнута. Дихання затримати на видиху від пози № 5. Це єдиний раз, коли почерговий вдих - видих при диханні змінюється. Фокус осознавания слід тримати на середині тіла або на м'язах спини (рисунок 2.6)[20].

Рисунок 2.6 Аштанга намаскар

Поза № 7 Бхуджангасана або "поза змії"

Опустіть стегна, в той же час штовхніть руками грудну клітку вперед і вгору, поки хребет повністю не прогнеться дугою, голова повернеться обличчям вгору. Ноги і нижня частина живота залишаються на підлозі, руки підтримують тулуб. Дихання: вдих протягом руху вперед і вгору. Фокус осознавания біля основи хребта, відчуваючи натяг від витягування вперед (рисунок 2.7) [20].

Рисунок 2.7 Бхуджангасана

Поза № 8 Парватасана або "поза гори"

Поза № 9 Ашва санчаланасана або "поза вершника"

Поза № 10 Падахастасана або "поза голова до ніг"

Поза № 11 Хаста уттанасана або "поза з піднятими руками"

Поза № 12 Пранамасана або "поза молиться"

Випряміть тіло і складіть руки перед грудьми, як у позі № 1 [20].

Коли завершені 12 позицій, вдихнути, опускаючи руки по швах, і потім приступати до другої половини практики з видихом [20].

Повне йогівське дихання - починається цей процес із повного видиху. Потім, лежачи в шавасані, ми починаємо вдих. Він проводиться животом. З урахуванням того, що ми лежимо, черевна стінка випинається вгору. Це «черевне дихання». Другий етап вдиху - живіт завершує рух, і розширюється область сонячного сплетіння, злегка розходяться краю ребер. При цьому повітрям наповнюються середні долі легенів. Це буде «середнє дихання». І нарешті, розширюється вся грудна клітка, причому це розширення повинно відбуватися вгору, а не в сторони. На завершення злегка піднімають ключиці - це «верхнє дихання». Ці фази, звичайно ж, умовні і введені, з тим щоб можна було описати процес детально. Насправді він злитий, єдиний і неподільний - одна плавна хвиля, з перетіканням з одного вираженого етапу в інший, без яких поштовхів і затримок [18].

Слід пам'ятати, що вдих ніколи не слід доводити до межі. Це дуже важлива деталь техніки повного дихання. З одного боку, легені повинні заповнюватися повітрям на 80-85%, з іншого боку, має бути відчуття повного дихального задоволення. Ви чітко відчуваєте, що могли б вдихнути ще, але вдихати до упору вам не хочеться.

Видих теж починається з живота. Але перш може трапитися природна коротка затримка дихання на висоті вдиху, перед переходом до видиху. На цій затримці увагу акцентувати не слід, вона природна і мінімальна. Якщо ж раптом її час почне зростати, слід перебудувати пропорцію або величину вдиху і видиху, щоб «вибрати слабке» [18].

Видих починається наступним чином. Утримуючи грудну клітку нерухомо, зберігаючи її форму, яку вона отримала після завершення вдиху, ми «відпускаємо» живіт, і черевна стінка починає «провалюватися» вниз. Коли це природний рух завершилося, починає рухатися грудна клітка, вона як би «опадає» - це друга фаза видиху. І третя - коли рух грудної клітки завершено, легким поштовхом черевної стінки витісняється «залишковий» повітря. Так званий, поштовх м'язами черевної стінки повинен бути не силовий, а «віртуальний», він скоріше позначений, ніж здійснений. Інтенсивність цього руху повинна бути такою, щоб не порушувалося стан свідомості і релаксація. Природна пауза після видиху перед вдихом повинна відповідати характеру паузи перед видихом, описаної вище [19].

Повне і досконале дихання йогів з'єднує переваги всіх трьох типів дихання, включаючи їх послідовно одне за іншим і з'єднуючи в одному хвилеподібне русі. Воно приводить в дію всю дихальну систему, кожен м'яз і кожну клітину і розширює грудну клітку до її анатомічного обсягу, причому життєва ємність легенів може навіть збільшитися завдяки потужній роботі дихальних м'язів. У свою чергу, при повному диханні діафрагма функціонує правильно і забезпечує дивно корисну дію завдяки м'якому массированию черевних органів. Повне дихання йогів є найбільш простою і необхідною основою всіх типів дихання йогів [18].

Бхастріка (bhastrika) (рисунок 2.8): термін «bhastrika» означає «ковальські хутра», які і нагадує ця Пранаяма [17].

Рисунок 2.8 Бхастріка

Призначення - тонізувати організм і відкрити сіддхі.

Протипоказання: астма; гіпертонія.

Освоювати обережно при:

-       будь-яких формах патології легенів;

-       серцево-судинних захворюваннях;

-       захворюваннях внутрішніх органів, прилеглих до діафрагми;

-       грижах в черевній порожнині.

Правила виконання:

-       Виконати 10 подихів, як в Капалабхаті, але більш інтенсивних.

-       Потім зробити повільний повний йогівський вдих,

-       Виконати Кумбхаку на 7-14 ударів пульсу (рахунків).

-       Плавний видих.

-       «Відпустити» бандху і виконати повний вдих.

-       При бажанні можна виконати очисне дихання.

-       Ускладнений варіант виконання вправи.

Те ж, але з пози Лотоса або напівлотоса.

Повна форма виконання.

Те ж, але з пози Лотоса.

Тонкощі виконання вправи і правила безпеки:

-       основний тонкістю виконання Бхастріка є її інтенсивність: якщо при виконанні Акапалабхаті і Капалабхаті вдих завжди був пасивним, тобто виконувався при розслабленні діафрагми і інших м'язів черевного преса, то в Бхастріка вдих виконується активно;

-       при цьому діафрагма різко опускається вниз, створюючи зниження тиску в легенях і долаючи опір руху підсмоктують зовнішнього повітря в носових проходах;

-       після чого відразу ж виконується ще більш енергійний різкий видих;

-       схожість на Капалабхаті визначається однаковим І.П., диханням через обидві ніздрі і дихальним ритмом (вдих на 3 рахунки, видих на 1).

Вправу можна виконувати поза комплексом для зігрівання організму.

Протипоказання:

«Як в топку паровоза подають вугілля, щоб отримати пар для тяги поїзда, так і Бхастріка генерує прану для активізації всього тіла. Як занадто сильний вогонь пропалює котел паровоза, так і занадто тривале виконання Бхастріка виснажує організм. Адже ди-хательпий процес відбувається тут із зусиллям ». (Б.К.С. Айенгар «Йога Діпіка») [17].

Протипоказання аналогічні Акапалабхаті і Капалабхаті

Концентрація уваги при виконанні вправи:

На правилах виконання вправи.

На внутрішніх відчуттях.

На розтягнутих, стислих (напружених) і розслаблених м'язах, а також на м'язах, які можна розслабити, не міняючи ключа (енергоформи) асани.

Фізіологічний ефект:

-       очищає і тонізує носові ходи;

-       очищає лобові і гайморові пазухи;

-       зміцнює слинні залози;

-       знищує і виганяє бактерії з носоглотки;

-       тонізує нюхові нерви і збуджує нервову систему;

-       покращує роботу мозку;

-       добре вентилює, укріплює і омолоджує легкі;

-       очищає кров;

-       тренує діафрагму і всі м'язи черевного преса;

-       добре масажує внутрішні органи, активізуючи печінку, селезінку і підшлункову залозу;

-       покращує травлення.

Дає відчуття:

-       бадьорості;

-       чистоти в тілі;

-       приливу життєвої енергії:

Терапевтичний ефект:

-       Виліковує хронічні застуди, запальні захворювання носа і горла.

-       Виліковує ангіну, знищує мокроту, що забиває верхні дихальні шляхи.

-       Виліковує бронхіт.

-       Розігріває мерзнуть людей.

-       Підвищує загальну температуру всього тіла.

-       Допомагає при лікуванні органів сечовидільної та статевої систем.

-       Захищає ноги від переохолодження.

-       Очищає організм від отрут і токсинів.

Падахастасаной Шрі Свамі Шівананди називає комбінацію з трьох асан-Паршвардха-чандрасани (бічного півмісяця), Ардха-чандрасани (півмісяця) і Уттанасани (розтягування тіла в нахилі) [17].

Техніка виконання. Встати прямо, ступні поставити паралельно один одному на відстані однієї довжини ступні (приблизно 25-30 см). Вага тіла розподілити на ступнях рівномірно-не відхилятися ні на п'яти, ні на носки. Виконати легку Мула-бандху. До межі випрямити ноги, підтягнути колінні чашечки вгору.

Видихнути. З повільним-повільним вдихом підняти пряму ліву руку вгору над головою, лікоть притиснути до лівого вуха. Повільно видихаючи, витягати хребет вправо, рівномірно зігнути тулуб в праву сторону, не допускаючи «зламу» хребта в поперековому відділі і утримуючи ліве плече і ліву руку в незмінному положенні.

Ноги не розслабляти і в колінах не згинати. Права рука ковзає по правій нозі вниз до п'яті. Зупинити дихання на кілька секунд у паузі після видиху (рисунок 2.9).

Рисунок 2.9 Падахастасана перша вправа

Повільно вдихаючи, випрямити то і з видихом опустити руку. Повторити нахил вліво. Потім підняти обидві руки з вдихом, обидва лікті притиснути до голови, видихнути, з вдихом заправити грудну клітку і прогнутися назад у грудному відділі, витягаючи хребет назад-вгору (рисунок 2.10) [17].

Рисунок 2.10 Падахастасана друга вправа

Повільно видихаючи, продовжити прогин, відхилившись зад до межі. Хребет витягується назад-вгору, згинаючись рівномірно, а не «зламуючися» в попереку. Затриматися в крайньому положенні, на декілька секунд зупинивши дихання після видиху (рисунок 2.11).

Рисунок 2.11 Падахастасана третя вправа

З вдихом випрямитися і, видихаючи, опустити тулуб і прямі руки вперед до горизонтального положення (рисунок 2.12).

Рисунок 2.12 Падахастасана четверта вправа

Вдихнути. Видихаючи, продовжити опускання тулуба, намагаючись торкнутися кистями рук пальців ніг. Захопити себе руками за гомілки і з вдихом витягнути хребет вперед, прогнувшись якомога більше назад-вгору.

Таз при цьому, навпаки, нахиляється ще більше вперед, живіт прагне притулитися до стегон (рисунок 2.13) [17].

Відтягувати плечі вгору, наскільки дозволяють прямі руки при розправлених плечах і розгорнутої грудній клітці. Триматися руками за ноги якомога нижче. Таз і живіт не піднімаються, ноги-жорстко випрямлені. Видихаючи, нахилитися вперед ще більше, витягаючи хребет вниз. Спочатку можна допомагати собі руками (рисунок 2.14) [17].

Рисунок 2.13 Падахастасана п’ята вправа

Рисунок 2.14 Падахастасана шоста вправа

По мірі освоєння асани бажано перейти до практики «зворотного ефекту», тобто намагатися відштовхуватися від підлоги руками якомога далі за ногами. Тулуб має повністю лягти на стегна. Коли це буде досягнуто, слід витягнути вниз підборіддя і злегка качнути все тіло вперед, ще сильніше розтягуючи задні поверхні повністю випрямлених в колінах ніг за рахунок додаткового згинання в гомілковостопних суглобах (рисунок 2.15) [17].

Зробивши в самому нижньому положенні одне-два неглибоких повних дихання (вдих-видих), з вдихом піднятися в положення рисунок 2.14. Видихаючи, ще раз нахилитися в положення рисунок 2.15 і потім з вдихом випрямити тулуб і руки горизонтально вперед-рисунок 2.13. Видихнути, з вдихом піднятися вгору і з видихом опустити руки. Розслабитися і дочекатися проходження по тілу відчуття пранічному хвилі.

Рисунок 2.15 Падахастасана сьома вправа

Перший час Падахастасана, особливо її заключна фаза-Уттанасана, навряд чи може бути виконана повноцінно. Не слід впадати у відчай. Ця асана відноситься до категорії простих вправ. Терпіння і наполегливість принесуть успіх безсумнівно. Якщо на самому початку ноги не вдається тримати повністю випрямленими, допускається незначне згинання їх у колінах [17].

Навіть досвідчені йогіни, практикуючи Пахастасану рано вранці, починають нахил, злегка зігнувши ноги, і випрямляють їх тільки при другому або навіть третьому повторенні.

Виконується Падахастасана 4-5 разів на день по 3-4 повторення [17].

Дія. Падахастасана-одне з найважливіших вправ для збереження гнучкості хребта. Розвиває м'язи спини і ніг, усуває хвороби нирок, стимулює процеси росту у дітей, при обережному виконанні сприяє позбавленню від анемії, виліковує хронічні запори, нетравлення, невралгію сідничного нерва, є ефективним засобом підвищення життєвого тонусу всього тіла, оскільки виключно благотворно впливає на систему кровообігу [17].

Виконання Падахастасани особливо показано огрядним людям, оскільки вона досить радикально усуває скупчення жиру на тулубі і ногах.

Техніка виконання Ардха Матсіендрасани

. Зроби живіт таким же плоским, як і спину. Дихай нормально. Виконай без напруги наступні руху.

. Зігни злегка праву ногу, піднімаючи коліно вгору. Зігни ліву ногу в коліні, за допомогою рук заведи її під праве коліно і притисни ліву п'яту до правій сідниці з зовнішнього боку (або підклади ліву ступню під таз підошвою догори і сядь на ступню так, щоб п'ята виявилася під лівою сідничної кісткою, носок - під правої). Чоловікам варто поправити мошонку, щоб геніталії не відчували тиску.

. Ще трохи зігни праву ногу в коліні і, допомагаючи руками, постав праву ступню на підлогу з зовнішнього боку лівого коліна.

. Не повертаючи і не перекошуючи таз, повільно (після глибокого вдиху, на видиху) розверни плечовий пояс вправо, зберігаючи його горизонтальне положення, заведи ліве плече за стегно правої ноги. Лікоть лівої руки розташуй на зовнішній стороні правої ноги, і вхопитеся середнім, вказівним і великим пальцями цієї руки за великий палець правої ноги (або лівою кистю за праву щиколотку). При цьому праве коліно повинно розташовуватися якомога ближче до лівої пахвової западині. Користуючись лівою рукою як важелем, ще більше поверни (повільно) плечі вправо, скручуючи хребет.

. Праву руку зігни в лікті і заведи за спину на рівні талії якнайдалі відкритою долонею назовні.

. Без зайвої напруги витягни прямий хребет вертикально вгору, розправ грудну клітку, поверни голову вліво (варіант - до межі вправо). Погляд направ на область між бровами (Аджна-чакру).

. Виконай легку Мула-бандху. Увага зафіксуй на хребті. Затримайся в цьому положенні на деякий час, поки не відчуєш, що достатньо. Не дивлячись на те, що легені стислі, дихай по можливості вільно, ритмічно, глибоко, але без напруги. Потім повільно (на вдиху) повернися у вихідне положення, розслабся, зроби кілька вільних видихів-вдихів (рисунок 2.16) [17].

Рисунок 2.16 Мула-бандху

. Виконай те ж саме в інший бік.

. Виконай вправу 2 ... 3 рази.

. На закінчення - ляж на підлогу і розслабся.

Протягом всього процесу виконання асани утримуй Вайю-набхі-мудру ("повітряний символ неба") - торкання кінчиком язика твердого піднебіння безпосередньо над верхньою яснами. Цей прийом використовується для замикання контуру циркуляції Вайю-прани ("сили повітря"), що має ключове значення для загального управління процесами, що відбуваються в тонкому тілі.

Йогін Шрі Свамі Шівананди рекомендує утримувати цю мудру постійно протягом всього практики всіх вправ, крім тих випадків, коли наказано інше положення мови (тобто виконання інших варіантів Набхі-мудрі). Він вважає Вайю-набхі-мудру необхідним елементом виконання всіх асан, які мають велике значення для додання їм якості психоенергетичних практик [18].

Одна з головних умов правильного виконання асани - таз, при скручуванні хребта, повинен розташовуватися вертикально, для чого його положення необхідно відкоригувати ще на підготовчій стадії, сідничні кістки і плечові суглоби повинні розташовуватися в строго горизонтальних і паралельних один одному площинах, перекоси недопустимі.

Прагни практикувати цю дуже корисну асану щодня (принаймні, один раз на день). Рекомендується виконувати цю асану один раз в день в теплу пору року, і два рази - у холодну. Після Ардха Матсіендрасани виконуй Пашчімоттанасану, тому ці пози доповнюють один одного.

На початку практики Ардха Матсіендрасани тривалість фіксації кінцевої пози не повинна перевищувати 5 ... 15 с (по самопочуттю). Коли м'язи стануть достатньо еластичними, старайся в кінцевій позі перебувати протягом хоча б однієї хвилини (при виконанні в кожну сторону). Тривалість фази фіксації необхідно збільшувати поступово (по самопочуттю), надмірна ретельність не допустимо, тому що може призвести до плачевних результатів. Дотримуйтеся обережності, не перевищуйте своїх можливостей [18].

Той, хто змушений починати освоєння асани з спрощених варіантів, поступово має перейти до виконання основного варіанту (викладеного тут).

Прагни уникати болю. Виконуй вправу повільно, плавно, без різких рухів. Стеж за тим, щоб дихання не стримувався.

Техніка виконання

. Витягнути хребет, притиснувши чоло до підлоги.

. Руки зігнути в ліктях і покласти долоні на підлогу навпроти пахв, витягнуті і складені разом пальці - під плечовими суглобами.

. Витягаючи хребет вперед-вгору, підняти голову, шию, торс, верхню частину живота. На руки при цьому не спиратися. Рух здійснюється за рахунок м'язів спини. Для вірності можна злегка підняти долоні, відірвавши їх від підлоги.

. Відчуття руху хребта - рівномірне розтягування по дузі кола. Верхівка голови йде як можна далі від тазу. Низ живота - на підлозі. Досягнувши цього положення, подальший підйом можна здійснювати за допомогою рук, але ні в якому разі не відштовхуючись від підлоги вгору, оскільки в цьому випадку неминуче виникне нерівномірний розподіл стиснення хребта [18].

. Залишатися в позі від 5 до 10 циклів дихання, потім обережно опуститися.

. Повільно опустити лоб на підлогу і повністю розслабитися.

Техніка виконання Бхуджангасана.При виконанні пози важливо положення рук. Долоні розташувати так, щоб тільки 2 - 3 фаланги пальців виступали за лінію плечей.

Лікті притиснути до боків. Не дозволяйте ліктям розходитися в сторони.

Не піднімайте плечі, подовжуйте шию. Рух голови - вперед-вгору, розтягуючи шию. Не згинайте руки в ліктях, не піднімайте плечі до вух.

Руки повинні відштовхувати плечі вперед, намагаючись відвести їх якомога далі від тазу, продовжуючи рівномірне витягування хребта вперед, а не «зламуючися» його в поперековому відділі (сама, до речі, поширена помилка при виконанні Бхуджангасани).

Лобкова кістка ніколи не повинна відриватися від підлоги. Необхідно притискати лобкові кістки до підлоги і максимально прогинати хребет.

Будьте уважні, випрямляючи руки і роблячи прогин глибше: намагайтеся залучити в роботу верхню і середню частини спини замість того, щоб перевантажувати і стискати поперек.

Стежити, щоб плечі не були підняті, груди розсовувати, погляд в перенісся.

Перший рік уважно контролювати стан ануса і сідничних м'язів, домагаючись їх розслаблення.

Розкриттю грудної клітки в цій позі зазвичай заважають плечі - виводьте їх назад і вниз, збираючи лопатки за спиною.

Вхід і вихід з пози роблять дуже повільно, приблизно на 10 ударів серця. Між повторами виконують релаксацію (рисунок 2.17).

Рисунок 2.17 Бхуджангасана

Глибокі прогини надають потужний терапевтичний ефект - заряджають енергією, допомагають впоратися з болем у спині, виправити сутулість, зароблену в ході незліченних годин, проведених за комп'ютером і кермом автомобіля, перемогти депресію [19].

Теарапевтіческій єффект:

-       Зміцнює хребет;

-       Витягуються груди, плечі і живіт;

-       Зміцнює сідниці;

-       М'яко масажує органи черевної порожнини;

-       Допомагає полегшити стрес і втому;

-       Розкриває грудну клітку;

-       Полегшує симптоми астми;

-       Регулярна практика цієї пози допомагає при незначному зміщенні міжхребцевих дисків

Показання: Зміщенням спинних хребців; сутулість.

Протипоказання:

.        Гіперфункція щитовидної залози;

.        Серйозні відхилення в стані травного тракту;

.        Другий і третій триместр вагітності;

.        Проблеми з міжхребцевими дисками.

Сету бандасана - поза шийного моста. Початкове положення. Лежачи на спині. Техніка виконання.

Зігнути ноги в колінах так, щоб п'яти, звернені всередину, стосувалися сідниць (ноги можна розвести в сторони). Зігнути руки в ліктях і покласти долоні по обидві сторони голови. З видихом прогнутися в попереку, спираючись верхівкою голови про килимок. Скласти руки на грудях, зробити два-три дихальних циклу і підняти таз ще вище, витягаючи одночасно ноги до тих пір, поки вони не стануть прямими. Тіло нагадує міст або арку. У цьому положенні розгойдувати корпус вперед і назад - від плечей до верхівки голови і назад. При розгойдуванні тіла від плечей до голови робити вдих, від голови до плечей - видих. Знаходитися в позі 20-30 сек (рисунок 2.18) [21].

Рисунок 2.18 Сету бандасана

Терапевтичний ефект. Стимулює роботу ендокринної системи, шишкоподібної залози, гіпофіза, щиткової Залози, сприятливо впливає на спинні нерви, зміцнює м'язи шиї, спини, ніг, особливо підколінні сухожилля [20].

Пашчімоттанасана - поза розтягування спини (рисунок 2.19)

Рисунок 2.19 Пашчімоттанасана

Сядьте на підлогу, витягнувши ноги вперед, руки покладіть на стегна. Розслабте все тіло, особливо м'язи спини. Повільно нахиліть тулуб вперед, ковзаючи руками по ногах. Спробуйте виконати захоплення великих пальців ніг кільцями з вказівних, середніх і великих пальців рук. Якщо це неможливо, візьміться за п'яти, щиколотки або за гомілки, якомога ближче до ступень [18].

Спробуйте подумки розслабити м'язи ніг і спини. За допомогою рук нахиліть тулуб до ніг (не згинаючи їх). Це рух повинен бути плавним, без ривків і зайвого напруження. Якщо можете, торкніться колін лобом. Початківці повинні нахилятися вперед настільки, наскільки їм дозволяє еластичність їх спинних м'язів, і ні в якому разі не робити надмірних зусиль. Залишайтеся в кінцевому положенні стільки, скільки ви зможете, але без відчуття дискомфорту; намагайтеся розслабити тіло. Потім повільно поверніться у вихідне положення.

Примітка: Намагайтеся не згинати ноги в колінах, так як одне із завдань цієї асани - поступове розтягнення м'язів задньої поверхні ніг. Не перенапружуйтеся. З часом ці м'язи розтягнуться. По закінченні декількох тижнів або місяців регулярних занять ви будете в змозі торкнутися колін лобом або навіть підборіддям [18].

Дихання: У положенні сидячи дихайте нормально. Нахиляючись вперед, повільно видихайте. Утримуючи тіло в нахиленому положенні, вдихайте. Коли намагаєтеся нахилити тіло ще сильніше вперед за допомогою рук, видихайте. У кінцевому положенні дихайте повільно і глибоко. Повертаючись у вихідне положення, вдихайте.

Тривалість практики: Треновані люди можуть перебувати в кінцевому положенні до 5 хвилин, не відчуваючи незручності і напруженості. Початківці повинні виконувати асану кілька разів протягом одного заняття, залишаючись в кінцевому положенні лише на короткий час. Особам, практикуючим цю асану з метою духовного вдосконалення, рекомендується тривале перебування в кінцевому положенні в повністю розслабленому стані [18].

Зосередження: Для духовного вдосконалення - на свадхіштхана-чакре. При фізичному і психічному тренінгу - на ділянці живота, розслабленні м'язів спини або на диханні.

Послідовність: В комплексі асан пашчімоттанасана є контрпозой по відношенню до асанам з прогином назад.

Обмеження: Цю асану не рекомендується виконувати за наявності зрушених хребетних дисків, при хронічному артриті і попереково-крижовому радикуліті.

Користь практики: Практика асани зміцнює ахіллове сухожилля і розслаблює суглоби стегон. Вона ефективно сприяє видаленню надлишкових жирових відкладень в області живота. Асана тонізує всі органи черевної порожнини, сприяє усуненню діабету. Крім того, пашчімоттанасана активізує нирки, печінку, надниркові залози і підшлункову залозу; тонізує органи тазової області, у зв'язку з чим особливо ефективно усуває розлади жіночої статевої системи; забезпечує потужний приплив свіжої крові до спинним нервах і м'язам, сприяючи їх оздоровленню. Пашчімоттанасана величається древніми текстами, присвяченими йоги, як потужний засіб духовного пробудження [18].

Динамічна форма пашчімоттанасани (рисунок 2.20):

Рисунок 2.20 Динамічна форма пашчімоттанасани

Ляжте на спину, витягніть руки за голову, розслабте все тіло. Потім повільно підніміть тулуб в положення сидячи, тримаючи руки витягнутими вгору над головою. З цього положення нахиліться в кінцеве положення пашчімоттанасани і затримаєтеся в ньому на деякий час; потім поверніться в сидяче положення. Після цього поверніться у вихідне положення. Виконуйте не більше 10 разів за одне заняття [18].

Дихання: Дихайте нормально в положенні лежачи. Вдихайте, піднімаючись в положення сидячи. Видихайте, нахиляючись в пашчімоттанасану. Затримуйте дихання на видиху, перебуваючи в пашчімоттанасане. Повертаючись у вихідне положення, вдихайте.

Зосередження: На русі тіла або на диханні.

Користь практики: Асана розслабляє тіло; приносить ту ж користь, що і пашчімоттанасана, але в меншому ступені.

Халасана (Halasana) - від слова "хала" - плуг, з яким подібно тіло в цій позі. Асана є частиною сарвангасана I і її продовженням (рисунок 2.21) [19].

Рисунок 2.21 Халасана

Техніка виконання:

. Виконати Саламбо Сарвангасану I, твердо тримати підборіддя замок.

. Послабити підборіддя замок, злегка опустити тулуб, перенести руки і ноги за голову і опустити пальці ніг на підлогу.

. Напружити коліна, підтягуючи вгору підколінні сухожилля, і підняти тулуб.

. Покласти долоні на середину спини, натискаючи на неї, щоб тулуб було перпендикулярно підлозі.

. Витягнути руки в напрямку, протилежному ногам.

. Зчепити великі пальці рук і витягати руки і ноги.

. Переплести пальці і повернути зап'ястя так, щоб великі пальці лежали на підлозі. Інші пальці і долоні витягнути, напружити руки в ліктях і витягати їх від плечей.

. Ноги і руки витягати в протилежних напрямках Це дає повне розтягування хребта.

. При переплетенні пальців рекомендується змінювати їх перехрещення. Гак, наприклад, якщо першим торкнувся підлоги правий великий палець, затримаєтеся в цій позиції 1 хвилину. Потім розчепити пальці і покладіть на підлогу лівий великий палець, після чого переплітаються пальці один за іншим і витягайте руки також протягом 1 хвилини. Це буде сприяти гармонійному розвиткові та гнучкості обох плечей, ліктів і зап'ясть [19].

. У початковому періоді переплітати пальці скрутно, але подібними вправами поступово можна домогтися того, що пальці будуть переплітатися легко.

. Спочатку важко також твердо тримати пальці ніг на підлозі за головою. Але якщо подовжити час витримки Саламбо сарвангасана I і добре в ній витягуватися, то Халасану буде виконувати легше і пальці ніг можна буде утримувати на підлозі більш тривалий час.

. Залишатися в позі, яку зуміли прийняти, 1-5 хвилин при нормальному диханні.

. Звільнити кисті, підняти ноги в Сарвангасану I і поступово опуститися на підлогу. Лягти на спину і розслабитися.

Застосування:

Вплив Халасани таке ж, як у Саламбо сарвангасана I, але, крім того, внаслідок стискування області живота внутрішні органи омолоджуються. Хребет завдяки нахилу вперед отримує посилений приплив крові, що знімає болі в спині. Судоми в кистях виліковуються завдяки витягуванню долонь і переплетення пальців. Полегшення отримують і страждаючі тугоподвижностью плечей і ліктів, прострілом і артритом спини. Припиняються також болі в животі від скупчення газів, негайно відчувається полегшення [19].

Асана корисна і людям зі схильністю до гіпертонії. Якщо Халасану виконувати перед Сарвангасаной I, то не буде відчуватися ні припливу крові, ні тяжкості в голові.

Халасана є підготовчою позою для Пашчімоттанасани. У добре опанував Халасаной збільшується рухливість спини, і тоді виконання Пашчімоттанасани не представить праці.

Для людей, які страждають підвищеним тиском крові, рекомендується наступна техніка виконання Халасани перед Саламбо Сарвангаса-ной1:

. Лягти на спину.

. Видихнути, повільно піднімати ноги до вертикального положення і затриматися в цій позиції близько 10 секунд, дихати нормально.

. Видихнути, перенести ноги за голову і торкнутися пальцями ніг підлоги. Тримати ноги в колінах твердо, не відриваючи шкарпеток від підлоги.

. Якщо це положення дається насилу, слід поставити за головою табуретку або стілець і класти пальці ніг на нього.

. Якщо дихання утруднене або прискорене, слід не опускати пальці ніг на підлогу, а класти їх на стілець або лавку. Тоді не буде відчуття тяжкості або припливу крові до голови.

. Витягнути руки за головою, тримаючи їх на підлозі, залишатися в цій позі 3 хвилини, дихати нормально.

. Під час виконання асани погляд спрямований на кінчик носа, очі закриті.

Матсіасана (Поза риби) (рисунок 2.22) [20]

Рисунок 2.22 Матсіасана

Сядьте в падмасану. Відхилитеся назад, підтримуючи тіло руками і ліктями; голова повинна торкнутися підлоги верхівкою. Руками візьміться за великі пальці ніг, а ліктями упріться в підлогу. Прогніть спину як можна сильніше. Залишайтеся в кінцевому положенні близько 5 хвилин. Не перевтомлюйтеся [20].

Варіанти матсіасани

. Переплетіть пальці рук і помістіть їх за голову, поклавши потилицю на долоні.

Дихання: У кінцевому положенні дихайте повільно і глибоко. Люди, у яких нездорові мигдалини або горло, в кінцевому положенні можуть виконувати Сіткарь-пранаяму.

Зосередження: При духовному вдосконаленні - на маніпура-або анахата-чакрі. Для фізичного розвитку - на животі, грудях або диханні.

Послідовність у серії асан: Після халасани або сарвангасана.

Заміна: Супта-ваджрасана.

Користь практики: Ця асана зміцнює кишечник і органи черевної порожнини, її практика дуже корисна при будь-яких захворюваннях, локалізованих в цій області тіла. При запорі випийте три склянки води і виконайте цю асану.

Примітка: Матсіасана - дуже хороша профілактика легеневих захворювань, таких, як астма або бронхіт. Вона забезпечує глибоке дихання, а також допомагає активізувати кровообіг в спині і регулює роботу щитовидної залози [20].

. Сядьте на підлогу, ноги витягніть вперед. Зігніть одну ногу і покладіть її ступню на стегно іншої ноги. Тримайте другу ногу витягнутої прямо. Повільно відхилитеся назад, використовуючи лікті для підтримки тіла, і опустіть верхівку голови на підлогу. Руки покладіть на ступню зігнутої ноги. Зосередьтеся на прогині спини. Залишайтеся в цьому положенні зручний для вас час, потім поверніться у вихідне положення. В якості альтернативи можете торкатися підлоги не верхівкою голови, а потилицею (рисунок 2.23) [20].

Рисунок 2.23 Матсіасана - альтернативне виконанн

3. Сидячи на підлозі, витягніть ноги вперед. Відхилитеся назад і опустіть верхівку голови на підлогу. Прогніть спину і покладіть обидві долоні на стегна. Витримавши кінцеве положення протягом деякого часу, поверніться у вихідне положення.

Користь практики: Та ж, що і від основної форми, але в меншому ступені.

Примітка: Всі інші деталі виконання ті ж, що і у випадку основної форми матсіасани.

Шавасана - асана в хатха-йоги. Досягнення в цій асане прирівнюються до досягнень в цілому від практичних занять хатха-йогою. Мета Шавасана - відпочинок і повне розслаблення

Техніка виконання:

Лягти на спину. Руки прямі уздовж тіла, але тіла не стосуються. Ноги витягнуті і трохи розведені в сторони. Очі закриті.

Розслабте всі м'язи тіла, починаючи з м'язів рук, потім ніг, сідниці, поясниці, живота, спини, грудей і м'язи плечового поясу. Потім розслабте м'язи шиї, обличчя і мову. І останніми розслабте очі [20].

При виході з Шавасана зробіть глибокий вдих і потягніться, напружуючи всі м'язи в тому ж порядку (рисунок 2.24) [20].

Рисунок 2.24 Шавасана

Метод математичної статистики (автоматичне обчислення програмою EXEL, t-критерій Стьюдента).

Середнє арифметичне М знаходимо за формулою 2.6:


де n - число випадків, S - сума варіант.

Середнє квадратичне відхилення s - показник різноманітності ознаки, знаходимо як (формула 2.7):

(2.7)

Помилка вибіркової середнього арифметичного (mМ) (формула 2.8):

(2.8)

Достовірність різниці (td) знаходимо за формулою 2.9:

(2.9)

Показник достовірності (р) визначається за таблицею Ст’юдента на підставі даних td і (n1 + n2-2).

У тому випадку, коли довірчу ймовірність (р) беруть рівній 0,95 (тобто 95%), то ризик помилки становить 5%. А нормоване відхилення (t) відповідає 1,96.

Якщо вважати, що 5% ризик помилки надто високий, то в якості допустимого можна взяти 1% ризик помилки, а, отже, 99% вірогідність достовірності твердження. Це значення достовірної ймовірності використовується в більшості біологічних досліджень. При р = 0,99 t = 2,58. У випадках, які потребують особливо високої достовірності, використовують в якості довірчої ймовірності значення р = 0,999. При цьому, ризик помилки знижується до 1 випадку з 1000, а довірчий інтервал стає ще більш широким.

.3 Організація дослідженя

Дослідження проводилося на базі гімназії № 1 «Сузір’я» м. Орехів з вересня по листопад 2012 року. У дослідженні брали участь 15 жінок у віці 20-25 років, які у період дослідження займалися хатха йогою три рази на тиждень. Тренування проводилося професійним тренером з йоги.

Серед обстежуваних не було жінок з порушеннями з боку серцево-судинної, дихальної й інших систем організму. Всі вони мали дозвіл лікаря (довідку) на відвідування занять з фітнесу.

Наприкінці тренувально-дослідного періоду була оцінена динаміка кількісних показників фізичного здоров’я в обох групах.

Результати були оброблені програмою STATISTICA та проаналізовані.

За бажанням жінок також були проаналізовані зміни в показниках ваги та обсягів тіла.

РОЗДІЛ 3. РЕЗУЛЬТАТИ ДОСЛІДЖЕННЯ ТА ЇХ ОБГОВОРЕННЯ

Результати дослідження були статистично обчислені та занесені до таблиць та рисунків.

У таблиці 3.1 зображені результати первинного дослідження масо-зростового инжексу.

Таблиця 3.1 Результати первинного дослідження масозростового індексу

№п/п

П.І.Б.

Показники



Маса тіла (г)

Зріст (см)

Індекс

1

Крайно О.Ю.

7100

165

430,3

2

Мусько В.А.

6500

168

386,9

3

Ларіна Г.Г.

6000

160

375,0

4

Суріло М.В.

5500

161

341,6

5

Гнатько С.О.

5000

165

303,0

6

Морочковська Л.А.

6500

175

371,4

7

Василенко К.Ю.

8500

165

515,2

8

Лой И.В.

5000

150

333,3

9

Сова У.М.

5600

162

345,7

10

Тайних М.М.

6800

165

412,1

11

Тайних В.М.

5100

170

300,0

12

Казка О.Д.

5000

172

290,7

13

Ліпатова К.В.

6300

165

381,8

14

Гросіль М.Ф.

5800

170

341,2

15

Бабко Д.О.

5400

155

348,4

M

6007

164,5

365,11

±m

236,66

1,38

13,44


Як бачимо на початок дослідження середня маса ставила 6001±236,66 г, середній зріст - 164,5±13,44 см, середній массо-зростовий індекс составив 365,11±13,44. У таблиці 3.2 занесені результати кунцевого дослідження масо-зростового індексу у жінок 20-25 років після занять йогою.

Таблиця 3.2 Результати кінцевому дослідження масозростового індексу

№п/п

П.І.Б.

Показники



Маса тіла (г)

Зріст (см)

Індекс

1

Крайно О.Ю.

6478

165

392,6

2

Мусько В.А.

5930

168

353,0

3

Ларіна Г.Г.

5474

160

342,1

4

Суріло М.В.

161

311,7

5

Гнатько С.О.

4562

165

276,5

6

Морочковська Л.А.

5930

175

338,9

7

Василенко К.Ю.

7755

165

470,0

8

Лой И.В.

4562

150

304,1

9

Сова У.М.

5109

162

315,4

10

Тайних М.М.

6204

165

376,0

11

Тайних В.М.

4653

170

273,7

12

Казка О.Д.

4562

172

265,2

13

Ліпатова К.В.

5748

165

348,4

14

Гросіль М.Ф.

5292

170

311,3

15

Бабко Д.О.

4927

155

317,9

M

5480

164,5

333,12

±m

234,04

13,44

13,89


Як бачимо на прикінці дослідження середня маса ставила 5480±234,04г, середній зріст - 164,5±13,44 см, середній массо-зростовий індекс составив 333,12±13,89.

У таблиці 3.3 показанадинаміка змін масо-зросовтого індексу у жінок 20-25 років, які займалися йогою.

Таким чином бачимо, що зміни показника масово-зростового індексу відбулись за рахунок зменшення маси тіла, оскільки зріст залишився незмінним (малюнок 3.1).

Малюнок 3.1 Зміни показника масово-зростового індексу

На таблиці 3.3 показана динаміка змін силового індексу у лобстежених на початку та наприкінці дослідження.

Як видно з таблиці при первинному обстеженні силовий індекс у середньому составляв 53,37±2,37, наприкінці дослідження - 66,15±3,02.

Зміни показника силового індексу відбулись за рахунок зменшення маси тіла і збільшення силового показника (малюнок 3.5).

Таблиця 3.3 Динаміка силового індексу обстежених під впливом занять Йогою (%)

№п/п

П.І.Б.

Строки дослідження



первинне

кінцеве

1

Крайно О.Ю.

42,3

51,6

2

Мусько В.А.

43,5

53,2

3

Ларіна Г.Г.

52,0

63,5

4

Суріло М.В.

59,1

72,1

5

Гнатько С.О.

57,2

69,8

6

Морочковська Л.А.

55,4

67,6

7

Василенко К.Ю.

29,4

35,9

8

Лой И.В.

66,2

80,8

9

Сова У.М.

60,7

74,1

10

Тайних М.М.

47,8

58,4

11

Тайних В.М.

56,3

68,7

12

Казка О.Д.

62,0

75,7

13

Ліпатова К.В.

48,6

59,3

14

Гросіль М.Ф.

55,2

67,4

15

Бабко Д.О.

64,8

79,1

M

53,37

66,15

±m

2,37

3,02

Статистичні показники

t

3,157


p

˃0,01


Малюнок 3.2 Зміни показника силового індексу

У таблиці 3.4 показана динаміка змін подвійного добутку під впливом заніть йогою.

Таблиця 3.4 Динаміка подвійного добутку обстежених під впливом занять йогою (ум.од.)

№п/п

П.І.Б.

Строки дослідження



первинне

кінцеве

1

Крайно О.Ю.

84,00

75,60

2

Мусько В.А.

94,30

84,87

3

Ларіна Г.Г.

82,50

80,03

4

Суріло М.В.

85,20

80,94

5

Гнатько С.О.

91,20

79,34

6

Морочковська Л.А.

81,40

70,82

7

Василенко К.Ю.

96,00

93,12

8

Лой И.В.

80,50

78,09

9

Сова У.М.

82,80

80,32

10

Тайних М.М.

96,00

93,12

Продовження таблиці 3.4

11

Тайних В.М.

90,00

87,30

12

Казка О.Д.

82,50

80,03

13

Ліпатова К.В.

80,00

77,60

14

Гросіль М.Ф.

92,40

89,63

15

Бабко Д.О.

80,50

78,09

M

86,62

81,93

±m

1,36

1,52

Статистичні показники

t

2,305


p

˃0,05


Зміни показника подвійного добутку відбулись за рахунок зменшення АТ та ЧП і дорівнюють 5,4% (малюнок 3.6).

Малюнок 3.3 Зміни показника подвійного добутку (у.о.)

В таблиці 3.5 показана динаміка PWC обстежених під впливом занять йогою.

Таблиця 3.5 Динаміка PWC обстежених під впливом занять йогою (Вт/кг)

№п/п

П.І.Б.

Строки дослідження



первинне

кінцеве

1

Крайно О.Ю.

2,17

2,55

2

Мусько В.А.

2,32

2,71

3

Ларіна Г.Г.

2,33

2,72

4

Суріло М.В.

2,67

3,13

5

Гнатько С.О.

3,16

3,70

6

Морочковська Л.А.

2,20

2,58

7

Василенко К.Ю.

1,82

2,13

8

Лой И.В.

3,01

3,53

9

Сова У.М.

2,63

3,07

10

Тайних М.М.

2,11

2,46

11

Тайних В.М.

2,88

3,37

12

Казка О.Д.

3,31

3,88

13

Ліпатова К.В.

2,57

3,01

14

Гросіль М.Ф.

2,53

2,96

15

Бабко Д.О.

2,65

3,10

M

2,56

2,99

±m

0,09

0,11

Статистичні показники

t

3,002


p

˃0,01


Зміни показника PWC (Малюнок 3.7) відбулись за рахунок зменшення маси тіла і збільшення ЖЄЛ та дорівнюють 17%.

Малюнок 3.4 Зміни показника PWC (Вт/кг)

У таблиці 3.6 показані зміи показників Індекс Руф’є при первинному та при кінцевому дослідженні

Таблиця 3.6 Індекс Руф’є (бали)

№п/п

П.І.Б.

Строки дослідження



первинне

кінцеве

1

Крайно О.Ю.

7

5,3

2

Мусько В.А.

12,2

9,9

3

Ларіна Г.Г.

10,7

9,0

4

Суріло М.В.

7,5

5,7

5

Гнатько С.О.

4,4

2,6

6

Морочковська Л.А.

11

8,6

7

Василенко К.Ю.

15,2

13,1

Лой И.В.

8,2

6,6

9

Сова У.М.

8,9

7,3

10

Тайних М.М.

8

6,4

11

Тайних В.М.

9,6

8,0

12

Казка О.Д.

12,3

10,6

13

Ліпатова К.В.

8,4

6,8

14

Гросіль М.Ф.

8,1

6,5

15

Бабко Д.О.

12,2

10,6

M

9,58

7,8

±m

0,66

0,62

Статистичні показники

t

1,968


p

<0,05


Зміни показника індексу Руф’є складають 14,2% і свідчать про покращення функціонального стану кардіореспіраторної системи (малюнок 3.8).

Малюнок 3.5 Зміни показника індексу Руф’є (бали)

У табліці 3.7 занесено підсумкові оцінки рівня фізичного здоровя жінок 20-25 років до та після тримісячного заняття йогою.

Таблиця 3.7 Підсумкова оцінка рівня фізичного здоров’я (бали)

№з/п

масово-зростовий індекс

силовий індекс

подвійний добуток

PWC

Індекс Руф'є

Сума балів


п

к

п

к

п

к

п

к

п

к

п

к

1

-2

-1

2

3

3

3

5

5

3

3

11

13

2

-1

0

2

3

3

4

5

5

-1

3

8

15

3

-1

0

3

5

4

4

5

5

-1

3

10

17

4

0

0

4

5

3

4

5

5

3

3

15

17

5

0

0

4

5

3

4

5

5

5

5

17

19

6

0

0

3

5

4

4

5

5

-1

3

11

17

7

-3

-3

1

1

1

3

3

5

-2

-1

-1

5

8

0

0

5

5

4

4

5

5

3

3

17

17

9

0

0

5

5

4

4

5

5

3

3

17

17

10

-2

-1

2

4

1

3

5

5

3

3

9

14

11

0

0

4

5

3

3

5

5

3

3

15

16

12

0

0

5

5

4

4

5

5

-1

-1

13

13

13

-1

0

2

4

4

4

5

5

3

3

13

16

14

0

0

3

5

3

3

5

5

3

3

14

16

15

0

0

5

5

4

4

5

5

-1

-1

13

13

M

-0,67

-0,33

3,33

4,33

3,2

3,67

4,87

5

1,47

2,33

12,13

15,0

m

0,24

0,21

0,298

0,298

0,25

0,1

0,14

0

0,53

0,33

1,21

0,85

t

1,038

2,37

1,715

0,978

1,389

1,943

p

˂0,05

˃0,05

˂0,05

˂0,05

˂0,05

˂0,05

п - початковий результат, к - кінцевий


З таблиці 3.8можна побачити якісну оцінку рівня фізичного здоровя жінок 20-25 років, що займаються йогою при первинному та при кінцевому дослідженнях.

Таблиця 3.9 Підсумкова якісна оцінка рівня фізичного здоров’я за морфофункціональними показниками (бали)

Градації рівня фізичного здоров’я

Строки дослідження


первинне

кінцеве

Низький

1

1

Нижче середнього

2

0

Середній

7

4

Вище середнього

5

9

Високий

0

1


За кількісною оцінкою показників фізичного здоров’я (малюнок 3.6) бачимо, що загальний рівень в групі змінився з середнього на рівень віще середнього, майже наблизившись до високого.

Таким чином, під впливом тренувальних занять у обстежуваних наблюдаємо покращення їх функціональног о стану. Підтвердженням цьому служать дані приросту величин всіхпоказників, що вивчаються.

Отримані в наший роботі дані переконливо свідчать про те, що заняття йогою сприяють покращенню функціонального стану серцево-судинної і дихальної систем жінок 20-25 років.

Малюнок 3.6 Зміни кількісних показників фізичного здоров’я, бали

РОЗДІЛ 4. ОХОРОНА ПРАЦІ ТА БЕЗПЕКА У НАДЗВИЧАЙНИХ СИТУАЦІЯХ

.1 Аналіз потенційних небезпек при аналізі роботи фітнес-центру в процесі були виявлені потенційно можливі небезпеки

Механічні травми у працівників та відвідувачів внаслідок підсковзування на слизькій керамічній підлозі, незручного взуття, зниженої рухової активності у пацієнтів з надмірною масою тіла, погіршеною увагою.

Кістково-м’язові порушення та запалення приводять до запальних процесів в м’язах, суглобах та зв’язках у інструкторів та тренерів ЛФК у зв’язку з тривалим робочим днем без перерви, навантаження на м'язи спини, шиї, рук та ніг.

Нервово-психічне навантаження у працівників внаслідок роботи з дорослими та підлітками, які мають емоційне напруження та поведінку, яка не відповідає умовам діяльності у даній обстановці; неможливість відпочинку у перервах в роботі.

Негативний вплив електромагнітних випромінювань при використанні ПК адміністрацією при веденні та контролю інформації про клієнтів та роботу фітнес-центру.

Недостатнє освітлення виробничих приміщень та робочих міст внаслідок неправильного розташування освітлювальних приладів чи їх несправність негативно впливає на зір не тільки працівників а й відвідувачів і може призвести до його погіршення.

Незадовільні параметри мікроклімату робочого міста, що може викликати загальні захворювання, особливо суттєві швидкі пориви повітря при природній вентиляції під час занять.

Ймовірність виникнення пожежі у зв’язку з несправністю електричного обладнання, недотримання або порушення правил протипожежної безпеки обслуговуючим персоналом, несправністю пожежної сигналізації або засобів пожежогасіння.

Неправильні дії персоналу в умовах надзвичайних ситуацій, при ліквідації наслідків таких ситуацій, які можуть привести до травм або загибелі людей. [29]

.2 Заходи щодо забезпечення безпеки

При вступі на роботу працівників або при першому відвідуванні центра пацієнтами проводиться інструктаж з охорони праці та пожежної безпеки відповідно до вимог НПАОП 0.00-4.12.-05 «Типове положення про порядок проведення навчання і перевірки знань з питань охорони праці».

Електрична мережа та електрообладнання, що використовується в закладі та їх експлуатація відповідають вимогам ДНАОП 0.00-1.21-98 «Правила безпечної експлуатації електроустановок споживачів». Своєчасно проводиться профілактичний огляд, планово-попереджувальні ремонти. Шафи, в яких встановлені електрощити, постійно зачинені на замок. Не використовуються кабелі та проводи з пошкодженою ізоляцією, заборонено користування несправними розетками, користуватись електроприладами, які споживають струм понад передбачених для них величин. Електрорадіатори, які використовуються для опалення, і нагрівачі-електропанелі заводського виготовлення мають індивідуальний електрозахист і справні електрорегулятори. Усе електрообладнання заземлено відповідно до вимог ПУЕ («Правила улаштування електроустановок»).

Приміщення для занять лікувальною фізичною культурою спроектовані та задовольняють вимогам ДБН В.2.2-13-2003 «Спортивні та фізкультурно-оздоровчі споруди», ДСанПін 5.2.2.008-01 «Санітарні правила і норми устаткування, утримання загальноосвітніх навчально-виховних закладів та організації навчально-виховного процесу», що забезпечує постійне безпечне перебування в приміщенні як працівників, так і пацієнтів.

З метою запобігання механічних травм під час занять в спортивному залі враховані рекомендації ДНАОП 9.2.30-1.08-99 «Правила безпеки під час проведення занять з фізичної культури і спорту в загальноосвітніх нвчальних закладах» та встановлена площа 2,8 м² на одного пацієнта, а в разі необхідності створюється ще більший простір до 4 м².

Підлоги пружні, без щілин і застругів, мають рівну, горизонтальну й неслизьку поверхню, пофарбовану емульсійною фарбою. Щоденно проводиться вологе прибирання, а один раз в тиждень - генеральне прибирання. Підлоги не деформуються від миття і до початку занять вже сухі й чисті для запобігання травматизму.

Використовуються дезінфекційні засоби для прибирання кабінетів, коридорів, залів та санвузла. Маються висновки державної санітарно-епідеміологічної експертизи на дезінфікуючі засоби «Дезактін», «АНД - 2000 гель», забезпечена достатня кількість чистої білизни та прибирального інвентарю, спецодяг зберігається окремо від особистих речей, укладено договір з ТОВ «Профдезинфекція» про проведення дератизаційних та дезінсекційних послуг (підстава ст. Закону України «Про забезпечення санітарного та епідемічного благополуччя населення» № 4004-XII від 24.02.94 р., ст. 34 Закону України «Про захист населення від інфекційних хвороб» № 1645-III від 06.04.2000 р., п.9, п.9.1, п.9.21 СанПіН 5179-90 пункти санітарних норм, правил, гігієнічних нормативів).

Підлога прилеглих приміщень вкрита неслизьким кахлем згідно вимогам до полу ДБН В 2.2-9-99 «Здания и сооружения. Общественные здания и сооружения». Після вологого прибирання в залі ЛФК або прилеглих приміщеннях встановлюється попереджувальний плакат: «Обережно слизька підлога!» відповідно вимогам ГОСТа 12.4.026 - 76 (1987) «ССБТ. Цвета сигнальные и знаки безопасности», що також є ефективною профілактикою виникнення травматизму.

Навантаження для пацієнтів відповідає рекомендаціям лікаря, заняття починаються після медичного обстеження та допуску до занять.

Спеціалісти та інструктори центру мають досвід в своїй роботі з хворими та проходять курси підвищення кваліфікації для підвищення рівня освіти. [30]

Передбачене медичне обстеження для працівників та спеціалістів, які допускаються до роботи після обстеження; також обов’язкове проходження інструктажу по правилам техніки безпеки в спортивних залах. та в центрі взагалі.

Для передбачення розвитку основного захворювання та виникнення різних ускладнень відбуваються різні види контролю: самоконтроль, зовнішній контроль, опитування, в разі необхідності медичний контроль - вимірювання артеріального тиску та пульсу.

Заняття підрозділяється на 3 пов’язаних між собою частини: розминка (вступна частина), найбільш інтенсивна частина заняття (основна частина) та релаксація (заключна частина заняття). В разі необхідності в залежності від самопочуття пацієнтів структура заняття змінена чи послаблено навантаження.

Одяг під час занять легкий та зручний, не заважає рухам.

При заняттях в літній період одяг складається з майки та шортів, в прохолодну погоду використовується бавовняний чи шерстяний трикотажний спортивний костюм. Під час занять на вулиці в прохолодну погоду використовується спортивний одяг з високими теплозахисними та вітрозахисними властивостями. Звичайно це бавовняна білизна, шерстяний костюм чи светр з брюками, шапочка. При сильному вітрі зверху надівається вітрозахисна куртка. Взуття легке, еластичне та добре вентильоване. Воно повинно бути зручним, тривким, добре захищати стопу від пошкоджень. Спортивне взуття та шкарпетки чисті та сухі для попередження потертості, а при низькій температурі повітря - обмороження. Для занять на вулиці зимою рекомендується непромокне взуття, в якого є високі теплозахисні властивості. Її розмір повинен бути трохи більш звичайного, що дає можливість використовувати теплу устілку.

Враховуючи навантаження на тренерів та спеціалістів, які працюють з групами або індивідуально, та внаслідок цього підвищену втомленість та погане самопочуття (захворювання дихальних шляхів, запальні процеси в м’язах, суглобах та зв’язках), що може приводити до нервово-психічних зривів, використовуються перерви між заняттями. [31]

.3 Заходи щодо забезпечення виробничої санітарії та гігієни праці

Приміщення закладу відповідає вимогам «Типовые правила експлуатации спортивных залов при проведении учебно-тренировочных занятий», а також ДНАОП 0.00-1.21-98 «Правила безпечної експлуатації електроустановок споживачів», Правил влаштування електроустановок (ПВЕ) і НАПБ В.-01.050-98/920 «Правила пожежної безпеки для закладів, установ та організацій системи освіти України» Матеріали, що використовуються для обладнання і оздоблення закладу та залів для заняття, відповідають вимогам чинних документів узгоджених з Міністерством охорони здоров’я України.

Для механізованого прибирання в спортивному залі передбачено не менше двох штепсельних розеток у двох протилежних кутках залу. На всіх штепсельних розетках встановлені запобіжні заглушки.

Стіни спортивних залів рівні, гладенькі, пофарбовані у світлі тони на всю висоту панелей фарбами, що дають змогу легко виконувати вологе прибирання приміщення. Прилади опалення закриваються сітками і не виступають з площини стіни.

Вікна мають фрамуги, які можна відчинити, стоячи на підлозі, і сонцезахисні пристрої, що дає можливість як забезпечити природну вентиляцію, так і зменшити вплив сонця на пацієнтів.

Стеля залу має пофарбування.

Як джерело світла для залів використовують люмінесцентні світильники типу стельових плафонів, що мають безшумні пускорегулювальні апарати.

Вплив на працюючих небезпечних та шкідливих виробничих факторів (НШВФ), способи запобігання чи зменшення їх негативного впливу, засоби, які нормалізують мікроклімат, приладне забезпечення контролю показників небезпечних та шкідливих факторів, інші вимоги по ергономіці та технічної естетиці визначаються по ГОСТ 20.39.108-85.

Метеорологічні параметри працюючої зони відповідають вимогам ГОСТ

.1005-88 ССБТ «Общие санитарно-гигиенические требования к воздуху рабочей зоны». які наведені в таблиці 4.1.

Таблиця 4.1 Загальні санітарно-гігієнічні вимоги до повітря робочої зони


Вентиляція критих спортивних споруд здійснюється природним способом шляхом провітрювання залу через вікна й фрамуги, а також за допомогою спеціальних вентиляційних припливно-витяжних пристроїв; при цьому пристрої завжди справні та підлягають періодичному технічному й санітарно-гігієнічному випробуванню та планово-запобіжному ремонту. Вентиляція та опалення забезпечують повітрообмін під час занять 80 м³/год на одну людину і температуру повітря не нижчу за 14º відповідно до ДСанПіН 5.5.2.008-98 (-) «Державні санітарні правила і норми устаткування, утримання загальноосвітніх навчально-виховних закладів та організації навчально-виховного процесу». [32]

Керування освітленням дає змогу частково вимикати освітлювальну установку. Для цього електрична мережа, що забезпечує зал електроенергією, обладнана рубильниками або двополюсними вимикачами. Рубильники встановлюються поза приміщенням.

Для освітленості спортивних залів використовуються лампи люмінесцентні, світильники типу ЛПО, що відповідає вимогам ДБН В.2.2-13-2003 «Спортивні та фізкультурно-оздоровчі споруди», ДСанПін 5.2.2.008-01 «Санітарні правила і норми устаткування, утримання загальноосвітніх навчально-виховних закладів та організації навчально-виховного процесу».

Допоміжні приміщення мають штучне освітлення в 75 лк за допомогою люмінесцентних ламп.

Розрахунок освітленості залу ЛФК.

. При виборі системи освітлення користувались Державними будівельними нормами України (ДБН В.2.5 - 28 - 2006 «Природне та штучне освітлення» і застосувала систему комбінованого освітлення.

. Характеристика освітленості залежить від розряду зорових робіт, фону, контрасту об’єкта з фоном, системи освітлення.

Згідно ДБН В.2.5 - 28 - 2006 «Природне та штучне освітлення» розряд зорових робіт відноситься до VIII розряду та не залежить від характеристик фону та контрасту об’єкту з фоном; загальна освітленість дорівнює 200 лк.

. Клас приміщення за вибухонебезпекою III а.

Джерелом світла обрано люмінесцентні лампи потужністю 40 Вт по 4 лампи на світильник, тип лампи ЛБ та світловий потік лампи 3200 лм.

. Вибираємо тип світильника ЛПО, який має розсіяний світлорозподіл 40 - 60 % (крива сила світла - косинусна).

Тип кривої сили світла - Д косинусний..

IP обраного нами типу світильників має цифру 20, що означає 2 - захист від твердих тіл понад 12 мм, 0- захист від вологи відсутній.

При загальному освітлені для вибору раціонального світильника використовують коефіцієнт світильника (L\h) - 1,4.

. Коефіцієнт запасу kз враховує зниження рівня освітленості з часом в результаті забруднення та старіння ламп, світильників і поверхонь приміщення, приймається в залежності від виробничих умов.

Так як в приміщенні відсутні пари кислот і лугів, запиленість незначна коефіцієнт запасу дорівнює 1, 4 - 1,7 (1,5).

Коефіцієнт нерівномірності (мінімального) освітлення z (відношення середньої освітленості до мінімальної освітленості), як правило дорівнює для люмінесцентних ламп низького тиску z= 1,1.

. Визначаємо коефіцієнти відбиття поверхонь приміщення (від стелі - сс, стін - сст, підлоги - сп)

В залежності від виділення пилу у процесі роботи розрізняють:

світлі приміщення;

приміщення з незначним пиловиділенням;

приміщення зі значним пиловиділенням.

Наше приміщення відноситься до категорії приміщення з незначним пиловиділенням та має сс=50 %; сст=30 %; сп=10 %. Загальний коефіцієнт відбиття с=50 %.

. Визначаємо чисельне значення індексу приміщення за рівняннями 4.1 та 4.2:

i = AB/Н(A+B) (4.1)

де А - довжина приміщення, 10 м;

В - ширина приміщення, 8 м

Н - висота виробничого приміщення, 3 м;

і = 10∙8/3∙(8 +10) = 80/3∙18 = 80/54 = 1,481≈1,5 (4.2)

. Визначаю значення коефіцієнта використання світлового потоку, який створюється світильниками обраного типу з, він дорівнює 46 %.

. Визначаю світловий потік лампи та загальної кількості світильників:

а) визначаю сумарний світловий потік освітлювальної установки у даному приміщенні по формулам 4.3 та 4.4:

ФУ = Ен∙Ѕ∙нз∙z/з , (4.3)

де ФУ - розрахункове значення сумарного світлового потоку у приміщенні, лм;

Ен - нормоване значення освітленості , лк;

Ѕ - площа освітлювальної поверхні, м²;

нз - коефіцієнт запасу;

z - коефіцієнт нерівномірності (мінімальної) освітленості;

з - коефіцієнт використання світлового потоку.

ФУ = 200∙80∙1,5∙1,1/0,46 = 26400/0,46 = 57 391,304≈57 391 (4.4)

б) визначаємо максимальну відстань Lmax між рядами по формулі 4.5:

Lmax = [L/h]∙h = 1,4∙3 = 4,2; (4.5)

де L/h - числове значення коефіцієнта світильника,

h - висота приміщення.

в) визначаємо кількість рядів світильників у приміщенні по формулі 4.6:

Nс = В/Lmax = 8/4,2 = 1,90 ≈ 2; (4.6)

де В - ширина приміщення,

Lmax - максимальна відстань між рядами.

г) визначаю умовну загальну кількість світильників у приміщенні по формулі 4.7:

N*= AB/Lmax² = 80/17,64 = 4,535≈4,5 (4.7)

де А - довжина приміщення.

д) розраховую світловий потік умовного джерела світла по формулі 4.8 та 4.9:

Фл* = ФУ/N*∙n, (4.8)

де n - кількість ламп у світильнику.

Фл* = 57 391/4,5∙4= 57 391/18=3 188,388≈3188 лм (4.9)

е) обираю лл по типу ЛПО потужністю 40 Вт значення фактичного світлового потоку лампи Фл , він дорівнює 3200.

Тепер знаходжу коефіцієнт m (співвідношення між розрахунковим світловим потоком Фл* та фактичним світловим потоком вибраної стандартної лампи Фл ) по формулі 4.10:

m = Фл*/Фл = 3 188/3200 ≈ 0,99 (4.10)

ж) визначаю оптимальну кількість світильників у приміщенні по формулі 4.11:

N = N*∙m = 4,5∙0,99 = 4,45 (4.11)

. Визначаю загальну розрахункову освітленість Ер у приміщенні, що створюється при застосуванні стандартних ламп за допомогою формули 4.12 та 4.13:

Ер = Фл ∙Nл ∙з/S∙нз∙z , лк (4.12)

Ер = [3 200∙(4∙4)∙0,46]/80∙1,5∙1,1 = 23 552/132 =178,4, лк (4.13)

Відповідь: освітленість залу ЛФК практично відповідає нормам освітленості і дорівнює 178,4 лк (Ен = 200 лк). [33]

.4 Заходи з пожежної безпеки

Центр відповідно до НАПБ Б.02.005-94 забезпечений первинними засобами пожежогасіння: вогнегасники, пожежний інвентар ( пожежний щит, стенд, пожежні відра, ящики з піском), а також пожежними ломами, сокирами.

Місця розміщення первинних засобів пожежогасіння зазначені в планах евакуації. Відповідно до НАПБ В.01.050-98/920 «Правила пожежної безпеки для закладів, установ і організацій системи освіти України» спортивний зал у прилеглих до нього рекреаціях має бути обладнаний пінними або порошковими вогнегасниками у кількості не менше двох на приміщення.

Згідно з НАПБ А.01.001-95 « Правила пожежної безпеки»в фітнес-центрі встановлений відповідний протипожежний режим і порядок сповіщення людей про пожежу, з якими ознайомлюють нових працівників. Укладено договір на обслуговування автоматичної пожежної сигналізації з організацією, яка має ліцензію на проведення даного виду робіт (підстави п. 6.1.3 НАПБ А.01.001-04 «Правила пожежної безпеки в Україні»).

Розроблено та вивішено інструкцію про заходи пожежної безпеки на видному місті (підстава п. 3.4. НАПБ А.01.001-04 «Правила пожежної безпеки в Україні»). Проводиться інструктаж при прийняті на роботу працівників з питань пожежної безпеки, з відповідною відміткою у журналі інструктажів з питань пожежної безпеки (підстава п. 3.18 НАПБ А.01.001-04 «Правила пожежної безпеки в Україні»).

Укомплектоване приміщення відповідними засобами безпеки згідно з ГОСТ 12.4.026-76 (підстава п. 3.8 НАПБ А.01.001-04 «Правила пожежної безпеки в Україні»).

Заборонено паління в приміщеннях для запобігання пожежі (тільки в спеціально відведених містах).

Територія закладу постійно утримується в чистоті. Відходи, опале листя і суха трава регулярно прибираються і вивозяться з території.

Дороги, а також доступи до пожежного інвентарю та обладнання завжди вільні.

Розроблений і затверджений план евакуації та порядок оповіщення людей відповідно списку, який встановлює обов’язки і дії працівників закладу на випадок виникнення пожежі, який переглядається один раз на три роки з урахуванням умов, що постійно змінюються.

Пожежні рукави мають бути сухими, добре скатаними і приєднаними до кранів і стволів, один раз в 6 міс. здійснюється перевірка рукавів та пожежних кранів. На дверцятах шафи пожежного крану зазначені:

літерний індекс ПК;

порядковий номер пожежного крана і номер телефону найближчої пожежної частини.

У разі виникнення пожежі дії працівників мають бути спрямовані на створення безпеки людей, і в першу чергу дітей.

В першу чергу працівник зобов’язаний:

Негайно повідомити про пожежу за телефоном до пожежної частини (назвати адресу, місце вин виникнення пожежі, а також свою посаду та прізвище);

задіяти систему сповіщення людей про пожежу, розпочати евакуацію людей з будівлі до безпечного місця згідно з планом евакуації;

сповістити керівника про пожежу;

організувати зустріч пожежних підрозділів, вжити заходів до гасіння пожежі наявними засобами пожежогасіння. [30]

.5 Заходи по безаварійній зупинці об’єкту, дільниці, технологічної лінії по сигналу «Повітряна тривога»

Керівники об’єктів повинні передбачати управління надзвичайними ситуаціями. Для завдання забезпечення безпеки людей в надзвичайних ситуаціях стратегія управління повинна включати здійснення трьох цілей:

запобігання причин виникнення;

запобігання самих екстремальних ситуацій;

пом’якшення, максимальне ослаблення наслідків НС.

Стратегія запобігання причин виникнення НС передбачає недопущення таких дій чи процесів, які несуть загрозу населенню. Дана стратегія здійснюється або відмовою від будівництва небезпечних об’єктів, або знищенням чи перепрофілюванням виробництв - джерел підвищеної небезпеки.

Друга стратегія - запобігання самої НС - передбачає недопущення виходу небезпечного процесу з-під контролю шляхом використання надійних аварійних систем, сигналізації, автоматики й інших заходів з підвищення надійності і стійкості роботи підприємств, а також шляхом заходів превентивної евакуації.

Третя стратегія - пом’якшення наслідків - передбачає орієнтацію на ослаблення, локалізацію наслідків НС. Ця стратегія має пріоритет у керуванні стихійними лихами і ситуаціями «комбінованого» типу.

Для реалізації кожної зі стратегій управління необхідно розробляти і приймати комплекс превентивних та оперативних заходів.

Превентивні:

         аналіз і встановлення зовнішніх та внутрішніх причин, які ведуть до катастрофи;

         прогнозування осередків ураження, втрат і збитків на підприємстві;

         заходи з підвищеної стійкості;

         обґрунтування сил і засобів для проведення дій з локалізації вогнищ ураження і пошуково-рятувальних робіт;

         навчання формувань і громадян способам захисту;

         підготовка надійного КП управління.

Оперативні:

         оповіщення про НС;

         проведення всіх видів розвідки й оцінка обстановки;

         проведення екстрених захисних заходів (укриття, евакуація, використання ЗІЗ);

         використання сил постійної готовності для локалізації катастрофи;

         надання першої медичної і першої долікарської допомоги;

         нарощування сил і засобів в ОП за рахунок залучення формувань підвищеної готовності;

         термінове постачання потерпілих продовольством та іншими життєво необхідними засобами;

         введення аварійно-відбудовних робіт.

При небезпеці повітряного нальоту здійснюється оповіщення населення за допомогою сигналу «Повітряна тривога». Попереджається про небезпеку ураження противником даного району. По радіо передається текст: «Увага! Увага! Повітряна тривога!» Одночасно сигнал дублюється сиренами, гудками підприємств і транспорту. Тривалість сигналу 2 - 3 хв. [29]

При цьому сигналі об’єкти припиняють роботу, транспорт зупиняється і все населення укривається в захисних спорудах. Робітники і службовці припиняють роботу відповідно до інструкцій і вказівок адміністрації.

Проводиться світломаскування об’єктів для утруднення їх викриття та пізнавання авіацією ворога у нічний час. Вона включає заходи по прихованню освітлення, сигнальних, транспортних та виробничих вогнів, а також імітацію демаскуючих ознак на спеціально створених хибних об’єктах.

На об’єктах, розташованих на території встановлених зон світломаскування, передбачається два режими світломаскування - часткового та темного затемнення.

Режим часткового затемнення вводиться по спеціальному розпорядженню. Заходи, які проводяться в цьому режимі повинні знижувати до допустимої загальну освітленість об’єктів та створювати умови для своєчасного введення режиму повного затемнення.

Режим повного затемнення вводиться по сигналу «Повітряна тривога» та відміняється по сигналу «Відбій повітряної тривоги». В цьому режимі вимикається зовнішнє освітлення, маскується освітлення в містах проведення невідкладних робіт, на шляхах евакуації та на маршрутах рухів людей до сховища, Вимикається внутрішнє освітлення в будівлях, в яких зупиняється робота по сигналу «Повітряна тривога». В тих приміщеннях, в яких по цьому сигналу робота не зупиняється, внутрішнє освітлення маскується. Маскуються виробничі та транспортні вогні.

Маскування по світломаскуванню проводяться на різних етапах ведення ЦО. В мирний час плануються ці заходи, розробляється та виготовляється світломаскувальна апаратура, створюються запаси світломаскувального устаткування та матеріалів, розробляється та упроваджується система окремого підключення та вимикання зовнішнього та внутрішнього освітлення, силової електромережі, обладнується пункт централізованого вимкнення зовнішнього освітлення, а також центральний диспетчерський пункт (ЦДП), створюється та готовиться служба ЦЗ по світломаскуванню.

При загрозі нападу противника план світломаскування вводиться в дію, виконуються заходи часткового затемнення та контролюється їх ефективність, готовляться заходи по світломаскуванню виробничих та транспортних вогнищ та організується постійне чергування на пункті централізованого вимкнення зовнішнього освітлення та на ЦДП.

По сигналу «Повітряна тривога» виконуються заходи режиму повного затемнення та контролюється ефективність світломаскування.

На об’єкті робота зупиняється. Відключаються паропровід, газопровід, повітропровід та енергопостачання у всіх цехах та відділах. Споживачі (ділянки виробництва, які не відключаються по сигналу «Повітряна тривога») переключаються на аварійне енергопостачання. Крани звільняються від вантажів та прикріплюються. Робітники та службовці укриваються в захисних спорудах об’єкту згідно розрахунку. Чергові коло агрегатів та дільниць виробництва, які не відключаються, укриваються у внутрішньоцехових захисних спорудах.[32]

Сигнал може застати у будь-якому місці й будь-який час. В усіх випадках необхідно діяти швидко, але спокійно, впевнено, без паніки. Суворо дотримуватися правил поведінки, вказівок органів цивільного захисту.

Підвищення стійкості системи енергопостачання досягається проведенням як загальноміських, так і об’єктових інженерно-технічних заходів.

Створюються дублюючі джерела електроенергії, газу, води і пари шляхом прокладання декількох електро-, газо-, водо- і паро постачальних комунікацій та подальшого їх закільцювання.

Інженерні й енергетичні комунікації переносяться в підземні колектори, найбільш відповідальні пристрої (центральні диспетчерські розподільні пункти) розміщуються в підвальних приміщеннях будинків чи у спеціально побудованих міцних спорудах.

Стійкість систем електропостачання об’єкта підвищують, підключаючи його до декількох джерел живлення, віддалених одне від одного на відстань, що виключає можливість їх одночасного ураження його одним вибухом.

На об’єктах, що мають теплові електростанції, обладнують пристосування для роботи теплоелектроцентралі (ТЕЦ) на різних видах палива, уживають заходів щодо створення запасів твердого і рідкого палива, його укриття і посилення конструкцій сховищ горючих матеріалів.

У мережах електропостачання проводять заходи щодо переведення повітряних ліній електропередач на підземні.

Для стійкого та надійного постачання підприємств газом, необхідно передбачати його подачу в газові мережі об’єктів від газорегуляторних пунктів (газороздавальних станцій). При будівництві нових або реконструкції старих газових мереж по можливості створювати закільцьовані системи.

Усі вузли і лінії газопостачання бажано розміщувати під землею (заглиблення комунікацій значно зменшує імовірність їх ураження від вибуху та інших засобів нападу, а крім того значно знижує можливість виникнення вторинних факторів ураження).

Якщо на об’єкті передбачається будівництво котельні, її потрібно розміщувати в окремій спеціальній будівлі.

Заходи по підвищенню стійкості системи каналізації розроблюють окремо для зливових, промислових та господарських зливів.

На об’єкті обладнують не менш двох виводів з підключенням до міських каналізаційних колекторів і додатково обладнують виводи для аварійних скидань неочищених вод у прилеглі до об’єкта яри та інші природні заглиблення.[33]

Одним з найважливіших заходів по забезпеченню сталого, безперервно на всіх етапах управління у надзвичайних ситуаціях є розподіл всього персоналу об’єкта на дві групи: працююча зміна і відпочиваюча. До того ж створюються дві-три групи управління (за кількістю змін), які ,крім керівництва виробництва, повинні бути готові будь-якої миті, взяти на себе організацію і керівництво проведення РІНР.

Особливе значення має сталість виробничих та господарських зв’язків з постачанням об’єкта всіма видами енергії, водою, парою, газом, транспортних послуг, поставок сировини, напівфабрикатів, комплектуючих виробів та ін.

Розміри незменшуваних запасів визначають для кожного об’єкта залежно від можливості їх накопичення, важливості продукції, яка випускається, визначених термінів переходу на виробництво продукції в умовах надзвичайних ситуацій.

Стабільно працююче підприємство повинно бути здатним безперебійно випускати продукцію за рахунок наявних запасів до відновлення зв’язку з поставок або до одержання необхідного від нових постачальників.

Для ведення рятувальних та невідкладних аварійно-відновлювальних робіт по рішенню начальника ЦО району привертаються формування загального призначення та формування служб інших об’єктів, які знаходяться в заміській зоні.

Сигнал «Відбій повітряної тривоги». Органами цивільного захисту через радіотрансляційну мережу передається текст: «Увага! Увага! Громадяни! Відбій повітряної тривоги!». За цим сигналом населення залишає захисні споруди і повертається на свої робочі місця і в житла.

Бойовий розрахунок пункту управління об’єкту займають свої робочі міста, встановити зв'язок з Центральним Управлінням (ЦУ) ЦО району, з заміськими ЦУ, а також з захисними спорудами об’єкту.

Матеріально-технічне та інші види забезпечення рятувальних та невідкладних аварійно-відновлювальних робіт проводяться згідно розрахункам. [31]

ВИСНОВКИ ДО РОЗДІЛУ «ОХОРОНА ПРАЦІ ТА БЕЗПЕКИ В НАДЗВИЧАЙНИХ СИТУАЦІЯХ

В центрі встановлений протипожежний режим згідно з НАПБ В.01.050-98/920 «Правила пожежної безпеки для закладів, установ і організацій системи освіти України». Встановлена електрична пожежна сигналізація (ЕПС), є два порошкові вогнегасники місткістю 5 л, а також є допоміжні інструменти. У чергового є запасні ключі від всіх приміщень центру.

Згідно ПУЕ («Правила улаштування електроустановок») для електроприладів встановлено заземлення з опором не більше 4 Ом.

Приміщення центру відповідає будівельним та санітарним нормам відповідно до ДБН В.2.2-13-2003 «Спортивні та фізкультурно-оздоровчі споруди» та ДСанПін 5.2.2.008-01 «Санітарні правила і норми устаткування, утримання загальноосвітніх навчально-виховних закладів та організацій навчально-виховного процесу».

Для забезпечення зручності та виконання правил особистої гігієни встановлені норми для одягу, який не заважає виконанню фізичних вправ для відвідувачів та роботі з хворими інструкторам та спеціалістам.

При заняттях з хворими лікувальні комплекси складаються з врахуванням стану відвідувачів та рекомендацій лікаря.

Для працівників обов’язкове проходження медичної комісії та підвищення кваліфікації для розроблення нових методик лікування хворих.

Для спеціалістів центру створені ергономічні умови праці з врахуванням відпочинку між занять з групами та обіднею перервою, щоб попередити кістково-м’язові порушення в організмі та нервово-психічне навантаження нервової системи.

Для створення необхідної освітленості в спортивному залі встановлені світильники, які відповідають чинним нормам пожежної безпеки. Джерелом світла являються світильники типу ЛПО потужністю 4 по 18 Вт для виконання робіт VIII розряду згідно ДБН В.2.5-28-2006 «Природне і штучне освітлення».

У разі подання сигналу про будь-яку надзвичайну ситуацію розроблено план дій персоналу, Зазначено використання індивідуальних засобів захисту.

ВИСНОВКИ

1.            Проаналізована література за темою роботи показала, що на теперішній час зниження морфо - функціональних показників здоров’я частіше пов’язане нестачою рухової активності, а йога є одним з найкращих способів нормалізації та оптимізації цих показників.

2.      За морфофункціональним|и показниками початкови|вихідний|й рівень фізичного здоров'я у жінок 20-25 років що займались йогою був визначений як низький у 1 обстеженої, нижче середнього - у 2, середній у 7 обстежених, віще середнього - у 5. У групу входили жінки, що ведуть типовий для своєї вікової категорії спосіб життя. Найнижчими виявились показники масо-ростового індексу та індексу Руф’є. Це повністю відповідає тим проблемам, з якими жінки звернулись до інструктора, це зайва вага та низькі адаптивні можливості кардіореспіраторної системи.

3.            Під впливом занять йогою жінок 20-25 років протягом 3 місяців покращились наступні морфофункціональні| показники: силовий індекс, індекс Руф’є і PWC. Найбільших позитивних змін зазнали показники індексу Руф‘є і PWC. За кількісною оцінкою загальний результат в групі покращився з середного рівня до рівня вижче середнього. Достовірних змін не визначено за такими показниками, як подвійний добуток та масово-ростовий індекс. Негативної динаміки досліджуваних показників не відмічалось. Отримані в роботі дані переконливо свідчать про те, що заняття йогою сприяють оптимізації функціонального стану серцево-судинної і дихальної систем жінок 20-25 років.

4.            Внесені наступні методичні пропозиції|речення| по удосконаленню занять з йоги для жінок 20-25 років:

·        на початковому етапі тренувань обов’язково визначати рівень фізичного здоров’я;

·        на початковому етапі тренувань найбільшу увагу приділяти дихальним вправам та вправам на концентрацію і зосередження;

·        перехід від тренувань з перевагою динамічних навантажень до тренувань з перевагою статичних навантажень повинен відбуватися повільно і поступово.

СПИСОК ЛІТЕРАТУРИ

1.      Селуянов В.Н. Технология оздоровительной физической культуры./ Селуянов В.Н. - М.: Спорт Академ Пресс, 2001.- 172 с.

.        Грец ИА. Индивидуальное программирование занятий оздоровительной физической культурой для женщин 30-40 лет: Автореф. дис. канд. пед. наук: 13.00.04/ Грец И А. - Смоленск, 2001. - 26 с.

.        Загальні основи теорії та методики фізичного виховання./ За редакцією Т. Ю. Круцевіч. - К.: Олімпійська література, 2003. - 442 с.

.        Іващенко Л.Я. Самостійні заняття фізичними вправами./ Іващенко Л.Я. - К.: Здоров'я, 1998. - 9 с.

5.      Амосов Н.М. Роздуми про здоров'я./ Амосов Н.М. - М.: Медицина, 1987. - 230 с.

.        Муравов І.В. Фізична культура і активне довголіття./ Муравов І.В. - М.: Вища школа, 1979. - 396 с.

7.      Баєвский Р.М. Математический анализ изменений сердечного ритма при стрессе / Р.М. Баєвский, О.В. Кирилов. - М.: Медицина, 1987. - 324 с.

.        Апанасенко Г.Л Медицинская валеология/Апанасенко Г.Л., Попова Л.А.- К.: Феникс, 2000. - 248 с.

.        Ж. Шеррер Физиология труда/ Ж. Шеррер . - М.: Медицина,1973 - 466с.

.        Купер К. Азробика для хорошего самочувствия./ Купер К. - М.: ФиС, 1989. - 320с.

.        Сологубова С.В. Новий підхід до методики організації занять оздоровчим шейпінгом с жінками 25 років / Сологубова С.В. // Збірник наукових праць «Педагогіка, психологія та медико-біологічні проблеми фізичного виховання та спорту».- №15. - 2004. - С. 128-135

.        Уілмер Джек Х. Фізіологія спорту./ Уілмер Джек Х., Костілл Девід Л. - К.: Олімпійська література.- 2001.- 502 с.

13.    Вернадский В.И. Биосфера и ноосфера / Вернадский В.И. - М.: Наука, 1989. - 262 с.

.        Брехман І.І. Валеологія - наука про здоров'я. / Брехман І.І. - М.:Вища школа, 1990. - 510 с.

15.    Бальсевич В.К. Физическая активность человека / В.К. Бальсевич, В.А. Запорожанов.- К.: Здоров'я. - 1987. - 224 с.

.        Губарева Е.С. Развитие педагогической технологии в оздоровительных видах гимнастики: Автореф.дис... канд. наук по физ. воспитанию и спорту: 24.00.02./ Губарева Е.С. - НУФВСУ.-К., 2001.-21 с.

.        Чубакова В.А. Педагогические технологи проведения занятий различными видами оздоровительной аэробики с женщинами молодого возраста (21-35 лет): Автореф. дис.. канд..наук.: 13.0004/ Чубакова В.А. - М., 2006.- 23 с.

18.    Епифанова В.А. Лечебная физическая культура. Справочник/ Епифанова В.А. - М.: Медицина,1988. - 232с.

19.    Луковська О.Л. Сучасний підхід до побудови шейпінгс-тренування жінок зрілого віку/ Луковська О.Л., Гіркіна (Сологубова) С.В. // Фізична культура, спорт і реабілітація в закладах освіти: Збірник наукових праць.- Рівне: РДГУ.- 2004.- Випуск 2.- С. 107-111.

.        Хоулі Едвард Т. Оздоровчий шейпінг./ Хоулі Едвард Т., Френкс Б. Дон - К.: Олімпійська література, 2000.- 367 с.

.        Куц А.С. Модельные показатели физического развития и двигательной подготовленности населения центральний Украины./ Куц А.С. - К.:Искра, 1993. - 255 с.

.        Хоули Эдврд Т. Руководство инструктора оздоровительного фитнеса./ Хоули Эдврд Т., Френкс Б. Дон - К.: Олимпийская литература, 2004.- 375 с.

23.    Муравов І.В. Оздоровчі ефекти фізичної культури і спорту./ Муравов І.В. - До., 1989. - 203 с.

.        Фомін Н.А. Фізіологія людини. / Фомін Н.А. - М.: Высшая школа 1982. - 380 с.

25.    Амосов Н.М. Фізіологічна активність і серце./ Амосов Н.М., Бендет Я.А. - До.: Наука, 1989. - 216 с.

.        Белов В.І. Енциклопедія здоров'я./ Белов В.І. - М.: Медицина, 1993. - 412 с.

.        Клапчук В.В. Превентивна фізична реабілітація і кількісна оцінка рівня соматичного здоровя; погляд на пробему./ Клапчук В.В.// Спортивний вісник придніпров’я науково-практичний журнал. - 2008. - № 3-4. - С. 195-198

.        Функціональна діагностика при фізичній реабілітації: Навчальний посібник / укл. проф. В.В.Клапчук; ЗНТУ. - Запоріжжя, 2009. - 60 с.

29.      Правила пожежної безпеки в Україні. Державний реєстр нормативних актів з питань пожежної безпеки (Реєстр НАПБ)./під ред. Савчука. О.М. - К.: Пожежінформтехніка, 2001.- 238 с.

30.    Савчук О.М. Основи охорони праці / О.М. Савчук // Конспект лекцій 2-х ч. - Запоріжжя: Просвіта, 2000. - 124 с.

.        Шевченка А.М. Гігієна праці / А.М. Шевченка, О.П. Яворівського. - Вінниця: Нова книга, 2005. - 840 с.

.        Кочін І.В. Наукові принципи організації загальної та медичної евакуації населення при аваріях на хімічно небезпечних об’єктах/ Кочін І.В., Акулова О.М., Шило І.Ф., Ількаєв Д.В., Маліков С.Ж. та ін.// Актуальні питання медичної науки та практики: Збірник наук. праць. - Запоріжжя: ЗМАПО, 2007. - № 71. - Том 2. - Кн.2. - С.104 - 113.

.        Кочін І.В. Медицина катастроф: Виробниче видання / Кочін І.В., Черняков Г.О., Сидоренко П.І. - К.: Здоров’я, 2008. - 724 с.

Похожие работы на - Хатха-йога і здоров'я

 

Не нашли материал для своей работы?
Поможем написать уникальную работу
Без плагиата!
Без нейросетей!